1
‫ئه‬‌‫ندازیارى‬‌‫گواســتــنه‬‌‫وه‬‌‫ى‬‌‫گه‬‌‫رمى‬
Heat Transfer Engineering
‫ئهم‬‌‫پهڕتوکه‬‌‫تهواو‬‌‫نهکراوە‬‌‫بهشێوەیهکی‬‌‫کاتی‬‌‫لهسهر‬‌‫تۆڕی‬‌‫ئینتهرنێت‬‌‫بارکراوە‬
Email Address: Rawaz7509@gmail.com
Email Address:Rawaz7509@yahoo.com
Skype:Rawaz-Jalal
S I units
Note: All questions are solved according to the mass and heat transfer data
book.
2
www.ferhang.com ‫فه‬‌‫رهه‬‌‫نگى‬‌‫ئه‬‌‫ندازیارى‬‌
Chapter 1
Introduction ‫پێػەکی‬
Heat Energy and Heat Transfer ‫وزەی‬‌‫گهرمی‬‌‫و‬‌‫گواستنهوەی‬‌‫گهرمی‬
What is Heat energy?
Heat is a form of energy in transition and it flows from one system to
another, without transfer of mass, whenever there is a temperature
difference between the systems. Heat always moves from a warmer
place to a cooler place.
‫وزەی‬‌‫گهرمی‬‌‫چیه؟‬‌
‫گهرمی‬‌‫شێوەیهکی‬‌‫وزەیه‬‌‫له‬‌‫گواستنهوەدا‬‌‫وە‬‌‫له‬‌‫سیستهمێکهوە‬‌‫دەروات‬‌‫بۆ‬‌‫سیستهمێکیتر‬‌‫بێئهوەی‬‌‫بارستای‬‌
‫بگواسرێتهوە‬‌‫ههرچۆنێکبێت‬‌‫جیاوازی‬‌‫پلهی‬‌‫گهرمی‬‌‫ههیه‬‌‫لهنێوان‬‌‫سیستهمهکاندا‬‌،‌‫ههمیشه‬‌‫گهرمی‬‌
‫لهشوێنێکی‬‌‫گهرمترەوە‬‌‫دەجوڵێت‬‌‫بۆ‬‌‫شوێنێکی‬‌‫ساردتر‬.‌
What is Heat transfer?
The science of how heat flows is called heat transfer.
‫گواستنهوەی‬‌‫گهرمی‬‌‫چیه؟‬‌
‫ئهو‬‌‫زانستهی‬‌‫له‬‌‫چۆنێتی‬‌‫گواستنهوەی‬‌‫گهرمی‬‌‫دەکۆڵێتهوە‬‌‫پێیدەوترێت‬‌‫گواستنهوای‬‌‫گهرمی‬.‌
‌
Importance of Heat Transfer ‫گرنگی‬‌‫گواستنهوەی‬‌‫گهرمی‬
What is Importance of Heat Transfer?
3
Heat transfer processes involve the transfer and conversion of energy
and therefore, it is essential to determine the specified rate of heat transfer at
a specified temperature difference. The design of Equationuipments like
boilers, refrigerators and other heat exchangers rEquationuire a detailed
analysis of transferring a given amount of heat energy within a specified time.
Components like gas/steam turbine blades, combustion chamber walls,
electrical machines, electronic gadgets, transformers, bearings, etc
rEquationuire continuous removal of heat energy at a rapid rate in order to
avoid their overheating.
‫گرنگی‬‌‫گواستنهوەی‬‌‫گهرمی‬‫چییه؟‬‌
‫پرۆسهکانی‬‌‫گواستنهوەی‬‌‫گهرمی‬‌‫بهژدارن‬‌‫له‬‌‫گواستنهوە‬‌‫و‬‌‫پاراستنی‬‌‫وزە‬‌‫وە‬‌‫لهبهرئهوە‬‌‫بنچینهی‬‌
‫دۆزینهوەی‬‌‫بری‬‌‫گهرمی‬‌‫دیاریکراوە‬‌‫له‬‌‫جیاوازی‬‌‫پلهیهکی‬‌‫گهرمی‬‌‫دیاریکراودا‬‌‌.‫دیزاینی‬‌‫ئامێرەکهنی‬‌
‫وەکو‬‌‫بۆیلهرو‬‌‫بهفرگرو‬‌‫گوێزەرەوە‬‌‫گهرمیهکانیتر‬‌‫پێویستیان‬‌‫به‬‌‫شیکارێکی‬‌‫درێژی‬‌‫گواستنهوەی‬‌‫برێکی‬‌
‫دیاریکراوی‬‌‫وزەی‬‌‫گهرمی‬‌‫ههیه‬‌‫لهکاتێکی‬‌‫دیاریکراودا‬‌.‫پێکهێنارەکانی‬‌‫وەک‬‌‫پهرەی‬‌‫تۆرباینی‬‌‫ههڵمی‬‌‫و‬‌
‫گازی‬‌،‌‫دیوارەکانی‬‌‫ژوری‬‌‫سوتان‬‌،‌‫مهکینه‬‌‫کارەبییهکان‬‌‫ئامێرە‬‌‫ئهلکترۆنیهکان‬‌‫محاویلهکانو‬‌‫بێرینگهکانو‬‌
‫ههتا‬‌‫دوای‬‌‫پێویسته‬‌‫بهبهردەوامی‬‌‫گهرمیهکهیان‬‌‫الببرێت‬‌‫لهکاتێکی‬‌‫خێرادا‬‌‫بۆئهوەی‬‌‫دوربن‬‌‫له‬‌
‫زۆرگهرمبون‬‌.‌
‌
‌
‌
‌
Thermal Equilibrium ‫هاوسهنگی‬‌‫گهرمی‬
What isThermal Equilibrium?
Two bodies are in thermal Equilibrium with each other when they have
the same temperature. In nature, heat always flows from hot to cold
until thermal Equilibrium is reached. Hot objects in a cooler room will
4
cool to room temperature. Cold objects in a warmer room will heat up to
room temperature.
‫هاوسهنگی‬‌‫گهرمی‬‌‫چیه؟‬
‫دو‬‌‫تهن‬‌‫له‬‌‫هاوسهنگی‬‌‫گرمیدان‬‌‫لهگهڵ‬‌‫یهکتری‬‌‫کاتێک‬‌‫ههردوکیان‬‌‫ههمان‬‌‫پلهیگهرمیان‬‌‫ههبێت‬‌.‫له‬‌
‫سروشدا‬‌،‌‫گهرمی‬‌‫ههمیشه‬‌‫ال‬‌‫گهرمهوە‬‌‫دەچێت‬‌‫بۆ‬‌‫سارد‬‌‫ههتا‬‌‫دەگهنه‬‌‫هاوسهنگبونی‬‌‫گهرمی‬‌.
‫شتهگهرمهکان‬‌‫له‬‌‫ژورێکی‬‌‫ساردا‬‌‫سارددەبن‬‌‫بۆ‬‌‫پلهی‬‌‫گهرمی‬‌‫ژورەکه‬‌.‫شتهساردەکهن‬‌‫له‬‌‫ژورێکی‬‌
‫گهرمدا‬‌‫گهرمدەبن‬‌‫بۆ‬‌‫پلهی‬‌‫گهرمی‬‌‫ژورەکه‬.
If a cup of coffee and a red popsickle were left on the table in a room
what would happen to them? Why?
The cup of coffee will cool until it reaches room temperature. The
popsickle will melt and then the liquid will warm to room temperature.
‫ئهگهر‬‌‫کوپێک‬‌‫قاوەو‬‌‫چلورەیهکی‬‌‫سور‬‌‫بهجێبهێڵرێن‬‌‫لهسهر‬‌‫مێزێک‬‌‫له‬‌‫ژورێکدا‬‌‫چییان‬‌
‫بهسهردێت؟‬‌‫بۆچی؟‬
‫کوپه‬‌‫قاوەکه‬‌‫سارددەبێت‬‌‫ههتا‬‌‫دەگاته‬‌‫پلهی‬‌‫گهرمی‬‌‫ژورەکه‬‌.‫چلورەکه‬‌‫گهرمدەبێت‬‌‫ههتا‬‌‫دەگاته‬‌
‫پلهی‬‌‫گهرمی‬‌‫ژورەکه‬.
What are the ways of heat transfer? ‫ڕێگاكانی‬‌‫گواستنه‬‌‫وه‬‌‫ی‬‌‫گه‬‌‫کامانهن؟‬ ‫رمی‬
The heat transfer processes have been categorized into three basic modes:
‫کردارەکانی‬‌‫گوستنهوەی‬‌‫گهرمی‬‌‫جیاکراونهتهوە‬‌‫بۆ‬‌‫سێ‬‌‫جۆری‬‌‫سهرەکی‬:
1. Conduction ‫گه‬‌‫یاندن‬
5
2. Convection ‌ ‫ههڵگرتن‬
3. Radiation ‫تیشكدان‬
Conduction ‫گهیاندن‬
1.6 Mechanism of Heat Transfer by Conduction
What is conduction?
Conduction is the transfer of heat through materials by the direct
contact of matter. Particles that are very close together can transfer
heat energy as they vibrate. This type of heat transfer is called
conduction. Dense metals like copper and aluminum are very good
thermal conductors.
‫میكانیزمى‬‫گهرمى‬ ‫گواستنهوەی‬‫ب‬‫ه‬‫گ‬‫ه‬‫یاندن‬
‫چیه؟‬ ‫گهیاندن‬
‫ماددە‬ ‫بهناو‬ ‫گهرمیه‬ ‫گواستنهوەكهى‬ ‫گهیاندن‬‫کاندا‬‫به‬‫ماددە‬ ‫ڕاستهوخۆى‬‫کان‬.‫ئهو‬‫تهنۆچك‬‫انای‬‫زۆر‬ ‫كه‬
‫نزیك‬‫ن‬‫بگوازنهوە‬ ‫گهرمى‬ ‫وزەى‬ ‫دەتواننن‬ ‫پێكهوە‬‫که‬‫جۆرەى‬ ‫ئهم‬ .‫دەلهرێنهوە‬‫گهرمى‬ ‫گواستنهوەی‬‫پێی‬
‫دەوترێت‬‫گهیاندن‬.‫وەك‬ ‫پڕ‬ ‫كانزاى‬‫مس‬‫باش‬ ‫زۆر‬ ‫گهیێنهرى‬ ‫ئهلهمنیۆم‬ ‫و‬‫ی‬‫گهرم‬‫ین‬.‌
How are the particles arranged in a solid, a liquid and a gas?
‫تهنۆچكهك‬ ‫چۆن‬‫له‬ ‫ان‬‫و‬ ‫ڕەق‬‫شل‬‫ه‬‫گاز‬ ‫و‬‫ڕیزبون‬ ‫ەکاندا‬‫؟‬
6
Solids usually are better heat conductors than liquids, and liquids are
better conductors than gases.
‫ڕە‬‫ق‬‫ە‬‫کبى‬‫عبد‬‫ە‬‫ت‬‫ە‬‫ى‬‫ثبغتر‬‫گ‬‫ە‬‫ره‬‫ی‬‫د‬‫ە‬‫گ‬‫ە‬‫ي‬‫ە‬‫ًي‬‫و‬‫ە‬‫ک‬‫ل‬‫ە‬‫غل‬‫ە‬،‫کبى‬‫و‬‫غل‬‫ە‬‫کبى‬‫ثبغتر‬‫گ‬‫ە‬‫ره‬‫ی‬‫د‬‫ە‬‫گ‬‫ە‬‫ي‬‫ە‬‫ًي‬
‫و‬‫ە‬‫ک‬‫ل‬‫ە‬‫گبز‬‫ە‬‫کبى‬.
The ability to conduct heat often depends more on the structure of a
material than on the material itself. For Example, Solid glass is a thermal
conductor when it is formed into a beaker or cup.But When glass is spun
into fine fibers, the trapped air makes a thermal insulator.
‫ث‬‫ە‬‫ز‬‫ۆ‬‫ر‬‫ی‬‫تىاًب‬‫ی‬‫گ‬‫ەي‬ً‫بًذ‬‫ی‬‫گ‬‫ە‬ً‫ره‬‫زيبتر‬‫پػت‬‫د‬‫ە‬‫ث‬‫ە‬‫ضت‬‫ێ‬‫ت‬‫ث‬‫ە‬‫دا‬‫ڕ‬‫غت‬‫ە‬‫ك‬‫ە‬‫ي‬‫هبدد‬‫ە‬‫ک‬‫ە‬‫و‬‫ە‬‫ک‬‫ل‬‫ە‬‫هبدد‬‫ە‬‫ك‬‫ە‬
‫خ‬‫ۆی‬.‫غىغ‬‫ەی‬‫پت‬‫ە‬‫و‬‫گ‬‫ە‬‫ي‬‫ێ‬ٌ‫ە‬‫ر‬‫ێ‬ً‫ك‬‫گەرهی‬‫ە‬‫كبت‬‫ێ‬‫ك‬‫ئ‬‫ە‬‫و‬‫ە‬‫پ‬‫ێ‬‫ك‬‫ه‬‫ێ‬‫ٌرا‬‫ێ‬‫ت‬‫ث‬‫ۆ‬‫پ‬‫ی‬‫ب‬‫ڵەيە‬‫ک‬‫يبى‬‫كىوپ‬‫ێ‬‫ک‬
‫ث‬‫ەاڵ‬‫م‬‫كبت‬‫ێ‬‫ك‬‫غىغ‬‫ە‬‫د‬‫ەڕێ‬‫طر‬‫ێ‬‫ت‬‫ە‬‫ًبو‬‫ڕ‬‫يػب‬‫ڵە‬‫ورد‬‫ە‬،‫کبى‬‫ه‬‫ە‬‫وا‬‫ق‬‫ە‬‫ت‬‫ی‬‫طوبواک‬‫ە‬‫د‬‫ەي‬‫كبت‬‫ە‬‫جیبكبر‬‫ێ‬ً‫ك‬
‫گ‬‫ە‬‫ره‬‫ی‬.
When you heat a metal strip at one end, the heat travels to the other
end. As you heat the metal, the particles vibrate, these vibrations make
7
the adjacent particles vibrate, and so on, the vibrations are passed along
the metal and so is the heat.
‫كبت‬‫ێ‬‫ك‬‫غريت‬‫ێ‬ً‫ك‬‫كبًسا‬‫گ‬‫ە‬‫رم‬‫د‬‫ە‬‫ك‬‫ە‬‫يت‬‫ل‬‫ە‬‫ض‬‫ە‬‫ر‬‫ێ‬‫ک‬‫ییە‬‫و‬‫ە‬،‫گ‬‫ە‬ً‫ره‬‫د‬‫ەڕ‬‫وات‬‫ث‬‫ۆ‬‫ك‬‫ۆ‬‫تبيی‬‫ە‬‫ک‬‫ەی‬‫تر‬‫ی‬.
‫ههروەك‬‫که‬ ‫ئهوەی‬‫كانزایهك‬‫ئهم‬ ،‫دەلهرێنهوە‬ ‫تهنۆچكهكه‬ ،‫دەكهیت‬ ‫گهرم‬‫لهر‬‫انه‬‫وا‬‫دەكهن‬
‫تهنۆچكه‬‫کانی‬‫دراو‬‫سێیان‬،‫بلهرێنهوە‬‫و‬‫ە‬،‫ههروەها‬‫لهرەكه‬‫تێ‬‫دەپهڕرن‬‫بهناو‬‫كانزاكه‬‫دا‬‫و‬‫ە‬‫ئهوە‬
‫گهرمیهكهیه‬.
Metals are different, The outer electrons of metal atoms drift, and are
free to move. When‌the‌metal‌is‌heated,‌this‌‘sea‌of‌electrons’‌gain‌
kinetic energy and transfer it throughout the metal. But Insulators, such
as wood and‌plastic,‌do‌not‌have‌this‌‘sea‌of‌electrons’‌because of this
they do not conduct heat as well as metals.
‫كبًسا‬‫کبى‬‫جیبوازى‬،‫ئهلیكترۆن‬‫هکانی‬‫دەرەوەى‬‫وە‬ ‫بهرەاڵن‬ ‫کانزاکه‬ ‫گهردیلهکانی‬‫بجولێت‬ ‫تا‬ ‫ئازادن‬.
‫كاتێك‬‫كرا‬ ‫گهرم‬ ‫كانزاكه‬‫ب‬‫ئهم‬ ،‫ێت‬‫دەریای‬‫ئهلیكترۆن‬‫انه‬‫جووڵه‬‫دەست‬ ‫وزەى‬‫دەكهو‬‫ێت‬‫و‬‫دەی‬‫گوا‬‫زێت‬‫هوە‬
‫بهناو‬‫كانزاكه‬‫دا‬.‫بهاڵم‬‫جیاكار‬‫ەکان‬،‫و‬‫ە‬‫كو‬‫دار‬‫و‬،‫پالستیك‬‫ئ‬‫ه‬‫م‬‫دەریا‬‫ى‬‫ئ‬‫ه‬‫لیكتر‬‫ۆ‬‫ن‬‫نیه‬ ‫انهیان‬‫بههۆی‬
‫ئهمهوە‬‫ئ‬‫ه‬‫وان‬‫گ‬‫ه‬‫رم‬‫ی‬‫وەک‬ ‫ههر‬ ‫ناگهیهنن‬‫كانزا‬‫کان‬.
8
Why does metal feel colder than wood, if they are both at the same
temperature?
Metal is a conductor, wood is an insulator. Metal conducts the heat
away from your hands. But Wood does not conduct the heat away from
your hands as well as the metal, so the wood feels warmer than the
metal.
‫ساردتر‬ ‫كانزا‬ ‫بۆچى‬‫ە‬‫ههردوو‬ ‫ئهوان‬ ‫ئهگهر‬ ،‫دار‬ ‫له‬‫کیان‬‫گهرم‬ ‫پلهى‬ ‫ههمان‬ ‫له‬‫یشدابن‬‫؟‬
‫گهی‬ ‫كانزا‬‫هنهرە‬‫جیاك‬ ‫دار‬ ،‫ارە‬‫گهرمیهكه‬ ‫كانزا‬ .‫ی‬‫دەگهیهنێت‬‫تۆ‬ ‫دەستى‬ ‫له‬‫وە‬.‫بهاڵم‬‫گهرمیهكه‬ ‫دار‬
‫ناگهیهنێت‬‫تۆوە‬ ‫دەستى‬ ‫له‬.‫دەردەکهوێت‬ ‫گهرمتر‬ ‫کانزاکه‬ ‫له‬ ‫دارەکه‬ ‫لهبهرئهوە‬ ،‫کانزاکان‬ ‫وەک‬
9
‌
‫گواستنه‬‌‫وه‬‌‫ى‬‌‫گه‬‌‫رمییه‬‌‌‫به‬‌‫ناوماده‬‌‌‫ڕه‬‌‫قه‬‌‫كاندا‬‌‫وه‬‌‌‫بڕى‬‌‫گه‬‌‫رمى‬‌‫گواستراوه‬‌‌‌‫به‬‌‫هۆى‬‌‫ئه‬‌‫م‬‌‫یاسایه‬‌‫وه‬‌‌‫ده‬‌‫دۆزریته‬‌‫وه‬‌‌
‌( )
Where
Q is heat transferred rate with Watt.
K is thermal conductivity of the material.
A is area of the material with .
is change in the temperature.
is the distance with m.
‫لهویادا‬
Q‫گواست‬ ‫گهرمى‬‫را‬‫وەیه‬‫به‬‫وات‬.
K‫توانای‬‫گه‬‫یا‬‫ن‬‫دنی‬‫گهرم‬‫ی‬‫ماددەكهیه‬.
A‫ماددەكهیه‬ ‫ڕووبهرى‬‫به‬
∆T‫گهرمیهكه‬ ‫پلهى‬ ‫له‬ ‫گۆڕانه‬‫دا‬.
∆x‫مهودایهكهیه‬‫به‬‫مهتر‬.
Thermal Conductivity ‫توانای‬‫گه‬‫یا‬‫ن‬‫دنی‬‫گهرم‬‫ی‬
The thermal conductivity of a material describes how well the material
conducts heat.
‫توانای‬‫گه‬‫یا‬‫ن‬‫دنی‬‫گهرم‬‫ی‬‫ماددەیێك‬‫دەریدەخات‬‫ماددەكه‬ ‫چۆن‬‫گهرمى‬ ‫باش‬‫دەگوازێتهوە‬.
10
Example 1-1. One face of a copper plate 3 cm thick is maintained at 400℃,
and the other face is maintained at 100℃. How much heat is transferred
through the plate?
‫نمون‬‫ه‬(1.1)‫ی‬‫ه‬‫ك‬‫ڕ‬‫ووى‬‫مس‬ ‫پلێتێکی‬(3 cm)‫ئ‬‫ه‬‫ستور‬‫ه‬‫ێڵ‬‫راو‬‫ە‬‫ت‬‫ه‬‫و‬‫ە‬‫ل‬‫ه‬(400℃)‫دا‬،‫و‬‫ە‬‫ڕ‬‫و‬‫ەکهی‬
‫تری‬‫ه‬‫ێڵ‬‫راو‬‫ە‬‫ت‬‫ه‬‫و‬‫ە‬‫ل‬‫ه‬(100℃).‫چ‬‫ه‬‫ند‬‫گ‬‫ه‬‫رمى‬‫گوازراو‬‫ە‬‫ت‬‫ه‬‫و‬‫ە‬‫ب‬‫ه‬‫ناو‬‫پلێتهکهدا‬‫؟‬
Solution. From Appendix A the thermal conductivity for copper is 370 W/M·℃
at 250℃.‌From‌Fourier’s‌law
:‫غیکبر‬‫ل‬‫ە‬‫پبغك‬‫ۆ‬( ‫ی‬A)‫ە‬‫و‬‫ە‬‫گەرهی‬ ‫گەيبًذًی‬ ‫تىاًبی‬‫ث‬‫ۆ‬‫هص‬(370 W/M·℃)‫ە‬‫ل‬‫ە‬(250℃).‫ل‬‫ە‬
‫يبضبي‬‫فۆڕێرەوە‬
2. Convection ‫ههڵگرتن‬
Convection is the transfer of heat, occurs by the motion of liquids and
gases due to random molecular motion a long with the macroscopic
motion of the fluid particles. Convection in a gas occurs because of gas
expands when heated, hot gas rises and cool gas sink. But Convection in
liquids also occurs because of differences in density.
‫ههڵگرتن‬‫گهرمیه‬ ‫گواستنهوەى‬‫به‬‫جوو‬‫ڵ‬‫گاز‬ ‫و‬ ‫شله‬ ‫هى‬‫ەکان‬‫ڕودەدات‬.‫ب‬‫ه‬‫ه‬‫ۆ‬‫ى‬‫جوڵه‬‫ى‬‫ه‬‫هڕە‬‫م‬‫ه‬‫كى‬
‫گ‬‫ه‬‫ردی‬‫ێ‬‫ك‬‫به‬‫در‬‫ێ‬‫ژ‬‫ی‬‫ل‬‫ه‬‫گ‬‫هڵ‬‫جوڵه‬‫ى‬‫ب‬‫ه‬‫چاو‬‫بیندراوى‬‫ت‬‫ه‬‫ن‬‫ۆ‬‫چك‬‫ه‬‫ك‬‫ه‬‫ى‬‫شلگازەکه‬.‫ههڵگرتن‬‫گاز‬ ‫له‬‫دا‬‫ڕوو‬
‫دەدات‬‫بههۆی‬‫فراوان‬‫ی‬‫گاز‬‫ەکه‬‫گهرم‬ ‫كاتێك‬‫دە‬‫كر‬‫ێت‬.‫بهرز‬ ‫گهرم‬ ‫گازى‬‫دەبێت‬‫سارد‬ ‫گازى‬ ‫و‬ ‫هوە‬
‫دێنهخوار‬.‫بهاڵم‬‫ههڵگرتن‬‫شله‬ ‫له‬‫کاندا‬‫دەد‬ ‫ڕوو‬‫ات‬‫بههۆى‬.‫چڕییهوە‬ ‫جیاوازی‬
11
What happens to the particles in a liquid or a gas when you heat them?
The particles spread out and become less dense.
‫ت‬‫ه‬‫ن‬‫ۆ‬‫چك‬‫ه‬‫کان‬‫ل‬‫ه‬‫شل‬‫ه‬‫ی‬‫هکدا‬‫یان‬‫گاز‬‫ێ‬‫کدا‬‫چ‬‫بهسهردێت‬ ‫یان‬‫كات‬‫ێ‬‫ك‬‫گ‬‫ه‬‫رم‬‫یان‬‫د‬‫ە‬‫ك‬‫ه‬‫یت؟‬
‫ت‬‫ه‬‫ن‬‫ۆ‬‫چك‬‫ه‬‫کان‬‫باڵو‬‫دە‬‫بنهوە‬.‫دەکات‬ ‫کهم‬ ‫چڕیان‬ ‫و‬
12
Fluid movement:
When the flow of gas or liquid comes due to differences in density and
temperature zone, it is called natural convection. When the flow of gas
or liquid is circulated by pumps or fans it is called forced convection.
Convection depends on speed. Motion increases heat transfer by
convection in all fluids.
‫جوڵه‬‫شل‬ ‫ى‬‫گازەکان‬:
‫كاتێك‬‫لێشاوی‬‫دێت‬ ‫شله‬ ‫یان‬ ‫گاز‬‫بههۆی‬‫گهرم‬ ‫پلهى‬ ‫و‬ ‫چڕى‬ ‫له‬ ‫جیاوازى‬‫یدا‬‫ئهوە‬ ،‫دەوترێت‬ ‫پێی‬
‫سروشتی‬ ‫ههڵگرتنی‬.‫ڕۆیشت‬ ‫كاتێك‬‫سووڕراوەتهوە‬ ‫شله‬ ‫یان‬ ‫گاز‬ ‫ى‬‫به‬‫ترومپا‬‫کانهوە‬‫یان‬‫به‬‫ههوادار‬
‫ئهو‬‫دەوترێت‬ ‫پێی‬ ‫ە‬‫ههڵگرتنی‬.‫بههێزکراو‬
‫گواستنه‬‌‫وه‬‌‫ی‬‌‫گه‬‌‫رمییه‬‌‌‫به‬‌‫ناوماده‬‌‌‫شلگازه‬‌‫كاندا‬‌‫وه‬‌‌‫بڕی‬‌‫گه‬‌‫رمی‬‌‫گواستراوه‬‌‌‌‫به‬‌‫هۆی‬‌‫ئه‬‌‫م‬‌‫یاسایه‬‌‫وه‬‌‌
‫ده‬‌‫دۆزرێته‬‌‫وه‬‌‌
‌‌
‌
Where
Q is heat transferred rate with Watt.
h is Heat transfer coefficient.
A is surface area of the material with .
is change in the temperature.
‫لهویادا‬
Q‫گواست‬ ‫گهرمى‬‫را‬‫وەیه‬‫به‬‫وات‬.
h‫هاوكۆلكهى‬‫گواستنهوە‬‫ی‬‫گهرمی‬‫ه‬.
A‫ماددەكهیه‬ ‫ڕووى‬ ‫ڕووبهرى‬‫به‬().
∆T‫گهرمیهكه‬ ‫پلهى‬ ‫له‬ ‫گۆڕانه‬.
13
Convection depends on surface area. If the surface contacting of the fluid is
increased, the rate of heat transfer increases. Almost all devices made for
convection have fins for this purpose.
‫هەڵگرتي‬‫ثە‬ ‫دەثەضتێت‬ ‫پػت‬‫ڕ‬‫ووث‬‫ە‬‫ري‬‫ڕ‬‫وو‬.‫ڕوو‬ ‫ئهگهر‬‫کهوتنی‬ ‫بهریهک‬ ‫ی‬‫شل‬‫گازەکه‬‫زیاد‬
‫ڕێژى‬ ،‫بكرێت‬‫گهرمى‬ ‫گواستنهوەی‬‫زۆر‬‫دەبێت‬.‫زۆری‬ ‫بهشی‬‫ئامراز‬ ‫ههموو‬‫که‬ ‫ەکانی‬
‫کراون‬ ‫دروست‬‫بۆ‬‫ههڵگرتن‬،‫پهڕە‬‫یان‬‫ههیه‬‫مهبهسته‬ ‫ئهم‬ ‫بۆ‬.
‌
Example 1-2 Air at 20℃ blows over a hot plate 50cm by 75cm maintained at
250℃. The convection heat transfer coefficient is 25 W/m2·℃. Calculate the
heat transfer.
14
‫نمونه‬(1.2)‫ه‬‫ه‬‫وا‬‫ل‬‫ه‬(20℃)‫دەدرێت‬‫ل‬‫ه‬‫س‬‫ه‬‫ر‬‫پلێت‬‫ێ‬‫كى‬‫گ‬‫ه‬‫رم‬‫ی‬(50cm)‫به‬(75cm)
‫ه‬‫ێ‬‫شتی‬‫را‬‫و‬‫ە‬‫تهوە‬‫ل‬‫ه‬(250℃)‫دا‬.‫ڕاگوێزان‬ ‫گهرمی‬ ‫گوستنهوەی‬ ‫هاوکۆلکهی‬(25 W/m2·℃)‫ە‬.
‫گواستن‬‫ه‬‫و‬‫ە‬‫ك‬‫ه‬‫ى‬‫گ‬‫ه‬‫رمى‬‫بکه‬ ‫ههژمار‬.
Solution. From‌Newton’s‌law‌of‌cooling
:‫غیکبر‬‫ل‬‫ە‬‫يبضبي‬‫ضبرد‬ً‫ثىو‬‫ە‬‫و‬‫ە‬‫ی‬ٌ‫ًیىت‬‫ە‬‫و‬‫ە‬
q = hA(Tw-T∞)
= (25)(0.50)(0.75)(250-20) = 2.156 kW
Radiation ‌‫تیشکدان‬
Radiation -It is the energy emitted by matter which is at finite
temperature. All forms of matter emit radiation to changes the electron
configureuration of the constituent atoms or molecules. The transfer of
energy by conduction and convection requires the presence of a
material medium whereas radiation does not. In fact radiation transfer is
most efficient in vacuum.
‫تیػكذاى‬-‫ئ‬‫ە‬‫و‬‫ە‬‫وز‬‫ە‬‫ك‬‫ە‬‫هبدە‬‫ث‬‫اڵ‬‫و‬‫ی‬‫د‬‫ە‬‫كبت‬‫ە‬‫و‬‫ە‬،‫ك‬‫ە‬‫ل‬‫ە‬‫پل‬‫ە‬‫ي‬‫گ‬‫ە‬ً‫رهی‬‫ث‬‫ە‬‫رضىور‬‫دايە‬.‫ه‬‫ە‬‫هىو‬‫غ‬‫ێ‬‫ى‬‫ە‬‫کبًی‬‫هبدە‬
‫تیػکذاى‬‫ث‬‫اڵ‬‫و‬‫د‬‫ە‬‫كب‬ً‫ە‬‫و‬‫ە‬‫ثۆ‬‫گ‬‫ۆڕ‬ً‫ا‬‫ەکبًی‬‫ڕێ‬ًٌ‫كخطت‬‫ئ‬‫ە‬‫لیكتر‬‫ۆ‬ًً‫گ‬‫ە‬‫رد‬‫يبى‬‫گ‬‫ە‬‫رديل‬‫ە‬‫دروضتك‬‫ە‬‫ر‬.‫ەکبى‬
ٌ‫گىاضت‬‫ە‬‫و‬‫ە‬‫ي‬‫وز‬‫ە‬‫ثە‬‫گ‬‫ە‬‫يبًذى‬‫و‬‫هەڵگرتي‬‫پ‬‫ێ‬‫ىيطت‬‫ثە‬ ‫ی‬‫ئبهبد‬‫ە‬ًً‫ثىو‬‫هبدد‬‫ە‬‫ی‬‫هبهٌبو‬‫ە‬‫ًذي‬‫د‬‫ە‬‫ث‬‫ێ‬‫ت‬‫ك‬‫ە‬ً‫چ‬
‫تیػكذاى‬‫ًب‬.‫ل‬‫ە‬‫ڕ‬‫اضتیذا‬ٌ‫گىاضت‬‫ە‬‫و‬‫ە‬‫ي‬‫تیػكذاى‬‫ل‬‫ە‬‫ث‬‫ۆ‬ً‫غبي‬‫كبراتر‬‫ە‬.‌
‌
How does heat energy get from the Sun to the Earth?
15
There are no particles between the Sun and the Earth so it CAN NOT travel by
conduction or by convection.
‫چ‬‫ۆ‬‫ن‬‫وز‬‫ە‬‫ى‬‫گ‬‫ه‬‫رمى‬‫د‬‫ە‬‫ست‬‫د‬‫ە‬‫ك‬‫ه‬‫و‬‫ێ‬‫ت‬‫ل‬‫ه‬‫خ‬‫ۆ‬‫ر‬‫ە‬‫و‬‫ە‬‫ب‬‫ۆ‬‫ز‬‫ە‬‫وى؟‬
‫هیچ‬‫تهنۆچكهیه‬‫ک‬‫و‬ ‫خۆر‬ ‫لهنێوان‬‫نیه‬ ‫یدا‬‫بۆیه‬‫به‬ ‫ناتوانێت‬‫یان‬ ‫گهیاندن‬‫به‬‫ڕاگوێزان‬.‫بگات‬
16
Radiation is heat transfer by electromagnetic waves. Thermal radiation is
electromagnetic waves (including light) produced by objects because of
their temperature. The higher the temperature of an object, the more
thermal radiation it gives off.
17
‫تیشكدان‬‫گواستن‬‫ه‬‫و‬‫ە‬‫ى‬‫گ‬‫ه‬‫رمی‬‫ه‬‫به‬‫ش‬‫ه‬‫پ‬‫ۆ‬‫لى‬‫کارۆموگناتیزی‬.‫تیشكدان‬‫شهپۆلى‬ ‫گهرمایى‬ ‫ى‬
‫کارۆموگناتیزی‬‫هێن‬ ‫بهرههم‬ )‫ڕووناكي‬ ‫(ههروەك‬ ‫ه‬‫راوە‬‫به‬‫شت‬‫هکان‬‫گهرمییان‬ ‫پلهى‬ ‫بههۆى‬‫هوە‬.‫پلهى‬
‫گهرم‬‫بهرزتری‬ ‫ی‬‫گهرما‬ ،‫شتێك‬‫زیاتر‬ ‫ی‬‫تیشك‬‫دەدات‬.
‫گواستنه‬‌‫وه‬‌‫ی‬‌‫گه‬‌‫رمییه‬‌‌‫به‬‌‫ناوبۆشایدا‬‌‫وه‬‌‌‫بڕی‬‌‫گه‬‌‫رمی‬‌‫گواستراوه‬‌‌‌‫به‬‌‫هۆی‬‌‫ئه‬‌‫م‬‌‫یاسایه‬‌‫وه‬‌‌‫ده‬‌‫دۆزرێته‬‌‫وه‬‌‌
Where
Q is heat transferred rate with Watt.
is Boltzmann constant and is Equal to
is emissivity .
Q‫وات‬ ‫ثە‬ ‫گىاضتراوەيە‬ ً‫گەره‬.
(σ)‫یهكسانه‬ ‫و‬ ‫نهگۆڕە‬‫به‬( )
‫پهرشکردنهوەیه‬ ‫توانای‬
Example 1-5. Two infinite black plates at 800℃ and 300℃ exchange heat by
radiation. Calculate the heat transfer per unit area.
‫نمونه‬(1.٥)‫دوو‬‫پلێت‬‫ى‬‫ب‬‫ێ‬‫سنوور‬‫ی‬‫ڕە‬‫ش‬‫ل‬‫ه‬(800℃)‫و‬(300℃)‫گ‬‫ه‬‫رمیى‬‫ئا‬‫ڵ‬‫وگ‬‫ۆڕ‬‫دەکان‬‫بهتیشكدان‬
.‫گواستن‬‫ه‬‫و‬‫ە‬‫ك‬‫ه‬‫ى‬‫گ‬‫ه‬‫رمى‬‫بکه‬ ‫ههژمار‬‫بهگوێرەی‬‫ڕ‬‫ووب‬‫ه‬‫رى‬‫ی‬‫ه‬‫ك‬‫ه‬.
Solution. Equation (1-10) may be employed for this problem, so we find
immediately
:‫غیکبر‬‫هبوك‬‫ێ‬‫ػ‬‫ە‬‫ی‬((1.1٠))‫ل‬‫ە‬ً‫وا‬‫ە‬‫ي‬‫ە‬‫ث‬‫ە‬‫كبر‬‫ثه‬‫ێ‬‫ٌر‬‫ێ‬‫ت‬‫ث‬‫ۆ‬‫ئ‬‫ە‬‫م‬‫گرفت‬‫ە‬،‫ث‬‫ۆ‬‫ي‬‫ە‬‫ئ‬‫ێ‬‫و‬‫ە‬‫خ‬‫ێ‬‫را‬‫د‬‫ە‬‫ي‬‫ذ‬‫ۆ‬ٌ‫زي‬‫ە‬‫و‬‫ە‬
q/A‌=‌ς(T1
4
– T2
4
)
18
= (5.66910-8
)(10734
-5734
) = 69.03 kW/m3
Thermal radiation ‫تیشکدانی‬‫گ‬‫ه‬‫رم‬‫ی‬
We do not see the thermal radiation because it occurs at infrared
wavelengths invisible to the human eye. Objects glow different colors at
different temperatures. A‌rock‌at‌room‌temperature‌does‌not‌“glow”.‌
The curve for 20°C does not extend into visible wavelengths. As objects
heat up they start to give off visible light, or glow. At 600°C objects glow
dull red, like the burner on an electric stove. As the temperature rises,
thermal radiation produces shorter - wavelength, higher energy light.
‫ئێمه‬‫تیشكدان‬‫سوور‬ ‫ژێر‬ ‫تیشكى‬ ‫شهپۆلى‬ ‫درێژى‬ ‫له‬ ‫دەدات‬ ‫ڕوو‬ ‫ئهو‬ ‫چونكه‬ ‫نابینین‬ ‫گهرمایى‬ ‫ى‬
‫مرۆڤ‬ ‫چاوى‬ ‫بۆ‬ ‫نهبینراو‬..‫جیاوازەکاندا‬ ‫گهرمیه‬ ‫پله‬ ‫له‬ ‫دەدەنهوە‬ ‫جیاوازەکان‬ ‫ڕوناکیه‬ ‫تهنهکان‬‫بهردێك‬
‫نا‬ ‫ژوور‬ ‫گهرمیى‬ ‫پلهى‬ ‫له‬.‫درەوشێتهوە‬‫بۆ‬ ‫چهمانهوەكه‬(20°C)‫ناو‬ ‫بۆ‬ ‫ناكاتهوە‬ ‫درێژ‬‫درێژى‬
‫بینراو‬ ‫شهپۆلى‬.،‫دەکرێن‬ ‫گهرم‬ ‫تهنهکان‬ ‫که‬‫دەكهن‬ ‫دەست‬‫به‬‫بهخشینی‬‫بینراو‬ ‫ڕوناكیى‬‫یان‬ ،
‫درەوشانهوە‬.‫له‬(600°C‫دەدرەوشێننهوە‬ ‫تهنهکان‬ )‫تهڵخ‬ ‫سورێکی‬،‫لهسهر‬ ‫سوتێنهرێک‬ ‫وەک‬
.‫کارەبای‬ ‫ئاگردانێکی‬‫کورت‬ ‫شهپۆلی‬ ‫درێژی‬ ‫گهرمی‬ ‫تیشکدانی‬ ،‫دەبێتهوە‬ ‫بهرز‬ ‫گهرمی‬ ‫پلهی‬ ‫که‬
.‫بهرز‬ ‫ڕوناکی‬ ‫وزەی‬ ،‫دێنێت‬ ‫بهرههم‬
At 1,000°C the color is yellow‌ and orange, turning to white at 1,500°C. If
you carefully watch a bulb on a dimmer switch, you see its color change
as the filament gets hotter.
19
‫ل‬‫ه‬(1,000°C‫دە‬ )‫ڕە‬‫نگ‬‫هکه‬( ‫له‬ ،‫پڕتهقاڵییه‬ ‫و‬ ‫زەرد‬1,500°C.‫سپی‬ ‫بۆ‬ ‫دەگۆڕێت‬ ‫دا‬ )‫به‬ ‫تۆ‬ ‫ئهگهر‬
‫تهماشا‬ ‫ووریایى‬‫ی‬‫گلۆپ‬‫ێک‬‫بكهیت‬‫به‬‫سویچێكى‬‫کزکهر‬‫ڕەنگ‬ ‫گۆڕانیى‬ ‫تۆ‬ ،‫هکهی‬‫دەبینیت‬‫که‬
‫دەزوولهكه‬‫دەبێت‬ ‫ههرمتر‬.‌
The bright white light from a bulb is thermal radiation from an extremely
hot filament, near 2,600°C. A perfect blackbody is a surface that reflects
nothing and emits pure thermal radiation.
‫ڕ‬‫ووناكیى‬‫سپى‬‫درەوشاوە‬‫ل‬‫ه‬‫گل‬‫ۆ‬‫پ‬‫ێکی‬‫خ‬‫ڕ‬‫له‬ ‫بریتیه‬ ‫ەوە‬‫تیشكدان‬‫ى‬‫گ‬‫ه‬‫رم‬‫ی‬‫ل‬‫ه‬‫د‬‫ە‬‫زوول‬‫ه‬‫یهکی‬‫ی‬‫ه‬‫گجار‬
‫گ‬‫ه‬‫رم‬‫هوە‬،‫نزیك‬(2,600°C).‫تهنی‬‫ڕوو‬ ‫ڕەش‬ ‫تهواو‬‫یه‬‫ڕەنگ‬ ‫هیچ‬ ‫كه‬ ‫كه‬‫ێک‬‫نا‬‫و‬ ‫داتهوە‬‫تیشكدان‬‫ى‬
‫گهرم‬‫پوخت‬ ‫ییهکی‬‫دەكاتهو‬ ‫باڵو‬.
The white - hot filament of a bulb is a good blackbody because all light
from the filament is thermal radiation. The curve for 2,600°C shows that
radiation is emitted over the whole range of visible light.
‫د‬‫ە‬‫زوول‬‫ه‬‫یى‬‫هی‬ ‫سپی‬ ‫گهرمی‬‫گل‬‫ۆ‬‫پ‬‫ێکی‬‫خ‬‫ڕ‬‫تهنێکی‬‫ڕە‬‫ش‬‫ی‬‫باش‬‫ه‬‫چونك‬‫ه‬‫ه‬‫ه‬‫موو‬‫ڕ‬‫ووناك‬‫له‬ ‫که‬ ‫ییهکهی‬
‫دەزولهکهوە‬‫تیشكدان‬‫ى‬‫گ‬‫ه‬‫رم‬‫ییه‬.‫بۆ‬ ‫چهمانهوەكه‬(2,600°C)‫كه‬ ‫دەدات‬ ‫نیشان‬‫تیشكدان‬
‫باڵو‬‫کراوەتهوە‬‫ب‬‫تهواوى‬ ‫هسهر‬‫مهودا‬‫ی‬‫بینراو‬ ‫ڕوناكیى‬.
20
Thermodynamics and Heat Transfer-Basic Difference
21
‫بزاوتن‬ ‫گهرمی‬‫و‬‫گواست‬‫ن‬‫ه‬‫وە‬‫گهرمى‬ ‫ی‬-‫بنهڕەتى‬ ‫جیاوازیى‬
Thermodynamics is mainly concerned with the conversion of heat
energy into other useful forms of energy and IS based on (i) the concept of
thermal Equilibrium (Zeroth Law), (ii) the First Law (the principle of
conservation of energy) and (iii) the Second Law (the direction in which a
particular process can take place). Thermodynamics is silent about the heat
energy exchange mechanism.
‫ث‬‫ە‬‫غ‬‫ێ‬‫ى‬‫ە‬‫ي‬‫ە‬ً‫ك‬‫ض‬‫ە‬‫ر‬‫ە‬ً‫ك‬‫ثساوتي‬ ‫گەرهی‬‫خ‬‫ە‬‫ريك‬‫ە‬‫ثە‬‫گ‬‫ۆڕ‬ًٌ‫ي‬‫وز‬‫ە‬‫ي‬‫گ‬‫ە‬‫رهی‬‫ە‬‫ث‬‫ۆ‬‫غ‬‫ێ‬‫ى‬‫ە‬‫ي‬‫ث‬‫ە‬‫ضىودي‬
‫تری‬‫وز‬‫ە‬‫و‬‫ە‬‫ل‬‫ە‬‫ض‬‫ە‬‫ر‬ٌ‫ث‬‫ە‬‫هبي‬(i)‫چ‬‫ە‬ً‫هك‬‫هبوض‬‫ە‬ً‫ًگی‬‫گ‬‫ە‬ً‫ره‬(ٌ‫يبضب‬‫ضفر‬)،(ii)‫يبضبي‬‫ي‬‫ە‬‫ك‬‫ە‬‫م‬
(ٌ‫ث‬‫ە‬‫هبي‬‫ە‬‫ك‬‫ە‬‫ي‬‫پبر‬‫اضتٌی‬‫وز‬‫ە‬)‫و‬(iii)‫يبضب‬‫ی‬‫دوەم‬(‫ئب‬‫ڕ‬‫اضت‬‫ە‬‫ك‬‫ە‬‫ك‬‫ە‬‫تیبيذا‬‫كردار‬‫ێ‬ً‫ك‬‫ديبريكراو‬‫د‬‫ە‬ً‫تىا‬‫ێ‬‫ت‬
‫ڕ‬‫وو‬‫ثذات‬. )‫ث‬‫ێ‬‫ذ‬‫ە‬‫ًگ‬‫ە‬‫د‬‫ە‬‫رثبر‬‫ە‬‫ي‬‫هیكبًیسه‬‫ە‬‫ك‬‫ە‬‫ي‬.
The transfer of heat energy between systems can only take place
whenever there is a temperature gradient and thus. Heat transfer is basically a
non-Equilibrium phenomenon. The Science of heat transfer tells us the rate at
which the heat energy can be transferred when there is a thermal non-
Equilibrium. That is, the science of heat transfer seeks to do what
thermodynamics is inherently unable to do.
‫پلەی‬ ‫کە‬ ‫هەرکبتێکذا‬ ‫لە‬ ‫تەًهب‬ ‫ڕوثذات‬ ‫دەتىاًێت‬ ‫ضیطتەهەکبًذا‬ ‫لەًێىاى‬ ‫گەرهی‬ ‫وزەی‬ ‫گىاضتٌەوەی‬
‫زاًطتی‬ .‫ًیە‬ ‫هبوضەًگ‬ ‫ديبردەيەکی‬ ‫ثٌەڕەتذا‬ ‫گەرهیلە‬ ‫گىاضتٌەوەی‬ ‫کەواتە‬ ‫وە‬ ‫هەثێت‬ ‫پلەپلە‬ ‫گەرهی‬
‫گەرهی‬ ‫گىاضتٌەوەی‬‫ًبهبوضەًگی‬ ‫کبتێک‬ ‫ثگىزرێتەوە‬ ‫دەتىاًرێت‬ ‫گەرهی‬ ‫ڕێژەيەکی‬ ‫کە‬ ‫دەڵێت‬ ‫پێوبى‬
‫گەرهی‬ ‫لەثٌەڕەتذا‬ ‫کە‬ ‫ثکرێت‬ ‫ثۆئەوەی‬ ‫دەريذەخبت‬ ‫گەرهی‬ ‫گىاضتٌەوەی‬ ‫زاًطتی‬ ‫ئەوە‬ .‫هەثێت‬ ‫گەرهی‬
.‫کردًی‬ ‫ثۆ‬ ‫ثێتىاًبيە‬ ‫ثساوتي‬
22
However, the subjects of heat transfer and thermodynamics are highly
complimentary. Many heat transfer problems can be solved by applying the
principles of conservation of energy (the First Law)
‫ل‬‫ە‬‫گ‬‫ەڵ‬‫ئ‬‫ە‬‫و‬‫ە‬،‫غذا‬‫ثبث‬‫ە‬‫ت‬‫ە‬‫ك‬ً‫ب‬ً‫گىاضت‬‫ٌەوەی‬ً‫گەره‬‫و‬‫ثساوتي‬ ‫گەرهی‬‫ز‬‫ۆ‬‫ر‬‫يەکترى‬ ‫تەواوکەری‬.
‫ز‬‫ۆ‬‫ر‬ً‫گرفت‬ٌ‫گىاضت‬‫ە‬‫و‬‫ە‬‫ی‬‫گ‬‫ە‬ً‫رهی‬‫د‬‫ە‬ً‫تىا‬‫رێت‬‫چبر‬‫ە‬‫ض‬‫ە‬‫ر‬‫ثكر‬‫ێت‬‫ثە‬‫ج‬‫ێ‬‫ج‬‫ە‬‫ج‬‫ێ‬‫کردًی‬ٌ‫ث‬‫ە‬‫هب‬‫ی‬‫پبر‬‫اضتٌی‬
‫وز‬‫ە‬(‫يبضبي‬‫ي‬‫ە‬‫ك‬‫ە‬‫م‬.)
Dimension and Unit ‫ڕە‬‫ه‬‫ه‬‫ند‬‫و‬‫ی‬‫ه‬‫ك‬‫ه‬
Table 1.1 Dimensions and units of various parameters
‫خػتە‬(1.1)‫ڕە‬‫ه‬‫ە‬‫ًذ‬‫و‬‫ي‬‫ە‬‫ك‬‫ە‬‫ي‬‫ه‬‫ۆ‬‫كبري‬‫ج‬‫ۆ‬‫راوج‬‫ۆ‬‫ر‬
Parameters ‫یه‬‌‫كه‬‌‫كان‬Units‌‌ ‫هێنده‬‌‫كان‬
Mass Kilogram, kg ‫بارستاى‬‌
Length metre, m ‫درێژى‬‌‌‌
Time seconds, s ‫كات‬‌‌‌‌‌‌
Temperature Kelvin, K, Celcius o
C ‫پله‬‌‫ى‬‌‫گه‬‌‫رمى‬‌
Velocity metre/second,m/s ‫خێراى‬‌
Density kg/m3
‫چڕى‬‌‌
Force Newton, N = 1 kg m/s2
‫هێز‬‌‌‌
Pressure N/m2
, Pascal, Pa ‫په‬‌‫ستان‬‌‌‌
Energy N-m, = Joule, J ‫وزه‬‌‌‌
Work N-m, = Joule, J ‫ئیش‬‌
Power J/s, Watt, W ‫توانا‬‌
Thermal Conductivity W/mK, W/mo
C ‫تواناى‬‌‫گه‬‌‫یاندنى‬‌‫گه‬‌‫رمى‬‌
Heat Transfer Coefficient W/m2
K, W/m2o
C ‫هاوكۆلكه‬‌‫ى‬‌‫گواستنه‬‌‫وه‬‌‫ى‬‌‫گه‬‌‫رمى‬‌
Specific Heat J/kg K, J/kgo
C ‫گه‬‌‫رمى‬‌‫جۆرى‬‌
Heat Flux W/m2
‫لێشاوى‬‌‫گه‬‌‫رمى‬‌
23
Viscosity N-s/m2
, Pa-s ‫لینجى‬‌
Kinematic Viscosity m2
/s ‫كاینه‬‌‫ماتیكى‬‌‫لینجى‬‌
review ‫پێداچونه‬‌‫وه‬‌
Example: A red brick wall of length 5m, height 4m and thickness 0.25m. The
inner surface 110℃ and the outer surface is 40℃ . The thermal conductivity of
the red brick, k=0.7 W/mK. Calculate the temperature at a point 20m distance
from the inner surface.
‫نموون‬‫ه‬:‫خشت‬‫ێک‬‫ی‬‫سوور‬‫ی‬‫دیوار‬،‫در‬‫ێ‬‫ژى‬(5m)،(4m)‫و‬‫ئهستوری‬‫ى‬(0.25m).‫ڕ‬‫ووى‬‫ناو‬‫ە‬‫وە‬
(110℃)‫و‬‫د‬‫ە‬‫ر‬‫ە‬‫و‬‫ە‬(40℃)‫ە‬.‫گهیاندنی‬ ‫توانای‬‫گهرمی‬‫خشته‬‫سوور‬‫ەکه‬،(k=0.7 W/mK).‫پل‬‫ه‬‫ى‬
‫گ‬‫ه‬‫رمی‬‫ه‬‫ك‬‫ه‬‫بکه‬ ‫ههژمار‬‫ل‬‫ه‬‫خا‬‫ڵێ‬‫ك‬(20m)‫دور‬‫ل‬‫ه‬‫ڕ‬‫ووى‬‫ناوەوە‬.
Given: length =L=5m, Height =h=4m, thickness = =0.25m, ℃ ,
℃ .
24
Solution:
but x=20cm=0.2m
℃
25
Example: Calculate the heat transfer by convection over a surface of (1.5 )
area if the surface is at 190℃ and the fluid is at 40℃ . The Value of convection
heat transfer coefficient is . Also Estimate the temperature
change with plate thickness if thermal conductivity of the plate is
‫نموون‬‫ه‬:‫گه‬ ‫گواستنهوەی‬‫رمى‬‫بکه‬ ‫ههژمار‬‫به‬‫ههڵگرتن‬‫ل‬‫ه‬‫س‬‫ه‬‫ر‬‫ڕ‬‫وو‬‫ێ‬‫كى‬‫ڕ‬‫ووب‬‫ه‬‫ر‬(1.5)‫ئ‬‫ه‬‫گ‬‫ه‬‫ر‬
‫ڕوەكه‬‫ل‬‫ه‬(190℃)‫و‬‫شل‬‫ه‬‫ك‬‫ه‬‫ل‬‫ه‬(40℃)‫بێت‬.‫نرخی‬‫هاوك‬‫ۆ‬‫لك‬‫ه‬‫ك‬‫ه‬‫ى‬‫ههڵگرتن‬ ‫گهرمى‬ ‫گواستنهوە‬
()‫بێت‬.‫ه‬‫ه‬‫رو‬‫ە‬‫ها‬‫گ‬‫ۆڕ‬‫انى‬‫پل‬‫ه‬‫ى‬‫گ‬‫ه‬‫رمى‬‫ب‬‫خ‬‫ه‬‫م‬‫ڵنه‬‫ل‬‫ه‬‫گ‬‫هڵ‬‫ئهستوری‬‫یى‬‫پلێت‬‫هکه‬‫ئ‬‫ه‬‫گ‬‫ه‬‫ر‬
‫گهرمی‬ ‫گهیاندنی‬ ‫توانای‬‫پلێتهکه‬()‫بێت‬.
Given: Area=A=1.5 ℃ , ℃ .
Solution:
26
Example: Two infinite black plates at 800℃ and 300℃ exchange heat by
radiation. Calculate the heat transfer per unit area.
‫نمو‬‫ون‬‫ه‬:‫دوو‬‫پلێت‬‫ى‬‫ب‬‫ێ‬‫سنوور‬‫ی‬‫ڕە‬‫ش‬‫ل‬‫ه‬(800℃)‫و‬(300℃)‫دا‬‫گ‬‫ه‬‫رمیى‬‫ئا‬‫ڵ‬‫وگ‬‫ۆڕ‬‫دەکهن‬‫بهتیشكدان‬
.‫گواستن‬‫ه‬‫و‬‫ە‬‫ك‬‫ه‬‫ى‬‫گ‬‫ه‬‫رمى‬‫بکه‬ ‫ههژمار‬‫ڕوبهردا‬ ‫یهكهی‬ ‫له‬.
Given: black plates means
℃ ℃
Solution:
(Answer)
‫تێبینی‬‌:‫له‬‌‌Radiation‌‫دا‬‌‫پێویسته‬‌‌‫هه‬‌‫مووكات‬‌‫پله‬‌‫ی‬‌‫گه‬‌‫رمی‬‌‫به‬‌‌‫كلڤن‬‌‫بپێورێت‬.‌
‌
‌
27
‌
‌
‌
‌
Example: a reactor wall, 320mm thick is made up of an inner layer of
fiber brick(k=0.84 W/m.K), covered with a layer of insulation (K=0.16 W/m.K).
the reactor operates at a temperature of 1325℃ and the ambint temperature
of 25℃. If the insulation outer surface not exceeds 1200℃ . convection heat
transfer coefficient between outter surface and surrounding is
. determine the thickness of the fiber brick and insulating material.
‫نموون‬‫ه‬:‫دیوار‬‫ێ‬‫كى‬‫كارتیاك‬‫ه‬،‫ر‬(320mm)‫ئ‬‫ه‬‫ستور‬‫دروستکراوی‬‫چین‬‫ێ‬‫كى‬‫ناو‬‫ە‬‫كیى‬‫خشتی‬‫ڕ‬‫یشا‬‫ڵ‬
(k=0.84 W/m.K)،‫داپ‬‫ۆ‬‫ش‬‫راوە‬‫به‬‫چین‬‫ێ‬‫كى‬‫جیاكهرەوە‬(K=0.16 W/m.K. )‫كارتیاك‬‫ه‬‫ر‬‫ە‬‫ك‬‫ه‬‫ب‬‫ه‬‫كار‬
‫د‬‫ە‬‫خ‬‫رێ‬‫ت‬‫ل‬‫ه‬‫پل‬‫ه‬‫ى‬‫گ‬‫ه‬‫رم‬‫ی‬(1325℃)‫دا‬‫و‬‫دەوروبهر‬ ‫گهرمیى‬ ‫پلهى‬‫ی‬(25℃).‫ئ‬‫ه‬‫گ‬‫ه‬‫ر‬
‫جیاكهرەوە‬‫ك‬‫ه‬‫ڕ‬‫ووى‬‫د‬‫ە‬‫ر‬‫ە‬‫و‬‫ە‬(1200℃)‫ت‬‫ێ‬‫ن‬‫ه‬‫پ‬‫هڕێ‬‫ت‬.‫هاوك‬‫ۆ‬‫لك‬‫ه‬‫ى‬‫گهرمی‬ ‫گواستنهوەی‬‫گ‬‫ه‬‫رمى‬
‫ل‬‫ه‬‫ن‬‫ێ‬‫وان‬‫ڕ‬‫ووى‬‫د‬‫ە‬‫ر‬‫ە‬‫و‬‫ە‬‫و‬‫چوار‬‫د‬‫ە‬‫ور‬‫ی‬()‫ە‬.‫ئهستوری‬‫خشته‬‫ڕ‬‫یشا‬‫ڵ‬‫مادە‬ ‫و‬ ‫ییهکه‬
‫چیاکهرەوەکه‬‫دیارى‬‫بك‬‫ه‬.
Given: reactor wall thickness=320mm=0.32m, Thermal conductivity of
inner layer (fiber brick) = k = 0.84 W/m.K , Thermal conductivity of outter layer
(insulation) = k = 0.84 W/m.K , reactor temperature 1325℃, ambint
temperature = 25℃
28
℃.
Solution:
For fiber brick:
29
For insulation material:
Substituting Equation (1) into Equation (2)
the thickness of the fiber brick (Answer)
insulating material= (Answer)
30
‫چۆنیه‬‌‫تی‬‌‫به‬‌‫كار‬‌‫هێنانی‬‌Data Book:
‌‫دۆزینه‬‌‫وه‬‌‫ی‬‌properties value‌‌‫ی‬‌‫ماده‬‌‫كان‬.
‫ئه‬‌‫گه‬‌‫ر‬‌‫پێویستمان‬‌‫به‬‌‫دۆزینه‬‌‫وه‬‌‫ی‬‌density(ρ)‌‫یان‬‌specific heat(C)‌‫یان‬‌thermal
conductivity(k)‌‫بوو‬‌‫له‬‌‌‫پله‬‌‫ی‬‌‫گه‬‌‫رمی‬)66℃‌(‫دا‬‌‫بۆ‬‌‫ماده‬‌‫یه‬‌‫كی‬‌،‫دیاریكراو‬‌‫ئه‬‌‫وا‬‌‫ده‬‌‫بێت‬‌
‫بزانین‬‌‫ماده‬‌‫كه‬‌‌‫له‬‌‌‫چ‬‌‫دۆخێكدایه‬‌‌)‫ڕه‬‌‫قه‬‌‌‫یان‬‌‫شله‬‌‌‫یان‬‌‫گازه‬‌‌‌‌‌(‫ئه‬‌‫گه‬‌‫ر‬‌‫ماده‬‌‫كه‬‌‫مان‬‌‌‫ئاو‬‌‫بوو‬‌‫ئه‬‌‫وا‬‌
‫له‬‌‫دۆخی‬‌‫شلیدایه‬‌‫و‬‌‫ده‬‌‫بێت‬‌‫له‬‌‌‫الپه‬‌‫ڕه‬‌‌21‌‫دا‬‌‫سیفه‬‌‫ته‬‌‫كانی‬‌)properties‌(‫ه‬‌‫كانی‬‌‫بدۆزینه‬‌‫وه‬‌.
‫له‬‌‌‫پله‬‌‫ی‬‌‫گه‬‌‫رمی‬)66℃‌(‫دا‬‌،‌‫سیفه‬‌‫ته‬‌‫كانی‬‌)properties‌(‫ه‬‌‫كانی‬‌‫ئاو‬‌‫ئه‬‌‫مانه‬‌‫یه‬‌:‌
thermal
conductivity
(k)‌
specific
heat( C)‌
Prandtl
Number(Pr)‌
Thermal
diffusivity‌
Kinematic
viscosity(v)
densit
y (𝜌)‌
31
0.6513‌4183‌3.020‌985‌
‌
‫به‬‌‫اڵم‬‌‫له‬‌‫پله‬‌‫ی‬‌‫گه‬‌‫رمی‬‌)56℃‌‌(‫دا‬‌‫سیفه‬‌‫ته‬‌‫كانی‬‌‫ئاو‬‌‫نه‬‌‫دراوه‬‌‌‫،پیویسته‬‌‌‫سیفه‬‌‫ته‬‌‫كانی‬‌
)properties‌(‫ه‬‌‫كانی‬‌‫ئاو‬‌‫له‬‌‌‫پله‬‌‫ی‬‌‫گه‬‌‫رمی‬‌)46℃‌(‫دا‬‌‫وه‬‌‌‫له‬‌‌‫پله‬‌‫ی‬‌‫گه‬‌‫رمی‬‌)66℃(‫دا‬‌
‫بدۆزینه‬‌‫وه‬‌‫و‬‌،‌‫وه‬‌‫هه‬‌‫ر‬‌‫سیفه‬‌‫تێك‬‌‫له‬‌‌‫هه‬‌‫ردو‬‌‫پله‬‌‌‫گه‬‌‫رمیه‬‌‫كه‬‌‫دا‬‌‫به‬‌‫یه‬‌‫كه‬‌‫وه‬‌‌‫كۆده‬‌‫كه‬‌‫ینه‬‌‫وه‬‌‫و‬‌‫دابه‬‌‫شی‬‌
‫دووی‬‌‫ده‬‌‫كه‬‌‫ین‬‌‌.‫به‬‌‫م‬‌‫شێوازه‬‌‌‫هه‬‌‫موو‬‌‫سیفه‬‌‫ته‬‌‫كانی‬‌)properties‌(‫ه‬‌‫كانی‬‌‫ئاو‬‌‫له‬‌‌‫پله‬‌‫ی‬‌‫گه‬‌‫رمی‬‌
)56℃‌(‫دا‬‌‫ده‬‌‫دۆزینه‬‌‫وه‬‌.
‫وه‬‌‫هه‬‌‫روه‬‌‫ها‬‌‫له‬‌‌‫پله‬‌‫ی‬‌‫گه‬‌‫رمی‬‌)48℃(‫وه‬‌‌‫له‬‌‌‫پله‬‌‫ی‬‌‫گه‬‌‫رمی‬‌)45℃(‫دا‬‌‫سیفه‬‌‫ته‬‌‫كانی‬‌‫ئاو‬‌‫نه‬‌‫دراوه‬‌،‌
‫له‬‌‫به‬‌‫ر‬‌‫ئه‬‌‫وه‬‌‫ی‬‌‫ئه‬‌‫م‬‌‫پله‬‌‌‫گه‬‌‫رمییانه‬‌‌‫زۆر‬‌‫نزیكن‬‌‫له‬‌‌‫پله‬‌‫ی‬‌‫گه‬‌‫رمی‬‌)56℃‌‌(‫ه‬‌‫وه‬‌‌،‌‫ئه‬‌‫وا‬‌‫ئه‬‌‫م‬‌‫پله‬‌‌
‫گه‬‌‫رمیانه‬‌‌‫به‬‌‌)56℃‌‌(‫داده‬‌‫نێین‬‌‫واته‬‌‌‫سیفه‬‌‫ته‬‌‫كانی‬‌)properties‌(‫ه‬‌‫كانی‬‌‫ئاو‬‌‫له‬‌‌‫پله‬‌‫ی‬‌‫گه‬‌‫رمی‬‌
)56℃‌(‫دا‬‌‫ده‬‌‫دۆزینه‬‌‫وه‬‌‫و‬‌‫له‬‌‌‫جیگای‬‌‫پله‬‌‫ی‬‌‫گه‬‌‫رمی‬‌‌)48℃(‫یان‬‌‫پله‬‌‫ی‬‌‫گه‬‌‫رمی‬‌)45℃(‫دا‬‌
‫به‬‌‫كاری‬‌‫ده‬‌‫هێنین‬.
‫دۆزینه‬‌‫وه‬‌‫ی‬‌properties value‌‌‫ی‬‌‫ماده‬‌‫كانی‬‌‫تریش‬‌‫به‬‌‌‫هه‬‌‫مان‬‌‫شێوه‬‌‌‫ده‬‌‫بێت‬.
‌‫دۆ‬‌‫زینه‬‌‫وه‬‌‫ی‬‌‫یاساكان‬:
‫هه‬‌‫ربابه‬‌‫تێكی‬‌heat transfer‌‌‫چه‬‌‫ند‬‌‫یاسایه‬‌‫كی‬‌‫تایبه‬‌‫ت‬‌‫به‬‌‫خۆی‬‌‫هه‬‌‫یه‬‌‌.‫له‬‌‫ناو‬‌Data Book‌‌
‫ه‬‌‫كه‬‌‫دا‬‌‫له‬‌‫ژێر‬‌‫ناوی‬‌‫هه‬‌‫ر‬‌‫بابه‬‌‫تێكدا‬‌،‌‫ئه‬‌‫و‬‌‫یاسانه‬‌‌‫نوسراوه‬‌‌‫كه‬‌‫له‬‌‫و‬‌‫بابه‬‌‫ته‬‌‫دا‬‌‫به‬‌‫كاردێن‬.
Convection questions ‫پرسیارى‬‫ڕ‬‫اگو‬‫ێ‬‫زان‬
Why does hot air rise and cold air sink?
Cool air is more dense than warm air.
‫بهرز‬ ‫گهرم‬ ‫ههواى‬ ‫بۆچى‬‫دەبێته‬‫سارد‬ ‫ههواى‬ ‫و‬ ‫وە‬‫دیتهخوارەوە‬‫؟‬
‫سارد‬ ‫ههواى‬‫چڕترە‬‫گهرم‬ ‫ههواى‬ ‫له‬.
32
Why‌are‌boilers‌placed‌beneath‌hot‌water‌tanks‌in‌people’s‌homes?‌‌
Hot water rises.So when the boiler heats the water, and the hot water
rises, the water tank is filled with hot water.
‫بۆچى‬‫دانراون‬ ‫کوڵێنهرەکان‬‫تانك‬ ‫لهژێر‬‫ی‬‫خهڵك؟‬ ‫ماڵى‬ ‫له‬ ‫گهرم‬ ‫ئاوى‬
‫گهرم‬ ‫ئاوى‬‫بهرز‬‫دەبێت‬.‫هوە‬‫کهواته‬‫كاتێك‬‫کوڵێنهرەکه‬‫گهرم‬ ‫ئاوەكه‬‫دەکات‬‫ئاو‬ ‫و‬ ،‫ە‬‫گهرم‬‫هکه‬
‫بهرز‬‫دەبێت‬‫ئاو‬ ‫تانكى‬ ،‫هوە‬‫ەکه‬‫پڕ‬‫له‬ ‫دەبێت‬‫گهرم‬ ‫ئاوى‬.
Radiation questions ‫پرسیارى‬‫تیشكدان‬
Why are houses painted white in hot countries?
White reflects heat radiation and keeps the house cooler.
‫واڵت‬ ‫له‬ ‫بۆچى‬‫ه‬‫گهرم‬،‫هکاندا‬‫خانو‬‫ەکان‬‫بۆیاخی‬‫سپى‬‫دەکرێن‬‫؟‬
‫سپى‬‫تیشكدان‬‫دەهێڵنهوە‬ ‫ساردتر‬ ‫خانووەكه‬ ‫و‬ ‫دەدەنهوە‬ ‫ڕەنگ‬ ‫گهرمى‬ ‫ى‬
Why are shiny foil blankets wrapped around marathon runners at the
end of a race?
The shiny metal reflects the heat radiation from the runner back in,
this stops the runner getting cold..
‫پهت‬ ‫بۆچى‬‫ۆی‬‫بریقهدار‬ ‫كانزاى‬ ‫چینى‬‫دە‬‫پێچ‬‫له‬ ‫رێت‬‫دەور‬‫ی‬‫كۆتاییى‬ ‫له‬ ‫ماراسۆن‬ ‫ڕاكهرى‬‫پێشبڕکێدا‬‫؟‬
‫بریقهدار‬ ‫كانزاى‬‫تیشكدان‬‫له‬ ‫دەداتهوە‬ ‫ڕەنگ‬ ‫گهرمى‬ ‫ى‬‫پشتی‬‫ڕاكهرەكه‬‫وە‬‫ئهمه‬ ،‫وەستانی‬ ‫ش‬‫ڕاكهر‬‫ەکه‬
‫د‬ ‫ڕا‬ ‫سارد‬‫ەگرێت‬.
33
1. Which of the following is not a method of heat transfer?
A. Radiation B. Insulation C. Conduction
Answer : B
1.‫كام‬‫لهمانه‬‫ڕێ‬‫گ‬‫ه‬‫ی‬‫ێ‬‫كى‬‫گهرمى‬ ‫گواستنهوەی‬‫نی‬‫ه‬‫؟‬
A.‫تیشكدان‬B‫دابڕین‬ .C‫گهیاندن‬ .
:‫وەاڵم‬B
2. In which of the following are the particles closest together?
A. Solid B. Liquid C. Gas D. Fluid
Answer : A
2.‫له‬‫كام‬‫لهمانهدا‬‫ت‬‫ه‬‫ن‬‫ۆ‬‫چك‬‫ه‬‫ك‬‫ه‬‫نزیكترین‬‫پ‬‫ێ‬‫ك‬‫ه‬‫و‬‫ە‬‫ی‬‫ه‬‫؟‬
A.‫ڕەق‬B‫شله‬ .C‫گاز‬ .D.‫شلگاز‬
:‫وەاڵم‬A
3. How does heat energy reach the Earth from the Sun?
A. Radiation B. Conduction C. Convection D. Insulation
Answer : A
3.‫چ‬‫ۆ‬‫ن‬‫وز‬‫ە‬‫ى‬‫گ‬‫ه‬‫رمى‬‫د‬‫ە‬‫گات‬‫ز‬‫ە‬‫وى‬‫ل‬‫ه‬‫خ‬‫ۆ‬‫ر‬‫ە‬‫و‬‫ە‬‫؟‬
A.‫تیشكدان‬B‫گهیاندن‬ .C‫ڕاگوێزان‬ .D‫دابڕین‬ .
:‫وەاڵم‬A
4. Which is the best surface for reflecting heat radiation?
A. Shiny white B. Dull white C. Shiny black D. Dull black
34
Answer : A
4.‫كام‬‫ه‬‫باشترین‬‫ڕ‬‫وو‬‫ە‬‫ب‬‫ۆ‬‫ڕە‬‫نگ‬‫دان‬‫ه‬‫و‬‫ە‬‫تیشكدان‬‫ى‬‫گ‬‫ه‬‫رمى؟‬
A.‫سپى‬ ‫بریقهدار‬. B‫تهڵخ‬ ‫سپى‬. C‫بریقهدار‬ ‫ڕەشی‬D.‫تهڵخ‬ ‫ڕەشی‬
.‫وەاڵمى‬:‫تهڵخ‬ ‫ڕەشی‬
5. Which is the best surface for absorbing heat radiation?
A. Shiny white B. Dull white C. Shiny black D. Dull black
Answer : A
5.‫كام‬‫ه‬‫باشترین‬‫ڕ‬‫وو‬‫ە‬‫ب‬‫ۆ‬‫مژ‬‫ێ‬‫ن‬‫تیشكدان‬‫ى‬‫گ‬‫ه‬‫رمى؟‬
A.‫سپى‬ ‫بریقهدار‬. B‫تهڵخ‬ ‫سپى‬. C‫بریقهدار‬ ‫ڕەشی‬D.‫تهڵخ‬ ‫ڕەشی‬
‫وەاڵمى‬:‫تهڵخ‬ ‫ڕەشی‬
35
‌
‌
‌
‌
‌
Chapter 2
STEADY STATE CONDUCTION - ONE DIMENSION
‫ب‬‫ه‬‫ش‬2
‫گهیاندن‬ ‫جێگیری‬ ‫حاڵهتی‬-‫ڕەههند‬ ‫یهك‬
‌
Temperature in a system remains constant with time. Temperature
varies with location.
‫پل‬‫ه‬‫ى‬‫گ‬‫ه‬‫رمى‬‫ل‬‫ه‬‫سیست‬‫ه‬‫م‬‫ێ‬‫ك‬‫به‬‫ن‬‫ه‬‫گ‬‫ۆڕ‬‫ی‬‫د‬‫ە‬‫م‬‫ێ‬‫ن‬‫ێ‬‫ت‬‫ه‬‫و‬‫ە‬‫تێپهڕبونی‬ ‫به‬‫كات‬.‫لهگهڵ‬ ‫دەگۆڕێت‬ ‫گهرمى‬ ‫پلهى‬
‫شوێن‬.
36
Thermal Diffusivity and its Significance ‫پهرشبونهوەی‬‫گ‬‫ه‬‫رمى‬‫و‬‫بای‬‫ه‬‫خى‬
Thermal diffusivity is a physical property of the material, and is the ratio of the
material's ability to transport energy to its capacity to store energy. It is an
essential parameter for transient processes of heat flow and defines the rate
of change in temperature. In general, metallic solids have higher Thermal
diffusivity, while nonmetallics, like paraffin, have a lower value of Thermal
diffusivity. Materials having large Thermal diffusivity respond quickly to
changes in their thermal environment, while materials having lower a respond
very slowly, take a longer time to reach a new Equilibrium condition.
‫پهرشبونهوەی‬‫گ‬‫ه‬‫رمى‬‫فیزیای‬ ‫سیفهتی‬‫و‬ ،‫ماددەكهیه‬‫له‬ ‫بریتیه‬ ‫ە‬‫ماددە‬ ‫تواناى‬ ‫ڕێژەى‬‫ک‬‫ه‬‫بهرامبهر‬
‫بگوا‬‫س‬‫ت‬‫ت‬‫هوە‬‫ی‬‫توانا‬ ‫بۆ‬ ‫وزە‬‫که‬‫ى‬‫بۆ‬‫کردنی‬ ‫پاشهکهوت‬‫كردارى‬ ‫بۆ‬ ‫گرنگه‬ ‫هۆكارێكى‬ ‫ئهوە‬ .‫وزە‬
‫تێپهڕاندنهکانی‬‫گهرمى‬ ‫ڕۆیشتنى‬‫و‬‫پێناسه‬‫کردنی‬‫گهرمى‬ ‫پلهى‬ ‫له‬ ‫گۆڕان‬ ‫ڕێژەى‬‫دا‬،‫بهگشتى‬ .‫كانزا‬
‫ڕەقهکان‬‫پهرشبونهوەی‬‫گ‬‫ه‬‫رمى‬()‫بهرزیان‬،‫ههیه‬‫لهكاتێکدا‬‫ناکانزاکان‬،‫پارافین‬ ‫وەك‬ ،
‫پهرشبونهوەی‬‫گ‬‫ه‬‫رمى‬‫نزمتر‬‫یان‬‫هه‬‫ی‬.‫ه‬‫ئهو‬‫ماد‬‫که‬ ‫انهی‬‫پهرشبونهوەی‬‫گ‬‫ه‬‫رمى‬‫بهرزیان‬‫ههیه‬‫وەاڵمی‬ ،
‫ئهو‬ ‫لهکاتێکدا‬ ،‫گهرمیاندا‬ ‫کهشی‬ ‫له‬ ‫گۆڕانکاریهکان‬ ‫بۆ‬ ‫ههیه‬ ‫خێرایان‬‫ماد‬‫که‬ ‫انهی‬‫پهرشبونهوەی‬‫گ‬‫ه‬‫رمى‬
‫یان‬ ‫نزم‬‫ههیه‬‫حاڵهتێکی‬ ‫به‬ ‫گهیشتن‬ ‫بۆ‬ ‫دەخایهنێت‬ ‫زیاتر‬ ‫کاتێکی‬ ،‫ههیه‬ ‫وەاڵمیان‬ ‫هێواشی‬ ‫به‬ ‫زۆر‬ ،
.‫تازە‬ ‫هاوسهنگی‬
1. Several plane Walls together (Thermal resistance).
2. Heat generation.
3. Types of fin.
‫چ‬‫ه‬‫ند‬‫دیوار‬‫تهخت‬ ‫ێکی‬‫پ‬‫ێ‬‫ك‬‫ه‬‫و‬‫ە‬(‫ب‬‫ه‬‫رگریى‬‫گهرمی‬. )
‫گهرمى‬ ‫پهیدابونی‬.
.‫پهڕەكه‬ ‫جۆرى‬.
37
Several plane Walls together (Thermal resistance).
A plane wall is considered to be made out of a constant thermal
conductivity material and extends to infinity in the Y- and Z- direction.
The wall is assumed to be homogeneous and isotropic, heat flow is
one - dimensional
‫چ‬‫ه‬‫ند‬‫دیوار‬‫تهخت‬ ‫ێکی‬‫پ‬‫ێ‬‫ك‬‫ه‬‫و‬‫ە‬(‫ب‬‫ه‬‫رگریى‬‫گهرمی‬. )
‫تهخت‬ ‫دیوارێكى‬‫دادە‬‫ن‬‫بكر‬ ‫تا‬ ‫رێت‬‫ێته‬‫گهیهنهری‬ ‫مادەیهکی‬‫توانا‬‫نهگۆڕ‬‫ی‬‫و‬‫ە‬‫درێژ‬‫ی‬‫نا‬ ‫بۆ‬ ‫بكاتهوە‬
‫كۆتایى‬‫ب‬‫ه‬‫ئاڕاسته‬‫ی‬(Y-)( ‫و‬(Z-‫ن‬ ‫دا‬ ‫وا‬ ‫دیوارەكه‬ .‫را‬‫وە‬‫به‬ ‫ببێت‬‫و‬ ‫چونیهكه‬‫ئایزۆترۆپیک‬،
‫گهرم‬ ‫ڕۆیشتنى‬.‫ڕەههندیه‬ ‫یهک‬ ‫ی‬
Thermal Resistances and Thermal Circuits: ‌‌‫ث‬‫ە‬ً‫رگري‬‫گ‬‫ە‬ً‫رهی‬‫و‬‫ضىو‬‫ڕ‬‫ەکبًی‬‫گ‬‫ە‬ً‫رهی‬:
From page 43 in the Data book:
‫الپهڕەوە‬ ‫له‬٣٤‫زانیارى‬ ‫كتێبهكهى‬ ‫له‬:
Conduction in a plane wall:
Convection:
Consider a plane wall is between two fluids of different temperature:
‫وايذاثٌێ‬‫تەخت‬ ً‫ديىارێك‬‫ل‬‫ە‬ً‫ێ‬‫ىاى‬‫دوو‬‫غل‬‫ە‬‫ي‬‫پل‬‫ە‬‫گ‬‫ە‬ً‫رهی‬‫جیبواز‬‫دايە‬
38
Overall Heat Transfer Coefficient (U) :‌A‌modified‌form‌of‌Newton’s‌Law‌of‌
Cooling to encompass multiple resistances to heat transfer.
‫هبوك‬‫ۆ‬‫لك‬‫ە‬‫ي‬‫گػتی‬ٌ‫گىاضت‬‫ە‬‫و‬‫ە‬‫گ‬‫ە‬‫ره‬‫ی‬(U):‫لە‬ ‫ثريتیە‬‫غ‬‫ێ‬‫ى‬‫ە‬‫يەکی‬‫يبضبي‬‫ضبرد‬ً‫ثىو‬‫ە‬‫و‬‫ە‬‫ی‬‫ًیىتي‬‫ثۆ‬
‫فرە‬ ‫کۆکردًەوەی‬‫ث‬‫ە‬‫رگر‬‫يەکبى‬‫گەرهی‬ ‫گىاضتٌەوەی‬ ‫ثۆ‬.
39
Example: An exterior wall of a house is constructed by a 0.1m layer of
common brick (k=0.7 W/m.K) and a 0.04m layer of gypsum (k=0.48 W/m.K)
then followed by 0.058m loosely packed rock with wool insulation (k=0.065
W/m.K). If the temperatue difference through composite wall is 20℃ . Find
the amount of heat is transfering.
ً‫ًوىو‬‫ە‬:‫ديىار‬‫ێ‬ً‫ك‬‫دەرەکی‬‫خبًى‬‫يە‬‫ك‬‫دروضت‬‫كرا‬‫وە‬‫ثە‬ٌ‫چی‬‫ێکی‬(0.1m)‫ی‬‫خػتی‬‫ئبضبی‬(k=0.7
W/m.K).‫وە‬ٌ‫چی‬‫ێکی‬(0.04m)‫ی‬‫ث‬‫ە‬‫ردي‬‫د‬‫ە‬‫ثبغیر‬(k=0.48 W/m.K)‫پبغبى‬(0.058m)‫ث‬‫ە‬‫ردي‬
‫ثە‬ ‫دێت‬ ‫پێچراوە‬‫خىري‬‫جیبکەرەوە‬(k=0.065 W/m.K. )‫ئ‬‫ە‬‫گ‬‫ە‬‫ر‬‫جیبوا‬‫ي‬‫پل‬‫ە‬‫ي‬‫گ‬‫ە‬ً‫ره‬‫ث‬‫ە‬‫ًبو‬‫ديىار‬‫ە‬
‫پ‬‫ێ‬‫كه‬‫ێ‬ٌ‫ە‬‫ر‬‫ە‬‫ك‬‫ەدا‬(20℃)‫ثێت‬.‫ث‬‫ڕ‬‫ي‬‫ئەو‬‫گ‬‫ە‬‫ره‬‫یە‬‫ثذ‬‫ۆ‬‫ز‬‫ە‬‫رە‬‫و‬‫ە‬‫کە‬‫د‬‫ە‬‫گىاز‬‫ێ‬‫ت‬‫ە‬‫و‬‫ە‬.
Given: Thermal conductivity of brick , thermal conductivity of
Plaster , thermal conductivity of wool= ,
Temperature difference= ℃=293 K
Solution:
From page 43 in the Data book:
40
‌
41
‌
‌
‌
‌
‌
‌
Series Composite Wall and Parallel Composite Wall:
Note: departure from one - dimensional conditions for .
Circuits based on assumption of isothermal surfaces normal to x
direction or adiabatic surfaces parallel to x direction provide
approximations for .
‫دیوارى‬‫کۆکراوەی‬‫دوایهک‬‫و‬‫دیوارى‬‫کۆکراوەی‬‫هاوڕێک‬:
‫تێبینى‬:‫حالهت‬‫هکانی‬‫ڕۆیشتنى‬‫ڕەههندی‬ ‫یهک‬‫بۆ‬.
‫سووڕ‬‫ەکان‬‫ئاسایى‬ ‫یهكسان‬ ‫گهرمى‬ ‫ڕووى‬ ‫گریمانهى‬ ‫بنهماى‬ ‫لهسهر‬‫به‬‫ئاڕاستهى‬X‫دانراوە‬‫یان‬
‫تهریب‬ ‫نهگۆر‬ ‫گهرمى‬ ‫ڕووى‬‫به‬‫ئاڕاستهى‬X‫بۆ‬ ‫دەكات‬ ‫دەستهبهر‬ ‫نزیكى‬
F Gk k
F Gk k
xq
42
43
A Cylindrical Shell - Expression for Temperature Distribution
‫ثەرگی‬‫لىول‬‫ە‬ً‫ك‬-‫دەرثڕيٌی‬‫ث‬‫ۆ‬‫داث‬‫ە‬ًً‫غكرد‬‫پل‬‫ە‬‫ي‬‫گ‬‫ە‬ً‫ره‬
44
‌
What does the form of the heat Equation tell us about the variation of
with in the wall? Is the foregoing conclusion consistent with the energy
conservation requirement? How does vary with ?
‫کام‬‫ش‬‫ێ‬‫و‬‫ە‬‫ى‬‫هاوك‬‫ێ‬‫ش‬‫ه‬‫ك‬‫ه‬‫ى‬‫گ‬‫ه‬‫رمى‬‫پێمان‬‫د‬‫ەڵێ‬‫ت‬‫د‬‫ە‬‫ربار‬‫ە‬‫ى‬‫گۆڕانی‬‫لهگهڵ‬‫دیوارەکهدا؟‬ ‫له‬
‫پێشودا‬ ‫پوختهکهی‬ ‫له‬ ‫ئایه‬‫جیگیری‬‫لهگهڵ‬‫وزە‬ ‫پاراستنی‬‫دا‬‫پێویست‬‫ه‬‫؟‬‫چۆن‬‫لهگهڵ‬ ‫دەگۆڕێت‬‫دا‬‫؟‬
Temperature Distribution for Constant K :
‫بۆ‬ ‫گهرمى‬ ‫پلهى‬ ‫دابهشكردنى‬K‫نهگۆڕ‬:
rq
r
rq r
rqr
rqr
 
