GAZİ UNIVERSITY
Engineering Faculty
Department of Industrial Engineering
MATERIALS SCIENCE
ENM223
2020-2021 Fall Semester
1
Text Book (1) and References (2-5):
1) Materials Science and Engineering, W.D. Callister, 8th ed., John Wiley,
2011.
2) The Science and Engineering of Materials, D.R. Askeland, P.P. Phule, 4th ed.,
Thomson Brooks/Cole, 2003.
3) Foundations of Materials Science and Engineering, W.F. Smith, J. Hashemi, 4th
ed. McGraw-Hill, 2006.
4) Engineering Metallurgy and Materials, Süleyman Sarıtaş, Gazi University, 1995.
5) Materials Science and Engineering, W.D. Callister, Translation to Turkish
from 8th ed., John Wiley, 2011.
2
Course Outline
Subject Weeks
1. Introduction to Engineering Materials……………………… 1
Classissification, Metals, Ceramics, Polymers, Composites
2. Interatomic Bonding……………………………………………… 1
3. The Structure of Crystalline Solids ….………...…………… 2
Atomic arrangements and crystals, Imperfections in crystals
Microstructural examination of materials
4. Diffusion………………………..…………………………….…….. 1
5. Phase Diagrams…………...……………………………………… 1
Rules of phase diagrams, Construction of phase diagrams
3
Course Outline, cont.
Subject Weeks
6. Mechanical Testing and Properties……………………… 2
Tensile test, Hardness test, Fatigue test, Creep test
Impact test, Bending and Shear (Torsion) tests
7. Ferrous and Nonferrous Alloys…………………………… 2
8. Iron-Carbon System and Heat Treatments….………… 2
Atomic arrangements and crystals, Imperfections in crystals
Microstructural examination of materials
9. Strengthening Mechanisms………………………….…….. 1
Work hardening, Solid solution hardening, ,
Grain size strengthening, Dispersion hardening
4
• Course Grading:
One Midterms : 60%
Final Exam : 40%
• Attendance:
Attendance to classes (70 %) is compulsory.
5
CHAPTER 1
INTRODUCTION TO ENGINEERING MATERIALS
(Text Book Pages 1-17)
.
6
“Because without materials, there is no engineering.”
Materials are probably more deep-seated in our culture than most of us
realize. Transportation, housing, clothing, communication and food
production-virtually every segment of our everyday lives is influenced by
materials. Then, what are materials?
Materials may be defined as substance of which something is
composed or made.
Materials are everywhere. Some of commonly encountered
materials are wood, concrete, brick, steel, plastic, glass,
rubber, aluminum, copper and paper.
7
Materials Science and Engineering?
8
Materials Science?
 Involves Investigating the relationships between structure,
processing and properties of materials.
Materials Engineering?
 On the basis of these structure-property correlations, designing or
engineering the structure of a material to produce a predetermined set
of properties. Designing the structure to achieve specific properties
of materials.
Structure means a description of the arrangements of atoms or ions in a material.
The structure of materials had a profound influence on many properties of materials,
even if the overall composition does not change!
9
Relation between
processing & properties
roll
round and coarse grains
low strength
high ductility
elongated grains
high strength
low ductility
Hot rolling
Recrystallised fine
grains
low strength
high ductility
10
What is the difference?
11
Why the study of materials is important?
Engineers choose materials to suit design or new materials might be needed for some new
applications. For example:
 Mechanical engineers search for high temperature resistant materials so that jet engines
can operate more efficiently.
 Aerospace engineers search for materials with higher strength to weight ratios for aircraft
and space vehicles.
 Chemical engineers need more highly corrosion resistant materials.
So, engineers in all disciplines should have some basic and applied knowledge of
engineering materials.
Corrosion is the disintegration of an engineering material into its constituent atoms due to chemical reactions with
its surroundings. Formation of an oxide of iron due to oxidation of the iron atoms in solid solution is a well-known
example of corrosion (rusting).
12
Figure. A section through a jet engine. The forward compression section operates
at low to medium temperatures, and titanium parts are often used. The rear
combustion section operates at high temperatures and nickel-based superalloys
are required. The outside shell experiences low temperatures, and aluminum and
composites are satisfactory.
CLASSIFICATION OF MATERIALS
Engineering materials are divided into three main classes: metals, ceramics,
and polymers.
13
In addition, there are
the composites,
combinations of two or
more of these basic
material classes.
METALS
Metals are metallic elements such as iron, aluminum, copper, titanium, nickel and
gold. Although pure metals are occasionally (rarely) used, alloys which
combinations of two or more metals are normally designed to provide desirable
properties. Examples:
Metals and alloys are generally divided into two groups: Ferrous (steel, cast iron)
and nonferrous (Al, Cu, Zn, etc.).
Ferrous metals and alloys that contain a large percentage of iron such as the
steel and cast irons. Nonferrous metals do not contain iron.
14
Alloys: Brass: Cu-Zn, Bronze: Cu-Sn,
Steel: Fe-C, Solder: Pb-Sn, etc.
Pure metals: Fe, Au, Ag, Cu, Ni, etc.
Properties of metals
a) Atoms arranged in a regular repeating structure (crystalline structure)
b) Good strength: strong
c) Dense
d) Malleable or ductile (i.e., capable of large amounts of deformation without fracture):
high plasticity
e) Resistant to fracture and shock resistance: tough
f) Good thermal and electrical conductivity
g) Easy machinability: Thus, metals can be formed
h) They are least resistant to corrosion , such as iron-oxide (rust)
i) Some of the metals (Fe, Ni, Co) have desirable magnetic properties.
Applications:
 Buildings
 Automobiles
 Airplanes
 Machine and tools
 Gears
 Electrical wires
 Pressure vessels, etc.
Ceramics
 Ceramic materials consist of metallic and
non-metallic elements chemically bonded
together.They are most frequently oxides,
nitrides, and carbides.
For example: SiC, Al2O3, ZrO2, Si3N4,.MgO
Examples:
 Abrasive Materials (for cutting, grinding
and polished other materials of lower
hardness; aluminium oxide and silicon
carbide)
 Refractories (corrosion and high heat-
resistant; brick)
 Whitewares (e.g. porcelains)
 Electrical Ceramics (capacitors,
insulators, transducers, etc.)
 Chemically Bonded Ceramics (e.g.
cement and concrete)
 Glass (transparency,hardness at room
temperature, excellent resistance to most
environments)
15
16
Properties of ceramics
 Except for glasses they have crystalline structure
 They have lower density than most metals
 Generally they have high melting points
 They have high chemical stabilities (resistant to environment)
 They have high wear resistance
 They have high hardness and high-temperature strength (heat resistant)
but they are very brittle
 They have low ductility or malleability: low plasticity
 They have very high elastic modulus
Ceramics are usually poor electrical and thermal conductors
 Aluminium (Al) is a common metal, but aluminium oxide, a
compound of aluminium and oxygen such as Al2O3, is ceramic.
Aluminium oxide has two basic advantages over metallic
aluminium.
 First, Al2O3 is chemically stable in a wide variety of severe
environments whereas metallic aluminium would be oxidized.
 Second, the ceramic Al2O3 has a significantly higher melting
point (2020 C) than does the metallic Al (660 C).
 This makes Al2O3 a popular refractory, that is, a high-
temperature-resistant material of wide use in industrial furnace
construction.
 With its superior chemical and temperature-resistant
properties, why isn’t Al2O3 used for certain
applications,such as automotive engines, in place of metallic
aluminium?
 The answer to this question lies in the most limiting property of
ceramics-brittleness. Aluminium and other metals have the
desirable property of ductility whereas aluminium oxide and
other ceramics do not. Thus ceramics are eliminated from
many structural applications.
17
Applications
 Electrical
insulators
 Abrasives
 Thermal insulation
and coatings
 Windows,
television screens
(glass)
 Corrosion resistant
applications
 Electrical devices
 Highways and
roads (concrete)
Polymers
 Polymers are in our everyday life. An alternative name for this category is
plastics. The “mer” in a polymer is a single hydrocarbon molecule. Polymers
are long-chain molecules composed of many mers bonded together.
 Many important polymers are simply compounds of hydrogen and carbon.
 Others contain oxygen, nitrogen,and silicon.
 Examples: nylon,teflon, PVC (polyvinyl chloride), polyester.

Plastics can be divided into two classes, thermoplastics and
thermosetting plastics, depending on how they are structurally bonded. 18
 Most thermoplastics consist
of very long molecular chains and
have good ductility and formability.
 These materials can be reheated
and reformed into new shapes a
number of times.
 Polyester (PE), polystyrene
(PS) and PVC are thermoplastics.
THERMOPLASTICS & THERMOSETTINGS
 Thermosetting plastics are
stronger but more brittle because the
molecular chains are tightly linked.
 Thermosetting plastics can not be
remelted and reformed into another
shape. Thus, they cannot be
recycled.
 Epoxies, phenolics and some
polyster resins are thermosets.
19
Properties of polymers
 Most polymers are non-crystalline, but some
consist of mixtures of both crystalline and non-
crystalline regions
 They generally have low densities
 They have low elastic modulus
 Their ductility may vary considerably
 They have low strength
 Most of them are corrosion resistant
 They cannot be used at high temperature
because of their low melting points
 They have low cost
 Most are poor conductors of electricity and heat
20
 In spite of the limitations, (they have low electrical and thermal conductivities, low
strength, and are not suitable for use at high temperature) polymers are highly versatile
(can be used for many different purposes) and useful materials.
 Unlike brittle ceramics, polymers which are frequently lightweight, low-cost and resistant
to higher chemical reactivity alternatives to metals in structural design applications.
Applications
 Adhesives and glues
 Containers
 Moldable products (computer
casing, telephone handset)
 Clothing and upholstery material
(polyester, nylon)
 Biodegradable products (packing)
 Low friction materials (teflon)
 Gaskets and O-rings (rubber)
Composite Materials
 Composites are produced when two materials are joined to give a combination
of properties that cannot be obtained in the original materials.
With composites we can produce
 lightweight
 strong
 ductile
 high temperature-resistant materials that are otherwise unobtainable.
21
 Composites can be
 metal-metal
 metal-ceramic
 metal-polymer
 ceramic-polymer
 ceramic-ceramic
 polymer-polymer
 Furthermore, some naturally-occurring materials are also considered to be
composites-for example, wood and bone.
 Fiberglass, in which small glass fibers are embedded within a polymeric material
(epoxy, polyster) is a common ceramic-polymer composite (GFRP: Glass Fiber
Reinforced Polymer). The glass fibers are relatively strong (but also brittle), whereas
the polymer is ductile (but also weak). Thus, the resulting composite material is
relatively strong and ductile. In addition, it has a low density.
 Another of these technologically important materials is the carbon fiber reinforced
polymer composite (CFRP: Carbon Fiber Reinforced Polymer). These composites
are stronger than glass fiber-reinforced composites, but they are more expensive.
They are used in some aircraft and aerospace applications, as well as high-tech
sporting equipment (e.g., bicyles, tennis rackets, and skis).
 Metal matrix-ceramic composites, for example, include silicon carbide or aluminium
oxide fiber reinforced aluminium alloy.
 WC reinforced cobalt matrix composite materials are also metal-ceramic composites.
It is used as a cutting tool for machining.
 Composites can be placed into three categories: particulate, fiber, and laminar-based
on the shapes of the material.
22
Applications
 Aircraft and aerospace applications
 Sports equipment (golf club shafts, tennis rackets, bicycle frames)
 Thermal insulation
 Concrete
 Brake materials
Fig.1.3. Bar chart of room temperature density values for various
materials
23
Fig.1.4. Bar chart of room temperature stiffness (i.e. Elastic
modulus) values for various materials
24
Fig.1.5. Bar chart of room temperature strength (i.e. Tensile
strength) values for various materials
25
Fig.1.6. Bar chart of room temperature resistance to fracture for
various materials
26
Fig.1.7. Bar chart of room temperature electrical conductivity
ranges for various materials
27
Advanced Materials
• Materials that are utilized in high-technology (or high-
tech) applications are sometimes termed advanced
materials.
• By high technology we mean a device or product that
operates or functions using relatively intricate and
sophisticated principles; examples include electronic
equipment (camcorders, CD/DVD players, etc.),
computers, fiber-optic systems, spacecraft, aircraft, and
military rocketry.
• These advanced materials are typically traditional
materials whose properties have been enhanced, and,
also newly developed, high-performance materials.
28
Advanced Materials, Cont.
Semiconductors
• Semiconductors have electrical properties that are intermediate
between the electrical conductors (viz. metals and metal alloys) and
insulators (viz. ceramics and polymers)—Figure 1.7.
• Furthermore, the electrical characteristics of these materials are
extremely sensitive to the presence of minute concentrations of
impurity atoms, for which the concentrations may be controlled over
very small spatial regions.
• Semiconductors have made possible the advent of integrated
circuitry that has totally revolutionized the electronics and computer
industries (not to mention our lives) over the past three decades. 29
Advanced Materials, Cont.
Biomaterials
• Biomaterials are
employed in
components
implanted into the
human body for
replacement of
diseased or
damaged body
parts.
30
Advanced Materials, Cont.
Biomaterials, cont
• These materials must not
produce toxic substances
and must be compatible
with body tissues (i.e.,
must not cause adverse
biological reactions).
• All of the above
materials—metals,
ceramics, polymers,
composites, and
semiconductors—may be
used as biomaterials.
31
Advanced Materials, Cont.
Smart Materials
• Smart (or intelligent) materials are a group of new and
state-of-the-art materials now being developed that will
have a significant influence on many of our technologies.
• The adjective “smart” implies that these materials are
able to sense changes in their environments and then
respond to these changes in predetermined manners—
traits that are also found in living organisms.
• In addition, this “smart” concept is being extended to
rather sophisticated systems that consist of both smart
and traditional materials.
32
Advanced Materials, Cont.
Smart Materials, cont.
• Components of a smart material (or
system) include some type of sensor (that
detects an input signal), and an actuator
(that performs a responsive and adaptive
function).
• Actuators may be called upon to change
shape, position, natural frequency, or
mechanical characteristics in response to
changes in temperature, electric fields,
and/or magnetic fields.
• Four types of materials are commonly
used for actuators: shape memory
alloys, piezoelectric ceramics,
magnetostrictive materials, and
electrorheological/magnetorheological
fluids.
33
Advanced Materials, Cont.
Nanomaterials
• One new material class that has fascinating
properties and tremendous technological promise is
the nanomaterials.
• Nanomaterials may be any one of the three basic
types: metals, ceramics, or polymers.
• The ability to carefully arrange atoms provides
opportunities to develop mechanical, electrical,
magnetic, and other properties that are not otherwise
possible.
• We call this the “bottom-up” approach, and the study
of the properties of these materials is termed
“nanotechnology”;
• The “nano” prefix denotes that the dimensions of
these structural entities are on the order of a
nanometer (10-9 m) 34
Modern materials’ Needs
• In spite of the tremendous progress that has been made in the
discipline of materials science and engineering within the past few
years, there still remain technological challenges, including the
development of even more sophisticated and specialized materials,
as well as consideration of the environmental impact of materials
production. Some comment is appropriate relative to these issues so
as to round out this perspective:
– Nuclear energy
– Engine components (higher temperature capabilities)
– Hydrogen fuel cell
– Pollution control techniques
35
END of the CHAPTER 1
Don’t forget to study from the
TEXT BOOK!
pages 1-17
36
Interatomic Bonding
Learning Objectives
• Briefly describe ionic, covalent, metallic, hydrogen, and van der
Waals bonds.
Text Book: Pages: 26-36
1
Valance Electrons
2
3
Electronegativity
• Electronegativity concept helps in understanding the bonding behavior of elements.
• Electronegative elements accept electrons to produce negative ions (anion). The most
electronegative elements are in groups VIA and VIIA of the periodic table.
• Electropositive elements give up their valance electrons in chemical reactions to produce
positively charged ions (cation). The most electropositive elements are in groups IA and IIA of the
periodic table.
• Electronegativities of the elements increases from left to right in the periodic table.
Electronegativity is measured on a scale from 0.7 to 4.0. The most electronegative elements
fluorine, oxygen, and nitrogen, which have electronegativities of 4.0, 3.5, and 3, respectively.
4
ATOMIC BONDING
Chemical bonding between atoms occurs since there is a net decrease in the
potential energy of atoms in the bonded state. That is, atoms in the bonded
state are in a more stable energy condition than when they are unbonded.
What types of bonds are there?
Four important atomic bonds in engineering materials
• Ionic Bond
• Covalent Bond Primary (chemical) bonds. Strong.
• Metallic Bond
•
•Van der Waals Bond Secondary (physical) bond. Weak.
5
BOND ENERGY
• Bond energy is the energy required to create or break the bond.
• Materials having a high bond energy (It means that a greater force is required to stretch
the bond) also have
 a high strength
 a high melting temperature (Tm)
 high modulus of elasticity (E); (i.e. the slope of the stress‐strain curve in the elastic
region)
 low coefficient of thermal expansion (α)
6
Attractive, repulsive, and net potential energies as a function of interatomic separation
for two atoms are shown below. The net curve, which is again the sum of the other two,
has a potential energy trough or well around its minimum.
The bonding energy for these two atoms, Eo , corresponds to the energy at this
minimum point; it represents the energy that would be required to separate these two
atoms to an infinite separation.
The magnitude of this bonding energy and the shape of the energy-versus-interatomic
separation curve vary from material to material, and they both depend on the type of
atomic bonding.
Attractive energy
Net energy
Repulsive energy
Interatomic separation r
interatomic
spacing, 2r
7
8
9
1 kcal=4,187 kJ
10
Ionic Bonding
• Ionic bonds can form between highly electropositive (metallic) elements and highly
electronegative (non‐metallic) elements.(Dissimilar electronegativities)
• In the ionization process, electrons are transferred from atoms of electropositive elements to
atoms of electronegative elements. Atoms of a metallic element easily give up their valence
electrons to the nonmetallic atoms.
• For example, attraction between sodium (metal) and chlorine (non‐metal) ions produces
sodium chloride, or table salt, NaCl.
3s1 3p5
Electropositive element (unstable)
atomic radius of Na, rNa =0.192 nm
Electronegative element (unstable)
rCl =0.099 nm
Z=17,
1s22s22p63s23p5
Z=11,
1s22s22p63s1
Valence electron transfer
(Metal) (Non-metal)
11
• Both atoms now have filled (or emptied)
outer energy levels but both have
acquired an electrical charge and behave
as ions.
• The atom that gives up the electrons is
a cation (with positive charge), while the
atom that accepts the electrons is an
anion (with negative charge).
• The oppositely charged ions are then
attracted to each another and produce the
ionic bond.
rNa+ =0.095 nm
(stable)
rCl- =0.181 nm
(stable)
ionic bond, (NaCl)
12
The Covalent Bonding
• Covalent bonding takes place between atoms with small differences in
electronegativity and which are close to each other in the periodic table.(similar
electronegativities)
• Covalently bonded atoms share their electrons with other atoms (two or more).
13
PROPERTIES OF COVALENT BONDING
•Covalently bonded materials have poor electrical and thermal conductivity. Because the valance
electrons are locked in bonds between atoms.
•Diamond (C), silicon carbide (SiC), silicon nitride (Si3N4), and boron nitride (BN) all exhibit
covalency. Their bonding energies may be weak as in bismuth or strong as in diamond; melting
temperatures range from 270 C for bismuth to 3550 C for diamond.
• Many nonmetallic elemental molecules (H2, Cl2, F2, etc.), as well as molecules containing
dissimilar atoms, such as CH4, H2O, HNO3 and HF are covalently bonded.
• Polymeric materials (e.g. CH4) typify covalent bond. The basic molecular structure being a long
chain of carbon atoms that are covalently bonded together with two or their available four bonds
per atom.
14
Metallic Bonding
• Metallic bonding occurs in metals and their alloys.
• Metallic atoms have three or less valence electrons.
• Metallic materials give up their valence electrons to form a "sea of electrons “ (or an electron cloud)
surrounding the atoms. The valence electrons are weakly bonded to the positive‐ion cores and readily
move in the metal crystal.
• Aluminum (z=13), for example, gives up its three
valence electrons, leaving behind a core consisting of
the nucleus and inner electrons.
• Since three negatively charged electrons are missing
from this core, the core becomes an ion with a
positive charge of three.
• The valence electrons, which are no longer
associated with any particular atom, move freely
within the electron sea and become associated with
several atom cores.
• The positively charged atom cores are held together
by mutual attraction to the electron, thus producing
the strong metallic bond. These free electrons act as
a “glue” to hold the ion cores together.
valence electrons=3
positively charged
ion core
electron cloud
(free electrons)
Metallic bond
15
PROPERTIES OF METALLIC BONDING
•
•Their bonding energies may be weak or strong;
energies range from 68 kJ/mol for mercury to
850 kJ/mol for tungsten.
•Melting temperatures of metals range from
• -39 oC to 3410 oC.
• Metallic bond also allows metals to be good
electrical and thermal conductors. Under the
influence of an applied voltage, the valence
electrons move, causing a current to flow if the
circuit is complete. Other bonding mechanisms
require much higher voltages to free the electrons
from the bond.
Valence electrons move
16
Van der Waals Bonding
• Van der Waals bonds join molecules or groups of atoms by weak electrostatic attractions.
• Van der Waals bonding is somewhat similar to ionic bonding, that is, the attraction of opposite
charges. The key difference is that no electrons are transferred.
• Many plastics, ceramics, water, and other molecules are polarized; that is, some portions of the
molecule tend to be positively charged, while other portions are negatively charged.
• The electrostatic attraction between the positively charged regions of one molecule and the
negatively charged regions of a second molecule weakly bind the two molecules together.
In water, the resulting charge
difference permits the molecule to
be weakly bonded to other water
molecules.
Heating water to the boiling
point breaks the van der Waals
bonds and changes water to
steam, but much higher
temperatures are required to
break the covalent bonds
joining oxygen and hydrogen
atoms.
Covalent bond
(primary bond, strong)
Van der Waals bond
(secondary bond, weak)
Water molecule Water molecule
17
The Structure
of
Crystalline Solids
1
Text Book: Chapter 3 / Pages 44-89
Learning Objectives
1. Describe the difference in atomic structure between crystalline and noncrystalline
materials.
2. Draw unit cells for face-centered cubic, bodycentered cubic, and hexagonal
close-packed crystal structures.
3. Derive the relationships between unit cell edge length and atomic radius for face-
centered cubic and body-centered cubic crystal structures.
4. Compute the densities for metals having facecentered cubic and body-centered
cubic crystal structures given their unit cell dimensions.
5. Given three direction index integers, sketch the direction corresponding to these
indices within a unit cell.
6. Specify the Miller indices for a plane that has been drawn within a unit cell.
7. Describe how face-centered cubic and hexagonal close-packed crystal structures
may be generated by the stacking of close-packed planes of atoms.
8. Distinguish between single crystals and polycrystalline materials.
9. Define isotropy and anisotropy with respect to material properties.
2
Levels of atomic
arrangements in materials:
(a) Inert monoatomic gases
have no regular ordering of
atoms:
(b,c) Some materials,
including water vapor,
nitrogen gas, amorphous
silicon and silicate glass
have short-range order.
(d) Metals, alloys, many
ceramics and some
polymers have regular
ordering of atoms/ions that
extends through the
material.
Fundamental Concepts
Solid materials may be
classified according to the
regularity with which atoms or
ions are arranged with respect
to one another.
A crystalline material is one in
which the atoms are situated in
a repeating or periodic array
over large atomic distances;
that is, long‐range order exists,
such that upon solidification,
the atoms will position
themselves in a repetitive
three‐dimensional pattern, in
which each atom is bonded to
its nearest‐neighbor atoms.
4
Fundamental Concepts, cont.
• Metals, many ceramics, and some polymers have a crystalline structure in
which the atoms are arranged in a regular repeating structure.
• The atoms form a lattice in the crystalline structure.
• The unit cell is a subdivision of the lattice that still retains the
characteristics of the lattice. In other words, unit cells are small group of
atoms which form a repetitive pattern.
5
A unit cell defines the crystal structure
by virtue of its geometry and the atom
positions within. By stacking unit cells,
the entire lattice can be constructed.
Bravais Lattices
• Although there are 7
crystal system, there are
14 distinct
arrangements of
lattice points. These
unique arrangements of
lattice points are known
as the Bravais lattices.
• Lattice points are
located at the corners,
the faces, the center or
the base of the unit
cells. In the
orthorhombic system all
four types are
represented.
The length of unit cell
edges and the angles
between
cyristallographic axes
are referred to as lattice
parameters.
There are 7 unique arrangements, known as crystal systems, which fill in a 3-dimensional
space.
6
7
Metallic Crystal Structures
Most elemental metals (about 90%) have three densely packed crystal structures:
 Face‐centered cubic (FCC), (e.g. Cu, Al, Ag, Au, Pb, Ni, etc.)
 Body‐centered cubic (BCC), (e.g. Cr, Fe, W, V, Mo, etc.)
 Hexagonal close packed (HCP) (e.g. Zn, Mg, Co, Ti, Cd, etc.)
• Most metals crystallize in these dense‐packed structures because energy is released
as the atoms come closer together and bond more tightly with each other. Thus, the
densely packed structures are in lower and more stable energy arrangements.
• HCP is denser version of simple hexagonal crystal structure.
BCC Structure FCC Structure HCP Structure
8
• (a) a hard sphere unit cell representation, (b) a reduced‐sphere unit cell,
and (c) an aggregate of many atoms.
9
BCC
FCC
Unit cell
Close‐Packed Hexagonal
• Figure 3.3 For the hexagonal close‐packed crystal structure, (a) a reduced‐sphere unit cell (a
and c represent the short and long edge lengths, respectively), and (b) an aggregate of many
atoms.
10
Coordination Number
• Coordination number is the number of atoms touching particular atoms, or the number of
nearest neighbors. This is one indication of how tightly atoms are packed together.
• Each atom in the SC lattice has a coordination number of 6.
• Each atom in the BCC lattice has a coordination number of 8.
• Each atom in the FCC lattice has a coordination number of 12.
• Each atom in the HCP lattice has a coordination number of 12.
llustration of coordinations in (a) SC and (b) BCC unit cells. 6 atoms touch each atom in SC, while
the 8 atoms touch each atom in the BCC unit cell.
11
Models for BCC
• Body‐centered cubic (BCC)
In BCC structures, atoms are located at all eight corners and a single atom at the cube
center. Atoms touch along the body diagonal.
Unit cell edge length for
BCC structure
Models for FCC
• Face‐centered cubic(FCC)
In FCC structures, atoms are located at each of the corners and
centers of all the cube face . Atoms touch along the face
diagonal of the cube. There are four atomic radii along this
length—two radii from the face‐centered atom and one radius
from each corner.
13
Unit cell edge length for
FCC structure
Atomic packing Factor, APF
The APF is the sum of the sphere volumes of all atoms within a a unit cell
(assuming the atomic hard‐sphere model) divided by the unit cell volume ‐
that is,
1. How we can determine the volume of atoms in a unit cell?
2. How we can determine total unit cell volume?
14
15
• There is one‐half atom (i.e., one atom shared between two unit cells) in the center of each unit
cell face and one‐eighth atom each unit cell corner, for a total of 4 atoms In each FCC unit.
Number of atoms in BCC and FCC unit cells
• One complete atom is located at the center of the unit cell, and one-eighth of a sphere
is located at each corner of the cell. Thus there is a total of 2 atoms per BCC unit.
cell
unit
atom
2
cell
unit
center
1
center
atom
1
cell
unit
corners
8
corner
atom
8
1






























BCC
cell
unit
atom
4
cell
unit
face
6
face
atom
2
1
cell
unit
corners
8
corner
atom
8
1






























FCC
16
Number of Atoms per Unit Cell in Cubic Crystal Systems
In the SC unit cell
cell
unit
atom
1
cell
unit
corners
8
corner
atom
8
1
or
cell
unit
int
po
lattice
1
cell
unit
corners
8
corner
int
po
lattice
8
1






























A lattice point at a corner of one unit
cell is shared by seven adjacent unit
cell (thus a total of 8 cells); only one-
eighth of each corner belongs to
one particular cell.
17
Relationship between atomic radius and lattice parameter in Cubic Crystal
Systems
In the SC unit cell: Atoms touch along the edge of the cube, so:
r
2
a0 
3
r
4
a0 
BCC
SC
In the BCC: Atoms touch along the body diagonal, which
is in length. There are two atomic radii from the center
atom and one atomic radius from each of the corner atoms
on the body diagonal.
o
a
3
In the FCC: Atoms touch along the face diagonal of the
cube, which is in length. There are four atomic radii
along this length-two radii from the face-centered atom
and one radius from each corner.
o
a
2
FCC
2
r
4
a0 
18
Hexagonal‐close packed (HCP) structure
Aggregate of many
atoms for HCP
Schematic representation of HCP. a
and c represent the short and long
edge lengths, respectively.
• Metals do not crystallize into the simple hexagonal
crystal structure, because atomic packing factor is
too low. The atoms can attain a lower energy and a
more stable condition by forming the HCP structure.
So, HCP is a special form of the hexagonal
structure.
• In the hexagonal close packed structure, the top
and bottom faces in the unit cell consist of six corner
atoms and a single center atom. Another plane
(midplane) which is situated between the top and
bottom planes consist of three atoms. In other
words, the six atoms is contained in each unit
cell; one-sixth of each of the 12 top and bottom face
corner atoms, one-half of each of the 2 center face
atoms, and all 3 midplane interior atoms.
cell
unit
atom
6
cell
unit
face
center
2
face
center
atom
2
1
cell
unit
center
1
center
atom
3
cell
unit
corners
12
corner
atom
6
1















































19
20
cell
unit
atom
6
cell
unit
face
center
2
face
center
atom
2
1
cell
unit
center
1
center
atom
3
cell
unit
corners
12
corner
atom
6
1















































21
The APF
 0,74 in the FCC
0,74 in the HCP
0,68 in the BCC
0,52 in the SC
No common engineering metals have the SC structure.
22
Density Calculations
23
24
SOLUTION
Density of BCC Iron
Example:
Determine the density of BCC iron, which has a lattice parameter of 0.2866 nm.
SOLUTION
• Atoms/cell = 2, a=0.2866 nm = 2.866  10‐8 cm
• Atomic mass = 55.847 g/mol
• Volume of unit cell = (2.866  10‐8 cm)3 = 23.54  10‐24 cm3/cell
• Avogadro’s number NA = 6.02  1023 atoms/mol
3
23
24
cm
/
g
882
.
7
)
10
02
.
6
)(
10
54
.
23
(
)
847
.
55
)(
2
(






