Chapter 7


The Cost of Production
Expansion Path
         Capital
            per                                                     The expansion path illustrates
           year                                                     the least-cost combinations of
                                                                     labor and capital that can be
               150 $3000                                             used to produce each level of
                                                                        output in the long-run.


                                                        Expansion Path
                      $2000
               100
                                       C
                 75
                                 B
                 50
                                                            300 Units
                          A
                 25
                                                200 Units

                                                                            Labor per year
                         50     100   150      200            300
©2005 Pearson Education, Inc.               Chapter 7                                           2
Optimal Inputs

           The minimum cost combination can then
            be written as:

                                MPL         MPK
                                      w           r
                   Increase in output for every dollar spent on
                    an input is same for all inputs.




©2005 Pearson Education, Inc.         Chapter 7                    3
Expansion Path
            It shows optimal input combinations to
             minimize cost to produce different levels of
             output

            It shows the minimum cost to produce
             different levels of output

            It shows the maximum amount of output that
             can be produced for different levels of
             expenditure.


©2005 Pearson Education, Inc.
A Firm’s Long Run Total Cost
           Curve
        Cost/
         Year
                                                        Long Run Total Cost
                                                  F
          3000



                                      E
          2000



                                D
          1000




                                                           Output, Units/yr
                                100   200         300
©2005 Pearson Education, Inc.         Chapter 7                               5
©2005 Pearson Education, Inc.
LONG RUN AND SHORT RUN
   COSTS

©2005 Pearson Education, Inc.   Chapter 7   7
Long Run Versus Short Run Cost
           Curves

            In the short run, some costs are fixed
            In the long run, firm can change anything
             including plant size
                Can produce at a lower average cost in long
                 run than in short run
                Capital and labor are both flexible
            We can show this by holding capital fixed
             in the short run and flexible in long run


©2005 Pearson Education, Inc.   Chapter 7                      8
The Inflexibility of Short Run
           Production
      Capital E                                                   Capital is fixed at K1.
         per                                               To produce q1, min cost at K1,L1.
        year                                               If increase output to Q2, min cost
                C                                               is K1 and L3 in short run.

                                                                                 In LR, can
                                                       Long-Run
                                                                                 change
                                                       Expansion Path
                A                                                                capital and
                                                                                 min costs
                                                                                 falls to K2
               K2                                                                and L2.
                                                                Short-Run
                                                       P        Expansion Path
               K1                                                        Q2


                                                                    Q1
                                                                         Labor per year
                                L1   L2    B          L3    D       F
©2005 Pearson Education, Inc.             Chapter 7                                       9
 Production technology measures the
             relationship between input and output



            Production technology, together with
             prices of factor inputs, determine the
             firm’s cost of production



©2005 Pearson Education, Inc.   Chapter 7             10
Introduction

            The optimal, cost minimizing, level of
             inputs can be determined

            A firm’s costs depend on the rate of
             output

            The characteristics of the firm’s
             production technology affect costs in the
             long run and short run
©2005 Pearson Education, Inc.   Chapter 7                11
Measuring Cost:
           Which Costs Matter?

            For a firm to minimize costs, we must
             clarify what is meant by costs and how to
             measure them

                It is clear that if a firm has to rent equipment
                 or buildings, the rent they pay is a cost

                What if a firm owns its own equipment or
                 building?
                       How     are costs calculated here?
©2005 Pearson Education, Inc.          Chapter 7                12
Measuring Cost:
           Which Costs Matter?
            Accounting Cost
                Actual expenses plus depreciation charges
                 for capital equipment



            Economic Cost
                Cost to a firm of utilizing economic resources
                 in production, including opportunity cost



©2005 Pearson Education, Inc.   Chapter 7                     13
Opportunity Cost
            An Example
                A firm owns its own building and pays no rent
                 for office space
                Does this mean the cost of office space is
                 zero?
                The building could have been rented instead
                Foregone rent is the opportunity cost of
                 using the building for production and should
                 be included in the economic costs of doing
                 business


©2005 Pearson Education, Inc.   Chapter 7                   14
Opportunity Cost

            A person starting their own business
             must take into account the opportunity
             cost of their time
                Could have worked elsewhere making a
                 competitive salary




©2005 Pearson Education, Inc.   Chapter 7               15
Measuring Cost:
           Which Costs Matter?

            Some costs vary with output, while
              some remain the same no matter the
              amount of output
            Total cost can be divided into:
           1. Fixed Cost
                 Does not vary with the level of output
           2. Variable Cost
                 Cost that varies as output varies


©2005 Pearson Education, Inc.   Chapter 7                  16
Fixed and Variable Costs

            Total output is a function of variable
             inputs and fixed inputs
            Therefore, the total cost of production
             equals the fixed cost (the cost of the fixed
             inputs) plus the variable cost (the cost of
             the variable inputs), or…

                           TC FC VC
©2005 Pearson Education, Inc.   Chapter 7              17
Fixed and Variable Costs
            Which costs are variable and which are
             fixed depends on the time horizon


            Short time horizon – most costs are fixed
            Long time horizon – many costs become
             variable



©2005 Pearson Education, Inc.   Chapter 7             18
Measuring Cost:
           Which Costs Matter?