 
,1 ,2
,2
1 2 2
ln
ln /
s s
s
T T r
T r T
r r r
 
  
 
 
45
Heat Flux and Heat Rate: ‫گ‬‫ۆ‬ًً‫را‬‫خ‬‫ێ‬‫راي‬‫گ‬‫ە‬ً‫ره‬‫و‬‫ڕێ‬‫ژ‬‫ە‬‫ي‬‫گ‬‫ە‬ً‫ره‬
Conduction Resistance: ‫ث‬‫ە‬ً‫رگري‬‫گ‬‫ە‬‫يبًذى‬
‌
Example 2-2 A thick walled trbe of stainless steel (18%Cr, 8%Ni, k = 19
W/m·℃) with 2cm inner diameter and 4cm outer diameter is covered with a
3cm layer of asbestos insulation ( k = 0.2 W/m·℃). If the inside wall
temperature of the pipe is maintained at 600℃, calculate the heat loss per
meter of length. Also calculate the tube insulation interface temperature.
‫نمونه‬(2.2)‫ث‬‫ۆ‬‫ري‬‫ئەضتىری‬ ‫ديىار‬ ‫ەکی‬‫پ‬‫ۆاڵ‬‫ي‬‫ث‬‫ێ‬‫خ‬‫ە‬‫وظ‬(18%Cr, 8%Ni, k = 19 W/m·℃)‫ثە‬
(2cm)‫تیرەي‬‫ًبو‬‫ە‬ً‫ك‬‫و‬(4cm)‫دەرەکی‬ ‫تیرەي‬‫دا‬‫پ‬‫ۆ‬‫غرا‬‫ث‬‫ێ‬‫ت‬‫ثە‬(3cm)ًٌ‫چی‬‫جیبكەرەوە‬‫ي‬
‫ئ‬‫ە‬‫ضجطت‬(k = 0.2 W/m·℃).‫ئ‬‫ە‬‫گ‬‫ە‬‫ر‬‫پل‬‫ە‬‫ي‬‫گ‬‫ە‬ً‫رهی‬‫ل‬‫ە‬‫ًبوي‬‫ديىاري‬‫لىول‬‫ە‬‫ك‬‫ە‬‫ثه‬‫ێڵ‬‫راو‬‫ە‬‫ت‬‫ە‬‫و‬‫ە‬‫ل‬‫ە‬
(600℃)‫دا‬،‫ل‬‫ە‬‫د‬‫ە‬ًً‫ضتذا‬‫گ‬‫ە‬ً‫ره‬‫ثکە‬ ‫هەژهبر‬‫درێژيذا‬ ‫هەترێکی‬ ‫هەر‬ ‫لە‬.‫ه‬‫ە‬‫رو‬‫ە‬‫هب‬‫پل‬‫ە‬‫ي‬‫گ‬‫ە‬ً‫رهی‬
‫واجیه‬‫ە‬‫حیطبة‬‫د‬‫ە‬‫كبت‬.
 