25
Atomic density
Example: Niobium has an atomic radius of 0.1430 nm and a density of 8.57 g/cm3.
Determine whether it has an FCC or BCC crystal structure. Atomic weight of Nb is 92.91 g/mol.
Solution:
26
Allotropy (polymorphism)
• Many elements or compounds
exist in more than one crystalline
form under different conditions
of tempereture and pressure.
This phenomenon is termed
polymorphism or allotropy.
• Iron exist in both BCC and FCC
crystal structures over the
temperature range from room
temperature to its melting point
1538°C.
• Alpha (α) iron exist from ‐273 to
912°C and has the BCC crystal
structure.
BCC
FCC
BCC
1539ºC
1400ºC
910ºC
-Fe
-Fe
-Fe
liquid iron system
27
28
..
Crystallographic Points, Directions, and Planes
When dealing with crystalline materials, it often becomes necessary to specify a particular
point within a unit cell, crystallographic direction or plane of atoms.
Crystallographic Points (Atom Positions in Cubic Unit Cell)
To locate atom positions in cubic unit cell; x, y, and z axes are used.
 y axis is the direction to the right.
 x axis is the direction coming out of the paper.
 z axis is the direction towards top.
 Negative directions are to the opposite of positive directions.
 Atom positions are located using unit distances along the axes.
x, y, and z axes for locating atom
positions in cubic unit cell
Atom positions in BCC unit cell
29
30
POINT COORDINATES
31
32
• Directions are especially important for metals and alloys. Because the properties vary
with crystallographic orientation.
• In cubic crystals, Direction Indices are vector components of directions resolved along
each axes, resolved to smallest integers.
• To indicate a direction in a cubic unit cell, a direction vector is drawn from an origin, which
is usually a corner of the cubic cell, until it emerges from the cube surface.
• The direction indices are enclosed by square brackets with no separating commas.
• The letters u, v, w are used in a general sense for the direction indices in the x, y, and z
directions, respectively, and are written as [uvw]
• All parallel direction vectors have the same direction indices.
Directions in Cubic Unit Cell
33
34
35
.
..
36
Some directions in cubic unit cell
37
Example: Draw the following direction vector in cubic unit cell
     
1
2
3
)
c
10
1
)
b
112
)
a
Solution
38
39
Family of Directions
Crystallographic Planes
•Miller Indices:
• The orientations of planes for a crystal structure are represented in a similar manner.
• Again, the unit cell is the basis, with the three‐axis coordinate system as represented in
Figure.
• In all but the hexagonal crystal system, crystallographic planes are specified by three
Miller indices as (hkl).
• Any two planes parallel to each other are equivalent and have identical indices.
40
The procedure employed in determination of the h, k, and l index numbers is
as follows:
41
42
 
0
12
5
Example: Determine the Miller
indices of the cubic crystallographic
plane shown in the figure.
Solution:
1) Transpose the plane parallel to the z axis ¼
unit to the right along the y axis as shown in
the figure so that the plane intersects the x
axis at a unit distance from the new origin
located at the lower‐right back corner of the
cube.
2) The new intercepts of the transposed plane
with the coordinate axes are now (+1, ‐5/12,
∞).
3) Take the reciprocals of these
intercepts to give (1, -12/5, 0).
4) Clear the 12/5 fraction to obtain
for the Miller indices of this plane.
43
Example:
44
Solution
Example (continued):
45
46
47
Example:
48
49
Reversing the directions of all indices specifies another plane parallel to, on the
opposite side of and equidistant from, the origin. Several low‐index planes are below.
50
A family of planes contains all those planes that are crystallographically equivalent‐that is, having
the same atomic packing; and a family is designated indices that are enclosed in braces‐such as .
.
Example:
 
100
Family of Planes {hkl}
                 
1
1
1
,
1
1
1
,
1
11
,
1
11
,
11
1
,
11
1
,
111
,
111
:
111
Also, in the cubic system only, planes having the same indices, irrespective of
order and sign, are equivalent.
      .
123
2
1
3
3
2
1
, family
the
to
belong
and
both
example
For
51
In cubic crystals,
[111] direction is perpendicular to (111) plane
52
One interesting and unique characteristic of cubic crystals is that
planes and directions having the same indices are perpendicular to one
another;
however, for other crystal systems there are no simple geometrical
relationships between planes and directions having the same indices.
Linear and planar densities
Linear and planar densities are important considerations relative to the
process of slip-that is, the mechanism by which metals plastically deform.
Slip occurs on the most densely packed crystallographic planes and, in
those planes, along directions having the greatest atomic packing.
53
54
ll
l
re
Example
Linear and planar densities
Planar Density (PD) =
Example
55
Close Packed Crystal Structures
• Both face‐centered cubic (FCC) and hexagonal close‐
packed (HCP) crystal structures have atomic packing
factors of 0.74 which is the most efficient packing of
atoms.
A
B
C c
a
A sites
B sites
A sites
FCC HCP
56
• Coordination number= 12
• ABAB... Stacking Sequence
• APF = 0.74
• 3D Projection
• 2D Projection
Hexagonal Close‐Packed Structure (HCP)
6 atoms/unit cell
ex: Cd, Mg, Ti, Zn
c
a
A sites
B sites
A sites
Bottom layer
Middle layer
Top layer
For HCP, the stacking sequence is
termed AB. This stacking sequence,
ABABAB......, is repeated over and over.
57
Study questions
1. (a) Drive linear density expressions for FCC [100] and [111] directions in terms of the atomic radius R.
(b) Compute and compare linear density values for these same two directions for copper. RCu=0.128 nm
2. (a) Drive linear density expressions for BCC [110] and [111] directions in terms of the atomic radius R.
(b) Compute and compare linear density values for these same two directions for iron. RFe=0.124 nm
3. (a) Drive planar density expressions for FCC (100) and (111) planes in terms of the atomic radius R.
(b) Compute and compare planar density values for these same two planes for aluminum. RAl=0.143 nm
4. (a) Drive planar density expressions for BCC (100) and (110) planes in terms of the atomic radius R.
(b) Compute and compare planar density values for these same two planes for molybdenum. RMo=0.136 nm
58
Crystalline and Noncrystalline Materials
Single crystal
• The repeated arrengement of atoms
is perfect in single crystal.
• All unit cell have the same
orientation in single crystal.
• They are anisotropic; properties are
dependent of direction.
• Single crystals exist in nature, but
they also be produced artificially.
But, they are ordinarily difficult to
grow.
Polycrystalline materials
• They are composed of collection of
many small grains.
• There exist some atomic mismatch
within the region where two grains
meet; these area called grain
boundary.
• They are anisotropic or isotropic
(properties are independent of
direction). Even though each grain
may be anisotropic, a specimen
composed of the grain aggregate
behaves isotropically.
• Most of the engineering materials
are polycrystalline.
59
Solidification of a crystalline material
60
ANISOTROPY
 The physical properties of single crystals of some substances depend on the crystallographic direction in
which measurements are taken. For example, the elastic modulus, the electrical conductivity, and the index
of refraction may have different values in the [100] and [111] directions.
 This directionality of properties is termed anisotropy, and it is associated with the variance of atomic or
ionic spacing with crystallographic direction.
 Substances in which measured properties are independent of the direction of measurement are isotropic.
61
• Is any metal isotropic or not? Why?
62
63
Imperfections in Solids
117
self-
interstitial
distortion
of planes
IMPERFECTIONS IN CRYSTAL STRUCTURES
In reality, crystals are never perfect and contain various types of imperfections and defects
that affect many of their physical and mechanical properties, which in turn affect many
important engineering properties of materials such as the cold formability of alloys, the
corrosion of metals, the electric conductivity of semiconductors.
Crystal lattice imperfections are classified according to their dimension:
1)Zero-dimensional (0D) or point defects: atoms missing (vacancies) or in irregular
places in the lattice (interstitials, impurities).
2)One-dimensional (1D) or linear defects (dislocations): groups of atoms in irregular
positions (e.g. screw and edge dislocations).
3)Two-dimensional (2D) or planar defects: interfaces between homogeneous
regions of the material (grain boundaries, external surfaces, stacking faults, twin
boundaries).
4)Three-dimensional (3D) or volume defects: extended defects (pores, cracks).
118
POINT DEFECTS: VACANCY
• Vacancy is the simplest point defect. A vacancy is produced when an atom or
an ion, is missing from its normal atomic site in the crystal structure.
• Vacancies may be produced during solidification and growth of crystals.
Additional vacancies can be introduced in or treatment (plastic deformation,
quenching (rapid cooling), etc.)
• All crystalline solids have vacancy defects. In metals the equilibrium
concentration of vacancies rarely exceeds about 1 in 10,000 atoms.
• Vacancies can move by exchanging positions with their neighbours. Atomic
diffusion in crystalline solids is extremely difficult without the point
defects.
Vacancy
distortion
of planes
119
POINT DEFECTS: Self interstitial
self-
interstitial
distortion
of planes
• Interstitial defects are also point defects. An interstitial defect is formed
when an extra atom or ion is inserted into the crystal structure at a
normally unoccupied position. This extra atom may be same type of atom
(self interstitial) or an impurity atom (impurity interstitial).
• It exists in very small concentration which is lower than vacancies.
• A self-interstitial defect introduces large distortions in the surrounding
lattice, because the atom is larger than the interstitial position.
120
Impurities in Solids
 A pure metal consisting of only one type of atom just is not possible !!!
 Impurity or foreign atoms will always be present. It is difficult to refine metals to a purity in
excess of 99.9999%. At this level, ~1023 atoms/m3 impurity atoms will be present in a material.
 A few metals are used in the nearly pure form. For example, high-purity copper of 99.99%
purity is used for electronic wires because of its high conductivity.
 Impurity atoms in ALLOYS are added intentionally to improve properties of materials such as
mechanical strength and corrosion resistance. For example, carbon in small amounts in iron
makes steel. Steel is stronger than pure iron. Sterling silver is a 92.5% silver – 7.5% copper alloy.
Pure silver has highly corrosion resistance, but sterling silver is stronger than pure silver.
Impurity point defects are found in solid
solutions, of which there are two types:
1) Substitutional: For the substitutional
type, solute or impurity atoms replace
or substitute for the host atoms.
2) Interstitial: For interstitial solid
solutions, impurity atoms fill the voids
or interstices among the host atoms.
121
122
123
LINEAR DEFECTS: DISLOCATIONS
Dislocation: Defects that cause lattice distortion centered around a line in crystalline
solids. Dislocations are line defects. Dislocations affect mechanical properties.
They are introduced typically into the crystal during soldification of the material or when the
material is deformed permanently. Plastic deformation of crystalline solids is difficult
without dislocations.
Two main types of dislocations: edge and screw dislocations. A combination of the two
gives mixed dislocations.
EDGE DISLOCATION
 Edge dislocation is created in a crystal by the
insertion of an extra half plane of atoms.
 Within the region around the dislocation line
there is some lattice distortion (atoms bend
around this extra half-plane).
 An edge dislocation represented by the
inverted “tee”, , which also indicates position of
the dislocation line (positive edge dislocation).
 An edge dislocation may also be formed by an
extra half-plane of atoms that is included in the
bottom portion of the crystal; its designation is a
T (negative edge dislocation). 124
BURGERS VECTOR
• Burgers vector (b): magnitude and direction of the lattice distortion associated with a dislocation.
• “b” shows displacement of atoms (slip) and “b” is perpendicular to dislocation line for edge dislocation.
• Magnitude of b is equal to the interatomic spacing.
• Make a circuit around dislocation: go from atom to atom counting the same number of atomic
distances in both directions.
The perfect crystal in (a) is cut and an extra plane of atoms is inserted (b). The bottom
edge of the extra plane is an edge dislocation (c). A Burgers vector b is required to close
a loop of equal atom spacings around the edge dislocation.
dislocation
line
125
Edge-Dislocations-Texas-AM-Intro-to-Materials-MSEN-201.mp4
The process by which a dislocation moves and causes a metallic material to deform is called slip.
Dislocation motion requires the successive bumping of a half plane of atoms (from left to right here).
Bonds across the slipping planes are broken and remade in succession.
Motion of Edge Dislocation
When a shear stress is applied to the dislocation in (a), the atoms are
displaced, causing the dislocation to move one Burgers vector in the slip
direction (b). Continued movement of the dislocation eventually creates a step
(c), and the crystal is deformed. (d) Motion of caterpillar is analogous (smilar
in structure) to the motion of a dislocation.
126
puntos-de-dislocacion.mp4
SCREW DISLOCATION
 Screw dislocation is created due to shear stresses applied to regions of a perfect
crystal separated by a cutting plane.
 Distortion of lattice in form of a spiral or helical ramp.
 Burgers vector is parallel to dislocation line in a screw dislocation.
Formation of a screw dislocation: A
perfect crystal is sliced by a cutting
plane, and up and down shear stresses
are applied parallel to the cutting plane
to form the screw dislocation.
Apply shear
Motion of a screw dislocation 127
MIXED DISLOCATION
Most dislocations in crystalline materials are neither pure edge nor pure screw, but
exhibit components of both types: mixed dislocation.
The lattice distortion that is produced away from the two faces is mixed.
Dislocations (dark lines) in a
transmission electron micrograph
Burgers vector is neither
perpendicular nor parallel.
128
INTERFACIAL DEFECTS (2-dimensional defects)
Interfacial defects are boundaries that have two dimensions and normally
separate regions of the materials that have different crystal structures
and/or crystallographic orientations.
INTERFACIAL DEFECTS
 External Surfaces
 Grain Boundaries
 Twin Boundaries
 Stacking Faults
129
EXTERNAL SURFACES
 Surface atoms are not bonded to the maximum number of the
nearest neighbors.
 Surface atoms are in higher energy state than the atoms at interior
positions.
 The bonds of these surface atoms that are not satisfied give rise to
(cause) a surface energy, expressed in units of energy per unit area.
Surface energy:  (J/m2).
 To reduce this energy, materials tend to minimize the total surface
area. For example, the droplets become spherical. This is not possible
with solids, which are mechanically rigid.
130
GRAIN BOUNDARIES
 Grain boundaries separate two grains or crystals
having different crystallographic orientation.
 Grain boundaries are transition region between the
neighboring crystals.
 Grain boundaries may consist of various kinds of
dislocation arrangements.
 These regions are just several atom distances wide.
High and Low Angle Grain Boundaries
 When the misorientation between two grains is
small, the grain boundary is called a small (or low)-
angle boundary. < 20°, generally <10°.
 When the misorientation between two grains is
large, the grain boundary is called a high-angle grain
boundary.
 The magnitude of grain boundary energy is larger for
high-angle grain boundaries.
 Garin boundaries are chemically more reactive
than the grains because of the grain boundary energy.
Angle of misalignment
Angle of misalignment
High-angle
grain
boundary
Small-angle
grain
boundary
131
132
Tilt and Twist Boundaries
 A simple small (or low)-angle grain boundary is formed when edge
dislocations are aligned. This type is called a tilt boundary.
: angle of misorientation
 When the angle of orientation is parallel to the boundary, a twist boundary
results. This boundary can be described by an array of screw dislocations.
 It is possible to produce misorientations between grains by combined tilt
and twist boundaries. In such a case, the grain boundary structure will
consist of a network of edge and screw dislocations.
 
133
134
Low-angle twist boundary
TWIN BOUNDARIES
 Twin boundaries are produced from applied mechanical forces (mechanical twins)
and also during annealing heat treatment (annealing twins).
 Annealing twins are found in metals that have FCC crystal structure.
 Mechanical twins are observed in BCC and HCP metals.
 Twinning occurs on a definite plane and a specific direction.
 Similar to dislocations, twin boundaries tend to strengthen a material.
 There is a mirror lattice symmetry in a twin boundary. The atoms on one side of
the boundary are located in mirror-image positions of the atoms on the other side.
135
STACKING FAULTS
 Stacking faults are found in FCC metals when there is an interruption in the
ABCABCABC... stacking sequence.
 For example: ABCABABC (the layer C is deficient).
 Stacking faults also tend to strengthen the material.
VOLUME DEFECTS
 Volume defects include pores, cracks, foreign inclusions.
 They are normally introduced during processing and fabrication steps.
 The size of a volume defect may range from a few nanometer to centimeters or
sometimes larger.
 Such defects have a tremendous effect on the performance of the material.
136
Solid Solutions (Alloys)
 Solid solution forms when the solute atoms are added to solvent (host) material. Ability to dissolve is
called solubility.
 A solid solution forms when the crystal structure is maintained, and no new structures are formed.
 A solid solution is also homogeneous, the impurity atoms are randomly and uniformly dispersed within the solid.
 Solvent: Element that is present in the greatest amount.
 Solute: Element that is present in a minor concentration.
Substitutional solid solution Interstitial solid solution
Substitutional alloy (e.g., Cu in Ni)
The solute or impurity atoms
replace for the host atoms.
Interstitial alloy (e.g., C in Fe)
The solute or impurity atoms can enter
the interstices or holes in the solvent or
host atom lattice. Interstitial solid
solutions can form when one atom is
much larger than another.
137
Interstitial Solid Solution
 Atomic radius of interstitial impurity must be substantially smaller
than that of the solvent atoms. The atomic radius of the carbon atom
is 0.071 nm; the atomic radius of the iron atom is 0.124 nm.
 Atoms of hydrogen, carbon, nitrogen and oxygen form an
interstitial solid solution due to their small sizes.
 Maximum concentration of interstitial impurity atoms is less than
10% . Carbon forms an interstitial solid solution when added to iron;
the max. concentration of carbon is about 2%.
 Even very small impurity atoms are larger than the interstitial sites.
Thus they introduce some lattice strains on the adjacent host atoms.
138
MICROSCOPIC EXAMINATION
 In most materials, the constituent grains are of microscopic
dimensions, having diameters that may be on the order of microns,
and their details must be investigated using some type of microscope.
 Several microscopic techniques are used in microscopy: optical
microscopy (light microscope) and electron microscopy (SEM-
Scanning Electron Microscope and TEM-Transmission Electron
Microscope).
 Material scientists and engineers use this microscopes to understand
the behavior of materials based on their microstructures, existing
defects, microconstituents, and other characteristics specific to
the internal structure.
139
Optical Microscopy
Optical metallography techniques are used
to study the features and internal makeup
of materials at the micrometer level
(magnification level of around 2000x)
For optical microscopy examinations,
some surface preparations (metallographic
techniques) are necessary.
These techniques include grinding and
polishing (using abrasive paper and
powders) and etching (using an chemical
reagent).
 The specimen surface must first be
ground and polished to a smooth and
mirrorlike finish.
The chemical reactivity of the grains of
polycrystalline materials depends on
crystallographic orientation. Thus, etching
characteristics vary from grain to grain.
Three polished and etched grains reflect
the light at angle different because of
differences in crystallographic orientation.
Microscope
Polished and
etched surface
140
 Since atoms along grain boundary
regions are more chemically active,
they dissolve at a greater rate than
those within the grains.
 These grooves (boşluklar) reflect
light at an angle different.
 Thus grain boundary grooves are
visible as a dark lines.
Optical Microscopy
141
Effect of Etching
142
 Some structural elements are too small to permit observation using
optical microscopy. Under such circumstances the electron
microscope may be employed.
 An image of the structure under investigation is formed using beams
of electrons instead of light radiation.
 SEM (Scanning Electron Microscope): The surface of the
specimen is scanned with an electron beam, and the reflected (back-
scattered) beam of electrons are collected, then displayed at the
screen. Specimen for SEM must be electrically conductive.
 TEM (Transmission Electron Microscope): Image is formed by an
electron beam that passes through the specimen. Details of
microstructure can be observed by TEM. For example; dislocations.
Specimen for TEM is in the form of a very thin foil.
Electron Microscopes
143
GRAIN SIZE
 Affects the mechanical properties of the material.
 The smaller the grain size, the more are the grain boundaries.
 More grain boundaries means higher resistance to slip (plastic
deformation occurs due to slip).
 More grains means more uniform the mechanical properties are.
 Grain structure is usually specified by giving the average
diameter.
 Grain size can be measured by two methods: Intercept method
and ASTM method.
144
Intercept Method
 This is very easy and may be the preferred method for measuring grain size.
 Straight lines all the same length are drawn through several photomicrographs that show
the grain structure.
 The grain intersected by each line segment are counted; the line length is then divided by
an average of the number of grains intersected, taken over all the line segments.
 The average grain diameter is found by dividing this result by the linear magnification of
the photomicrographs.
 Several lines should be drawn to obtain a statistically significant result.
m
5
.
21
)
m
3
.
14
(
2
3
D
m
3
.
14
1000
7
10
10
l
4










Examle: L=10 cm, Nl= 7, M=1000x, D=?
M
N
L
l
l


l
D


2
3 L= length of the line, Nl= number of grain-boundary intercepts
M= magnification, = mean lineal intercept, D= grain size
l

145
ASTM Method
• This method of measuring grain size is common in engineering applications.
1
n
2
N 

N: number of grains per square inch (at 100×)
n: ASTM grain size number
 n < 3 Coarse grained
 4 < n < 6 Medium grained
 7 < n < 9 Fine grained
 n > 10 Ultrafine grained
146
Example:
1
n
2
N 

Solution: a)
b) At magnifications other than 100x, use of the following modified form of
is necessary:
1
n
2
N 

1
n
2
M 2
100
M
N 







NM: number of grains per square inch
at magnification M.
147
Example: Determine the ASTM grain size number if 30 grains per square inch are
measured at a magnification of 250.
1
n
2
M 2
100
M
N 







Solution:
148
Diffusion
147
Text Book: Chapter 5 / Pages 122-149
Diffusion
 Diffusion is the movement of atoms within a material.
 Diffusion takes place in gases, liquids and solids.
 For metallic materials, diffusion is a solid state process.
 Most metallic materials contain large numbers of a lattice
defects. These defects accelerate diffusion.
148
149
150
Diffusion couple
Interdiffusion In an alloy, atoms tend to migrate from regions of high
concentration to regions of low concentration.
(a) A copper–nickel diffusion couple after a high-
temperature heat treatment, showing the alloyed
diffusion zone.
(b) Schematic representations of Cu (red circles) and
Ni (blue circles) atom locations within the couple.
(c) Concentrations of copper and nickel as a function
of position across the couple.
151
A
B
C
D
A
B
C
D
Label some atoms
After some time
152
Selfdiffusion Diffusion also occurs for pure metals, but all atoms
exchanging positions are of the same type.
Diffusion Mechanisms
153
Diffusion is the migration of atoms from lattice site to lattice
site.
The ability of atoms to move is related to
an empty adjacent site
sufficient energy of atoms to break bonds
Diffusion Mechanisms
154
1- Vacancy diffusion
• The number of vacancies increases
as the temperature increases.
Diffusion Mechanisms, cont.,
155
2- Interstitial diffusion
•Because there are more interstitial sites than vacancies, interstitial
diffusion is more rapid than vacany diffusion.
Rate of Diffusion
156
Rate of Diffusion
• The rate of diffusion in a material can be measured by the diffusion flux (J).
• J is the number of atoms passing through a plane of unit area per unit time.
• The units for J are kilograms or atoms per meter squared per second (kg/m2-s
or atom/m2-s)
157
Steady-State Diffusion (Fick’s First Law)
If the diffusion flux does not change
with time, steady state diffusion exist.
FICK’S FIRST LAW- diffusion flux for steady-state diffusion (in one direction):
158
One practical example of steady-state diffusion is found in the purification of
hydrogen gas. One side of a thin sheet of palladium metal is exposed to the impure
gas composed of hydrogen and other gaseous species such as nitrogen, oxygen,
and water vapor. The hydrogen selectively diffuses through the sheet to the
opposite side, which is maintained at a constant and lower hydrogen pressure.
159
(a)Steady-state diffusion across a thin plate.
(b) A linear concentration profile for the diffusion situation in (a).
160
Nonsteady-State Diffusion (Fick’s Second Law)
• Most practical diffusions are nonsteady-state (or dynamic) ones.
• If the diffusion flux changes with time, nonsteady-state diffusion exist.
161
162
163
164
165
166
167
168
Activation Energy for Diffusion
A diffusion atom must past
the surrounding atoms to
reach its new site. In order
to move to a new location,
the atom must overcome
an energy barrier. The
energy barrier is the
activation energy (Q).
Heat supplies the atom
with the energy needed to
exceed this barrier.
Activation energies are
lower for interstitial
diffusion than for vacany
diffusion.
A low activation energy
indicates easy difusion.
169
170
Dependence of the diffusion coefficient on temperature
171
172
173
174
175
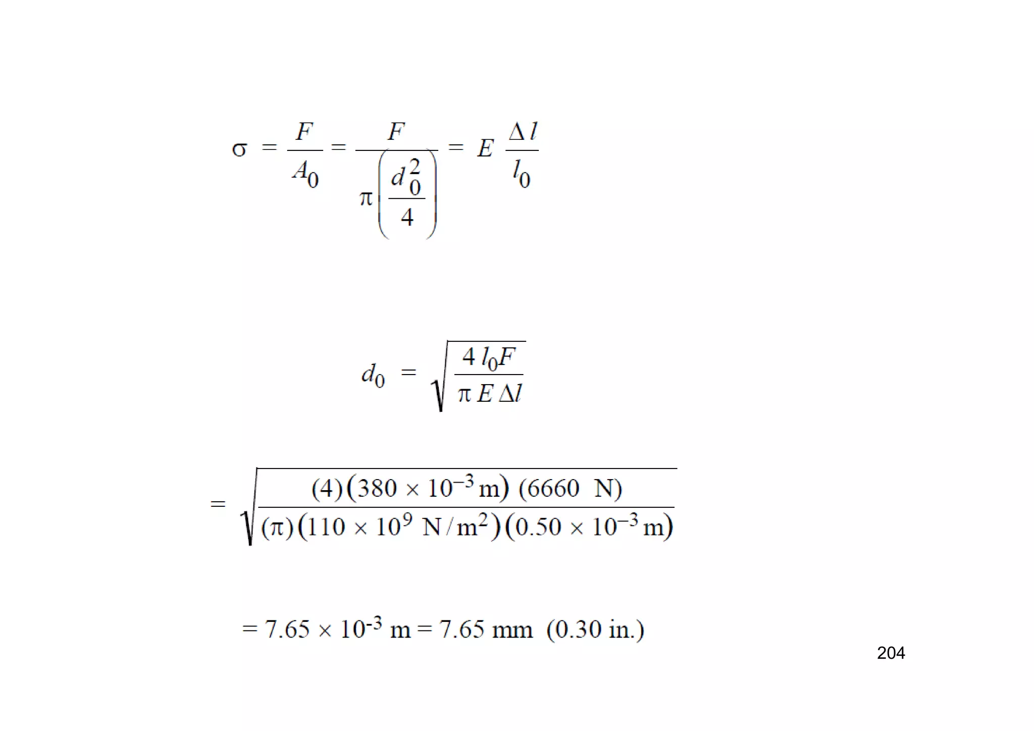
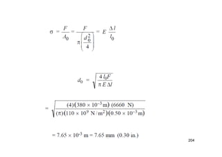
Problems
Q1. At 300°C the diffusion coefficient and activation energy for Cu and in Si
are 7.8×10-11 m2/s and 41.5 kJ/mol. What is the diffusion coefficient at 350°C?
Solution:
176
Problems
Q2. An FCC Fe-C alloy initially containing 0.2 wt% C is carburized at on elevated temperature
and in an atmosphere that gives a surface carbon concentration constant at 1 wt%. If after 49.5 h
the concentration of carbon is 0.35 wt% at a position 4 mm below the surface, determine the
temperature at which the treatment was carried out. (D0= 2.3×10-5 m2/s, Q=148 kJ/mol)
Solution:
z erf(z)
0.90 0.7970
z 0.8125
0.95 0.8209
177
178
Problems
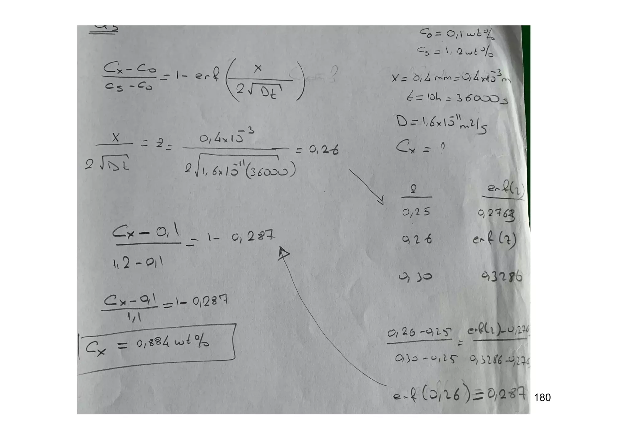
Q3. Carbon from a gaseous phase, with 1.2% carbon, is to be diffused into a steel piece with a
uniform carbon concentration 0.1% at 950°C. The diffusion coefficient of carbon in iron at 950°C
is 1.6×10-11 m2/s. What will be the carbon concentration at 0.4 mm below the surface after 10
hours.
Solution:
z erf(z)
0.25 0.2763
0.26 erf(z)
0.30 0.3286
179
180
PHASE DIAGRAMS
Textbook / Chapter 9 / pp 281-341
255
Definitions and Basic Concepts
 Solubility: The amount of one material that will completely dissolve in a second
material without creating a second phase.
A solid solution consists of atoms of at least two different types; the solute
atoms occupy either substitutional or interstitial positions in the solvent lattice.
250
Definitions and Basic Concepts
 For example, the sugar-water syrup solution is
one phase, and solid sugar is another. Each has
different physical (liquid and solid) and chemical
(pure and solution) properties.
 Water and ice in a container are two phases,
physically dissimilar but chemically the same.
 FCC and BCC structures are separate phases for
a polymorphic material. The three forms of water
– gas, liquid, and solid –
are each a phase.
250
 Phase: A portion of a system that has uniform physical and chemical
characteristics. Every pure material is considered to be a phase; so also is
every solid, liquid, gaseous solution.
Solubility
 Unlimited solubility: When the amount of
one material that will dissolve in a second
material without creating a second phase is
unlimited. Alloys that form from materials that
are completely soluble in each other, e.g. Cu
and Ni are mutually soluble in any amount
(unlimited solid solubility).
Limited solubility: When only a maximum
amount of a solute material can be dissolved
in a solvent material.
 Not all materials are completely soluble.
(e.g. alcohol has unlimited solubility in water,
carbon has a limited solubility in Fe, sugar
has a limited solubility, oil is insoluble).
258
Solubility limit
 Solubility limit: Maximum concentration of solute atoms
that may dissolve in the solvent.
 Addition of solute atoms beyond solubility limit results in
formation another solid solution or compound with different
composition.
Single-phase system: Sometimes its termed
homogeneous.
Two or more phases: They are termed mixtures or
heterogeneous systems. (e.g. water + ice, separated by a
phase boundary.)
259
260
 Equilibrium: A system is at equilibrium if its
characteristics do not change with time. This means the
system is stable. Equilibrium is achieved given sufficient
time, but that may be very long.
 Metastable (yarı dengeli): It is often the case,
especially in solid systems, that a state of equilibrium is
extremely slow; such a system is said to be in a
metastable state.
Phase diagram: Combination of temperature, pressure
or composition for which specific phases exist at
equilibrium. Phase diagrams help understand and predict
microstructures.
•
Definitions and Basic Concepts
Figure 9.2 Pressure–temperature phase diagram for H2O.
Intersection of the dashed horizontal line at 1 atm pressure with the solid–liquid
phase boundary (point 2) corresponds to the melting point at this pressure (T 0C).
Similarly, point 3, the intersection with the liquid–vapor boundary, represents the
boiling point (T 100C). 261
• Another type of extremely common phase diagram is
one in which temperature and composition are
variable parameters, and pressure is held constant—
normally 1 atm.
• There are several different varieties; in the present
discussion, we will concern ourselves with binary
alloys—those that contain two components.
262
Binary Isomorphous System:
Completely Soluble Elements
•Isomorphous phase diagram: A phase diagram in which
components display unlimited solid solubility (complete solubility).
•
•The Cu-Ni system is isomorphous because of this complete liquid
and solid solubility of the two components.
263
264
Liquidus temperature: The temperature at which the first solid begins to form during
solidification.
Solidus temperature: The temperature below which all liquid has completely solidified.
Cu-Ni phase diagram
The ordinate is temperature and the
abscissa represents the composition of
the alloy in weight.
The composition ranges from 0 wt%
Ni (100 wt% Cu) on the left horizontal
extremity to 100 wt% Ni (0 wt% Cu) on
the right.
Three different phase regions appear
on the diagram, an alpha (α) field, a
liquid (L) field, and a two-phase (α+L)
field.
Phases exist over the range of
temperatures and compositions delimited
by the phase boundary lines.
 The liquid (L) is a homogeneous liquid
solution composed of both Cu and Ni.
 The α phase (FCC) is a
substitutional solid solution
consisting of both Cu and Ni atoms.
For a binary system of known composition and temperature
that is at equilibrium, at least three kinds of information
are available:
1. The phases that are present,
2. the compositions of these phases,
3. the percentages or fractions of the phases.
265
1)
266
2)
In all two-phase regions (and in two-phase regions only), one may
imagine a series of horizontal lines, one at every temperature; each
of these is known as a tie line, or sometimes as an isotherm.
These tie lines extend across the two-phase region and terminate
at the phase boundary lines on either side. To compute the
equilibrium concentrations of the two phases, the following
procedure is used:
1. A tie line is constructed across the two-phase region at the
temperature of the alloy.
2. The intersections of the tie line and the phase boundaries on either
side are noted.
3. Perpendiculars are dropped from these intersections to the
horizontal composition axis, from which the composition of each of
the respective phases is read.
267
268
3)
If the composition and temperature position is located within a two-phase
region, things are more complex. The tie line must be utilized in conjunction
with a procedure that is often called the lever rule (or the inverse lever
rule), which is applied as follows:
1. The tie line is constructed across the two-phase region at the temperature of
the alloy.
2. The overall alloy composition is located on the tie line.
3. The fraction of one phase is computed by taking the length of tie line from
the overall alloy composition to the phase boundary for the other phase, and
dividing by the total tie line length.
4. The fraction of the other phase is determined in the same manner.
5. If phase percentages are desired, each phase fraction is multiplied by 100.
When the composition axis is scaled in weight percent, the phase fractions
computed using the lever rule are mass fractions—the mass (or weight) of a
specific phase divided by the total alloy mass (or weight). The mass of each
phase is computed from the product of each phase fraction and the total
alloy mass.
269
270
271
272
273
Equilibrium Cooling
At this point it is instructive to
examine the development of
microstructure that occurs
for isomorphous alloys
during solidification.We first
treat the situation in which
the cooling occurs very
slowly, in that phase
equilibrium is continuously
maintained.
274
Nonequilibrium Cooling
Conditions of equilibrium solidification and the development of microstructures
are realized only for extremely slow cooling rates. The reason for this is that
with changes in temperature, there must be readjustments in the
compositions of the liquid and solid phases in accordance with the phase
diagram (i.e., with the liquidus and solidus lines), as discussed.
These readjustments are accomplished by diffusional processes—Diffusion is
a time-dependent phenomenon (Section 5.3), to maintain equilibrium during
cooling, sufficient time must be allowed at each temperature for the
appropriate compositional readjustments.
Diffusion rates are especially low for the solid phase and, for both phases,
decrease with diminishing (azalan) temperature.
In virtually all practical solidification situations, cooling rates are much too rapid
to allow these compositional readjustments and maintenance of equilibrium;
consequently, microstructures other than those previously described
develop.
275
Nonequilibrium
Cooling
276
277
Another type of common and relatively simple phase diagram found for binary
alloys is shown in Figure 9.7 for the copper–silver system; this is known as
a binary eutectic phase diagram.
278
Binary Phase Diagram for
partially soluble elements or compounds
279
It is much more common to find that solids are partly soluble in one another rather than be
either completely soluble or completely insoluble. Cu–Ag, Pb-Sn systems display this behavior.
Three single-phase regions: α, β, and liquid. The α-phase is a solid solution rich in A
atom; it has B atom as the solute component. Otherwise in β-phase solid solution, A is the
solute.
There are also three two-phase regions found for the system: The α+L, β+L and α+β.
Solvus line: The solid
solubility limit line
separating the α (or β)
and α+β phase regions.
Eutectic point: The
lowest melting point of
any composition for the
alloy.
280
281
282
283
284
285
286
287
Eutectic Reaction
 Eutectic means easily fused. Upon cooling, liquid phase is transformed into the solid  and
solid  phases at the temperature TE (eutectic temperature). This is called a eutectic reaction..
 The phase diagram for lead–tin
(Pb-Sn) is an example of eutectic
system. In this diagram solid
solutions phases are designated
by  and .
  represents a solid solution of
tin in lead and  represents a solid
solution of lead in tin.
 The eutectic point is located at
61.9 wt% Sn + 38.1 wt% Pb
(eutectic composition) and 183C
(eutectic temperature).
 Eutectic composition freezes
at a lower temperature than all
other composition!!!
327°C
232°C
Pb-Sn phase diagram
2
On this diagram, at 0ºC, only 2% Sn can dissolve in α. As the temperature increases, more
Sn dissolves into the Pb until, at 183ºC, the solubility of Sn in Pb has increased to 19% Sn.
This is the maximum solubility of Sn in Pb.
Eutectic alloy
Pb-Sn Phase Diagram (Eutectic Phase Diagram)
289
Solidification and microstructure of a
Pb-2% Sn alloy. The alloy is a single-
phase solid solution.
 Alloys that contain 0 to 2% Sn
behave exactly like the Cu-Ni alloys; a
single-phase solid solution α forms
during solidification.
Solidification, precipitation, and microstructure
of a Pb-10% Sn alloy. Some dispersion
strengthening occurs as the β solid precipitates.
 Alloys containing between 2% and 19% Sn
also solidify to produce a single solid solution
α. However, as the alloy continues to cool, a
solid state reaction occurs, permitting a second
solid phase (β) to precipitate from the original α
phase.
290
291
292
Hypoeutectic and Hypereutectic Alloys
293
A hypoeutectic alloy is an alloy
whose composition will be between
that of the left-hand-side end of the
tie line defining the eutectic
reaction and eutectic composition.
In the Pb-Sn system, any
composition between 19% and
61.9% Sn is hypoeutectic.
A hypereutectic alloy is an alloy
whose composition will be between
that of the right-hand-side end of
the tie line defining the eutectic
reaction and eutectic composition.
In the Pb-Sn system, any
composition between 61.9% and
97.5% Sn is hypereutectic.
Hypoeutectic and hypereutectic microstructures
294
A hypoeutectic Pb-Sn alloy A hypereutectic Pb-Sn alloy
The dark constituent is the lead-rich solid α, the light constituent
is the Sn-rich solid β, and the fine plate structure is the eutectic.
eutectic
eutectic
β
α
295
296
297
298
299
300
301
302
303
304
305
306
307
308
309
310
311
312
313
314
315
316
End of the chapter
317
IRON-CARBON
PHASE DIAGRAMS
Textbook / Chapter 9 / pp
250
251
 Eutectoid reaction is important in heat treatment of steels.
 Eutectic reaction is important for cast irons.
The Iron-Carbon Phase Diagram
100%
100%
252
Austenite (): The interstitial solid solution of carbon in  iron is called austenite. Austenite
has an FCC crystal structure and a much higher solid solubility for carbon than α-ferrite. The
solid solubility of carbon in austenite is a max. of 2.14% at 1147 C and decreases to 0.76%
at 727C. FCC has larger interstitial sites.
The solubility is about 100 times greater in austenite than in ferrite because of the larger
hole in FCC unit cells.
Solid Phases in Fe-C
Phase Diagram
α-ferrite: This phase is
an interstitial solid
solution of carbon in the
BCC iron crystal lattice.
Carbon is only slightly
soluble in a α-ferrite,
reaching a max. solid
solubility of 0.022% at
727C. The solubility of
carbon in α-ferrite
decreases to 0.005% at
0C. BCC has relatively
small interstitial sites.
253
  ferrite: The interstitial solid solution of carbon in  iron is called  ferrite. It has a BCC
crystal structure like α-ferrite but with a greater lattice constant. The max. solid solubility of
carbon in  ferrite is 0.09% at 1493C.
Cementite: The intermetallic compound Fe3C (iron carbide) is called cementite. Cementite
has a composition of 6.7% C and 93.3% Fe. Cementite is a hard and brittle compound.
Solid Phases in Fe-C Phase Diagram
254
Reactions in the Fe- C Phase Diagrams
 Eutectic reaction- At the eutectic reaction point, liquid of 4.3% C forms 
austenite of 2.14% C and the intermetallic compound Fe3C (cementite) which
contains 6. 7% C. This reaction which occurs at 1147 C.
 Eutectoid reaction- At the eutectoid reaction point, solid austenite of 0.76% C
produces α-ferrite with 0.022% C and Fe3C (cementite) which contains 6.7% C.
This reaction which occurs at 727C.
 Steel which contains 0.76% C is called a eutectoid steel..I
 If a steel contains less than 0.76% C, it is termed a hypoeutectoid steel.
 If a steel contains more than 0.76% C, it is termed a hypereutectoid steel.
 