            Personal Computers
                Most costs are variable
                Largest component: labor


            Software
                Most costs are sunk
                Initial cost of developing the software



©2005 Pearson Education, Inc.   Chapter 7                  19
Narayan Hridalaya

    Providing health care
   involves high costs and low accessibility
    What does a hospital produce?
    What does a hospital use to produce this?
    Narayan Hridalaya founded on the principle
     of providing low cost and accessible health
     care to all


©2005 Pearson Education, Inc.                      20
Daily Bread

            Multiple outlets in and
           around Bangalore

            What are the outputs they produce?

            What are the inputs?



©2005 Pearson Education, Inc.                     21
AVERAGE AND MARGINAL
   COST

©2005 Pearson Education, Inc.   Chapter 7   22
Marginal and Average Cost

            In completing a discussion of costs, must
             also distinguish between



                Average Cost
                Marginal Cost




©2005 Pearson Education, Inc.    Chapter 7           23
Measuring Costs

            Marginal Cost (MC):
                The cost of expanding output by one unit
                Fixed costs have no impact on marginal cost,
                 so it can be written as:



                                  ΔVC       ΔTC
                         MC
                                   Δq        Δq

©2005 Pearson Education, Inc.   Chapter 7                  24
Measuring Costs

            Average Total Cost (ATC)
                Cost per unit of output
                Also equals average fixed cost (AFC) plus
                 average variable cost (AVC)

                                TC
                  ATC                   AFC    AVC
                                 q
                                TC       TFC   TVC
                   ATC
                                 q        q     q
©2005 Pearson Education, Inc.    Chapter 7                   25
A Firm’s Short Run Costs




©2005 Pearson Education, Inc.   Chapter 7   26
MC AND AC CURVES


©2005 Pearson Education, Inc.   Chapter 7   27
Determinants of Short Run
           Costs – An Example

            Assume the wage rate (w) is fixed
             relative to the number of workers hired
            Variable costs is the per unit cost of extra
             labor times the amount of extra labor: wL

                                         VC      w L
                                MC
                                          q       q

©2005 Pearson Education, Inc.        Chapter 7          28
Determinants of Short Run
          Costs – An Example

           Remembering that
                                                Q
                                   MPL
                                                L
            And rearranging

                                                L   1
                        L for a 1 unit    Q
                                                Q   MPL


©2005 Pearson Education, Inc.       Chapter 7             29
Determinants of Short Run
          Costs – An Example

           We can conclude:

                                         w
                                MC
                                        MPL

            …and a low marginal product (MPL) leads
             to a high marginal cost (MC) and vice
             versa

©2005 Pearson Education, Inc.    Chapter 7             30
Determinants of Short Run Costs

            The rate at which these costs increase
             depends on the amount of input changes
             with change in output

            i.e. Costs depend upon the nature of
             production process..




©2005 Pearson Education, Inc.   Chapter 7           31
Determinants of Short Run Costs

            If marginal product of labor decreases
             significantly as more labor is hired

                Costs of production increase rapidly

                Greater and greater expenditures must be
                 made to produce more output




©2005 Pearson Education, Inc.   Chapter 7                   32
Determinants of Short Run Costs

            Consequently (from the table):

                MC decreases initially with increasing returns
                      0   through 4 units of output


                MC increases with decreasing returns
                      5   through 11 units of output




©2005 Pearson Education, Inc.         Chapter 7              33
Cost Curves for a Firm
                                                                       TC
     Cost 400
     ($ per                               Total cost
      year)                                                             VC
                                        is the vertical
                                          sum of FC
                                            and VC.
              300
                                                                          Variable cost
                                                                         increases with
                                                                         production and
                                                                       the rate varies with
              200                                                        increasing and
                                                                       decreasing returns.