 
2 1
,
2 1
,
ln /
Units K/W
2
ln /
Units m K/W
2
t cond
t cond
r r
R
Lk
r r
R
k


 
   
 
 
 
 
 
 
,1 ,2
2 1
,1 ,2
2 1
,1 ,2
2 1
ln /
2
2
ln /
2
2
ln /
r s s
r r s s
r r s s
dT k
q k T T
dr r r r
k
q rq T T
r r
Lk
q rLq T T
r r




    
   
  
46
Solution. The accompanying Figure shows the thermal network for this
problem. The heat flow is given by
:‫غیکبر‬،‫هبوپێچەکە‬ ‫وێٌە‬‫ت‬‫ۆڕ‬‫ي‬‫گ‬‫ە‬ً‫رهبي‬‫ًیػبى‬‫د‬‫ە‬‫دات‬‫ث‬‫ۆ‬‫ئ‬‫ە‬‫م‬‫گرفت‬‫ە‬.‫ڕۆ‬ًٌ‫يػت‬‫گ‬‫ە‬ً‫ره‬‫دراوە‬‫ثە‬
( ) ( ) ( )
680 W/m
This heat flow may be used to calculate the interface temperature between
the outside tube wall and the insulation. We have
‫ئ‬‫ە‬‫م‬‫ڕۆ‬ًٌ‫يػت‬‫گ‬‫ە‬‫رهی‬‫ە‬‫ل‬‫ە‬ً‫وا‬‫ە‬‫ي‬‫ە‬‫ث‬‫ە‬‫كبر‬‫ثه‬‫ێ‬‫ٌر‬‫ێ‬‫ت‬‫ثۆ‬‫حیطبة‬‫کردًی‬‫پل‬‫ە‬‫ي‬‫گ‬‫ە‬ً‫رهی‬‫واجیه‬‫ە‬‫ل‬‫ە‬ً‫ێ‬‫ىاى‬‫ديىاري‬
‫د‬‫ە‬‫ر‬‫ە‬‫و‬‫ە‬‫ي‬‫ث‬‫ۆ‬‫ري‬‫و‬‫جیبكەرەوە‬‫ك‬‫ە‬‫دا‬.‫ئ‬‫ێ‬‫و‬‫ە‬‫ه‬‫ە‬‫هب‬‫ًە‬
680 W/m
where Ta is the interface temperature, which may be obtained as
‫لەويبدا‬Ta‫پل‬‫ە‬‫ي‬‫گ‬‫ە‬‫رهی‬‫ە‬‫ك‬‫ە‬‫ي‬‫واجیه‬‫ە‬‫ي‬‫ە‬،‫ك‬‫ە‬‫ل‬‫ە‬ً‫وا‬‫ە‬‫ي‬‫ە‬‫ث‬‫ە‬‫د‬‫ە‬‫ضت‬‫ثه‬‫ێ‬‫ٌر‬‫ێ‬‫ت‬‫ه‬‫ە‬‫رو‬‫ە‬‫ك‬.
Ta = 595.8℃
47
The largest thermal resistance clearly results from the insulation, and thus the
major portion of the temperature drop is through that material.
‫زلتريي‬‫ث‬‫ە‬ً‫رگري‬‫گ‬‫ە‬ً‫رهبي‬‫ث‬‫ەڕ‬ًً‫وو‬‫دەضتذەکەوێت‬‫ل‬‫ە‬‫جیبكەرەوە‬‫ك‬‫ە‬‫وە‬،‫و‬‫ث‬‫ە‬‫م‬‫ج‬‫ۆ‬‫ر‬‫ە‬‫پػك‬‫ە‬‫ك‬‫ە‬‫ي‬‫داکػبًی‬
‫پل‬‫ە‬‫ي‬‫گ‬‫ە‬‫رهی‬‫ە‬‫ك‬‫ە‬‫ث‬‫ە‬‫ًبو‬‫ئ‬‫ە‬‫و‬‫هبدد‬‫ەيەدا‬.
2-6 Critical thickness of insulation ‫ئ‬‫ە‬‫ضتىور‬‫ی‬‫غڵۆقی‬‫جیبكەرەوە‬
hrk
rr
TTL
q
o
io
i
1)ln(
)(2



 
0
odr
dq
,
h
k
ro 
Example 2-5 Calculate the critical radius of insulation for asbestos (k = 0.17
W/m·℃) surrounding a pipe and exposed to room air at 20℃ with h=3.0 W/
m2
·℃. Calculate the heat loss from 5cm diameter of the pipe at 200℃, when
covered with the critical radius of insulation and without insulation.
‫نمونه‬:‫نیو‬‫ە‬‫تیرەى‬‫شڵۆقی‬‫جیاكهرەوە‬‫بکه‬ ‫ههژمار‬‫ب‬‫ۆ‬‫ئ‬‫ه‬‫سبست‬(k = 0.17 W/m·℃)‫به‬‫د‬‫ە‬‫ور‬‫ی‬
‫لوول‬‫ه‬‫یهکدا‬‫و‬‫خراوەته‬‫ب‬‫ه‬‫ر‬‫ه‬‫ه‬‫وا‬‫ی‬‫ژوور‬‫ل‬‫ه‬(20℃)‫به‬(h=3.0 W/ m2
·℃).‫گ‬‫ه‬‫رمى‬‫چو‬ ‫بهفیرۆ‬
‫بکه‬ ‫ههژمار‬‫ل‬‫ه‬‫تیرەی‬5cm‫له‬ ‫لولهکهوە‬ ‫ت‬(200℃)‫دا‬،‫كات‬‫ێ‬‫ك‬‫دا‬‫پ‬‫ۆ‬‫ش‬‫راوە‬‫به‬‫نیو‬‫ە‬‫تیرە‬‫شڵۆقی‬ ‫یهکی‬
‫جیاكهرەوە‬‫و‬‫ە‬‫ب‬‫ه‬‫ب‬‫ێ‬‫جیاكهرەوە‬.
Solution. We calculate ro as
cmm
h
k
ro 67.50567.0
0.3
17.0

The inside radius of the insulatyion is 5.0/2 = 2.5 cm, so
48
mW
L
q
/7.105
)0.3)(0567.0(
1
17.0
)5.2/67.5ln(
)20200(2





mWTTrh
L
q
oi /8.84)20200)(025.0)(2)(0.3())(2(  
So, the addition of 3.17 cm (5.67-2.5) of insulation actually increases the heat
transfer by 25 percent.
As an alternative, fiberglass having a thermal conductivity of 0.04 W/m·℃
might be employed as the insulation material. Then, the critical radius would
be
‫کهواته‬،‫زیادکردنی‬3.17 cm‫واته‬(5.67-2.5)‫ى‬‫جیاكهرەوە‬‫ل‬‫هڕ‬‫استیدا‬‫به‬2٥‫ل‬‫ه‬‫س‬‫ه‬‫دا‬
‫گواستن‬‫ه‬‫و‬‫ە‬‫ك‬‫ه‬‫ى‬‫گ‬‫ه‬‫رمى‬‫دەکات‬ ‫زیاد‬.
‫فایبهگالس‬ ،‫بهدیلێك‬ ‫ههروەك‬( ‫گهرمی‬ ‫گهیاندنی‬ ‫توانای‬0.04 W/m·℃)‫ههیه‬،‫لهوانهیه‬‫بهكار‬
‫بهێنرێت‬‫ههروەك‬‫ماددەكهى‬‫جیاكهرەوە‬.،‫پاشان‬‫نیوە‬‫تیرەى‬‫شڵۆق‬‫دەبێ‬‫ت‬‫به‬
cmm
h
k
ro 33.10133.0
0.3
04.0

Heat generation ‫په‬‌‫یدابونی‬‌‫گه‬‌‫رمی‬
Page 47 in the Data Book
Heat generation ‫سێ‬‌‫حاڵه‬‌‫تی‬‌‫هه‬‌‫یه‬‌ :
‫پلێتێكمان‬‌‫هه‬‌‫یه‬‌‌‫گه‬‌‫رمی‬‌‫تیادا‬‌‫په‬‌‫یدا‬‌‫ده‬‌،‫بێت‬‌‫كه‬‌‌‫ئه‬‌‫مه‬‌‫ش‬‌‫دوو‬‌‫جۆره‬‌‌‌.‫جۆری‬‌‫یه‬‌‫كه‬‌‫میان‬‌‫خۆی‬‌
‫پێت‬‌‫ده‬‌‫ڵت‬‌‫پله‬‌‫ی‬‌‫گه‬‌‫رمی‬‌‫ئه‬‌‫مدیوو‬‌‫ئه‬‌‫وه‬‌‌‫دیوی‬‌‫پله‬‌‫یته‬‌‫كه‬‌‌‫یه‬‌‫كسانه‬‌‌‫به‬‌‌‫ئه‬‌‫وه‬‌‫نده‬‌‌‫كه‬‌‌‫ئم‬‌‫پله‬‌‫گه‬‌‫رمییه‬‌‫ش‬‌
‫بریتته‬‌‌‫له‬‌ Tw ‫به‬‌‫اڵم‬‌‫ئه‬‌‫وه‬‌‫ی‬‌‫تریان‬‌‫پێت‬‌‫ده‬‌‫ڵت‬‌،‌‫پله‬‌‫ی‬‌‫گه‬‌‫رمی‬‌‫هه‬‌‫واكه‬‌‫ی‬‌‫ده‬‌‫ورو‬‌‫به‬‌‫ری‬‌‫پلێته‬‌‫كه‬‌‌
‫یه‬‌‫كسانه‬‌‌‫به‬‌‌‫ئه‬‌‫وه‬‌‫نده‬‌‌‫كه‬‌‌‫ئه‬‌‫م‬‌‫پله‬‌‫گه‬‌‫رمییه‬‌‫ش‬‌‫بریتیه‬‌‌‫له‬‌ ،‌‫له‬‌‫م‬‌‫حاڵه‬‌‫ته‬‌‫دا‬‌‫پێویسته‬‌‌‫كه‬‌‌‫سه‬‌‫ره‬‌‫تا‬ Tw
‫بدۆزینه‬‌‫وه‬‌‌‫به‬‌‫هۆی‬‌‫ئه‬‌‫م‬‌‫یاسایه‬‌
49
‫به‬‌‫دۆزینه‬‌‫وه‬‌‫ی‬‌Tw‌‌‫وه‬‌‫كو‬‌‫جۆری‬‌‫یه‬‌‫كه‬‌‫می‬‌‫لێدێتو‬‌‫هه‬‌‫ر‬‌‫به‬‌‫هه‬‌‫مان‬‌‫ڕێگای‬‌‫جۆری‬‌‫یه‬‌‫كه‬‌‫م‬‌‫شیكار‬‌
‫ده‬‌‫كرێت‬.‌
‌
‫هه‬‌‫موو‬‌‫كاتێك‬‌‌maximum temperature(To)‌‫ده‬‌‫كه‬‌‫وێته‬‌‌‫ناوه‬‌‫ڕاستی‬‌‫پلێته‬‌‫كه‬‌‫وه‬‌‌‫واته‬‌‌x=0‌‌
‫وه‬‌‫به‬‌‫م‬‌‫یاسایه‬‌‌‫ده‬‌‫یدۆزینه‬‌‫وه‬‌
‌‌
‫تێبینی‬‌‫له‬‌‫م‬‌‫حاڵه‬‌‫ته‬‌‫دا‬ X ‫له‬‌‫ناوه‬‌‫ڕاستی‬‌‫جسمه‬‌‫كه‬‌‫وه‬‌‌‫ده‬‌‫پێورێت‬‌،‌‫واته‬‌‌‫ئه‬‌‫گه‬‌‫ر‬‌‫پرسیاره‬‌‫كه‬‌‌‫داوای‬‌‫دۆزینه‬‌‫وه‬‌‫ی‬‌
‫پله‬‌‫ی‬‌‫گه‬‌‫رمی‬‌‫كردبوو‬‌‫له‬‌‌‫دوریه‬‌‫كی‬‌‫زانراو‬‌‫له‬‌‌‫ڕوی‬‌‫ده‬‌‫ره‬‌‫وه‬‌‌‫جسمه‬‌‫كه‬‌‫وه‬‌‌‫ئه‬‌‫وا‬‌‫پێویسته‬‌‌‫ئێمه‬‌‌‫ئه‬‌‫و‬‌‫دوریه‬‌‌
‫بگۆڕین‬‌‫به‬‌‫گوێره‬‌‫ی‬‌‫دورییه‬‌‫كه‬‌‫ی‬‌‫له‬‌‌‫ناوه‬‌‫ڕاستی‬‌‫جسمه‬‌‫كه‬‌‫وه‬‌ .
‫پله‬‌‫ی‬‌‫گه‬‌‫رمی‬‌‫لێواری‬‌‫پلێته‬‌‫كه‬‌‫یه‬‌‌‫به‬‌‫اڵم‬ ‫پله‬‌‫ی‬‌‌‫گه‬‌‫رمی‬‌‫هه‬‌‫وای‬‌‫ده‬‌‫وری‬‌‫پلێته‬‌‫كه‬‌‫یه‬‌ .
‫بۆ‬‌‫دۆزینه‬‌‫وه‬‌‫ی‬‌‫پله‬‌‫ی‬‌‫گه‬‌‫رمی‬‌‫له‬‌‫هه‬‌‫ر‬‌‫جێگایه‬‌‫كی‬‌‫پله‬‌‫یته‬‌‫كه‬‌‫دا‬‌‫ئه‬‌‫وا‬‌‫ئه‬‌‫م‬‌‫یاسایه‬‌‌‫به‬‌‫كارده‬‌‫هێنین‬ :
( )
50
Amount of heat generation=
Example: a plate of 24mm thickness is shaped to nuclear fuel element exposed
on the sides to heat convection at 200 ℃ with a convection heat transfer
coefficient of ℃ Generates heat at 20 .If thermal
conductivity of the plate is 25.4 ℃ . Determine the surface temperature
and the maximum temperature.
‫نموون‬‫ه‬:‫پلێت‬‫ێ‬‫ك‬‫ی‬(24mm)‫ئ‬‫ه‬‫ستوور‬‫پ‬‫ێ‬‫كه‬‫بۆ‬ ‫ێنرا‬‫سووت‬‫ه‬‫م‬‫ه‬‫نیى‬‫ناووكى‬،‫بهرەاڵکرا‬ ‫تهنشتهکانیهوە‬ ‫له‬‫ب‬‫ۆ‬
‫گهرمی‬ ‫ههڵگرتنی‬‫ل‬‫ه‬(200 ℃)‫به‬‫هاوك‬‫ۆ‬‫لك‬‫ه‬‫ی‬‫ه‬‫كى‬‫گهرمى‬ ‫گواستنهوەى‬ ‫ههڵگرتنی‬(
℃).‫گ‬‫ه‬‫رمى‬‫دروست‬‫د‬‫ە‬‫كات‬‫ل‬‫ه‬(20).‫ئ‬‫ه‬‫گ‬‫ه‬‫ر‬‫گهرمی‬ ‫گهیاندنی‬ ‫توانای‬‫پلێت‬‫هکه‬
(25.4 ℃)‫بێت‬.‫پل‬‫ه‬‫ى‬‫گ‬‫ه‬‫رم‬‫ی‬‫ڕ‬‫وو‬‫و‬ ‫ەکه‬‫پل‬‫ه‬‫ى‬‫گ‬‫ه‬‫رمی‬‫ه‬‫ك‬‫ه‬‫ى‬‫ز‬‫ۆ‬‫دیارى‬ ‫رترین‬‫بك‬‫ه‬.
Given: ,
℃ convection heat transfer coefficient of ℃ ,
Amount of heat generation= , thermal
conductivity of plate ℃
Solution: from page 47 in the Data Book:
51
℃
℃
℃
‌
‫حاڵه‬‌‫تی‬‌‫دووه‬‌‫م‬‌:‫پلێتێكه‬‌‌‫لێواره‬‌‫كه‬‌‫ی‬‌insulation‌‌‫كراوه‬‌‌‌‫واته‬‌‌‫عه‬‌‫زل‬‌‫كراوه‬‌‫و‬‌‫كراوه‬‌‌‫به‬‌‌‫نگه‬‌‫یه‬‌‫نه‬‌‫روئه‬‌‫و‬‌
‫الیه‬‌‫ی‬‌‫گه‬‌‌‫رمی‬‌‫ناگه‬‌‫یه‬‌‫نێت‬‌.‫وه‬‌‌‫ئه‬‌‫و‬‌‫الیه‬‌‫ی‬‌‫كه‬‌‌‫عه‬‌‫زل‬‌‫كراوه‬‌‌‫به‬‌‫رزترین‬‌‫پله‬‌‫ی‬‌‫گه‬‌‫رمی‬‌‫هه‬‌‫یه‬‌‌‫وه‬‌‌‫ئه‬‌‫و‬‌‫الیه‬‌‫ی‬‌‫كه‬‌‌
‫عه‬‌‫زل‬‌‫نه‬‌‫كراوه‬‌‌‫نزمترین‬‌‫پله‬‌‫ی‬‌‫گه‬‌‫رمی‬‌‫هه‬‌‫یه‬‌،‌‫وه‬‌‌‫هه‬‌‫روه‬‌‫ها‬‌‫پانی‬‌‫پلێته‬‌‫كه‬‌‌=L‌‌‫نه‬‌‫وه‬‌‫ك‬‌2L‌‌‫وه‬‌‌x‌‫له‬‌‫الی‬‌‫چه‬‌‫پی‬‌
‫پلێته‬‌‫كه‬‌‫وه‬‌‌‫ده‬‌‫پێورێت‬‌‫بۆالی‬‌‫ڕاست‬‌.
52
‫ت‬َ‫ی‬‫ناب‬‌x‌‫استةوة‬ ِ‫لةناوةر‬‌‫ت‬َ‫ی‬‫ور‬َ‫ی‬‫بث‬.
‌
‫تێبینی‬‌:‫له‬‌‌‫ناو‬‌Data Book‌‌‫ه‬‌‫كه‬‌‫دا‬‌‫وێنه‬‌‫ی‬‌‫ئه‬‌‫م‬‌‫حاڵه‬‌‫ته‬‌‫ی‬‌‫تیادانییه‬‌‌‫به‬‌‫اڵم‬‌‫هه‬‌‫مان‬‌‫یاساكانی‬‌‫حاڵه‬‌‫تی‬‌‫یه‬‌‫كه‬‌‫می‬‌
‫بۆ‬‌‫به‬‌‫كاردێت‬.
53
Example: a plate wall is 1m thick and it has one surface (x=0) insulated while
the other surface (X=L) is maintained at a constant temperature of 350 ℃ , K
=25w/mK, and uniform heat generation per unit volume of 500 exists
throughout the wall. Determine the maximum temperature in the wall and
the location of the plane where it occurs.
‫نموون‬‫ه‬:‫دیوار‬‫ێ‬‫كى‬‫توخت‬(1m)‫ئ‬‫ه‬‫ستور‬‫ە‬‫و‬‫ی‬‫ه‬‫ك‬‫ڕ‬‫وو‬‫ه‬‫ه‬‫ی‬‫ه‬‫ى‬(x=0)‫جیاى‬‫كر‬‫او‬‫ە‬‫ت‬‫و‬‫ە‬‫لهكاتێکدا‬
‫ڕ‬‫وو‬‫تری‬ ‫ەکهی‬(X=L)‫ه‬‫ێڵ‬‫راو‬‫ە‬‫ت‬‫ه‬‫و‬‫ە‬‫ل‬‫ه‬‫پل‬‫ه‬‫ى‬‫گ‬‫ه‬‫رمی‬‫ێ‬‫كى‬‫ن‬‫ه‬‫گ‬‫ۆڕ‬‫ى‬(350 ℃‫)دا‬,(K =25w/mK)،‫و‬
‫گهرمی‬‫قهبارەدا‬ ‫یهکهی‬ ‫له‬ ‫یهک‬ ‫وەک‬ ‫پهیدابوی‬(500 )‫ه‬‫ه‬‫ی‬‫ه‬‫ب‬‫ه‬‫در‬‫ێ‬‫ژایى‬‫دیوار‬‫ە‬‫ك‬‫ه‬.‫پل‬‫ه‬‫ى‬
‫گ‬‫ه‬‫رمی‬‫ه‬‫ك‬‫ه‬‫ى‬‫ز‬‫ۆ‬‫رترین‬‫دیارى‬‫بك‬‫ه‬‫ل‬‫ه‬‫دیوار‬‫ە‬‫ك‬‫ه‬‫دا‬‫و‬‫ە‬‫شو‬‫ێ‬‫ن‬‫ه‬‫ك‬‫ه‬‫ى‬‫ڕوتهختهکادا‬ ‫له‬‫کهتیایدا‬‫ڕ‬‫وو‬‫د‬‫ە‬‫دات‬.
Given: thick = L = 1m , ℃ .Thermal
conductivity= K =25w/mK,
Solution: from page 47 in the Data Book:
54
The location of maximum temperature is (x=0).(Answer)‌
‫حاڵه‬‌‫تی‬‌‫سێ‬‌‌‫یه‬‌‫م‬‌‌:‫كه‬‌‫وێته‬‌‌‫ناوه‬‌‫ڕاستی‬‌‫پلێته‬‌‫كه‬‌‫وه‬‌‌‫وه‬‌‌‫هه‬‌‫روه‬‌‫ها‬‌‫ئه‬‌‫مدی‬‌‫و‬‌‫ئه‬‌‫ودیوی‬‌‫پلێته‬‌‫كه‬‌‌‫پله‬‌‫ی‬‌
‫گه‬‌‫رمییه‬‌‫كانیان‬‌‫جیاوازه‬‌.
‫بۆ‬‌‫دۆزینه‬‌‫وه‬‌‫ی‬‌‫پله‬‌‫ی‬‌‫گه‬‌‫رمی‬‌‫له‬‌‫هه‬‌‫ر‬‌‫شوێنێكدا‬‌‫ئه‬‌‫م‬‌‫یاسایه‬‌‌‫به‬‌‫كاردێنین‬:‌
‫ئه‬‌‫گه‬‌‫ر‬‌‫داوای‬‌‫شوێنی‬‌‫به‬‌‫رزترین‬‌‫پله‬‌‫ی‬‌‫گه‬‌‫رمی‬‌‫كرد‬‌‫ئه‬‌‫وا‬‌‫ئه‬‌‫م‬‌‫یاسایه‬‌‌‫به‬‌‫كاردێنین‬:‌
‫به‬‌‫اڵم‬‌‫بۆ‬‌‫دۆزینه‬‌‫وه‬‌‫ی‬‌‫نرخی‬‌‫به‬‌‫رزترین‬‌‫پله‬‌‫ی‬‌‫گه‬‌‫رمی‬‌‫ئه‬‌‫م‬‌‫یاسایه‬‌‌‫به‬‌‫كاردێنین‬:‌
55
Example: The thickness of a steel plate is 25mm and (K =48 W/m℃ ), having a
uniform heat generation per unit volume of 30* W/ , the temperature
on the two surfaces of the steel plate, are 180℃ and 120℃ . Determine the
value and position of the maximum temperature and heat flow from each
surface of the plate.
‫نموون‬‫ه‬:‫ئهستوری‬‫پلێت‬‫ێ‬‫كى‬‫پ‬‫ۆاڵ‬(25mm)‫ە‬‫و‬(K =48 W/m℃)،‫وەکیهک‬ ‫گهرمی‬ ‫پهیدابونی‬
‫قهبارەدا‬ ‫لهیهکهی‬(30* W/)‫ە‬،‫پل‬‫ه‬‫ى‬‫گ‬‫ه‬‫رم‬‫ی‬‫ل‬‫ه‬‫س‬‫ه‬‫ر‬‫دوو‬‫ڕ‬‫ووى‬‫پلێت‬‫ه‬‫پ‬‫ۆاڵ‬‫که‬،(180℃)‫و‬
(120℃.‫)ن‬‫نرخ‬‫و‬‫شو‬‫ێ‬‫نى‬‫پل‬‫ه‬‫ى‬‫گ‬‫ه‬‫رم‬‫ی‬‫ز‬‫ۆ‬‫رترین‬‫و‬‫ڕۆ‬‫یشتنى‬‫گ‬‫ه‬‫رمى‬‫ل‬‫ه‬‫ه‬‫ه‬‫ر‬‫ڕ‬‫وو‬‫یهکی‬‫پلێتهک‬‫هوە‬
‫دیارى‬‫بك‬‫ه‬.
Given: thick = 2L = 25mm =0.025m , Thermal conductivity=
K =48 W/m℃, heat generation= 30* W/ , maximum
temperature= =180℃, minimum temperature= =120 ℃.
Solution:
℃
56
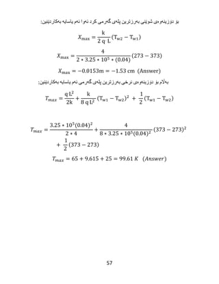
Example: A wall 8cm thick has its surfaces maintained at 0℃ and 100℃ . The
heat generation rate is 3.25* W/ . If the Thermal conductivity of the
material is 4W/mK, determine the temperature at the mid plane, the location
and the value of the maximum temperature.
ً‫ًوىو‬‫ە‬:‫ديىار‬‫ێکی‬(8cm)‫ئ‬‫ە‬‫ضتىر‬‫ڕ‬‫وو‬‫ەکبًی‬‫هێڵراوەتەوە‬‫ل‬‫ە‬(0℃)‫و‬(100℃)‫دا‬.‫ڕێ‬‫ژ‬‫ی‬‫گ‬‫ە‬ً‫ره‬
‫پەيذاثى‬(3.25* W/)‫ە‬.‫ئ‬‫ە‬‫گ‬‫ە‬‫ر‬‫گەرهی‬ ‫گەيبًذًی‬ ‫تىاًبی‬‫هبدد‬‫ە‬‫ك‬‫ە‬(4W/mK‫)ثێت‬،‫پل‬‫ە‬‫ي‬
‫گ‬‫ە‬‫رهی‬‫ە‬‫ك‬‫ە‬‫ديبري‬‫ثك‬‫ە‬‫ل‬‫ە‬‫ڕوتەختەکەدا‬ ‫ًبوەڕاضتی‬،‫ًرخی‬ ‫و‬ ‫غىێي‬‫پل‬‫ە‬‫ي‬‫گ‬‫ە‬‫رهی‬‫ە‬‫ك‬‫ە‬‫ي‬‫ز‬‫ۆ‬‫رتريي‬‫ديبري‬
‫ثك‬‫ە‬.
Given: thick = 2L = 8cm =0.08m , , heat
generation= 3.25* W/ , Thermal conductivity= K =4 W/mK
maximum temperature= =100℃=373K, minimum temperature= =0
℃=273K.
Solution: from page 47 in the Data Book:
‫بۆ‬‌‫دۆزینه‬‌‫وه‬‌‫ی‬‌‫پله‬‌‫ی‬‌‫گه‬‌‫رمی‬‌‫له‬‌‫هه‬‌‫ر‬‌‫شوێنێكدا‬‌‫ئه‬‌‫م‬‌‫یاسایه‬‌‌‫به‬‌‫كاردێنین‬:‌
57
‫بۆ‬‌‫دۆزینه‬‌‫وه‬‌‫ی‬‌‫شوێنی‬‌‫به‬‌‫رزترین‬‌‫پله‬‌‫ی‬‌‫گه‬‌‫رمی‬‌‫كرد‬‌‫ئه‬‌‫وا‬‌‫ئه‬‌‫م‬‌‫یاسایه‬‌‌‫به‬‌‫كاردێنین‬:‌
‫به‬‌‫اڵم‬‌‫بۆ‬‌‫دۆزینه‬‌‫وه‬‌‫ی‬‌‫نرخی‬‌‫به‬‌‫رزترین‬‌‫پله‬‌‫ی‬‌‫گه‬‌‫رمی‬‌‫ئه‬‌‫م‬‌‫یاسایه‬‌‌‫به‬‌‫كاردێنین‬:‌
‌
58
Example: a 6cm thick slab of insulating material (K =0.38 W/mK) is placed
between two parallel electrodes and is subjected to high electric power
producing 39000w/ . Under steady state condition, the convection heat
transfer coefficient is 11.8W/ .K at left side while the right side is at 30℃ , if
ambient air temperature is 25℃ at left side. (1)Calculate The left side surface
temperature. (2) Determine Location and magnitude of maximum
temperature.
‫نموون‬‫ه‬:‫شتایگهر‬‫ێ‬‫ك‬(6cm)‫ئ‬‫ه‬‫ستورى‬‫كهرەوە‬ ‫جیا‬ ‫ماددەی‬(K =0.38 W/mK)‫دا‬‫نرا‬‫ل‬‫ه‬‫ن‬‫ێ‬‫وان‬‫دوو‬
‫ئ‬‫ه‬‫لكتر‬‫ۆ‬‫دى‬‫ت‬‫ه‬‫ریب‬‫و‬‫ژێر‬ ‫خرانه‬‫تواناى‬‫ب‬‫ه‬‫رز‬‫كار‬‫ە‬‫بایى‬‫ب‬‫ه‬‫ره‬‫ه‬‫م‬‫ه‬‫ێ‬‫نان‬(39000w/)‫ب‬‫ه‬‫ره‬‫ه‬‫م‬
‫دێنێت‬.‫ل‬‫ه‬‫ژ‬‫ێ‬‫ر‬‫مهرجی‬‫جێگیر‬ ‫حاڵهتی‬،‫هاوكۆلكهی‬‫ههڵگرتنهکه‬ ‫گهرمی‬ ‫گواستنهوەی‬
(11.8W/ .K)‫ە‬.‫ل‬‫ه‬‫الى‬‫چ‬‫ه‬‫پ‬‫لهكاتێکدا‬‫الی‬‫ڕ‬‫است‬‫ه‬‫له‬(30℃)‫دا‬،‫ئ‬‫ه‬‫گ‬‫ه‬‫ر‬‫ههواى‬ ‫گهرمى‬ ‫پلهى‬
‫دەوروبهر‬(25℃)‫بێت‬‫ل‬‫ه‬‫الى‬‫چ‬‫ه‬‫پ‬( .1)‫پل‬‫ه‬‫ى‬‫گ‬‫ه‬‫رمیى‬‫ڕ‬‫وو‬‫ی‬‫الى‬‫چ‬‫ه‬‫پ‬‫بکه‬ ‫ههژمار‬( .2)‫شوێنو‬
‫گهرمی‬ ‫پلهی‬ ‫بهرزترین‬ ‫نرخی‬‫دیارى‬‫بك‬‫ه‬.
Given: thick = 2L = 6cm =0.06m , Thermal conductivity= K
=0.38 W/mK, heat generation= , heat transfer coefficient=11.8
W/ . ambient air temperature = 25℃ , minimum temperature=
=30℃=303K.
59
Solution: from page 47 in the Data Book:
‫بۆ‬‌‫دۆزینه‬‌‫وه‬‌‫ی‬‌‫نرخی‬‌‫به‬‌‫رزترین‬‌‫پله‬‌‫ی‬‌‫گه‬‌‫رمی‬‌‫ئه‬‌‫م‬‌‫یاسایه‬‌‌‫به‬‌‫كاردێنین‬:‌
‌
60
Fins
Types of the fin: ‫پهڕەكه‬
‫پهڕەكهكه‬ ‫جۆرى‬:
1. Long Fin ‫به‬‌‫هۆی‬‌‫یاساوه‬‌‌‫شیكار‬‌‫ده‬‌‫كرێت‬
2. Short Fin (end insulated)=Thin Fin ‫به‬‌‫هۆی‬‌‫یاساوه‬‌‌‫شیكار‬‌‫ده‬‌‫كرێت‬
3. Short Fin (end insulated) ‫به‬‌‫هۆی‬‌‫یاساوه‬‌‌‫شیكار‬‌‫ده‬‌‫كرێت‬
4. Circumferential fin ‫به‬‌‫هۆی‬‌‫چارته‬‌‫وه‬‌‌‫شیكار‬‌‫ده‬‌‫كرێت‬
5. Rectangular fin ‫به‬‌‫هۆی‬‌‫چارته‬‌‫وه‬‌‌‫شیكار‬‌‫ده‬‌‫كرێت‬
6. Triangular fin ‫به‬‌‫هۆی‬‌‫چارته‬‌‫وه‬‌‌‫شیكار‬‌‫ده‬‌‫كرێت‬
‫پرسیار‬‌:‫جۆری‬Long fin‫هه‬‌‫روه‬‌‫ها‬short fin‫له‬‌‌‫كاتی‬‌‫تاقیكردنه‬‌‫وه‬‌‫دا‬‌،‌‫چۆن‬‌‫له‬‌‫یه‬‌‫كتر‬‌‫جیابكه‬‌‫ینه‬‌‫وه‬‌‫؟‬
‫وه‬‌‫اڵم‬‌:‫له‬‌‫هه‬‌‫ر‬‌‫پرسیارێكدا‬‌‫ئه‬‌‫گه‬‌‫ر‬‌‫درێژی‬fin‫ه‬‌‫كه‬‌‌‫درابوو‬‌‫ئه‬‌‫وا‬‌‫ئه‬‌‫و‬‌‫جۆره‬‌‌‫بریتیه‬‌‌‫له‬‌short fin .‫به‬‌‫اڵم‬‌
‫ئه‬‌‫گه‬‌‫ر‬‌‫درێژی‬fin‫ه‬‌‫كه‬‌‌‫نه‬‌‫درابوو‬‌‫ئه‬‌‫وا‬‌‫ئه‬‌‫و‬‌‫جۆره‬‌‌‫بریتیه‬‌‌‫له‬‌Long fin .
61
Example: Find out the amount of heat transfer through an thin iron fin of
length 50mm, 100mm width and thickness of 5mm. Assume k=210W/m.℃ for
the material of the fin and h=42W/ .℃ , if the atmospheric temperature is
20℃ . Also determine the temperature at the tip of the fin if base
temperature is 80℃.
‫نموون‬‫ه‬:‫ب‬‫ڕ‬‫ى‬‫گواست‬‫ن‬‫هوەی‬‫گهرمى‬‫بزان‬‫ه‬‫ب‬‫ه‬‫ناو‬‫پ‬‫هڕە‬‫یه‬‫ئاسنى‬ ‫كى‬‫باریك‬‫ی‬‫در‬‫ێ‬‫ژى‬(50mm)،
(100mm)‫پان‬‫و‬‫ئهستوری‬‫ى‬(5mm).‫وا‬‫دا‬‫بن‬‫ێ‬‫ب‬‫ۆ‬‫مادد‬‫ە‬‫ى‬‫پ‬‫هڕە‬‫ك‬‫ه‬‫ك‬‫ه‬(k=210W/m.℃)‫و‬
(h=42W/ .℃)،‫ئ‬‫ه‬‫گ‬‫ه‬‫ر‬‫کهش‬ ‫گهرمیى‬ ‫پلهى‬(20℃)‫بێت‬.‫ه‬‫ه‬‫رو‬‫ە‬‫ها‬‫پل‬‫ه‬‫ى‬‫گ‬‫ه‬‫رم‬‫ی‬‫ل‬‫ه‬
‫س‬‫ه‬‫ر‬‫ە‬‫نوك‬‫ه‬‫ك‬‫ه‬‫ى‬‫پ‬‫هڕە‬‫ك‬‫ه‬‫ك‬‫ه‬‫دیارى‬‫بکه‬‫ئ‬‫ه‬‫گ‬‫ه‬‫ر‬‫پل‬‫ه‬‫ى‬‫گ‬‫ه‬‫رمیى‬‫بنك‬‫ه‬(80℃)‫بێت‬.
Given: Type of the fin is thin iron fin i.e. Short Fin (end insulated), length=L=
50mm=0.05m, width=w= 100mm=0.1m thickness =t=5mm=0.005m, thermal
conductivity=k=210W/m.℃, heat transfer coefficient= h=42W/ . ℃,
atmospheric temperature = 20℃. Base temperature = 80℃.
Determine the temperature at the tip of the fin.
62
Solution:
From page 49 in the Data Book:
Perimeter = p =2 (width) + 2(thickness)
p =2 (0.01) + 2(0.005)=0.02 + 0.010=0.03m.
Area =A= width * thickness
A=0.01 * 0.005 = 0.00005 .
√ √
63
√
√
℃
64
Example: a rod of carbon steel (k=54 W/m.K) with a cross section of an
Equilateral triangular (Each side is 5mm) is 80mm long. It is attached to a
plane wall which is maintained at a temperature of 400℃. The surrounding
environment is at 50℃ and convection heat transfer coefficient is 90W/ .K.
Calculate the heat dissipated by the rod.
‫نموون‬‫ه‬:‫تووڵ‬‫ێکی‬‫پ‬‫ۆاڵ‬‫ی‬‫كارب‬‫ۆ‬‫ن‬(k=54 W/m.K)‫به‬‫بڕگه‬ ‫پانه‬‫یهکی‬‫س‬‫ێ‬‫گ‬‫ۆ‬‫ش‬‫ه‬‫ی‬‫ال‬‫ی‬‫ه‬‫كسان‬‫ه‬‫ه‬‫ر‬
‫الیهکی‬(5mm)‫وە‬ ‫ە‬(80mm)‫در‬‫ێ‬‫ژ‬‫ە‬.‫هاوپ‬‫ێ‬‫چ‬‫كرا‬‫ب‬‫ێ‬‫ت‬‫ب‬‫ۆ‬‫دیوار‬‫ێ‬‫ك‬‫تهخت‬ ‫ی‬‫ك‬‫ه‬‫ه‬‫ێڵ‬‫راو‬‫ە‬‫ت‬‫ه‬‫و‬‫ە‬‫ل‬‫ه‬‫پل‬‫ه‬‫ى‬
‫گ‬‫ه‬‫رمى‬(400℃)‫دا‬.‫دەوروبهر‬ ‫ژینگهی‬‫ل‬‫ه‬(50℃)‫دایه‬‫و‬‫ە‬‫هاوك‬‫ۆ‬‫لكي‬‫گهرمی‬ ‫گواستنهوەی‬
(90W/ .K)‫ە‬.‫گ‬‫ه‬‫رمي‬‫لهناوچو‬‫به‬‫هۆی‬‫تووڵ‬‫ه‬‫ك‬‫ه‬‫وە‬‫بکه‬ ‫ههژمار‬.
Given:
‫تێبینی‬‌:‫له‬‌‫هه‬‌‫ر‬‌‫پرسیارێكدا‬‌‫ئه‬‌‫گه‬‌‫ر‬‌‫درێژی‬fin‫ه‬‌‫كه‬‌‌‫درابوو‬‌‫ئه‬‌‫وا‬‌‫ئه‬‌‫و‬‌‫جۆره‬‌‌‫بریتیه‬‌‌‫له‬‌short fin
Type of the fin is short fin (end not insulated), thermal
conductivity=k=54W/m.K, length=L= 80mm=0.08m, Base temperature= =
400℃, surrounding temperature = 50℃ , heat transfer coefficient=
h=90W/ . K, Calculate the heat dissipated by the rod.
65
Solution:
‫فیساگۆرس‬
From page 49 in the Data Book:
Perimeter = p =3 * 0.005=0.015m
A= .
√ √
(
( )
( )
)
(
( )
( )
)
66
( )
( )
( )
Example: Circumferential aluminum fins (K=200W/mk) is rectangular 1.5cm
wide and 1mm thick are fitted onto a 2.5cm diameter tube. The fin base
temperature is 170℃ and the ambient fluid temperature is 25℃ . Estimate
the heat lost per fin, If h=130W/ k.
‫نموون‬‫ه‬:‫پ‬‫هڕە‬‫ئ‬‫ه‬‫ل‬‫ه‬‫منی‬‫ۆ‬‫م‬‫چێوەییهکان‬ ‫ه‬(K=200W/mk)‫الك‬‫ێ‬‫ش‬‫ه‬‫ییه‬(1.5cm)‫وە‬ ‫پان‬(1mm)
‫ئ‬‫ه‬‫ستور‬‫کران‬ ‫جێگیر‬‫سهر‬ ‫ه‬‫تیرە‬ ‫بۆرییهکی‬(2.5cm)‫ی‬.‫پل‬‫ه‬‫ى‬‫گ‬‫ه‬‫رمي‬‫بنك‬‫ه‬‫ی‬‫پ‬‫هڕە‬‫ك‬‫ه‬(170℃)‫ە‬‫و‬‫ە‬
‫پل‬‫ه‬‫ى‬‫گ‬‫ه‬‫رمي‬‫شلگازەکهی‬‫د‬‫ە‬‫ور‬‫وبهر‬(25℃)‫ە‬.‫گ‬‫ه‬‫رمی‬‫ه‬‫بزربوو‬‫ب‬ ‫ەکه‬‫خ‬‫ه‬‫م‬‫ڵێنه‬‫ل‬‫ه‬‫پ‬‫هڕە‬‫ك‬‫ه‬‫دا‬،‫ئ‬‫ه‬‫گ‬‫ه‬‫ر‬
(h=130W/ k).
Given: the type of the fin is circumferential fin ‫به‬‌‫هۆی‬‌‫چارته‬‌‫وه‬‌‌‫شیكار‬‌‫ده‬‌‫كرێت‬
From page 50 at the Data Book:
Circumferential rectangular fin
67
( ) ( )
X-axis‫ئیصقات‬‌‫ده‬‌‫كه‬‌‫ین‬‌‫بۆ‬‌‫سه‬‌‫ر‬curve number 2‫ه‬‌‫كه‬‌‌‫له‬‌‫كویادا‬curve‫ه‬‌‫كه‬‌‫ی‬‌‫بڕی‬‌‫ئه‬‌‫وا‬‌‫ئه‬‌‫و‬‌
‫خاڵه‬‌‌‫ئیصقات‬‌‫ده‬‌‫كه‬‌‫ین‬‌‫بۆ‬‌‫سه‬‌‫ر‬Y-axis‫وه‬‌fin efficiency‫ده‬‌‫دۆزینه‬‌‫وه‬‌‌‫كه‬‌‫ده‬‌‫كاته‬‌‌85%
η
η
Example: A heating unit is made in the form of a vertical tube fitted with
rectangular section steel fins. The tube height is 1.2m and its outer diameter is
60mm. the fins are 50mm height and 3mm thickness along the tube. The
numbers of fins used are 20. The base and air surrounding temperature are
80℃ and 18℃ respectively, h=9.3W/ k. for fin material (k=55.7W/mK).
Calculate the total heat transferred from the tube with fins.
‫نموون‬‫ه‬:‫ی‬‫ه‬‫ك‬‫ه‬‫یهکی‬‫گ‬‫ه‬‫رم‬‫كردن‬‫دروست‬‫كر‬‫اوە‬‫ل‬‫ه‬‫ش‬‫ێ‬‫و‬‫ە‬‫ى‬‫ب‬‫ۆ‬‫ری‬‫ێ‬‫كى‬‫شاوڵیدا‬‫جێگیر‬‫کراوە‬‫ل‬‫ه‬‫گ‬‫هڵ‬‫پ‬‫هڕە‬‫ك‬‫ه‬‫ى‬
‫پ‬‫ۆاڵ‬‫الکێشه‬ ‫بڕگه‬ ‫ی‬.‫ب‬‫ه‬‫رز‬‫ی‬‫ب‬‫ۆ‬‫ر‬‫یهکه‬(1.2m)‫ە‬‫و‬‫دەرەکی‬ ‫تیرەى‬‫ى‬(60mm)‫ە‬.‫پ‬‫هڕە‬‫ك‬‫ه‬‫کان‬
(50mm)‫ب‬‫ه‬‫رز‬‫ن‬(3mm)‫ئهستور‬‫ن‬‫ب‬‫ه‬‫درێژای‬‫ب‬‫ۆ‬‫ر‬‫یهکه‬.‫ژمار‬‫ە‬‫ى‬‫پ‬‫هڕە‬‫ك‬‫ه‬‫کا‬‫ن‬‫ی‬
‫ب‬‫ه‬‫كار‬(‫هێنراوە‬20‫)ن‬.‫پل‬‫ه‬‫ى‬‫گ‬‫ه‬‫بنك‬ ‫رمیى‬‫ه‬‫ك‬‫ه‬‫و‬‫ه‬‫ه‬‫وا‬‫ی‬‫چوار‬‫د‬‫ە‬‫ور‬‫ی‬(80℃)‫ە‬‫و‬(18℃)‫ب‬‫ه‬‫ڕ‬،‫یز‬
(h=9.3W/ k).‫ب‬‫ۆ‬‫مادد‬‫ە‬‫ى‬‫پ‬‫هڕە‬‫ك‬‫ه‬(k=55.7W/mK. )‫گواستراوە‬ ‫گهرمی‬ ‫تێکڕای‬‫بکه‬ ‫ههژمار‬
.‫پهڕەکهکهنهوە‬ ‫بههۆی‬ ‫بۆریهکهوە‬ ‫له‬
Given: the type of the fin is circumferential fin ‌‫به‬‫ه‬‫ۆی‬‫چارته‬‫وه‬‫ش‬‫ی‬‫كار‬‫ده‬‫كر‬‫ێ‬‫ت‬
68
Solution:
Calculation: for heat transfer with one fin :
From page 50 at the Data Book:
Circumferential rectangular fin
( ) ( )
69
‌‌X-axis‌‌‫ئیصقات‬‌‫ده‬‌‫كه‬‌‫ین‬‌‫بۆ‬‌‫سه‬‌‫ر‬‌curve number 2‌‌‌‫ه‬‌‫كه‬‌‌‫له‬‌‫كویادا‬‌curve‌‌‫ه‬‌‫كه‬‌‫ی‬‌‫بڕی‬‌‫ئه‬‌‫وا‬‌‫ئه‬‌‫و‬‌
‫خاڵه‬‌‌‫ئیصقات‬‌‫ده‬‌‫كه‬‌‫ین‬‌‫بۆ‬‌‫سه‬‌‫ر‬‌‌Y-axis‌‫وه‬‌‌fin efficiency‌‌‫ده‬‌‫دۆزینه‬‌‫وه‬‌‌‫كه‬‌‫ده‬‌‫كاته‬‌‌99%‌
η
η
Example 2-6 A current of 200 A is passed through a stainless steel wire (k = 19
W/m·℃). it is 3mm in diameter. The resistivity of the steel may be taken as 70
μΩ·cm,‌and‌the‌length‌of‌the‌wire‌is‌1m. The wire is submerged in a liquid at
110℃ and experiences a convection heat transfer coefficient of 4kW/m2
·℃.
Calculate the center temperature of the wire.
‫نمونه‬(2.٦)‫تهزویهکی‬(200 A‫)ی‬‫ت‬‫ێ‬‫پ‬‫هڕ‬‫کرا‬‫ب‬‫ه‬‫ناو‬‫وای‬‫ه‬‫ر‬‫ێ‬‫كى‬‫خهوشدا‬ ‫بێ‬ ‫پۆاڵی‬(k = 19
W/m·℃).‫ل‬‫ه‬‫تیرە‬( ‫دا‬3mm‫)ە‬.‫ب‬‫ه‬‫رگرى‬‫ج‬‫ۆ‬‫ری‬‫ه‬‫ك‬‫ه‬‫ى‬‫پ‬‫ۆاڵ‬‫ی‬‫ه‬‫ك‬‫ه‬‫ل‬‫ه‬‫وان‬‫ه‬‫ی‬‫ه‬‫به‬(76‌μΩ·cm)
‫وەربگیرێت‬،‫و‬‫در‬‫ێ‬‫ژی‬‫ه‬‫ك‬‫ه‬‫ى‬‫وای‬‫ه‬‫ر‬‫ە‬‫ك‬‫ه‬(1m‫)ە‬.‫وای‬‫ه‬‫ر‬‫ە‬‫ك‬‫ه‬‫نقوم‬‫كرا‬‫ل‬‫ه‬‫شل‬‫ه‬‫ی‬‫ێ‬‫ك‬‫ل‬‫ه‬(110℃)‫و‬
‫هاوك‬‫ۆ‬‫لك‬‫ه‬‫ى‬‫هه‬ ‫گهرمی‬ ‫گواستنهوەی‬‫ڵگرتنی‬(4kW/m2
·℃)‫تاقیدەکاتهوە‬ ‫ی‬.‫پل‬‫ه‬‫ى‬‫گ‬‫ه‬‫رمی‬‫ه‬‫ك‬‫ه‬‫ى‬
‫ناو‬‫ە‬‫ندى‬‫وای‬‫ه‬‫ر‬‫ە‬‫ك‬‫ه‬‫بکه‬ ‫ههژمار‬.
Solution. All the power generated in the wire must be dissipated by
convection to the liquid:
70
‫ه‬‫ە‬‫هىو‬‫تىاًب‬‫پەيذاثى‬ ‫ی‬‫ل‬‫ە‬‫واي‬‫ە‬‫ر‬‫ە‬‫ك‬‫ە‬‫دا‬‫د‬‫ە‬‫ث‬‫ێ‬‫ت‬‫ل‬‫ە‬‫ًبو‬‫ث‬‫جر‬‫ێ‬‫ت‬‫ثە‬‫ثەهۆی‬ ‫هەڵگرتي‬‫غل‬‫ە‬‫ك‬‫ە‬‫وە‬
P = I2
R = q = hA(Tw-T∞)
The resistance of the wire is calculated from
‫ث‬‫ە‬‫رگري‬‫واي‬‫ە‬‫ر‬‫ە‬‫ك‬‫ە‬‫حیطبة‬‫لە‬ ‫کراوە‬




099.0
)15.0(
)100)(1070(
2
6


A
L
R
where‌ρ‌is‌the‌resistivity‌of‌the‌wire.‌The‌surface‌area‌of‌the‌wire‌is‌π‌dL,‌so‌
from Equation
‫لهویادا‬(ρ)‫ب‬‫ه‬‫رگرى‬‫ج‬‫ۆ‬‫رى‬‫وای‬‫ه‬‫ر‬‫ە‬‫ك‬‫ه‬‫ی‬‫ه‬.‫ڕ‬‫ووب‬‫ه‬‫رى‬‫ڕ‬‫ووى‬‫وای‬‫ه‬‫ر‬‫ە‬‫ك‬‫ه‬(π‌dL)‫ە‬،‫له‬ ‫کهواته‬
‫هاوکێشهکهوە‬
WTw 3960)110)(1)(103(4000)099.0()200( 32
 

and Tw = 215℃ (419℉)
The heat generated per unit volume

q is calculated from
‫گ‬‫ە‬‫رهی‬‫ە‬‫پەيذاثىوەکە‬‫قەثبرەدا‬ ‫لەيەکەی‬(

q)‫حیطبة‬‫كرا‬‫وە‬‫ل‬‫ە‬
LrqVqP 2



so that
3
23
/2.560
)1()105.1(
3960
mMWq 

 