C
%
wt
3
.
4
L    
C
%
wt
70
.
6
C
Fe
C
%
wt
14
.
2 3


255
Slow Cooling of Eutectoid Steels
 If a sample of a 0.76%
(eutectoid) steel is heated
to about 750C (at point a)
and held for a sufficient
time, its structure will
become homogeneous
austenite. This process is
called austenitizing.
 If this steel is then
cooled very slowly to just
below the eutectoid
temperature (at point b),
austenite transform to α-
ferrite and cementite
(Fe3C). This lamellar
structure is called pearlite.
256
Microstructure of Eutectoid Steel
Carbon atoms diffuse away from 0.022
wt% ferrite regions and to the 6.7 wt%
cementite layers, as the pearlite extends
from the grain boundary into the unreacted
austenite grain.
The layered pearlite forms because
carbon atoms need diffuse only minimal
distances with the formation of this structure.
Growth and structure of pearlite:
redistribution of carbon and iron
Pearlite microstructure: In the
micrograph, the dark areas are Fe3C
layers, the light phase is α-ferrite
257
Microstructure of Hypoeutectoid Steel
If a sample which has Co% C is heated to
point C, its structure will become austenite.
Then, if this steel is slowly cooled to
temperature d, proeutectoid ferrite will
nucleate and and grow at the austenitic grain
boundaries.
If this alloy is slowly cooled from temperature
d to e, the amount of proeutectoid ferrite formed
will continue. While the steel is cooling from d to
e, the carbon content of the remaining austenite
will be increased from 0.4% to 0.76%. At 727C,
the remaining austenite will transform into
pearlite by the eutectoid reaction:
   + Fe3C (Pearlite)
The  ferrite in the pearlite is called eutectoid
ferrite to distinguish it from the preeutectoid
ferrite which forms first above 727C.
 + Fe3C
α + Fe3C

α
α
Hypoeutectoid steel contains proeutectoid
ferrite formed above eutectoid temperature
and pearlite that contains eutectoid ferrite
and cementite.
proeutectoid α
pearlite
258
Microstructure of Hypereutectoid Steel
If a sample which contains C1% C is heated
to point g, its structure will become all
austenite.
Then, if this steel is cooled very slowly to
temperature h, proeutectoid cementite will
begin to nucleate and grow at the austenit
grain boundaries.
With further slow cooling to just above 727
C, the carbon content of the austenite
remaining in the alloy will change from 1.2 to
0.76%.
With still further slow cooling to temperature,
the remaining austenite will transform to
pearlite by the eutectoid reaction.
The cementite formed by the eutectoid
reaction is called eutectoid cementite to
distinguish it from the proeutectoid cementite
formed at temperature above 727C
 + Fe3C
α + Fe3C
α + 

Hypereutectoid steel contains proeutectoid cementite
(formed above eutectoid temperature) plus pearlite that
contains eutectoid ferrite and cementite.
proeutectoid Fe3C
pearlite
259
Calculation of the Relative Amounts of
Proeutectoid Phase (α) and Pearlite
 
 
 
 
022
.
0
7
.
6
C
7
.
6
X
V
U
T
X
V
U
W 0













 

 W
W
W pearlite
in
Hypoeutectoid alloy of composition C'0
Fraction of pearlite:
Fraction of proeutectoid ferrite:
Fraction of total ferrite:
Fraction of Ferrite in pearlite (eutectoid α):
260
Calculation of the Relative Amounts of
Proeutectoid Phase (Fe3C) and Pearlite
 
 
 
 
022
.
0
7
.
6
022
.
0
C
X
V
U
T
V
U
T
W 1











C
Fe
C
Fe
pearlite
in
C
Fe 3
3
3 W
W
W 


Hypereutectoid alloy of composition C'1
Fraction of pearlite:
Fraction of proeutectoid cementite:
Fraction of total cementite:
Fraction of cementite in pearlite (eutectoid Fe3C):
261
Example: Calculate the amounts of ferrite and cementite present in pearlite.
Solution: Since pearlite must contain 0.76% C, using the lever rule:
%
1
.
11
100
022
.
0
7
.
6
022
.
0
76
.
0
%
C
Fe
%
9
.
88
100
022
.
0
7
.
6
76
.
0
7
.
6
%
3 










262
Example: Solution:
(b)
39
.
0
56
.
0
95
.
0
W
W
W pearlite
in





 


(c)
The Influence of Other Alloying Elements
 Additions of other alloying elements alter iron-
carbon phase diagram.
 The extent of these alterations of the positions
of phase boundaries and the shapes of the
phase fields depends on the particular alloying
element and its concentration.
 One of the important changes is the shift in
position of the eutectoid with respect to
temperature and to carbon concentration.
263
PROBLEMS (Callister, pp. 304-310)
264
Solution:
a) The proeutectoid phase is Fe3C since 0.95 wt% C >
0.76 wt% C (the eutectoid composition).
b) Total ferrite:
Total cementite:
c)
d)
PROBLEMS (Callister, pp. 304-310)
265
Solution:
PROBLEMS (Callister, pp. 304-310)
266
Solution:
a)
b)
c)
PHASE TRANSFORMATION IN METALS
267
 Phase transformations are important in the processing of materials, and
usually they involve some alteration of the microstructure.
 With phase transformations, normally, at least one new phase is formed
that has different physical/chemical characteristics and/or a different structure than
the parent phase.
TTT (Time-Temperature-Transformation) Diagrams
 TTT diagrams describe the time required at any temperature for a phase
transformation to begin and end.
 Isothermal transformation diagrams
 Continuous cooling transformation diagrams
 Isothermal transformation: The amount of a transformation at a particular
temperature depends on the time (temperature is hold constant during
transformation).
268
Isothermal Transformation Diagrams: Pearlite Transformation
 Both the time and temperature
dependence of the austenite-to-pearlite
transformation is in the bottom of the Figure.
 The vertical and horizontal axes are,
respectively, temperature and logarithm of
time.
 Two solid curves are plotted.
 One represents the time required
at each temperature for the start of
the transformation.
The other is for the transformation
conclusion.
 The dashed curve corresponds to
50% of transformation completion.
 These curves were generated from a
series of plots of the percentage
transformation versus the logarithm of
time taken over a range of temperatures.
 The S-shaped curve (for 675ºC), in the
upper portion of the Figure, illustrates how
the data transfer is made.
269
 Very rapid cooling
of austenite to a
temperature is
indicated by the
near-vertical line AB.
 Isothermal
treatment at this
temperature is BCD.
 Transformation of
austenite to pearlite
begins at the
intersection, point C
after approximately
3.5 second.
 Transformation of
austenite to pearlite
finishes at point D,
after about 15 s.
Isothermal Transformation Diagrams: Pearlite Transformation
270
Microstructure of Pearlite
coarse pearlite fine pearlite
 Ferrite and cementite layer thickness in the pearlite depends on the
temperature which isothermal transformation occurs.
 Transformation at high temperatures: thick layers of ferrite and cementite
are produced. This is called coarse pearlite. At these temperatures diffusion
rates is high.
 Transformation at low temperatures: the carbon diffusion rate decreases
and the layers become thinner. This is called fine pearlite. Fine pearlite is
produced at 540 C.
271
 In addition to pearlite, other
microconstituents that are products of the
austenitic transformation exist, one of
these is called bainite.
 The microstructure of bainite
consists of ferrite and cementite
phases and is diffusional processes.
 Bainite forms as needles or plates,
depending on the temperature of the
transformation.
 All three curves have nose at point N,
where the rate of transformation is a
maximum.
 Pearlite forms above the nose (over
the temperature range of 540 to 727C.
 Bainite forms at temperatures
between 215 to 540C.
Isothermal Transformation Diagrams: Bainite Transformation
Isothermal transformation diagram for an
iron-carbon alloy of eutoctoid composition,
including austenite-to-pearlite (A-P) and
austenite-to-bainite (A-B) transformations.
272
Bainitic Microstructure
 T ~ 350-540°C, upper bainite consists of needles of ferrite separated by long
cementite particles.
 T ~ 215-350°C, lower bainite has thin plates of ferrite and fine rods of cementite.
Upper bainite Lower bainite
Martensitic transformation
 If a sample of a steel in the austenitic condition is rapidly cooled (or quenched) to
room temperature its structure will be changed from austenite to martensite.
 Austenite-to-martensite is diffusionless and fast. Since martensite is a metastable
phase, it does not appear in phase Fe-C phase diagram. However, it is represented on
the isothermal transformation diagram.
 The martensitic transformation occurs when the quenching rate is rapid enough to
prevent carbon diffusion. Since the transformation takes place so rapidly that the atoms
do not have time to intermix. Any diffusion whatsoever will result in the formation of
ferrite and cementite phases.
273
 Martensite has body-centered tetragonal (BCT: (like BCC, but
one unit cell axis longer than other two)) structure.
 Of the various microstructures in steel alloys martensite is the
hardest, strongest but most brittle.
 Martensite needs to be tempered to get better ductility.
 Tempering is the process of heating a martensitic steel at a
temperature below the eutectoid transformation temperature to
make is softer and more ductile.
 The beginning of martensitic
transformation is represented by a
horizontal line labeled M (start).
 Two other horizontal and dashed
lines, labeled M(50%) and M(90%),
indicate percentages of the austenite
to martensite transformation.
 The horizontal and linear character
of these lines indicates that the
martensitic transformation is
independent of time.
 Consider an alloy of eutectoid
composition that is very rapidly cooled
from a temperature above 727°C to,
say, 165°C. 50% of the austenite will
transform to martensite; and as long
as this temperature is maintained,
there will be no further transformation.
 100% martensite transformation lies
below the ambient for an Fe-C alloy of
eutectoid composition.
274
A: Austenite P: Pearlite
B: Bainite M: Martensite
Martensitic transformation
275
Martensitic Microstructure
Martentite needles
Austenite
60
m
 Martensite grains take o a
plate-like or needle-like
appearance.
 The austenite in the photo is
retained austenite that did not
transform during the rapid
quench.
 Martensite as well as other
microconstituents (e.g., pearlite)
can coexist.
276
Example
Using the isothermal transformation diagram for an Fe-C alloy of eutectoid composition, specify the nature of
the final microstructure (in terms of microconstituents present and approximate percentages) of a small
specimen that has been subjected to the following time-temperature treatments. In each case assume that
the specimen begins at 760 °C and that it has been held at this temperature long enough to have achieved a
complete and homogeneous austenitic structure.
Solution
277
Example: Continued
278
CCT (Continuous Cooling Transformation) DIAGRAMS
 Isothermal heat treatments are not the
most practical because an alloy must be
rapidly cooled to and maintained at an
elevated temperature from a higher
temperature above the eutectoid.
 Most heat treatments for steels involve
the continuous cooling of a specimen to
room temperature.
 For continous cooling, the time
required for a reaction to begin and end is
delayed. Thus the isothermal curves
are shifted to longer times and lower
temperatures.
 The transformation starts after a time
period corresponding to the intersection
of the cooling curve with the beginning
reaction curve and concludes upon
crossing the completion transformation
curve.
279
CCT (Continuous Cooling Transformation) DIAGRAMS
 Normally, bainite will not form when an alloy
of eutectoid composition or any plain carbon
steel is continuously cooled to room
temperature.
 This is because all the austenite will have
transformed to pearlite by the time the bainite
transformation has become possible.
 Thus, the region representing the austenite-
pearlite transformation terminates just below
the nose (see Fig.) as indicated by the curve
AB.
 For any cooling curve passing through AB in
the Fig., the transformation ceases (stops) at
the point of intersection; with continued
cooling, the unreacted austenite begins
transforming to martensite upon crossing the M
(start) line.
 M (start), M (50%), and M (90%) lines occur
at identical temperatures for both isothermal
and continuous cooling transformation
diagrams.
280
CCT (Continuous Cooling Transformation) DIAGRAMS
 The critical quenching rate is the
minimum rate of quenching.
 Only martensite will exist for
quenching rates greater than the
critical.
 This critical cooling rate will just miss
the nose at which pearlitic transformation
begins.
 There will be a range of rates over
which both pearlite and martensite are
produced.
 Totally pearlitic structure developes for
low cooling rates.
281
PROBLEMS (Callister, pp. 352-357)
 From the Fig., a horizontal line at 675°C
intersects the 50% and reaction completion
curves at 80 and 300 seconds, respectively.
 These are the times asked for in the
problem statement.
Solution:
282
PROBLEMS (Callister, pp. 352-357)
Solution:
283
PROBLEMS (Callister, pp. 352-357)
Solution:
MECHANICAL PROPERTIES
OF METALS
Text Book: Chapter 6 / Pages 151-195
FAILURE
Text Book: Chapter 8 / Pages 235-279
174
MECHANICAL TESTING AND PROPERTIES
TYPES OF LOADING
 Deformation occurs when forces are applied to a material.
 There are three principal ways in which a load may be applied: tension,
compression and shear. However, many loads are torsional rather than pure
shear.
Tension Load: As the ends of material are pulled apart to make the
material longer, the load is called a tension load.
Compression Load: As the ends of material are pushed in to make the
material shorter, the load is called a compression load.
Shear Load: The load imposed parallel to the upper and lower faces.
Torsion is a variation of pure shear, wherein a structural member is twisted.
Torsional forces produce a rotational motion about the longitudinal axis of
one end of the member relative to the other end.
175
MECHANICAL TESTING AND PROPERTIES
Compression
Tension
Dashed lines represent the
shape before deformation,
solid lines after deformation.
How a tensile load
produces an elongation
How a compressive load
produces contraction
F: axial force
A0: cross-sectional area
A0 perpendicular to F.
lo: original length
l : final length.
176
Stress - Strain
• Forces are measured in Newtons (N), so stress has the dimensions of N/m2 or
Pa. But a stress of 1 N/m2 is tiny, so the usual unit is MN/m2 (106N/m2), called
Mega Pascals, symbol MPa.
• Strain is the response of materials to stress, since strain is the ratio of two
lengths, it is dimensionless. Strain can be negative for compressive loads.
Shear Stress – Shear Strain
Stress (σ): Force per unit area.
Strain (ε): Amount of deformation per unit length.
 = F/A0
 = (l - l0)/l0 = l/l0
Shear stress:  = F/A0
F is applied parallel to upper and
lower faces each having area A0.
Shear strain:  = tan  = w/l0
 is strain angle.
l0
w
Torsional deformation
Sher strain 177
ELASTIC DEFORMATION
Modulus of Elasticity & Hooke’s Law
 Deformation in which stress and strain are
proportional is called elastic deformation.
Hooke’s Law:
 The constant of proportionality E is the modulus
of elasticity or Young’s Modulus.
 The slope of linear region of stress-strain curve
corresponds to the modulus of elasticity.
 The modulus of elasticity is stiffness or materials
resistance to elastic deformation. The greater
the modulus, the stiffer the material (or smaller the
elastic strain produced applied load).
Linear elastic deformation for
loading and unloding cycles


 .
E
178
Relationship between shear stress and shear strain for elastic deformation
 Shear stress and shear strain are proportional each other.
The constant of proportionality G is the shear modulus.
E = 2G(1 + )
which gives G ≈ 0.4E for most metals


 .
G
Poisson’s Ratio
 Poission’s ratio is defined as the ratio of the lateral
and axial strains.
 If the applied stress is uniaxial (only in the z direction),
and the material is isotropic, then εx= εy.
 For the isotropic materials the shear and elastic
moduli are related to each other and to Poisson’s ratio.
 Poisson’s ratio ranges between 0.25 to 0.35.
z
y
z
x









 


 1
G
2
E
Axial (z) elongation (positive strain)
and lateral (x and y) contractions
(negative strains) in response to an
imposed tensile stress. Solid lines
represent dimensions after stress
application; dashed lines, before. 179
Room-Temperature Elastic and Shear Moduli, and Poission’s Ratio for
Various Metal Alloys
Example:
    
in
03
.
0
mm
77
.
0
MPa
10
110
mm
305
MPa
276
E
l
l
E
l
l
E
3
0
0















 




Solution:
180
Example:
0
0
i
0
x
0
0
i
0
z
d
d
d
d
d
l
l
l
l
l 









Solution: This deformation situation is represented in the accompanying drawing.
 
  
 
)
lb
1293
(
N
5600
2
m
10
10
m
/
N
10
3
.
71
2
d
A
F
MPa
3
.
71
MPa
10
97
10
35
.
7
E
10
35
.
7
34
.
0
10
5
.
2
10
5
.
2
mm
10
mm
10
5
.
2
d
d
f
2
3
2
6
2
o
0
3
4
z
4
4
x
z
4
3
0
x









 














































For brass E= 97GPa (14×106 psi), µ=0.34
181
Elastic deformation
Reversible: (nonpermenant deformation)
Stress removed  material returns to original shape
 Plastic deformation
Irreversible: (permenant deformation)
Stress removed  material does not return to original dimensions.
PLASTIC DEFORMATION
Stress-Strain Behavior (Tension)
Tensile test apparatus
Stress-strain diagram
The specimen is elongated
by the moving crosshead;
load cell and extensometer
measure, respectively, the
magnitude of the applied
load and elongation.
182
TENSILE TEST
 Tensile test determines the several mechanical properties materials such as strength,
ductility, and toughness.
 A standard tensile specimen can be circular or rectangular shape.
A standard tensile specimen with circular cross section
Extensometer
Specimen
Grip
Grip
 For circular specimen, the standard diameter is 12.8 mm,
length is 60 mm, and gauge length is 50 mm.
 The specimen is mounted by its ends into the holding grips
of the testing apparatus.
 Applied load is measured by a load cell, and the resulting
elongations are measured by using an extensometer.
 Standard test specimens are pulled slowly and at uniform
rate in a testing machine.
 This test takes several minutes to perform and is
destructive.
183
ENGINEERING STRESS-ENGINEERING STRAIN CURVE
The applied stress versus the strain
or elongation of the specimen
shows the initial elastic response of
the material, followed by yielding,
plastic deformation and finally
necking and failure. Several
measurements are taken from the
plot, called the Engineering
Stress-Strain Diagram. These
include:
 Modulus of elasticity
 Yield strength
 Tensile strength
 Modulus of resilience
 Failure stress
 Ductility
 Toughness
184
ENGINEERING STRESS-STRAIN CURVE
185
Necking and Failure
186
ENGINEERING STRESS-ENGINEERING STRAIN CURVE
0
l
l
length
original
length
in
change
strain
g
Engineerin
:





0
A
P
area
original
force
applied
stress
g
Engineerin
:




Elastic Plastic
UTS
Yield Fracture

ε
l0
lu
lf
l0
187
Determination of Yield Strength
%0.2 strain offset method
Stress-strain behavior
found for some steels
demonstrating the yield
point phenomenon
Sometimes yield strength
may not be determined
precisely (exactly).
In this case, to determine
yield strength, straight line is
drawn parallel to the elastic
portion of stress-strain curve
at strain of 0.002 point.
The stress corresponding
to the intersection of this
line and the stress-strain
curve is the yield strength.
188
Determination of Tensile Strength (UTS)
TS = Fmax/A0
189
Ductility
• Ductile materials experience plastic
deformation.
• A material that experiences very little or no
plastic deformation upon fracture is termed
brittle.
• If the strain  5%, the material is brittle.
• Ductility may be expressed as either
percent elongation or percent
reduction in area.
190
lf: fracture length, lo: original length, Af: cross sectional
area at the point of fracture, Ao: original cross sectional
area
191
Resilience
• Resilience is the capacity of a material
to absorb energy when it is deformed
elastically and then, upon unloading, to
have this energy recovered. The
associated property is the modulus of
resilience, Ur, which is the strain energy
per unit volume required to stress a
material from an unloaded state up to the
point of yielding.
192
 Ur is the area under the
stress-strain curve taken to
yielding.
Resilience, cont.
• For SI units, this is joules per cubic meter (J/m3, equivalent
to Pa)
• Thus, resilient materials are those having high yield
strengths and low moduli of elasticity; such alloys would be
used in spring applications.
193
TOUGHNESS
 Toughness is absorbed
energy up to fracture.