                                                                  Fixed cost does not
              100                                                 vary with output
              50                                                                          FC


                 0     1    2   3   4    5    6   7       8   9   10    11     12    13       Output

©2005 Pearson Education, Inc.             Chapter 7                                            34
Cost Curves
                120
                100
                                                                 MC
Cost ($/unit)




                80
                60
                                                                 ATC
                40
                                                                 AVC
                20
                                                                 AFC
                 0
                      0   2     4             6         8   10    12
                                    Output (units/yr)
©2005 Pearson Education, Inc.         Chapter 7                        35
©2005 Pearson Education, Inc.
Cost Curves

            When MC is below AVC, AVC is falling
            When MC is above AVC, AVC is rising
            When MC is below ATC, ATC is falling
            When MC is above ATC, ATC is rising
            Therefore, MC crosses AVC and ATC at
             the minimums
                The Average – Marginal relationship



©2005 Pearson Education, Inc.   Chapter 7              37
Cost Curves for a Firm
     The line drawn from
      the origin to the           P                                                   TC
      variable cost curve:      400
                                                                                      VC
          Its slope equals AVC
          The slope of a point 300
           on VC or TC equals
           MC                   200
          Therefore, MC = AVC                                      A
           at 7 units of output 100
           (point A)                                                                         FC


                                       1    2   3   4   5   6   7   8   9   10   11    12    13
                                                                                           Output

©2005 Pearson Education, Inc.   Chapter 7                                                   38
LONG RUN COSTS


©2005 Pearson Education, Inc.   Chapter 7   39
©2005 Pearson Education, Inc.
©2005 Pearson Education, Inc.
Long Run Cost with Economies
           and Diseconomies of Scale




©2005 Pearson Education, Inc.   Chapter 7   42
Long Run Cost with
           Constant Returns to Scale

            The optimal plant size will depend on the
             anticipated output
                If expect to produce q0, then should build
                 smallest plant: AC = $8
                If produce more, like q1, AC rises
                If expect to produce q2, middle plant is least
                 cost
                If expect to produce q3, largest plant is best



©2005 Pearson Education, Inc.   Chapter 7                         43
Long Run Cost with Economies
           and Diseconomies of Scale




©2005 Pearson Education, Inc.   Chapter 7   44
Long Run Cost with
           Constant Returns to Scale

            What is the firm’s long run cost curve?
                Firms can change scale to change output in
                 the long run
                The long run cost curve is the dark blue
                 portion of the SAC curve which represents
                 the minimum cost for any level of output
                Firm will always choose plant that minimizes
                 the average cost of production



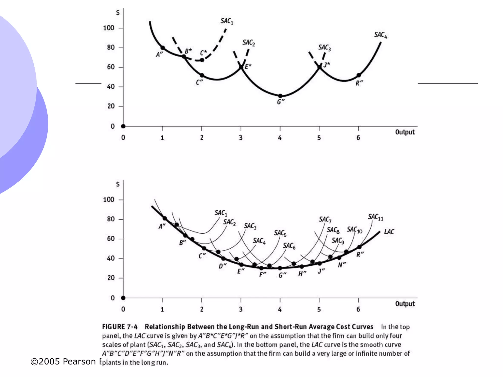
©2005 Pearson Education, Inc.   Chapter 7                   45
Long Run Cost with
           Constant Returns to Scale

            The long-run average cost curve
             envelops the short-run average cost
             curves

            The LAC curve exhibits economies of
             scale initially but exhibits diseconomies
             at higher output levels



©2005 Pearson Education, Inc.   Chapter 7                46
RETURNS TO SCALE


©2005 Pearson Education, Inc.   Chapter 7   47
BIG CITIES

            Metropolis twice the size of one, number
             of gas stations, length of pipelines,
             infrastructure decreases by 15%

            Why?




©2005 Pearson Education, Inc.                           48
Narayan
           Hridalaya

    Provide health care at full price
   To patients from well to do background

    These patients subsidize `poor’ patients
    Run at a profit of 7.7%
    Why is Narayan Hridalaya able to do this?



©2005 Pearson Education, Inc.                    49
Narayan
           Hridalaya

    Number of Beds, 2001: 225

    Current No. of Beds across India: 30,000



    How does number of beds play a role in
    profits?


©2005 Pearson Education, Inc.                   50
Returns to Scale

            Rate at which output increases as inputs
             are increased proportionately

                Increasing returns to scale
                Constant returns to scale
                Decreasing returns to scale




©2005 Pearson Education, Inc.                       51
Returns to Scale

            Increasing returns to scale: output
             more than doubles when all inputs are
             doubled

                What happens to the isoquants?




©2005 Pearson Education, Inc.                        52
Increasing Returns to Scale
  Capital
                                                        A     The isoquants
(machine                                                      move closer
  hours)                                                      together



                   4

                                                   30

                   2                          20
                                         10

                                5   10                      Labor (hours)
©2005 Pearson Education, Inc.                                            53
Long Run Versus Short Run
           Cost Curves

           Increasing Returns to Scale

                 If input is doubled, output will more than
                  double
                 To double output input is less than doubled
                 AC decreases at all levels of output




©2005 Pearson Education, Inc.   Chapter 7                   54
Long Run Costs

            As output increases, firm’s AC of
             producing is likely to decline to a point
                1. On a larger scale, workers can better
                   specialize
                2. Scale can provide flexibility – managers can
                   organize production more effectively
                3. Firm may be able to get inputs at lower cost
                   if can get quantity discounts. Lower prices
                   might lead to different input mix.