(5.41*107
Btu/h·ft3
)
6.231215
)19)(4(
)105.1)(10602.5(
4
2382





w
o
o T
k
rq
T ℃
71
Chapter 3
‫ث‬‫ە‬‫ظ‬٣
Steady state conduction – multiple dimension
‫گهیاندن‬ ‫جێگیری‬ ‫حاڵهتی‬-‫ڕەههند‬ ‫فرە‬
Nodal Equation
‫پرسیار‬‌:‫پله‬ ‫چۆن‬‌‫ی‬‌‫گه‬‌‫رمی‬‌‫خاڵك‬‌‫ده‬‌‫دۆزینه‬‌‫وه‬‌‌‫به‬‌‫هۆی‬‌‫پله‬‌‫ی‬‌‫گه‬‌‫رمی‬‌‫خاڵه‬‌‫كانی‬‌‫ده‬‌‫وروبه‬‌‫رییه‬‌‫وه‬‌‫؟‬
‫وه‬‌‫اڵم‬‌:‫به‬‌‫هۆی‬‌nodal Equation‌‌‫ه‬‌‫وه‬‌‌‫هاوكێشه‬‌‫یه‬‌‫ك‬‌‫بۆ‬‌‫خاڵه‬‌‫كه‬‌‌‫دروست‬‌‫ده‬‌‫كه‬‌‫ین‬‌‫و‬‌‫پله‬‌‫ی‬‌‫گه‬‌‫رمی‬‌
‫خاڵه‬‌‫كه‬‌‫ی‬‌‫پێده‬‌‫دۆزینه‬‌‫وه‬‌.
‫چۆنیه‬‌‫تی‬‌‫دروستكردنی‬‌nodal Equation‌
‫سه‬‫ره‬‫پێویسته‬ ‫تا‬‫ڕه‬‫ئه‬ ‫سمی‬‫واته‬ ‫خاڵ‬ ‫و‬‫ئه‬( ‫و‬Node‫ه‬ )‫بکهین‬ ‫دروست‬‌‌‫كه‬‌‫ده‬‌‫مانه‬‌‫وێت‬‌‫هاوكێشه‬‫كه‬‫بۆ‬ ‫ی‬
‫بنوسین‬‌‫پاشان‬‌node‌‫ه‬‌‫كه‬‌‌‫ده‬‌‫كه‬‌‫ینه‬‌‌‫ناو‬‌‫چوارگۆشه‬‌‫یه‬‌‫كه‬‌‫وه‬‌‌‫یان‬‌‫الكێشه‬‌‫یه‬‌‫كه‬‌‫وه‬‌‌‫كه‬‌‌‫بنكه‬‌‫كه‬‌‫ی‬‌)∆x‌‌(‫وه‬‌‌
‫به‬‌‫رزییه‬‌‫كه‬‌‫ی‬‌)∆y‌(‫بێت‬.‫پێویسته‬‌‌‫خاڵه‬‌‫كه‬‌‌‫بكه‬‌‫وێته‬‌‌‫ناوه‬‌‫ندی‬‌‫الكێشه‬‌‫كه‬‌‌‫یا‬‌‫چوار‬‌‫گۆشه‬‌‫كه‬‌‫وه‬‌.‌
‌
‌
‌
Example: write the nodal Equation for node 1 and node 6 as shown in the
Figure below.
72
‫نموون‬‫ه‬:‫بنووسه‬ ‫گرێی‬ ‫هاوكێشهى‬‫گرێى‬ ‫بۆ‬1‫گرێى‬ ‫و‬6‫پیشان‬ ‫خوارەوەدا‬ ‫وێنهکهی‬ ‫له‬ ‫ههروەک‬
‫دراوە‬.
Answer:
‫سه‬‫ره‬‫پێویسته‬ ‫تا‬‫ڕه‬‫ئه‬ ‫سمی‬‫واته‬ ‫خاڵ‬ ‫و‬‫ئه‬( ‫و‬Node‫ه‬ )‫بکهین‬ ‫دروست‬‌‌‫كه‬‌‫ده‬‌‫مانه‬‌‫وێت‬‌‫هاوكێشه‬‫كه‬‫بۆ‬ ‫ی‬
‫بنوسین‬‌‫پاشان‬node‫ه‬‌‫كه‬‌‌‫ده‬‌‫كه‬‌‫ینه‬‌‌‫ناو‬‌‫چوارگۆشه‬‌‫یه‬‌‫كه‬‌‫وه‬‌‌‫یان‬‌‫الكێشه‬‌‫یه‬‌‫كه‬‌‫وه‬‌‌‫كه‬‌‌‫بنكه‬‫كه‬‫ی‬∆(x‫وه‬ ‫بێت‬ )
‫به‬‫رزییه‬‫كه‬‫ی‬∆(y‫پێویسته‬ .‫بێت‬ )‌‫خاڵه‬‌‫كه‬‌‌‫بكه‬‌‫وێته‬‌‌‫ناوه‬‌‫ندی‬‌‫الكێشه‬‌‫كه‬‌‌‫یا‬‌‫چوار‬‌‫گۆشه‬‌‫كه‬‌‫وه‬‌.
For node 1:
‫ڕونكردنه‬‌‫وه‬‌:
73
‫له‬‌‫خاڵ‬‌)2(‫ه‬‌‫وه‬‌‌‫بۆ‬‌‫خاڵی‬‌)1‌(،‌‫گه‬‌‫رمببه‬‌‫كه‬‌‌‫به‬‌(conduction)‫ده‬‌‫گوازرێته‬‌‫وه‬‌.
‫له‬‌‫خاڵ‬‌)3(‫ه‬‌‫وه‬‌‌‫بۆ‬‌‫خاڵی‬‌)1‌(،‌‫گه‬‌‫رمببه‬‌‫كه‬‌‌‫به‬‌(conduction)‫ده‬‌‫گوازرێته‬‌‫وه‬‌.
‫له‬‌‫خاڵ‬‌)4(‫ه‬‌‫وه‬‌‌‫بۆ‬‌‫خاڵی‬‌)1‌(،‌‫گه‬‌‫رمببه‬‌‫كه‬‌‌‫به‬‌(conduction)‫ده‬‌‫گوازرێته‬‌‫وه‬‌.
‫له‬‌‫خاڵ‬‌)5(‫ه‬‌‫وه‬‌‌‫بۆ‬‌‫خاڵی‬‌)1‌(،‌‫گه‬‌‫رمببه‬‌‫كه‬‌‌‫به‬‌(conduction)‫ده‬‌‫گوازرێته‬‌‫وه‬‌.
( )
( )
(
)
For node 6:
‫ڕونكردنه‬‌‫وه‬‌:
‫له‬‌‫خاڵ‬‌)7(‫ه‬‌‫وه‬‌‌‫بۆ‬‌‫خاڵی‬‌)1‌(،‌‫گه‬‌‫رمببه‬‌‫كه‬‌‌‫به‬‌(conduction)‫ده‬‌‫گوازرێته‬‌‫وه‬‌.
‫له‬‌‫خاڵ‬‌)8(‫ه‬‌‫وه‬‌‌‫بۆ‬‌‫خاڵی‬‌)1‌(،‌‫گه‬‌‫رمببه‬‌‫كه‬‌‌‫به‬‌(conduction)‫ده‬‌‫گوازرێته‬‌‫وه‬‌.
‫له‬‌‫خاڵ‬‌)9(‫ه‬‌‫وه‬‌‌‫بۆ‬‌‫خاڵی‬‌)1‌(،‌‫گه‬‌‫رمببه‬‌‫كه‬‌‌‫به‬‌(conduction)‫ده‬‌‫گوازرێته‬‌‫وه‬‌.
74
‫له‬‌‫خاڵ‬‌)16(‫ه‬‌‫وه‬‌‌‫بۆ‬‌‫خاڵی‬‌)1‌(،‌‫گه‬‌‫رمببه‬‌‫كه‬‌‌‫به‬‌(conduction)‫ده‬‌‫گوازرێته‬‌‫وه‬‌.
( )
( )
(
)
Example: write the nodal Equation for points 1,2,4 as shown in the Figure
below.
‫نموون‬‫ه‬:‫بنووسه‬ ‫گرێی‬ ‫هاوكێشهى‬‫ب‬‫ۆ‬‫خا‬‫ڵ‬1,2,4‫دراوە‬ ‫پیشان‬ ‫خوارەوەدا‬ ‫وێنهکهی‬ ‫له‬ ‫ههروەک‬.
75
Answer:
For node 1:
‫سه‬‫ره‬‫پێویسته‬ ‫تا‬‫ڕه‬‫ئه‬ ‫سمی‬‫واته‬ ‫خاڵ‬ ‫و‬‫ئه‬( ‫و‬Node‫ه‬ )‫بکهین‬ ‫دروست‬‌‌‫كه‬‌‫ده‬‌‫مانه‬‌‫وێت‬‌‫هاوكێشه‬‫كه‬‫بۆ‬ ‫ی‬
‫بنوسین‬‌‫پاشان‬‌node‌‫ه‬‌‫كه‬‌‌‫ده‬‌‫كه‬‌‫ینه‬‌‌‫ناو‬‌‫چوارگۆشه‬‌‫یه‬‌‫كه‬‌‫وه‬‌‌‫یان‬‌‫الكێشه‬‌‫یه‬‌‫كه‬‌‫وه‬‌‌‫كه‬‌‌‫بنكه‬‌‫كه‬‌‫ی‬‌)∆x‌‌(‫وه‬‌‌
‫به‬‌‫رزییه‬‌‫كه‬‌‫ی‬‌)∆y‌(‫بێت‬.‫پێویسته‬‌‌‫خاڵه‬‌‫كه‬‌‌‫بكه‬‌‫وێته‬‌‌‫ناوه‬‌‫ندی‬‌‫الكێشه‬‌‫كه‬‌‌‫یا‬‌‫چوار‬‌‫گۆشه‬‌‫كه‬‌‫وه‬‌.
76
‫ڕونكردنه‬‌‫وه‬‌:
‫له‬‌‫خاڵ‬‌)2(‫ه‬‌‫وه‬‌‌‫بۆ‬‌‫خاڵی‬‌)1‌(،‌‫گه‬‌‫رمببه‬‌‫كه‬‌‌‫به‬‌(conduction)‫ده‬‌‫گوازرێته‬‌‫وه‬‌.
‫له‬‌‫خاڵ‬‌)4(‫ه‬‌‫وه‬‌‌‫بۆ‬‌‫خاڵی‬‌)1‌(،‌‫گه‬‌‫رمببه‬‌‫كه‬‌‌‫به‬‌(conduction)‫ده‬‌‫گوازرێته‬‌‫وه‬‌.
•‫گوستنه‬‌‫وه‬‌‫ی‬‌‫گه‬‌‫رمی‬‌‫به‬‌(Conduction)‫ته‬‌‫نها‬‌‫له‬‌‫نێوان‬‌‫خاڵه‬‌‫كاندا‬‌‫ڕوده‬‌‫دات‬‌،‌‫به‬‌‫اڵم‬‌‫گوستنه‬‌‫وه‬‌‫ی‬‌
‫گه‬‌‫رمی‬‌‫به‬‌(Convection)‫ته‬‌‫نها‬‌‫له‬‌‫نێوان‬‌‫هه‬‌‫واكه‬‌‫و‬‌‫ڕووی‬‌‫ده‬‌‫ره‬‌‫وه‬‌‫ی‬‌‫ماده‬‌‫ڕه‬‌‫قه‬‌‫كه‬‌‫دا‬‌‫ڕوده‬‌‫دات‬.
( )
[ ( ) ( ) ( ) ]
( )
77
‫تێبینی‬‌‌:‫له‬‌‫ڕویسه‬‌‫ره‬‌‫وه‬‌‌‫گه‬‌‫رمی‬‌‫ناچێت‬‌‌‫بۆ‬‌‫خاڵی‬‌‌1‌‌‫چونكه‬‌‌‫عه‬‌‫زل‬‌‫كراوه‬‌‌‫وه‬‌‫ته‬‌insulation
For node 2:
‫سه‬‫ره‬‫پێویسته‬ ‫تا‬‫ڕه‬‫ئه‬ ‫سمی‬‫واته‬ ‫خاڵ‬ ‫و‬‫ئه‬( ‫و‬Node‫ه‬ )‫بکهین‬ ‫دروست‬‌‌‫كه‬‌‫ده‬‌‫مانه‬‌‫وێت‬‌‫هاوكێشه‬‫كه‬‫ی‬‫بۆ‬
‫بنوسین‬‌‫پاشان‬node‫ه‬‌‫كه‬‌‌‫ده‬‌‫كه‬‌‫ینه‬‌‌‫ناو‬‌‫چوارگۆشه‬‌‫یه‬‌‫كه‬‌‫وه‬‌‌‫یان‬‌‫الكێشه‬‌‫یه‬‌‫كه‬‌‫وه‬‌‌‫كه‬‌‌‫بنكه‬‌‫كه‬‌‫ی‬(∆x)‌‌‫وه‬‌‌
‫به‬‌‫رزییه‬‌‫كه‬‌‫ی‬(∆y)‌‫بێت‬.‫پێویسته‬‌‌‫خاڵه‬‌‫كه‬‌‌‫بكه‬‌‫وێته‬‌‌‫ناوه‬‌‫ندی‬‌‫الكێشه‬‌‫كه‬‌‌‫یا‬‌‫چوار‬‌‫گۆشه‬‌‫كه‬‌‫وه‬‌.
‫ڕونكردنه‬‌‫وه‬‌:
‫له‬‌‫خاڵ‬‌)1(‫ه‬‌‫وه‬‌‌‫بۆ‬‌‫خاڵی‬‌)2‌(،‌‫گه‬‌‫رمببه‬‌‫كه‬‌‌‫به‬‌(conduction)‫ده‬‌‫گوازرێته‬‌‫وه‬‌.
‫له‬‌‫خاڵ‬‌)3(‫ه‬‌‫وه‬‌‌‫بۆ‬‌‫خاڵی‬‌)2‌(،‌‫گه‬‌‫رمببه‬‌‫كه‬‌‌‫به‬‌(conduction)‫ده‬‌‫گوازرێته‬‌‫وه‬‌.
‫له‬‌‫خاڵ‬‌)5(‫ه‬‌‫وه‬‌‌‫بۆ‬‌‫خاڵی‬‌)2‌(،‌‫گه‬‌‫رمببه‬‌‫كه‬‌‌‫به‬‌(conduction)‫ده‬‌‫گوازرێته‬‌‫وه‬‌.
•‫گوستنه‬‌‫وه‬‌‫ی‬‌‫گه‬‌‫رمی‬‌‫به‬‌(Conduction)‫ته‬‌‫نها‬‌‫له‬‌‫نێوان‬‌‫خاڵه‬‌‫كاندا‬‌‫ڕوده‬‌‫دات‬‌،‌‫به‬‌‫اڵم‬‌‫گوستنه‬‌‫وه‬‌‫ی‬‌
‫گه‬‌‫رمی‬‌‫به‬‌(Convection)‫ته‬‌‫نها‬‌‫له‬‌‫نێوان‬‌‫هه‬‌‫واكه‬‌‫و‬‌‫ڕووی‬‌‫ده‬‌‫ره‬‌‫وه‬‌‫ی‬‌‫ماده‬‌‫ڕه‬‌‫قه‬‌‫كه‬‌‫دا‬‌‫ڕوده‬‌‫دات‬‌.‫لێره‬‌‫دا‬
(Node 2)‫ڕووی‬‌‌‫ده‬‌‫ره‬‌‫وه‬‌‫ی‬‌‫عه‬‌‫زل‬‌‫كراوه‬‌‌‫واته‬‌‌‫هه‬‌‫واكه‬‌‫ی‬‌‫به‬‌‫ر‬‌‫نه‬‌‫كه‬‌‫وتووه‬‌‌‫كه‬‌‫واته‬‌(Convection)‫مان‬‌
‫نییه‬‌.
78
( )
[
] ( )
For node 4:
‫سه‬‫ره‬‫پێویسته‬ ‫تا‬‫ڕه‬‫ئه‬ ‫سمی‬‫واته‬ ‫خاڵ‬ ‫و‬‫ئه‬( ‫و‬Node‫ه‬ )‫بکهین‬ ‫دروست‬‌‌‫كه‬‌‫ده‬‌‫مانه‬‌‫وێت‬‌‫هاوكێشه‬‫كه‬‫بۆ‬ ‫ی‬
‫بنوسین‬‌‫پاشان‬‌node‌‫ه‬‌‫كه‬‌‌‫ده‬‌‫كه‬‌‫ینه‬‌‌‫ناو‬‌‫چوارگۆشه‬‌‫یه‬‌‫كه‬‌‫وه‬‌‌‫یان‬‌‫الكێشه‬‌‫یه‬‌‫كه‬‌‫وه‬‌‌‫كه‬‌‌‫بنكه‬‌‫كه‬‌‫ی‬‌)∆x‌‌(‫وه‬‌‌
‫به‬‌‫رزییه‬‌‫كه‬‌‫ی‬‌)∆y‌(‫بێت‬.‫پێویسته‬‌‌‫خاڵه‬‌‫كه‬‌‌‫بكه‬‌‫وێته‬‌‌‫ناوه‬‌‫ندی‬‌‫الكێشه‬‌‫كه‬‌‌‫یا‬‌‫چوار‬‌‫گۆشه‬‌‫كه‬‌‫وه‬‌.‌
‫ڕونكردنه‬‌‫وه‬‌:
‫له‬‌‫خاڵ‬‌)1(‫ه‬‌‫وه‬‌‌‫بۆ‬‌‫خاڵی‬‌)4‌(،‌‫گه‬‌‫رمببه‬‌‫كه‬‌‌‫به‬‌(conduction)‫ده‬‌‫گوازرێته‬‌‫وه‬‌.
‫له‬‌‫خاڵ‬‌)5(‫ه‬‌‫وه‬‌‌‫بۆ‬‌‫خاڵی‬‌)4‌(،‌‫گه‬‌‫رمببه‬‌‫كه‬‌‌‫به‬‌(conduction)‫ده‬‌‫گوازرێته‬‌‫وه‬‌.
‫له‬‌‫خاڵ‬‌)7(‫ه‬‌‫وه‬‌‌‫بۆ‬‌‫خاڵی‬‌)4‌(،‌‫گه‬‌‫رمببه‬‌‫كه‬‌‌‫به‬‌(conduction)‫ده‬‌‫گوازرێته‬‌‫وه‬‌.
79
‫گوستنه‬‌‫وه‬‌‫ی‬‌‫گه‬‌‫رمی‬‌‫به‬‌(Conduction)‫ته‬‌‫نها‬‌‫له‬‌‫نێوان‬‌‫خاڵه‬‌‫كاندا‬‌‫ڕوده‬‌‫دات‬‌،‌‫به‬‌‫اڵم‬‌‫گوستنه‬‌‫وه‬‌‫ی‬‌‫گه‬‌‫رمی‬‌
‫به‬‌(Convection)‫ته‬‌‫نها‬‌‫له‬‌‫نێوان‬‌‫هه‬‌‫واكه‬‌‫و‬‌‫ڕووی‬‌‫ده‬‌‫ره‬‌‫وه‬‌‫ی‬‌‫ماده‬‌‫ڕه‬‌‫قه‬‌‫كه‬‌‫دا‬‌‫ڕوده‬‌‫دات‬.‌
( )
* ( ) ( ) +
* ( ) ( )
+
Example: write the nodal Equation for node 1 as shown in the Figure below.
‫نموون‬‫ه‬:‫بنووسه‬ ‫گرێی‬ ‫هاوكێشهى‬‫گرێى‬ ‫بۆ‬1‫دراوە‬ ‫پیشان‬ ‫خوارەوەدا‬ ‫وێنهکهی‬ ‫له‬ ‫ههروەک‬.
80
Answer:
For node 1:
‫سه‬‫ره‬‫پێویسته‬ ‫تا‬‫ڕه‬‫ئه‬ ‫سمی‬‫واته‬ ‫خاڵ‬ ‫و‬‫ئه‬( ‫و‬Node‫ه‬ )‫بکهین‬ ‫دروست‬‌‌‫كه‬‌‫ده‬‌‫مانه‬‌‫وێت‬‌‫هاوكێشه‬‫كه‬‫بۆ‬ ‫ی‬
‫بنوسین‬‌‫پاشان‬‌node‌‫ه‬‌‫كه‬‌‌‫ده‬‌‫كه‬‌‫ینه‬‌‌‫ناو‬‌‫چوارگۆشه‬‌‫یه‬‌‫كه‬‌‫وه‬‌‌‫یان‬‌‫الكێشه‬‌‫یه‬‌‫كه‬‌‫وه‬‌‌‫كه‬‌‌‫بنكه‬‌‫كه‬‌‫ی‬‌)∆x‌‌(‫وه‬‌‌
‫به‬‌‫رزییه‬‌‫كه‬‌‫ی‬‌)∆y‌(‫بێت‬.‫پێویسته‬‌‌‫خاڵه‬‌‫كه‬‌‌‫بكه‬‌‫وێته‬‌‌‫ناوه‬‌‫ندی‬‌‫الكێشه‬‌‫كه‬‌‌‫یا‬‌‫چوار‬‌‫گۆشه‬‌‫كه‬‌‫وه‬‌.‌
81
( )
[ ( ) ( ) ( )
( ) ] ( )
Example: write the nodal Equation for node 5 as shown in the Figure below.
‫نموون‬‫ه‬:‫بنووسه‬ ‫گرێی‬ ‫هاوكێشهى‬‫گرێى‬ ‫بۆ‬5‫دراوە‬ ‫پیشان‬ ‫خوارەوەدا‬ ‫وێنهکهی‬ ‫له‬ ‫ههروەک‬.
82
Answer:
For node 5:
‫سه‬‫ره‬‫پێویسته‬ ‫تا‬‫ڕه‬‫ئه‬ ‫سمی‬‫واته‬ ‫خاڵ‬ ‫و‬‫ئه‬( ‫و‬Node‫ه‬ )‫بکهین‬ ‫دروست‬‌‌‫كه‬‌‫ده‬‌‫مانه‬‌‫وێت‬‌‫هاوكێشه‬‫كه‬‫بۆ‬ ‫ی‬
‫بنوسین‬‌‫پاشان‬‌node‌‫ه‬‌‫كه‬‌‌‫ده‬‌‫كه‬‌‫ینه‬‌‌‫ناو‬‌‫چوارگۆشه‬‌‫یه‬‌‫كه‬‌‫وه‬‌‌‫یان‬‌‫الكێشه‬‌‫یه‬‌‫كه‬‌‫وه‬‌‌‫كه‬‌‌‫بنكه‬‌‫كه‬‌‫ی‬‌)∆x‌‌(‫وه‬‌‌
‫به‬‌‫رزییه‬‌‫كه‬‌‫ی‬‌)∆y‌(‫بێت‬.‫پێویسته‬‌‌‫خاڵه‬‌‫كه‬‌‌‫بكه‬‌‫وێته‬‌‌‫ناوه‬‌‫ندی‬‌‫الكێشه‬‌‫كه‬‌‌‫یا‬‌‫چوار‬‌‫گۆشه‬‌‫كه‬‌‫وه‬‌.‌
‌
83
( )
(
)
Example: write the nodal Equation for node 2 as shown in the Figure below.
‫نموون‬‫ه‬:‫بنووسه‬ ‫گرێی‬ ‫هاوكێشهى‬‫گرێى‬ ‫بۆ‬2‫دراوە‬ ‫پیشان‬ ‫خوارەوەدا‬ ‫وێنهکهی‬ ‫له‬ ‫ههروەک‬.
84
Answer:
For node 2:
‫سه‬‫ره‬‫پێویسته‬ ‫تا‬‫ڕه‬‫ئه‬ ‫سمی‬‫واته‬ ‫خاڵ‬ ‫و‬‫ئه‬( ‫و‬Node‫ه‬ )‫بکهین‬ ‫دروست‬‌‌‫كه‬‌‫ده‬‌‫مانه‬‌‫وێت‬‌‫هاوكێشه‬‫كه‬‫بۆ‬ ‫ی‬
‫بنوسین‬‌‫پاشان‬‌node‌‫ه‬‌‫كه‬‌‌‫ده‬‌‫كه‬‌‫ینه‬‌‌‫ناو‬‌‫چوارگۆشه‬‌‫یه‬‌‫كه‬‌‫وه‬‌‌‫یان‬‌‫الكێشه‬‌‫یه‬‌‫كه‬‌‫وه‬‌‌‫كه‬‌‌‫بنكه‬‌‫كه‬‌‫ی‬‌)∆x‌‌(‫وه‬‌‌
‫به‬‌‫رزییه‬‌‫كه‬‌‫ی‬‌)∆y‌(‫بێت‬.‫پێویسته‬‌‌‫خاڵه‬‌‫كه‬‌‌‫بكه‬‌‫وێته‬‌‌‫ناوه‬‌‫ندی‬‌‫الكێشه‬‌‫كه‬‌‌‫یا‬‌‫چوار‬‌‫گۆشه‬‌‫كه‬‌‫وه‬‌.‌
‫ڕونكردنه‬‌‫وه‬‌:
‫له‬‌‫خاڵ‬‌)6(‫ه‬‌‫وه‬‌‌‫بۆ‬‌‫خاڵی‬‌)2‌(،‌‫گه‬‌‫رمببه‬‌‫كه‬‌‌‫به‬‌(conduction)‫ده‬‌‫گوازرێته‬‌‫وه‬‌.
‫له‬‌‫خاڵ‬‌)6(‫ه‬‌‫وه‬‌‌‫بۆ‬‌‫خاڵی‬‌)2‌(،‌‫گه‬‌‫رمببه‬‌‫كه‬‌‌‫به‬‌(conduction)‫ده‬‌‫گوازرێته‬‌‫وه‬‌.
‫گوستنه‬‌‫وه‬‌‫ی‬‌‫گه‬‌‫رمی‬‌‫به‬‌(Conduction)‫ته‬‌‫نها‬‌‫له‬‌‫نێوان‬‌‫خاڵه‬‌‫كاندا‬‌‫ڕوده‬‌‫دات‬‌،‌‫به‬‌‫اڵم‬‌‫گوستنه‬‌‫وه‬‌‫ی‬‌‫گه‬‌‫رمی‬‌
‫به‬‌(Convection)‫ته‬‌‫نها‬‌‫له‬‌‫نێوان‬‌‫هه‬‌‫واكه‬‌‫و‬‌‫ڕووی‬‌‫ده‬‌‫ره‬‌‫وه‬‌‫ی‬‌‫ماده‬‌‫ڕه‬‌‫قه‬‌‫كه‬‌‫دا‬‌‫ڕوده‬‌‫دات‬.
‫پێویسته‬‌‌‫كه‬‌‌‫درێژی‬(AB)‫بدۆزینه‬‌‫وه‬‌‌‫چونكه‬‌‌‫له‬‌‫وو‬‌‫ڕویه‬‌‫یه‬‌‫وه‬‌(Convection)‫ڕوده‬‌‫دات‬.
‫یاسای‬‌‫فیساگۆرس‬‌‫به‬‌‫كارده‬‌‫هێنین‬‌‫بۆ‬‌‫دۆزینه‬‌‫وه‬‌‫ی‬‌‫درێژی‬(AB).‌
‫یاسای‬‌‫فیساگۆرس‬‌‌:
√
‌
85
( )
[ ]
( )
[ (√ )
]
( )
Example: write the nodal Equation for node 1 as shown in the Figure below.
‫نموون‬‫ه‬:‫بنووسه‬ ‫گرێی‬ ‫هاوكێشهى‬‫گرێى‬ ‫بۆ‬1‫دراوە‬ ‫پیشان‬ ‫خوارەوەدا‬ ‫وێنهکهی‬ ‫له‬ ‫ههروەک‬.
86
Answer:
For node 1:
‫سه‬‫ره‬‫پێویسته‬ ‫تا‬‫ڕه‬‫ئه‬ ‫سمی‬‫واته‬ ‫خاڵ‬ ‫و‬‫ئه‬( ‫و‬Node‫ه‬ )‫بکهین‬ ‫دروست‬‌‌‫كه‬‌‫ده‬‌‫مانه‬‌‫وێت‬‌‫هاوكێشه‬‫كه‬‫بۆ‬ ‫ی‬
‫بنوسین‬‌‫پاشان‬‌node‌‫ه‬‌‫كه‬‌‌‫ده‬‌‫كه‬‌‫ینه‬‌‌‫ناو‬‌‫چوارگۆشه‬‌‫یه‬‌‫كه‬‌‫وه‬‌‌‫یان‬‌‫الكێشه‬‌‫یه‬‌‫كه‬‌‫وه‬‌‌‫كه‬‌‌‫بنكه‬‌‫كه‬‌‫ی‬‌)∆x‌‌(‫وه‬‌‌
‫به‬‌‫رزییه‬‌‫كه‬‌‫ی‬‌)∆y‌(‫بێت‬.‫پێویسته‬‌‌‫خاڵه‬‌‫كه‬‌‌‫بكه‬‌‫وێته‬‌‌‫ناوه‬‌‫ندی‬‌‫الكێشه‬‌‫كه‬‌‌‫یا‬‌‫چوار‬‌‫گۆشه‬‌‫كه‬‌‫وه‬‌.‌
‫ڕونكردنه‬‌‫وه‬‌:
87
‫له‬‌‫خاڵ‬‌)6(‫ه‬‌‫وه‬‌‌‫بۆ‬‌‫خاڵی‬‌)1‌(،‌‫گه‬‌‫رمببه‬‌‫كه‬‌‌‫به‬‌‌)conduction‌(‫ده‬‌‫گوازرێته‬‌‫وه‬‌.
‫گوستنه‬‌‫وه‬‌‫ی‬‌‫گه‬‌‫رمی‬‌‫به‬‌‌)Conduction‌‌(‫ته‬‌‫نها‬‌‫له‬‌‫نێوان‬‌‫خاڵه‬‌‫كاندا‬‌‫ڕوده‬‌‫دات‬‌،‌‫به‬‌‫اڵم‬‌‫گوستنه‬‌‫وه‬‌‫ی‬‌‫گه‬‌‫رمی‬‌
‫به‬‌‌)Convection‌‌(‫ته‬‌‫نها‬‌‫له‬‌‫نێوان‬‌‫هه‬‌‫واكه‬‌‫و‬‌‫ڕووی‬‌‫ده‬‌‫ره‬‌‫وه‬‌‫ی‬‌‫ماده‬‌‫ڕه‬‌‫قه‬‌‫كه‬‌‫دا‬‌‫ڕوده‬‌‫دات‬.
‫پێویسته‬‌‌‫كه‬‌‌‫درێژی‬‌)AB‌(‫بدۆزینه‬‌‫وه‬‌‌‫چونكه‬‌‌‫له‬‌‫وو‬‌‫ڕویه‬‌‫یه‬‌‫وه‬‌‌)Convection‌(‫ڕوده‬‌‫دات‬‌.
‫یاسای‬‌‫فیساگۆرس‬‌‫به‬‌‫كارده‬‌‫هێنین‬‌‫بۆ‬‌‫دۆزینه‬‌‫وه‬‌‫ی‬‌‫درێژی‬‌)AB.(‌
‌
‫یاسای‬‌‫فیساگۆرس‬‌‌:
√
‌
( )
[ ( ) ]
( )
88
* ( )
(√ ) +
( )
Chapter 4 ‫ث‬‫ە‬‫ظ‬٤
Unsteady state conduction ‫گهیاندن‬ ‫ناجێگیری‬ ‫حاڵهتی‬
89
The process of heat transfer by conduction where the temperature varies with
time and with space coordinates, is called unsteady or transient.
‫كردارى‬‫بهگهیاندن‬ ‫گهرمى‬ ‫گواستنهوەی‬‫لهویادا‬‫لهگهڵ‬ ‫و‬ ‫كات‬ ‫لهگهڵ‬ ‫دەگۆڕێت‬ ‫گهرمیهكه‬ ‫پلهى‬
‫پۆتانهکانی‬‫بۆشای‬‫دا‬،‫کاتی‬ ‫یان‬ ‫ناجێگیر‬ ‫دەوترێت‬ ‫پێی‬.
‌
‌
‌
‫حاڵتی‬‌‫یه‬‌‫كه‬‌‫م‬‌:Lumped Capacity‌
Page 57 in the Data Book
90
‫حاڵه‬‌‫تی‬‌‫یه‬‌‫كه‬‌‫م‬‌‫به‬‌‫دوو‬‌‫خاڵدا‬‌‫ده‬‌‫ناسینه‬‌‫وه‬‌:
1.‌‫پرساره‬‌‫كه‬‌‌‫داوات‬‌‫لێناكات‬‌‫له‬‌‌‫چ‬‌‫شوێنێكی‬‌‫جسمه‬‌‫كه‬‌،‫دا‬‌‫چونكه‬‌‌‫له‬‌‌‫هه‬‌‫موو‬‌‫شوێنێكی‬‌‫جسمه‬‌‫كه‬‌‫دا‬‌‫پله‬‌‫ی‬‌
‫گه‬‌‫رمی‬‌‫یه‬‌‫كسانه‬‌.
2.‌‌‫قه‬‌‫باره‬‌‫ی‬‌‫جسمه‬‌‫كه‬‌‌volume‌‫ه‬‌‫ی‬‌‫وه‬‌‌‫ڕوبه‬‌‫ره‬‌‫كه‬‌‫ی‬‌Area‌‌‫ه‬‌‫ی‬‌‫زانراوه‬‌‌‫یان‬‌‫خۆمان‬‌‫ده‬‌‫توانین‬‌
‫بیدۆزینه‬‌‫وه‬‌.
‫پرسیاره‬‌‫كه‬‌‌‫به‬‌‫هۆی‬‌‫ئه‬‌‫م‬‌‫یاسایه‬‌‫وه‬‌‌‫شیكارده‬‌‫كه‬‌‫ین‬‌
[
𝜌
]
‌‌
‌
‌
‌
‌
‌
‌
‌
‌
‌
‌
Example: a thermocouple junction, which may be approximated as a sphere,
is to be used for temperature measurement in a gas. The h between the
91
junction surface and the gas is With the junction properties are
K=20W/mK,
‫نموون‬‫ه‬:‫گهرمی‬ ‫دوانهیهکی‬،‫که‬‫گۆییه‬ ‫شێوە‬ ‫تاڕادەیهک‬،‫ب‬‫ه‬‫كار‬‫دە‬‫ه‬‫ێ‬‫نر‬‫ێ‬‫ت‬‫ب‬‫ۆ‬‫پ‬‫ێ‬‫وانى‬‫پل‬‫ه‬‫ى‬‫گ‬‫ه‬‫رمى‬‫ل‬‫ه‬
‫گاز‬‫ێ‬‫ك‬‫دا‬.(h)‫ل‬‫ه‬‫ن‬‫ێ‬‫وان‬‫ڕ‬‫وو‬‫ە‬‫ك‬‫ه‬‫ى‬‫و‬‫گاز‬‫ە‬‫ك‬‫ه‬‫دا‬()‫ە‬.‫ل‬‫ه‬‫گ‬‫هڵ‬‫تایب‬‫ه‬‫تم‬‫ه‬‫ندی‬‫ه‬‫ك‬‫ه‬‫ى‬‫س‬‫ه‬‫رى‬
‫دوور‬‫ێ‬‫کهدا‬(K=20W/mK)،
and density 8500kg/ .If thermocouple junction
diameter assumed to be 0.7mm, how long will it take for the junction to reach
199℃ , If junction temperature is at 25℃ and placed in a gas steam that is at
200℃
Given: h = , Thermal conductivity= K=20W/mK,
, density =𝜌 8500kg/ junction diameter = 0.7mm
, , Initaial temperature =25℃ , fluid
temperature= =20℃
Solution:
‫له‬‌‫به‬‌‫ر‬‌‫ئه‬‌‫وه‬‌‫ی‬‌‫باسی‬‌‫شوێنی‬‌‫نه‬‌‫كردوو‬‌‫كه‬‌‫واته‬‌‌‫ئه‬‌‫مه‬‌‌‫حاڵتی‬‌‫یه‬‌‫كه‬‌‫مه‬‌Lumped Capacity
From page 57 in the Data Book:
[
𝜌
]
92
[
𝜌
]
( )
Taking logarithms for both sides
‌
‌
‌
‌
‌
‌
‌
‌
‌
‌
93
‫حاڵه‬‌‫تی‬‌‫دووه‬‌‫م‬:Semi Infinite with error function
‫حاڵتی‬‌‫دووه‬‌‫م‬‌‫به‬‌‫دوو‬‌‫خاڵدا‬‌‫ده‬‌‫ناسینه‬‌‫وه‬‌:
‌‫پرساره‬‌‫كه‬‌‌‫هیچ‬‌‫قیاساتێكی‬‌‫جسمه‬‌‫كه‬‌‫مان‬‌‫ناداتێ‬‌‌.‫وه‬‌‌‫له‬‌‫ناكاو‬‌‫پله‬‌‫ی‬‌‫گه‬‌‫رمی‬‌‫جسمه‬‌‫كه‬‌‌‫ده‬‌‫ت‬َ‫گۆر‬‌.‫یان‬‌
‫ده‬‌‫ڵێت‬‌‫ئه‬‌‫وه‬‌‫نده‬‌‌‫گه‬‌‫رمی‬‌flux‌‫مان‬‌‫پێدا‬‌‫كه‬‌‌‫ئم‬‌‫بڕه‬‌‌‫گه‬‌‫رمییه‬‌‌‫بریتییه‬‌‌‫له‬‌‌q^./A
‌‌‫پرسیاره‬‌‫كه‬‌‌‫به‬‌‫هیچ‬‌‫شێوه‬‌‫یه‬‌‫ك‬‌‫باسی‬‌fluid‌‌‫ناكات‬.
‫پرسیاره‬‌‫كه‬‌‌‫به‬‌‫هۆی‬‌‫ئه‬‌‫م‬‌‫یاسایه‬‌‫وه‬‌‌‫شیكارده‬‌‫كه‬‌‫ین‬:‌
√
at page 58 in the Data Book‌
‌
Example: A thick concrete wall fairly large in size initially at 30℃ suddenly has
its surface temperature increased to 600℃ . Determine the depth at which
the temperature become 400℃ after 25 minutes. Thermal diffusivity is
4.92* /s and K=1.28 W/mK.
‫نموون‬‫ه‬:‫دیوار‬‫کۆنکرێتی‬ ‫ێکی‬‫ئ‬‫ه‬‫ستور‬‫تا‬‫ڕ‬‫اد‬‫ە‬‫ی‬‫ه‬‫ك‬‫زل‬‫ل‬‫ه‬‫ق‬‫ه‬‫بار‬‫ە‬‫دا‬‫س‬‫ه‬‫ر‬‫ە‬‫تا‬‫ل‬‫ه‬(30℃)‫ل‬‫ه‬‫پ‬‫ڕ‬‫پل‬‫ه‬‫ى‬
‫گ‬‫ه‬‫رمییى‬‫ڕ‬‫وو‬‫ەکهی‬‫زیاد‬‫کرا‬‫ب‬‫ۆ‬(600℃).‫قوو‬‫ڵ‬‫ی‬‫ه‬‫ك‬‫ه‬‫دیارى‬‫بك‬‫ه‬‫ك‬‫ه‬‫پل‬‫ه‬‫ى‬‫گ‬‫ه‬‫رم‬‫به‬ ‫دەبێت‬ ‫تیادا‬ ‫ی‬
(400℃)‫دوای‬25‫خول‬‫ه‬‫ك‬.4.92* /s‫وە‬K=1.28 W/mK.
Given: Initaial temperature =30 ℃ , surface temperature= 600℃ T x
=400℃ , Thermal diffusivity 4.92* /s,Thermal conductivity=
K=1.28 W/mK
Solution:
94
‫له‬‌‫به‬‌‫ر‬‌‫ئه‬‌‫وه‬‌‫ی‬‌‫هیچ‬‌‫دوریه‬‌‫ك‬‌dimension‌‫كی‬‌‫جسمه‬‌‫كه‬‌‌‫نه‬‌‫دراوه‬‌‌‫وه‬‌‌‫باسی‬‌fluid‌‫ی‬‌‫نه‬‌‫كردووه‬‌‌‫كه‬‌‫واته‬‌‌‫ئه‬‌‫مه‬‌‌
‫حاڵتی‬‌‫دووه‬‌‫مه‬‌‌
Semi Infinite with error function
From page 58 in the Data Book:
√
√
According to the table from page 59 in the Data Book:
‫له‬‌‌column‌‌‫ی‬‌‫یه‬‌‫كه‬‌‫مدا‬‌‫سه‬‌‫یر‬‌‫ده‬‌‫كه‬‌‫ین‬‌‫له‬‌‫ژێر‬‌erf(z)‌‌‌‫دا‬‌‫هاتا‬‌6.35‌‫ده‬‌‫دۆزینه‬‌‫وه‬‌‌‫ده‬‌‫بینین‬‌‫له‬‌‫ستونی‬‌
‫یه‬‌‫كه‬‌‫مدا‬‌‫له‬‌‫پێش‬‌‫ڕیزی‬‌‫كۆتایدا‬‌6.35928‌‫نوسراوه‬‌‌‫كه‬‌‫زۆر‬‌‫نزیكه‬‌‌‫له‬‌‌6.35‌‫كه‬‌‫واته‬‌‌‫ئه‬‌‫و‬‌‫ژماره‬‌‫یه‬‌‌
‫هه‬‌‫ڵده‬‌‫بژێرین‬‌‫كه‬‌‌‫له‬‌‌‫ته‬‌‫نیشتیا‬‌‫نوسراوه‬‌‌‫كه‬‌‌‫بریتیه‬‌‌‫له‬‌‌6.33‌‫وه‬‌‌‫ئه‬‌‫مه‬‌‫ش‬‌‫نرخی‬‌)z‌(‫ه‬‌‫كه‬‌‫مانه‬‌‌‫ئه‬‌‫مه‬‌‌‫ده‬‌‫خه‬‌‫ینه‬‌‌‫ناو‬‌
‫هاوكێشه‬‌‫ی‬‌‫یه‬‌‫كه‬‌‫مه‬‌‫وه‬‌.‌
The depth= x=0.01782 m=1.782 cm (Answer)
‌
95
‌
‌
‫حاڵه‬‌‫تی‬‌‫سێ‬‌‌‫یه‬‌‫م‬:Semi Infinite with Convection Boundary condition
‫حاڵه‬‌‫تی‬‌‫سێ‬‌‌‫یه‬‌‫م‬‌‫به‬‌‫دوو‬‌‫خاڵدا‬‌‫ده‬‌‫ناسینه‬‌‫وه‬‌:
‌‫پرساره‬‌‫كه‬‌‌‫هیچ‬‌‫قیاساتێكی‬‌‫جسمه‬‌‫كه‬‌‫مان‬‌‫ناداتێ‬‌‌.‫وه‬‌‌‫له‬‌‫ناكاو‬‌‫پله‬‌‫ی‬‌‫گه‬‌‫رمی‬‌‫جسمه‬‌‫كه‬‌‌‫ده‬‌‫ت‬َ‫گۆر‬‌.‫یان‬‌
‫ده‬‌‫ڵێت‬‌‫ئه‬‌‫وه‬‌‫نده‬‌‌‫گه‬‌‫رمی‬‌flux‌‫مان‬‌‫پێدا‬‌‫كه‬‌‌‫ئم‬‌‫بڕه‬‌‌‫گه‬‌‫رمییه‬‌‌‫بریتییه‬‌‌‫له‬‌‌q^./A
‌‌‫پرسیاره‬‌‫كه‬‌‌‫باسی‬‌fluid‌‌‫ده‬‌‫كات‬‌.‫وه‬‌‌h‌‫ه‬‌‫كه‬‌‫یو‬‌‫پله‬‌‌‫گه‬‌‫رمییه‬‌‫كه‬‌‫ی‬‌T‌‌∞_‫باسكراوه‬‌.
‫پرسیاره‬‌‫كه‬‌‌‫به‬‌‫هۆی‬‌‫ئه‬‌‫م‬‌‌Chart‌‫ه‬‌‫وه‬‌‫شیكار‬‌‫ده‬‌‫كه‬‌‫ین‬:‌
96
‫جیاوازی‬‌‫حاڵه‬‌‫تی‬‌‫سێ‬‌‌‫یه‬‌‫م‬‌‫له‬‌‫گه‬‌‫ڵ‬‌‫حاڵه‬‌‫ته‬‌‫ی‬‌‌‫چواره‬‌‫مدا‬‌‫ته‬‌‫نها‬‌‫ئه‬‌‫وه‬‌‫یه‬‌‌‫كه‬‌‌‫له‬‌‌‫حاڵه‬‌‫تی‬‌‫سێ‬‌‌‫یه‬‌‫مدا‬‌‫پرساره‬‌‫كه‬‌‌
‫باسی‬)Fluid‌(‫ناكات‬‌‫به‬‌‫اڵم‬‌‫له‬‌‌‫حاڵه‬‌‫ته‬‌‫ی‬‌‌‫چواره‬‌‫مدا‬‌‫جسمه‬‌‫كه‬‌‌)Fluid‌(‫ی‬‌‫له‬‌‫گه‬‌‫ڵدایه‬‌.‫وه‬‌‫به‬‌‫وه‬‌‫دا‬‌‫ده‬‌‫زانین‬‌‫كه‬‌‌
Fluid‌‫ی‬‌‫له‬‌‫گه‬‌‫ڵدایه‬‌‫كه‬‌‌‌)h‌(‫ه‬‌‫كه‬‌‫ی‬‌‫یان‬‌‫پله‬‌‫ی‬‌‫گه‬‌‫رمی‬‌Fluid‫ه‬‌‫كه‬‌‌‫باسكراوه‬‌.
‫له‬‌‌‫حاڵه‬‌‫تی‬‌‫سێ‬‌‌‫یه‬‌‫مدا‬‌‫دوو‬‌‫جۆر‬‌‫پرسیارهه‬‌‫یه‬‌‫كه‬‌‌‫هه‬‌‫ریه‬‌‫كه‬‌‫یان‬‌‫به‬‌‫شێوازێك‬‌‫شیكارده‬‌‫كرێن‬‌‫به‬‌‫اڵم‬‌‫هه‬‌‫دوو‬‌
‫شێوازه‬‌‫كه‬‌‌‫به‬‌‫هۆی‬‌chart‌‫ی‬‌‫الپه‬‌‫ڕه‬‌‌66‌‫ه‬‌‫وه‬‌‌‫شیكار‬‌‫ده‬‌‫كرێن‬:
‌‫ئه‬‌‫گه‬‌‫ر‬‌‫له‬‌‫پرسیاره‬‌‫كه‬‌‫دا‬‌‫كاته‬‌‫كه‬‌)time‌‌(‫درابوو‬.
‌‫ئه‬‌‫گه‬‌‫ر‬‌‫له‬‌‫پرسیاره‬‌‫كه‬‌‫دا‬‌‫كاته‬‌‫كه‬‌)time‌‌(‫نه‬‌‌‫درابوو‬.
‌‫ئه‬‌‫گه‬‌‫ر‬‌‫له‬‌‫پرسیاره‬‌‫كه‬‌‫دا‬‌‫كاته‬‌‫كه‬‌)time‌‌(‫درابوو‬:
‫ئه‬‌‫وا‬‌‫داوای‬‌‫دۆزینه‬‌‫وه‬‌‫ی‬‌‫پله‬‌‫ی‬‌‫گه‬‌‫رمی‬‌‫ده‬‌‫كات‬‌‫له‬‌‌x‌‫دا‬‌‫یان‬‌‫به‬‌‫پێچه‬‌‫وانه‬‌‫وه‬‌‌‫داوای‬‌‫دۆزینه‬‌‫وه‬‌‫ی‬‌x‌‫ده‬‌‫كات‬‌
‫له‬‌‫پاه‬‌‫یه‬‌‫كی‬‌‫گه‬‌‫رمی‬‌‫دا‬)T‌(،‌‫ئه‬‌‫گه‬‌‫ر‬‌)T‌(‫درابوو‬‌‫ده‬‌‫بێت‬‌‫سه‬‌‫ره‬‌‫تا‬‌Y-axis‌‫بدۆزینه‬‌‫وه‬‌‫كه‬‌‌‫ده‬‌‫كاته‬‌‌‫ژماره‬‌‫یه‬‌‫ك‬‌