 It is the area under the
stress-strain curve up to the
point of fracture.
 The units of toughness is
J/m3 .
 For a material to be tough, it
must display both strength
and ductility.
 Often, ductile materials are
tougher than brittle ones
194
TOUGHNESS
 For ductile materials if the stress-strain curve is not available, the
toughness can be calculated by multiplying the average of the yield strength and
tensile strength by the strain at fracture.
 For brittle materials like cast iron, concrete the toughness is determined
by multiplying two thirds of the ultimate strength by the strain at fracture.
 
  f
UTS
YS e
.
2
/
Toughness 



f
UTS e
.
.
3
2
Toughness 

195
Example: From the tensile stress-strain behaviour for the brass specimen in the Figure below,
determine the following:
196
Solution:
a)
1
2
1
2
slope
E













  )
psi
10
6
.
13
(
GPa
8
.
93
0
0016
.
0
0
150
E 6






   
f
2
3
2
6
2
0
0 lb
000
,
13
N
900
,
57
2
m
10
8
.
12
m
/
N
10
450
2
d
A
F 









 














c)
For 345 MPa, ε= 0.06 mm approximately from the stress-strain curve. Therefore,
d)
    
in
6
.
0
mm
15
mm
250
06
.
0
l
l 0 





197
Example:
198
TRUE STRESS-TRUE STRAIN CURVE
 The engineering stress is on the basis of the original cross-sectional area before any
deformation, and does not take into account the reduction in area at the neck.
 True stress (σT) is defined as the load (F) divided by the instantaneous cross-sectional area
(Ai) over which deformation is occuring (i.e., the neck, past the tensile point).
i
T
A
F
:
stress
True 

0
i
T
l
l
ln
:
strain
True 

If no volume change occurs during deformation, that is, if
0
0
i
i l
A
l
A 
True and engineering stress and strain are related according to
 




 1
T  



 1
ln
T
199
COMPRESSION TEST
A compression test is conducted in a manner similar to the tensile test except that the force is
compressive and the specimen contracts along the direction of the stress.
Tensile test are more common. Compression tests are
used when the material is brittle in tension.
Brittle materials such as cast irons usually reach much
higher ultimate stresses in compression than in tension.
The brittle fracture is performed by separation and is
not accompanied by noticeable plastic deformation.
The ductile materials such as steel, Al, and Cu
have stress–strain diagrams similar to ones which for
tensile test.
When a small specimen of the ductile material is
compressed, it begins to bulge on sides and
becomes barrel shaped as shown in the figure
above.
With increasing load, the specimen is flattened out,
thus offering increased resistance to further
shortening (which means that the stress – strains
curve goes upward) this effect is indicated in the
diagram.
Brittle materials Ductile materials
200
PROBLEMS (From Callister, chapter 6, page 189)
Solution
a)
b)
201
202
a)
b)
PROBLEMS (From Callister, chapter 6, page 189)
Solution
203
204
PROBLEMS (From Callister, chapter 6, page 190)
Solution
a)
b)
205
206
Or, solving for Δl (and realizing that E = 69 GPa, Table 6.1), yields
a)
PROBLEMS (From Callister, chapter 6, page 190)
207
Solution
208
PROBLEMS (From Callister, chapter 6, page 191)
209
Solution
210
211
Solution
a)
PROBLEMS (From Callister, chapter 6, page 191)
212
213
214
215
PROBLEMS (From Callister, chapter 6, page 191)
Solution
a)
b)
216
HARDNESS
 Hardness is another mechanical property.
 Hardness is a measure of material’s resistance to localized plastic deformation (i.e., a
small dent or a scratch).
 Hardness tests are simple, cheap, nondestructive.
Hardness Techniques
Rockwell Hardness Test
Brinell Hardness Test
Vickers Hardness Test
Knoop and Vickers Microhardness Tests
Application of Hardness Test
 Small indenter is forced into the
surface of material to be tested under
controlled conditions of load.
 The depth or size of the resulting
indentation is measured which is
related to hardness number
 The softer the material, the larger and
deeper the indentation, and the lower
the hardness number.
217
Rockwell Hardness Test
Rockwell Hardness Scales Superficial Rockwell Hardness Scales
 It is the most common method.
 Indenters include spherical hardened steel balls having diameters of 1.5, 3, 6,
and 12.7 mm and a conical diamond indenter.
 In this system, first initial minor load which enhances test accuracy and then
major load are applied into the surface of material.
 There are two types of test: Rockwell and superficial Rockwell which are
frequently performed on thin specimens.
 For Rockwell, the minor load is 10 kg, whereas major loads are 60, 100 and 150
kg. Each scale is represented by a letter of alphabet.
 For superficial tests, 3 kg is the minor load; 15, 30 and 45 kg are major loads.
 For example, 80 HRB represents a Rockwell hardness of 80 on the B scale and
60 HR30W indicates a superficial hardness of 60 on the 30W scale.
 Rockwell scales are also designated by an R. For example Rc indicates the Rockwell C scale.
218
Brinell Hardness Test
Indenters include spherical hardened steel or tungsten carbide balls having
diameter of 10 mm.
Standard loads range between 500 and 3000 kg.
The resulting impression (indentation) is observed under microscope and
measured; this measurement and then converted into a hardness number.
 Other mechanical properties may be estimated from hardness data, such as
tensile strength: Tensile strength (MPa) = 3.45×HB
219
Vickers Hardness Test
 Indenter used in this test is a pyramidal shaped diamond. Loads vary from 1 kg to
120 kg.
 After impression has been made, the size of the impression is measured by using
microscope. Both diagonals of the square impression are measured and the
average length of diagonals is used in the determination of the hardness number.
 P is the applied load in kg and d1 is average length of diagonals of the square
impression.
P: kg;
D, d: mm
220
Knoop and Vickers Microhardness Tests
For each test a very small diamond indenter having pyramidal geometry is forced into the
surface of the specimen.
Applied loads are much smaller than for Rockwell and Brinell, ranging between 1 and
1000 g.
The resulting impression (indentation) is observed under microscope and measured; this
measurement and then converted into a hardness number.
Knoop is used for testing brittle materials such as ceramics.
P: kg;
d1, l: mm
l: long diagonal length
d1, : average diagonal length
Vickers microhardness Knoop microhardness
221
FRACTURE
 Fracture: Separation of a material into two or
more pieces in response to imposed stress.
 For engineering materials, two fracture modes
are possible: ductile and brittle.
 Ductile materials: extensive plastic deformation
with high energy absorption (“toughness”) before
fracture.
 Brittle materials: little plastic deformation with
low energy absorption before fracture.
A.Very ductile: soft metals (e.g. Pb,
Au) at room temperature.
B.Moderately ductile fracture: typical
for metals.
C.Brittle fracture without any plastic
deformation: ceramics, cold worked
metals.
Cup and cone fracture
in aluminium
Brittle fracture in
a mild steel
222
Tensile test could not extrapolated to predict the fracture behaviour.
 Impact testing was commonly used to assess fracture characteristics of materials.
The Charpy and Izod impact tests (standardized tests) are commonly used for
this purpose. A notched bar of square cross section is placed in the test machine,
and then the hammer is allowed to fall and break it. The energy absorbed in
fracture, that can be computed from the difference between h and h’, is
measured.
IMPACT TESTING
10
mm
10 mm
8
mm
Charpy test
Izod test
notch
Specimen used
for Charpy and
Izod impact tests
Impact test
aparatus
223
Ductile-to-Brittle Transition
For many materials, the impact energy is
correlated with the toughness determined in
a tensile test (area under the stress-strain
curve). However, as temperature drops,
some materials show a transition from ductile
to brittle behavior.
Impact test determine whether or not a
material experiences a ductile-to-brittle
transition with decreasing temperature.
Temperature at which a material changes
from ductile to brittle failure is called
transition temperature.
Transition temperature is usually taken as
the point where 50% of the fracture is brittle.
IMPACT PARAMETERS
 Test Temperature
 Specimen Geometry
 Crack or Notch length
 Impact Energy (measured energy after fracture as a potential energy)
As temperature
decreases a ductile
material can
become brittle
224
Transition Temperature
Materials must be used above their ductile to brittle transition
temperatures to avoid brittle failure.
Classic examples of this type failure occurred during World War II
when a number of welded transport ships suddenly split in half. The
ships were constructed of a steel alloy that has adequate ductility
according to room-temperature tensile test. The brittle fractures
occurred at relatively low temperatures, at about 4 C, in the vicinity
of the transition temperature of the alloy.
225
Transition Temperature
Low strength FCC metals (some
aluminium and copper alloys) and HCP
metals generally remain ductile at all
temperatures because there are many
slip planes available. They do not
experience ductile-to-brittle transition
with decreasing temperature.
For high strength materials, the
impact energy is also insensitive to
temperature. These materials have low
impact energy values and very brittle.
Low strength steels that have BCC
crystal structure experience ductile-to-
brittle transition.
Grain size reduction decreases the
transition temperature of steels.
226
Increasing the carbon content of the steels raises the transition temperature.
Transition Temperature
227
FATIGUE
In many applications, materials are subjected to vibrating or oscillating
forces. The behavior of materials under such load conditions differs from
the behavior under a static load.
The material is subjected to repeated load cycles (fatigue) in actual use.
Fatigue is a form of failure that occurs in structures subjected to
dynamic and fluctuating (variable) stresses (e.g., bridges, aircraft, and
machine components).
Fatigue failure occurs at a stress level lower than tensile and yield
strength for a static load.
It is estimated that 90% of all material failure is due to fatigue.
Polymers and ceramics (except for glasses) are also susceptible to this
type of failure.
Fatigue is catastrophic (extremely harmful), occurring very suddenly
without warning.
228
CYCLIC STRESSES
Repeated
Stress Cycle
Reversed
Stress Cycle
Random
Stress Cycle
Three different fluctuating stress-time
modes are possible:
Reversed stress cycle: The stress
alternates from a maximum tensile
stress (+) to a maximum compressive
stress (-) of equal magnitude.
Repeated stress cycle: Maximum
and minimum stresses are
asymmetrical relative to the zero-
stress level.
Random stress cycle
2
2
:
amplitude
Stress
:
stress
of
Range
2
:
stress
Mean
min
max
r
a
min
max
r
min
max
m

















229
FATIGUE TEST
 The applied stress may be axial (tension-compression), flexural (bending), or torsinal
(twisting) in nature.
 The fatigue properties of materials can be determined from laboratory simulation tests. A
rotating-bending test apparatus, commonly used for fatigue testing.
 In this test the specimen is simultaneously bent and rotated.The compression stresses
are imposed on the top of specimen and tension stresses are imposed on the bottom of
the specimen.
Rotating-bending test
Rotating-bending test apparatus
Test procedure
 A series of tests are commenced (started) by subjecting a
specimen to stress cyling at a relatively large maximum stress
amplitude (σmax), usually on the order of two-thirds (2/3) of the
static tensile strength; the number of cycles to failure is
counted.
 This procedure is repeated on other specimens at
progressively decreasing maximum stress amplitudes.
 Data are plotted as stress (S) versus logarithm of the number
(N) of cycles to failure for each of the specimens
230
S-N Curve
 Fatigue is characterised by the S-N curve.
 There are two general types of S-N curve.
 Fatigue Limit (endurance limit): Stress
amplitude below which fatigue failure will
not occur, no matter how large the
number of cycles is. For many steels,
fatigue limits range between 35% and
60% of the tensile strength.
 Most nonferrous alloys (e.g. Al, Cu, Mg)
do not have a fatigue limit. For these
materials, the fatigue response is specified
as fatigue strength.
 Fatigue strength: The stress level at
which failure will occur for some specified
number of cycles (e.g., 107 cycles).
 Another important parameter is fatigue
life. It is the number of cycles to cause
failure at a specificied stress level.
Ferrous and Ti alloys
Non-ferrous alloys
231
Identifying Fatigue Fractures
 The process of fatigue failure is examined
by three stages:
Small crack forms at some point of
high stress concentration (crack
nucleation sites include surface
scratches, sharp fillets)
Incremental crack propagation
Finally rapid failure occurs after crack
reaches critical size (fracture)
 Fatigue failure appears brittle-like even in
normally ductile materials.
232
Factors That Affect Fatigue Life
 Magnitude of stress: Increasing the mean stress level leads to a decrease
in fatigue life.
 Environmental effects: If a corrosive environment is present during the
cyclic stress of a metal, the chemical attack greatly accelerates the rate at
which fatigue cracks propagate. The combination of corrosion attack and
cyclic stresses on a metal is known as corrosion fatigue.
Solutions for corrosion fatigue:
– decrease corrosiveness of medium
– add protective surface coating
 Surface Effects: Most cracks leading to fatigue failure originate at surface
positions. Therefore, fatigue life is sensitive to surface conditions. Surface
factors include;
–Design Factors
–Surface treatments
233
Design Factors
Good design: Fatigue lifetime
improved by incorporating
rounded fillet into a rotating
shaft at the point where there
is a change in diameter.
 Any notch or geometrical discontinuity can
act as a stress raiser and fatigue crack
initiation site; these design features include
grooves, holes, keyways, threads, and so on.
 The sharper the discontinuity, the more
severe the stress concentration.
Poor design:
sharp corner
Surface Treatments
 During machining operations,
small scratches are introduced
into the work piece surface.
These scratches can limit the
fatigue life. Polishing will
enhance fatigue life.
 Fatigue life are also enhanced
by Case Hardening (Carburizing
and Nitriding)
 Carburizing and nitriding are case
hardening processes whereby a
specimen is exposed to a
carbon-or nitrogen-rich atmosphere
at an elevated temperature.
234
235
PROBLEMS (From Callister, chapter 8, page 277)
Solution
a)
b)
236
237
PROBLEMS (From Callister, chapter 8, page 277)
238
CREEP
Furnace
Constant load
 Materials are often placed in service at elevated temperatures
and exposed to static mechanical stresses. Deformation under
such circumstances is termed creep.
 Creep is the time-dependent deformation due to constant
load at high temperature (> 0.4 Tm).
 A specimen is subjected to a constant load while maintaining
the temperature constant; deformation or strain is measured
and plotted as a function of elapsed time.
 Creep specimens have the same geometry as for tensile tests.
Alloys for High-Temperatures
 Creep minimized in materials with
 High melting temperature
 High elastic modulus
 Large grain sizes (inhibits grain boundary sliding)
 High temperature alloys (turbines in jet engines, hypersonic
airplanes, nuclear reactors, etc.)
 Materials resilient to creep
 Stainless steels
 Refractory metals (containing elements of high melting
point, like Nb, Mo, W, Ta)
 Superalloys (Co, Ni based)
239
Stages of Creep
1. Instantaneous deformation: mainly elastic.
2. Primary/transient creep: Decreasing creep rate; that is the slope of the curve
decreases with time. Deformation becomes more difficult due to work-hardening.
3. Secondary/steady-state creep: Creep rate is constant; the plot becomes linear:
balance between work-hardening and recovery.
4. Tertiary creep: Rapidly accelerating creep rate up to failure.
Creep Parameters
Secondary/steady-state creep rate: It is
the engineering design parameter for long-
life applications, such as nuclear power
plant component that is scheduled to
operate for several decades.
Rupture lifetime, tr): It is important for
short-life creep. Many short-life creep
situations (e.g., turbine blades in military
aircraft), rupture lifetime tr is the important
design parameter.
t
/
:
rate
creep s 





t
/
s 





tr
tertiary
240
CREEP:Stress and Temperature Effects
With increasing stress or temperature:
The instantaneous strain increases
The steady-state creep rate increases
The time to rupture decreases
Dependence of the steady-
state creep rate on stress
and temperature can be
described by:
Qc: activation energy for creep
K2 , n: material constants.










RT
Q
exp
K c
n
2
s

241
Data Extrapolation Methods
 A extrapolation procedure employs
the Larson - Miller parameter,
defined as
Where C (usually on the order of
20) is a constant, T in Kelvin,
rupture lifetime tr in hours.
 The rupture lifetime of a given
material measured at some
specific stress level will vary with
temperature.
 The data may be plotted as the log
of stress versus the Larson-Miller
parameter.
 
r
t
log
C
T 
Logarithm stress versus the Larson-
Miller parameter for an S-590 iron
** NOTE: The Réaumur scale (°Ré, °Re, °R) is a temperature scale in which the freezing and boiling points of water are set to
0 and 80 degrees respectively.
**
242
Example:
Using the Larson-Miller data for S-590 iron given in the figure, predict the time
rupture for a component that is subjected to a stress of 140 MPa (20,000 psi) at
800°C (1073K).
Solution:
From the figure, at 140 MPa (20,000 psi) the
value of the Larson-Miller parameter is
24.0×103 , for T in K and tr in h; therefore,
 
 
 
days
7
.
9
h
233
t
t
log
0
2
37
.
22
,
time
the
for
solving
,
and
t
log
0
2
1073
t
log
0
2
T
10
0
.
4
2
r
r
r
r
3









for S-590 iron
243
PROBLEMS (From Callister, chapter 8, page 280)
244
Solution
245
246
247
248
PROBLEMS (From Callister, chapter 8, page 280)
Solution
249
250
251
252
PROBLEMS (From Callister, chapter 8, page 278)
253
254
255
PROBLEMS (From Callister, chapter 8, page 278)
Solution
256
257
PROBLEMS (From Callister, chapter 8, page 278)
Solution
258
259
TORSION TEST
 Torsion test is not widely used as
much as tensile test. Because it is not
possible to generate a uniform shear
stress; when the surface plastic, the
interior is still elastic because shear stress
on surface is larger than the interior.
 Torsion test is made to determine
such properties as the shear modulus of
elasticity, shear strain, and shear
strength.
 Often used for testing brittle materials
and can be tested in full-sized parts such
as shafts, axles and twist drills which are
subjected to torsional loading in use.
 A twisting moment is applied to one end of a specimen while measuring the deformation
as angular displacement at the other end.
 During the test the angle of twist (Ө) and the applied torque (T) are measured as the
test proceeds.
260
Shear stress-shear strain in torsion
Using the appropriate formulae, relationships and the measured dimensions, we can
determine the shear stress and shear strain on the specimen.
Then, one can plot the torque vs. angle of twist, and shear stress vs. shear strain from
which one can find the material properties previously mentioned.
 The twisting moment is resisted by shear stresses set up in the cross section of the bar
(zero at the center, maximum at the surface).
L
r
tan





g:shear strain
Ө : angle of twist
L: test length of the specimen
J
r
T






32
/
D
2
D
T
4
max 3
max
D
T
16



32
D
J
4


261
Elastic properties and yield strength in torsion
 The elastic properties in torsion
can be obtained by using the torque at
the proportional limit where the shear
stress is calculated corresponding to
the twisting moment from the shear
stress equation.
 The torsional elastic limit or yield
strength can be obtained from testing
a tubular specimen since the stress
gradient are practically eliminated.
)
D
D
(
D
T
16
4
2
4
1
1



 D1: outside diameter of tube
D2: inside diameter of tube
 For a tubular specimen, the shear stress on the outer surface:
To measure the shearing yield
strength and modulus of elasticity:
Stress vs. strain
in shear
Yield stress
(0.2% offset)
Proportional limit
shear strain, rad.
shear
stress,
Pa
0.002
262
263
 The shear stress varies across a diameter when
deformation is elastic.
However where the surface shear stress reaches
the elastic limit and plastic strain begins results
become unreliable. Plastic deformation tends to
spread inwards in an irregular manner.One method
used to reduce this problem is to employ hollow
cylindirical (Tubular) specimen. In this way,
differences between the value of shear stress at
outer and inner surfaces, is reduced. The tendency
for plastic buckling of the tubular specimen
increases rapidly as the wall thickness is reduced.
For thin-walled tubes with large ratios of diameter vs.
thickness (D/t > 10) there is a tendency for premature
local buckling failure to occur.
Modulus of elasticity in shear
Types of torsion failures
 Torsion failures are different from tensile failure in that there is little localised
reduction of area or elongation.
a)Ductile (shear) failure is along the maximum shear plane (perpendicular to
longitudinal axis of the specimen).
b)Brittle (tensile) failure is perpendicular to the maximum tensile stress (at 45°),
resulting in a helical fracture.
Shear modulus
of elasticity :



G


J
L
T
G
or
Ductile failure Brittle failure
264
Example:
A shaft 50 mm diameter and 0.7 m long is subjected to torque of 1200 Nm.
Calculate the angle of twist and the shear stress. Take G= 90 GPa.
Solution:



























871
.
0
180
0152
.
0
rees
deg
to
Converting
radian
0152
.
0
10
59
.
613
7
.
0
1200
10
90
J
TL
G
m
10
59
.
613
32
05
.
0
32
D
J
9
9
4
9
4
4
Pa
10
89
.
48
05
.
0
1200
16
D
T
16
ely
alternativ
or
MPa
89
.
48
Pa
10
89
.
48
10
59
.
613
025
.
0
1200
J
Tr
6
3
3
6
9


















265
Example:
Repeat the previous problem but this time the shaft is hollow with an internal
diameter of 30 mm.
Solution:
   





























1
180
0175
.
0
rees
deg
to
Converting
radian
0175
.
0
10
07
.
534
7
.
0
1200
10
90
J
TL
G
m
10
07
.
534
32
03
.
0
05
.
0
32
D
D
J
9
9
4
9
4
4
4
2
4
1
MPa
17
.
56
Pa
10
17
.
56
10
07
.
534
025
.
0
1200
J
Tr 6
9
max 








266
Example:
A shaft 40 mm diameter is made from steel and the maximum allowable shear stress
for the material is 50 MPa. Calculate the maximum torque that can be safely
transmitted. G=90 GPa.
4
9
4
4
m
10
32
.
251
32
04
.
0
32
D
J 







Nm
3
.
628
02
.
0
10
32
.
251
10
50
r
J
T
J
Tr 9
6











Solution:
267
BEND TEST for brittle materials
 In many brittle materials, the normal
tensile test cannot easily be performed
because of the presence of flaws at the
surface.
 Often, just placing a brittle material in the
grips of the tensile testing machine causes
cracking. These materials may be tested
using the bend test.
 Bend test: Application of a force to the
center of a bar that is supported on each
end to determine the resistance of the
material to a static or slowly applied load.
Before test
Deflection (d) by bending 268
BEND TEST
 Flexural strength or modulus of rupture: The stress required to fracture a
specimen in a bend test.
2
bend
wh
2
FL
3
:
test
bend
int
po
3
for
strength
Flexural 


 Flexural modulus: The modulus of
elasticity in bending calculated from the results
of a bend test, giving the slope of the stress-
deflection curve.
F: fracture load, L: distance the two outer points, w: width, h: height


3
3
bend
wh
4
FL
E
:
ulus
mod
Flexural
d: deflection of the beam
269
Example:
The flexural strength of a composite material reinforced with glass fibers is 45,000 psi and
the flexural modulus is 18  106 psi. A sample, which is 0.5 in. wide, 0.375 in. high, and 8 in.
long, is supported between two rods 5 in. apart. Determine the force required to fracture the
material and the deflection of the sample at fracture, assuming that no plastic deformation
occurs.
Solution:
270
STRENGTHENING
MECHANISMS
319
319
STRENGTHENING MECHANISMS
 The ability of a metal to plastically deform depends on the ability of dislocations
to move.
 By reducing the mobility of dislocations, the mechanical strength may be
enhanced; that is, greater mechanical forces will be required to initiate plastic
deformation.
 Therefore, restricting dislocation motion makes a material harder and
stronger.
 Strengthening reduces ductility.
STRENGTHENING MECHANISMS
 Grain size reduction
 Solid solution strengthening
 Work hardening (cold working or strain hardening)
 Dispersion hardening
 Age hardening
For single-phase
metals
For multiphase
alloys
321
Strengthening by Grain Size Reduction
 The size of the grains in a polycrystalline metal influences the mechanical
properties.
 The grain boundary act as a barrier to dislocation motion for two reasons:
 Since two grains are of different orientations, dislocation passing into
grain B will have to change its direction of motion (see Fig.).
 The atomic disorder within a grain boundary region will result in a
discontinuity of slip planes from one grain into the other.
 Small angle grain boundaries are not very effective in blocking dislocations.
 High-angle grain boundaries block slip and increase of the material.
322
Hall-Petch Equation:
σy: yield strength
d: average grain diameter
σ 0 and ky: constant
Affect of Grain Size
 A fine-grained material is harder and stronger than coarse grained material.
 Since, small grained material has a greater total grain boundary area to impede
dislocation motion.
 For many materials, the yield strength varies with grain size according to Hall-
Petch equation.
 Hall-Petch equation is not
valid for both
 very large grain, and
 extremely fine grain
polycrystalline materials.
323
Solid Solution Strengthening: Alloying
 Alloying is a solid-solution strengthening technique.
 Types of solid solution: (1) Interstitial, (2) Substitutional
 Increasing the concentration of the impurity results in an attendant increase in tensile and
yield strengths.
(a) (b)
(c)
Variation with nickel content of (a) tensile strength, (b) yield strength, and (c) ductility for Cu-Ni alloys,
showing strengthening
 Alloys are stronger than
pure metals because
impurity atoms that go into
solid solution ordinarily
impose lattice strain on the
surrounding host atoms.
324
Solid Solution Strengthening: Alloying
 Lattice strain field interactions
between dislocations and these
impurity atoms result, and,
consequently, dislocation movement
is restricted.
 The resistance to slip is greater
when impurity atoms are present
because the overall lattice strain
must increase if a dislocation is torn
away from them.
Furthermore, the same lattice
strain interactions will exist between
impurity atoms and dislocations that
are in motion during plastic
deformation.
 Thus, a greater applied stress is necessary to first initiate and then continue
plastic deformation for solid-solution alloys, as opposed to pure metals.
 This is evidenced by the enhancement of strength and hardness.
Smaller substitutional impurity Larger substitutional impurity
325
WORK (or STRAIN) HARDENING
 Ductile metals become stronger when they are deformed plastically at
temperatures well below the melting points.
 It is also called cold working, because the temperature at which deformation
takes place is cold.
 Most metals strain harden at room temperature.
 The reason for work hardening is the increase of dislocation density with
plastic deformation. The average distance between dislocation decreases and
dislocations start blocking the motion of each other.
 Percent cold work (% CW) is used to express the degree of plastic
deformation.
 Before deformation: dislocation density ~103 mm/mm3
 Heavily deformed sample: dislocation density ~1010 mm/mm3
 Dislocations interact and obstruct each other.
 More dislocations actually increase the strength of a material.
100
% x
A
A
A
CW
o
d
o 
 Ao : original cross-section area
Ad :area after deformation.
326
Common forming operations change the cross sectional area
For 1040 steel, brass, and Cu, the increase in yield and tensile
strength, and the decrease in ductility (%EL)
 There is only a certain amount a material can be deformed before it breaks.
 Different materials have varying % allowable cold work.
327
Cold Work is Anisotropic
 When a piece of metal is deformed, grains elongate in the deformation direction.
 Slip occurs only in the favored directions.
 Therefore, strength of the metal increases in the direction it is deformed, but
properties in the other directions do not change as much.
Cold rolling: Metal is often rolled into sheets from thicker stock.
 The width of the sheet is usually kept the same, and only the thickness varies.
 During deformation some fraction of the energy used for deformation is stored in
the metal as residual stresses.
 Restoration of the properties and structure to precold-worked state is possible by
heat treatment (Annealing)
328
Example:
Solution:
for Cu at 35.6% CW:
Tensile strength: 340 MPa
Ductility: 7% EL
329
ANNEALING: Recovery, Recrystallization, Grain Growth
 Annealing is a heat treatment in which a material
is exposed to an elevated temperature for an
extended time period and then slowly cooled.
 Time is generally 1 hour.
 Annealing is carried out to:
 relieve stresses
 increase softness, ductility and toughness
 produce a specific microstructure
 So, effects of cold work are reversed!
 Three stages in annealing: (1) recovery,
(2) recrystallization, (3) grain growth
RECOVERY
 The low temperature treatment
 Residual stresses are reduced or even
eliminated.
 Dislocations are rearranged, but dislocation
density unchanged.
 Corrosion resistance, electrical and thermal
conductivity are restored
 The mechanical properties (strength and
ductility) are unchanged.
330
RECRYSTALLIZATION
 Recrystallization is the nucleation and growth of new, strain free, equiaxed grains with
low dislocation density which is characteristics of precold-worked state.
 Recrystallization process depends on time and temperature.
 Recrystallization temperature is the temperature at which recrystallization completed in one hour
(typically 0.3 – 0.5 Tmelting).
 Mechanical properties are restored to precold-worked state.
 The recrystallized metal has a low strength but a high ductility.
 Dislocation density greatly reduced by recrystallization.
 Recrystallization is used to refine the grain structure of cold worked material.
 Recrystallization temperature and rate decrease when the amount of cold work increases.
 Without a minimum amount of cold work (5-15%), there is no recrystallization.
The variation of recrystallization
temperature with percent cold work
for IRON
331
GRAIN GROWTH
 After recrystallization is complete, the
strain-free grains will continue to grow if
the metal specimen is left at elevated
temperature. This phenomenon is called
grain growth.
 Not all grains can enlarge, but big
grains grow at the expense of small ones
 Grain growth during annealing occurs in
all polycrystalline materials (i.e. they do
not have to be deformed first).
 For grain growth, dependence of grain size (d) on time (t):
PROBLEMS (Callister, chapter 7, pp. 202-206)
332
Solution:
PROBLEMS (Callister, chapter 7, pp. 202-206)
333
Solution:
Solution:
PROBLEMS (Callister, chapter 7, pp. 202-206)
334
MM207E Material Science
Mechanical Engineering Department
Textbook, Chapter 11, pp 422‐425
Heat treatment Types
Annealing Processes (Tavlama İşlemleri)
 Stress relief annealing (Gerilim giderme tavlaması)
 Normalizing (Normalleştirme tavlaması)
 Full annealing (Yumuşatma tavlaması)
 Spheroidizing (Küreleştirme tavlaması)
Quenching (Su verme)
Tempering
Heat treatment temperature regions for plain carbon steels
Quenching
spheroidizing
The term annealing refers to a heat treatment in which a
material is exposed to an elevated temperature for an
extended time period and then slowly cooled.
Ordinarily, annealing is carried out to
 (1) relieve stresses;
 (2) increase softness, ductility, and toughness;
 (3) produce a specific microstructure.
A variety of annealing heat treatments are possible; they are
characterized by the changes that are induced, which many
times are microstructural and are responsible for the
alteration of the mechanical properties.
Any annealing process consists of three stages:
(1) heating to the desired temperature,
(2) holding or “soaking” at that temperature,
(3) cooling, usually to room temperature.
Time is an important parameter in these procedures.
During heating and cooling, temperature gradients
exist between the outside and interior portions of the
piece; their magnitudes depend on the size and
geometry of the piece.
If the rate of temperature change is too great,
temperature gradients and internal stresses may be
induced that may lead to warping or even cracking.
Also, the actual annealing time must be long
enough to allow for any necessary
transformation reactions.
Annealing temperature is also an important
consideration; annealing may be accelerated
by increasing the temperature, because
diffusional processes are normally involved.
Annealing
Internal residual stresses may develop in metal pieces in response to the
following:
(1) plastic deformation processes such as machining and grinding;
(2) nonuniform cooling of a piece that was processed or fabricated at an
elevated temperature, such as a weld or a casting;
(3) a phase transformation that is induced upon cooling wherein parent
and product phases have different densities.
•Distortion and warpage may result if these residual stresses are not
removed.
• They may be eliminated by a stress relief annealing heat treatment in which
the piece is heated to the recommended temperature, held there long
enough to attain a uniform temperature, and finally cooled to room
temperature in air.
•The annealing temperature is ordinarily a relatively low one such that effects
resulting from cold working and other heat treatments are not affected.
• The horizontal line at the eutectoid temperature, conventionally labeled A1, is
termed the lower critical temperature, below which, under equilibrium conditions,
all austenite will have transformed into ferrite and cementite phases.
• The phase boundaries denoted as A3 and Acm represent the upper critical
temperature lines for hypoeutectoid and hypereutectoid steels, respectively. For
temperatures and compositions above these boundaries, only the austenite phase
will prevail.
Why? Steels that have been plastically deformed by, for
example, a rolling operation, consist of grains of
pearlite (and most likely a proeutectoid phase), which
are irregularly shaped and relatively large, but vary
substantially in size.
Aim: An annealing heat treatment called normalizing is
used to refine the grains (i.e., to decrease the average
grain size) and produce a more uniform and desirable
size distribution; fine‐grained pearlitic steels are
tougher than coarse‐grained ones.
Method: Normalizing is accomplished
by heating at least 55 oC (100_F)
above the upper critical
temperature—that is, above A3 for
compositions less than the
eutectoid (0.76 wt% C), and above
Acm for compositions greater than
the eutectoid as represented in
Figure 11.10. After sufficient time
has been allowed for the alloy to
completely transform to
austenite—a procedure termed
austenitizing—the treatment is
terminated by cooling in air.
• A heat treatment known as full annealing is often utilized in low‐ and
medium‐carbon steels that will be machined or will experience extensive
plastic deformation during a forming operation.
• In general, the alloy is treated by heating to a temperature of about 50_C
above the A3 line (to form austenite) for compositions less than the
eutectoid, or, for compositions in excess of the eutectoid, 50_C above the
A1 line (to form austenite and Fe3C phases), as noted in Figure 11.10.
• The alloy is then furnace cooled; that is, the heat‐treating furnace is
turned off and both furnace and steel cool to room temperature at the
same rate, which takes several hours.
• The microstructural product of this anneal is coarse pearlite (in addition to
any proeutectoid phase) that is relatively soft and ductile.
Medium‐ and high‐carbon steels having a microstructure containing even
coarse pearlite may still be too hard to conveniently machine or plastically
deform. These steels, and in fact any steel, may be heat‐treated or
annealed to develop the spheroidite structure as described in figure 10.19.
spheroidizing
Spheroidized steels have a maximum softness and ductility and are
easily machined or deformed. The spheroidizing heat treatment,
during which there is a coalescence of the Fe3C to form the spheroid
particles, can take place by following method, as follows:
• If a steel alloy having either pearlitic or bainitic microstructures is
heated to, and left at, a temperature below the eutectoid for a
sufficiently long period of time for example, at about 700C for
between 18 and 24 h—yet another microstructure will form. It is
called spheroidite.
To some degree, the rate at which spheroidite forms depends on prior
microstructure. For example, it is slowest for pearlite, and the finer
the pearlite, the more rapid the rate.
Quenching (Su verme)
Another microconstituent or phase called martensite is
formed when austenitized iron–carbon alloys are rapidly
cooled (or quenched) to a relatively low temperature (in
the vicinity of the ambient).
Martensite is a nonequilibrium single‐phase structure that
results from a diffusionless transformation of austenite.
It may be thought of as a transformation product that is
competitive with pearlite and bainite.
The martensitic transformation occurs when the quenching
rate is rapid enough to prevent carbon diffusion. Any
diffusion whatsoever will result in the formation of ferrite
and cementite phases.
Martensite structure
After quenching process the hardness can be increased up to 3
times. (from 22‐25 RC to about 62‐66 RC)
Of the various microstructures in steel alloys martensite is the
hardest, strongest but most brittle.
Martensite needs to be tempered to get better ductility.
Tempering is the process of heating a martensitic steel at a
temperature below the eutectoid transformation temperature
to make is softer and more ductile.