©2005 Pearson Education, Inc.   Chapter 7                    55
Returns to Scale

           Constant returns to scale: output
            doubles when all inputs are doubled


                 Isoquants     are equidistant apart




©2005 Pearson Education, Inc.                           56
Returns to Scale
  Capital
                                                        A
(machine
                    6
  hours)
                                                               30

                    4                                           Constant
                                                                 Returns:
                                                    2         Isoquants are
                                                    0        equally spaced
                    2

                                          10

                                 5   10        15           Labor (hours)
 ©2005 Pearson Education, Inc.                                           57
Long Run Versus
           Short Run Cost Curves

           Constant Returns to Scale

                 If input is doubled, output will double
                 To double output, input has to less than
                  double
                 AC cost is constant at all levels of output




©2005 Pearson Education, Inc.   Chapter 7                       58
Returns to Scale

           Decreasing returns to scale: output
            less than doubles when all inputs are
            doubled


                 Isoquants     become farther apart




©2005 Pearson Education, Inc.                          59
Long Run Versus Short Run
           Cost Curves

           Decreasing Returns to Scale

                 If input is doubled, output will less than
                  double
                 To double output has to more than double

                 AC increases at all levels of output




©2005 Pearson Education, Inc.   Chapter 7                      60
Long Run Costs
            At some point, AC will begin to increase
                1. Factory space and machinery may make it
                   more difficult for workers to do their jobs
                   efficiently
                2. Managing a larger firm may become more
                   complex and inefficient as the number of
                   tasks increase
                3. Bulk discounts can no longer be utilized.
                   Limited availability of inputs may cause
                   price to rise.


©2005 Pearson Education, Inc.   Chapter 7                        61
©2005 Pearson Education, Inc.
Long Run Versus Short Run
           Cost Curves
            In the long run:
                Firms experience increasing and decreasing
                 returns to scale and therefore long-run
                 average cost is “U” shaped.

                Long-run marginal cost curve measures the
                 change in long-run total costs as output is
                 increased by 1 unit




©2005 Pearson Education, Inc.   Chapter 7                      63
Long Run Versus Short Run
           Cost Curves

            Long-run marginal cost leads long-run
             average cost:
                If LMC < LAC, LAC will fall
                If LMC > LAC, LAC will rise
                Therefore, LMC = LAC at the minimum of
                 LAC
            In special case where LAC is constant,
             LAC and LMC are equal


©2005 Pearson Education, Inc.   Chapter 7                 64
Long Run Average and Marginal
           Cost
            Cost
      ($ per unit
       of output                            LMC

                                                  LAC




                                A




                                                        Output

©2005 Pearson Education, Inc.   Chapter 7                        65
Economies and Diseconomies
           of Scale
            Economies of Scale
                Increase in output is greater than the
                 increase in inputs
            Diseconomies of Scale
                Increase in output is less than the increase in
                 inputs
            U-shaped LAC shows economies of
             scale for relatively low output levels and
             diseconomies of scale for higher levels


©2005 Pearson Education, Inc.   Chapter 7                     66
Long Run Costs

            Increasing Returns to Scale
                Output more than doubles when the
                 quantities of all inputs are doubled


            Economies of Scale
                Doubling of output requires less than a
                 doubling of cost




©2005 Pearson Education, Inc.   Chapter 7                  67
COST OUTPUT ELASTICITY


©2005 Pearson Education, Inc.   Chapter 7   68
Long Run Costs

            Economies of scale are measured in
             terms of cost-output elasticity, EC
            EC is the percentage change in the cost
             of production resulting from a 1-percent
             increase in output

                    EC          CC           MC
                                      QQ          AC

©2005 Pearson Education, Inc.    Chapter 7              69
Long Run Costs
            EC is equal to 1, MC = AC
                 Costs increase proportionately with output
                 Neither economies nor diseconomies of scale
            EC < 1 when MC < AC
                 Economies of scale
                 Both MC and AC are declining
            EC > 1 when MC > AC
                 Diseconomies of scale
                 Both MC and AC are rising



©2005 Pearson Education, Inc.     Chapter 7                     70
ECONOMIES OF SCOPE


©2005 Pearson Education, Inc.   Chapter 7   71
Economies of Scope

            P&G produces different types of anti
            aging creams

            Would it benefit P&G to
           Produce them separately?