‫پاشان‬‌curve‌‫ه‬‌‫كه‬‌‌‫به‬‌‫م‬‌‫هاكێشه‬‌‫یه‬‌‌
√
‌‫ده‬‌‫دۆزینه‬‌‫وه‬‌‫كه‬‌‌‫ئه‬‌‫میش‬‌‫ده‬‌‫كاته‬‌‌‫ژماره‬‌‫یه‬‌‫كی‬‌،‫تر‬‌‫ئیمه‬‌‌‫ژماره‬‌‫كه‬‌‫ی‬‌Y-
axis‌‫ئیصقات‬‌‫ده‬‌‫كه‬‌‫ین‬‌‫بۆ‬‌‫سه‬‌‫ر‬‌curve‌‫ه‬‌‫كه‬‌‌‫وه‬‌‌‫له‬‌‫كویادا‬‌curve‌‫ه‬‌‫كه‬‌‫ی‬‌‫بڕی‬‌‫ئه‬‌‫وا‬‌‫ئوخاڵ‬‌‫ئیصقات‬‌‫ده‬‌‫كه‬‌‫ین‬‌
‫بۆ‬‌‫سه‬‌‫ر‬‌X-axis‌‫كه‬‌‌‫له‬‌‌‫ژماره‬‌‫یه‬‌‫كدا‬‌‫ده‬‌‫ی‬‌‫بڕیت‬.‫وه‬‌‫ئه‬‌‫م‬‌‫ژماره‬‌‫یه‬‌‌‫یه‬‌‫كسانه‬‌‌‫هاوكێشه‬‌‫كه‬‌‫ی‬‌‫ژێر‬‌X-axis‌
‫كه‬‌‫بریتییه‬‌‫له‬‌
√
‌‌‌‌.‫به‬‌‫اڵم‬‌‫ئه‬‌‫گه‬‌‫ر‬‌‫داوای‬‌‫دۆزینه‬‌‫وه‬‌‫ی‬‌‫پله‬‌‫ی‬‌‫گه‬‌‫رمی‬‌‫كردبوو‬‌‫له‬‌‌x‌‫دا‬‌‫ئه‬‌‫وا‬‌‫ئه‬‌‫م‬‌‫هه‬‌‫نگاوانه‬‌‫ی‬‌
‫كه‬‌‌‫باسمان‬‌‫كرد‬‌‫پێچه‬‌‫وانه‬‌‫ی‬‌‫ده‬‌‫كه‬‌‫ینه‬‌‫وه‬‌‌‫واته‬‌‌‫یه‬‌‫كه‬‌‫م‬‌‫جار‬‌X-axis‌‫ده‬‌‫دۆزینه‬‌‫وه‬‌‫كه‬‌‌‫پاشان‬‌curve‌‫ه‬‌‫كه‬‌‌‫به‬‌‫م‬‌
‫هاكێشه‬‌‫یه‬‌‌‌
√
‌‫ده‬‌‫دۆزینه‬‌‫وه‬‌‌،‌‫ئیمه‬‌‌‫ژماره‬‌‫كه‬‌‫ی‬‌X-axis‌‫ئیصقات‬‌‫ده‬‌‫كه‬‌‫ین‬‌‫بۆ‬‌‫سه‬‌‫ر‬‌curve‌‫ه‬‌‫كه‬‌‌‫وه‬‌‌‫له‬‌‫كویادا‬‌
curve‌‫ه‬‌‫كه‬‌‫ی‬‌‫بڕی‬‌‫ئه‬‌‫وا‬‌‫ئه‬‌‫وخاڵ‬‌‫ئیصقات‬‌‫ده‬‌‫كه‬‌‫ین‬‌‫بۆ‬‌‫سه‬‌‫ر‬‌Y-axis‌‫كه‬‌‌‫له‬‌‌‫ژماره‬‌‫یه‬‌‫كدا‬‌‫ده‬‌‫ی‬‌‫بڕیت‬.‫وه‬‌‫ئه‬‌‫م‬‌
‫ژماره‬‌‫یه‬‌‌‫یه‬‌‫كسانه‬‌‌‫به‬‌‌‫هاوكێشه‬‌‫كه‬‌‌‫ی‬‌Y-axis‌
‌‫ئه‬‌‫گه‬‌‫ر‬‌‫له‬‌‫پرسیاره‬‌‫كه‬‌‫دا‬‌‫كاته‬‌‫كه‬‌)time‌‌(‫نه‬‌‌‫درابوو‬‌.‫ده‬‌‫بێت‬‌‫سه‬‌‫ره‬‌‫تا‬‌Y-axis‌‫بدۆزینه‬‌‫وه‬‌‫كه‬‌‌‫ده‬‌‫كاته‬‌‌
‫ژماره‬‌‫یه‬‌‫ك‬‌‫پاشان‬‌‫خۆمان‬‌‫كاتێك‬‌‫به‬‌‫گریمان‬‌‫داده‬‌‫نێین‬‌‫واته‬‌‌assume‌‫ی‬‌‫ده‬‌‫كه‬‌‫ین‬‌‫دواتر‬‌X-axis‌‫ده‬‌‫دۆزینه‬‌‫وه‬‌‌
‫وه‬‌‌‫پاشان‬‌curve‌‫ه‬‌‫كه‬‌‌‫به‬‌‫م‬‌‫هاكێشه‬‌‫یه‬‌‌‌
√
‌‫ده‬‌‫دۆزینه‬‌‫وه‬‌‌،‌‫ئیمه‬‌‌‫ژماره‬‌‫كه‬‌‫ی‬‌X-axis‌‫ئیصقات‬‌‫ده‬‌‫كه‬‌‫ین‬‌‫بۆ‬‌
97
‫سه‬‌‫ر‬‌curve‌‫ه‬‌‫كه‬‌‌‫وه‬‌‌‫له‬‌‫كویادا‬‌curve‌‫ه‬‌‫كه‬‌‫ی‬‌‫بڕی‬‌‫ئه‬‌‫وا‬‌‫ئه‬‌‫وخاڵ‬‌‫ئیصقات‬‌‫ده‬‌‫كه‬‌‫ین‬‌‫بۆ‬‌‫سه‬‌‫ر‬‌Y-axis‌‫كه‬‌‌‫له‬‌‌
‫ژماره‬‌‫یه‬‌‫كدا‬‌‫ده‬‌‫ی‬‌‫بڕیت‬.‫وه‬‌‫ئه‬‌‫م‬‌‫ژماره‬‌‫یه‬‌‌‫له‬‌‫گه‬‌‫ڵ‬‌‫ژماره‬‌‫كه‬‌‫ی‬‌‫تری‬‌Y-axis‌‫دا‬‌‫به‬‌‫راورده‬‌‫كه‬‌‫ین‬‌‫كه‬‌‫یه‬‌‫كه‬‌‫م‬‌‫جار‬‌
‫دۆزیمانه‬‌‫وه‬‌‌‫ده‬‌‫بێ‬‌‫بزانین‬‌‫ئه‬‌‫م‬‌‫دووژماره‬‌‫یه‬‌‌‫له‬‌‫یه‬‌‫كه‬‌‫وه‬‌‌‫نزیكن‬‌‫یان‬‌‫دورن‬‌،‌‫ئه‬‌‫گه‬‌‫ر‬‌‫دوربوون‬‌‫له‬‌‫یه‬‌‫كه‬‌‫وه‬‌‌‫ئه‬‌‫وا‬‌
‫ده‬‌‫بێت‬‌‫سه‬‌‫رله‬‌‫نوێ‬‌‌‫كاتێكی‬‌‫تر‬‌‫به‬‌‫گریماندا‬‌‫بنێینه‬‌‫وه‬‌‫و‬‌‫هه‬‌‫مان‬‌‫هانگاوه‬‌‫كانی‬‌‫پێشودوباره‬‌‫ده‬‌‫كه‬‌‫ینه‬‌‫وه‬‌‌‫هه‬‌‫تا‬‌
‫ژماره‬‌‫یه‬‌‫كمان‬‌‫ده‬‌‫ست‬‌‫ده‬‌‫كه‬‌‫وێت‬‌‫یه‬‌‫كسان‬‌‫ده‬‌‫بێت‬‌‫به‬‌‫ژماره‬‌‌‫ئه‬‌‫صڵییه‬‌‫كه‬‌‫ی‬‌Y-axis.‌
Example: a steel ingot (large in size) heated uniformly to 415℃ is hardened by
quenching it in an engine oil maintain at 20℃ with ℃.
Determine the time required for the temperature to reach 595℃ at a depth of
12mm. Steel has those properties 𝜌
℃. The ingot may be approximated as a large flat plate.
‫نموون‬‫ه‬:‫دا‬‫ڕ‬‫شت‬‫ه‬‫ی‬‫ێ‬‫كى‬‫پ‬‫ۆاڵ‬(‫زل‬‫ل‬‫ه‬‫ق‬‫ه‬‫بار‬‫ە‬)‫چونیهک‬ ‫شێوەیهکی‬ ‫به‬‫گ‬‫ه‬‫رم‬‫كر‬‫ا‬‫ب‬‫ۆ‬(415℃)‫پت‬‫ه‬‫و‬‫كرا‬‫به‬
‫تێههڵکێشانی‬‫ل‬‫ه‬‫ڕۆ‬‫ن‬‫ێ‬‫كى‬‫بزو‬‫ێ‬‫ن‬‫ه‬‫ر‬‫دا‬‫ه‬‫ێڵ‬‫را‬‫و‬‫ە‬‫تهوە‬‫ل‬‫ه‬(20℃)‫به‬(℃).‫كات‬‫ی‬
‫پ‬‫ێ‬‫ویست‬‫دیارى‬‫بك‬‫ه‬‫ب‬‫ۆ‬‫ئهوەی‬‫پل‬‫ه‬‫ى‬‫گ‬‫ه‬‫رم‬‫بگاته‬ ‫ی‬(595℃)‫ل‬‫ه‬‫قوو‬‫ڵ‬‫ى‬(12mm)‫دا‬.‫پ‬‫ۆاڵ‬‫ئهو‬
‫تایب‬‫ه‬‫تم‬‫ه‬‫ند‬‫ههیه‬ ‫یانهی‬𝜌 ℃‫دا‬‫ڕ‬‫شت‬‫ه‬‫که‬
‫ل‬‫ه‬‫وان‬‫ه‬‫ی‬‫ه‬‫تاڕادەیهک‬‫و‬‫ە‬‫ك‬‫بێت‬ ‫گهورە‬ ‫تهختی‬ ‫پلێتێکی‬.
Given: Initaial temperature =415 ℃ , fluid temperature= 20℃ T
=595℃ , depth x= 12mm= 0.012m. 𝜌
℃
Solution:
‫له‬‌‫به‬‌‫ر‬‌‫ئه‬‌‫وه‬‌‫ی‬‌‫هیچ‬‌‫دوریه‬‌‫ك‬‌)dimension‌(‫كی‬‌‫جسمه‬‌‫كه‬‌‌‫نه‬‌‫دراوه‬‌،‌‫وه‬‌‌‫باسی‬‌fluid‌‫كراوه‬‌‌‫كه‬‌‫واته‬‌‌‫ئه‬‌‫مه‬‌‌
‫حاڵتی‬‌‫سێ‬‌‌‫یه‬‌‫مه‬‌.‌
‌
‌
98
Semi infinite with convection boundary condition.
From page 60 in the Data Book:‌
‫بێسنوور‬ ‫نیمچه‬‫دەوروبهر‬ ‫ههڵگرتنی‬ ‫مهرجی‬ ‫لهگهڵ‬.
‫الپهڕەوە‬ ‫له‬٦٦‫زانیارى‬ ‫كتێبهكهى‬ ‫له‬:
‫حاڵتی‬‌‫چواره‬‌‫م‬‌:Infinite Solid
‫حاڵتی‬‌‫چواره‬‌‫م‬‌‫له‬‌‌‫سێ‬‌‌‫جۆر‬‌‫پێكهاتووه‬‌‌.‫كه‬‌‌‫هه‬‌‫ر‬‌‫سێ‬‌‌‫جۆره‬‌‫كه‬‌‫شی‬‌‫به‬‌‌Heisler chart‌‌‫شیكارده‬‌‫كرێن‬‌
‫وه‬‌‫ئه‬‌‫مه‬‌‫ش‬‌‫هه‬‌‫ر‬‌‫سێ‬‌‌‫جۆره‬‌‫كه‬‌‫یه‬‌‫تی‬.
1. Infinite plate
2. Long cylinder
3. Sphere
‌
1. Infinite plate
‫پلێنێكه‬‌‌‫پانیه‬‌‫كه‬‌‫ی‬‌‫زانراوه‬‌‌،‌‫كه‬‌‌‫پانییه‬‌‫كه‬‌‫ی‬‌‫ده‬‌‫كاته‬‌‌)2L‌ (‫وه‬‌‌)x‌ (‫له‬‌‫ناوه‬‌‫ڕاستی‬‌‫پلێته‬‌‫كه‬‌‫وه‬‌‌‫پێوراوه‬‌‌.
‫وه‬‌‫هه‬‌‫ردوالی‬‌‫پلێته‬‌‫كه‬‌‌convection‌‫ده‬‌‫كات‬‌‫له‬‌‫گه‬‌‫ڵ‬‌‫شلگازێكدا‬‌‫واته‬‌‌‫له‬‌‫گه‬‌‫ڵ‬‌)Fluid‌ (‫كدا‬‌ .‫پرسیاره‬‌‫كه‬‌‌
‫داوه‬‌‫ی‬‌‫دۆزینه‬‌‫وه‬‌‫ی‬‌‫پله‬‌‫ی‬‌‫گه‬‌‫رمی‬‌‫ده‬‌‫كات‬‌‫له‬‌‌‫ناوه‬‌‫ڕاستی‬‌‫پلێته‬‌‫كه‬‌‫دا‬‌‫یان‬‌‫له‬‌‌‫دوورییه‬‌‫كی‬‌‫زانراو‬‌‫له‬‌‌‫ناوه‬‌‫ڕاستی‬‌
‫پلێته‬‌‫كه‬‌‫وه‬‌‌‫له‬‌‫دوای‬‌‫كاتێكی‬‌‫دیاریكراو‬‌‫یان‬‌‫به‬‌‫پێچه‬‌‫وانه‬‌‫وه‬‌.‌
‫ئه‬‌‫گه‬‌‫ر‬‌‫داوه‬‌‫ی‬‌‫دۆزینه‬‌‫وه‬‌‫ی‬‌‫پله‬‌‫ی‬‌‫گه‬‌‫رمی‬‌‫كرد‬‌‫له‬‌‌‫ناوه‬‌‫ڕاستی‬‌‫پلێته‬‌‫كه‬‌‫دا‬‌‫ئه‬‌‫وا‬‌chart‌‌‫ی‬‌‫الپه‬‌‫ڕه‬‌‌65‌‫له‬‌‌Data
Book‫ه‬‌‫كه‬‌‫دا‬‌‫به‬‌‫كاردێنین‬‌،‌‫به‬‌‫اڵم‬‌‫ئه‬‌‫گه‬‌‫ر‬‌‫داوه‬‌‫ی‬‌‫دۆزینه‬‌‫وه‬‌‫ی‬‌‫پله‬‌‫ی‬‌‫گه‬‌‫رمی‬‌‫كرد‬‌‫له‬‌‌‫دوورییه‬‌‫كی‬‌‫زانراو‬‌‫له‬‌‌
‫ناوه‬‌‫ڕاستی‬‌‫پلێته‬‌‫كه‬‌‫دا‬‌‫ئه‬‌‫وا‬‌‫سه‬‌‫ره‬‌‫تا‬‌‫ده‬‌‫بێت‬‌‫پله‬‌‫ی‬‌‫گه‬‌‫رمی‬‌‫له‬‌‌‫ناوه‬‌‫ڕاستی‬‌‫پلێته‬‌‫كه‬‌‫دا‬‌‫بدۆزینه‬‌‫وه‬‌‌‫به‬‌‫هۆی‬‌‌chart‌‌
99
‫ی‬‌‫الپه‬‌‫ڕه‬‌‌65‌‫له‬‌‌Data Book‫ه‬‌‫كه‬‌‫كه‬‌‫دا‬‌‫چونكه‬‌‌‫پێویستمان‬‌‫پێی‬‌‫ده‬‌‫بێت‬‌‫بۆ‬‌‫دۆزینه‬‌‫وه‬‌‫ی‬‌‫پله‬‌‫ی‬‌‫گه‬‌‫رمی‬‌‫له‬‌‌
‫دوورییه‬‌‫كی‬‌‫زانراو‬‌‫له‬‌‌‫ناوه‬‌‫ڕاستی‬‌‫پلێته‬‌‫كه‬‌‫وه‬‌‌‫دواتر‬‌‫پله‬‌‫ی‬‌‫گه‬‌‫رمی‬‌‫له‬‌‌‫دوورییه‬‌‫كی‬‌‫زانراو‬‌‫له‬‌‌‫ناوه‬‌‫ڕاستی‬‌
‫پلێته‬‌‫كه‬‌‫دا‬‌‫ده‬‌‫دۆزینه‬‌‫وه‬‌‌‫به‬‌‫هۆی‬‌‌chart‌‌‫ی‬‌‫الپه‬‌‫ڕه‬‌‌66‌‫له‬‌‌Data Book‫ه‬‌‫كه‬‌‫كه‬‌‫دا‬.‌
‌
‫تێبینی‬‌‌:‫ئه‬‌‫گه‬‌‫ر‬‌‫پرسیاره‬‌‫كه‬‌‌‫داوای‬‌‫دۆزینه‬‌‫وه‬‌‫ی‬‌‫پله‬‌‫ی‬‌‫گه‬‌‫رمی‬‌‫كردبوو‬‌‫له‬‌‌‫دورییه‬‌‫كی‬‌‫زانراو‬‌‌‫له‬‌‌‫ڕووه‬‌‫كه‬‌‫یه‬‌‫وه‬‌‌
‫واته‬‌‌‫له‬‌)surface‌(‫ه‬‌‫وه‬‌‌‫ئه‬‌‫وا‬‌‫ده‬‌‫بێت‬‌‫ئێمه‬‌‌‫ئه‬‌‫م‬‌‫دوورییه‬‌‌‫بگۆڕین‬‌‫به‬‌‫گوێره‬‌‫ی‬‌‫ناوه‬‌‫ڕاستی‬‌‫پلێته‬‌‫كه‬‌‌.‫چونكه‬‌‌)x‌(
‫له‬‌‫ناوه‬‌‫ڕاسته‬‌‫وه‬‌‌‫پێوراوه‬‌.
‫تێبینی‬‌‌:‫ئه‬‌‫گه‬‌‫ر‬‌‫پرسیاره‬‌‫كه‬‌‌‫داوای‬‌‫دۆزینه‬‌‫وه‬‌‫ی‬‌‫بڕی‬‌‫گه‬‌‫رمی‬‌‫ئاڵوگۆڕكراوی‬‌‫كردبوو‬)Heat transfer
rate‌(‫له‬‌‫ناو‬‌‫پلێته‬‌‫كه‬‌‫وه‬‌‌‫بۆ‬‌‫ده‬‌‫ره‬‌‫وه‬‌‫ی‬‌‫پلێته‬‌‫كه‬‌‌‫ئه‬‌‫وا‬‌chart‌‫ی‬‌‫الپه‬‌‫ڕه‬‌‌67‌‫به‬‌‫كادێنین‬‌‫له‬‌‌Data Book‌‫ه‬‌‫كه‬‌‫دا‬.‌
100
Example: A plane wall is 0.12m thick ,made of material of density 7800kg/ ,
thermal conductivity 45W/mK, and specific heat 465 J/kg.K. It is initially at a
uniform temperature of ℃ , the wall is exposed suddenly to convection on
both sides at 30℃ with a convection heat transfer coefficient of 450W / .K .
Determine the temperature after 8 minute at (1)mid plane (2) 0.03m from
center.
‫نموون‬‫ه‬:‫تهخت‬ ‫دیوارێکی‬(0.12m)‫ئ‬‫ه‬‫ستور‬‫ە‬،‫چڕیی‬ ‫مادەیهکی‬ ‫دروستکراوی‬(7800kg/)،
‫گهرمی‬ ‫گهیاندنی‬ ‫توانای‬(45W/mK)،‫و‬‫گ‬‫ه‬‫رمیى‬‫جۆری‬(465 J/kg.K).‫س‬‫ه‬‫ر‬‫ە‬‫تا‬‫ل‬‫ه‬‫پله‬‫یهکی‬
‫چونیهک‬ ‫گهرمی‬‫ی‬℃‫دایه‬،‫دیوار‬‫ە‬‫ك‬‫ه‬‫ل‬‫ه‬‫پ‬‫ڕ‬‫ك‬‫ه‬‫وت‬‫ه‬‫ب‬‫ه‬‫ر‬‫ههڵگرتن‬‫ل‬‫ه‬‫ه‬‫ه‬‫ردوو‬‫ال‬‫ل‬ ‫کهیهوە‬‫ه‬(30℃)
‫به‬‫هاوك‬‫ۆ‬‫لك‬‫ه‬‫ی‬‫ێ‬‫كى‬‫گهرمى‬ ‫گواستنهوەى‬ ‫ههڵگرتنی‬(450W / .K).‫پل‬‫ه‬‫ى‬‫گ‬‫ه‬‫رمی‬‫ه‬‫ك‬‫ه‬‫دیارى‬‫بك‬‫ه‬
‫پاش‬(8)‫خول‬‫ه‬‫ك‬‫ل‬‫ه‬(1)‫ڕوتهختهکهدا‬ ‫ناوەڕاستی‬(2)(0.03m)‫ل‬‫ه‬‫ناو‬‫ە‬‫ند‬‫ە‬‫و‬‫ە‬
Given: density =𝜌 7800kg/ , Thermal conductivity= K=20W/mK, C =400
J/kg.K Thickness=2L=0.12m ,initial temperature= ℃
,fluid temperature= =30℃ h = , time =t =8
minute=8*60sec=480sec.
Solution:
‌‫له‬‫به‬‫ئه‬ ‫ر‬‫وه‬‫پلێنێكه‬ ‫پانیی‬ ‫پرسیارەکهدا‬ ‫له‬ ‫ی‬‫زانراوه‬‫وه‬‫هه‬‫پلێته‬ ‫ردوالی‬‫كه‬convection‫ده‬‫كات‬‌
‫له‬‌‫گه‬‌‫ڵ‬‌‫شلگازێكدا‬‌‫واته‬‌‌‫له‬‌‫گه‬‌‫ڵ‬‌)Fluid‌(،‫كدا‬‌‌‫كه‬‌‫واته‬‌‌‫ئه‬‌‫مه‬‌‌‫حاڵتی‬‌‫چواره‬‌‫م‬‌Infinite Solid‫وه‬‌‫جۆری‬‌
‫یه‬‌‫كه‬‌‫میانه‬‌‌‫واته‬‌‌infinite plate‌
101
From page 63 and page 65 in the Data Book:
𝜌
X-axis=
‫ئیمه‬‌‌‫ژماره‬‌‫كه‬‌‫ی‬X-axis‫ئیصقات‬‌‫ده‬‌‫كه‬‌‫ین‬‌‫بۆ‬‌‫سه‬‌‫ر‬curve‫ه‬‌‫كه‬‌‌‫وه‬‌‌‫له‬‌‫كویادا‬curve‫ه‬‌‫كه‬‌‫ی‬‌‫بڕی‬‌‫ئه‬‌‫وا‬‌
‫ئه‬‌‫وخاڵ‬‌‫ئیصقات‬‌‫ده‬‌‫كه‬‌‫ین‬‌‫بۆ‬‌‫سه‬‌‫ر‬Y-axis‫كه‬‌‌‫له‬‌‌‫ژماره‬‌‫یه‬‌‫كدا‬‌‫ده‬‌‫ی‬‌‫بڕیت‬.‫وه‬‌‫ئه‬‌‫م‬‌‫ژماره‬‌‫یه‬‌‫بریتیه‬‌‫له‬‌‌6.52‌
102
℃
Temperature at the mid of the plate=
℃
From page 63 and page 66 in the Data Book:
X-axis=
‫ئیمه‬‌‌‫ژماره‬‌‫كه‬‌‫ی‬X-axis‫ئیصقات‬‌‫ده‬‌‫كه‬‌‫ین‬‌‫بۆ‬‌‫سه‬‌‫ر‬curve‫ه‬‌‫كه‬‌‌‫وه‬‌‌‫له‬‌‫كویادا‬curve‫ه‬‌‫كه‬‌‫ی‬‌‫بڕی‬‌‫ئه‬‌‫وا‬‌
‫ئه‬‌‫وخاڵ‬‌‫ئیصقات‬‌‫ده‬‌‫كه‬‌‫ین‬‌‫بۆ‬‌‫سه‬‌‫ر‬Y-axis‫كه‬‌‌‫له‬‌‌‫ژماره‬‌‫یه‬‌‫كدا‬‌‫ده‬‌‫ی‬‌‫بڕیت‬.‫وه‬‌‫ئه‬‌‫م‬‌‫ژماره‬‌‫یه‬‌‫بریتیه‬‌‫له‬‌‌6.89‌
℃
103
Example: a plate of 20cm thickness at temperature of 500℃ ; k=57W/m℃,
suddenly air at 25℃ is blown over the surface with h= ℃,
. (1) At what time the mid temperature will be
240℃. (2)At what time the temperature at 1cm from the surface will be
240℃.
‫نموون‬‫ه‬:‫پلێت‬‫ێ‬‫كى‬(20cm)‫ئهستور‬‫ل‬‫ه‬‫پل‬‫ه‬‫ى‬‫گ‬‫ه‬‫رمیى‬(500℃)،‫دا‬(k=57W/m℃)،‫ل‬‫ه‬‫پ‬‫ڕ‬‫ه‬‫ه‬‫وا‬‫ل‬‫ه‬
(25℃)‫ب‬‫ه‬‫س‬‫ه‬‫ر‬‫ڕ‬‫وو‬‫ە‬‫ك‬‫ه‬‫برا‬ ‫یدا‬‫به‬(h= ℃)،().
(1)‫ل‬‫ه‬‫چى‬‫كات‬‫ێکدا‬‫پل‬‫ه‬‫ى‬‫گ‬‫ه‬‫رمیى‬‫ناو‬‫ەڕ‬‫است‬‫د‬‫ە‬‫ب‬‫ێ‬‫ت‬‫ه‬(240℃)( .2)‫ل‬‫ه‬‫چى‬‫كات‬‫ێکدا‬‫پل‬‫ه‬‫ى‬‫گ‬‫ه‬‫رمیى‬‫ل‬‫ه‬
(1cm)‫ل‬‫ه‬‫و‬‫ە‬‫ڕ‬‫وو‬‫ە‬‫ك‬‫ه‬‫ی‬‫د‬‫ە‬‫ب‬‫ێ‬‫ت‬‫ه‬(240℃).
Given: Thickness=2L=20cm , initial temperature=
℃ ,Thermal conductivity= K=20W/mK, fluid temperature= =25℃ ,
℃,
Solution:
‫له‬‫به‬‫ئه‬ ‫ر‬‫وه‬‫پلێنێكه‬ ‫پانیی‬ ‫پرسیارەکهدا‬ ‫له‬ ‫ی‬‫زانراوه‬‫وه‬‫هه‬‫پلێته‬ ‫ردوالی‬‫كه‬convection‫ده‬‫كات‬‌
‫له‬‌‫گه‬‌‫ڵ‬‌‫شلگازێكدا‬‌‫واته‬‌‌‫له‬‌‫گه‬‌‫ڵ‬‌)Fluid‌(،‫كدا‬‌‌‫كه‬‌‫واته‬‌‌‫ئه‬‌‫مه‬‌‌‫حاڵتی‬‌‫چواره‬‌‫م‬‌Infinite Solid‫وه‬‌‫جۆری‬‌
‫یه‬‌‫كه‬‌‫میانه‬‌‌‫واته‬‌‌infinite plate‌
104
1- Mid temperature:
From page 63 and page 65 in the Data Book:
105
2- At what time the mid temperature at 1cm from the surface will be
240℃.
‫ل‬‫ە‬ً‫چ‬‫كبت‬‫پل‬‫ە‬‫ي‬‫گ‬‫ە‬ً‫رهی‬‫ًبو‬‫ەڕ‬‫اضت‬‫ل‬‫ە‬(1‫جن‬)‫ل‬‫ە‬‫و‬‫ە‬‫ڕ‬‫وو‬‫ە‬‫ك‬‫ە‬(2٤٠℃)‫د‬‫ە‬‫ث‬‫ێ‬‫ت‬
‫تێبینی‬‌‌:‫ئه‬‌‫گه‬‌‫ر‬‌‫پرسیاره‬‌‫كه‬‌‌‫داوای‬‌‫دۆزینه‬‌‫وه‬‌‫ی‬‌‫پله‬‌‫ی‬‌‫گه‬‌‫رمی‬‌‫كردبوو‬‌‫له‬‌‌‫دورییه‬‌‫كی‬‌‫زانراو‬‌‌‫له‬‌‌‫ڕووه‬‌‫كه‬‌‫یه‬‌‫وه‬‌‌
‫واته‬‌‌‫له‬‌)surface‌(‫ه‬‌‫وه‬‌‌‫ئه‬‌‫وا‬‌‫ده‬‌‫بێت‬‌‫ئێمه‬‌‌‫ئه‬‌‫م‬‌‫دوورییه‬‌‌‫بگۆڕین‬‌‫به‬‌‫گوێره‬‌‫ی‬‌‫ناوه‬‌‫ڕاستی‬‌‫پلێته‬‌‫كه‬‌‌.‫چونكه‬‌‌)x‌(
‫له‬‌‫ناوه‬‌‫ڕاسته‬‌‫وه‬‌‌‫پێوراوه‬‌.
L=10cm but x=10-1=9cm =0.09m
From the chart of page 66 in the Data Book:
℃
106
Temperature at the mid of the plate= ℃ when the surface will be
240℃.
‫پل‬‫ە‬‫ي‬‫گ‬‫ە‬ً‫ره‬‫ل‬‫ە‬‫ًبو‬‫ەڕ‬ً‫اضت‬(‫پالت‬‫ە‬=2٦1.2٦℃)‫كبت‬‫ێ‬‫ك‬‫ڕ‬‫وو‬‫ە‬‫ك‬‫ە‬(2٤٠℃)‫د‬‫ە‬‫ث‬‫ێ‬‫ت‬.
From page 6 3in the Data Book:
X-axis=
2. Long cylinder
‫لوله‬‌‫كێكه‬‌‌‫نیوه‬‌‫تیره‬‌‫كه‬‌‫ی‬‌‫زانراوه‬‌‌)r‌ (‫له‬‌‫ناوه‬‌‫ڕاستی‬‌‫لوله‬‌‫كه‬‌‫كه‬‌‫وه‬‌‌‫پێوراوه‬‌‌ .‫وه‬‌‫ڕووی‬‌‫ده‬‌‫ره‬‌‫وه‬‌‫ی‬‌‫لوله‬‌‫كه‬‌‫كه‬‌‌
convection‌‫ده‬‌‫كات‬‌‫له‬‌‫گه‬‌‫ڵ‬‌‫شلگازێكدا‬‌‫واته‬‌‌‫له‬‌‫گه‬‌‫ڵ‬‌)Fluid‌(‫كدا‬‌.‫پرسیاره‬‌‫كه‬‌‌‫داوه‬‌‫ی‬‌‫دۆزینه‬‌‫وه‬‌‫ی‬‌‫پله‬‌‫ی‬‌
‫گه‬‌‫رمی‬‌‫ده‬‌‫كات‬‌‫له‬‌‌‫ناوه‬‌‫ڕاستی‬‌‫لوله‬‌‫كه‬‌‫كه‬‌‫دا‬‌‫یان‬‌‫له‬‌‌‫دوورییه‬‌‫كی‬‌‫زانراو‬‌‫له‬‌‌‫ناوه‬‌‫ڕاسته‬‌‫وه‬‌‌‫له‬‌‫دوای‬‌‫كاتێكی‬‌
‫دیاریكراو‬‌‫یان‬‌‫به‬‌‫پێچه‬‌‫وانه‬‌‫وه‬‌‌.
‫ئه‬‌‫گه‬‌‫ر‬‌‫داوه‬‌‫ی‬‌‫دۆزینه‬‌‫وه‬‌‫ی‬‌‫پله‬‌‫ی‬‌‫گه‬‌‫رمی‬‌‫كرد‬‌‫له‬‌‌‫ناوه‬‌‫ڕاستی‬‌‫لوله‬‌‫كه‬‌‫كه‬‌‫دا‬‌‫ئه‬‌‫وا‬‌chart‌‌‫ی‬‌‫الپه‬‌‫ڕه‬‌‌68‌‫له‬‌‌
Data Book‫ه‬‌‫كه‬‌‫دا‬‌‫به‬‌‫كاردێنین‬‌،‌‫به‬‌‫اڵم‬‌‫ئه‬‌‫گه‬‌‫ر‬‌‫داوه‬‌‫ی‬‌‫دۆزینه‬‌‫وه‬‌‫ی‬‌‫پله‬‌‫ی‬‌‫گه‬‌‫رمی‬‌‫كرد‬‌‫له‬‌‌‫دوورییه‬‌‫كی‬‌
107
‫زانراو‬‌‫له‬‌‌‫ناوه‬‌‫ڕاستی‬‌‫لوله‬‌‫كه‬‌‫كه‬‌‫دا‬‌‫ئه‬‌‫وا‬‌‫سه‬‌‫ره‬‌‫تا‬‌‫ده‬‌‫بێت‬‌‫پله‬‌‫ی‬‌‫گه‬‌‫رمی‬‌‫له‬‌‌‫ناوه‬‌‫ڕاستی‬‌‫لوله‬‌‫كه‬‌‫كه‬‌‫دا‬‌‫بدۆزینه‬‌‫وه‬‌‌
‫به‬‌‫هۆی‬‌‌chart‌‌‫ی‬‌‫الپه‬‌‫ڕه‬‌‌68‌‫له‬‌‌Data Book‫ه‬‌‫كه‬‌‫كه‬‌‫دا‬‌‫چونكه‬‌‌‫پێویستمان‬‌‫پێی‬‌‫ده‬‌‫بێت‬‌‫بۆ‬‌‫دۆزینه‬‌‫وه‬‌‫ی‬‌‫پله‬‌‫ی‬‌
‫گه‬‌‫رمی‬‌‫له‬‌‌‫دوورییه‬‌‫كی‬‌‫زانراو‬‌‫له‬‌‌‫ناوه‬‌‫ڕاستی‬‌‫لوله‬‌‫كه‬‌‫كه‬‌‫وه‬‌‌‫دواتر‬‌‫پله‬‌‫ی‬‌‫گه‬‌‫رمی‬‌‫له‬‌‌‫دوورییه‬‌‫كی‬‌‫زانراو‬‌‫له‬‌‌
‫ناوه‬‌‫ڕاستی‬‌‫لوله‬‌‫كه‬‌‫كه‬‌‫دا‬‌‫ده‬‌‫دۆزینه‬‌‫وه‬‌‌‫به‬‌‫هۆی‬‌‌chart‌‌‫ی‬‌‫الپه‬‌‫ڕه‬‌‌69‌‫له‬‌‌Data Book‫ه‬‌‫كه‬‌‫كه‬‌‫دا‬.‌
‌
‫تێبینی‬‌‌:‫ئه‬‌‫گه‬‌‫ر‬‌‫پرسیاره‬‌‫كه‬‌‌‫داوای‬‌‫دۆزینه‬‌‫وه‬‌‫ی‬‌‫پله‬‌‫ی‬‌‫گه‬‌‫رمی‬‌‫كردبوو‬‌‫له‬‌‌‫دورییه‬‌‫كی‬‌‫زانراو‬‌‌‫له‬‌‌‫ڕووه‬‌‫كه‬‌‫یه‬‌‫وه‬‌‌
‫واته‬‌‌‫له‬‌)surface‌(‫ه‬‌‫وه‬‌‌‫ئه‬‌‫وا‬‌‫ده‬‌‫بێت‬‌‫ئێمه‬‌‌‫ئه‬‌‫م‬‌‫دوورییه‬‌‌‫بگۆڕین‬‌‫به‬‌‫گوێره‬‌‫ی‬‌‫ناوه‬‌‫ڕاستی‬‌‫لوله‬‌‫كه‬‌‫كه‬‌‌.‫چونكه‬‌‌)r‌(
‫له‬‌‫ناوه‬‌‫ڕاسته‬‌‫وه‬‌‌‫پێوراوه‬‌.
‫تێبینی‬‌‌:‫ئه‬‌‫گه‬‌‫ر‬‌‫پرسیاره‬‌‫كه‬‌‌‫داوای‬‌‫دۆزینه‬‌‫وه‬‌‫ی‬‌‫بڕی‬‌‫گه‬‌‫رمی‬‌‫ئاڵوگۆڕكراوی‬‌‫كردبوو‬)Heat transfer
rate‌(‫له‬‌‫ناو‬‌‫لوله‬‌‫كه‬‌‫كه‬‌‫وه‬‌‌‫بۆ‬‌‫ده‬‌‫ره‬‌‫وه‬‌‫ی‬‌‫لوله‬‌‫كه‬‌‫كه‬‌‌‫ئه‬‌‫وا‬‌chart‌‫ی‬‌‫الپه‬‌‫ڕه‬‌‌76‌‫به‬‌‫كادێنین‬‌‫له‬‌‌Data Book‌
‫ه‬‌‫كه‬‌‫دا‬.‌
Example: a long cylindrical bar of radius 80mm comes out off oven at 830℃
and is cooled by quenching in a large bath of 40℃ coolant. The heat transfer
coefficient between the bar and coolant is . Determine the time
required the shaft center to reach 120℃ . If (K=17.4 W/mK and
)
‫نموون‬‫ه‬:‫شیش‬‫ێ‬‫كى‬‫در‬‫ێ‬‫ژ‬‫لوول‬‫ه‬‫كیى‬‫نیو‬‫ە‬‫تیرە‬(80mm)‫د‬‫ە‬‫ر‬‫ە‬‫و‬‫ە‬‫دوور‬‫ل‬‫ه‬‫ت‬‫ه‬‫نوور‬‫دا‬‫د‬‫ە‬‫ب‬‫ه‬‫ز‬‫ێ‬‫ت‬‫ل‬‫ه‬
(830℃)‫و‬‫سارد‬‫براو‬‫ە‬‫ت‬‫ه‬‫و‬‫ە‬‫به‬‫كپ‬‫د‬‫ە‬‫كات‬‫ل‬‫ه‬‫گ‬‫ه‬‫رماو‬‫ێ‬‫كى‬‫زلى‬(40℃)‫ساردك‬‫ه‬‫ر‬‫ە‬‫و‬‫ە‬.‫هاوك‬‫ۆ‬‫لك‬‫ه‬‫ك‬‫ه‬‫ى‬
‫ل‬‫ه‬‫ن‬‫ێ‬‫وان‬‫گ‬‫ه‬‫رمى‬‫گواستن‬‫ه‬‫و‬‫ە‬‫شیش‬‫ه‬‫ك‬‫ه‬‫و‬‫ساردك‬‫ه‬‫ر‬‫ە‬‫و‬‫ە‬()‫ە‬.‫كات‬‫پ‬‫ێ‬‫ویست‬‫بوو‬‫ە‬‫ك‬‫ه‬‫ى‬
‫ش‬‫ه‬‫فت‬‫دیارى‬‫بك‬‫ه‬‫ناو‬‫ە‬‫ند‬‫تا‬(120℃)‫بگات‬‫ب‬‫ه‬.‫ئ‬‫ه‬‫گ‬‫ه‬‫ر‬(K=17.4 W/mK and
)
108
Given: Thermal conductivity= K=17.4W/mK,
, initial temperature= ℃ ,fluid
temperature= =40℃ h = , ℃ , time =t =?
Solution:
‌‫له‬‌‫به‬‌‫ر‬‌‫ئه‬‌‫وه‬‌‫ی‬‌‫باسی‬‌‫لوله‬‌‫كێكه‬‌‌‫نیوه‬‌‫تیره‬‌‫كه‬‌‫ی‬‌‫زانراوه‬‌‌‌‫وه‬‌‫هه‬‌‫ردوالی‬‌‫لوله‬‌‫كه‬‌‫كه‬‌‌convection‌‫ده‬‌‫كات‬‌‫له‬‌‫گه‬‌‫ڵ‬‌
‫شلگازێكدا‬‌‫واته‬‌‌‫له‬‌‫گه‬‌‫ڵ‬‌)Fluid‌(،‫كدا‬‌‌‫كه‬‌‫واته‬‌‌‫ئه‬‌‫مه‬‌‌‫حاڵتی‬‌‫چواره‬‌‫م‬‌Infinite Solid‫وه‬‌‫جۆری‬‌‫دووه‬‌‫میانه‬‌‌
‫واته‬‌‌Long cylinder‌
From page 63 and page 68 in the Data Book:
‫زانیارى‬ ‫كتێبهكهى‬ ‫له‬ ٦٦ ‫الپهڕە‬ ‫و‬ ٦٤ ‫الپهڕەوە‬ ‫:له‬
X-axis=
109
‫ڕاڤه‬‌‫كه‬‌‫ی‬:‫ئیمه‬‌‌‫ژماره‬‌‫كه‬‌‫ی‬‌Y-axis‌‫ئیصقات‬‌‫ده‬‌‫كه‬‌‫ین‬‌‫بۆ‬‌‫سه‬‌‫ر‬‌curve‌‫ه‬‌‫كه‬‌‌‫وه‬‌‌‫له‬‌‫كویادا‬‌curve‌‫ه‬‌‫كه‬‌‫ی‬‌‫بڕی‬‌
‫ئه‬‌‫وا‬‌‫ئه‬‌‫وخاڵ‬‌‫ئیصقات‬‌‫ده‬‌‫كه‬‌‫ین‬‌‫بۆ‬‌‫سه‬‌‫ر‬‌X-axis‌‫كه‬‌‌‫له‬‌‌‫ژماره‬‌‫یه‬‌‫كدا‬‌‫ده‬‌‫ی‬‌‫بڕیت‬.‫وه‬‌‫ئه‬‌‫م‬‌‫ژماره‬‌‫یه‬‌‫بریتیه‬‌‫له‬‌‌2‌
3. Sphere
‌‫گۆیه‬‌‫كه‬‌‌‫نیوه‬‌‫تیره‬‌‫كه‬‌‫ی‬‌‫زانراوه‬‌‌)r‌ (‫له‬‌‫ناوه‬‌‫ڕاستی‬‌‫گۆیه‬‌‫كه‬‌‫وه‬‌‌‫پێوراوه‬‌‌ .‫وه‬‌‫ڕووی‬‌‫ده‬‌‫ره‬‌‫وه‬‌‫ی‬‌
‫گۆیه‬‌‫كه‬‌‌convection‌‫ده‬‌‫كات‬‌‫له‬‌‫گه‬‌‫ڵ‬‌‫شلگازێكدا‬‌‫واته‬‌‌‫له‬‌‫گه‬‌‫ڵ‬‌)Fluid‌(‫كدا‬‌.‫پرسیاره‬‌‫كه‬‌‌‫داوه‬‌‫ی‬‌
‫دۆزینه‬‌‫وه‬‌‫ی‬‌‫پله‬‌‫ی‬‌‫گه‬‌‫رمی‬‌‫ده‬‌‫كات‬‌‫له‬‌‌‫ناوه‬‌‫ڕاستی‬‌‫گۆیه‬‌‫كه‬‌‫دا‬‌‫یان‬‌‫له‬‌‌‫دوورییه‬‌‫كی‬‌‫زانراو‬‌‫له‬‌‌
‫ناوه‬‌‫ڕاسته‬‌‫وه‬‌‌‫له‬‌‫دوای‬‌‫كاتێكی‬‌‫دیاریكراو‬‌‫یان‬‌‫به‬‌‫پێچه‬‌‫وانه‬‌‫وه‬‌‌.
‫ئه‬‌‫گه‬‌‫ر‬‌‫داوه‬‌‫ی‬‌‫دۆزینه‬‌‫وه‬‌‫ی‬‌‫پله‬‌‫ی‬‌‫گه‬‌‫رمی‬‌‫كرد‬‌‫له‬‌‌‫ناوه‬‌‫ڕاستی‬‌‫گۆیه‬‌‫كه‬‌‫دا‬‌‫ئه‬‌‫وا‬‌chart‌‌‫ی‬‌‫الپه‬‌‫ڕه‬‌‌
68‌‫له‬‌‌Data Book‫ه‬‌‫كه‬‌‫دا‬‌‫به‬‌‫كاردێنین‬‌،‌‫به‬‌‫اڵم‬‌‫ئه‬‌‫گه‬‌‫ر‬‌‫داوه‬‌‫ی‬‌‫دۆزینه‬‌‫وه‬‌‫ی‬‌‫پله‬‌‫ی‬‌‫گه‬‌‫رمی‬‌‫كرد‬‌‫له‬‌‌
‫دوورییه‬‌‫كی‬‌‫زانراو‬‌‫له‬‌‌‫ناوه‬‌‫ڕاستی‬‌‫گۆیه‬‌‫كه‬‌‫وه‬‌‌‫ئه‬‌‫وا‬‌‫سه‬‌‫ره‬‌‫تا‬‌‫ده‬‌‫بێت‬‌‫پله‬‌‫ی‬‌‫گه‬‌‫رمی‬‌‫له‬‌‌‫ناوه‬‌‫ڕاستی‬‌
‫گۆیه‬‌‫كه‬‌‫دا‬‌‫بدۆزینه‬‌‫وه‬‌‌‫به‬‌‫هۆی‬‌ ‌chart‌ ‌‫ی‬‌‫الپه‬‌‫ڕه‬‌‌68‌‫له‬‌‌Data Book‫ه‬‌‫كه‬‌‫كه‬‌‫دا‬‌‫چونكه‬‌‌
‫پێویستمان‬‌‫پێی‬‌‫ده‬‌‫بێت‬‌‫بۆ‬‌‫دۆزینه‬‌‫وه‬‌‫ی‬‌‫پله‬‌‫ی‬‌‫گه‬‌‫رمی‬‌‫له‬‌‌‫دوورییه‬‌‫كی‬‌‫زانراو‬‌‫له‬‌‌‫ناوه‬‌‫ڕاستی‬‌
‫گۆیه‬‌‫كه‬‌‫وه‬‌‌‫دواتر‬‌‫پله‬‌‫ی‬‌‫گه‬‌‫رمی‬‌‫له‬‌‌‫دوورییه‬‌‫كی‬‌‫زانراو‬‌‫له‬‌‌‫ناوه‬‌‫ڕاستی‬‌‫گۆیه‬‌‫كه‬‌‫دا‬‌‫ده‬‌‫دۆزینه‬‌‫وه‬‌‌
‫به‬‌‫هۆی‬‌‌chart‌‌‫ی‬‌‫الپه‬‌‫ڕه‬‌‌69‌‫له‬‌‌Data Book‫ه‬‌‫كه‬‌‫كه‬‌‫دا‬.‌
‌
‫تێبینی‬‌‌:‫ئه‬‌‫گه‬‌‫ر‬‌‫پرسیاره‬‌‫كه‬‌‌‫داوای‬‌‫دۆزینه‬‌‫وه‬‌‫ی‬‌‫پله‬‌‫ی‬‌‫گه‬‌‫رمی‬‌‫كردبوو‬‌‫له‬‌‌‫دورییه‬‌‫كی‬‌‫زانراو‬‌‌‫له‬‌‌‫ڕووه‬‌‫كه‬‌‫یه‬‌‫وه‬‌‌
‫واته‬‌‌‫له‬‌)surface‌(‫ه‬‌‫وه‬‌‌‫ئه‬‌‫وا‬‌‫ده‬‌‫بێت‬‌‫ئێمه‬‌‌‫ئه‬‌‫م‬‌‫دوورییه‬‌‌‫بگۆڕین‬‌‫به‬‌‫گوێره‬‌‫ی‬‌‫ناوه‬‌‫ڕاستی‬‌‫گۆیه‬‌‫كه‬‌‌.‫چونكه‬‌‌)r‌(
‫له‬‌‫ناوه‬‌‫ڕاسته‬‌‫وه‬‌‌‫پێوراوه‬‌.
110
‫تێبینی‬‌‌:‫ئه‬‌‫گه‬‌‫ر‬‌‫پرسیاره‬‌‫كه‬‌‌‫داوای‬‌‫دۆزینه‬‌‫وه‬‌‫ی‬‌‫بڕی‬‌‫گه‬‌‫رمی‬‌‫ئاڵوگۆڕكراوی‬‌‫كردبوو‬)Heat transfer
rate‌(‫له‬‌‫ناو‬‌‫گۆیه‬‌‫كه‬‌‫وه‬‌‌‫بۆ‬‌‫ده‬‌‫ره‬‌‫وه‬‌‫ی‬‌‫گۆیه‬‌‫كه‬‌‌‫ئه‬‌‫وا‬‌chart‌‫ی‬‌‫الپه‬‌‫ڕه‬‌‌76‌‫به‬‌‫كادێنین‬‌‫له‬‌‌Data Book‌‫ه‬‌‫كه‬‌‫دا‬.‌
‫حاڵه‬‌‫تی‬‌‫پێنجه‬‌‫م‬‌:Multi dimension