Material.pdf

  • 1.
    GAZİ UNIVERSITY Engineering Faculty Departmentof Industrial Engineering MATERIALS SCIENCE ENM223 2020-2021 Fall Semester 1
  • 2.
    Text Book (1)and References (2-5): 1) Materials Science and Engineering, W.D. Callister, 8th ed., John Wiley, 2011. 2) The Science and Engineering of Materials, D.R. Askeland, P.P. Phule, 4th ed., Thomson Brooks/Cole, 2003. 3) Foundations of Materials Science and Engineering, W.F. Smith, J. Hashemi, 4th ed. McGraw-Hill, 2006. 4) Engineering Metallurgy and Materials, Süleyman Sarıtaş, Gazi University, 1995. 5) Materials Science and Engineering, W.D. Callister, Translation to Turkish from 8th ed., John Wiley, 2011. 2
  • 3.
    Course Outline Subject Weeks 1.Introduction to Engineering Materials……………………… 1 Classissification, Metals, Ceramics, Polymers, Composites 2. Interatomic Bonding……………………………………………… 1 3. The Structure of Crystalline Solids ….………...…………… 2 Atomic arrangements and crystals, Imperfections in crystals Microstructural examination of materials 4. Diffusion………………………..…………………………….…….. 1 5. Phase Diagrams…………...……………………………………… 1 Rules of phase diagrams, Construction of phase diagrams 3
  • 4.
    Course Outline, cont. SubjectWeeks 6. Mechanical Testing and Properties……………………… 2 Tensile test, Hardness test, Fatigue test, Creep test Impact test, Bending and Shear (Torsion) tests 7. Ferrous and Nonferrous Alloys…………………………… 2 8. Iron-Carbon System and Heat Treatments….………… 2 Atomic arrangements and crystals, Imperfections in crystals Microstructural examination of materials 9. Strengthening Mechanisms………………………….…….. 1 Work hardening, Solid solution hardening, , Grain size strengthening, Dispersion hardening 4
  • 5.
    • Course Grading: OneMidterms : 60% Final Exam : 40% • Attendance: Attendance to classes (70 %) is compulsory. 5
  • 6.
    CHAPTER 1 INTRODUCTION TOENGINEERING MATERIALS (Text Book Pages 1-17) . 6
  • 7.
    “Because without materials,there is no engineering.” Materials are probably more deep-seated in our culture than most of us realize. Transportation, housing, clothing, communication and food production-virtually every segment of our everyday lives is influenced by materials. Then, what are materials? Materials may be defined as substance of which something is composed or made. Materials are everywhere. Some of commonly encountered materials are wood, concrete, brick, steel, plastic, glass, rubber, aluminum, copper and paper. 7
  • 8.
    Materials Science andEngineering? 8 Materials Science?  Involves Investigating the relationships between structure, processing and properties of materials. Materials Engineering?  On the basis of these structure-property correlations, designing or engineering the structure of a material to produce a predetermined set of properties. Designing the structure to achieve specific properties of materials. Structure means a description of the arrangements of atoms or ions in a material. The structure of materials had a profound influence on many properties of materials, even if the overall composition does not change!
  • 9.
    9 Relation between processing &properties roll round and coarse grains low strength high ductility elongated grains high strength low ductility Hot rolling Recrystallised fine grains low strength high ductility
  • 10.
  • 11.
    What is thedifference? 11
  • 12.
    Why the studyof materials is important? Engineers choose materials to suit design or new materials might be needed for some new applications. For example:  Mechanical engineers search for high temperature resistant materials so that jet engines can operate more efficiently.  Aerospace engineers search for materials with higher strength to weight ratios for aircraft and space vehicles.  Chemical engineers need more highly corrosion resistant materials. So, engineers in all disciplines should have some basic and applied knowledge of engineering materials. Corrosion is the disintegration of an engineering material into its constituent atoms due to chemical reactions with its surroundings. Formation of an oxide of iron due to oxidation of the iron atoms in solid solution is a well-known example of corrosion (rusting). 12 Figure. A section through a jet engine. The forward compression section operates at low to medium temperatures, and titanium parts are often used. The rear combustion section operates at high temperatures and nickel-based superalloys are required. The outside shell experiences low temperatures, and aluminum and composites are satisfactory.
  • 13.
    CLASSIFICATION OF MATERIALS Engineeringmaterials are divided into three main classes: metals, ceramics, and polymers. 13 In addition, there are the composites, combinations of two or more of these basic material classes.
  • 14.
    METALS Metals are metallicelements such as iron, aluminum, copper, titanium, nickel and gold. Although pure metals are occasionally (rarely) used, alloys which combinations of two or more metals are normally designed to provide desirable properties. Examples: Metals and alloys are generally divided into two groups: Ferrous (steel, cast iron) and nonferrous (Al, Cu, Zn, etc.). Ferrous metals and alloys that contain a large percentage of iron such as the steel and cast irons. Nonferrous metals do not contain iron. 14 Alloys: Brass: Cu-Zn, Bronze: Cu-Sn, Steel: Fe-C, Solder: Pb-Sn, etc. Pure metals: Fe, Au, Ag, Cu, Ni, etc. Properties of metals a) Atoms arranged in a regular repeating structure (crystalline structure) b) Good strength: strong c) Dense d) Malleable or ductile (i.e., capable of large amounts of deformation without fracture): high plasticity e) Resistant to fracture and shock resistance: tough f) Good thermal and electrical conductivity g) Easy machinability: Thus, metals can be formed h) They are least resistant to corrosion , such as iron-oxide (rust) i) Some of the metals (Fe, Ni, Co) have desirable magnetic properties. Applications:  Buildings  Automobiles  Airplanes  Machine and tools  Gears  Electrical wires  Pressure vessels, etc.
  • 15.
    Ceramics  Ceramic materialsconsist of metallic and non-metallic elements chemically bonded together.They are most frequently oxides, nitrides, and carbides. For example: SiC, Al2O3, ZrO2, Si3N4,.MgO Examples:  Abrasive Materials (for cutting, grinding and polished other materials of lower hardness; aluminium oxide and silicon carbide)  Refractories (corrosion and high heat- resistant; brick)  Whitewares (e.g. porcelains)  Electrical Ceramics (capacitors, insulators, transducers, etc.)  Chemically Bonded Ceramics (e.g. cement and concrete)  Glass (transparency,hardness at room temperature, excellent resistance to most environments) 15
  • 16.
    16 Properties of ceramics Except for glasses they have crystalline structure  They have lower density than most metals  Generally they have high melting points  They have high chemical stabilities (resistant to environment)  They have high wear resistance  They have high hardness and high-temperature strength (heat resistant) but they are very brittle  They have low ductility or malleability: low plasticity  They have very high elastic modulus Ceramics are usually poor electrical and thermal conductors
  • 17.
     Aluminium (Al)is a common metal, but aluminium oxide, a compound of aluminium and oxygen such as Al2O3, is ceramic. Aluminium oxide has two basic advantages over metallic aluminium.  First, Al2O3 is chemically stable in a wide variety of severe environments whereas metallic aluminium would be oxidized.  Second, the ceramic Al2O3 has a significantly higher melting point (2020 C) than does the metallic Al (660 C).  This makes Al2O3 a popular refractory, that is, a high- temperature-resistant material of wide use in industrial furnace construction.  With its superior chemical and temperature-resistant properties, why isn’t Al2O3 used for certain applications,such as automotive engines, in place of metallic aluminium?  The answer to this question lies in the most limiting property of ceramics-brittleness. Aluminium and other metals have the desirable property of ductility whereas aluminium oxide and other ceramics do not. Thus ceramics are eliminated from many structural applications. 17 Applications  Electrical insulators  Abrasives  Thermal insulation and coatings  Windows, television screens (glass)  Corrosion resistant applications  Electrical devices  Highways and roads (concrete)
  • 18.
    Polymers  Polymers arein our everyday life. An alternative name for this category is plastics. The “mer” in a polymer is a single hydrocarbon molecule. Polymers are long-chain molecules composed of many mers bonded together.  Many important polymers are simply compounds of hydrogen and carbon.  Others contain oxygen, nitrogen,and silicon.  Examples: nylon,teflon, PVC (polyvinyl chloride), polyester.  Plastics can be divided into two classes, thermoplastics and thermosetting plastics, depending on how they are structurally bonded. 18
  • 19.
     Most thermoplasticsconsist of very long molecular chains and have good ductility and formability.  These materials can be reheated and reformed into new shapes a number of times.  Polyester (PE), polystyrene (PS) and PVC are thermoplastics. THERMOPLASTICS & THERMOSETTINGS  Thermosetting plastics are stronger but more brittle because the molecular chains are tightly linked.  Thermosetting plastics can not be remelted and reformed into another shape. Thus, they cannot be recycled.  Epoxies, phenolics and some polyster resins are thermosets. 19
  • 20.
    Properties of polymers Most polymers are non-crystalline, but some consist of mixtures of both crystalline and non- crystalline regions  They generally have low densities  They have low elastic modulus  Their ductility may vary considerably  They have low strength  Most of them are corrosion resistant  They cannot be used at high temperature because of their low melting points  They have low cost  Most are poor conductors of electricity and heat 20  In spite of the limitations, (they have low electrical and thermal conductivities, low strength, and are not suitable for use at high temperature) polymers are highly versatile (can be used for many different purposes) and useful materials.  Unlike brittle ceramics, polymers which are frequently lightweight, low-cost and resistant to higher chemical reactivity alternatives to metals in structural design applications. Applications  Adhesives and glues  Containers  Moldable products (computer casing, telephone handset)  Clothing and upholstery material (polyester, nylon)  Biodegradable products (packing)  Low friction materials (teflon)  Gaskets and O-rings (rubber)
  • 21.
    Composite Materials  Compositesare produced when two materials are joined to give a combination of properties that cannot be obtained in the original materials. With composites we can produce  lightweight  strong  ductile  high temperature-resistant materials that are otherwise unobtainable. 21  Composites can be  metal-metal  metal-ceramic  metal-polymer  ceramic-polymer  ceramic-ceramic  polymer-polymer  Furthermore, some naturally-occurring materials are also considered to be composites-for example, wood and bone.
  • 22.
     Fiberglass, inwhich small glass fibers are embedded within a polymeric material (epoxy, polyster) is a common ceramic-polymer composite (GFRP: Glass Fiber Reinforced Polymer). The glass fibers are relatively strong (but also brittle), whereas the polymer is ductile (but also weak). Thus, the resulting composite material is relatively strong and ductile. In addition, it has a low density.  Another of these technologically important materials is the carbon fiber reinforced polymer composite (CFRP: Carbon Fiber Reinforced Polymer). These composites are stronger than glass fiber-reinforced composites, but they are more expensive. They are used in some aircraft and aerospace applications, as well as high-tech sporting equipment (e.g., bicyles, tennis rackets, and skis).  Metal matrix-ceramic composites, for example, include silicon carbide or aluminium oxide fiber reinforced aluminium alloy.  WC reinforced cobalt matrix composite materials are also metal-ceramic composites. It is used as a cutting tool for machining.  Composites can be placed into three categories: particulate, fiber, and laminar-based on the shapes of the material. 22 Applications  Aircraft and aerospace applications  Sports equipment (golf club shafts, tennis rackets, bicycle frames)  Thermal insulation  Concrete  Brake materials
  • 23.
    Fig.1.3. Bar chartof room temperature density values for various materials 23
  • 24.
    Fig.1.4. Bar chartof room temperature stiffness (i.e. Elastic modulus) values for various materials 24
  • 25.
    Fig.1.5. Bar chartof room temperature strength (i.e. Tensile strength) values for various materials 25
  • 26.
    Fig.1.6. Bar chartof room temperature resistance to fracture for various materials 26
  • 27.
    Fig.1.7. Bar chartof room temperature electrical conductivity ranges for various materials 27
  • 28.
    Advanced Materials • Materialsthat are utilized in high-technology (or high- tech) applications are sometimes termed advanced materials. • By high technology we mean a device or product that operates or functions using relatively intricate and sophisticated principles; examples include electronic equipment (camcorders, CD/DVD players, etc.), computers, fiber-optic systems, spacecraft, aircraft, and military rocketry. • These advanced materials are typically traditional materials whose properties have been enhanced, and, also newly developed, high-performance materials. 28
  • 29.
    Advanced Materials, Cont. Semiconductors •Semiconductors have electrical properties that are intermediate between the electrical conductors (viz. metals and metal alloys) and insulators (viz. ceramics and polymers)—Figure 1.7. • Furthermore, the electrical characteristics of these materials are extremely sensitive to the presence of minute concentrations of impurity atoms, for which the concentrations may be controlled over very small spatial regions. • Semiconductors have made possible the advent of integrated circuitry that has totally revolutionized the electronics and computer industries (not to mention our lives) over the past three decades. 29
  • 30.
    Advanced Materials, Cont. Biomaterials •Biomaterials are employed in components implanted into the human body for replacement of diseased or damaged body parts. 30
  • 31.
    Advanced Materials, Cont. Biomaterials,cont • These materials must not produce toxic substances and must be compatible with body tissues (i.e., must not cause adverse biological reactions). • All of the above materials—metals, ceramics, polymers, composites, and semiconductors—may be used as biomaterials. 31
  • 32.
    Advanced Materials, Cont. SmartMaterials • Smart (or intelligent) materials are a group of new and state-of-the-art materials now being developed that will have a significant influence on many of our technologies. • The adjective “smart” implies that these materials are able to sense changes in their environments and then respond to these changes in predetermined manners— traits that are also found in living organisms. • In addition, this “smart” concept is being extended to rather sophisticated systems that consist of both smart and traditional materials. 32
  • 33.
    Advanced Materials, Cont. SmartMaterials, cont. • Components of a smart material (or system) include some type of sensor (that detects an input signal), and an actuator (that performs a responsive and adaptive function). • Actuators may be called upon to change shape, position, natural frequency, or mechanical characteristics in response to changes in temperature, electric fields, and/or magnetic fields. • Four types of materials are commonly used for actuators: shape memory alloys, piezoelectric ceramics, magnetostrictive materials, and electrorheological/magnetorheological fluids. 33
  • 34.
    Advanced Materials, Cont. Nanomaterials •One new material class that has fascinating properties and tremendous technological promise is the nanomaterials. • Nanomaterials may be any one of the three basic types: metals, ceramics, or polymers. • The ability to carefully arrange atoms provides opportunities to develop mechanical, electrical, magnetic, and other properties that are not otherwise possible. • We call this the “bottom-up” approach, and the study of the properties of these materials is termed “nanotechnology”; • The “nano” prefix denotes that the dimensions of these structural entities are on the order of a nanometer (10-9 m) 34
  • 35.
    Modern materials’ Needs •In spite of the tremendous progress that has been made in the discipline of materials science and engineering within the past few years, there still remain technological challenges, including the development of even more sophisticated and specialized materials, as well as consideration of the environmental impact of materials production. Some comment is appropriate relative to these issues so as to round out this perspective: – Nuclear energy – Engine components (higher temperature capabilities) – Hydrogen fuel cell – Pollution control techniques 35
  • 36.
    END of theCHAPTER 1 Don’t forget to study from the TEXT BOOK! pages 1-17 36
  • 37.
    Interatomic Bonding Learning Objectives •Briefly describe ionic, covalent, metallic, hydrogen, and van der Waals bonds. Text Book: Pages: 26-36 1
  • 38.
  • 39.
  • 40.
    Electronegativity • Electronegativity concepthelps in understanding the bonding behavior of elements. • Electronegative elements accept electrons to produce negative ions (anion). The most electronegative elements are in groups VIA and VIIA of the periodic table. • Electropositive elements give up their valance electrons in chemical reactions to produce positively charged ions (cation). The most electropositive elements are in groups IA and IIA of the periodic table. • Electronegativities of the elements increases from left to right in the periodic table. Electronegativity is measured on a scale from 0.7 to 4.0. The most electronegative elements fluorine, oxygen, and nitrogen, which have electronegativities of 4.0, 3.5, and 3, respectively. 4
  • 41.
    ATOMIC BONDING Chemical bondingbetween atoms occurs since there is a net decrease in the potential energy of atoms in the bonded state. That is, atoms in the bonded state are in a more stable energy condition than when they are unbonded. What types of bonds are there? Four important atomic bonds in engineering materials • Ionic Bond • Covalent Bond Primary (chemical) bonds. Strong. • Metallic Bond • •Van der Waals Bond Secondary (physical) bond. Weak. 5
  • 42.
    BOND ENERGY • Bondenergy is the energy required to create or break the bond. • Materials having a high bond energy (It means that a greater force is required to stretch the bond) also have  a high strength  a high melting temperature (Tm)  high modulus of elasticity (E); (i.e. the slope of the stress‐strain curve in the elastic region)  low coefficient of thermal expansion (α) 6
  • 43.
    Attractive, repulsive, andnet potential energies as a function of interatomic separation for two atoms are shown below. The net curve, which is again the sum of the other two, has a potential energy trough or well around its minimum. The bonding energy for these two atoms, Eo , corresponds to the energy at this minimum point; it represents the energy that would be required to separate these two atoms to an infinite separation. The magnitude of this bonding energy and the shape of the energy-versus-interatomic separation curve vary from material to material, and they both depend on the type of atomic bonding. Attractive energy Net energy Repulsive energy Interatomic separation r interatomic spacing, 2r 7
  • 44.
  • 45.
  • 46.
  • 47.
    Ionic Bonding • Ionicbonds can form between highly electropositive (metallic) elements and highly electronegative (non‐metallic) elements.(Dissimilar electronegativities) • In the ionization process, electrons are transferred from atoms of electropositive elements to atoms of electronegative elements. Atoms of a metallic element easily give up their valence electrons to the nonmetallic atoms. • For example, attraction between sodium (metal) and chlorine (non‐metal) ions produces sodium chloride, or table salt, NaCl. 3s1 3p5 Electropositive element (unstable) atomic radius of Na, rNa =0.192 nm Electronegative element (unstable) rCl =0.099 nm Z=17, 1s22s22p63s23p5 Z=11, 1s22s22p63s1 Valence electron transfer (Metal) (Non-metal) 11
  • 48.
    • Both atomsnow have filled (or emptied) outer energy levels but both have acquired an electrical charge and behave as ions. • The atom that gives up the electrons is a cation (with positive charge), while the atom that accepts the electrons is an anion (with negative charge). • The oppositely charged ions are then attracted to each another and produce the ionic bond. rNa+ =0.095 nm (stable) rCl- =0.181 nm (stable) ionic bond, (NaCl) 12
  • 49.
    The Covalent Bonding •Covalent bonding takes place between atoms with small differences in electronegativity and which are close to each other in the periodic table.(similar electronegativities) • Covalently bonded atoms share their electrons with other atoms (two or more). 13
  • 50.
    PROPERTIES OF COVALENTBONDING •Covalently bonded materials have poor electrical and thermal conductivity. Because the valance electrons are locked in bonds between atoms. •Diamond (C), silicon carbide (SiC), silicon nitride (Si3N4), and boron nitride (BN) all exhibit covalency. Their bonding energies may be weak as in bismuth or strong as in diamond; melting temperatures range from 270 C for bismuth to 3550 C for diamond. • Many nonmetallic elemental molecules (H2, Cl2, F2, etc.), as well as molecules containing dissimilar atoms, such as CH4, H2O, HNO3 and HF are covalently bonded. • Polymeric materials (e.g. CH4) typify covalent bond. The basic molecular structure being a long chain of carbon atoms that are covalently bonded together with two or their available four bonds per atom. 14
  • 51.
    Metallic Bonding • Metallicbonding occurs in metals and their alloys. • Metallic atoms have three or less valence electrons. • Metallic materials give up their valence electrons to form a "sea of electrons “ (or an electron cloud) surrounding the atoms. The valence electrons are weakly bonded to the positive‐ion cores and readily move in the metal crystal. • Aluminum (z=13), for example, gives up its three valence electrons, leaving behind a core consisting of the nucleus and inner electrons. • Since three negatively charged electrons are missing from this core, the core becomes an ion with a positive charge of three. • The valence electrons, which are no longer associated with any particular atom, move freely within the electron sea and become associated with several atom cores. • The positively charged atom cores are held together by mutual attraction to the electron, thus producing the strong metallic bond. These free electrons act as a “glue” to hold the ion cores together. valence electrons=3 positively charged ion core electron cloud (free electrons) Metallic bond 15
  • 52.
    PROPERTIES OF METALLICBONDING • •Their bonding energies may be weak or strong; energies range from 68 kJ/mol for mercury to 850 kJ/mol for tungsten. •Melting temperatures of metals range from • -39 oC to 3410 oC. • Metallic bond also allows metals to be good electrical and thermal conductors. Under the influence of an applied voltage, the valence electrons move, causing a current to flow if the circuit is complete. Other bonding mechanisms require much higher voltages to free the electrons from the bond. Valence electrons move 16
  • 53.
    Van der WaalsBonding • Van der Waals bonds join molecules or groups of atoms by weak electrostatic attractions. • Van der Waals bonding is somewhat similar to ionic bonding, that is, the attraction of opposite charges. The key difference is that no electrons are transferred. • Many plastics, ceramics, water, and other molecules are polarized; that is, some portions of the molecule tend to be positively charged, while other portions are negatively charged. • The electrostatic attraction between the positively charged regions of one molecule and the negatively charged regions of a second molecule weakly bind the two molecules together. In water, the resulting charge difference permits the molecule to be weakly bonded to other water molecules. Heating water to the boiling point breaks the van der Waals bonds and changes water to steam, but much higher temperatures are required to break the covalent bonds joining oxygen and hydrogen atoms. Covalent bond (primary bond, strong) Van der Waals bond (secondary bond, weak) Water molecule Water molecule 17
  • 54.
    The Structure of Crystalline Solids 1 TextBook: Chapter 3 / Pages 44-89
  • 55.
    Learning Objectives 1. Describethe difference in atomic structure between crystalline and noncrystalline materials. 2. Draw unit cells for face-centered cubic, bodycentered cubic, and hexagonal close-packed crystal structures. 3. Derive the relationships between unit cell edge length and atomic radius for face- centered cubic and body-centered cubic crystal structures. 4. Compute the densities for metals having facecentered cubic and body-centered cubic crystal structures given their unit cell dimensions. 5. Given three direction index integers, sketch the direction corresponding to these indices within a unit cell. 6. Specify the Miller indices for a plane that has been drawn within a unit cell. 7. Describe how face-centered cubic and hexagonal close-packed crystal structures may be generated by the stacking of close-packed planes of atoms. 8. Distinguish between single crystals and polycrystalline materials. 9. Define isotropy and anisotropy with respect to material properties. 2
  • 56.
    Levels of atomic arrangementsin materials: (a) Inert monoatomic gases have no regular ordering of atoms: (b,c) Some materials, including water vapor, nitrogen gas, amorphous silicon and silicate glass have short-range order. (d) Metals, alloys, many ceramics and some polymers have regular ordering of atoms/ions that extends through the material.
  • 57.
    Fundamental Concepts Solid materialsmay be classified according to the regularity with which atoms or ions are arranged with respect to one another. A crystalline material is one in which the atoms are situated in a repeating or periodic array over large atomic distances; that is, long‐range order exists, such that upon solidification, the atoms will position themselves in a repetitive three‐dimensional pattern, in which each atom is bonded to its nearest‐neighbor atoms. 4
  • 58.
    Fundamental Concepts, cont. •Metals, many ceramics, and some polymers have a crystalline structure in which the atoms are arranged in a regular repeating structure. • The atoms form a lattice in the crystalline structure. • The unit cell is a subdivision of the lattice that still retains the characteristics of the lattice. In other words, unit cells are small group of atoms which form a repetitive pattern. 5 A unit cell defines the crystal structure by virtue of its geometry and the atom positions within. By stacking unit cells, the entire lattice can be constructed.
  • 59.
    Bravais Lattices • Althoughthere are 7 crystal system, there are 14 distinct arrangements of lattice points. These unique arrangements of lattice points are known as the Bravais lattices. • Lattice points are located at the corners, the faces, the center or the base of the unit cells. In the orthorhombic system all four types are represented. The length of unit cell edges and the angles between cyristallographic axes are referred to as lattice parameters. There are 7 unique arrangements, known as crystal systems, which fill in a 3-dimensional space. 6
  • 60.
  • 61.
    Metallic Crystal Structures Mostelemental metals (about 90%) have three densely packed crystal structures:  Face‐centered cubic (FCC), (e.g. Cu, Al, Ag, Au, Pb, Ni, etc.)  Body‐centered cubic (BCC), (e.g. Cr, Fe, W, V, Mo, etc.)  Hexagonal close packed (HCP) (e.g. Zn, Mg, Co, Ti, Cd, etc.) • Most metals crystallize in these dense‐packed structures because energy is released as the atoms come closer together and bond more tightly with each other. Thus, the densely packed structures are in lower and more stable energy arrangements. • HCP is denser version of simple hexagonal crystal structure. BCC Structure FCC Structure HCP Structure 8
  • 62.
    • (a) ahard sphere unit cell representation, (b) a reduced‐sphere unit cell, and (c) an aggregate of many atoms. 9 BCC FCC Unit cell
  • 63.
    Close‐Packed Hexagonal • Figure3.3 For the hexagonal close‐packed crystal structure, (a) a reduced‐sphere unit cell (a and c represent the short and long edge lengths, respectively), and (b) an aggregate of many atoms. 10
  • 64.
    Coordination Number • Coordinationnumber is the number of atoms touching particular atoms, or the number of nearest neighbors. This is one indication of how tightly atoms are packed together. • Each atom in the SC lattice has a coordination number of 6. • Each atom in the BCC lattice has a coordination number of 8. • Each atom in the FCC lattice has a coordination number of 12. • Each atom in the HCP lattice has a coordination number of 12. llustration of coordinations in (a) SC and (b) BCC unit cells. 6 atoms touch each atom in SC, while the 8 atoms touch each atom in the BCC unit cell. 11
  • 65.
    Models for BCC •Body‐centered cubic (BCC) In BCC structures, atoms are located at all eight corners and a single atom at the cube center. Atoms touch along the body diagonal. Unit cell edge length for BCC structure
  • 66.
    Models for FCC •Face‐centered cubic(FCC) In FCC structures, atoms are located at each of the corners and centers of all the cube face . Atoms touch along the face diagonal of the cube. There are four atomic radii along this length—two radii from the face‐centered atom and one radius from each corner. 13 Unit cell edge length for FCC structure
  • 67.
    Atomic packing Factor,APF The APF is the sum of the sphere volumes of all atoms within a a unit cell (assuming the atomic hard‐sphere model) divided by the unit cell volume ‐ that is, 1. How we can determine the volume of atoms in a unit cell? 2. How we can determine total unit cell volume? 14
  • 68.
  • 69.
    • There isone‐half atom (i.e., one atom shared between two unit cells) in the center of each unit cell face and one‐eighth atom each unit cell corner, for a total of 4 atoms In each FCC unit. Number of atoms in BCC and FCC unit cells • One complete atom is located at the center of the unit cell, and one-eighth of a sphere is located at each corner of the cell. Thus there is a total of 2 atoms per BCC unit. cell unit atom 2 cell unit center 1 center atom 1 cell unit corners 8 corner atom 8 1                               BCC cell unit atom 4 cell unit face 6 face atom 2 1 cell unit corners 8 corner atom 8 1                               FCC 16
  • 70.
    Number of Atomsper Unit Cell in Cubic Crystal Systems In the SC unit cell cell unit atom 1 cell unit corners 8 corner atom 8 1 or cell unit int po lattice 1 cell unit corners 8 corner int po lattice 8 1                               A lattice point at a corner of one unit cell is shared by seven adjacent unit cell (thus a total of 8 cells); only one- eighth of each corner belongs to one particular cell. 17
  • 71.
    Relationship between atomicradius and lattice parameter in Cubic Crystal Systems In the SC unit cell: Atoms touch along the edge of the cube, so: r 2 a0  3 r 4 a0  BCC SC In the BCC: Atoms touch along the body diagonal, which is in length. There are two atomic radii from the center atom and one atomic radius from each of the corner atoms on the body diagonal. o a 3 In the FCC: Atoms touch along the face diagonal of the cube, which is in length. There are four atomic radii along this length-two radii from the face-centered atom and one radius from each corner. o a 2 FCC 2 r 4 a0  18
  • 72.
    Hexagonal‐close packed (HCP)structure Aggregate of many atoms for HCP Schematic representation of HCP. a and c represent the short and long edge lengths, respectively. • Metals do not crystallize into the simple hexagonal crystal structure, because atomic packing factor is too low. The atoms can attain a lower energy and a more stable condition by forming the HCP structure. So, HCP is a special form of the hexagonal structure. • In the hexagonal close packed structure, the top and bottom faces in the unit cell consist of six corner atoms and a single center atom. Another plane (midplane) which is situated between the top and bottom planes consist of three atoms. In other words, the six atoms is contained in each unit cell; one-sixth of each of the 12 top and bottom face corner atoms, one-half of each of the 2 center face atoms, and all 3 midplane interior atoms. cell unit atom 6 cell unit face center 2 face center atom 2 1 cell unit center 1 center atom 3 cell unit corners 12 corner atom 6 1                                                19
  • 73.
  • 74.
  • 75.
    The APF  0,74in the FCC 0,74 in the HCP 0,68 in the BCC 0,52 in the SC No common engineering metals have the SC structure. 22
  • 76.
  • 77.
  • 78.
    Density of BCCIron Example: Determine the density of BCC iron, which has a lattice parameter of 0.2866 nm. SOLUTION • Atoms/cell = 2, a=0.2866 nm = 2.866  10‐8 cm • Atomic mass = 55.847 g/mol • Volume of unit cell = (2.866  10‐8 cm)3 = 23.54  10‐24 cm3/cell • Avogadro’s number NA = 6.02  1023 atoms/mol 3 23 24 cm / g 882 . 7 ) 10 02 . 6 )( 10 54 . 23 ( ) 847 . 55 )( 2 (       25
  • 79.
    Atomic density Example: Niobiumhas an atomic radius of 0.1430 nm and a density of 8.57 g/cm3. Determine whether it has an FCC or BCC crystal structure. Atomic weight of Nb is 92.91 g/mol. Solution: 26
  • 80.
