Embed presentation
Download as PDF, PPTX

















































































































































































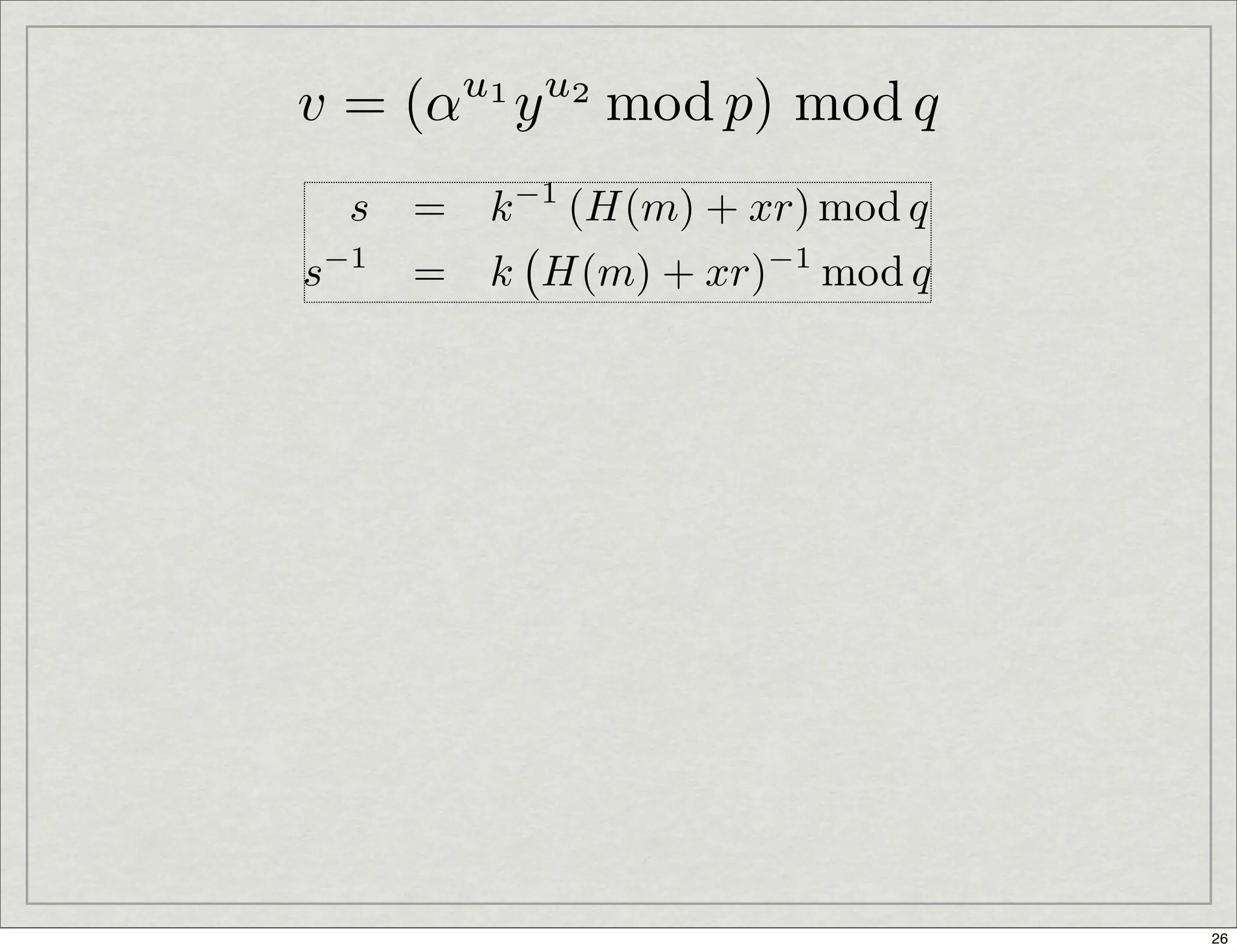
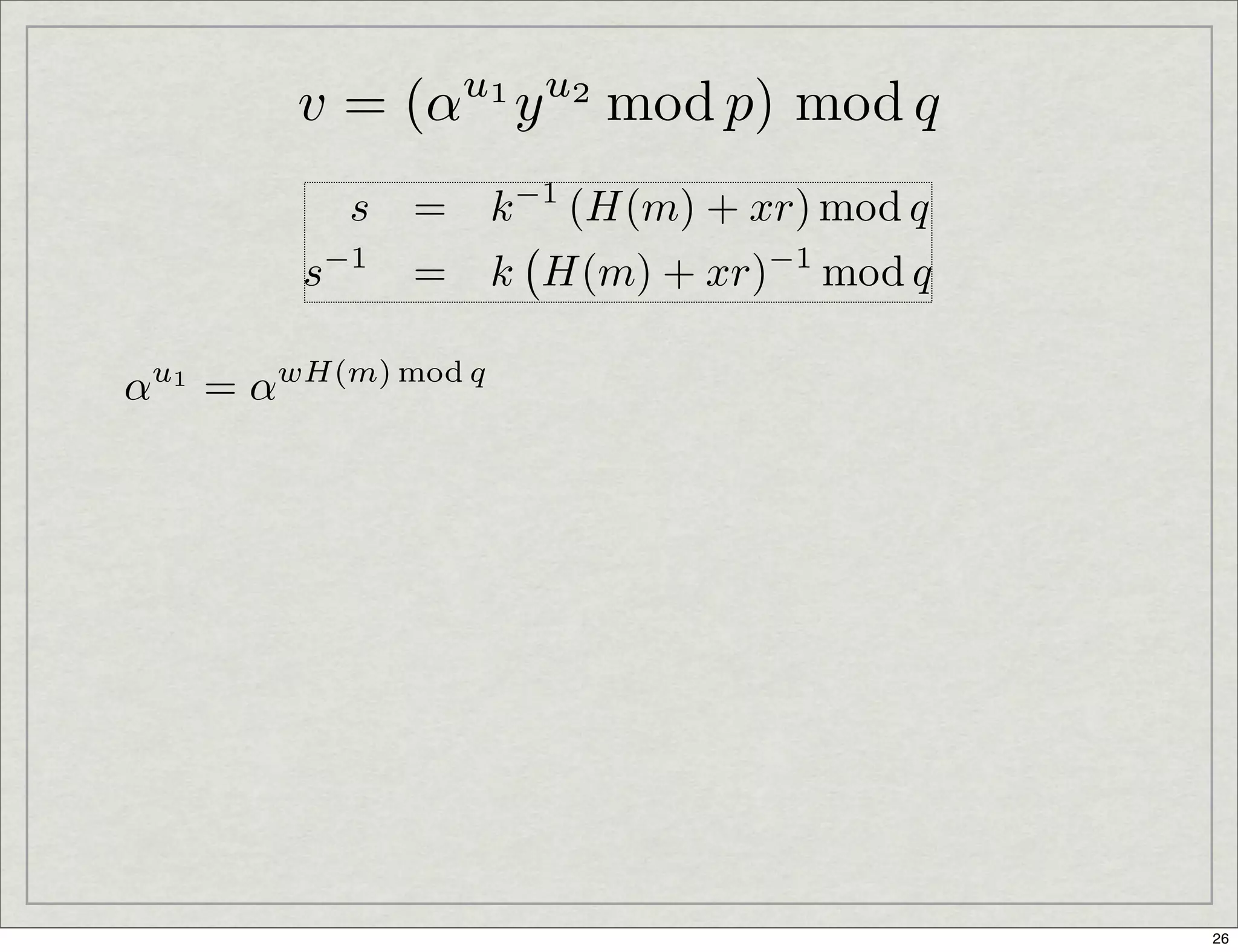