From page 74 in the Data book:‌
:‫پێکدێت‬ ‫جیاوازانه‬ ‫شێوە‬ ‫لهم‬
111
‫وێنه‬‌‫ی‬‌)a‌(‫بریتیه‬‌‫له‬‌)semi-infinite plate‌(‫پلێتێكه‬‌‌‫پانییه‬‌‫كه‬‌‫ی‬‌‌‫زانراوه‬‌‌‫وه‬‌‫پرسیاره‬‌‫كه‬‌‌‫داوای‬‌
‫دۆزینه‬‌‫وه‬‌‫ی‬‌‫پله‬‌‫ی‬‌‫گه‬‌‫رمی‬‌‫خاڵك‬‌‫ده‬‌‫كات‬‌‫دوریه‬‌‫كی‬‌‫زانراوی‬‌‫هه‬‌‌‫له‬‌‌‫بنه‬‌‫ی‬‌‫پلێته‬‌‫كه‬‌‫وه‬‌‌‫وه‬‌‫ده‬‌‫ڵت‬‌‫ده‬‌‫كه‬‌‫وێته‬‌‌
‫ناوه‬‌‫ڕسته‬‌‫وه‬‌‌‫یان‬‌‫دورییه‬‌‫كی‬‌‫زانراو‬‌‫له‬‌‫ناوه‬‌‫ڕاسته‬‌‫وه‬‌.‌
‫شیكاری‬‌‫به‬‌‫شی‬‫وه‬‌‫ك‬‌‫شیكاری‬‌infinite plate‌‌‫وایه‬‌‌
‫شیكاری‬‌‫به‬‌‫شی‬‌‫وه‬‌‫ك‬‌‫شیكاری‬
‌Semi-infinite solid with convection boundary condition‌‌‌‫وایه‬‌‌
‫وێنه‬‌‫ی‬‌)b‌(‫بریتیه‬‌‫له‬‌‌‌)infinite rectangular bar‌(‫درێژی‬‌‫دوالی‬‌‫زانراوه‬‌‌‫وه‬‌‫پرسیاره‬‌‫كه‬‌‌‫داوای‬‌
‫دۆزینه‬‌‫وه‬‌‫ی‬‌‫پله‬‌‫ی‬‌‫گه‬‌‫رمی‬‌‫خاڵك‬‌‫ده‬‌‫كات‬‌‫ناوه‬‌‫ڕاستی‬‌‫جسمه‬‌‫كه‬‌‫دا‬‌.‌
‫شیكاری‬‌‫به‬‌‫شی‬‌‌‫وه‬‌‫ك‬‌‫شیكاری‬‌infinite plate‌‌‫وایه‬‌‌
‫شیكاری‬‌‫به‬‌‫شی‬‌‫وه‬‌‫ك‬‌‫شیكاری‬‌infinite plate‌‌‫وایه‬‌‌
‌‫وێنه‬‌‫ی‬‌)c‌(‫بریتیه‬‌‫له‬‌‌‌)Semi-infinite rectangular bar‌(‫درێژی‬‌‫دوالی‬‌‫زانراوه‬‌‌‫وه‬‌‫پرسیاره‬‌‫كه‬‌‌
‫داوای‬‌‫دۆزینه‬‌‫وه‬‌‫ی‬‌‫پله‬‌‫ی‬‌‫گه‬‌‫رمی‬‌‫خاڵك‬‌‫ده‬‌‫كات‬‌‫دوریه‬‌‫كی‬‌‫زانراوی‬‌‫له‬‌‌‫بنه‬‌‫ی‬‌‫پلێته‬‌‫كه‬‌‫وه‬‌‌‫وه‬‌‫ده‬‌‫ڵت‬‌‫ده‬‌‫كه‬‌‫وێته‬‌‌
‫ناوه‬‌‫ڕسته‬‌‫وه‬‌‌‫یان‬‌‫دورییه‬‌‫كی‬‌‫زانراو‬‌‫له‬‌‫ناوه‬‌‫ڕاسته‬‌‫وه‬‌.‌
‌
112
‫شیكاری‬‌‫به‬‌‫شی‬‌‌‫وه‬‌‫ك‬‌‫شیكاری‬‌infinite plate‌‌‫وایه‬‌‌
‫شیكاری‬‌‫به‬‌‫شی‬‫وه‬‌‫ك‬‌‫شیكاری‬‌infinite plate‌‌‫وایه‬‌‌
‫شیكاری‬‌‫به‬‌‫شی‬‌‫وه‬‌‫ك‬‌‫شیكاری‬
‌Semi-infinite solid with convection boundary condition‌‌‌‫وایه‬‌
‫وێنه‬‌‫ی‬‌)d‌(‫بریتیه‬‌‫له‬‌‌‌)rectangular parallelepiped‌(‫درێژی‬‌‫دوالی‬‌‫زانراوه‬‌‌‫له‬‌‫گه‬‌‫ڵ‬‌‫به‬‌‫رزییه‬‌‫كه‬‌‫یدا‬‌
‫وه‬‌‫پرسیاره‬‌‫كه‬‌‌‫داوای‬‌‫دۆزینه‬‌‫وه‬‌‫ی‬‌‫پله‬‌‫ی‬‌‫گه‬‌‫رمی‬‌‫خاڵك‬‌‫ده‬‌‫كات‬‌‫له‬‌‫جێگه‬‌‫یه‬‌‫كی‬‌‫دیاریكراوی‬‌‌‫جسمه‬‌‫كه‬‌‫دا‬‌‌.‌
‫شیكاری‬‌‫به‬‌‫شی‬‌‌‫وه‬‌‫ك‬‌‫شیكاری‬‌infinite plate‌‌‫وایه‬‌‌
‫شیكاری‬‌‫به‬‌‫شی‬‌‫وه‬‌‫ك‬‌‫شیكاری‬‌infinite plate‌‌‫وایه‬‌
‫شیكاری‬‌‫به‬‌‫شی‬‌‌‌‫وه‬‌‫ك‬‌‫شیكاری‬‌infinite plate‌‌‫وایه‬‌‌
‫وێنه‬‌‫ی‬‌)e‌(‫بریتیه‬‌‫له‬‌‌‌)Semi-infinite cylinder‌(‫تیره‬‌‫كه‬‌‫ی‬‌‫زانراوه‬‌‌‫وه‬‌‫پرسیاره‬‌‫كه‬‌‌‫داوای‬‌‫دۆزینه‬‌‫وه‬‌‫ی‬‌
‫پله‬‌‫ی‬‌‫گه‬‌‫رمی‬‌‫خاڵێك‬‌‫ده‬‌‫كات‬‌‫له‬‌‌‫دوریه‬‌‫كی‬‌‫زانراوه‬‌‫وه‬‌‌‫له‬‌‌‫بنكه‬‌‫ی‬‌‫لوله‬‌‫كه‬‌‫كه‬‌‫وه‬‌‌‫وه‬‌‫ده‬‌‫ڵت‬‌‫ده‬‌‫كه‬‌‫وێته‬‌‌‫ناوه‬‌‫ڕسته‬‌‫وه‬‌‌
‫یان‬‌‫دورییه‬‌‫كی‬‌‫زانراو‬‌‫له‬‌‫ناوه‬‌‫ڕاسته‬‌‫وه‬‌.‌
‫شیكاری‬‌‫به‬‌‫شی‬‌‌‌‌‫وه‬‌‫ك‬‌‫شیكاری‬
Infinite solid (Long cylinder)‌‌‌‫وایه‬‌
113
‫شیكاری‬‌‫به‬‌‫شی‬‌‫وه‬‌‫ك‬‌‫شیكاری‬
‌Semi-infinite solid with convection boundary condition‌‌‌‫وایه‬‌
‫وێنه‬‌‫ی‬‌)f‌(‫بریتیه‬‌‫له‬‌‌‌)short cylinder‌(‫تیره‬‌‫كه‬‌‫ی‬‌‫زانراوه‬‌‌‫له‬‌‫گه‬‌‫ڵ‬‌‫درێژییه‬‌‫كه‬‌‫یدا‬‌‫وه‬‌‫پرسیاره‬‌‫كه‬‌‌‫داوای‬‌
‫دۆزینه‬‌‫وه‬‌‫ی‬‌‫پله‬‌‫ی‬‌‫گه‬‌‫رمی‬‌‫خاڵك‬‌‫ده‬‌‫كات‬‌‫دوریه‬‌‫كی‬‌‫زانراوی‬‌‫له‬‌‌‫بنه‬‌‫ی‬‌‫لوله‬‌‫كه‬‌‫كه‬‌‫وه‬‌‌‫وه‬‌‫ده‬‌‫ڵت‬‌‫ده‬‌‫كه‬‌‫وێته‬‌‌
‫ناوه‬‌‫ڕسته‬‌‫وه‬‌‌‫یان‬‌‫دورییه‬‌‫كی‬‌‫زانراو‬‌‫له‬‌‫ناوه‬‌‫ڕاسته‬‌‫وه‬‌.‌
‫شیكاری‬‌‫به‬‌‫شی‬‌‌‌‫وه‬‌‫ك‬‌‫شیكاری‬
Infinite solid (Long cylinder)‌‌‌‫وایه‬‌
‫شیكاری‬‌‫به‬‌‫شی‬‌‌‫وه‬‌‫ك‬‌‫شیكاری‬‌infinite plate‌‌‫وایه‬‌.‌
‌
‌
‌
Example: a cube of aluminum 10cm on each side is initially at a temperature
of 300℃ and is immersed in a fluid at 100℃ . The heat transfer coefficient is
900W/ .℃. Calculate the temperature in the center of one face after 1min.
Take , ℃
‫نموون‬‫ه‬:‫شهشپاڵو‬‫ێ‬‫كى‬‫ئ‬‫ه‬‫ل‬‫ه‬‫منی‬‫ۆ‬‫م‬(10cm)‫ل‬‫ه‬‫س‬‫ه‬‫ر‬‫ه‬‫ه‬‫ر‬‫ال‬‫س‬‫ه‬‫ر‬‫ە‬‫تا‬‫ە‬‫ل‬‫ه‬‫پل‬‫ه‬‫ى‬‫گ‬‫ه‬‫رمی‬‫ێ‬‫كى‬(300℃)‫و‬
‫نوقوم‬‫بوون‬‫را‬‫ێ‬‫ت‬‫ل‬‫ه‬‫شل‬‫ه‬‫ی‬‫ێ‬‫ك‬‫ل‬‫ه‬(100℃).‫هاوك‬‫ۆ‬‫لك‬‫ه‬‫ك‬‫ه‬‫ی‬‫ه‬‫گ‬‫ه‬‫رمى‬(900W/ .℃)‫گواستن‬‫ه‬‫و‬‫ە‬.
114
‫پل‬‫ه‬‫ى‬‫گ‬‫ه‬‫رمی‬‫ه‬‫ك‬‫ه‬‫بکه‬ ‫ههژمار‬‫ل‬‫ه‬‫ناو‬‫ە‬‫ند‬‫ە‬‫ك‬‫ه‬‫ى‬‫ی‬‫ه‬‫ك‬‫ڕ‬‫وو‬‫پاش‬1‫خول‬‫ه‬‫ك‬.‫وەریبگرە‬
, ℃
Given: 2L=10cm=0. 1m =0.05m, initial temperature = = 300℃, fluid
temperature = 100℃, heat transfer coefficient =h=900W/ . ℃,
time= =1 min=60sec. ℃
Solution:
From the chart of page 65 in the
Data Book:
‫ل‬‫ە‬‫و‬‫ە‬‫ه‬‫ێڵ‬‫كبري‬‫ە‬‫ك‬‫ە‬‫ي‬‫الپ‬‫ەڕە‬٦٥‫ل‬‫ە‬‫كت‬‫ێ‬‫ج‬‫ە‬‫ك‬‫ە‬‫ي‬
‫زاًیبري‬:
℃
115
Example: a cube of aluminum 12cm on each side is initially at a temperature
of 400℃ and is suddenly immersed in a tank of oil maintained at 85℃ . The
heat transfer coefficient is 1100W/ .℃. Calculate the temperature at 1cm
far from the three faces after 2 minutes. Take
℃
‫نموون‬‫ه‬:‫شهشپاڵو‬‫ێ‬‫كى‬‫ئ‬‫ه‬‫ل‬‫ه‬‫منی‬‫ۆ‬‫م‬‫الیهکی‬ ‫ههر‬(12cm)‫س‬‫ه‬‫ر‬‫ە‬‫تا‬‫ل‬‫ه‬‫پل‬‫ه‬‫ى‬‫گ‬‫ه‬‫رم‬‫ی‬(400℃)‫دایه‬‫و‬
‫ل‬‫ه‬‫پ‬‫ڕ‬‫نوقوم‬‫بوو‬‫ل‬‫ه‬‫تانك‬‫ێ‬‫كى‬‫ڕۆ‬‫ن‬‫ماوەت‬‫ه‬‫و‬‫ە‬‫ل‬‫ه‬(85℃).‫هاوك‬‫ۆ‬‫لك‬‫ه‬‫ك‬‫ه‬‫ی‬‫ه‬‫گواستن‬‫ه‬‫و‬‫ە‬‫گ‬‫ه‬‫رمى‬
(1100W/ .℃)‫ە‬.‫پل‬‫ه‬‫ى‬‫گ‬‫ه‬‫رمی‬‫ه‬‫ك‬‫ه‬‫بکه‬ ‫ههژمار‬‫ل‬‫ه‬(1cm)‫دوور‬‫ل‬‫ه‬‫ههر‬‫س‬‫ێ‬‫ڕ‬‫و‬‫ەکهیهوە‬‫پاش‬2
‫خول‬‫ه‬‫ك‬.
Given: 2L=12cm=0. 12m =0.06m, initial temperature = = 400℃, fluid
temperature = 85℃, heat transfer coefficient =h=1100W/ . ℃,
x=0.01m from the surfaces=0.11m from the center, time= =2 min=120sec.
℃
‫تێبینی‬‌‌:‫ئه‬‌‫گه‬‌‫ر‬‌‫پرسیاره‬‌‫كه‬‌‌‫داوای‬‌‫دۆزینه‬‌‫وه‬‌‫ی‬‌‫پله‬‌‫ی‬‌‫گه‬‌‫رمی‬‌‫كردبوو‬‌‫له‬‌‌‫دورییه‬‌‫كی‬‌‫زانراو‬‌‌‫له‬‌‌‫ڕووه‬‌‫كه‬‌‫یه‬‌‫وه‬‌‌
‫واته‬‌‌‫له‬‌)surface‌(‫ه‬‌‫وه‬‌‌‫ئه‬‌‫وا‬‌‫ده‬‌‫بێت‬‌‫ئێمه‬‌‌‫ئه‬‌‫م‬‌‫دوورییه‬‌‌‫بگۆڕین‬‌‫به‬‌‫گوێره‬‌‫ی‬‌‫ناوه‬‌‫ڕاستی‬‌‫گۆیه‬‌‫كه‬‌‌.‫چونكه‬‌‌)x‌(
‫له‬‌‫ناوه‬‌‫ڕاسته‬‌‫وه‬‌‌‫پێوراوه‬‌.
Solution:
From the chart of page 65 in the Data
Book:
116
1cm from the surface:
‫تێبینی‬‌‌:‫ئه‬‌‫گه‬‌‫ر‬‌‫پرسیاره‬‌‫كه‬‌‌‫داوای‬‌‫دۆزینه‬‌‫وه‬‌‫ی‬‌‫پله‬‌‫ی‬‌‫گه‬‌‫رمی‬‌‫كردبوو‬‌‫له‬‌‌‫دورییه‬‌‫كی‬‌‫زانراو‬‌‌‫له‬‌‌‫ڕووه‬‌‫كه‬‌‫یه‬‌‫وه‬‌‌
‫واته‬‌‌‫له‬‌)surface‌(‫ه‬‌‫وه‬‌‌‫ئه‬‌‫وا‬‌‫ده‬‌‫بێت‬‌‫ئێمه‬‌‌‫ئه‬‌‫م‬‌‫دوورییه‬‌‌‫بگۆڕین‬‌‫به‬‌‫گوێره‬‌‫ی‬‌‫ناوه‬‌‫ڕاستی‬‌‫پلێته‬‌‫كه‬‌‌.‫چونكه‬‌‌)x‌(
‫له‬‌‫ناوه‬‌‫ڕاسته‬‌‫وه‬‌‌‫پێوراوه‬‌.
L=0.06cm but x=0.06-0.01=0.05cm
From the chart of page 66 in the Data Book:
=0.45
0.45
0.45
117
℃
MODULE
CONVECTION
Convection Heat Transfer-Requirements
‫ڕاگوێزان‬
‫پێداویستیى‬‫هکانی‬‫گهرمی‬ ‫گواستنهوەی‬‫ههڵگرتن‬
The heat transfer by convection requires a solid - fluid interface, a
temperature difference between the solid surface and the surrounding fluid
118
and a motion of the fluid. The process of heat transfer by convection would
occur when there is a movement of macro-particles of the fluid in space from
a region of higher temperature to lower temperature.
‫گواستن‬‫ه‬‫و‬‫ە‬‫ى‬‫گ‬‫ه‬‫رمى‬‫به‬‫ڕ‬‫اگو‬‫ێ‬‫زان‬‫نێوانهڕو‬ ‫به‬ ‫پێویستی‬(‫ڕەق‬-‫شلگاز‬)،‫جیاوازی‬‫ێ‬‫كى‬‫پل‬‫ه‬‫ى‬
‫گ‬‫ه‬‫رمى‬‫ل‬‫ه‬‫ن‬‫ێ‬‫وان‬‫ڕ‬‫وو‬‫ە‬‫پت‬‫ه‬‫وو‬‫ە‬‫ك‬‫ه‬‫و‬‫شلگازەکهی‬‫چوارد‬‫ە‬‫ور‬‫ی‬‫و‬‫ە‬‫جوڵه‬‫ى‬‫شلگازە‬‫ك‬‫ه‬‫د‬‫ە‬‫ب‬‫ێ‬‫ت‬.‫پێڤاژۆی‬
‫گواست‬‫ن‬‫هوەی‬‫گهرمى‬‫به‬‫ههڵگرتن‬‫ڕ‬‫وو‬‫د‬‫ە‬‫دات‬‫كات‬‫ێ‬‫ك‬‫جوڵه‬‫ى‬‫وردەکان‬ ‫تهنۆلکه‬‫ى‬‫شل‬‫ه‬‫ك‬‫ه‬‫ل‬‫ه‬‫ب‬‫ۆ‬‫ش‬‫ای‬‫دا‬
‫ههبێت‬‫ل‬‫ه‬‫ناوچ‬‫ه‬‫یهکی‬‫پل‬‫ه‬‫ى‬‫گ‬‫ه‬‫رمى‬‫بۆ‬ ‫بهرزترەوە‬‫پل‬‫ه‬‫ى‬‫گ‬‫ه‬‫رمى‬‫نزم‬‫تر‬.
Convection Heat Transfer Mechanism ً‫هیكبًیسه‬‫گەرهی‬ ‫گىاضتٌەوەی‬‫هەڵگرتي‬
Let us imagine a heated solid surface, say a plane wall at a temperature
Tw placed in an atmosphere at temperature T , Figure 2.1 Since all real fluids
are viscous, the fluid particles adjacent to the solid surface will stick to the
surface. The fluid particle at A, which is at a lower temperature, will receive
heat energy from the plate by conduction.
‫گەرهکراو‬ ‫ڕەقی‬ ‫ڕويەکی‬ ‫خۆهبى‬ ‫چبوی‬ ‫پێع‬ ‫ثیهێٌیٌە‬ ‫ئێوە‬ ‫ثب‬،‫ثڵێ‬‫تەخت‬ ً‫ديىارێك‬‫ل‬‫ە‬‫پل‬‫ە‬‫ي‬
‫گ‬‫ە‬ً‫ره‬Tw‫دا‬‫داًرا‬‫ل‬‫ە‬‫ك‬‫ە‬‫غ‬‫ێ‬‫ك‬‫ذا‬‫ل‬‫ە‬‫پل‬‫ە‬‫ي‬‫گ‬‫ە‬ً‫ره‬T،‫وێٌەی‬( .2.1)‫لەثەرئەوەی‬‫ه‬‫ە‬‫هىو‬‫غلگبزە‬
‫ڕ‬‫اضت‬‫ە‬ٌ‫قی‬‫ەکبى‬،‫لیٌجي‬‫غلگبزەکە‬ ًً‫تەًۆچكەكب‬‫ثۆ‬ ‫دەثي‬ ‫هبوضێ‬‫ڕ‬‫وو‬‫ە‬‫پت‬‫ە‬‫و‬‫ەکە‬‫و‬‫ثەڕ‬ ‫دەًىضێي‬‫وو‬‫ە‬‫ك‬‫ەوە‬.
‫غلگبزەکە‬ ًً‫تەًۆچكەكب‬‫ل‬‫ە‬A‫دا‬،‫ك‬‫ە‬‫ل‬‫ە‬‫پل‬‫ە‬‫ي‬‫گ‬‫ە‬‫ًسهتر‬ ً‫ره‬‫دايە‬،‫وز‬‫ە‬‫ي‬‫گ‬‫ە‬ً‫ره‬‫و‬‫ە‬‫ر‬‫ثگر‬‫ێ‬‫ت‬
‫ل‬‫ە‬‫پلێتەکە‬‫وە‬‫ثەگ‬‫ە‬‫يبًذى‬.
The internal energy of the particle would Increase and when the
particle moves away from the solid surface (wall or plate) and collides with
119
another fluid particle at B which is at the ambient temperature, it will transfer
a part of its stored energy to B. And, the temperature of the fluid particle at B
would increase. In this way, the heat energy is transferred from the heated
plate to the surrounding fluid. Therefore in the process of heat transfer by
convection involves a combined action of heat conduction, energy storage and
transfer of energy by mixing motion of fluid particles.
ً‫ًبوەکی‬ ‫وزەي‬‫ت‬‫ە‬ً‫ۆ‬‫چك‬‫ە‬‫ك‬‫ە‬‫زيبد‬‫د‬‫ە‬‫كبت‬‫(ديىار‬ ‫ڕەقەکەوە‬ ‫ڕوە‬ ‫لە‬ ‫دەجىڵێت‬ ‫تەًۆلکەکە‬ ‫کبتێک‬ ‫وە‬
)‫پلێت‬ ‫يبى‬‫لە‬ ‫غلگبزەکەدادا‬ ‫تری‬ ‫تەًۆلکەيەکی‬ ‫ثە‬ ‫دەکێػێت‬ ‫خۆی‬ ‫وە‬B‫گەرهی‬ ‫پلەی‬ ‫لە‬ ‫کە‬ ‫دا‬
‫ثۆ‬ ‫دەگىازێتەوە‬ ‫خەزًکراوەکەی‬ ‫وزە‬ ‫ثەغێکی‬ ،‫دەوروثەردايە‬B‫لە‬ ‫غلگبزەکە‬ ‫گەرهی‬ ‫پلەی‬ ‫وە‬B‫دا‬
.‫دەکبت‬ ‫زيبد‬‫غلگبزەکەی‬ ‫ثۆ‬ ‫گەرهکراوەکەوە‬ ‫پلێتە‬ ‫لە‬ ‫دەگىازرێتەوە‬ ‫گەرهی‬ ‫وزەی‬ ،‫ڕێگەيەدا‬ ‫لەم‬
،‫هەڵگرتٌذا‬ ‫ثە‬ ‫گەرهی‬ ‫گىاضتٌەوەی‬ ‫پێڤبژۆی‬ ‫لە‬ ‫لەثەرئەوە‬ .‫چىاردەوری‬‫گەيبًذًی‬ ‫کۆکراوەی‬ ‫کبرداری‬
.‫غلگبزەکە‬ ‫تەًۆلکەکبًی‬ ‫تێکەڵکردًی‬ ‫جىڵەی‬ ‫ثە‬ ‫وزە‬ ‫گىاضتٌەوەی‬ ‫و‬ ‫وزە‬ ‫خەزًکردًی‬ ،‫گەرهی‬
Figure Principle of heat transfer by convection
‫وێنهی‬‫ههڵگهتن‬ ‫به‬ ‫گهرمی‬ ‫گواستنهوەی‬ ‫بنهمای‬
Free and Forced Convection ‫ثەهێسکراو‬ ‫و‬ ‫ضەرثەضت‬ ‫هەڵگرتٌی‬
When the mixing motion of the fluid particles is the result of the density
120
difference caused by a temperature gradient, the process of heat transfer is
called natural or free convection. When the mixing motion is created by an
artificial means (by some external agent), the process of heat transfer is called
forced convection, it is essential to have knowledge of the characteristics of
fluid flow. Since the effectiveness of heat transfer by convection depends
largely on the mixing
‫كات‬‫ێک‬‫جوڵهى‬‫ت‬‫ێ‬‫ك‬‫هڵ‬‫كردن‬‫ی‬‫ت‬‫ه‬‫ن‬‫ۆ‬‫چك‬‫ه‬‫ك‬‫ان‬‫ى‬‫شل‬‫بریتیهله‬ ‫گازاکه‬‫ئ‬‫ه‬‫نجام‬‫ی‬‫جیاوازى‬‫چ‬‫ڕ‬‫ى‬‫که‬
‫بوەته‬‫گرێگرێبونی‬ ‫هۆی‬‫پل‬‫ه‬‫ى‬‫گ‬‫ه‬،‫رمى‬‫پێڤاژۆی‬‫گهرمى‬ ‫گواستنهوەی‬‫سروشتی‬ ‫ههڵگرتنی‬ ‫پێیدەوترێت‬
‫یان‬‫سهربهست‬ ‫ههڵگرتنی‬.‫كات‬‫ێ‬‫ك‬‫ك‬‫ه‬‫جوڵه‬‫ی‬‫ت‬‫ێ‬‫ك‬‫هڵ‬‫كردن‬‫هکه‬‫به‬‫ڕێ‬‫گای‬‫ێ‬‫كى‬‫د‬‫ە‬‫ستكرد‬(‫بهه‬‫ه‬‫ند‬‫ێ‬‫ك‬
‫بریكارى‬‫د‬‫ە‬‫ر‬‫ەکی‬)‫دروست‬‫دەکرێت‬،‫پێڤاژۆی‬‫گهرمى‬ ‫گواستنهوەی‬‫ڕ‬ ‫پێیدەوترێت‬‫اگو‬‫ێ‬‫زانى‬
‫بههێزکراو‬،‫ئ‬‫ه‬‫و‬‫ە‬‫گرنگ‬‫ه‬‫ب‬‫ۆ‬‫زانین‬‫ی‬‫تایب‬‫ه‬‫تم‬‫ه‬‫ندی‬‫ه‬‫ك‬‫انی‬‫ڕۆ‬‫یشتنى‬‫شلگاز‬.‫کاریگهری‬ ‫لهبهرئهوە‬
.‫تێکهلکردن‬ ‫لهسهر‬ ‫بهندە‬ ‫بهزۆری‬ ‫بهههڵگرتن‬ ‫گهرمی‬ ‫گواستنهوەی‬
Basic Difference between Laminar and Turbulent Flow
ً‫جیبوازي‬ٌ‫ث‬‫ەڕە‬ً‫ت‬‫ل‬‫ە‬ً‫ێ‬‫ىاى‬‫ڕۆ‬ًٌ‫يػت‬‫ڕۆيػتٌی‬ ‫و‬ ‫خػۆک‬‫غێىاو‬
In laminar or streamline flow, the fluid particles move in layers such
that each fluid particle follows a smooth and continuous path. There is no
macroscopic mixing of fluid particles between successive layers, untill the fluid
will turn around a comer or an obstacle is to be crossed.
‫ل‬‫خػۆک‬ ‫ڕۆيػتٌی‬ ‫ە‬‫يبى‬‫لە‬‫هێڵەجۆگەدا‬ ‫ڕۆيػتٌی‬،‫غلگبزەکە‬ ًً‫تەًۆچكەكب‬‫د‬‫ە‬‫جىل‬‫ێ‬‫ي‬‫ثەغێىەی‬
121
‫چیي‬‫چیي‬‫ئەوەی‬ ‫وەک‬ ‫هەر‬‫ك‬‫ە‬‫ه‬‫ە‬‫ر‬‫غلگبزەکە‬ ‫تەًۆلکەيەکی‬‫و‬ ‫ثەردەوام‬ ‫ڕێڕەوێکی‬ ‫غىێٌی‬‫لىوش‬
‫ورديلەی‬ .‫کەوتىە‬‫ت‬‫ە‬ً‫ۆ‬‫چك‬‫غلگبزەکە‬ ‫ەکبًی‬‫ت‬‫ێ‬‫ك‬‫ًیە‬ ‫ەڵجىًیبى‬‫ل‬‫ە‬ً‫ێ‬‫ىاى‬ٌ‫چی‬‫ە‬‫ي‬‫ە‬‫ك‬‫ل‬‫ە‬‫دواي‬‫ي‬‫ە‬‫ك‬‫ەکبًذا‬،‫ه‬‫ە‬‫تب‬
‫ئ‬‫ە‬‫و‬‫كبت‬‫ە‬‫ي‬‫پێچذەکبتەوە‬ ‫غلگبزەکە‬‫ضىچێکذا‬ ‫ثەدەوری‬‫يبى‬‫ث‬‫ە‬‫رث‬‫ە‬‫ضت‬‫ێ‬‫ك‬‫ە‬‫تب‬‫ثپ‬‫ەڕ‬‫ر‬‫ێ‬‫ت‬‫ە‬‫و‬‫ە‬.
If a line dependent fluctuating motion is observed in directions which
are parallel and transverse to the main flow, i.e., there is a random
macroscopic mixing of fluid particles across successive layers of fluid flow, the
motion of the fluid is called' turbulent flow'. The path of a fluid particle would
then be zigzag and irregular, but on a statistical basis, the overall motion of
the macro-particles would be regular and predictable.
‫ئ‬‫ە‬‫گ‬‫ە‬‫ر‬‫هێڵێک‬‫پػت‬‫ث‬‫ە‬‫ضتىو‬‫ثە‬‫جىڵە‬‫هەڵجەزوداثەزکردى‬‫ت‬‫ێ‬ًٌ‫جی‬‫ثكر‬‫ێ‬‫ت‬‫ل‬‫ە‬‫ئب‬‫ڕ‬‫اضت‬‫ەکبًذا‬‫ك‬‫ە‬‫ت‬‫ە‬‫ريت‬‫و‬
‫ئبضۆی‬‫ث‬‫ۆ‬‫ڕۆ‬ٌ‫يػت‬‫ە‬‫ض‬‫ە‬‫ر‬‫ە‬‫ك‬‫یەکە‬‫به‬ ‫ههیه‬ ‫تێکهڵبونیان‬ ‫وردە‬ ‫شلگازەکه‬ ‫تهنۆلکهکانی‬ ،‫واتایهکیتر‬ ‫به‬ ،
،‫شلگازەکه‬ ‫رۆیشتنی‬ ‫چینهکانی‬ ‫ستونی‬‫ڕێچکهی‬ .‫شێواو‬ ‫رۆیشتنی‬ ‫پێیدەوترێت‬ ‫شلگازەکه‬ ‫جوڵهی‬
‫گشتگیری‬ ‫جوڵهی‬ ،‫وەستاوەکان‬ ‫بنهما‬ ‫لهسهر‬ ‫بهاڵم‬ ،‫دەبێت‬ ‫ناڕێک‬ ‫و‬ ‫زیگزاگ‬ ‫شلگازێک‬ ‫تهنۆلکهی‬
. ‫دەبێت‬ ‫چاوەڕوانکراو‬ ‫و‬ ‫ڕێک‬ ‫وردەکان‬ ‫تهنۆلکه‬
Formation of a Boundary Layer ‫دروضت‬ًً‫كرد‬ٌ‫چی‬‫ێ‬ً‫ك‬‫ضٌىور‬
When a fluid flows over a surface, irrespective of whether the flow is
laminar or turbulent, the fluid particles adjacent to the solid surface will
always stick to it and their velocity at the solid surface will be zero, because of
the viscosity of the fluid. Due to the shearing action of one fluid layer over the
adjacent layer moving at the faster rate, there would be a velocity gradient in
a direction normal to the flow.
‫كبت‬‫ێ‬‫ك‬‫دەڕوات‬ ‫ڕويەکذا‬ ‫ثەضەر‬ ‫غلگبزێک‬،‫ثەوەوە‬ ‫هەثێت‬ ‫پەيىەًذی‬ ‫ثەثێئەوەی‬‫داخىا‬
‫ڕۆ‬ٌ‫يػت‬‫ە‬‫ك‬‫خػۆکە‬ ‫ە‬‫ي‬‫بى‬‫غێىاو‬‫ە‬،‫غلگبزەکە‬ ًً‫تەًۆچكەكب‬‫ڕ‬ ‫ثۆ‬ ‫دەثي‬ ‫هبوضێ‬‫وو‬‫ە‬‫پت‬‫ە‬‫و‬‫و‬ ‫ەکە‬‫دەًىضێي‬
‫ثەڕ‬‫وو‬‫ە‬‫ك‬‫ەوە‬.‫وە‬‫خ‬‫ێ‬‫رايییبى‬‫ل‬‫ە‬‫ڕ‬‫وو‬‫ە‬‫پت‬‫ە‬‫و‬‫ەکەدا‬‫د‬‫ە‬‫ث‬‫ێ‬،‫ضفر‬ ‫ت‬‫ث‬‫ە‬‫ه‬‫ۆ‬‫ي‬‫غلگبزەکەوە‬ ‫لیٌجی‬.‫ث‬‫ە‬‫ه‬‫ۆی‬‫كبري‬
‫ترازاًی‬‫ي‬‫ە‬‫ك‬ًٌ‫چی‬‫غلگبزەکە‬‫ثە‬‫ض‬‫ە‬‫ر‬ٌ‫چی‬‫ەکەی‬‫دراوش‬‫ێیدا‬‫خێراترە‬ ‫ڕێژەيەکی‬ ‫ثە‬ ‫جىڵەکەی‬ ‫کە‬،‫ل‬‫ە‬‫و‬‫ێ‬
‫خ‬‫ێ‬‫راي‬‫ێکی‬‫پلەپلە‬‫د‬‫ە‬‫ث‬‫ێ‬‫ت‬‫ثە‬.‫رۆيػتٌەکە‬ ‫ثۆ‬ ‫ئەضتىى‬
122
Figure 2.2: sketch of a boundary layer on a wall
‫ه‬‫ێ‬ً‫لكبري‬ٌ‫چی‬‫ێ‬ً‫ك‬‫ضٌىور‬‫ل‬‫ە‬‫ض‬‫ە‬‫ر‬‫ديىار‬‫ێ‬‫ك‬
Let us consider a two-dimensional flow of a real fluid about a solid
(slender in cross-section) as shown in Figure 2.2. Detailed investigations have
revealed that the velocity of the fluid particles at the surface of the solid is
zero. The transition from zero velocity at the surface of the solid to the free
stream velocity at some distance away from the solid surface in the V-
direction (normal to the direction of flow) takes place in a very thin layer
called 'momentum or hydrodynamic boundary layer'. The flow field can thus
be divided in two regions:
‫ثب‬‫ڕۆ‬ ‫ئێوە‬ٌ‫يػت‬‫ێ‬‫ك‬‫ڕەهەًذی‬ ‫دو‬ ‫ی‬‫غل‬‫گبزێ‬ً‫ك‬‫ڕ‬‫اضت‬‫ە‬ٌ‫قی‬‫ە‬‫دا‬‫د‬‫ە‬ً‫ێ‬‫یي‬‫ث‬‫ە‬‫ًسيکی‬‫پت‬‫ە‬‫و‬(‫ثبريك‬‫ل‬‫ە‬
‫پبًەثڕگەدا‬)‫ه‬‫ە‬‫رو‬‫ە‬‫ك‬ً‫ًیػب‬‫ذراوە‬‫ل‬‫ە‬‫وێٌەی‬(2.2).‫دا‬ٌ‫پػكٌی‬‫ە‬‫در‬‫ێ‬‫ژ‬‫ە‬‫پ‬‫دەريبًخطتىە‬ ‫ێذراوەکبى‬‫ك‬‫ە‬
‫خ‬ ‫غلگبزەکە‬ ًً‫تەًۆچكەكب‬‫ێ‬‫رايی‬‫ە‬‫ك‬‫ەيبى‬‫ضفر‬‫ە‬‫ل‬‫ەضەر‬‫ڕ‬‫وو‬‫ە‬‫پت‬‫ە‬‫و‬‫ەکە‬.‫ت‬‫ێ‬‫پ‬‫ەڕ‬ٌ‫ي‬‫ە‬‫ك‬‫ە‬‫ل‬‫ە‬‫خ‬‫ێ‬ً‫راي‬‫ضفر‬‫دا‬‫ل‬‫ەضەر‬
‫ڕ‬‫وو‬‫ە‬‫ي‬‫پت‬‫ە‬‫و‬‫ئبڕاضتەی‬ ‫ثە‬ ‫ەکە‬ V ‫ڕودەدات‬ ‫تەًکذا‬ ‫زۆر‬ ‫چیٌێکی‬ ‫لە‬ )‫ڕۆيػتٌەکە‬ ‫ئبڕاضتەی‬ ‫ثۆ‬ ‫(ئەضتىى‬
.‫ئبوەثساوتي‬ ‫ضٌىری‬ ‫جیٌی‬ ‫يبى‬ ‫تەوژم‬ ‫دەوترێت‬ ‫پێی‬‫دەتىاًرێت‬ ‫ڕۆيػتٌەکە‬ ‫ثىاری‬ ‫ثەهػێىەيە‬
:‫ڕژێن‬ ‫دو‬ ‫ثۆ‬ ‫داثەغجکرێت‬
123
( i) A very thin layer in the vicinity 0, a velocity gradient normal to the
direction of flow, the velocity gradient du/dy being large. In this thin region,
even a very small Viscosity  of the fluid exerts a substantial Influence and
the shearing stress    du/dy may assume large values. The thickness of the
boundary layer is very small and decreases with decreasing viscosity.
( i)‫چینى‬‫ز‬‫ۆ‬‫ر‬‫باریك‬‫ل‬‫ئهستونه‬ ‫پلهپله‬ ‫خێراییهکی‬ ،‫سفر‬ ‫هنزیک‬‫ب‬‫ۆ‬‫ئا‬‫ڕ‬‫است‬‫ه‬‫ى‬‫ڕۆ‬‫یشتن‬‫هکه‬،‫خێراییهکی‬
‫پلهپلهییهکه‬(du/dy)‫زل‬‫دەبێت‬.‫ل‬‫ه‬‫م‬‫ناوچ‬‫ه‬‫باریك‬‫هدا‬،‫ت‬‫ه‬‫نان‬‫ه‬‫ت‬‫لینجی‬‫ز‬‫ۆ‬‫ر‬‫بچووكى‬‫شل‬‫ه‬‫ك‬‫ه‬
‫كاریگ‬‫ه‬‫ری‬‫ێ‬‫كى‬‫گرنگ‬‫ك‬‫ۆ‬‫شش‬‫د‬‫ە‬‫كات‬‫و‬‫ە‬‫فشار‬‫ی‬‫ترازان‬  ‫ل‬‫ه‬‫وان‬‫ه‬‫ی‬‫ه‬‫وا‬‫دا‬‫بن‬‫ێ‬‫نرخى‬ ‫ت‬
‫زل‬‫بێت‬.‫ئهستورى‬‫چینى‬‫سنوور‬‫ەکه‬‫ز‬‫ۆ‬‫ر‬‫بچووك‬‫ه‬‫و‬‫ك‬‫ه‬‫م‬‫دەکات‬‫ل‬‫ه‬‫گ‬‫هڵ‬‫ك‬‫ه‬‫م‬‫بوون‬‫ه‬‫و‬‫ەی‬‫لینجی‬.
(ii) In the remaining region, no such large velocity gradients exist and
the Influence of viscosity is unimportant. The flow can be considered
frictionless and potential.
(ii)‫له‬‫ناوچ‬‫هی‬‫مان‬‫ه‬‫و‬‫ەدا‬،‫خ‬‫ێ‬‫رایي‬‫پلهپلهبوی‬‫ئ‬‫ه‬‫وها‬‫زل‬‫نیه‬ ‫بونی‬‫و‬‫كاریگ‬‫ه‬‫ری‬‫ه‬‫ك‬‫ه‬‫ى‬‫لینجی‬
‫ناگرنگ‬‫ه‬.‫ڕۆ‬‫یشتن‬‫ه‬‫ك‬‫ه‬‫د‬‫ە‬‫توان‬‫ێ‬‫ت‬‫وانرێت‬‫دا‬‫بن‬‫ێ‬‫ر‬‫ێ‬‫ت‬‫ب‬‫و‬ ‫بێلێخشان‬ ‫ه‬‫مات‬‫و‬‫شاراو‬‫ە‬.