    Allotropy (polymorphism) • Manyelements or compounds exist in more than one crystalline form under different conditions of tempereture and pressure. This phenomenon is termed polymorphism or allotropy. • Iron exist in both BCC and FCC crystal structures over the temperature range from room temperature to its melting point 1538°C. • Alpha (α) iron exist from ‐273 to 912°C and has the BCC crystal structure. BCC FCC BCC 1539ºC 1400ºC 910ºC -Fe -Fe -Fe liquid iron system 27
  • 81.
  • 82.
    Crystallographic Points, Directions,and Planes When dealing with crystalline materials, it often becomes necessary to specify a particular point within a unit cell, crystallographic direction or plane of atoms. Crystallographic Points (Atom Positions in Cubic Unit Cell) To locate atom positions in cubic unit cell; x, y, and z axes are used.  y axis is the direction to the right.  x axis is the direction coming out of the paper.  z axis is the direction towards top.  Negative directions are to the opposite of positive directions.  Atom positions are located using unit distances along the axes. x, y, and z axes for locating atom positions in cubic unit cell Atom positions in BCC unit cell 29
  • 83.
  • 84.
  • 85.
  • 86.
    • Directions areespecially important for metals and alloys. Because the properties vary with crystallographic orientation. • In cubic crystals, Direction Indices are vector components of directions resolved along each axes, resolved to smallest integers. • To indicate a direction in a cubic unit cell, a direction vector is drawn from an origin, which is usually a corner of the cubic cell, until it emerges from the cube surface. • The direction indices are enclosed by square brackets with no separating commas. • The letters u, v, w are used in a general sense for the direction indices in the x, y, and z directions, respectively, and are written as [uvw] • All parallel direction vectors have the same direction indices. Directions in Cubic Unit Cell 33
  • 87.
  • 88.
  • 89.
  • 90.
    Some directions incubic unit cell 37
  • 91.
    Example: Draw thefollowing direction vector in cubic unit cell       1 2 3 ) c 10 1 ) b 112 ) a Solution 38
  • 92.
  • 93.
    Crystallographic Planes •Miller Indices: •The orientations of planes for a crystal structure are represented in a similar manner. • Again, the unit cell is the basis, with the three‐axis coordinate system as represented in Figure. • In all but the hexagonal crystal system, crystallographic planes are specified by three Miller indices as (hkl). • Any two planes parallel to each other are equivalent and have identical indices. 40
  • 94.
    The procedure employedin determination of the h, k, and l index numbers is as follows: 41
  • 95.
  • 96.
      0 12 5 Example: Determinethe Miller indices of the cubic crystallographic plane shown in the figure. Solution: 1) Transpose the plane parallel to the z axis ¼ unit to the right along the y axis as shown in the figure so that the plane intersects the x axis at a unit distance from the new origin located at the lower‐right back corner of the cube. 2) The new intercepts of the transposed plane with the coordinate axes are now (+1, ‐5/12, ∞). 3) Take the reciprocals of these intercepts to give (1, -12/5, 0). 4) Clear the 12/5 fraction to obtain for the Miller indices of this plane. 43
  • 97.
  • 98.
  • 99.
  • 100.
  • 101.
  • 102.
  • 103.
    Reversing the directionsof all indices specifies another plane parallel to, on the opposite side of and equidistant from, the origin. Several low‐index planes are below. 50
  • 104.
    A family ofplanes contains all those planes that are crystallographically equivalent‐that is, having the same atomic packing; and a family is designated indices that are enclosed in braces‐such as . . Example:   100 Family of Planes {hkl}                   1 1 1 , 1 1 1 , 1 11 , 1 11 , 11 1 , 11 1 , 111 , 111 : 111 Also, in the cubic system only, planes having the same indices, irrespective of order and sign, are equivalent.       . 123 2 1 3 3 2 1 , family the to belong and both example For 51
  • 105.
    In cubic crystals, [111]direction is perpendicular to (111) plane 52 One interesting and unique characteristic of cubic crystals is that planes and directions having the same indices are perpendicular to one another; however, for other crystal systems there are no simple geometrical relationships between planes and directions having the same indices.
  • 106.
    Linear and planardensities Linear and planar densities are important considerations relative to the process of slip-that is, the mechanism by which metals plastically deform. Slip occurs on the most densely packed crystallographic planes and, in those planes, along directions having the greatest atomic packing. 53
  • 107.
  • 108.
    Linear and planardensities Planar Density (PD) = Example 55
  • 109.
    Close Packed CrystalStructures • Both face‐centered cubic (FCC) and hexagonal close‐ packed (HCP) crystal structures have atomic packing factors of 0.74 which is the most efficient packing of atoms. A B C c a A sites B sites A sites FCC HCP 56
  • 110.
    • Coordination number=12 • ABAB... Stacking Sequence • APF = 0.74 • 3D Projection • 2D Projection Hexagonal Close‐Packed Structure (HCP) 6 atoms/unit cell ex: Cd, Mg, Ti, Zn c a A sites B sites A sites Bottom layer Middle layer Top layer For HCP, the stacking sequence is termed AB. This stacking sequence, ABABAB......, is repeated over and over. 57
  • 111.
    Study questions 1. (a)Drive linear density expressions for FCC [100] and [111] directions in terms of the atomic radius R. (b) Compute and compare linear density values for these same two directions for copper. RCu=0.128 nm 2. (a) Drive linear density expressions for BCC [110] and [111] directions in terms of the atomic radius R. (b) Compute and compare linear density values for these same two directions for iron. RFe=0.124 nm 3. (a) Drive planar density expressions for FCC (100) and (111) planes in terms of the atomic radius R. (b) Compute and compare planar density values for these same two planes for aluminum. RAl=0.143 nm 4. (a) Drive planar density expressions for BCC (100) and (110) planes in terms of the atomic radius R. (b) Compute and compare planar density values for these same two planes for molybdenum. RMo=0.136 nm 58
  • 112.
    Crystalline and NoncrystallineMaterials Single crystal • The repeated arrengement of atoms is perfect in single crystal. • All unit cell have the same orientation in single crystal. • They are anisotropic; properties are dependent of direction. • Single crystals exist in nature, but they also be produced artificially. But, they are ordinarily difficult to grow. Polycrystalline materials • They are composed of collection of many small grains. • There exist some atomic mismatch within the region where two grains meet; these area called grain boundary. • They are anisotropic or isotropic (properties are independent of direction). Even though each grain may be anisotropic, a specimen composed of the grain aggregate behaves isotropically. • Most of the engineering materials are polycrystalline. 59
  • 113.
    Solidification of acrystalline material 60
  • 114.
    ANISOTROPY  The physicalproperties of single crystals of some substances depend on the crystallographic direction in which measurements are taken. For example, the elastic modulus, the electrical conductivity, and the index of refraction may have different values in the [100] and [111] directions.  This directionality of properties is termed anisotropy, and it is associated with the variance of atomic or ionic spacing with crystallographic direction.  Substances in which measured properties are independent of the direction of measurement are isotropic. 61
  • 115.
    • Is anymetal isotropic or not? Why? 62
  • 116.
  • 117.
  • 118.
    IMPERFECTIONS IN CRYSTALSTRUCTURES In reality, crystals are never perfect and contain various types of imperfections and defects that affect many of their physical and mechanical properties, which in turn affect many important engineering properties of materials such as the cold formability of alloys, the corrosion of metals, the electric conductivity of semiconductors. Crystal lattice imperfections are classified according to their dimension: 1)Zero-dimensional (0D) or point defects: atoms missing (vacancies) or in irregular places in the lattice (interstitials, impurities). 2)One-dimensional (1D) or linear defects (dislocations): groups of atoms in irregular positions (e.g. screw and edge dislocations). 3)Two-dimensional (2D) or planar defects: interfaces between homogeneous regions of the material (grain boundaries, external surfaces, stacking faults, twin boundaries). 4)Three-dimensional (3D) or volume defects: extended defects (pores, cracks). 118
  • 119.
    POINT DEFECTS: VACANCY •Vacancy is the simplest point defect. A vacancy is produced when an atom or an ion, is missing from its normal atomic site in the crystal structure. • Vacancies may be produced during solidification and growth of crystals. Additional vacancies can be introduced in or treatment (plastic deformation, quenching (rapid cooling), etc.) • All crystalline solids have vacancy defects. In metals the equilibrium concentration of vacancies rarely exceeds about 1 in 10,000 atoms. • Vacancies can move by exchanging positions with their neighbours. Atomic diffusion in crystalline solids is extremely difficult without the point defects. Vacancy distortion of planes 119
  • 120.
    POINT DEFECTS: Selfinterstitial self- interstitial distortion of planes • Interstitial defects are also point defects. An interstitial defect is formed when an extra atom or ion is inserted into the crystal structure at a normally unoccupied position. This extra atom may be same type of atom (self interstitial) or an impurity atom (impurity interstitial). • It exists in very small concentration which is lower than vacancies. • A self-interstitial defect introduces large distortions in the surrounding lattice, because the atom is larger than the interstitial position. 120
  • 121.
    Impurities in Solids A pure metal consisting of only one type of atom just is not possible !!!  Impurity or foreign atoms will always be present. It is difficult to refine metals to a purity in excess of 99.9999%. At this level, ~1023 atoms/m3 impurity atoms will be present in a material.  A few metals are used in the nearly pure form. For example, high-purity copper of 99.99% purity is used for electronic wires because of its high conductivity.  Impurity atoms in ALLOYS are added intentionally to improve properties of materials such as mechanical strength and corrosion resistance. For example, carbon in small amounts in iron makes steel. Steel is stronger than pure iron. Sterling silver is a 92.5% silver – 7.5% copper alloy. Pure silver has highly corrosion resistance, but sterling silver is stronger than pure silver. Impurity point defects are found in solid solutions, of which there are two types: 1) Substitutional: For the substitutional type, solute or impurity atoms replace or substitute for the host atoms. 2) Interstitial: For interstitial solid solutions, impurity atoms fill the voids or interstices among the host atoms. 121
  • 122.
  • 123.
  • 124.
    LINEAR DEFECTS: DISLOCATIONS Dislocation:Defects that cause lattice distortion centered around a line in crystalline solids. Dislocations are line defects. Dislocations affect mechanical properties. They are introduced typically into the crystal during soldification of the material or when the material is deformed permanently. Plastic deformation of crystalline solids is difficult without dislocations. Two main types of dislocations: edge and screw dislocations. A combination of the two gives mixed dislocations. EDGE DISLOCATION  Edge dislocation is created in a crystal by the insertion of an extra half plane of atoms.  Within the region around the dislocation line there is some lattice distortion (atoms bend around this extra half-plane).  An edge dislocation represented by the inverted “tee”, , which also indicates position of the dislocation line (positive edge dislocation).  An edge dislocation may also be formed by an extra half-plane of atoms that is included in the bottom portion of the crystal; its designation is a T (negative edge dislocation). 124
  • 125.
    BURGERS VECTOR • Burgersvector (b): magnitude and direction of the lattice distortion associated with a dislocation. • “b” shows displacement of atoms (slip) and “b” is perpendicular to dislocation line for edge dislocation. • Magnitude of b is equal to the interatomic spacing. • Make a circuit around dislocation: go from atom to atom counting the same number of atomic distances in both directions. The perfect crystal in (a) is cut and an extra plane of atoms is inserted (b). The bottom edge of the extra plane is an edge dislocation (c). A Burgers vector b is required to close a loop of equal atom spacings around the edge dislocation. dislocation line 125 Edge-Dislocations-Texas-AM-Intro-to-Materials-MSEN-201.mp4
  • 126.
    The process bywhich a dislocation moves and causes a metallic material to deform is called slip. Dislocation motion requires the successive bumping of a half plane of atoms (from left to right here). Bonds across the slipping planes are broken and remade in succession. Motion of Edge Dislocation When a shear stress is applied to the dislocation in (a), the atoms are displaced, causing the dislocation to move one Burgers vector in the slip direction (b). Continued movement of the dislocation eventually creates a step (c), and the crystal is deformed. (d) Motion of caterpillar is analogous (smilar in structure) to the motion of a dislocation. 126 puntos-de-dislocacion.mp4
  • 127.
    SCREW DISLOCATION  Screwdislocation is created due to shear stresses applied to regions of a perfect crystal separated by a cutting plane.  Distortion of lattice in form of a spiral or helical ramp.  Burgers vector is parallel to dislocation line in a screw dislocation. Formation of a screw dislocation: A perfect crystal is sliced by a cutting plane, and up and down shear stresses are applied parallel to the cutting plane to form the screw dislocation. Apply shear Motion of a screw dislocation 127
  • 128.
    MIXED DISLOCATION Most dislocationsin crystalline materials are neither pure edge nor pure screw, but exhibit components of both types: mixed dislocation. The lattice distortion that is produced away from the two faces is mixed. Dislocations (dark lines) in a transmission electron micrograph Burgers vector is neither perpendicular nor parallel. 128
  • 129.
    INTERFACIAL DEFECTS (2-dimensionaldefects) Interfacial defects are boundaries that have two dimensions and normally separate regions of the materials that have different crystal structures and/or crystallographic orientations. INTERFACIAL DEFECTS  External Surfaces  Grain Boundaries  Twin Boundaries  Stacking Faults 129
  • 130.
    EXTERNAL SURFACES  Surfaceatoms are not bonded to the maximum number of the nearest neighbors.  Surface atoms are in higher energy state than the atoms at interior positions.  The bonds of these surface atoms that are not satisfied give rise to (cause) a surface energy, expressed in units of energy per unit area. Surface energy:  (J/m2).  To reduce this energy, materials tend to minimize the total surface area. For example, the droplets become spherical. This is not possible with solids, which are mechanically rigid. 130
  • 131.
    GRAIN BOUNDARIES  Grainboundaries separate two grains or crystals having different crystallographic orientation.  Grain boundaries are transition region between the neighboring crystals.  Grain boundaries may consist of various kinds of dislocation arrangements.  These regions are just several atom distances wide. High and Low Angle Grain Boundaries  When the misorientation between two grains is small, the grain boundary is called a small (or low)- angle boundary. < 20°, generally <10°.  When the misorientation between two grains is large, the grain boundary is called a high-angle grain boundary.  The magnitude of grain boundary energy is larger for high-angle grain boundaries.  Garin boundaries are chemically more reactive than the grains because of the grain boundary energy. Angle of misalignment Angle of misalignment High-angle grain boundary Small-angle grain boundary 131
  • 132.
  • 133.
    Tilt and TwistBoundaries  A simple small (or low)-angle grain boundary is formed when edge dislocations are aligned. This type is called a tilt boundary. : angle of misorientation  When the angle of orientation is parallel to the boundary, a twist boundary results. This boundary can be described by an array of screw dislocations.  It is possible to produce misorientations between grains by combined tilt and twist boundaries. In such a case, the grain boundary structure will consist of a network of edge and screw dislocations.   133
  • 134.
  • 135.
    TWIN BOUNDARIES  Twinboundaries are produced from applied mechanical forces (mechanical twins) and also during annealing heat treatment (annealing twins).  Annealing twins are found in metals that have FCC crystal structure.  Mechanical twins are observed in BCC and HCP metals.  Twinning occurs on a definite plane and a specific direction.  Similar to dislocations, twin boundaries tend to strengthen a material.  There is a mirror lattice symmetry in a twin boundary. The atoms on one side of the boundary are located in mirror-image positions of the atoms on the other side. 135
  • 136.
    STACKING FAULTS  Stackingfaults are found in FCC metals when there is an interruption in the ABCABCABC... stacking sequence.  For example: ABCABABC (the layer C is deficient).  Stacking faults also tend to strengthen the material. VOLUME DEFECTS  Volume defects include pores, cracks, foreign inclusions.  They are normally introduced during processing and fabrication steps.  The size of a volume defect may range from a few nanometer to centimeters or sometimes larger.  Such defects have a tremendous effect on the performance of the material. 136
  • 137.
    Solid Solutions (Alloys) Solid solution forms when the solute atoms are added to solvent (host) material. Ability to dissolve is called solubility.  A solid solution forms when the crystal structure is maintained, and no new structures are formed.  A solid solution is also homogeneous, the impurity atoms are randomly and uniformly dispersed within the solid.  Solvent: Element that is present in the greatest amount.  Solute: Element that is present in a minor concentration. Substitutional solid solution Interstitial solid solution Substitutional alloy (e.g., Cu in Ni) The solute or impurity atoms replace for the host atoms. Interstitial alloy (e.g., C in Fe) The solute or impurity atoms can enter the interstices or holes in the solvent or host atom lattice. Interstitial solid solutions can form when one atom is much larger than another. 137
  • 138.
    Interstitial Solid Solution Atomic radius of interstitial impurity must be substantially smaller than that of the solvent atoms. The atomic radius of the carbon atom is 0.071 nm; the atomic radius of the iron atom is 0.124 nm.  Atoms of hydrogen, carbon, nitrogen and oxygen form an interstitial solid solution due to their small sizes.  Maximum concentration of interstitial impurity atoms is less than 10% . Carbon forms an interstitial solid solution when added to iron; the max. concentration of carbon is about 2%.  Even very small impurity atoms are larger than the interstitial sites. Thus they introduce some lattice strains on the adjacent host atoms. 138
  • 139.
    MICROSCOPIC EXAMINATION  Inmost materials, the constituent grains are of microscopic dimensions, having diameters that may be on the order of microns, and their details must be investigated using some type of microscope.  Several microscopic techniques are used in microscopy: optical microscopy (light microscope) and electron microscopy (SEM- Scanning Electron Microscope and TEM-Transmission Electron Microscope).  Material scientists and engineers use this microscopes to understand the behavior of materials based on their microstructures, existing defects, microconstituents, and other characteristics specific to the internal structure. 139
  • 140.
    Optical Microscopy Optical metallographytechniques are used to study the features and internal makeup of materials at the micrometer level (magnification level of around 2000x) For optical microscopy examinations, some surface preparations (metallographic techniques) are necessary. These techniques include grinding and polishing (using abrasive paper and powders) and etching (using an chemical reagent).  The specimen surface must first be ground and polished to a smooth and mirrorlike finish. The chemical reactivity of the grains of polycrystalline materials depends on crystallographic orientation. Thus, etching characteristics vary from grain to grain. Three polished and etched grains reflect the light at angle different because of differences in crystallographic orientation. Microscope Polished and etched surface 140
  • 141.
     Since atomsalong grain boundary regions are more chemically active, they dissolve at a greater rate than those within the grains.  These grooves (boşluklar) reflect light at an angle different.  Thus grain boundary grooves are visible as a dark lines. Optical Microscopy 141
  • 142.
  • 143.
     Some structuralelements are too small to permit observation using optical microscopy. Under such circumstances the electron microscope may be employed.  An image of the structure under investigation is formed using beams of electrons instead of light radiation.  SEM (Scanning Electron Microscope): The surface of the specimen is scanned with an electron beam, and the reflected (back- scattered) beam of electrons are collected, then displayed at the screen. Specimen for SEM must be electrically conductive.  TEM (Transmission Electron Microscope): Image is formed by an electron beam that passes through the specimen. Details of microstructure can be observed by TEM. For example; dislocations. Specimen for TEM is in the form of a very thin foil. Electron Microscopes 143
  • 144.
    GRAIN SIZE  Affectsthe mechanical properties of the material.  The smaller the grain size, the more are the grain boundaries.  More grain boundaries means higher resistance to slip (plastic deformation occurs due to slip).  More grains means more uniform the mechanical properties are.  Grain structure is usually specified by giving the average diameter.  Grain size can be measured by two methods: Intercept method and ASTM method. 144
  • 145.
    Intercept Method  Thisis very easy and may be the preferred method for measuring grain size.  Straight lines all the same length are drawn through several photomicrographs that show the grain structure.  The grain intersected by each line segment are counted; the line length is then divided by an average of the number of grains intersected, taken over all the line segments.  The average grain diameter is found by dividing this result by the linear magnification of the photomicrographs.  Several lines should be drawn to obtain a statistically significant result. m 5 . 21 ) m 3 . 14 ( 2 3 D m 3 . 14 1000 7 10 10 l 4           Examle: L=10 cm, Nl= 7, M=1000x, D=? M N L l l   l D   2 3 L= length of the line, Nl= number of grain-boundary intercepts M= magnification, = mean lineal intercept, D= grain size l  145
  • 146.
    ASTM Method • Thismethod of measuring grain size is common in engineering applications. 1 n 2 N   N: number of grains per square inch (at 100×) n: ASTM grain size number  n < 3 Coarse grained  4 < n < 6 Medium grained  7 < n < 9 Fine grained  n > 10 Ultrafine grained 146
  • 147.
    Example: 1 n 2 N   Solution: a) b)At magnifications other than 100x, use of the following modified form of is necessary: 1 n 2 N   1 n 2 M 2 100 M N         NM: number of grains per square inch at magnification M. 147
  • 148.
    Example: Determine theASTM grain size number if 30 grains per square inch are measured at a magnification of 250. 1 n 2 M 2 100 M N         Solution: 148
  • 149.
  • 150.
    Diffusion  Diffusion isthe movement of atoms within a material.  Diffusion takes place in gases, liquids and solids.  For metallic materials, diffusion is a solid state process.  Most metallic materials contain large numbers of a lattice defects. These defects accelerate diffusion. 148
  • 151.
  • 152.
  • 153.
    Interdiffusion In analloy, atoms tend to migrate from regions of high concentration to regions of low concentration. (a) A copper–nickel diffusion couple after a high- temperature heat treatment, showing the alloyed diffusion zone. (b) Schematic representations of Cu (red circles) and Ni (blue circles) atom locations within the couple. (c) Concentrations of copper and nickel as a function of position across the couple. 151
  • 154.
    A B C D A B C D Label some atoms Aftersome time 152 Selfdiffusion Diffusion also occurs for pure metals, but all atoms exchanging positions are of the same type.
  • 155.
    Diffusion Mechanisms 153 Diffusion isthe migration of atoms from lattice site to lattice site. The ability of atoms to move is related to an empty adjacent site sufficient energy of atoms to break bonds
  • 156.
    Diffusion Mechanisms 154 1- Vacancydiffusion • The number of vacancies increases as the temperature increases.
  • 157.
    Diffusion Mechanisms, cont., 155 2-Interstitial diffusion •Because there are more interstitial sites than vacancies, interstitial diffusion is more rapid than vacany diffusion.
  • 158.
  • 159.
    Rate of Diffusion •The rate of diffusion in a material can be measured by the diffusion flux (J). • J is the number of atoms passing through a plane of unit area per unit time. • The units for J are kilograms or atoms per meter squared per second (kg/m2-s or atom/m2-s) 157
  • 160.
    Steady-State Diffusion (Fick’sFirst Law) If the diffusion flux does not change with time, steady state diffusion exist. FICK’S FIRST LAW- diffusion flux for steady-state diffusion (in one direction): 158
  • 161.
    One practical exampleof steady-state diffusion is found in the purification of hydrogen gas. One side of a thin sheet of palladium metal is exposed to the impure gas composed of hydrogen and other gaseous species such as nitrogen, oxygen, and water vapor. The hydrogen selectively diffuses through the sheet to the opposite side, which is maintained at a constant and lower hydrogen pressure. 159 (a)Steady-state diffusion across a thin plate. (b) A linear concentration profile for the diffusion situation in (a).
  • 162.
  • 163.
    Nonsteady-State Diffusion (Fick’sSecond Law) • Most practical diffusions are nonsteady-state (or dynamic) ones. • If the diffusion flux changes with time, nonsteady-state diffusion exist. 161
  • 164.
  • 165.
  • 166.
  • 167.
  • 168.
  • 169.
  • 170.
  • 171.
    Activation Energy forDiffusion A diffusion atom must past the surrounding atoms to reach its new site. In order to move to a new location, the atom must overcome an energy barrier. The energy barrier is the activation energy (Q). Heat supplies the atom with the energy needed to exceed this barrier. Activation energies are lower for interstitial diffusion than for vacany diffusion. A low activation energy indicates easy difusion. 169
  • 172.
  • 173.
    Dependence of thediffusion coefficient on temperature 171
  • 174.
  • 175.
  • 176.
  • 177.
  • 178.
    Problems Q1. At 300°Cthe diffusion coefficient and activation energy for Cu and in Si are 7.8×10-11 m2/s and 41.5 kJ/mol. What is the diffusion coefficient at 350°C? Solution: 176
  • 179.
    Problems Q2. An FCCFe-C alloy initially containing 0.2 wt% C is carburized at on elevated temperature and in an atmosphere that gives a surface carbon concentration constant at 1 wt%. If after 49.5 h the concentration of carbon is 0.35 wt% at a position 4 mm below the surface, determine the temperature at which the treatment was carried out. (D0= 2.3×10-5 m2/s, Q=148 kJ/mol) Solution: z erf(z) 0.90 0.7970 z 0.8125 0.95 0.8209 177
  • 180.
  • 181.
    Problems Q3. Carbon froma gaseous phase, with 1.2% carbon, is to be diffused into a steel piece with a uniform carbon concentration 0.1% at 950°C. The diffusion coefficient of carbon in iron at 950°C is 1.6×10-11 m2/s. What will be the carbon concentration at 0.4 mm below the surface after 10 hours. Solution: z erf(z) 0.25 0.2763 0.26 erf(z) 0.30 0.3286 179
  • 182.
  • 183.
    PHASE DIAGRAMS Textbook /Chapter 9 / pp 281-341 255
  • 184.
    Definitions and BasicConcepts  Solubility: The amount of one material that will completely dissolve in a second material without creating a second phase. A solid solution consists of atoms of at least two different types; the solute atoms occupy either substitutional or interstitial positions in the solvent lattice. 250
  • 185.
    Definitions and BasicConcepts  For example, the sugar-water syrup solution is one phase, and solid sugar is another. Each has different physical (liquid and solid) and chemical (pure and solution) properties.  Water and ice in a container are two phases, physically dissimilar but chemically the same.  FCC and BCC structures are separate phases for a polymorphic material. The three forms of water – gas, liquid, and solid – are each a phase. 250  Phase: A portion of a system that has uniform physical and chemical characteristics. Every pure material is considered to be a phase; so also is every solid, liquid, gaseous solution.
  • 186.
    Solubility  Unlimited solubility:When the amount of one material that will dissolve in a second material without creating a second phase is unlimited. Alloys that form from materials that are completely soluble in each other, e.g. Cu and Ni are mutually soluble in any amount (unlimited solid solubility). Limited solubility: When only a maximum amount of a solute material can be dissolved in a solvent material.  Not all materials are completely soluble. (e.g. alcohol has unlimited solubility in water, carbon has a limited solubility in Fe, sugar has a limited solubility, oil is insoluble). 258
  • 187.
    Solubility limit  Solubilitylimit: Maximum concentration of solute atoms that may dissolve in the solvent.  Addition of solute atoms beyond solubility limit results in formation another solid solution or compound with different composition. Single-phase system: Sometimes its termed homogeneous. Two or more phases: They are termed mixtures or heterogeneous systems. (e.g. water + ice, separated by a phase boundary.) 259
  • 188.
    260  Equilibrium: Asystem is at equilibrium if its characteristics do not change with time. This means the system is stable. Equilibrium is achieved given sufficient time, but that may be very long.  Metastable (yarı dengeli): It is often the case, especially in solid systems, that a state of equilibrium is extremely slow; such a system is said to be in a metastable state. Phase diagram: Combination of temperature, pressure or composition for which specific phases exist at equilibrium. Phase diagrams help understand and predict microstructures. • Definitions and Basic Concepts
  • 189.
    Figure 9.2 Pressure–temperaturephase diagram for H2O. Intersection of the dashed horizontal line at 1 atm pressure with the solid–liquid phase boundary (point 2) corresponds to the melting point at this pressure (T 0C). Similarly, point 3, the intersection with the liquid–vapor boundary, represents the boiling point (T 100C). 261
  • 190.
    • Another typeof extremely common phase diagram is one in which temperature and composition are variable parameters, and pressure is held constant— normally 1 atm. • There are several different varieties; in the present discussion, we will concern ourselves with binary alloys—those that contain two components. 262
  • 191.
    Binary Isomorphous System: CompletelySoluble Elements •Isomorphous phase diagram: A phase diagram in which components display unlimited solid solubility (complete solubility). • •The Cu-Ni system is isomorphous because of this complete liquid and solid solubility of the two components. 263
  • 192.
    264 Liquidus temperature: Thetemperature at which the first solid begins to form during solidification. Solidus temperature: The temperature below which all liquid has completely solidified. Cu-Ni phase diagram The ordinate is temperature and the abscissa represents the composition of the alloy in weight. The composition ranges from 0 wt% Ni (100 wt% Cu) on the left horizontal extremity to 100 wt% Ni (0 wt% Cu) on the right. Three different phase regions appear on the diagram, an alpha (α) field, a liquid (L) field, and a two-phase (α+L) field. Phases exist over the range of temperatures and compositions delimited by the phase boundary lines.  The liquid (L) is a homogeneous liquid solution composed of both Cu and Ni.  The α phase (FCC) is a substitutional solid solution consisting of both Cu and Ni atoms.
  • 193.
    For a binarysystem of known composition and temperature that is at equilibrium, at least three kinds of information are available: 1. The phases that are present, 2. the compositions of these phases, 3. the percentages or fractions of the phases. 265
  • 194.
  • 195.
    2) In all two-phaseregions (and in two-phase regions only), one may imagine a series of horizontal lines, one at every temperature; each of these is known as a tie line, or sometimes as an isotherm. These tie lines extend across the two-phase region and terminate at the phase boundary lines on either side. To compute the equilibrium concentrations of the two phases, the following procedure is used: 1. A tie line is constructed across the two-phase region at the temperature of the alloy. 2. The intersections of the tie line and the phase boundaries on either side are noted. 3. Perpendiculars are dropped from these intersections to the horizontal composition axis, from which the composition of each of the respective phases is read. 267
  • 196.
  • 197.