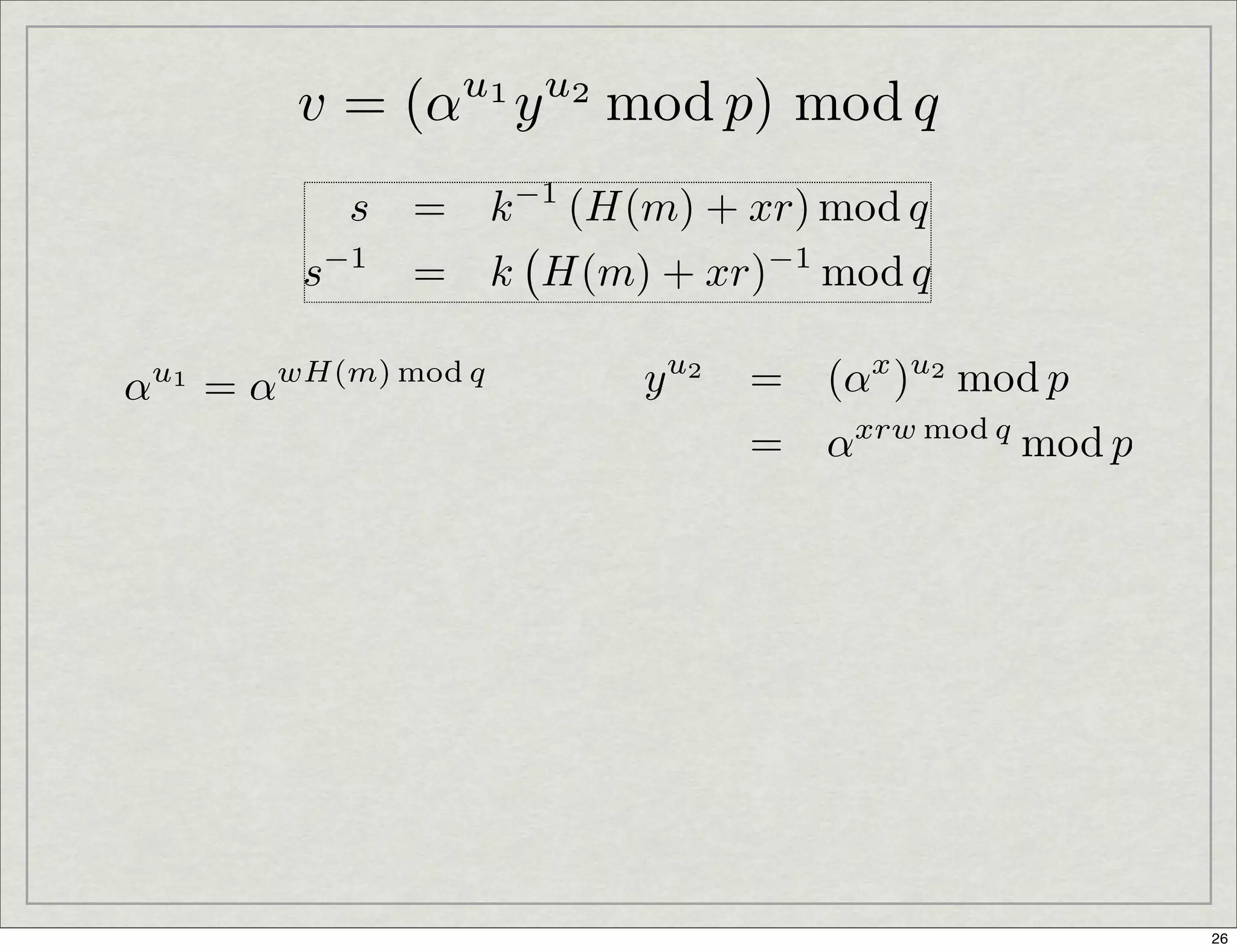
The document discusses digital signatures, focusing on their role in solving authentication problems and the required parameters for their implementation. It emphasizes the use of public-key encryption algorithms to create digital signatures. This introduction is part of a broader exploration of cryptography presented by Robert Talbert, PhD.















































































































































