©2005 Pearson Education, Inc.   Chapter 7           72
Production with Two Outputs –
           Economies of Scope

            Many firms produce more than one
             product and those products are closely
             linked

            Examples:
                Chicken farm--poultry and eggs
                Automobile company--cars and trucks
                University--teaching and research


©2005 Pearson Education, Inc.   Chapter 7              73
Production with Two Outputs –
           Economies of Scope

                Advantages
           1.    Both use capital and labor
           2.    The firms share management resources
           3.    Both use the same labor skills and
                 types of machinery




©2005 Pearson Education, Inc.   Chapter 7           74
Production with Two Outputs –
           Economies of Scope
            The degree of economies of scope (SC) can
             be measured by percentage of cost saved
             producing two or more products jointly:
                                C(q1 ) C(q 2 ) C(q1 ,q2 )
                    SC
                                       C(q1 ,q2 )
                 C(q1) is the cost of producing q1
                 C(q2) is the cost of producing q2
                 C(q1,q2) is the joint cost of producing both products



©2005 Pearson Education, Inc.       Chapter 7                             75
Production with Two Outputs –
           Economies of Scope

            With economies of scope, the joint cost is
             less than the sum of the individual costs
            Interpretation:
                If SC > 0  Economies of scope
                If SC < 0  Diseconomies of scope
                The greater the value of SC, the greater the
                 economies of scope




©2005 Pearson Education, Inc.   Chapter 7                       76
Production with Two Outputs –
           Economies of Scope

            There is no direct relationship between
             economies of scope and economies of
             scale
                May experience economies of scope and
                 diseconomies of scale
                May have economies of scale and not have
                 economies of scope