Heat Transfer Engineering

  • 1.
  • 2.
    2 www.ferhang.com ‫فه‬‌‫رهه‬‌‫نگى‬‌‫ئه‬‌‫ندازیارى‬‌ Chapter 1 Introduction‫پێػەکی‬ Heat Energy and Heat Transfer ‫وزەی‬‌‫گهرمی‬‌‫و‬‌‫گواستنهوەی‬‌‫گهرمی‬ What is Heat energy? Heat is a form of energy in transition and it flows from one system to another, without transfer of mass, whenever there is a temperature difference between the systems. Heat always moves from a warmer place to a cooler place. ‫وزەی‬‌‫گهرمی‬‌‫چیه؟‬‌ ‫گهرمی‬‌‫شێوەیهکی‬‌‫وزەیه‬‌‫له‬‌‫گواستنهوەدا‬‌‫وە‬‌‫له‬‌‫سیستهمێکهوە‬‌‫دەروات‬‌‫بۆ‬‌‫سیستهمێکیتر‬‌‫بێئهوەی‬‌‫بارستای‬‌ ‫بگواسرێتهوە‬‌‫ههرچۆنێکبێت‬‌‫جیاوازی‬‌‫پلهی‬‌‫گهرمی‬‌‫ههیه‬‌‫لهنێوان‬‌‫سیستهمهکاندا‬‌،‌‫ههمیشه‬‌‫گهرمی‬‌ ‫لهشوێنێکی‬‌‫گهرمترەوە‬‌‫دەجوڵێت‬‌‫بۆ‬‌‫شوێنێکی‬‌‫ساردتر‬.‌ What is Heat transfer? The science of how heat flows is called heat transfer. ‫گواستنهوەی‬‌‫گهرمی‬‌‫چیه؟‬‌ ‫ئهو‬‌‫زانستهی‬‌‫له‬‌‫چۆنێتی‬‌‫گواستنهوەی‬‌‫گهرمی‬‌‫دەکۆڵێتهوە‬‌‫پێیدەوترێت‬‌‫گواستنهوای‬‌‫گهرمی‬.‌ ‌ Importance of Heat Transfer ‫گرنگی‬‌‫گواستنهوەی‬‌‫گهرمی‬ What is Importance of Heat Transfer?
  • 3.
    3 Heat transfer processesinvolve the transfer and conversion of energy and therefore, it is essential to determine the specified rate of heat transfer at a specified temperature difference. The design of Equationuipments like boilers, refrigerators and other heat exchangers rEquationuire a detailed analysis of transferring a given amount of heat energy within a specified time. Components like gas/steam turbine blades, combustion chamber walls, electrical machines, electronic gadgets, transformers, bearings, etc rEquationuire continuous removal of heat energy at a rapid rate in order to avoid their overheating. ‫گرنگی‬‌‫گواستنهوەی‬‌‫گهرمی‬‫چییه؟‬‌ ‫پرۆسهکانی‬‌‫گواستنهوەی‬‌‫گهرمی‬‌‫بهژدارن‬‌‫له‬‌‫گواستنهوە‬‌‫و‬‌‫پاراستنی‬‌‫وزە‬‌‫وە‬‌‫لهبهرئهوە‬‌‫بنچینهی‬‌ ‫دۆزینهوەی‬‌‫بری‬‌‫گهرمی‬‌‫دیاریکراوە‬‌‫له‬‌‫جیاوازی‬‌‫پلهیهکی‬‌‫گهرمی‬‌‫دیاریکراودا‬‌‌.‫دیزاینی‬‌‫ئامێرەکهنی‬‌ ‫وەکو‬‌‫بۆیلهرو‬‌‫بهفرگرو‬‌‫گوێزەرەوە‬‌‫گهرمیهکانیتر‬‌‫پێویستیان‬‌‫به‬‌‫شیکارێکی‬‌‫درێژی‬‌‫گواستنهوەی‬‌‫برێکی‬‌ ‫دیاریکراوی‬‌‫وزەی‬‌‫گهرمی‬‌‫ههیه‬‌‫لهکاتێکی‬‌‫دیاریکراودا‬‌.‫پێکهێنارەکانی‬‌‫وەک‬‌‫پهرەی‬‌‫تۆرباینی‬‌‫ههڵمی‬‌‫و‬‌ ‫گازی‬‌،‌‫دیوارەکانی‬‌‫ژوری‬‌‫سوتان‬‌،‌‫مهکینه‬‌‫کارەبییهکان‬‌‫ئامێرە‬‌‫ئهلکترۆنیهکان‬‌‫محاویلهکانو‬‌‫بێرینگهکانو‬‌ ‫ههتا‬‌‫دوای‬‌‫پێویسته‬‌‫بهبهردەوامی‬‌‫گهرمیهکهیان‬‌‫الببرێت‬‌‫لهکاتێکی‬‌‫خێرادا‬‌‫بۆئهوەی‬‌‫دوربن‬‌‫له‬‌ ‫زۆرگهرمبون‬‌.‌ ‌ ‌ ‌ ‌ Thermal Equilibrium ‫هاوسهنگی‬‌‫گهرمی‬ What isThermal Equilibrium? Two bodies are in thermal Equilibrium with each other when they have the same temperature. In nature, heat always flows from hot to cold until thermal Equilibrium is reached. Hot objects in a cooler room will
  • 4.
    4 cool to roomtemperature. Cold objects in a warmer room will heat up to room temperature. ‫هاوسهنگی‬‌‫گهرمی‬‌‫چیه؟‬ ‫دو‬‌‫تهن‬‌‫له‬‌‫هاوسهنگی‬‌‫گرمیدان‬‌‫لهگهڵ‬‌‫یهکتری‬‌‫کاتێک‬‌‫ههردوکیان‬‌‫ههمان‬‌‫پلهیگهرمیان‬‌‫ههبێت‬‌.‫له‬‌ ‫سروشدا‬‌،‌‫گهرمی‬‌‫ههمیشه‬‌‫ال‬‌‫گهرمهوە‬‌‫دەچێت‬‌‫بۆ‬‌‫سارد‬‌‫ههتا‬‌‫دەگهنه‬‌‫هاوسهنگبونی‬‌‫گهرمی‬‌. ‫شتهگهرمهکان‬‌‫له‬‌‫ژورێکی‬‌‫ساردا‬‌‫سارددەبن‬‌‫بۆ‬‌‫پلهی‬‌‫گهرمی‬‌‫ژورەکه‬‌.‫شتهساردەکهن‬‌‫له‬‌‫ژورێکی‬‌ ‫گهرمدا‬‌‫گهرمدەبن‬‌‫بۆ‬‌‫پلهی‬‌‫گهرمی‬‌‫ژورەکه‬. If a cup of coffee and a red popsickle were left on the table in a room what would happen to them? Why? The cup of coffee will cool until it reaches room temperature. The popsickle will melt and then the liquid will warm to room temperature. ‫ئهگهر‬‌‫کوپێک‬‌‫قاوەو‬‌‫چلورەیهکی‬‌‫سور‬‌‫بهجێبهێڵرێن‬‌‫لهسهر‬‌‫مێزێک‬‌‫له‬‌‫ژورێکدا‬‌‫چییان‬‌ ‫بهسهردێت؟‬‌‫بۆچی؟‬ ‫کوپه‬‌‫قاوەکه‬‌‫سارددەبێت‬‌‫ههتا‬‌‫دەگاته‬‌‫پلهی‬‌‫گهرمی‬‌‫ژورەکه‬‌.‫چلورەکه‬‌‫گهرمدەبێت‬‌‫ههتا‬‌‫دەگاته‬‌ ‫پلهی‬‌‫گهرمی‬‌‫ژورەکه‬. What are the ways of heat transfer? ‫ڕێگاكانی‬‌‫گواستنه‬‌‫وه‬‌‫ی‬‌‫گه‬‌‫کامانهن؟‬ ‫رمی‬ The heat transfer processes have been categorized into three basic modes: ‫کردارەکانی‬‌‫گوستنهوەی‬‌‫گهرمی‬‌‫جیاکراونهتهوە‬‌‫بۆ‬‌‫سێ‬‌‫جۆری‬‌‫سهرەکی‬: 1. Conduction ‫گه‬‌‫یاندن‬
  • 5.
    5 2. Convection ‌‫ههڵگرتن‬ 3. Radiation ‫تیشكدان‬ Conduction ‫گهیاندن‬ 1.6 Mechanism of Heat Transfer by Conduction What is conduction? Conduction is the transfer of heat through materials by the direct contact of matter. Particles that are very close together can transfer heat energy as they vibrate. This type of heat transfer is called conduction. Dense metals like copper and aluminum are very good thermal conductors. ‫میكانیزمى‬‫گهرمى‬ ‫گواستنهوەی‬‫ب‬‫ه‬‫گ‬‫ه‬‫یاندن‬ ‫چیه؟‬ ‫گهیاندن‬ ‫ماددە‬ ‫بهناو‬ ‫گهرمیه‬ ‫گواستنهوەكهى‬ ‫گهیاندن‬‫کاندا‬‫به‬‫ماددە‬ ‫ڕاستهوخۆى‬‫کان‬.‫ئهو‬‫تهنۆچك‬‫انای‬‫زۆر‬ ‫كه‬ ‫نزیك‬‫ن‬‫بگوازنهوە‬ ‫گهرمى‬ ‫وزەى‬ ‫دەتواننن‬ ‫پێكهوە‬‫که‬‫جۆرەى‬ ‫ئهم‬ .‫دەلهرێنهوە‬‫گهرمى‬ ‫گواستنهوەی‬‫پێی‬ ‫دەوترێت‬‫گهیاندن‬.‫وەك‬ ‫پڕ‬ ‫كانزاى‬‫مس‬‫باش‬ ‫زۆر‬ ‫گهیێنهرى‬ ‫ئهلهمنیۆم‬ ‫و‬‫ی‬‫گهرم‬‫ین‬.‌ How are the particles arranged in a solid, a liquid and a gas? ‫تهنۆچكهك‬ ‫چۆن‬‫له‬ ‫ان‬‫و‬ ‫ڕەق‬‫شل‬‫ه‬‫گاز‬ ‫و‬‫ڕیزبون‬ ‫ەکاندا‬‫؟‬
  • 6.
    6 Solids usually arebetter heat conductors than liquids, and liquids are better conductors than gases. ‫ڕە‬‫ق‬‫ە‬‫کبى‬‫عبد‬‫ە‬‫ت‬‫ە‬‫ى‬‫ثبغتر‬‫گ‬‫ە‬‫ره‬‫ی‬‫د‬‫ە‬‫گ‬‫ە‬‫ي‬‫ە‬‫ًي‬‫و‬‫ە‬‫ک‬‫ل‬‫ە‬‫غل‬‫ە‬،‫کبى‬‫و‬‫غل‬‫ە‬‫کبى‬‫ثبغتر‬‫گ‬‫ە‬‫ره‬‫ی‬‫د‬‫ە‬‫گ‬‫ە‬‫ي‬‫ە‬‫ًي‬ ‫و‬‫ە‬‫ک‬‫ل‬‫ە‬‫گبز‬‫ە‬‫کبى‬. The ability to conduct heat often depends more on the structure of a material than on the material itself. For Example, Solid glass is a thermal conductor when it is formed into a beaker or cup.But When glass is spun into fine fibers, the trapped air makes a thermal insulator. ‫ث‬‫ە‬‫ز‬‫ۆ‬‫ر‬‫ی‬‫تىاًب‬‫ی‬‫گ‬‫ەي‬ً‫بًذ‬‫ی‬‫گ‬‫ە‬ً‫ره‬‫زيبتر‬‫پػت‬‫د‬‫ە‬‫ث‬‫ە‬‫ضت‬‫ێ‬‫ت‬‫ث‬‫ە‬‫دا‬‫ڕ‬‫غت‬‫ە‬‫ك‬‫ە‬‫ي‬‫هبدد‬‫ە‬‫ک‬‫ە‬‫و‬‫ە‬‫ک‬‫ل‬‫ە‬‫هبدد‬‫ە‬‫ك‬‫ە‬ ‫خ‬‫ۆی‬.‫غىغ‬‫ەی‬‫پت‬‫ە‬‫و‬‫گ‬‫ە‬‫ي‬‫ێ‬ٌ‫ە‬‫ر‬‫ێ‬ً‫ك‬‫گەرهی‬‫ە‬‫كبت‬‫ێ‬‫ك‬‫ئ‬‫ە‬‫و‬‫ە‬‫پ‬‫ێ‬‫ك‬‫ه‬‫ێ‬‫ٌرا‬‫ێ‬‫ت‬‫ث‬‫ۆ‬‫پ‬‫ی‬‫ب‬‫ڵەيە‬‫ک‬‫يبى‬‫كىوپ‬‫ێ‬‫ک‬ ‫ث‬‫ەاڵ‬‫م‬‫كبت‬‫ێ‬‫ك‬‫غىغ‬‫ە‬‫د‬‫ەڕێ‬‫طر‬‫ێ‬‫ت‬‫ە‬‫ًبو‬‫ڕ‬‫يػب‬‫ڵە‬‫ورد‬‫ە‬،‫کبى‬‫ه‬‫ە‬‫وا‬‫ق‬‫ە‬‫ت‬‫ی‬‫طوبواک‬‫ە‬‫د‬‫ەي‬‫كبت‬‫ە‬‫جیبكبر‬‫ێ‬ً‫ك‬ ‫گ‬‫ە‬‫ره‬‫ی‬. When you heat a metal strip at one end, the heat travels to the other end. As you heat the metal, the particles vibrate, these vibrations make
  • 7.
    7 the adjacent particlesvibrate, and so on, the vibrations are passed along the metal and so is the heat. ‫كبت‬‫ێ‬‫ك‬‫غريت‬‫ێ‬ً‫ك‬‫كبًسا‬‫گ‬‫ە‬‫رم‬‫د‬‫ە‬‫ك‬‫ە‬‫يت‬‫ل‬‫ە‬‫ض‬‫ە‬‫ر‬‫ێ‬‫ک‬‫ییە‬‫و‬‫ە‬،‫گ‬‫ە‬ً‫ره‬‫د‬‫ەڕ‬‫وات‬‫ث‬‫ۆ‬‫ك‬‫ۆ‬‫تبيی‬‫ە‬‫ک‬‫ەی‬‫تر‬‫ی‬. ‫ههروەك‬‫که‬ ‫ئهوەی‬‫كانزایهك‬‫ئهم‬ ،‫دەلهرێنهوە‬ ‫تهنۆچكهكه‬ ،‫دەكهیت‬ ‫گهرم‬‫لهر‬‫انه‬‫وا‬‫دەكهن‬ ‫تهنۆچكه‬‫کانی‬‫دراو‬‫سێیان‬،‫بلهرێنهوە‬‫و‬‫ە‬،‫ههروەها‬‫لهرەكه‬‫تێ‬‫دەپهڕرن‬‫بهناو‬‫كانزاكه‬‫دا‬‫و‬‫ە‬‫ئهوە‬ ‫گهرمیهكهیه‬. Metals are different, The outer electrons of metal atoms drift, and are free to move. When‌the‌metal‌is‌heated,‌this‌‘sea‌of‌electrons’‌gain‌ kinetic energy and transfer it throughout the metal. But Insulators, such as wood and‌plastic,‌do‌not‌have‌this‌‘sea‌of‌electrons’‌because of this they do not conduct heat as well as metals. ‫كبًسا‬‫کبى‬‫جیبوازى‬،‫ئهلیكترۆن‬‫هکانی‬‫دەرەوەى‬‫وە‬ ‫بهرەاڵن‬ ‫کانزاکه‬ ‫گهردیلهکانی‬‫بجولێت‬ ‫تا‬ ‫ئازادن‬. ‫كاتێك‬‫كرا‬ ‫گهرم‬ ‫كانزاكه‬‫ب‬‫ئهم‬ ،‫ێت‬‫دەریای‬‫ئهلیكترۆن‬‫انه‬‫جووڵه‬‫دەست‬ ‫وزەى‬‫دەكهو‬‫ێت‬‫و‬‫دەی‬‫گوا‬‫زێت‬‫هوە‬ ‫بهناو‬‫كانزاكه‬‫دا‬.‫بهاڵم‬‫جیاكار‬‫ەکان‬،‫و‬‫ە‬‫كو‬‫دار‬‫و‬،‫پالستیك‬‫ئ‬‫ه‬‫م‬‫دەریا‬‫ى‬‫ئ‬‫ه‬‫لیكتر‬‫ۆ‬‫ن‬‫نیه‬ ‫انهیان‬‫بههۆی‬ ‫ئهمهوە‬‫ئ‬‫ه‬‫وان‬‫گ‬‫ه‬‫رم‬‫ی‬‫وەک‬ ‫ههر‬ ‫ناگهیهنن‬‫كانزا‬‫کان‬.
  • 8.
    8 Why does metalfeel colder than wood, if they are both at the same temperature? Metal is a conductor, wood is an insulator. Metal conducts the heat away from your hands. But Wood does not conduct the heat away from your hands as well as the metal, so the wood feels warmer than the metal. ‫ساردتر‬ ‫كانزا‬ ‫بۆچى‬‫ە‬‫ههردوو‬ ‫ئهوان‬ ‫ئهگهر‬ ،‫دار‬ ‫له‬‫کیان‬‫گهرم‬ ‫پلهى‬ ‫ههمان‬ ‫له‬‫یشدابن‬‫؟‬ ‫گهی‬ ‫كانزا‬‫هنهرە‬‫جیاك‬ ‫دار‬ ،‫ارە‬‫گهرمیهكه‬ ‫كانزا‬ .‫ی‬‫دەگهیهنێت‬‫تۆ‬ ‫دەستى‬ ‫له‬‫وە‬.‫بهاڵم‬‫گهرمیهكه‬ ‫دار‬ ‫ناگهیهنێت‬‫تۆوە‬ ‫دەستى‬ ‫له‬.‫دەردەکهوێت‬ ‫گهرمتر‬ ‫کانزاکه‬ ‫له‬ ‫دارەکه‬ ‫لهبهرئهوە‬ ،‫کانزاکان‬ ‫وەک‬
  • 9.
    9 ‌ ‫گواستنه‬‌‫وه‬‌‫ى‬‌‫گه‬‌‫رمییه‬‌‌‫به‬‌‫ناوماده‬‌‌‫ڕه‬‌‫قه‬‌‫كاندا‬‌‫وه‬‌‌‫بڕى‬‌‫گه‬‌‫رمى‬‌‫گواستراوه‬‌‌‌‫به‬‌‫هۆى‬‌‫ئه‬‌‫م‬‌‫یاسایه‬‌‫وه‬‌‌‫ده‬‌‫دۆزریته‬‌‫وه‬‌‌ ‌( ) Where Q isheat transferred rate with Watt. K is thermal conductivity of the material. A is area of the material with . is change in the temperature. is the distance with m. ‫لهویادا‬ Q‫گواست‬ ‫گهرمى‬‫را‬‫وەیه‬‫به‬‫وات‬. K‫توانای‬‫گه‬‫یا‬‫ن‬‫دنی‬‫گهرم‬‫ی‬‫ماددەكهیه‬. A‫ماددەكهیه‬ ‫ڕووبهرى‬‫به‬ ∆T‫گهرمیهكه‬ ‫پلهى‬ ‫له‬ ‫گۆڕانه‬‫دا‬. ∆x‫مهودایهكهیه‬‫به‬‫مهتر‬. Thermal Conductivity ‫توانای‬‫گه‬‫یا‬‫ن‬‫دنی‬‫گهرم‬‫ی‬ The thermal conductivity of a material describes how well the material conducts heat. ‫توانای‬‫گه‬‫یا‬‫ن‬‫دنی‬‫گهرم‬‫ی‬‫ماددەیێك‬‫دەریدەخات‬‫ماددەكه‬ ‫چۆن‬‫گهرمى‬ ‫باش‬‫دەگوازێتهوە‬.
  • 10.
    10 Example 1-1. Oneface of a copper plate 3 cm thick is maintained at 400℃, and the other face is maintained at 100℃. How much heat is transferred through the plate? ‫نمون‬‫ه‬(1.1)‫ی‬‫ه‬‫ك‬‫ڕ‬‫ووى‬‫مس‬ ‫پلێتێکی‬(3 cm)‫ئ‬‫ه‬‫ستور‬‫ه‬‫ێڵ‬‫راو‬‫ە‬‫ت‬‫ه‬‫و‬‫ە‬‫ل‬‫ه‬(400℃)‫دا‬،‫و‬‫ە‬‫ڕ‬‫و‬‫ەکهی‬ ‫تری‬‫ه‬‫ێڵ‬‫راو‬‫ە‬‫ت‬‫ه‬‫و‬‫ە‬‫ل‬‫ه‬(100℃).‫چ‬‫ه‬‫ند‬‫گ‬‫ه‬‫رمى‬‫گوازراو‬‫ە‬‫ت‬‫ه‬‫و‬‫ە‬‫ب‬‫ه‬‫ناو‬‫پلێتهکهدا‬‫؟‬ Solution. From Appendix A the thermal conductivity for copper is 370 W/M·℃ at 250℃.‌From‌Fourier’s‌law :‫غیکبر‬‫ل‬‫ە‬‫پبغك‬‫ۆ‬( ‫ی‬A)‫ە‬‫و‬‫ە‬‫گەرهی‬ ‫گەيبًذًی‬ ‫تىاًبی‬‫ث‬‫ۆ‬‫هص‬(370 W/M·℃)‫ە‬‫ل‬‫ە‬(250℃).‫ل‬‫ە‬ ‫يبضبي‬‫فۆڕێرەوە‬ 2. Convection ‫ههڵگرتن‬ Convection is the transfer of heat, occurs by the motion of liquids and gases due to random molecular motion a long with the macroscopic motion of the fluid particles. Convection in a gas occurs because of gas expands when heated, hot gas rises and cool gas sink. But Convection in liquids also occurs because of differences in density. ‫ههڵگرتن‬‫گهرمیه‬ ‫گواستنهوەى‬‫به‬‫جوو‬‫ڵ‬‫گاز‬ ‫و‬ ‫شله‬ ‫هى‬‫ەکان‬‫ڕودەدات‬.‫ب‬‫ه‬‫ه‬‫ۆ‬‫ى‬‫جوڵه‬‫ى‬‫ه‬‫هڕە‬‫م‬‫ه‬‫كى‬ ‫گ‬‫ه‬‫ردی‬‫ێ‬‫ك‬‫به‬‫در‬‫ێ‬‫ژ‬‫ی‬‫ل‬‫ه‬‫گ‬‫هڵ‬‫جوڵه‬‫ى‬‫ب‬‫ه‬‫چاو‬‫بیندراوى‬‫ت‬‫ه‬‫ن‬‫ۆ‬‫چك‬‫ه‬‫ك‬‫ه‬‫ى‬‫شلگازەکه‬.‫ههڵگرتن‬‫گاز‬ ‫له‬‫دا‬‫ڕوو‬ ‫دەدات‬‫بههۆی‬‫فراوان‬‫ی‬‫گاز‬‫ەکه‬‫گهرم‬ ‫كاتێك‬‫دە‬‫كر‬‫ێت‬.‫بهرز‬ ‫گهرم‬ ‫گازى‬‫دەبێت‬‫سارد‬ ‫گازى‬ ‫و‬ ‫هوە‬ ‫دێنهخوار‬.‫بهاڵم‬‫ههڵگرتن‬‫شله‬ ‫له‬‫کاندا‬‫دەد‬ ‫ڕوو‬‫ات‬‫بههۆى‬.‫چڕییهوە‬ ‫جیاوازی‬
  • 11.
    11 What happens tothe particles in a liquid or a gas when you heat them? The particles spread out and become less dense. ‫ت‬‫ه‬‫ن‬‫ۆ‬‫چك‬‫ه‬‫کان‬‫ل‬‫ه‬‫شل‬‫ه‬‫ی‬‫هکدا‬‫یان‬‫گاز‬‫ێ‬‫کدا‬‫چ‬‫بهسهردێت‬ ‫یان‬‫كات‬‫ێ‬‫ك‬‫گ‬‫ه‬‫رم‬‫یان‬‫د‬‫ە‬‫ك‬‫ه‬‫یت؟‬ ‫ت‬‫ه‬‫ن‬‫ۆ‬‫چك‬‫ه‬‫کان‬‫باڵو‬‫دە‬‫بنهوە‬.‫دەکات‬ ‫کهم‬ ‫چڕیان‬ ‫و‬
  • 12.
    12 Fluid movement: When theflow of gas or liquid comes due to differences in density and temperature zone, it is called natural convection. When the flow of gas or liquid is circulated by pumps or fans it is called forced convection. Convection depends on speed. Motion increases heat transfer by convection in all fluids. ‫جوڵه‬‫شل‬ ‫ى‬‫گازەکان‬: ‫كاتێك‬‫لێشاوی‬‫دێت‬ ‫شله‬ ‫یان‬ ‫گاز‬‫بههۆی‬‫گهرم‬ ‫پلهى‬ ‫و‬ ‫چڕى‬ ‫له‬ ‫جیاوازى‬‫یدا‬‫ئهوە‬ ،‫دەوترێت‬ ‫پێی‬ ‫سروشتی‬ ‫ههڵگرتنی‬.‫ڕۆیشت‬ ‫كاتێك‬‫سووڕراوەتهوە‬ ‫شله‬ ‫یان‬ ‫گاز‬ ‫ى‬‫به‬‫ترومپا‬‫کانهوە‬‫یان‬‫به‬‫ههوادار‬ ‫ئهو‬‫دەوترێت‬ ‫پێی‬ ‫ە‬‫ههڵگرتنی‬.‫بههێزکراو‬ ‫گواستنه‬‌‫وه‬‌‫ی‬‌‫گه‬‌‫رمییه‬‌‌‫به‬‌‫ناوماده‬‌‌‫شلگازه‬‌‫كاندا‬‌‫وه‬‌‌‫بڕی‬‌‫گه‬‌‫رمی‬‌‫گواستراوه‬‌‌‌‫به‬‌‫هۆی‬‌‫ئه‬‌‫م‬‌‫یاسایه‬‌‫وه‬‌‌ ‫ده‬‌‫دۆزرێته‬‌‫وه‬‌‌ ‌‌ ‌ Where Q is heat transferred rate with Watt. h is Heat transfer coefficient. A is surface area of the material with . is change in the temperature. ‫لهویادا‬ Q‫گواست‬ ‫گهرمى‬‫را‬‫وەیه‬‫به‬‫وات‬. h‫هاوكۆلكهى‬‫گواستنهوە‬‫ی‬‫گهرمی‬‫ه‬. A‫ماددەكهیه‬ ‫ڕووى‬ ‫ڕووبهرى‬‫به‬(). ∆T‫گهرمیهكه‬ ‫پلهى‬ ‫له‬ ‫گۆڕانه‬.
  • 13.
    13 Convection depends onsurface area. If the surface contacting of the fluid is increased, the rate of heat transfer increases. Almost all devices made for convection have fins for this purpose. ‫هەڵگرتي‬‫ثە‬ ‫دەثەضتێت‬ ‫پػت‬‫ڕ‬‫ووث‬‫ە‬‫ري‬‫ڕ‬‫وو‬.‫ڕوو‬ ‫ئهگهر‬‫کهوتنی‬ ‫بهریهک‬ ‫ی‬‫شل‬‫گازەکه‬‫زیاد‬ ‫ڕێژى‬ ،‫بكرێت‬‫گهرمى‬ ‫گواستنهوەی‬‫زۆر‬‫دەبێت‬.‫زۆری‬ ‫بهشی‬‫ئامراز‬ ‫ههموو‬‫که‬ ‫ەکانی‬ ‫کراون‬ ‫دروست‬‫بۆ‬‫ههڵگرتن‬،‫پهڕە‬‫یان‬‫ههیه‬‫مهبهسته‬ ‫ئهم‬ ‫بۆ‬. ‌ Example 1-2 Air at 20℃ blows over a hot plate 50cm by 75cm maintained at 250℃. The convection heat transfer coefficient is 25 W/m2·℃. Calculate the heat transfer.
  • 14.
    14 ‫نمونه‬(1.2)‫ه‬‫ه‬‫وا‬‫ل‬‫ه‬(20℃)‫دەدرێت‬‫ل‬‫ه‬‫س‬‫ه‬‫ر‬‫پلێت‬‫ێ‬‫كى‬‫گ‬‫ه‬‫رم‬‫ی‬(50cm)‫به‬(75cm) ‫ه‬‫ێ‬‫شتی‬‫را‬‫و‬‫ە‬‫تهوە‬‫ل‬‫ه‬(250℃)‫دا‬.‫ڕاگوێزان‬ ‫گهرمی‬ ‫گوستنهوەی‬‫هاوکۆلکهی‬(25 W/m2·℃)‫ە‬. ‫گواستن‬‫ه‬‫و‬‫ە‬‫ك‬‫ه‬‫ى‬‫گ‬‫ه‬‫رمى‬‫بکه‬ ‫ههژمار‬. Solution. From‌Newton’s‌law‌of‌cooling :‫غیکبر‬‫ل‬‫ە‬‫يبضبي‬‫ضبرد‬ً‫ثىو‬‫ە‬‫و‬‫ە‬‫ی‬ٌ‫ًیىت‬‫ە‬‫و‬‫ە‬ q = hA(Tw-T∞) = (25)(0.50)(0.75)(250-20) = 2.156 kW Radiation ‌‫تیشکدان‬ Radiation -It is the energy emitted by matter which is at finite temperature. All forms of matter emit radiation to changes the electron configureuration of the constituent atoms or molecules. The transfer of energy by conduction and convection requires the presence of a material medium whereas radiation does not. In fact radiation transfer is most efficient in vacuum. ‫تیػكذاى‬-‫ئ‬‫ە‬‫و‬‫ە‬‫وز‬‫ە‬‫ك‬‫ە‬‫هبدە‬‫ث‬‫اڵ‬‫و‬‫ی‬‫د‬‫ە‬‫كبت‬‫ە‬‫و‬‫ە‬،‫ك‬‫ە‬‫ل‬‫ە‬‫پل‬‫ە‬‫ي‬‫گ‬‫ە‬ً‫رهی‬‫ث‬‫ە‬‫رضىور‬‫دايە‬.‫ه‬‫ە‬‫هىو‬‫غ‬‫ێ‬‫ى‬‫ە‬‫کبًی‬‫هبدە‬ ‫تیػکذاى‬‫ث‬‫اڵ‬‫و‬‫د‬‫ە‬‫كب‬ً‫ە‬‫و‬‫ە‬‫ثۆ‬‫گ‬‫ۆڕ‬ً‫ا‬‫ەکبًی‬‫ڕێ‬ًٌ‫كخطت‬‫ئ‬‫ە‬‫لیكتر‬‫ۆ‬ًً‫گ‬‫ە‬‫رد‬‫يبى‬‫گ‬‫ە‬‫رديل‬‫ە‬‫دروضتك‬‫ە‬‫ر‬.‫ەکبى‬ ٌ‫گىاضت‬‫ە‬‫و‬‫ە‬‫ي‬‫وز‬‫ە‬‫ثە‬‫گ‬‫ە‬‫يبًذى‬‫و‬‫هەڵگرتي‬‫پ‬‫ێ‬‫ىيطت‬‫ثە‬ ‫ی‬‫ئبهبد‬‫ە‬ًً‫ثىو‬‫هبدد‬‫ە‬‫ی‬‫هبهٌبو‬‫ە‬‫ًذي‬‫د‬‫ە‬‫ث‬‫ێ‬‫ت‬‫ك‬‫ە‬ً‫چ‬ ‫تیػكذاى‬‫ًب‬.‫ل‬‫ە‬‫ڕ‬‫اضتیذا‬ٌ‫گىاضت‬‫ە‬‫و‬‫ە‬‫ي‬‫تیػكذاى‬‫ل‬‫ە‬‫ث‬‫ۆ‬ً‫غبي‬‫كبراتر‬‫ە‬.‌ ‌ How does heat energy get from the Sun to the Earth?
  • 15.
    15 There are noparticles between the Sun and the Earth so it CAN NOT travel by conduction or by convection. ‫چ‬‫ۆ‬‫ن‬‫وز‬‫ە‬‫ى‬‫گ‬‫ه‬‫رمى‬‫د‬‫ە‬‫ست‬‫د‬‫ە‬‫ك‬‫ه‬‫و‬‫ێ‬‫ت‬‫ل‬‫ه‬‫خ‬‫ۆ‬‫ر‬‫ە‬‫و‬‫ە‬‫ب‬‫ۆ‬‫ز‬‫ە‬‫وى؟‬ ‫هیچ‬‫تهنۆچكهیه‬‫ک‬‫و‬ ‫خۆر‬ ‫لهنێوان‬‫نیه‬ ‫یدا‬‫بۆیه‬‫به‬ ‫ناتوانێت‬‫یان‬ ‫گهیاندن‬‫به‬‫ڕاگوێزان‬.‫بگات‬
  • 16.
    16 Radiation is heattransfer by electromagnetic waves. Thermal radiation is electromagnetic waves (including light) produced by objects because of their temperature. The higher the temperature of an object, the more thermal radiation it gives off.
  • 17.
    17 ‫تیشكدان‬‫گواستن‬‫ه‬‫و‬‫ە‬‫ى‬‫گ‬‫ه‬‫رمی‬‫ه‬‫به‬‫ش‬‫ه‬‫پ‬‫ۆ‬‫لى‬‫کارۆموگناتیزی‬.‫تیشكدان‬‫شهپۆلى‬ ‫گهرمایى‬ ‫ى‬ ‫کارۆموگناتیزی‬‫هێن‬‫بهرههم‬ )‫ڕووناكي‬ ‫(ههروەك‬ ‫ه‬‫راوە‬‫به‬‫شت‬‫هکان‬‫گهرمییان‬ ‫پلهى‬ ‫بههۆى‬‫هوە‬.‫پلهى‬ ‫گهرم‬‫بهرزتری‬ ‫ی‬‫گهرما‬ ،‫شتێك‬‫زیاتر‬ ‫ی‬‫تیشك‬‫دەدات‬. ‫گواستنه‬‌‫وه‬‌‫ی‬‌‫گه‬‌‫رمییه‬‌‌‫به‬‌‫ناوبۆشایدا‬‌‫وه‬‌‌‫بڕی‬‌‫گه‬‌‫رمی‬‌‫گواستراوه‬‌‌‌‫به‬‌‫هۆی‬‌‫ئه‬‌‫م‬‌‫یاسایه‬‌‫وه‬‌‌‫ده‬‌‫دۆزرێته‬‌‫وه‬‌‌ Where Q is heat transferred rate with Watt. is Boltzmann constant and is Equal to is emissivity . Q‫وات‬ ‫ثە‬ ‫گىاضتراوەيە‬ ً‫گەره‬. (σ)‫یهكسانه‬ ‫و‬ ‫نهگۆڕە‬‫به‬( ) ‫پهرشکردنهوەیه‬ ‫توانای‬ Example 1-5. Two infinite black plates at 800℃ and 300℃ exchange heat by radiation. Calculate the heat transfer per unit area. ‫نمونه‬(1.٥)‫دوو‬‫پلێت‬‫ى‬‫ب‬‫ێ‬‫سنوور‬‫ی‬‫ڕە‬‫ش‬‫ل‬‫ه‬(800℃)‫و‬(300℃)‫گ‬‫ه‬‫رمیى‬‫ئا‬‫ڵ‬‫وگ‬‫ۆڕ‬‫دەکان‬‫بهتیشكدان‬ .‫گواستن‬‫ه‬‫و‬‫ە‬‫ك‬‫ه‬‫ى‬‫گ‬‫ه‬‫رمى‬‫بکه‬ ‫ههژمار‬‫بهگوێرەی‬‫ڕ‬‫ووب‬‫ه‬‫رى‬‫ی‬‫ه‬‫ك‬‫ه‬. Solution. Equation (1-10) may be employed for this problem, so we find immediately :‫غیکبر‬‫هبوك‬‫ێ‬‫ػ‬‫ە‬‫ی‬((1.1٠))‫ل‬‫ە‬ً‫وا‬‫ە‬‫ي‬‫ە‬‫ث‬‫ە‬‫كبر‬‫ثه‬‫ێ‬‫ٌر‬‫ێ‬‫ت‬‫ث‬‫ۆ‬‫ئ‬‫ە‬‫م‬‫گرفت‬‫ە‬،‫ث‬‫ۆ‬‫ي‬‫ە‬‫ئ‬‫ێ‬‫و‬‫ە‬‫خ‬‫ێ‬‫را‬‫د‬‫ە‬‫ي‬‫ذ‬‫ۆ‬ٌ‫زي‬‫ە‬‫و‬‫ە‬ q/A‌=‌ς(T1 4 – T2 4 )
  • 18.
    18 = (5.66910-8 )(10734 -5734 ) =69.03 kW/m3 Thermal radiation ‫تیشکدانی‬‫گ‬‫ه‬‫رم‬‫ی‬ We do not see the thermal radiation because it occurs at infrared wavelengths invisible to the human eye. Objects glow different colors at different temperatures. A‌rock‌at‌room‌temperature‌does‌not‌“glow”.‌ The curve for 20°C does not extend into visible wavelengths. As objects heat up they start to give off visible light, or glow. At 600°C objects glow dull red, like the burner on an electric stove. As the temperature rises, thermal radiation produces shorter - wavelength, higher energy light. ‫ئێمه‬‫تیشكدان‬‫سوور‬ ‫ژێر‬ ‫تیشكى‬ ‫شهپۆلى‬ ‫درێژى‬ ‫له‬ ‫دەدات‬ ‫ڕوو‬ ‫ئهو‬ ‫چونكه‬ ‫نابینین‬ ‫گهرمایى‬ ‫ى‬ ‫مرۆڤ‬ ‫چاوى‬ ‫بۆ‬ ‫نهبینراو‬..‫جیاوازەکاندا‬ ‫گهرمیه‬ ‫پله‬ ‫له‬ ‫دەدەنهوە‬ ‫جیاوازەکان‬ ‫ڕوناکیه‬ ‫تهنهکان‬‫بهردێك‬ ‫نا‬ ‫ژوور‬ ‫گهرمیى‬ ‫پلهى‬ ‫له‬.‫درەوشێتهوە‬‫بۆ‬ ‫چهمانهوەكه‬(20°C)‫ناو‬ ‫بۆ‬ ‫ناكاتهوە‬ ‫درێژ‬‫درێژى‬ ‫بینراو‬ ‫شهپۆلى‬.،‫دەکرێن‬ ‫گهرم‬ ‫تهنهکان‬ ‫که‬‫دەكهن‬ ‫دەست‬‫به‬‫بهخشینی‬‫بینراو‬ ‫ڕوناكیى‬‫یان‬ ، ‫درەوشانهوە‬.‫له‬(600°C‫دەدرەوشێننهوە‬ ‫تهنهکان‬ )‫تهڵخ‬ ‫سورێکی‬،‫لهسهر‬ ‫سوتێنهرێک‬ ‫وەک‬ .‫کارەبای‬ ‫ئاگردانێکی‬‫کورت‬ ‫شهپۆلی‬ ‫درێژی‬ ‫گهرمی‬ ‫تیشکدانی‬ ،‫دەبێتهوە‬ ‫بهرز‬ ‫گهرمی‬ ‫پلهی‬ ‫که‬ .‫بهرز‬ ‫ڕوناکی‬ ‫وزەی‬ ،‫دێنێت‬ ‫بهرههم‬ At 1,000°C the color is yellow‌ and orange, turning to white at 1,500°C. If you carefully watch a bulb on a dimmer switch, you see its color change as the filament gets hotter.
  • 19.
    19 ‫ل‬‫ه‬(1,000°C‫دە‬ )‫ڕە‬‫نگ‬‫هکه‬( ‫له‬،‫پڕتهقاڵییه‬ ‫و‬ ‫زەرد‬1,500°C.‫سپی‬ ‫بۆ‬ ‫دەگۆڕێت‬ ‫دا‬ )‫به‬ ‫تۆ‬ ‫ئهگهر‬ ‫تهماشا‬ ‫ووریایى‬‫ی‬‫گلۆپ‬‫ێک‬‫بكهیت‬‫به‬‫سویچێكى‬‫کزکهر‬‫ڕەنگ‬ ‫گۆڕانیى‬ ‫تۆ‬ ،‫هکهی‬‫دەبینیت‬‫که‬ ‫دەزوولهكه‬‫دەبێت‬ ‫ههرمتر‬.‌ The bright white light from a bulb is thermal radiation from an extremely hot filament, near 2,600°C. A perfect blackbody is a surface that reflects nothing and emits pure thermal radiation. ‫ڕ‬‫ووناكیى‬‫سپى‬‫درەوشاوە‬‫ل‬‫ه‬‫گل‬‫ۆ‬‫پ‬‫ێکی‬‫خ‬‫ڕ‬‫له‬ ‫بریتیه‬ ‫ەوە‬‫تیشكدان‬‫ى‬‫گ‬‫ه‬‫رم‬‫ی‬‫ل‬‫ه‬‫د‬‫ە‬‫زوول‬‫ه‬‫یهکی‬‫ی‬‫ه‬‫گجار‬ ‫گ‬‫ه‬‫رم‬‫هوە‬،‫نزیك‬(2,600°C).‫تهنی‬‫ڕوو‬ ‫ڕەش‬ ‫تهواو‬‫یه‬‫ڕەنگ‬ ‫هیچ‬ ‫كه‬ ‫كه‬‫ێک‬‫نا‬‫و‬ ‫داتهوە‬‫تیشكدان‬‫ى‬ ‫گهرم‬‫پوخت‬ ‫ییهکی‬‫دەكاتهو‬ ‫باڵو‬. The white - hot filament of a bulb is a good blackbody because all light from the filament is thermal radiation. The curve for 2,600°C shows that radiation is emitted over the whole range of visible light. ‫د‬‫ە‬‫زوول‬‫ه‬‫یى‬‫هی‬ ‫سپی‬ ‫گهرمی‬‫گل‬‫ۆ‬‫پ‬‫ێکی‬‫خ‬‫ڕ‬‫تهنێکی‬‫ڕە‬‫ش‬‫ی‬‫باش‬‫ه‬‫چونك‬‫ه‬‫ه‬‫ه‬‫موو‬‫ڕ‬‫ووناك‬‫له‬ ‫که‬ ‫ییهکهی‬ ‫دەزولهکهوە‬‫تیشكدان‬‫ى‬‫گ‬‫ه‬‫رم‬‫ییه‬.‫بۆ‬ ‫چهمانهوەكه‬(2,600°C)‫كه‬ ‫دەدات‬ ‫نیشان‬‫تیشكدان‬ ‫باڵو‬‫کراوەتهوە‬‫ب‬‫تهواوى‬ ‫هسهر‬‫مهودا‬‫ی‬‫بینراو‬ ‫ڕوناكیى‬.
  • 20.
    20 Thermodynamics and HeatTransfer-Basic Difference
  • 21.
    21 ‫بزاوتن‬ ‫گهرمی‬‫و‬‫گواست‬‫ن‬‫ه‬‫وە‬‫گهرمى‬ ‫ی‬-‫بنهڕەتى‬‫جیاوازیى‬ Thermodynamics is mainly concerned with the conversion of heat energy into other useful forms of energy and IS based on (i) the concept of thermal Equilibrium (Zeroth Law), (ii) the First Law (the principle of conservation of energy) and (iii) the Second Law (the direction in which a particular process can take place). Thermodynamics is silent about the heat energy exchange mechanism. ‫ث‬‫ە‬‫غ‬‫ێ‬‫ى‬‫ە‬‫ي‬‫ە‬ً‫ك‬‫ض‬‫ە‬‫ر‬‫ە‬ً‫ك‬‫ثساوتي‬ ‫گەرهی‬‫خ‬‫ە‬‫ريك‬‫ە‬‫ثە‬‫گ‬‫ۆڕ‬ًٌ‫ي‬‫وز‬‫ە‬‫ي‬‫گ‬‫ە‬‫رهی‬‫ە‬‫ث‬‫ۆ‬‫غ‬‫ێ‬‫ى‬‫ە‬‫ي‬‫ث‬‫ە‬‫ضىودي‬ ‫تری‬‫وز‬‫ە‬‫و‬‫ە‬‫ل‬‫ە‬‫ض‬‫ە‬‫ر‬ٌ‫ث‬‫ە‬‫هبي‬(i)‫چ‬‫ە‬ً‫هك‬‫هبوض‬‫ە‬ً‫ًگی‬‫گ‬‫ە‬ً‫ره‬(ٌ‫يبضب‬‫ضفر‬)،(ii)‫يبضبي‬‫ي‬‫ە‬‫ك‬‫ە‬‫م‬ (ٌ‫ث‬‫ە‬‫هبي‬‫ە‬‫ك‬‫ە‬‫ي‬‫پبر‬‫اضتٌی‬‫وز‬‫ە‬)‫و‬(iii)‫يبضب‬‫ی‬‫دوەم‬(‫ئب‬‫ڕ‬‫اضت‬‫ە‬‫ك‬‫ە‬‫ك‬‫ە‬‫تیبيذا‬‫كردار‬‫ێ‬ً‫ك‬‫ديبريكراو‬‫د‬‫ە‬ً‫تىا‬‫ێ‬‫ت‬ ‫ڕ‬‫وو‬‫ثذات‬. )‫ث‬‫ێ‬‫ذ‬‫ە‬‫ًگ‬‫ە‬‫د‬‫ە‬‫رثبر‬‫ە‬‫ي‬‫هیكبًیسه‬‫ە‬‫ك‬‫ە‬‫ي‬. The transfer of heat energy between systems can only take place whenever there is a temperature gradient and thus. Heat transfer is basically a non-Equilibrium phenomenon. The Science of heat transfer tells us the rate at which the heat energy can be transferred when there is a thermal non- Equilibrium. That is, the science of heat transfer seeks to do what thermodynamics is inherently unable to do. ‫پلەی‬ ‫کە‬ ‫هەرکبتێکذا‬ ‫لە‬ ‫تەًهب‬ ‫ڕوثذات‬ ‫دەتىاًێت‬ ‫ضیطتەهەکبًذا‬ ‫لەًێىاى‬ ‫گەرهی‬ ‫وزەی‬ ‫گىاضتٌەوەی‬ ‫زاًطتی‬ .‫ًیە‬ ‫هبوضەًگ‬ ‫ديبردەيەکی‬ ‫ثٌەڕەتذا‬ ‫گەرهیلە‬ ‫گىاضتٌەوەی‬ ‫کەواتە‬ ‫وە‬ ‫هەثێت‬ ‫پلەپلە‬ ‫گەرهی‬ ‫گەرهی‬ ‫گىاضتٌەوەی‬‫ًبهبوضەًگی‬ ‫کبتێک‬ ‫ثگىزرێتەوە‬ ‫دەتىاًرێت‬ ‫گەرهی‬ ‫ڕێژەيەکی‬ ‫کە‬ ‫دەڵێت‬ ‫پێوبى‬ ‫گەرهی‬ ‫لەثٌەڕەتذا‬ ‫کە‬ ‫ثکرێت‬ ‫ثۆئەوەی‬ ‫دەريذەخبت‬ ‫گەرهی‬ ‫گىاضتٌەوەی‬ ‫زاًطتی‬ ‫ئەوە‬ .‫هەثێت‬ ‫گەرهی‬ .‫کردًی‬ ‫ثۆ‬ ‫ثێتىاًبيە‬ ‫ثساوتي‬