    3) If the compositionand temperature position is located within a two-phase region, things are more complex. The tie line must be utilized in conjunction with a procedure that is often called the lever rule (or the inverse lever rule), which is applied as follows: 1. The tie line is constructed across the two-phase region at the temperature of the alloy. 2. The overall alloy composition is located on the tie line. 3. The fraction of one phase is computed by taking the length of tie line from the overall alloy composition to the phase boundary for the other phase, and dividing by the total tie line length. 4. The fraction of the other phase is determined in the same manner. 5. If phase percentages are desired, each phase fraction is multiplied by 100. When the composition axis is scaled in weight percent, the phase fractions computed using the lever rule are mass fractions—the mass (or weight) of a specific phase divided by the total alloy mass (or weight). The mass of each phase is computed from the product of each phase fraction and the total alloy mass. 269
  • 198.
  • 199.
  • 200.
  • 201.
  • 202.
    Equilibrium Cooling At thispoint it is instructive to examine the development of microstructure that occurs for isomorphous alloys during solidification.We first treat the situation in which the cooling occurs very slowly, in that phase equilibrium is continuously maintained. 274
  • 203.
    Nonequilibrium Cooling Conditions ofequilibrium solidification and the development of microstructures are realized only for extremely slow cooling rates. The reason for this is that with changes in temperature, there must be readjustments in the compositions of the liquid and solid phases in accordance with the phase diagram (i.e., with the liquidus and solidus lines), as discussed. These readjustments are accomplished by diffusional processes—Diffusion is a time-dependent phenomenon (Section 5.3), to maintain equilibrium during cooling, sufficient time must be allowed at each temperature for the appropriate compositional readjustments. Diffusion rates are especially low for the solid phase and, for both phases, decrease with diminishing (azalan) temperature. In virtually all practical solidification situations, cooling rates are much too rapid to allow these compositional readjustments and maintenance of equilibrium; consequently, microstructures other than those previously described develop. 275
  • 204.
  • 205.
  • 206.
    Another type ofcommon and relatively simple phase diagram found for binary alloys is shown in Figure 9.7 for the copper–silver system; this is known as a binary eutectic phase diagram. 278
  • 207.
    Binary Phase Diagramfor partially soluble elements or compounds 279 It is much more common to find that solids are partly soluble in one another rather than be either completely soluble or completely insoluble. Cu–Ag, Pb-Sn systems display this behavior. Three single-phase regions: α, β, and liquid. The α-phase is a solid solution rich in A atom; it has B atom as the solute component. Otherwise in β-phase solid solution, A is the solute. There are also three two-phase regions found for the system: The α+L, β+L and α+β. Solvus line: The solid solubility limit line separating the α (or β) and α+β phase regions. Eutectic point: The lowest melting point of any composition for the alloy.
  • 208.
  • 209.
  • 210.
  • 211.
  • 212.
  • 213.
  • 214.
  • 215.
  • 216.
    Eutectic Reaction  Eutecticmeans easily fused. Upon cooling, liquid phase is transformed into the solid  and solid  phases at the temperature TE (eutectic temperature). This is called a eutectic reaction..  The phase diagram for lead–tin (Pb-Sn) is an example of eutectic system. In this diagram solid solutions phases are designated by  and .   represents a solid solution of tin in lead and  represents a solid solution of lead in tin.  The eutectic point is located at 61.9 wt% Sn + 38.1 wt% Pb (eutectic composition) and 183C (eutectic temperature).  Eutectic composition freezes at a lower temperature than all other composition!!! 327°C 232°C Pb-Sn phase diagram 2 On this diagram, at 0ºC, only 2% Sn can dissolve in α. As the temperature increases, more Sn dissolves into the Pb until, at 183ºC, the solubility of Sn in Pb has increased to 19% Sn. This is the maximum solubility of Sn in Pb. Eutectic alloy
  • 217.
    Pb-Sn Phase Diagram(Eutectic Phase Diagram) 289 Solidification and microstructure of a Pb-2% Sn alloy. The alloy is a single- phase solid solution.  Alloys that contain 0 to 2% Sn behave exactly like the Cu-Ni alloys; a single-phase solid solution α forms during solidification. Solidification, precipitation, and microstructure of a Pb-10% Sn alloy. Some dispersion strengthening occurs as the β solid precipitates.  Alloys containing between 2% and 19% Sn also solidify to produce a single solid solution α. However, as the alloy continues to cool, a solid state reaction occurs, permitting a second solid phase (β) to precipitate from the original α phase.
  • 218.
  • 219.
  • 220.
  • 221.
    Hypoeutectic and HypereutecticAlloys 293 A hypoeutectic alloy is an alloy whose composition will be between that of the left-hand-side end of the tie line defining the eutectic reaction and eutectic composition. In the Pb-Sn system, any composition between 19% and 61.9% Sn is hypoeutectic. A hypereutectic alloy is an alloy whose composition will be between that of the right-hand-side end of the tie line defining the eutectic reaction and eutectic composition. In the Pb-Sn system, any composition between 61.9% and 97.5% Sn is hypereutectic.
  • 222.
    Hypoeutectic and hypereutecticmicrostructures 294 A hypoeutectic Pb-Sn alloy A hypereutectic Pb-Sn alloy The dark constituent is the lead-rich solid α, the light constituent is the Sn-rich solid β, and the fine plate structure is the eutectic. eutectic eutectic β α
  • 223.
  • 224.
  • 225.
  • 226.
  • 227.
  • 228.
  • 229.
  • 230.
  • 231.
  • 232.
  • 233.
  • 234.
  • 235.
  • 236.
  • 237.
  • 238.
  • 239.
  • 240.
  • 241.
  • 242.
  • 243.
  • 244.
  • 245.
    End of thechapter 317
  • 246.
  • 247.
    251  Eutectoid reactionis important in heat treatment of steels.  Eutectic reaction is important for cast irons. The Iron-Carbon Phase Diagram 100% 100%
  • 248.
    252 Austenite (): Theinterstitial solid solution of carbon in  iron is called austenite. Austenite has an FCC crystal structure and a much higher solid solubility for carbon than α-ferrite. The solid solubility of carbon in austenite is a max. of 2.14% at 1147 C and decreases to 0.76% at 727C. FCC has larger interstitial sites. The solubility is about 100 times greater in austenite than in ferrite because of the larger hole in FCC unit cells. Solid Phases in Fe-C Phase Diagram α-ferrite: This phase is an interstitial solid solution of carbon in the BCC iron crystal lattice. Carbon is only slightly soluble in a α-ferrite, reaching a max. solid solubility of 0.022% at 727C. The solubility of carbon in α-ferrite decreases to 0.005% at 0C. BCC has relatively small interstitial sites.
  • 249.
    253   ferrite:The interstitial solid solution of carbon in  iron is called  ferrite. It has a BCC crystal structure like α-ferrite but with a greater lattice constant. The max. solid solubility of carbon in  ferrite is 0.09% at 1493C. Cementite: The intermetallic compound Fe3C (iron carbide) is called cementite. Cementite has a composition of 6.7% C and 93.3% Fe. Cementite is a hard and brittle compound. Solid Phases in Fe-C Phase Diagram
  • 250.
    254 Reactions in theFe- C Phase Diagrams  Eutectic reaction- At the eutectic reaction point, liquid of 4.3% C forms  austenite of 2.14% C and the intermetallic compound Fe3C (cementite) which contains 6. 7% C. This reaction which occurs at 1147 C.  Eutectoid reaction- At the eutectoid reaction point, solid austenite of 0.76% C produces α-ferrite with 0.022% C and Fe3C (cementite) which contains 6.7% C. This reaction which occurs at 727C.  Steel which contains 0.76% C is called a eutectoid steel..I  If a steel contains less than 0.76% C, it is termed a hypoeutectoid steel.  If a steel contains more than 0.76% C, it is termed a hypereutectoid steel.   C % wt 3 . 4 L     C % wt 70 . 6 C Fe C % wt 14 . 2 3  
  • 251.
    255 Slow Cooling ofEutectoid Steels  If a sample of a 0.76% (eutectoid) steel is heated to about 750C (at point a) and held for a sufficient time, its structure will become homogeneous austenite. This process is called austenitizing.  If this steel is then cooled very slowly to just below the eutectoid temperature (at point b), austenite transform to α- ferrite and cementite (Fe3C). This lamellar structure is called pearlite.
  • 252.
    256 Microstructure of EutectoidSteel Carbon atoms diffuse away from 0.022 wt% ferrite regions and to the 6.7 wt% cementite layers, as the pearlite extends from the grain boundary into the unreacted austenite grain. The layered pearlite forms because carbon atoms need diffuse only minimal distances with the formation of this structure. Growth and structure of pearlite: redistribution of carbon and iron Pearlite microstructure: In the micrograph, the dark areas are Fe3C layers, the light phase is α-ferrite
  • 253.
    257 Microstructure of HypoeutectoidSteel If a sample which has Co% C is heated to point C, its structure will become austenite. Then, if this steel is slowly cooled to temperature d, proeutectoid ferrite will nucleate and and grow at the austenitic grain boundaries. If this alloy is slowly cooled from temperature d to e, the amount of proeutectoid ferrite formed will continue. While the steel is cooling from d to e, the carbon content of the remaining austenite will be increased from 0.4% to 0.76%. At 727C, the remaining austenite will transform into pearlite by the eutectoid reaction:    + Fe3C (Pearlite) The  ferrite in the pearlite is called eutectoid ferrite to distinguish it from the preeutectoid ferrite which forms first above 727C.  + Fe3C α + Fe3C  α α Hypoeutectoid steel contains proeutectoid ferrite formed above eutectoid temperature and pearlite that contains eutectoid ferrite and cementite. proeutectoid α pearlite
  • 254.
    258 Microstructure of HypereutectoidSteel If a sample which contains C1% C is heated to point g, its structure will become all austenite. Then, if this steel is cooled very slowly to temperature h, proeutectoid cementite will begin to nucleate and grow at the austenit grain boundaries. With further slow cooling to just above 727 C, the carbon content of the austenite remaining in the alloy will change from 1.2 to 0.76%. With still further slow cooling to temperature, the remaining austenite will transform to pearlite by the eutectoid reaction. The cementite formed by the eutectoid reaction is called eutectoid cementite to distinguish it from the proeutectoid cementite formed at temperature above 727C  + Fe3C α + Fe3C α +   Hypereutectoid steel contains proeutectoid cementite (formed above eutectoid temperature) plus pearlite that contains eutectoid ferrite and cementite. proeutectoid Fe3C pearlite
  • 255.
    259 Calculation of theRelative Amounts of Proeutectoid Phase (α) and Pearlite         022 . 0 7 . 6 C 7 . 6 X V U T X V U W 0                  W W W pearlite in Hypoeutectoid alloy of composition C'0 Fraction of pearlite: Fraction of proeutectoid ferrite: Fraction of total ferrite: Fraction of Ferrite in pearlite (eutectoid α):
  • 256.
    260 Calculation of theRelative Amounts of Proeutectoid Phase (Fe3C) and Pearlite         022 . 0 7 . 6 022 . 0 C X V U T V U T W 1            C Fe C Fe pearlite in C Fe 3 3 3 W W W    Hypereutectoid alloy of composition C'1 Fraction of pearlite: Fraction of proeutectoid cementite: Fraction of total cementite: Fraction of cementite in pearlite (eutectoid Fe3C):
  • 257.
    261 Example: Calculate theamounts of ferrite and cementite present in pearlite. Solution: Since pearlite must contain 0.76% C, using the lever rule: % 1 . 11 100 022 . 0 7 . 6 022 . 0 76 . 0 % C Fe % 9 . 88 100 022 . 0 7 . 6 76 . 0 7 . 6 % 3           
  • 258.
  • 259.
    The Influence ofOther Alloying Elements  Additions of other alloying elements alter iron- carbon phase diagram.  The extent of these alterations of the positions of phase boundaries and the shapes of the phase fields depends on the particular alloying element and its concentration.  One of the important changes is the shift in position of the eutectoid with respect to temperature and to carbon concentration. 263
  • 260.
    PROBLEMS (Callister, pp.304-310) 264 Solution: a) The proeutectoid phase is Fe3C since 0.95 wt% C > 0.76 wt% C (the eutectoid composition). b) Total ferrite: Total cementite: c) d)
  • 261.
    PROBLEMS (Callister, pp.304-310) 265 Solution:
  • 262.
    PROBLEMS (Callister, pp.304-310) 266 Solution: a) b) c)
  • 263.
    PHASE TRANSFORMATION INMETALS 267  Phase transformations are important in the processing of materials, and usually they involve some alteration of the microstructure.  With phase transformations, normally, at least one new phase is formed that has different physical/chemical characteristics and/or a different structure than the parent phase. TTT (Time-Temperature-Transformation) Diagrams  TTT diagrams describe the time required at any temperature for a phase transformation to begin and end.  Isothermal transformation diagrams  Continuous cooling transformation diagrams  Isothermal transformation: The amount of a transformation at a particular temperature depends on the time (temperature is hold constant during transformation).
  • 264.
    268 Isothermal Transformation Diagrams:Pearlite Transformation  Both the time and temperature dependence of the austenite-to-pearlite transformation is in the bottom of the Figure.  The vertical and horizontal axes are, respectively, temperature and logarithm of time.  Two solid curves are plotted.  One represents the time required at each temperature for the start of the transformation. The other is for the transformation conclusion.  The dashed curve corresponds to 50% of transformation completion.  These curves were generated from a series of plots of the percentage transformation versus the logarithm of time taken over a range of temperatures.  The S-shaped curve (for 675ºC), in the upper portion of the Figure, illustrates how the data transfer is made.
  • 265.
    269  Very rapidcooling of austenite to a temperature is indicated by the near-vertical line AB.  Isothermal treatment at this temperature is BCD.  Transformation of austenite to pearlite begins at the intersection, point C after approximately 3.5 second.  Transformation of austenite to pearlite finishes at point D, after about 15 s. Isothermal Transformation Diagrams: Pearlite Transformation
  • 266.
    270 Microstructure of Pearlite coarsepearlite fine pearlite  Ferrite and cementite layer thickness in the pearlite depends on the temperature which isothermal transformation occurs.  Transformation at high temperatures: thick layers of ferrite and cementite are produced. This is called coarse pearlite. At these temperatures diffusion rates is high.  Transformation at low temperatures: the carbon diffusion rate decreases and the layers become thinner. This is called fine pearlite. Fine pearlite is produced at 540 C.
  • 267.
    271  In additionto pearlite, other microconstituents that are products of the austenitic transformation exist, one of these is called bainite.  The microstructure of bainite consists of ferrite and cementite phases and is diffusional processes.  Bainite forms as needles or plates, depending on the temperature of the transformation.  All three curves have nose at point N, where the rate of transformation is a maximum.  Pearlite forms above the nose (over the temperature range of 540 to 727C.  Bainite forms at temperatures between 215 to 540C. Isothermal Transformation Diagrams: Bainite Transformation Isothermal transformation diagram for an iron-carbon alloy of eutoctoid composition, including austenite-to-pearlite (A-P) and austenite-to-bainite (A-B) transformations.
  • 268.
    272 Bainitic Microstructure  T~ 350-540°C, upper bainite consists of needles of ferrite separated by long cementite particles.  T ~ 215-350°C, lower bainite has thin plates of ferrite and fine rods of cementite. Upper bainite Lower bainite
  • 269.
    Martensitic transformation  Ifa sample of a steel in the austenitic condition is rapidly cooled (or quenched) to room temperature its structure will be changed from austenite to martensite.  Austenite-to-martensite is diffusionless and fast. Since martensite is a metastable phase, it does not appear in phase Fe-C phase diagram. However, it is represented on the isothermal transformation diagram.  The martensitic transformation occurs when the quenching rate is rapid enough to prevent carbon diffusion. Since the transformation takes place so rapidly that the atoms do not have time to intermix. Any diffusion whatsoever will result in the formation of ferrite and cementite phases. 273  Martensite has body-centered tetragonal (BCT: (like BCC, but one unit cell axis longer than other two)) structure.  Of the various microstructures in steel alloys martensite is the hardest, strongest but most brittle.  Martensite needs to be tempered to get better ductility.  Tempering is the process of heating a martensitic steel at a temperature below the eutectoid transformation temperature to make is softer and more ductile.
  • 270.
     The beginningof martensitic transformation is represented by a horizontal line labeled M (start).  Two other horizontal and dashed lines, labeled M(50%) and M(90%), indicate percentages of the austenite to martensite transformation.  The horizontal and linear character of these lines indicates that the martensitic transformation is independent of time.  Consider an alloy of eutectoid composition that is very rapidly cooled from a temperature above 727°C to, say, 165°C. 50% of the austenite will transform to martensite; and as long as this temperature is maintained, there will be no further transformation.  100% martensite transformation lies below the ambient for an Fe-C alloy of eutectoid composition. 274 A: Austenite P: Pearlite B: Bainite M: Martensite Martensitic transformation
  • 271.
    275 Martensitic Microstructure Martentite needles Austenite 60 m Martensite grains take o a plate-like or needle-like appearance.  The austenite in the photo is retained austenite that did not transform during the rapid quench.  Martensite as well as other microconstituents (e.g., pearlite) can coexist.
  • 272.
    276 Example Using the isothermaltransformation diagram for an Fe-C alloy of eutectoid composition, specify the nature of the final microstructure (in terms of microconstituents present and approximate percentages) of a small specimen that has been subjected to the following time-temperature treatments. In each case assume that the specimen begins at 760 °C and that it has been held at this temperature long enough to have achieved a complete and homogeneous austenitic structure. Solution
  • 273.
  • 274.
    278 CCT (Continuous CoolingTransformation) DIAGRAMS  Isothermal heat treatments are not the most practical because an alloy must be rapidly cooled to and maintained at an elevated temperature from a higher temperature above the eutectoid.  Most heat treatments for steels involve the continuous cooling of a specimen to room temperature.  For continous cooling, the time required for a reaction to begin and end is delayed. Thus the isothermal curves are shifted to longer times and lower temperatures.  The transformation starts after a time period corresponding to the intersection of the cooling curve with the beginning reaction curve and concludes upon crossing the completion transformation curve.
  • 275.
    279 CCT (Continuous CoolingTransformation) DIAGRAMS  Normally, bainite will not form when an alloy of eutectoid composition or any plain carbon steel is continuously cooled to room temperature.  This is because all the austenite will have transformed to pearlite by the time the bainite transformation has become possible.  Thus, the region representing the austenite- pearlite transformation terminates just below the nose (see Fig.) as indicated by the curve AB.  For any cooling curve passing through AB in the Fig., the transformation ceases (stops) at the point of intersection; with continued cooling, the unreacted austenite begins transforming to martensite upon crossing the M (start) line.  M (start), M (50%), and M (90%) lines occur at identical temperatures for both isothermal and continuous cooling transformation diagrams.
  • 276.
    280 CCT (Continuous CoolingTransformation) DIAGRAMS  The critical quenching rate is the minimum rate of quenching.  Only martensite will exist for quenching rates greater than the critical.  This critical cooling rate will just miss the nose at which pearlitic transformation begins.  There will be a range of rates over which both pearlite and martensite are produced.  Totally pearlitic structure developes for low cooling rates.
  • 277.
    281 PROBLEMS (Callister, pp.352-357)  From the Fig., a horizontal line at 675°C intersects the 50% and reaction completion curves at 80 and 300 seconds, respectively.  These are the times asked for in the problem statement. Solution:
  • 278.
    282 PROBLEMS (Callister, pp.352-357) Solution:
  • 279.
    283 PROBLEMS (Callister, pp.352-357) Solution:
  • 280.
    MECHANICAL PROPERTIES OF METALS TextBook: Chapter 6 / Pages 151-195 FAILURE Text Book: Chapter 8 / Pages 235-279 174
  • 281.
    MECHANICAL TESTING ANDPROPERTIES TYPES OF LOADING  Deformation occurs when forces are applied to a material.  There are three principal ways in which a load may be applied: tension, compression and shear. However, many loads are torsional rather than pure shear. Tension Load: As the ends of material are pulled apart to make the material longer, the load is called a tension load. Compression Load: As the ends of material are pushed in to make the material shorter, the load is called a compression load. Shear Load: The load imposed parallel to the upper and lower faces. Torsion is a variation of pure shear, wherein a structural member is twisted. Torsional forces produce a rotational motion about the longitudinal axis of one end of the member relative to the other end. 175
  • 282.
    MECHANICAL TESTING ANDPROPERTIES Compression Tension Dashed lines represent the shape before deformation, solid lines after deformation. How a tensile load produces an elongation How a compressive load produces contraction F: axial force A0: cross-sectional area A0 perpendicular to F. lo: original length l : final length. 176
  • 283.
    Stress - Strain •Forces are measured in Newtons (N), so stress has the dimensions of N/m2 or Pa. But a stress of 1 N/m2 is tiny, so the usual unit is MN/m2 (106N/m2), called Mega Pascals, symbol MPa. • Strain is the response of materials to stress, since strain is the ratio of two lengths, it is dimensionless. Strain can be negative for compressive loads. Shear Stress – Shear Strain Stress (σ): Force per unit area. Strain (ε): Amount of deformation per unit length.  = F/A0  = (l - l0)/l0 = l/l0 Shear stress:  = F/A0 F is applied parallel to upper and lower faces each having area A0. Shear strain:  = tan  = w/l0  is strain angle. l0 w Torsional deformation Sher strain 177
  • 284.
    ELASTIC DEFORMATION Modulus ofElasticity & Hooke’s Law  Deformation in which stress and strain are proportional is called elastic deformation. Hooke’s Law:  The constant of proportionality E is the modulus of elasticity or Young’s Modulus.  The slope of linear region of stress-strain curve corresponds to the modulus of elasticity.  The modulus of elasticity is stiffness or materials resistance to elastic deformation. The greater the modulus, the stiffer the material (or smaller the elastic strain produced applied load). Linear elastic deformation for loading and unloding cycles    . E 178
  • 285.
    Relationship between shearstress and shear strain for elastic deformation  Shear stress and shear strain are proportional each other. The constant of proportionality G is the shear modulus. E = 2G(1 + ) which gives G ≈ 0.4E for most metals    . G Poisson’s Ratio  Poission’s ratio is defined as the ratio of the lateral and axial strains.  If the applied stress is uniaxial (only in the z direction), and the material is isotropic, then εx= εy.  For the isotropic materials the shear and elastic moduli are related to each other and to Poisson’s ratio.  Poisson’s ratio ranges between 0.25 to 0.35. z y z x               1 G 2 E Axial (z) elongation (positive strain) and lateral (x and y) contractions (negative strains) in response to an imposed tensile stress. Solid lines represent dimensions after stress application; dashed lines, before. 179
  • 286.
    Room-Temperature Elastic andShear Moduli, and Poission’s Ratio for Various Metal Alloys Example:      in 03 . 0 mm 77 . 0 MPa 10 110 mm 305 MPa 276 E l l E l l E 3 0 0                      Solution: 180
  • 287.
    Example: 0 0 i 0 x 0 0 i 0 z d d d d d l l l l l           Solution: Thisdeformation situation is represented in the accompanying drawing.        ) lb 1293 ( N 5600 2 m 10 10 m / N 10 3 . 71 2 d A F MPa 3 . 71 MPa 10 97 10 35 . 7 E 10 35 . 7 34 . 0 10 5 . 2 10 5 . 2 mm 10 mm 10 5 . 2 d d f 2 3 2 6 2 o 0 3 4 z 4 4 x z 4 3 0 x                                                          For brass E= 97GPa (14×106 psi), µ=0.34 181
  • 288.
    Elastic deformation Reversible: (nonpermenantdeformation) Stress removed  material returns to original shape  Plastic deformation Irreversible: (permenant deformation) Stress removed  material does not return to original dimensions. PLASTIC DEFORMATION Stress-Strain Behavior (Tension) Tensile test apparatus Stress-strain diagram The specimen is elongated by the moving crosshead; load cell and extensometer measure, respectively, the magnitude of the applied load and elongation. 182
  • 289.
    TENSILE TEST  Tensiletest determines the several mechanical properties materials such as strength, ductility, and toughness.  A standard tensile specimen can be circular or rectangular shape. A standard tensile specimen with circular cross section Extensometer Specimen Grip Grip  For circular specimen, the standard diameter is 12.8 mm, length is 60 mm, and gauge length is 50 mm.  The specimen is mounted by its ends into the holding grips of the testing apparatus.  Applied load is measured by a load cell, and the resulting elongations are measured by using an extensometer.  Standard test specimens are pulled slowly and at uniform rate in a testing machine.  This test takes several minutes to perform and is destructive. 183
  • 290.
    ENGINEERING STRESS-ENGINEERING STRAINCURVE The applied stress versus the strain or elongation of the specimen shows the initial elastic response of the material, followed by yielding, plastic deformation and finally necking and failure. Several measurements are taken from the plot, called the Engineering Stress-Strain Diagram. These include:  Modulus of elasticity  Yield strength  Tensile strength  Modulus of resilience  Failure stress  Ductility  Toughness 184
  • 291.
  • 292.
  • 293.
    ENGINEERING STRESS-ENGINEERING STRAINCURVE 0 l l length original length in change strain g Engineerin :      0 A P area original force applied stress g Engineerin :     Elastic Plastic UTS Yield Fracture  ε l0 lu lf l0 187
  • 294.
    Determination of YieldStrength %0.2 strain offset method Stress-strain behavior found for some steels demonstrating the yield point phenomenon Sometimes yield strength may not be determined precisely (exactly). In this case, to determine yield strength, straight line is drawn parallel to the elastic portion of stress-strain curve at strain of 0.002 point. The stress corresponding to the intersection of this line and the stress-strain curve is the yield strength. 188
  • 295.
    Determination of TensileStrength (UTS) TS = Fmax/A0 189
  • 296.
    Ductility • Ductile materialsexperience plastic deformation. • A material that experiences very little or no plastic deformation upon fracture is termed brittle. • If the strain  5%, the material is brittle. • Ductility may be expressed as either percent elongation or percent reduction in area. 190 lf: fracture length, lo: original length, Af: cross sectional area at the point of fracture, Ao: original cross sectional area
  • 297.
  • 298.
    Resilience • Resilience isthe capacity of a material to absorb energy when it is deformed elastically and then, upon unloading, to have this energy recovered. The associated property is the modulus of resilience, Ur, which is the strain energy per unit volume required to stress a material from an unloaded state up to the point of yielding. 192  Ur is the area under the stress-strain curve taken to yielding.
  • 299.
    Resilience, cont. • ForSI units, this is joules per cubic meter (J/m3, equivalent to Pa) • Thus, resilient materials are those having high yield strengths and low moduli of elasticity; such alloys would be used in spring applications. 193
  • 300.
    TOUGHNESS  Toughness isabsorbed energy up to fracture.   It is the area under the stress-strain curve up to the point of fracture.  The units of toughness is J/m3 .  For a material to be tough, it must display both strength and ductility.  Often, ductile materials are tougher than brittle ones 194
  • 301.
    TOUGHNESS  For ductilematerials if the stress-strain curve is not available, the toughness can be calculated by multiplying the average of the yield strength and tensile strength by the strain at fracture.  For brittle materials like cast iron, concrete the toughness is determined by multiplying two thirds of the ultimate strength by the strain at fracture.     f UTS YS e . 2 / Toughness     f UTS e . . 3 2 Toughness   195
  • 302.
    Example: From thetensile stress-strain behaviour for the brass specimen in the Figure below, determine the following: 196
  • 303.
    Solution: a) 1 2 1 2 slope E                ) psi 10 6 . 13 ( GPa 8 . 93 0 0016 . 0 0 150 E6           f 2 3 2 6 2 0 0 lb 000 , 13 N 900 , 57 2 m 10 8 . 12 m / N 10 450 2 d A F                           c) For 345 MPa, ε= 0.06 mm approximately from the stress-strain curve. Therefore, d)      in 6 . 0 mm 15 mm 250 06 . 0 l l 0       197
  • 304.
  • 305.
    TRUE STRESS-TRUE STRAINCURVE  The engineering stress is on the basis of the original cross-sectional area before any deformation, and does not take into account the reduction in area at the neck.  True stress (σT) is defined as the load (F) divided by the instantaneous cross-sectional area (Ai) over which deformation is occuring (i.e., the neck, past the tensile point). i T A F : stress True   0 i T l l ln : strain True   If no volume change occurs during deformation, that is, if 0 0 i i l A l A  True and engineering stress and strain are related according to        1 T       1 ln T 199
  • 306.
    COMPRESSION TEST A compressiontest is conducted in a manner similar to the tensile test except that the force is compressive and the specimen contracts along the direction of the stress. Tensile test are more common. Compression tests are used when the material is brittle in tension. Brittle materials such as cast irons usually reach much higher ultimate stresses in compression than in tension. The brittle fracture is performed by separation and is not accompanied by noticeable plastic deformation. The ductile materials such as steel, Al, and Cu have stress–strain diagrams similar to ones which for tensile test. When a small specimen of the ductile material is compressed, it begins to bulge on sides and becomes barrel shaped as shown in the figure above. With increasing load, the specimen is flattened out, thus offering increased resistance to further shortening (which means that the stress – strains curve goes upward) this effect is indicated in the diagram. Brittle materials Ductile materials 200
  • 307.
    PROBLEMS (From Callister,chapter 6, page 189) Solution a) b) 201
  • 308.
  • 309.
    PROBLEMS (From Callister,chapter 6, page 189) Solution 203
  • 310.
  • 311.
    PROBLEMS (From Callister,chapter 6, page 190) Solution a) b) 205
  • 312.
    206 Or, solving forΔl (and realizing that E = 69 GPa, Table 6.1), yields a)
  • 313.
    PROBLEMS (From Callister,chapter 6, page 190) 207 Solution
  • 314.
  • 315.
    PROBLEMS (From Callister,chapter 6, page 191) 209 Solution
  • 316.
  • 317.
  • 318.
  • 319.
  • 320.
  • 321.
    215 PROBLEMS (From Callister,chapter 6, page 191) Solution a) b)
  • 322.
  • 323.
    HARDNESS  Hardness isanother mechanical property.  Hardness is a measure of material’s resistance to localized plastic deformation (i.e., a small dent or a scratch).  Hardness tests are simple, cheap, nondestructive. Hardness Techniques Rockwell Hardness Test Brinell Hardness Test Vickers Hardness Test Knoop and Vickers Microhardness Tests Application of Hardness Test  Small indenter is forced into the surface of material to be tested under controlled conditions of load.  The depth or size of the resulting indentation is measured which is related to hardness number  The softer the material, the larger and deeper the indentation, and the lower the hardness number. 217
  • 324.
    Rockwell Hardness Test RockwellHardness Scales Superficial Rockwell Hardness Scales  It is the most common method.  Indenters include spherical hardened steel balls having diameters of 1.5, 3, 6, and 12.7 mm and a conical diamond indenter.  In this system, first initial minor load which enhances test accuracy and then major load are applied into the surface of material.  There are two types of test: Rockwell and superficial Rockwell which are frequently performed on thin specimens.  For Rockwell, the minor load is 10 kg, whereas major loads are 60, 100 and 150 kg. Each scale is represented by a letter of alphabet.  For superficial tests, 3 kg is the minor load; 15, 30 and 45 kg are major loads.  For example, 80 HRB represents a Rockwell hardness of 80 on the B scale and 60 HR30W indicates a superficial hardness of 60 on the 30W scale.  Rockwell scales are also designated by an R. For example Rc indicates the Rockwell C scale. 218
  • 325.