©2005 Pearson Education, Inc.   Chapter 7                   77

Lecture 9 costs

  • 1.
    Chapter 7 The Costof Production
  • 2.
    Expansion Path Capital per The expansion path illustrates year the least-cost combinations of labor and capital that can be 150 $3000 used to produce each level of output in the long-run. Expansion Path $2000 100 C 75 B 50 300 Units A 25 200 Units Labor per year 50 100 150 200 300 ©2005 Pearson Education, Inc. Chapter 7 2
  • 3.
    Optimal Inputs  The minimum cost combination can then be written as: MPL MPK w r  Increase in output for every dollar spent on an input is same for all inputs. ©2005 Pearson Education, Inc. Chapter 7 3
  • 4.
    Expansion Path  It shows optimal input combinations to minimize cost to produce different levels of output  It shows the minimum cost to produce different levels of output  It shows the maximum amount of output that can be produced for different levels of expenditure. ©2005 Pearson Education, Inc.
  • 5.
    A Firm’s LongRun Total Cost Curve Cost/ Year Long Run Total Cost F 3000 E 2000 D 1000 Output, Units/yr 100 200 300 ©2005 Pearson Education, Inc. Chapter 7 5
  • 6.
  • 7.
    LONG RUN ANDSHORT RUN COSTS ©2005 Pearson Education, Inc. Chapter 7 7
  • 8.
    Long Run VersusShort Run Cost Curves  In the short run, some costs are fixed  In the long run, firm can change anything including plant size Can produce at a lower average cost in long run than in short run Capital and labor are both flexible  We can show this by holding capital fixed in the short run and flexible in long run ©2005 Pearson Education, Inc. Chapter 7 8
  • 9.
    The Inflexibility ofShort Run Production Capital E Capital is fixed at K1. per To produce q1, min cost at K1,L1. year If increase output to Q2, min cost C is K1 and L3 in short run. In LR, can Long-Run change Expansion Path A capital and min costs falls to K2 K2 and L2. Short-Run P Expansion Path K1 Q2 Q1 Labor per year L1 L2 B L3 D F ©2005 Pearson Education, Inc. Chapter 7 9
  • 10.
     Production technologymeasures the relationship between input and output  Production technology, together with prices of factor inputs, determine the firm’s cost of production ©2005 Pearson Education, Inc. Chapter 7 10
  • 11.
    Introduction  The optimal, cost minimizing, level of inputs can be determined  A firm’s costs depend on the rate of output  The characteristics of the firm’s production technology affect costs in the long run and short run ©2005 Pearson Education, Inc. Chapter 7 11
  • 12.
    Measuring Cost: Which Costs Matter?  For a firm to minimize costs, we must clarify what is meant by costs and how to measure them It is clear that if a firm has to rent equipment or buildings, the rent they pay is a cost What if a firm owns its own equipment or building?  How are costs calculated here? ©2005 Pearson Education, Inc. Chapter 7 12
  • 13.
    Measuring Cost: Which Costs Matter?  Accounting Cost Actual expenses plus depreciation charges for capital equipment  Economic Cost Cost to a firm of utilizing economic resources in production, including opportunity cost ©2005 Pearson Education, Inc. Chapter 7 13
  • 14.
    Opportunity Cost  An Example A firm owns its own building and pays no rent for office space Does this mean the cost of office space is zero? The building could have been rented instead Foregone rent is the opportunity cost of using the building for production and should be included in the economic costs of doing business ©2005 Pearson Education, Inc. Chapter 7 14
  • 15.
    Opportunity Cost  A person starting their own business must take into account the opportunity cost of their time Could have worked elsewhere making a competitive salary ©2005 Pearson Education, Inc. Chapter 7 15
  • 16.
    Measuring Cost: Which Costs Matter?  Some costs vary with output, while some remain the same no matter the amount of output  Total cost can be divided into: 1. Fixed Cost  Does not vary with the level of output 2. Variable Cost  Cost that varies as output varies ©2005 Pearson Education, Inc. Chapter 7 16
  • 17.
    Fixed and VariableCosts  Total output is a function of variable inputs and fixed inputs  Therefore, the total cost of production equals the fixed cost (the cost of the fixed inputs) plus the variable cost (the cost of the variable inputs), or… TC FC VC ©2005 Pearson Education, Inc. Chapter 7 17
  • 18.
    Fixed and VariableCosts  Which costs are variable and which are fixed depends on the time horizon  Short time horizon – most costs are fixed  Long time horizon – many costs become variable ©2005 Pearson Education, Inc. Chapter 7 18
  • 19.
    Measuring Cost: Which Costs Matter?  Personal Computers Most costs are variable Largest component: labor  Software Most costs are sunk Initial cost of developing the software ©2005 Pearson Education, Inc. Chapter 7 19
  • 20.
    Narayan Hridalaya  Providing health care involves high costs and low accessibility  What does a hospital produce?  What does a hospital use to produce this?  Narayan Hridalaya founded on the principle of providing low cost and accessible health care to all ©2005 Pearson Education, Inc. 20
  • 21.
    Daily Bread  Multiple outlets in and around Bangalore  What are the outputs they produce?  What are the inputs? ©2005 Pearson Education, Inc. 21
  • 22.
    AVERAGE AND MARGINAL COST ©2005 Pearson Education, Inc. Chapter 7 22
  • 23.
    Marginal and AverageCost  In completing a discussion of costs, must also distinguish between Average Cost Marginal Cost ©2005 Pearson Education, Inc. Chapter 7 23
  • 24.
    Measuring Costs  Marginal Cost (MC): The cost of expanding output by one unit Fixed costs have no impact on marginal cost, so it can be written as: ΔVC ΔTC MC Δq Δq ©2005 Pearson Education, Inc. Chapter 7 24
  • 25.
    Measuring Costs  Average Total Cost (ATC) Cost per unit of output Also equals average fixed cost (AFC) plus average variable cost (AVC) TC ATC AFC AVC q TC TFC TVC ATC q q q ©2005 Pearson Education, Inc. Chapter 7 25
  • 26.
    A Firm’s ShortRun Costs ©2005 Pearson Education, Inc. Chapter 7 26
  • 27.
    MC AND ACCURVES ©2005 Pearson Education, Inc. Chapter 7 27
  • 28.
    Determinants of ShortRun Costs – An Example  Assume the wage rate (w) is fixed relative to the number of workers hired  Variable costs is the per unit cost of extra labor times the amount of extra labor: wL VC w L MC q q ©2005 Pearson Education, Inc. Chapter 7 28
  • 29.
    Determinants of ShortRun Costs – An Example  Remembering that Q MPL L  And rearranging L 1 L for a 1 unit Q Q MPL ©2005 Pearson Education, Inc. Chapter 7 29
  • 30.
    Determinants of ShortRun Costs – An Example  We can conclude: w MC MPL  …and a low marginal product (MPL) leads to a high marginal cost (MC) and vice versa ©2005 Pearson Education, Inc. Chapter 7 30
  • 31.
    Determinants of ShortRun Costs  The rate at which these costs increase depends on the amount of input changes with change in output  i.e. Costs depend upon the nature of production process.. ©2005 Pearson Education, Inc. Chapter 7 31
  • 32.
    Determinants of ShortRun Costs  If marginal product of labor decreases significantly as more labor is hired Costs of production increase rapidly Greater and greater expenditures must be made to produce more output ©2005 Pearson Education, Inc. Chapter 7 32
  • 33.
    Determinants of ShortRun Costs  Consequently (from the table): MC decreases initially with increasing returns 0 through 4 units of output MC increases with decreasing returns 5 through 11 units of output ©2005 Pearson Education, Inc. Chapter 7 33
  • 34.
    Cost Curves fora Firm TC Cost 400 ($ per Total cost year) VC is the vertical sum of FC and VC. 300 Variable cost increases with production and the rate varies with 200 increasing and decreasing returns. Fixed cost does not 100 vary with output 50 FC 0 1 2 3 4 5 6 7 8 9 10 11 12 13 Output ©2005 Pearson Education, Inc. Chapter 7 34
  • 35.
    Cost Curves 120 100 MC Cost ($/unit) 80 60 ATC 40 AVC 20 AFC 0 0 2 4 6 8 10 12 Output (units/yr) ©2005 Pearson Education, Inc. Chapter 7 35
  • 36.
  • 37.
    Cost Curves  When MC is below AVC, AVC is falling  When MC is above AVC, AVC is rising  When MC is below ATC, ATC is falling  When MC is above ATC, ATC is rising  Therefore, MC crosses AVC and ATC at the minimums The Average – Marginal relationship ©2005 Pearson Education, Inc. Chapter 7 37
  • 38.
    Cost Curves fora Firm  The line drawn from the origin to the P TC variable cost curve: 400 VC  Its slope equals AVC  The slope of a point 300 on VC or TC equals MC 200  Therefore, MC = AVC A at 7 units of output 100 (point A) FC 1 2 3 4 5 6 7 8 9 10 11 12 13 Output ©2005 Pearson Education, Inc. Chapter 7 38
  • 39.
    LONG RUN COSTS ©2005Pearson Education, Inc. Chapter 7 39
  • 40.
  • 41.
  • 42.
    Long Run Costwith Economies and Diseconomies of Scale ©2005 Pearson Education, Inc. Chapter 7 42
  • 43.
    Long Run Costwith Constant Returns to Scale  The optimal plant size will depend on the anticipated output If expect to produce q0, then should build smallest plant: AC = $8 If produce more, like q1, AC rises If expect to produce q2, middle plant is least cost If expect to produce q3, largest plant is best ©2005 Pearson Education, Inc. Chapter 7 43
  • 44.
    Long Run Costwith Economies and Diseconomies of Scale ©2005 Pearson Education, Inc. Chapter 7 44
  • 45.
    Long Run Costwith Constant Returns to Scale  What is the firm’s long run cost curve? Firms can change scale to change output in the long run The long run cost curve is the dark blue portion of the SAC curve which represents the minimum cost for any level of output Firm will always choose plant that minimizes the average cost of production ©2005 Pearson Education, Inc. Chapter 7 45
  • 46.
    Long Run Costwith Constant Returns to Scale  The long-run average cost curve envelops the short-run average cost curves  The LAC curve exhibits economies of scale initially but exhibits diseconomies at higher output levels ©2005 Pearson Education, Inc. Chapter 7 46
  • 47.
    RETURNS TO SCALE ©2005Pearson Education, Inc. Chapter 7 47
  • 48.
    BIG CITIES  Metropolis twice the size of one, number of gas stations, length of pipelines, infrastructure decreases by 15%  Why? ©2005 Pearson Education, Inc. 48
  • 49.
    Narayan Hridalaya  Provide health care at full price To patients from well to do background  These patients subsidize `poor’ patients  Run at a profit of 7.7%  Why is Narayan Hridalaya able to do this? ©2005 Pearson Education, Inc. 49
  • 50.
    Narayan Hridalaya  Number of Beds, 2001: 225  Current No. of Beds across India: 30,000  How does number of beds play a role in profits? ©2005 Pearson Education, Inc. 50
  • 51.
    Returns to Scale  Rate at which output increases as inputs are increased proportionately Increasing returns to scale Constant returns to scale Decreasing returns to scale ©2005 Pearson Education, Inc. 51
  • 52.
    Returns to Scale  Increasing returns to scale: output more than doubles when all inputs are doubled What happens to the isoquants? ©2005 Pearson Education, Inc. 52
  • 53.
    Increasing Returns toScale Capital A The isoquants (machine move closer hours) together 4 30 2 20 10 5 10 Labor (hours) ©2005 Pearson Education, Inc. 53
  • 54.
    Long Run VersusShort Run Cost Curves Increasing Returns to Scale  If input is doubled, output will more than double  To double output input is less than doubled  AC decreases at all levels of output ©2005 Pearson Education, Inc. Chapter 7 54