    Brinell Hardness Test Indentersinclude spherical hardened steel or tungsten carbide balls having diameter of 10 mm. Standard loads range between 500 and 3000 kg. The resulting impression (indentation) is observed under microscope and measured; this measurement and then converted into a hardness number.  Other mechanical properties may be estimated from hardness data, such as tensile strength: Tensile strength (MPa) = 3.45×HB 219
  • 326.
    Vickers Hardness Test Indenter used in this test is a pyramidal shaped diamond. Loads vary from 1 kg to 120 kg.  After impression has been made, the size of the impression is measured by using microscope. Both diagonals of the square impression are measured and the average length of diagonals is used in the determination of the hardness number.  P is the applied load in kg and d1 is average length of diagonals of the square impression. P: kg; D, d: mm 220
  • 327.
    Knoop and VickersMicrohardness Tests For each test a very small diamond indenter having pyramidal geometry is forced into the surface of the specimen. Applied loads are much smaller than for Rockwell and Brinell, ranging between 1 and 1000 g. The resulting impression (indentation) is observed under microscope and measured; this measurement and then converted into a hardness number. Knoop is used for testing brittle materials such as ceramics. P: kg; d1, l: mm l: long diagonal length d1, : average diagonal length Vickers microhardness Knoop microhardness 221
  • 328.
    FRACTURE  Fracture: Separationof a material into two or more pieces in response to imposed stress.  For engineering materials, two fracture modes are possible: ductile and brittle.  Ductile materials: extensive plastic deformation with high energy absorption (“toughness”) before fracture.  Brittle materials: little plastic deformation with low energy absorption before fracture. A.Very ductile: soft metals (e.g. Pb, Au) at room temperature. B.Moderately ductile fracture: typical for metals. C.Brittle fracture without any plastic deformation: ceramics, cold worked metals. Cup and cone fracture in aluminium Brittle fracture in a mild steel 222
  • 329.
    Tensile test couldnot extrapolated to predict the fracture behaviour.  Impact testing was commonly used to assess fracture characteristics of materials. The Charpy and Izod impact tests (standardized tests) are commonly used for this purpose. A notched bar of square cross section is placed in the test machine, and then the hammer is allowed to fall and break it. The energy absorbed in fracture, that can be computed from the difference between h and h’, is measured. IMPACT TESTING 10 mm 10 mm 8 mm Charpy test Izod test notch Specimen used for Charpy and Izod impact tests Impact test aparatus 223
  • 330.
    Ductile-to-Brittle Transition For manymaterials, the impact energy is correlated with the toughness determined in a tensile test (area under the stress-strain curve). However, as temperature drops, some materials show a transition from ductile to brittle behavior. Impact test determine whether or not a material experiences a ductile-to-brittle transition with decreasing temperature. Temperature at which a material changes from ductile to brittle failure is called transition temperature. Transition temperature is usually taken as the point where 50% of the fracture is brittle. IMPACT PARAMETERS  Test Temperature  Specimen Geometry  Crack or Notch length  Impact Energy (measured energy after fracture as a potential energy) As temperature decreases a ductile material can become brittle 224
  • 331.
    Transition Temperature Materials mustbe used above their ductile to brittle transition temperatures to avoid brittle failure. Classic examples of this type failure occurred during World War II when a number of welded transport ships suddenly split in half. The ships were constructed of a steel alloy that has adequate ductility according to room-temperature tensile test. The brittle fractures occurred at relatively low temperatures, at about 4 C, in the vicinity of the transition temperature of the alloy. 225
  • 332.
    Transition Temperature Low strengthFCC metals (some aluminium and copper alloys) and HCP metals generally remain ductile at all temperatures because there are many slip planes available. They do not experience ductile-to-brittle transition with decreasing temperature. For high strength materials, the impact energy is also insensitive to temperature. These materials have low impact energy values and very brittle. Low strength steels that have BCC crystal structure experience ductile-to- brittle transition. Grain size reduction decreases the transition temperature of steels. 226
  • 333.
    Increasing the carboncontent of the steels raises the transition temperature. Transition Temperature 227
  • 334.
    FATIGUE In many applications,materials are subjected to vibrating or oscillating forces. The behavior of materials under such load conditions differs from the behavior under a static load. The material is subjected to repeated load cycles (fatigue) in actual use. Fatigue is a form of failure that occurs in structures subjected to dynamic and fluctuating (variable) stresses (e.g., bridges, aircraft, and machine components). Fatigue failure occurs at a stress level lower than tensile and yield strength for a static load. It is estimated that 90% of all material failure is due to fatigue. Polymers and ceramics (except for glasses) are also susceptible to this type of failure. Fatigue is catastrophic (extremely harmful), occurring very suddenly without warning. 228
  • 335.
    CYCLIC STRESSES Repeated Stress Cycle Reversed StressCycle Random Stress Cycle Three different fluctuating stress-time modes are possible: Reversed stress cycle: The stress alternates from a maximum tensile stress (+) to a maximum compressive stress (-) of equal magnitude. Repeated stress cycle: Maximum and minimum stresses are asymmetrical relative to the zero- stress level. Random stress cycle 2 2 : amplitude Stress : stress of Range 2 : stress Mean min max r a min max r min max m                  229
  • 336.
    FATIGUE TEST  Theapplied stress may be axial (tension-compression), flexural (bending), or torsinal (twisting) in nature.  The fatigue properties of materials can be determined from laboratory simulation tests. A rotating-bending test apparatus, commonly used for fatigue testing.  In this test the specimen is simultaneously bent and rotated.The compression stresses are imposed on the top of specimen and tension stresses are imposed on the bottom of the specimen. Rotating-bending test Rotating-bending test apparatus Test procedure  A series of tests are commenced (started) by subjecting a specimen to stress cyling at a relatively large maximum stress amplitude (σmax), usually on the order of two-thirds (2/3) of the static tensile strength; the number of cycles to failure is counted.  This procedure is repeated on other specimens at progressively decreasing maximum stress amplitudes.  Data are plotted as stress (S) versus logarithm of the number (N) of cycles to failure for each of the specimens 230
  • 337.
    S-N Curve  Fatigueis characterised by the S-N curve.  There are two general types of S-N curve.  Fatigue Limit (endurance limit): Stress amplitude below which fatigue failure will not occur, no matter how large the number of cycles is. For many steels, fatigue limits range between 35% and 60% of the tensile strength.  Most nonferrous alloys (e.g. Al, Cu, Mg) do not have a fatigue limit. For these materials, the fatigue response is specified as fatigue strength.  Fatigue strength: The stress level at which failure will occur for some specified number of cycles (e.g., 107 cycles).  Another important parameter is fatigue life. It is the number of cycles to cause failure at a specificied stress level. Ferrous and Ti alloys Non-ferrous alloys 231
  • 338.
    Identifying Fatigue Fractures The process of fatigue failure is examined by three stages: Small crack forms at some point of high stress concentration (crack nucleation sites include surface scratches, sharp fillets) Incremental crack propagation Finally rapid failure occurs after crack reaches critical size (fracture)  Fatigue failure appears brittle-like even in normally ductile materials. 232
  • 339.
    Factors That AffectFatigue Life  Magnitude of stress: Increasing the mean stress level leads to a decrease in fatigue life.  Environmental effects: If a corrosive environment is present during the cyclic stress of a metal, the chemical attack greatly accelerates the rate at which fatigue cracks propagate. The combination of corrosion attack and cyclic stresses on a metal is known as corrosion fatigue. Solutions for corrosion fatigue: – decrease corrosiveness of medium – add protective surface coating  Surface Effects: Most cracks leading to fatigue failure originate at surface positions. Therefore, fatigue life is sensitive to surface conditions. Surface factors include; –Design Factors –Surface treatments 233
  • 340.
    Design Factors Good design:Fatigue lifetime improved by incorporating rounded fillet into a rotating shaft at the point where there is a change in diameter.  Any notch or geometrical discontinuity can act as a stress raiser and fatigue crack initiation site; these design features include grooves, holes, keyways, threads, and so on.  The sharper the discontinuity, the more severe the stress concentration. Poor design: sharp corner Surface Treatments  During machining operations, small scratches are introduced into the work piece surface. These scratches can limit the fatigue life. Polishing will enhance fatigue life.  Fatigue life are also enhanced by Case Hardening (Carburizing and Nitriding)  Carburizing and nitriding are case hardening processes whereby a specimen is exposed to a carbon-or nitrogen-rich atmosphere at an elevated temperature. 234
  • 341.
    235 PROBLEMS (From Callister,chapter 8, page 277) Solution a) b)
  • 342.
  • 343.
    237 PROBLEMS (From Callister,chapter 8, page 277)
  • 344.
  • 345.
    CREEP Furnace Constant load  Materialsare often placed in service at elevated temperatures and exposed to static mechanical stresses. Deformation under such circumstances is termed creep.  Creep is the time-dependent deformation due to constant load at high temperature (> 0.4 Tm).  A specimen is subjected to a constant load while maintaining the temperature constant; deformation or strain is measured and plotted as a function of elapsed time.  Creep specimens have the same geometry as for tensile tests. Alloys for High-Temperatures  Creep minimized in materials with  High melting temperature  High elastic modulus  Large grain sizes (inhibits grain boundary sliding)  High temperature alloys (turbines in jet engines, hypersonic airplanes, nuclear reactors, etc.)  Materials resilient to creep  Stainless steels  Refractory metals (containing elements of high melting point, like Nb, Mo, W, Ta)  Superalloys (Co, Ni based) 239
  • 346.
    Stages of Creep 1.Instantaneous deformation: mainly elastic. 2. Primary/transient creep: Decreasing creep rate; that is the slope of the curve decreases with time. Deformation becomes more difficult due to work-hardening. 3. Secondary/steady-state creep: Creep rate is constant; the plot becomes linear: balance between work-hardening and recovery. 4. Tertiary creep: Rapidly accelerating creep rate up to failure. Creep Parameters Secondary/steady-state creep rate: It is the engineering design parameter for long- life applications, such as nuclear power plant component that is scheduled to operate for several decades. Rupture lifetime, tr): It is important for short-life creep. Many short-life creep situations (e.g., turbine blades in military aircraft), rupture lifetime tr is the important design parameter. t / : rate creep s       t / s       tr tertiary 240
  • 347.
    CREEP:Stress and TemperatureEffects With increasing stress or temperature: The instantaneous strain increases The steady-state creep rate increases The time to rupture decreases Dependence of the steady- state creep rate on stress and temperature can be described by: Qc: activation energy for creep K2 , n: material constants.           RT Q exp K c n 2 s  241
  • 348.
    Data Extrapolation Methods A extrapolation procedure employs the Larson - Miller parameter, defined as Where C (usually on the order of 20) is a constant, T in Kelvin, rupture lifetime tr in hours.  The rupture lifetime of a given material measured at some specific stress level will vary with temperature.  The data may be plotted as the log of stress versus the Larson-Miller parameter.   r t log C T  Logarithm stress versus the Larson- Miller parameter for an S-590 iron ** NOTE: The Réaumur scale (°Ré, °Re, °R) is a temperature scale in which the freezing and boiling points of water are set to 0 and 80 degrees respectively. ** 242
  • 349.
    Example: Using the Larson-Millerdata for S-590 iron given in the figure, predict the time rupture for a component that is subjected to a stress of 140 MPa (20,000 psi) at 800°C (1073K). Solution: From the figure, at 140 MPa (20,000 psi) the value of the Larson-Miller parameter is 24.0×103 , for T in K and tr in h; therefore,       days 7 . 9 h 233 t t log 0 2 37 . 22 , time the for solving , and t log 0 2 1073 t log 0 2 T 10 0 . 4 2 r r r r 3          for S-590 iron 243
  • 350.
    PROBLEMS (From Callister,chapter 8, page 280) 244 Solution
  • 351.
  • 352.
  • 353.
  • 354.
    248 PROBLEMS (From Callister,chapter 8, page 280) Solution
  • 355.
  • 356.
  • 357.
  • 358.
    252 PROBLEMS (From Callister,chapter 8, page 278)
  • 359.
  • 360.
  • 361.
    255 PROBLEMS (From Callister,chapter 8, page 278) Solution
  • 362.
  • 363.
    257 PROBLEMS (From Callister,chapter 8, page 278) Solution
  • 364.
  • 365.
  • 366.
    TORSION TEST  Torsiontest is not widely used as much as tensile test. Because it is not possible to generate a uniform shear stress; when the surface plastic, the interior is still elastic because shear stress on surface is larger than the interior.  Torsion test is made to determine such properties as the shear modulus of elasticity, shear strain, and shear strength.  Often used for testing brittle materials and can be tested in full-sized parts such as shafts, axles and twist drills which are subjected to torsional loading in use.  A twisting moment is applied to one end of a specimen while measuring the deformation as angular displacement at the other end.  During the test the angle of twist (Ө) and the applied torque (T) are measured as the test proceeds. 260
  • 367.
    Shear stress-shear strainin torsion Using the appropriate formulae, relationships and the measured dimensions, we can determine the shear stress and shear strain on the specimen. Then, one can plot the torque vs. angle of twist, and shear stress vs. shear strain from which one can find the material properties previously mentioned.  The twisting moment is resisted by shear stresses set up in the cross section of the bar (zero at the center, maximum at the surface). L r tan      g:shear strain Ө : angle of twist L: test length of the specimen J r T       32 / D 2 D T 4 max 3 max D T 16    32 D J 4   261
  • 368.
    Elastic properties andyield strength in torsion  The elastic properties in torsion can be obtained by using the torque at the proportional limit where the shear stress is calculated corresponding to the twisting moment from the shear stress equation.  The torsional elastic limit or yield strength can be obtained from testing a tubular specimen since the stress gradient are practically eliminated. ) D D ( D T 16 4 2 4 1 1     D1: outside diameter of tube D2: inside diameter of tube  For a tubular specimen, the shear stress on the outer surface: To measure the shearing yield strength and modulus of elasticity: Stress vs. strain in shear Yield stress (0.2% offset) Proportional limit shear strain, rad. shear stress, Pa 0.002 262
  • 369.
    263  The shearstress varies across a diameter when deformation is elastic. However where the surface shear stress reaches the elastic limit and plastic strain begins results become unreliable. Plastic deformation tends to spread inwards in an irregular manner.One method used to reduce this problem is to employ hollow cylindirical (Tubular) specimen. In this way, differences between the value of shear stress at outer and inner surfaces, is reduced. The tendency for plastic buckling of the tubular specimen increases rapidly as the wall thickness is reduced. For thin-walled tubes with large ratios of diameter vs. thickness (D/t > 10) there is a tendency for premature local buckling failure to occur.
  • 370.
    Modulus of elasticityin shear Types of torsion failures  Torsion failures are different from tensile failure in that there is little localised reduction of area or elongation. a)Ductile (shear) failure is along the maximum shear plane (perpendicular to longitudinal axis of the specimen). b)Brittle (tensile) failure is perpendicular to the maximum tensile stress (at 45°), resulting in a helical fracture. Shear modulus of elasticity :    G   J L T G or Ductile failure Brittle failure 264
  • 371.
    Example: A shaft 50mm diameter and 0.7 m long is subjected to torque of 1200 Nm. Calculate the angle of twist and the shear stress. Take G= 90 GPa. Solution:                            871 . 0 180 0152 . 0 rees deg to Converting radian 0152 . 0 10 59 . 613 7 . 0 1200 10 90 J TL G m 10 59 . 613 32 05 . 0 32 D J 9 9 4 9 4 4 Pa 10 89 . 48 05 . 0 1200 16 D T 16 ely alternativ or MPa 89 . 48 Pa 10 89 . 48 10 59 . 613 025 . 0 1200 J Tr 6 3 3 6 9                   265
  • 372.
    Example: Repeat the previousproblem but this time the shaft is hollow with an internal diameter of 30 mm. Solution:                                  1 180 0175 . 0 rees deg to Converting radian 0175 . 0 10 07 . 534 7 . 0 1200 10 90 J TL G m 10 07 . 534 32 03 . 0 05 . 0 32 D D J 9 9 4 9 4 4 4 2 4 1 MPa 17 . 56 Pa 10 17 . 56 10 07 . 534 025 . 0 1200 J Tr 6 9 max          266
  • 373.
    Example: A shaft 40mm diameter is made from steel and the maximum allowable shear stress for the material is 50 MPa. Calculate the maximum torque that can be safely transmitted. G=90 GPa. 4 9 4 4 m 10 32 . 251 32 04 . 0 32 D J         Nm 3 . 628 02 . 0 10 32 . 251 10 50 r J T J Tr 9 6            Solution: 267
  • 374.
    BEND TEST forbrittle materials  In many brittle materials, the normal tensile test cannot easily be performed because of the presence of flaws at the surface.  Often, just placing a brittle material in the grips of the tensile testing machine causes cracking. These materials may be tested using the bend test.  Bend test: Application of a force to the center of a bar that is supported on each end to determine the resistance of the material to a static or slowly applied load. Before test Deflection (d) by bending 268
  • 375.
    BEND TEST  Flexuralstrength or modulus of rupture: The stress required to fracture a specimen in a bend test. 2 bend wh 2 FL 3 : test bend int po 3 for strength Flexural     Flexural modulus: The modulus of elasticity in bending calculated from the results of a bend test, giving the slope of the stress- deflection curve. F: fracture load, L: distance the two outer points, w: width, h: height   3 3 bend wh 4 FL E : ulus mod Flexural d: deflection of the beam 269
  • 376.
    Example: The flexural strengthof a composite material reinforced with glass fibers is 45,000 psi and the flexural modulus is 18  106 psi. A sample, which is 0.5 in. wide, 0.375 in. high, and 8 in. long, is supported between two rods 5 in. apart. Determine the force required to fracture the material and the deflection of the sample at fracture, assuming that no plastic deformation occurs. Solution: 270
  • 377.
  • 378.
    319 STRENGTHENING MECHANISMS  Theability of a metal to plastically deform depends on the ability of dislocations to move.  By reducing the mobility of dislocations, the mechanical strength may be enhanced; that is, greater mechanical forces will be required to initiate plastic deformation.  Therefore, restricting dislocation motion makes a material harder and stronger.  Strengthening reduces ductility. STRENGTHENING MECHANISMS  Grain size reduction  Solid solution strengthening  Work hardening (cold working or strain hardening)  Dispersion hardening  Age hardening For single-phase metals For multiphase alloys
  • 379.
    321 Strengthening by GrainSize Reduction  The size of the grains in a polycrystalline metal influences the mechanical properties.  The grain boundary act as a barrier to dislocation motion for two reasons:  Since two grains are of different orientations, dislocation passing into grain B will have to change its direction of motion (see Fig.).  The atomic disorder within a grain boundary region will result in a discontinuity of slip planes from one grain into the other.  Small angle grain boundaries are not very effective in blocking dislocations.  High-angle grain boundaries block slip and increase of the material.
  • 380.
    322 Hall-Petch Equation: σy: yieldstrength d: average grain diameter σ 0 and ky: constant Affect of Grain Size  A fine-grained material is harder and stronger than coarse grained material.  Since, small grained material has a greater total grain boundary area to impede dislocation motion.  For many materials, the yield strength varies with grain size according to Hall- Petch equation.  Hall-Petch equation is not valid for both  very large grain, and  extremely fine grain polycrystalline materials.
  • 381.
    323 Solid Solution Strengthening:Alloying  Alloying is a solid-solution strengthening technique.  Types of solid solution: (1) Interstitial, (2) Substitutional  Increasing the concentration of the impurity results in an attendant increase in tensile and yield strengths. (a) (b) (c) Variation with nickel content of (a) tensile strength, (b) yield strength, and (c) ductility for Cu-Ni alloys, showing strengthening  Alloys are stronger than pure metals because impurity atoms that go into solid solution ordinarily impose lattice strain on the surrounding host atoms.
  • 382.
    324 Solid Solution Strengthening:Alloying  Lattice strain field interactions between dislocations and these impurity atoms result, and, consequently, dislocation movement is restricted.  The resistance to slip is greater when impurity atoms are present because the overall lattice strain must increase if a dislocation is torn away from them. Furthermore, the same lattice strain interactions will exist between impurity atoms and dislocations that are in motion during plastic deformation.  Thus, a greater applied stress is necessary to first initiate and then continue plastic deformation for solid-solution alloys, as opposed to pure metals.  This is evidenced by the enhancement of strength and hardness. Smaller substitutional impurity Larger substitutional impurity
  • 383.
    325 WORK (or STRAIN)HARDENING  Ductile metals become stronger when they are deformed plastically at temperatures well below the melting points.  It is also called cold working, because the temperature at which deformation takes place is cold.  Most metals strain harden at room temperature.  The reason for work hardening is the increase of dislocation density with plastic deformation. The average distance between dislocation decreases and dislocations start blocking the motion of each other.  Percent cold work (% CW) is used to express the degree of plastic deformation.  Before deformation: dislocation density ~103 mm/mm3  Heavily deformed sample: dislocation density ~1010 mm/mm3  Dislocations interact and obstruct each other.  More dislocations actually increase the strength of a material. 100 % x A A A CW o d o   Ao : original cross-section area Ad :area after deformation.
  • 384.
    326 Common forming operationschange the cross sectional area For 1040 steel, brass, and Cu, the increase in yield and tensile strength, and the decrease in ductility (%EL)  There is only a certain amount a material can be deformed before it breaks.  Different materials have varying % allowable cold work.
  • 385.
    327 Cold Work isAnisotropic  When a piece of metal is deformed, grains elongate in the deformation direction.  Slip occurs only in the favored directions.  Therefore, strength of the metal increases in the direction it is deformed, but properties in the other directions do not change as much. Cold rolling: Metal is often rolled into sheets from thicker stock.  The width of the sheet is usually kept the same, and only the thickness varies.  During deformation some fraction of the energy used for deformation is stored in the metal as residual stresses.  Restoration of the properties and structure to precold-worked state is possible by heat treatment (Annealing)
  • 386.
    328 Example: Solution: for Cu at35.6% CW: Tensile strength: 340 MPa Ductility: 7% EL
  • 387.
    329 ANNEALING: Recovery, Recrystallization,Grain Growth  Annealing is a heat treatment in which a material is exposed to an elevated temperature for an extended time period and then slowly cooled.  Time is generally 1 hour.  Annealing is carried out to:  relieve stresses  increase softness, ductility and toughness  produce a specific microstructure  So, effects of cold work are reversed!  Three stages in annealing: (1) recovery, (2) recrystallization, (3) grain growth RECOVERY  The low temperature treatment  Residual stresses are reduced or even eliminated.  Dislocations are rearranged, but dislocation density unchanged.  Corrosion resistance, electrical and thermal conductivity are restored  The mechanical properties (strength and ductility) are unchanged.
  • 388.
    330 RECRYSTALLIZATION  Recrystallization isthe nucleation and growth of new, strain free, equiaxed grains with low dislocation density which is characteristics of precold-worked state.  Recrystallization process depends on time and temperature.  Recrystallization temperature is the temperature at which recrystallization completed in one hour (typically 0.3 – 0.5 Tmelting).  Mechanical properties are restored to precold-worked state.  The recrystallized metal has a low strength but a high ductility.  Dislocation density greatly reduced by recrystallization.  Recrystallization is used to refine the grain structure of cold worked material.  Recrystallization temperature and rate decrease when the amount of cold work increases.  Without a minimum amount of cold work (5-15%), there is no recrystallization. The variation of recrystallization temperature with percent cold work for IRON
  • 389.
    331 GRAIN GROWTH  Afterrecrystallization is complete, the strain-free grains will continue to grow if the metal specimen is left at elevated temperature. This phenomenon is called grain growth.  Not all grains can enlarge, but big grains grow at the expense of small ones  Grain growth during annealing occurs in all polycrystalline materials (i.e. they do not have to be deformed first).  For grain growth, dependence of grain size (d) on time (t):
  • 390.
    PROBLEMS (Callister, chapter7, pp. 202-206) 332 Solution:
  • 391.
    PROBLEMS (Callister, chapter7, pp. 202-206) 333 Solution: Solution:
  • 392.
    PROBLEMS (Callister, chapter7, pp. 202-206) 334
  • 393.
    MM207E Material Science MechanicalEngineering Department Textbook, Chapter 11, pp 422‐425
  • 394.
    Heat treatment Types AnnealingProcesses (Tavlama İşlemleri)  Stress relief annealing (Gerilim giderme tavlaması)  Normalizing (Normalleştirme tavlaması)  Full annealing (Yumuşatma tavlaması)  Spheroidizing (Küreleştirme tavlaması) Quenching (Su verme) Tempering
  • 396.
    Heat treatment temperatureregions for plain carbon steels Quenching spheroidizing
  • 397.
    The term annealingrefers to a heat treatment in which a material is exposed to an elevated temperature for an extended time period and then slowly cooled. Ordinarily, annealing is carried out to  (1) relieve stresses;  (2) increase softness, ductility, and toughness;  (3) produce a specific microstructure. A variety of annealing heat treatments are possible; they are characterized by the changes that are induced, which many times are microstructural and are responsible for the alteration of the mechanical properties.
  • 398.
    Any annealing processconsists of three stages: (1) heating to the desired temperature, (2) holding or “soaking” at that temperature, (3) cooling, usually to room temperature. Time is an important parameter in these procedures. During heating and cooling, temperature gradients exist between the outside and interior portions of the piece; their magnitudes depend on the size and geometry of the piece. If the rate of temperature change is too great, temperature gradients and internal stresses may be induced that may lead to warping or even cracking.
  • 399.
    Also, the actualannealing time must be long enough to allow for any necessary transformation reactions. Annealing temperature is also an important consideration; annealing may be accelerated by increasing the temperature, because diffusional processes are normally involved.
  • 400.
    Annealing Internal residual stressesmay develop in metal pieces in response to the following: (1) plastic deformation processes such as machining and grinding; (2) nonuniform cooling of a piece that was processed or fabricated at an elevated temperature, such as a weld or a casting; (3) a phase transformation that is induced upon cooling wherein parent and product phases have different densities. •Distortion and warpage may result if these residual stresses are not removed. • They may be eliminated by a stress relief annealing heat treatment in which the piece is heated to the recommended temperature, held there long enough to attain a uniform temperature, and finally cooled to room temperature in air. •The annealing temperature is ordinarily a relatively low one such that effects resulting from cold working and other heat treatments are not affected.
  • 401.
    • The horizontalline at the eutectoid temperature, conventionally labeled A1, is termed the lower critical temperature, below which, under equilibrium conditions, all austenite will have transformed into ferrite and cementite phases. • The phase boundaries denoted as A3 and Acm represent the upper critical temperature lines for hypoeutectoid and hypereutectoid steels, respectively. For temperatures and compositions above these boundaries, only the austenite phase will prevail.
  • 403.
    Why? Steels thathave been plastically deformed by, for example, a rolling operation, consist of grains of pearlite (and most likely a proeutectoid phase), which are irregularly shaped and relatively large, but vary substantially in size. Aim: An annealing heat treatment called normalizing is used to refine the grains (i.e., to decrease the average grain size) and produce a more uniform and desirable size distribution; fine‐grained pearlitic steels are tougher than coarse‐grained ones.
  • 404.
    Method: Normalizing isaccomplished by heating at least 55 oC (100_F) above the upper critical temperature—that is, above A3 for compositions less than the eutectoid (0.76 wt% C), and above Acm for compositions greater than the eutectoid as represented in Figure 11.10. After sufficient time has been allowed for the alloy to completely transform to austenite—a procedure termed austenitizing—the treatment is terminated by cooling in air.
  • 405.
    • A heattreatment known as full annealing is often utilized in low‐ and medium‐carbon steels that will be machined or will experience extensive plastic deformation during a forming operation. • In general, the alloy is treated by heating to a temperature of about 50_C above the A3 line (to form austenite) for compositions less than the eutectoid, or, for compositions in excess of the eutectoid, 50_C above the A1 line (to form austenite and Fe3C phases), as noted in Figure 11.10. • The alloy is then furnace cooled; that is, the heat‐treating furnace is turned off and both furnace and steel cool to room temperature at the same rate, which takes several hours. • The microstructural product of this anneal is coarse pearlite (in addition to any proeutectoid phase) that is relatively soft and ductile.
  • 406.
    Medium‐ and high‐carbonsteels having a microstructure containing even coarse pearlite may still be too hard to conveniently machine or plastically deform. These steels, and in fact any steel, may be heat‐treated or annealed to develop the spheroidite structure as described in figure 10.19. spheroidizing
  • 407.
    Spheroidized steels havea maximum softness and ductility and are easily machined or deformed. The spheroidizing heat treatment, during which there is a coalescence of the Fe3C to form the spheroid particles, can take place by following method, as follows: • If a steel alloy having either pearlitic or bainitic microstructures is heated to, and left at, a temperature below the eutectoid for a sufficiently long period of time for example, at about 700C for between 18 and 24 h—yet another microstructure will form. It is called spheroidite. To some degree, the rate at which spheroidite forms depends on prior microstructure. For example, it is slowest for pearlite, and the finer the pearlite, the more rapid the rate.
  • 408.
    Quenching (Su verme) Anothermicroconstituent or phase called martensite is formed when austenitized iron–carbon alloys are rapidly cooled (or quenched) to a relatively low temperature (in the vicinity of the ambient). Martensite is a nonequilibrium single‐phase structure that results from a diffusionless transformation of austenite. It may be thought of as a transformation product that is competitive with pearlite and bainite. The martensitic transformation occurs when the quenching rate is rapid enough to prevent carbon diffusion. Any diffusion whatsoever will result in the formation of ferrite and cementite phases.
  • 409.
  • 410.
    After quenching processthe hardness can be increased up to 3 times. (from 22‐25 RC to about 62‐66 RC) Of the various microstructures in steel alloys martensite is the hardest, strongest but most brittle. Martensite needs to be tempered to get better ductility. Tempering is the process of heating a martensitic steel at a temperature below the eutectoid transformation temperature to make is softer and more ductile.