  • 55.
    Long Run Costs  As output increases, firm’s AC of producing is likely to decline to a point 1. On a larger scale, workers can better specialize 2. Scale can provide flexibility – managers can organize production more effectively 3. Firm may be able to get inputs at lower cost if can get quantity discounts. Lower prices might lead to different input mix. ©2005 Pearson Education, Inc. Chapter 7 55
  • 56.
    Returns to Scale  Constant returns to scale: output doubles when all inputs are doubled  Isoquants are equidistant apart ©2005 Pearson Education, Inc. 56
  • 57.
    Returns to Scale Capital A (machine 6 hours) 30 4 Constant Returns: 2 Isoquants are 0 equally spaced 2 10 5 10 15 Labor (hours) ©2005 Pearson Education, Inc. 57
  • 58.
    Long Run Versus Short Run Cost Curves Constant Returns to Scale  If input is doubled, output will double  To double output, input has to less than double  AC cost is constant at all levels of output ©2005 Pearson Education, Inc. Chapter 7 58
  • 59.
    Returns to Scale  Decreasing returns to scale: output less than doubles when all inputs are doubled  Isoquants become farther apart ©2005 Pearson Education, Inc. 59
  • 60.
    Long Run VersusShort Run Cost Curves Decreasing Returns to Scale  If input is doubled, output will less than double  To double output has to more than double  AC increases at all levels of output ©2005 Pearson Education, Inc. Chapter 7 60
  • 61.
    Long Run Costs  At some point, AC will begin to increase 1. Factory space and machinery may make it more difficult for workers to do their jobs efficiently 2. Managing a larger firm may become more complex and inefficient as the number of tasks increase 3. Bulk discounts can no longer be utilized. Limited availability of inputs may cause price to rise. ©2005 Pearson Education, Inc. Chapter 7 61
  • 62.
  • 63.
    Long Run VersusShort Run Cost Curves  In the long run: Firms experience increasing and decreasing returns to scale and therefore long-run average cost is “U” shaped. Long-run marginal cost curve measures the change in long-run total costs as output is increased by 1 unit ©2005 Pearson Education, Inc. Chapter 7 63
  • 64.
    Long Run VersusShort Run Cost Curves  Long-run marginal cost leads long-run average cost: If LMC < LAC, LAC will fall If LMC > LAC, LAC will rise Therefore, LMC = LAC at the minimum of LAC  In special case where LAC is constant, LAC and LMC are equal ©2005 Pearson Education, Inc. Chapter 7 64
  • 65.
    Long Run Averageand Marginal Cost Cost ($ per unit of output LMC LAC A Output ©2005 Pearson Education, Inc. Chapter 7 65
  • 66.
    Economies and Diseconomies of Scale  Economies of Scale Increase in output is greater than the increase in inputs  Diseconomies of Scale Increase in output is less than the increase in inputs  U-shaped LAC shows economies of scale for relatively low output levels and diseconomies of scale for higher levels ©2005 Pearson Education, Inc. Chapter 7 66
  • 67.
    Long Run Costs  Increasing Returns to Scale Output more than doubles when the quantities of all inputs are doubled  Economies of Scale Doubling of output requires less than a doubling of cost ©2005 Pearson Education, Inc. Chapter 7 67
  • 68.
    COST OUTPUT ELASTICITY ©2005Pearson Education, Inc. Chapter 7 68
  • 69.
    Long Run Costs  Economies of scale are measured in terms of cost-output elasticity, EC  EC is the percentage change in the cost of production resulting from a 1-percent increase in output EC CC MC QQ AC ©2005 Pearson Education, Inc. Chapter 7 69
  • 70.
    Long Run Costs  EC is equal to 1, MC = AC  Costs increase proportionately with output  Neither economies nor diseconomies of scale  EC < 1 when MC < AC  Economies of scale  Both MC and AC are declining  EC > 1 when MC > AC  Diseconomies of scale  Both MC and AC are rising ©2005 Pearson Education, Inc. Chapter 7 70
  • 71.
    ECONOMIES OF SCOPE ©2005Pearson Education, Inc. Chapter 7 71
  • 72.
    Economies of Scope  P&G produces different types of anti aging creams  Would it benefit P&G to Produce them separately? ©2005 Pearson Education, Inc. Chapter 7 72
  • 73.
    Production with TwoOutputs – Economies of Scope  Many firms produce more than one product and those products are closely linked  Examples: Chicken farm--poultry and eggs Automobile company--cars and trucks University--teaching and research ©2005 Pearson Education, Inc. Chapter 7 73
  • 74.
    Production with TwoOutputs – Economies of Scope  Advantages 1. Both use capital and labor 2. The firms share management resources 3. Both use the same labor skills and types of machinery ©2005 Pearson Education, Inc. Chapter 7 74
  • 75.
    Production with TwoOutputs – Economies of Scope  The degree of economies of scope (SC) can be measured by percentage of cost saved producing two or more products jointly: C(q1 ) C(q 2 ) C(q1 ,q2 ) SC C(q1 ,q2 )  C(q1) is the cost of producing q1  C(q2) is the cost of producing q2  C(q1,q2) is the joint cost of producing both products ©2005 Pearson Education, Inc. Chapter 7 75
  • 76.
    Production with TwoOutputs – Economies of Scope  With economies of scope, the joint cost is less than the sum of the individual costs  Interpretation: If SC > 0  Economies of scope If SC < 0  Diseconomies of scope The greater the value of SC, the greater the economies of scope ©2005 Pearson Education, Inc. Chapter 7 76
  • 77.
    Production with TwoOutputs – Economies of Scope  There is no direct relationship between economies of scope and economies of scale May experience economies of scope and diseconomies of scale May have economies of scale and not have economies of scope ©2005 Pearson Education, Inc. Chapter 7 77

Editor's Notes

  • #49 What can you say about average cost?