  • 22.
    22 However, the subjectsof heat transfer and thermodynamics are highly complimentary. Many heat transfer problems can be solved by applying the principles of conservation of energy (the First Law) ‫ل‬‫ە‬‫گ‬‫ەڵ‬‫ئ‬‫ە‬‫و‬‫ە‬،‫غذا‬‫ثبث‬‫ە‬‫ت‬‫ە‬‫ك‬ً‫ب‬ً‫گىاضت‬‫ٌەوەی‬ً‫گەره‬‫و‬‫ثساوتي‬ ‫گەرهی‬‫ز‬‫ۆ‬‫ر‬‫يەکترى‬ ‫تەواوکەری‬. ‫ز‬‫ۆ‬‫ر‬ً‫گرفت‬ٌ‫گىاضت‬‫ە‬‫و‬‫ە‬‫ی‬‫گ‬‫ە‬ً‫رهی‬‫د‬‫ە‬ً‫تىا‬‫رێت‬‫چبر‬‫ە‬‫ض‬‫ە‬‫ر‬‫ثكر‬‫ێت‬‫ثە‬‫ج‬‫ێ‬‫ج‬‫ە‬‫ج‬‫ێ‬‫کردًی‬ٌ‫ث‬‫ە‬‫هب‬‫ی‬‫پبر‬‫اضتٌی‬ ‫وز‬‫ە‬(‫يبضبي‬‫ي‬‫ە‬‫ك‬‫ە‬‫م‬.) Dimension and Unit ‫ڕە‬‫ه‬‫ه‬‫ند‬‫و‬‫ی‬‫ه‬‫ك‬‫ه‬ Table 1.1 Dimensions and units of various parameters ‫خػتە‬(1.1)‫ڕە‬‫ه‬‫ە‬‫ًذ‬‫و‬‫ي‬‫ە‬‫ك‬‫ە‬‫ي‬‫ه‬‫ۆ‬‫كبري‬‫ج‬‫ۆ‬‫راوج‬‫ۆ‬‫ر‬ Parameters ‫یه‬‌‫كه‬‌‫كان‬Units‌‌ ‫هێنده‬‌‫كان‬ Mass Kilogram, kg ‫بارستاى‬‌ Length metre, m ‫درێژى‬‌‌‌ Time seconds, s ‫كات‬‌‌‌‌‌‌ Temperature Kelvin, K, Celcius o C ‫پله‬‌‫ى‬‌‫گه‬‌‫رمى‬‌ Velocity metre/second,m/s ‫خێراى‬‌ Density kg/m3 ‫چڕى‬‌‌ Force Newton, N = 1 kg m/s2 ‫هێز‬‌‌‌ Pressure N/m2 , Pascal, Pa ‫په‬‌‫ستان‬‌‌‌ Energy N-m, = Joule, J ‫وزه‬‌‌‌ Work N-m, = Joule, J ‫ئیش‬‌ Power J/s, Watt, W ‫توانا‬‌ Thermal Conductivity W/mK, W/mo C ‫تواناى‬‌‫گه‬‌‫یاندنى‬‌‫گه‬‌‫رمى‬‌ Heat Transfer Coefficient W/m2 K, W/m2o C ‫هاوكۆلكه‬‌‫ى‬‌‫گواستنه‬‌‫وه‬‌‫ى‬‌‫گه‬‌‫رمى‬‌ Specific Heat J/kg K, J/kgo C ‫گه‬‌‫رمى‬‌‫جۆرى‬‌ Heat Flux W/m2 ‫لێشاوى‬‌‫گه‬‌‫رمى‬‌
  • 23.
    23 Viscosity N-s/m2 , Pa-s‫لینجى‬‌ Kinematic Viscosity m2 /s ‫كاینه‬‌‫ماتیكى‬‌‫لینجى‬‌ review ‫پێداچونه‬‌‫وه‬‌ Example: A red brick wall of length 5m, height 4m and thickness 0.25m. The inner surface 110℃ and the outer surface is 40℃ . The thermal conductivity of the red brick, k=0.7 W/mK. Calculate the temperature at a point 20m distance from the inner surface. ‫نموون‬‫ه‬:‫خشت‬‫ێک‬‫ی‬‫سوور‬‫ی‬‫دیوار‬،‫در‬‫ێ‬‫ژى‬(5m)،(4m)‫و‬‫ئهستوری‬‫ى‬(0.25m).‫ڕ‬‫ووى‬‫ناو‬‫ە‬‫وە‬ (110℃)‫و‬‫د‬‫ە‬‫ر‬‫ە‬‫و‬‫ە‬(40℃)‫ە‬.‫گهیاندنی‬ ‫توانای‬‫گهرمی‬‫خشته‬‫سوور‬‫ەکه‬،(k=0.7 W/mK).‫پل‬‫ه‬‫ى‬ ‫گ‬‫ه‬‫رمی‬‫ه‬‫ك‬‫ه‬‫بکه‬ ‫ههژمار‬‫ل‬‫ه‬‫خا‬‫ڵێ‬‫ك‬(20m)‫دور‬‫ل‬‫ه‬‫ڕ‬‫ووى‬‫ناوەوە‬. Given: length =L=5m, Height =h=4m, thickness = =0.25m, ℃ , ℃ .
  • 24.
  • 25.
    25 Example: Calculate theheat transfer by convection over a surface of (1.5 ) area if the surface is at 190℃ and the fluid is at 40℃ . The Value of convection heat transfer coefficient is . Also Estimate the temperature change with plate thickness if thermal conductivity of the plate is ‫نموون‬‫ه‬:‫گه‬ ‫گواستنهوەی‬‫رمى‬‫بکه‬ ‫ههژمار‬‫به‬‫ههڵگرتن‬‫ل‬‫ه‬‫س‬‫ه‬‫ر‬‫ڕ‬‫وو‬‫ێ‬‫كى‬‫ڕ‬‫ووب‬‫ه‬‫ر‬(1.5)‫ئ‬‫ه‬‫گ‬‫ه‬‫ر‬ ‫ڕوەكه‬‫ل‬‫ه‬(190℃)‫و‬‫شل‬‫ه‬‫ك‬‫ه‬‫ل‬‫ه‬(40℃)‫بێت‬.‫نرخی‬‫هاوك‬‫ۆ‬‫لك‬‫ه‬‫ك‬‫ه‬‫ى‬‫ههڵگرتن‬ ‫گهرمى‬ ‫گواستنهوە‬ ()‫بێت‬.‫ه‬‫ه‬‫رو‬‫ە‬‫ها‬‫گ‬‫ۆڕ‬‫انى‬‫پل‬‫ه‬‫ى‬‫گ‬‫ه‬‫رمى‬‫ب‬‫خ‬‫ه‬‫م‬‫ڵنه‬‫ل‬‫ه‬‫گ‬‫هڵ‬‫ئهستوری‬‫یى‬‫پلێت‬‫هکه‬‫ئ‬‫ه‬‫گ‬‫ه‬‫ر‬ ‫گهرمی‬ ‫گهیاندنی‬ ‫توانای‬‫پلێتهکه‬()‫بێت‬. Given: Area=A=1.5 ℃ , ℃ . Solution:
  • 26.
    26 Example: Two infiniteblack plates at 800℃ and 300℃ exchange heat by radiation. Calculate the heat transfer per unit area. ‫نمو‬‫ون‬‫ه‬:‫دوو‬‫پلێت‬‫ى‬‫ب‬‫ێ‬‫سنوور‬‫ی‬‫ڕە‬‫ش‬‫ل‬‫ه‬(800℃)‫و‬(300℃)‫دا‬‫گ‬‫ه‬‫رمیى‬‫ئا‬‫ڵ‬‫وگ‬‫ۆڕ‬‫دەکهن‬‫بهتیشكدان‬ .‫گواستن‬‫ه‬‫و‬‫ە‬‫ك‬‫ه‬‫ى‬‫گ‬‫ه‬‫رمى‬‫بکه‬ ‫ههژمار‬‫ڕوبهردا‬ ‫یهكهی‬ ‫له‬. Given: black plates means ℃ ℃ Solution: (Answer) ‫تێبینی‬‌:‫له‬‌‌Radiation‌‫دا‬‌‫پێویسته‬‌‌‫هه‬‌‫مووكات‬‌‫پله‬‌‫ی‬‌‫گه‬‌‫رمی‬‌‫به‬‌‌‫كلڤن‬‌‫بپێورێت‬.‌ ‌ ‌
  • 27.
    27 ‌ ‌ ‌ ‌ Example: a reactorwall, 320mm thick is made up of an inner layer of fiber brick(k=0.84 W/m.K), covered with a layer of insulation (K=0.16 W/m.K). the reactor operates at a temperature of 1325℃ and the ambint temperature of 25℃. If the insulation outer surface not exceeds 1200℃ . convection heat transfer coefficient between outter surface and surrounding is . determine the thickness of the fiber brick and insulating material. ‫نموون‬‫ه‬:‫دیوار‬‫ێ‬‫كى‬‫كارتیاك‬‫ه‬،‫ر‬(320mm)‫ئ‬‫ه‬‫ستور‬‫دروستکراوی‬‫چین‬‫ێ‬‫كى‬‫ناو‬‫ە‬‫كیى‬‫خشتی‬‫ڕ‬‫یشا‬‫ڵ‬ (k=0.84 W/m.K)،‫داپ‬‫ۆ‬‫ش‬‫راوە‬‫به‬‫چین‬‫ێ‬‫كى‬‫جیاكهرەوە‬(K=0.16 W/m.K. )‫كارتیاك‬‫ه‬‫ر‬‫ە‬‫ك‬‫ه‬‫ب‬‫ه‬‫كار‬ ‫د‬‫ە‬‫خ‬‫رێ‬‫ت‬‫ل‬‫ه‬‫پل‬‫ه‬‫ى‬‫گ‬‫ه‬‫رم‬‫ی‬(1325℃)‫دا‬‫و‬‫دەوروبهر‬ ‫گهرمیى‬ ‫پلهى‬‫ی‬(25℃).‫ئ‬‫ه‬‫گ‬‫ه‬‫ر‬ ‫جیاكهرەوە‬‫ك‬‫ه‬‫ڕ‬‫ووى‬‫د‬‫ە‬‫ر‬‫ە‬‫و‬‫ە‬(1200℃)‫ت‬‫ێ‬‫ن‬‫ه‬‫پ‬‫هڕێ‬‫ت‬.‫هاوك‬‫ۆ‬‫لك‬‫ه‬‫ى‬‫گهرمی‬ ‫گواستنهوەی‬‫گ‬‫ه‬‫رمى‬ ‫ل‬‫ه‬‫ن‬‫ێ‬‫وان‬‫ڕ‬‫ووى‬‫د‬‫ە‬‫ر‬‫ە‬‫و‬‫ە‬‫و‬‫چوار‬‫د‬‫ە‬‫ور‬‫ی‬()‫ە‬.‫ئهستوری‬‫خشته‬‫ڕ‬‫یشا‬‫ڵ‬‫مادە‬ ‫و‬ ‫ییهکه‬ ‫چیاکهرەوەکه‬‫دیارى‬‫بك‬‫ه‬. Given: reactor wall thickness=320mm=0.32m, Thermal conductivity of inner layer (fiber brick) = k = 0.84 W/m.K , Thermal conductivity of outter layer (insulation) = k = 0.84 W/m.K , reactor temperature 1325℃, ambint temperature = 25℃
  • 28.
  • 29.
    29 For insulation material: SubstitutingEquation (1) into Equation (2) the thickness of the fiber brick (Answer) insulating material= (Answer)
  • 30.
    30 ‫چۆنیه‬‌‫تی‬‌‫به‬‌‫كار‬‌‫هێنانی‬‌Data Book: ‌‫دۆزینه‬‌‫وه‬‌‫ی‬‌properties value‌‌‫ی‬‌‫ماده‬‌‫كان‬. ‫ئه‬‌‫گه‬‌‫ر‬‌‫پێویستمان‬‌‫به‬‌‫دۆزینه‬‌‫وه‬‌‫ی‬‌density(ρ)‌‫یان‬‌specificheat(C)‌‫یان‬‌thermal conductivity(k)‌‫بوو‬‌‫له‬‌‌‫پله‬‌‫ی‬‌‫گه‬‌‫رمی‬)66℃‌(‫دا‬‌‫بۆ‬‌‫ماده‬‌‫یه‬‌‫كی‬‌،‫دیاریكراو‬‌‫ئه‬‌‫وا‬‌‫ده‬‌‫بێت‬‌ ‫بزانین‬‌‫ماده‬‌‫كه‬‌‌‫له‬‌‌‫چ‬‌‫دۆخێكدایه‬‌‌)‫ڕه‬‌‫قه‬‌‌‫یان‬‌‫شله‬‌‌‫یان‬‌‫گازه‬‌‌‌‌‌(‫ئه‬‌‫گه‬‌‫ر‬‌‫ماده‬‌‫كه‬‌‫مان‬‌‌‫ئاو‬‌‫بوو‬‌‫ئه‬‌‫وا‬‌ ‫له‬‌‫دۆخی‬‌‫شلیدایه‬‌‫و‬‌‫ده‬‌‫بێت‬‌‫له‬‌‌‫الپه‬‌‫ڕه‬‌‌21‌‫دا‬‌‫سیفه‬‌‫ته‬‌‫كانی‬‌)properties‌(‫ه‬‌‫كانی‬‌‫بدۆزینه‬‌‫وه‬‌. ‫له‬‌‌‫پله‬‌‫ی‬‌‫گه‬‌‫رمی‬)66℃‌(‫دا‬‌،‌‫سیفه‬‌‫ته‬‌‫كانی‬‌)properties‌(‫ه‬‌‫كانی‬‌‫ئاو‬‌‫ئه‬‌‫مانه‬‌‫یه‬‌:‌ thermal conductivity (k)‌ specific heat( C)‌ Prandtl Number(Pr)‌ Thermal diffusivity‌ Kinematic viscosity(v) densit y (𝜌)‌
  • 31.
    31 0.6513‌4183‌3.020‌985‌ ‌ ‫به‬‌‫اڵم‬‌‫له‬‌‫پله‬‌‫ی‬‌‫گه‬‌‫رمی‬‌)56℃‌‌(‫دا‬‌‫سیفه‬‌‫ته‬‌‫كانی‬‌‫ئاو‬‌‫نه‬‌‫دراوه‬‌‌‫،پیویسته‬‌‌‫سیفه‬‌‫ته‬‌‫كانی‬‌ )properties‌(‫ه‬‌‫كانی‬‌‫ئاو‬‌‫له‬‌‌‫پله‬‌‫ی‬‌‫گه‬‌‫رمی‬‌)46℃‌(‫دا‬‌‫وه‬‌‌‫له‬‌‌‫پله‬‌‫ی‬‌‫گه‬‌‫رمی‬‌)66℃(‫دا‬‌ ‫بدۆزینه‬‌‫وه‬‌‫و‬‌،‌‫وه‬‌‫هه‬‌‫ر‬‌‫سیفه‬‌‫تێك‬‌‫له‬‌‌‫هه‬‌‫ردو‬‌‫پله‬‌‌‫گه‬‌‫رمیه‬‌‫كه‬‌‫دا‬‌‫به‬‌‫یه‬‌‫كه‬‌‫وه‬‌‌‫كۆده‬‌‫كه‬‌‫ینه‬‌‫وه‬‌‫و‬‌‫دابه‬‌‫شی‬‌ ‫دووی‬‌‫ده‬‌‫كه‬‌‫ین‬‌‌.‫به‬‌‫م‬‌‫شێوازه‬‌‌‫هه‬‌‫موو‬‌‫سیفه‬‌‫ته‬‌‫كانی‬‌)properties‌(‫ه‬‌‫كانی‬‌‫ئاو‬‌‫له‬‌‌‫پله‬‌‫ی‬‌‫گه‬‌‫رمی‬‌ )56℃‌(‫دا‬‌‫ده‬‌‫دۆزینه‬‌‫وه‬‌. ‫وه‬‌‫هه‬‌‫روه‬‌‫ها‬‌‫له‬‌‌‫پله‬‌‫ی‬‌‫گه‬‌‫رمی‬‌)48℃(‫وه‬‌‌‫له‬‌‌‫پله‬‌‫ی‬‌‫گه‬‌‫رمی‬‌)45℃(‫دا‬‌‫سیفه‬‌‫ته‬‌‫كانی‬‌‫ئاو‬‌‫نه‬‌‫دراوه‬‌،‌ ‫له‬‌‫به‬‌‫ر‬‌‫ئه‬‌‫وه‬‌‫ی‬‌‫ئه‬‌‫م‬‌‫پله‬‌‌‫گه‬‌‫رمییانه‬‌‌‫زۆر‬‌‫نزیكن‬‌‫له‬‌‌‫پله‬‌‫ی‬‌‫گه‬‌‫رمی‬‌)56℃‌‌(‫ه‬‌‫وه‬‌‌،‌‫ئه‬‌‫وا‬‌‫ئه‬‌‫م‬‌‫پله‬‌‌ ‫گه‬‌‫رمیانه‬‌‌‫به‬‌‌)56℃‌‌(‫داده‬‌‫نێین‬‌‫واته‬‌‌‫سیفه‬‌‫ته‬‌‫كانی‬‌)properties‌(‫ه‬‌‫كانی‬‌‫ئاو‬‌‫له‬‌‌‫پله‬‌‫ی‬‌‫گه‬‌‫رمی‬‌ )56℃‌(‫دا‬‌‫ده‬‌‫دۆزینه‬‌‫وه‬‌‫و‬‌‫له‬‌‌‫جیگای‬‌‫پله‬‌‫ی‬‌‫گه‬‌‫رمی‬‌‌)48℃(‫یان‬‌‫پله‬‌‫ی‬‌‫گه‬‌‫رمی‬‌)45℃(‫دا‬‌ ‫به‬‌‫كاری‬‌‫ده‬‌‫هێنین‬. ‫دۆزینه‬‌‫وه‬‌‫ی‬‌properties value‌‌‫ی‬‌‫ماده‬‌‫كانی‬‌‫تریش‬‌‫به‬‌‌‫هه‬‌‫مان‬‌‫شێوه‬‌‌‫ده‬‌‫بێت‬. ‌‫دۆ‬‌‫زینه‬‌‫وه‬‌‫ی‬‌‫یاساكان‬: ‫هه‬‌‫ربابه‬‌‫تێكی‬‌heat transfer‌‌‫چه‬‌‫ند‬‌‫یاسایه‬‌‫كی‬‌‫تایبه‬‌‫ت‬‌‫به‬‌‫خۆی‬‌‫هه‬‌‫یه‬‌‌.‫له‬‌‫ناو‬‌DataBook‌‌ ‫ه‬‌‫كه‬‌‫دا‬‌‫له‬‌‫ژێر‬‌‫ناوی‬‌‫هه‬‌‫ر‬‌‫بابه‬‌‫تێكدا‬‌،‌‫ئه‬‌‫و‬‌‫یاسانه‬‌‌‫نوسراوه‬‌‌‫كه‬‌‫له‬‌‫و‬‌‫بابه‬‌‫ته‬‌‫دا‬‌‫به‬‌‫كاردێن‬. Convection questions ‫پرسیارى‬‫ڕ‬‫اگو‬‫ێ‬‫زان‬ Why does hot air rise and cold air sink? Cool air is more dense than warm air. ‫بهرز‬ ‫گهرم‬ ‫ههواى‬ ‫بۆچى‬‫دەبێته‬‫سارد‬ ‫ههواى‬ ‫و‬ ‫وە‬‫دیتهخوارەوە‬‫؟‬ ‫سارد‬ ‫ههواى‬‫چڕترە‬‫گهرم‬ ‫ههواى‬ ‫له‬.
  • 32.
    32 Why‌are‌boilers‌placed‌beneath‌hot‌water‌tanks‌in‌people’s‌homes?‌‌ Hot water rises.Sowhen the boiler heats the water, and the hot water rises, the water tank is filled with hot water. ‫بۆچى‬‫دانراون‬ ‫کوڵێنهرەکان‬‫تانك‬ ‫لهژێر‬‫ی‬‫خهڵك؟‬ ‫ماڵى‬ ‫له‬ ‫گهرم‬ ‫ئاوى‬ ‫گهرم‬ ‫ئاوى‬‫بهرز‬‫دەبێت‬.‫هوە‬‫کهواته‬‫كاتێك‬‫کوڵێنهرەکه‬‫گهرم‬ ‫ئاوەكه‬‫دەکات‬‫ئاو‬ ‫و‬ ،‫ە‬‫گهرم‬‫هکه‬ ‫بهرز‬‫دەبێت‬‫ئاو‬ ‫تانكى‬ ،‫هوە‬‫ەکه‬‫پڕ‬‫له‬ ‫دەبێت‬‫گهرم‬ ‫ئاوى‬. Radiation questions ‫پرسیارى‬‫تیشكدان‬ Why are houses painted white in hot countries? White reflects heat radiation and keeps the house cooler. ‫واڵت‬ ‫له‬ ‫بۆچى‬‫ه‬‫گهرم‬،‫هکاندا‬‫خانو‬‫ەکان‬‫بۆیاخی‬‫سپى‬‫دەکرێن‬‫؟‬ ‫سپى‬‫تیشكدان‬‫دەهێڵنهوە‬ ‫ساردتر‬ ‫خانووەكه‬ ‫و‬ ‫دەدەنهوە‬ ‫ڕەنگ‬ ‫گهرمى‬ ‫ى‬ Why are shiny foil blankets wrapped around marathon runners at the end of a race? The shiny metal reflects the heat radiation from the runner back in, this stops the runner getting cold.. ‫پهت‬ ‫بۆچى‬‫ۆی‬‫بریقهدار‬ ‫كانزاى‬ ‫چینى‬‫دە‬‫پێچ‬‫له‬ ‫رێت‬‫دەور‬‫ی‬‫كۆتاییى‬ ‫له‬ ‫ماراسۆن‬ ‫ڕاكهرى‬‫پێشبڕکێدا‬‫؟‬ ‫بریقهدار‬ ‫كانزاى‬‫تیشكدان‬‫له‬ ‫دەداتهوە‬ ‫ڕەنگ‬ ‫گهرمى‬ ‫ى‬‫پشتی‬‫ڕاكهرەكه‬‫وە‬‫ئهمه‬ ،‫وەستانی‬ ‫ش‬‫ڕاكهر‬‫ەکه‬ ‫د‬ ‫ڕا‬ ‫سارد‬‫ەگرێت‬.
  • 33.
    33 1. Which ofthe following is not a method of heat transfer? A. Radiation B. Insulation C. Conduction Answer : B 1.‫كام‬‫لهمانه‬‫ڕێ‬‫گ‬‫ه‬‫ی‬‫ێ‬‫كى‬‫گهرمى‬ ‫گواستنهوەی‬‫نی‬‫ه‬‫؟‬ A.‫تیشكدان‬B‫دابڕین‬ .C‫گهیاندن‬ . :‫وەاڵم‬B 2. In which of the following are the particles closest together? A. Solid B. Liquid C. Gas D. Fluid Answer : A 2.‫له‬‫كام‬‫لهمانهدا‬‫ت‬‫ه‬‫ن‬‫ۆ‬‫چك‬‫ه‬‫ك‬‫ه‬‫نزیكترین‬‫پ‬‫ێ‬‫ك‬‫ه‬‫و‬‫ە‬‫ی‬‫ه‬‫؟‬ A.‫ڕەق‬B‫شله‬ .C‫گاز‬ .D.‫شلگاز‬ :‫وەاڵم‬A 3. How does heat energy reach the Earth from the Sun? A. Radiation B. Conduction C. Convection D. Insulation Answer : A 3.‫چ‬‫ۆ‬‫ن‬‫وز‬‫ە‬‫ى‬‫گ‬‫ه‬‫رمى‬‫د‬‫ە‬‫گات‬‫ز‬‫ە‬‫وى‬‫ل‬‫ه‬‫خ‬‫ۆ‬‫ر‬‫ە‬‫و‬‫ە‬‫؟‬ A.‫تیشكدان‬B‫گهیاندن‬ .C‫ڕاگوێزان‬ .D‫دابڕین‬ . :‫وەاڵم‬A 4. Which is the best surface for reflecting heat radiation? A. Shiny white B. Dull white C. Shiny black D. Dull black
  • 34.
    34 Answer : A 4.‫كام‬‫ه‬‫باشترین‬‫ڕ‬‫وو‬‫ە‬‫ب‬‫ۆ‬‫ڕە‬‫نگ‬‫دان‬‫ه‬‫و‬‫ە‬‫تیشكدان‬‫ى‬‫گ‬‫ه‬‫رمى؟‬ A.‫سپى‬‫بریقهدار‬. B‫تهڵخ‬ ‫سپى‬. C‫بریقهدار‬ ‫ڕەشی‬D.‫تهڵخ‬ ‫ڕەشی‬ .‫وەاڵمى‬:‫تهڵخ‬ ‫ڕەشی‬ 5. Which is the best surface for absorbing heat radiation? A. Shiny white B. Dull white C. Shiny black D. Dull black Answer : A 5.‫كام‬‫ه‬‫باشترین‬‫ڕ‬‫وو‬‫ە‬‫ب‬‫ۆ‬‫مژ‬‫ێ‬‫ن‬‫تیشكدان‬‫ى‬‫گ‬‫ه‬‫رمى؟‬ A.‫سپى‬ ‫بریقهدار‬. B‫تهڵخ‬ ‫سپى‬. C‫بریقهدار‬ ‫ڕەشی‬D.‫تهڵخ‬ ‫ڕەشی‬ ‫وەاڵمى‬:‫تهڵخ‬ ‫ڕەشی‬
  • 35.
    35 ‌ ‌ ‌ ‌ ‌ Chapter 2 STEADY STATECONDUCTION - ONE DIMENSION ‫ب‬‫ه‬‫ش‬2 ‫گهیاندن‬ ‫جێگیری‬ ‫حاڵهتی‬-‫ڕەههند‬ ‫یهك‬ ‌ Temperature in a system remains constant with time. Temperature varies with location. ‫پل‬‫ه‬‫ى‬‫گ‬‫ه‬‫رمى‬‫ل‬‫ه‬‫سیست‬‫ه‬‫م‬‫ێ‬‫ك‬‫به‬‫ن‬‫ه‬‫گ‬‫ۆڕ‬‫ی‬‫د‬‫ە‬‫م‬‫ێ‬‫ن‬‫ێ‬‫ت‬‫ه‬‫و‬‫ە‬‫تێپهڕبونی‬ ‫به‬‫كات‬.‫لهگهڵ‬ ‫دەگۆڕێت‬ ‫گهرمى‬ ‫پلهى‬ ‫شوێن‬.
  • 36.
    36 Thermal Diffusivity andits Significance ‫پهرشبونهوەی‬‫گ‬‫ه‬‫رمى‬‫و‬‫بای‬‫ه‬‫خى‬ Thermal diffusivity is a physical property of the material, and is the ratio of the material's ability to transport energy to its capacity to store energy. It is an essential parameter for transient processes of heat flow and defines the rate of change in temperature. In general, metallic solids have higher Thermal diffusivity, while nonmetallics, like paraffin, have a lower value of Thermal diffusivity. Materials having large Thermal diffusivity respond quickly to changes in their thermal environment, while materials having lower a respond very slowly, take a longer time to reach a new Equilibrium condition. ‫پهرشبونهوەی‬‫گ‬‫ه‬‫رمى‬‫فیزیای‬ ‫سیفهتی‬‫و‬ ،‫ماددەكهیه‬‫له‬ ‫بریتیه‬ ‫ە‬‫ماددە‬ ‫تواناى‬ ‫ڕێژەى‬‫ک‬‫ه‬‫بهرامبهر‬ ‫بگوا‬‫س‬‫ت‬‫ت‬‫هوە‬‫ی‬‫توانا‬ ‫بۆ‬ ‫وزە‬‫که‬‫ى‬‫بۆ‬‫کردنی‬ ‫پاشهکهوت‬‫كردارى‬ ‫بۆ‬ ‫گرنگه‬ ‫هۆكارێكى‬ ‫ئهوە‬ .‫وزە‬ ‫تێپهڕاندنهکانی‬‫گهرمى‬ ‫ڕۆیشتنى‬‫و‬‫پێناسه‬‫کردنی‬‫گهرمى‬ ‫پلهى‬ ‫له‬ ‫گۆڕان‬ ‫ڕێژەى‬‫دا‬،‫بهگشتى‬ .‫كانزا‬ ‫ڕەقهکان‬‫پهرشبونهوەی‬‫گ‬‫ه‬‫رمى‬()‫بهرزیان‬،‫ههیه‬‫لهكاتێکدا‬‫ناکانزاکان‬،‫پارافین‬ ‫وەك‬ ، ‫پهرشبونهوەی‬‫گ‬‫ه‬‫رمى‬‫نزمتر‬‫یان‬‫هه‬‫ی‬.‫ه‬‫ئهو‬‫ماد‬‫که‬ ‫انهی‬‫پهرشبونهوەی‬‫گ‬‫ه‬‫رمى‬‫بهرزیان‬‫ههیه‬‫وەاڵمی‬ ، ‫ئهو‬ ‫لهکاتێکدا‬ ،‫گهرمیاندا‬ ‫کهشی‬ ‫له‬ ‫گۆڕانکاریهکان‬ ‫بۆ‬ ‫ههیه‬ ‫خێرایان‬‫ماد‬‫که‬ ‫انهی‬‫پهرشبونهوەی‬‫گ‬‫ه‬‫رمى‬ ‫یان‬ ‫نزم‬‫ههیه‬‫حاڵهتێکی‬ ‫به‬ ‫گهیشتن‬ ‫بۆ‬ ‫دەخایهنێت‬ ‫زیاتر‬ ‫کاتێکی‬ ،‫ههیه‬ ‫وەاڵمیان‬ ‫هێواشی‬ ‫به‬ ‫زۆر‬ ، .‫تازە‬ ‫هاوسهنگی‬ 1. Several plane Walls together (Thermal resistance). 2. Heat generation. 3. Types of fin. ‫چ‬‫ه‬‫ند‬‫دیوار‬‫تهخت‬ ‫ێکی‬‫پ‬‫ێ‬‫ك‬‫ه‬‫و‬‫ە‬(‫ب‬‫ه‬‫رگریى‬‫گهرمی‬. ) ‫گهرمى‬ ‫پهیدابونی‬. .‫پهڕەكه‬ ‫جۆرى‬.
  • 37.
    37 Several plane Wallstogether (Thermal resistance). A plane wall is considered to be made out of a constant thermal conductivity material and extends to infinity in the Y- and Z- direction. The wall is assumed to be homogeneous and isotropic, heat flow is one - dimensional ‫چ‬‫ه‬‫ند‬‫دیوار‬‫تهخت‬ ‫ێکی‬‫پ‬‫ێ‬‫ك‬‫ه‬‫و‬‫ە‬(‫ب‬‫ه‬‫رگریى‬‫گهرمی‬. ) ‫تهخت‬ ‫دیوارێكى‬‫دادە‬‫ن‬‫بكر‬ ‫تا‬ ‫رێت‬‫ێته‬‫گهیهنهری‬ ‫مادەیهکی‬‫توانا‬‫نهگۆڕ‬‫ی‬‫و‬‫ە‬‫درێژ‬‫ی‬‫نا‬ ‫بۆ‬ ‫بكاتهوە‬ ‫كۆتایى‬‫ب‬‫ه‬‫ئاڕاسته‬‫ی‬(Y-)( ‫و‬(Z-‫ن‬ ‫دا‬ ‫وا‬ ‫دیوارەكه‬ .‫را‬‫وە‬‫به‬ ‫ببێت‬‫و‬ ‫چونیهكه‬‫ئایزۆترۆپیک‬، ‫گهرم‬ ‫ڕۆیشتنى‬.‫ڕەههندیه‬ ‫یهک‬ ‫ی‬ Thermal Resistances and Thermal Circuits: ‌‌‫ث‬‫ە‬ً‫رگري‬‫گ‬‫ە‬ً‫رهی‬‫و‬‫ضىو‬‫ڕ‬‫ەکبًی‬‫گ‬‫ە‬ً‫رهی‬: From page 43 in the Data book: ‫الپهڕەوە‬ ‫له‬٣٤‫زانیارى‬ ‫كتێبهكهى‬ ‫له‬: Conduction in a plane wall: Convection: Consider a plane wall is between two fluids of different temperature: ‫وايذاثٌێ‬‫تەخت‬ ً‫ديىارێك‬‫ل‬‫ە‬ً‫ێ‬‫ىاى‬‫دوو‬‫غل‬‫ە‬‫ي‬‫پل‬‫ە‬‫گ‬‫ە‬ً‫رهی‬‫جیبواز‬‫دايە‬
  • 38.
    38 Overall Heat TransferCoefficient (U) :‌A‌modified‌form‌of‌Newton’s‌Law‌of‌ Cooling to encompass multiple resistances to heat transfer. ‫هبوك‬‫ۆ‬‫لك‬‫ە‬‫ي‬‫گػتی‬ٌ‫گىاضت‬‫ە‬‫و‬‫ە‬‫گ‬‫ە‬‫ره‬‫ی‬(U):‫لە‬ ‫ثريتیە‬‫غ‬‫ێ‬‫ى‬‫ە‬‫يەکی‬‫يبضبي‬‫ضبرد‬ً‫ثىو‬‫ە‬‫و‬‫ە‬‫ی‬‫ًیىتي‬‫ثۆ‬ ‫فرە‬ ‫کۆکردًەوەی‬‫ث‬‫ە‬‫رگر‬‫يەکبى‬‫گەرهی‬ ‫گىاضتٌەوەی‬ ‫ثۆ‬.
  • 39.
    39 Example: An exteriorwall of a house is constructed by a 0.1m layer of common brick (k=0.7 W/m.K) and a 0.04m layer of gypsum (k=0.48 W/m.K) then followed by 0.058m loosely packed rock with wool insulation (k=0.065 W/m.K). If the temperatue difference through composite wall is 20℃ . Find the amount of heat is transfering. ً‫ًوىو‬‫ە‬:‫ديىار‬‫ێ‬ً‫ك‬‫دەرەکی‬‫خبًى‬‫يە‬‫ك‬‫دروضت‬‫كرا‬‫وە‬‫ثە‬ٌ‫چی‬‫ێکی‬(0.1m)‫ی‬‫خػتی‬‫ئبضبی‬(k=0.7 W/m.K).‫وە‬ٌ‫چی‬‫ێکی‬(0.04m)‫ی‬‫ث‬‫ە‬‫ردي‬‫د‬‫ە‬‫ثبغیر‬(k=0.48 W/m.K)‫پبغبى‬(0.058m)‫ث‬‫ە‬‫ردي‬ ‫ثە‬ ‫دێت‬ ‫پێچراوە‬‫خىري‬‫جیبکەرەوە‬(k=0.065 W/m.K. )‫ئ‬‫ە‬‫گ‬‫ە‬‫ر‬‫جیبوا‬‫ي‬‫پل‬‫ە‬‫ي‬‫گ‬‫ە‬ً‫ره‬‫ث‬‫ە‬‫ًبو‬‫ديىار‬‫ە‬ ‫پ‬‫ێ‬‫كه‬‫ێ‬ٌ‫ە‬‫ر‬‫ە‬‫ك‬‫ەدا‬(20℃)‫ثێت‬.‫ث‬‫ڕ‬‫ي‬‫ئەو‬‫گ‬‫ە‬‫ره‬‫یە‬‫ثذ‬‫ۆ‬‫ز‬‫ە‬‫رە‬‫و‬‫ە‬‫کە‬‫د‬‫ە‬‫گىاز‬‫ێ‬‫ت‬‫ە‬‫و‬‫ە‬. Given: Thermal conductivity of brick , thermal conductivity of Plaster , thermal conductivity of wool= , Temperature difference= ℃=293 K Solution: From page 43 in the Data book:
  • 40.
  • 41.
    41 ‌ ‌ ‌ ‌ ‌ ‌ Series Composite Walland Parallel Composite Wall: Note: departure from one - dimensional conditions for . Circuits based on assumption of isothermal surfaces normal to x direction or adiabatic surfaces parallel to x direction provide approximations for . ‫دیوارى‬‫کۆکراوەی‬‫دوایهک‬‫و‬‫دیوارى‬‫کۆکراوەی‬‫هاوڕێک‬: ‫تێبینى‬:‫حالهت‬‫هکانی‬‫ڕۆیشتنى‬‫ڕەههندی‬ ‫یهک‬‫بۆ‬. ‫سووڕ‬‫ەکان‬‫ئاسایى‬ ‫یهكسان‬ ‫گهرمى‬ ‫ڕووى‬ ‫گریمانهى‬ ‫بنهماى‬ ‫لهسهر‬‫به‬‫ئاڕاستهى‬X‫دانراوە‬‫یان‬ ‫تهریب‬ ‫نهگۆر‬ ‫گهرمى‬ ‫ڕووى‬‫به‬‫ئاڕاستهى‬X‫بۆ‬ ‫دەكات‬ ‫دەستهبهر‬ ‫نزیكى‬ F Gk k F Gk k xq
  • 42.
  • 43.
    43 A Cylindrical Shell- Expression for Temperature Distribution ‫ثەرگی‬‫لىول‬‫ە‬ً‫ك‬-‫دەرثڕيٌی‬‫ث‬‫ۆ‬‫داث‬‫ە‬ًً‫غكرد‬‫پل‬‫ە‬‫ي‬‫گ‬‫ە‬ً‫ره‬
  • 44.
    44 ‌ What does theform of the heat Equation tell us about the variation of with in the wall? Is the foregoing conclusion consistent with the energy conservation requirement? How does vary with ? ‫کام‬‫ش‬‫ێ‬‫و‬‫ە‬‫ى‬‫هاوك‬‫ێ‬‫ش‬‫ه‬‫ك‬‫ه‬‫ى‬‫گ‬‫ه‬‫رمى‬‫پێمان‬‫د‬‫ەڵێ‬‫ت‬‫د‬‫ە‬‫ربار‬‫ە‬‫ى‬‫گۆڕانی‬‫لهگهڵ‬‫دیوارەکهدا؟‬ ‫له‬ ‫پێشودا‬ ‫پوختهکهی‬ ‫له‬ ‫ئایه‬‫جیگیری‬‫لهگهڵ‬‫وزە‬ ‫پاراستنی‬‫دا‬‫پێویست‬‫ه‬‫؟‬‫چۆن‬‫لهگهڵ‬ ‫دەگۆڕێت‬‫دا‬‫؟‬ Temperature Distribution for Constant K : ‫بۆ‬ ‫گهرمى‬ ‫پلهى‬ ‫دابهشكردنى‬K‫نهگۆڕ‬: rq r rq r rqr rqr     ,1 ,2 ,2 1 2 2 ln ln / s s s T T r T r T r r r         
  • 45.
    45 Heat Flux andHeat Rate: ‫گ‬‫ۆ‬ًً‫را‬‫خ‬‫ێ‬‫راي‬‫گ‬‫ە‬ً‫ره‬‫و‬‫ڕێ‬‫ژ‬‫ە‬‫ي‬‫گ‬‫ە‬ً‫ره‬ Conduction Resistance: ‫ث‬‫ە‬ً‫رگري‬‫گ‬‫ە‬‫يبًذى‬ ‌ Example 2-2 A thick walled trbe of stainless steel (18%Cr, 8%Ni, k = 19 W/m·℃) with 2cm inner diameter and 4cm outer diameter is covered with a 3cm layer of asbestos insulation ( k = 0.2 W/m·℃). If the inside wall temperature of the pipe is maintained at 600℃, calculate the heat loss per meter of length. Also calculate the tube insulation interface temperature. ‫نمونه‬(2.2)‫ث‬‫ۆ‬‫ري‬‫ئەضتىری‬ ‫ديىار‬ ‫ەکی‬‫پ‬‫ۆاڵ‬‫ي‬‫ث‬‫ێ‬‫خ‬‫ە‬‫وظ‬(18%Cr, 8%Ni, k = 19 W/m·℃)‫ثە‬ (2cm)‫تیرەي‬‫ًبو‬‫ە‬ً‫ك‬‫و‬(4cm)‫دەرەکی‬ ‫تیرەي‬‫دا‬‫پ‬‫ۆ‬‫غرا‬‫ث‬‫ێ‬‫ت‬‫ثە‬(3cm)ًٌ‫چی‬‫جیبكەرەوە‬‫ي‬ ‫ئ‬‫ە‬‫ضجطت‬(k = 0.2 W/m·℃).‫ئ‬‫ە‬‫گ‬‫ە‬‫ر‬‫پل‬‫ە‬‫ي‬‫گ‬‫ە‬ً‫رهی‬‫ل‬‫ە‬‫ًبوي‬‫ديىاري‬‫لىول‬‫ە‬‫ك‬‫ە‬‫ثه‬‫ێڵ‬‫راو‬‫ە‬‫ت‬‫ە‬‫و‬‫ە‬‫ل‬‫ە‬ (600℃)‫دا‬،‫ل‬‫ە‬‫د‬‫ە‬ًً‫ضتذا‬‫گ‬‫ە‬ً‫ره‬‫ثکە‬ ‫هەژهبر‬‫درێژيذا‬ ‫هەترێکی‬ ‫هەر‬ ‫لە‬.‫ه‬‫ە‬‫رو‬‫ە‬‫هب‬‫پل‬‫ە‬‫ي‬‫گ‬‫ە‬ً‫رهی‬ ‫واجیه‬‫ە‬‫حیطبة‬‫د‬‫ە‬‫كبت‬.     2 1 , 2 1 , ln / Units K/W 2 ln / Units m K/W 2 t cond t cond r r R Lk r r R k                     ,1 ,2 2 1 ,1 ,2 2 1 ,1 ,2 2 1 ln / 2 2 ln / 2 2 ln / r s s r r s s r r s s dT k q k T T dr r r r k q rq T T r r Lk q rLq T T r r                
  • 46.
    46 Solution. The accompanyingFigure shows the thermal network for this problem. The heat flow is given by :‫غیکبر‬،‫هبوپێچەکە‬ ‫وێٌە‬‫ت‬‫ۆڕ‬‫ي‬‫گ‬‫ە‬ً‫رهبي‬‫ًیػبى‬‫د‬‫ە‬‫دات‬‫ث‬‫ۆ‬‫ئ‬‫ە‬‫م‬‫گرفت‬‫ە‬.‫ڕۆ‬ًٌ‫يػت‬‫گ‬‫ە‬ً‫ره‬‫دراوە‬‫ثە‬ ( ) ( ) ( ) 680 W/m This heat flow may be used to calculate the interface temperature between the outside tube wall and the insulation. We have ‫ئ‬‫ە‬‫م‬‫ڕۆ‬ًٌ‫يػت‬‫گ‬‫ە‬‫رهی‬‫ە‬‫ل‬‫ە‬ً‫وا‬‫ە‬‫ي‬‫ە‬‫ث‬‫ە‬‫كبر‬‫ثه‬‫ێ‬‫ٌر‬‫ێ‬‫ت‬‫ثۆ‬‫حیطبة‬‫کردًی‬‫پل‬‫ە‬‫ي‬‫گ‬‫ە‬ً‫رهی‬‫واجیه‬‫ە‬‫ل‬‫ە‬ً‫ێ‬‫ىاى‬‫ديىاري‬ ‫د‬‫ە‬‫ر‬‫ە‬‫و‬‫ە‬‫ي‬‫ث‬‫ۆ‬‫ري‬‫و‬‫جیبكەرەوە‬‫ك‬‫ە‬‫دا‬.‫ئ‬‫ێ‬‫و‬‫ە‬‫ه‬‫ە‬‫هب‬‫ًە‬ 680 W/m where Ta is the interface temperature, which may be obtained as ‫لەويبدا‬Ta‫پل‬‫ە‬‫ي‬‫گ‬‫ە‬‫رهی‬‫ە‬‫ك‬‫ە‬‫ي‬‫واجیه‬‫ە‬‫ي‬‫ە‬،‫ك‬‫ە‬‫ل‬‫ە‬ً‫وا‬‫ە‬‫ي‬‫ە‬‫ث‬‫ە‬‫د‬‫ە‬‫ضت‬‫ثه‬‫ێ‬‫ٌر‬‫ێ‬‫ت‬‫ه‬‫ە‬‫رو‬‫ە‬‫ك‬. Ta = 595.8℃
  • 47.
    47 The largest thermalresistance clearly results from the insulation, and thus the major portion of the temperature drop is through that material. ‫زلتريي‬‫ث‬‫ە‬ً‫رگري‬‫گ‬‫ە‬ً‫رهبي‬‫ث‬‫ەڕ‬ًً‫وو‬‫دەضتذەکەوێت‬‫ل‬‫ە‬‫جیبكەرەوە‬‫ك‬‫ە‬‫وە‬،‫و‬‫ث‬‫ە‬‫م‬‫ج‬‫ۆ‬‫ر‬‫ە‬‫پػك‬‫ە‬‫ك‬‫ە‬‫ي‬‫داکػبًی‬ ‫پل‬‫ە‬‫ي‬‫گ‬‫ە‬‫رهی‬‫ە‬‫ك‬‫ە‬‫ث‬‫ە‬‫ًبو‬‫ئ‬‫ە‬‫و‬‫هبدد‬‫ەيەدا‬. 2-6 Critical thickness of insulation ‫ئ‬‫ە‬‫ضتىور‬‫ی‬‫غڵۆقی‬‫جیبكەرەوە‬ hrk rr TTL q o io i 1)ln( )(2      0 odr dq , h k ro  Example 2-5 Calculate the critical radius of insulation for asbestos (k = 0.17 W/m·℃) surrounding a pipe and exposed to room air at 20℃ with h=3.0 W/ m2 ·℃. Calculate the heat loss from 5cm diameter of the pipe at 200℃, when covered with the critical radius of insulation and without insulation. ‫نمونه‬:‫نیو‬‫ە‬‫تیرەى‬‫شڵۆقی‬‫جیاكهرەوە‬‫بکه‬ ‫ههژمار‬‫ب‬‫ۆ‬‫ئ‬‫ه‬‫سبست‬(k = 0.17 W/m·℃)‫به‬‫د‬‫ە‬‫ور‬‫ی‬ ‫لوول‬‫ه‬‫یهکدا‬‫و‬‫خراوەته‬‫ب‬‫ه‬‫ر‬‫ه‬‫ه‬‫وا‬‫ی‬‫ژوور‬‫ل‬‫ه‬(20℃)‫به‬(h=3.0 W/ m2 ·℃).‫گ‬‫ه‬‫رمى‬‫چو‬ ‫بهفیرۆ‬ ‫بکه‬ ‫ههژمار‬‫ل‬‫ه‬‫تیرەی‬5cm‫له‬ ‫لولهکهوە‬ ‫ت‬(200℃)‫دا‬،‫كات‬‫ێ‬‫ك‬‫دا‬‫پ‬‫ۆ‬‫ش‬‫راوە‬‫به‬‫نیو‬‫ە‬‫تیرە‬‫شڵۆقی‬ ‫یهکی‬ ‫جیاكهرەوە‬‫و‬‫ە‬‫ب‬‫ه‬‫ب‬‫ێ‬‫جیاكهرەوە‬. Solution. We calculate ro as cmm h k ro 67.50567.0 0.3 17.0  The inside radius of the insulatyion is 5.0/2 = 2.5 cm, so
  • 48.
    48 mW L q /7.105 )0.3)(0567.0( 1 17.0 )5.2/67.5ln( )20200(2      mWTTrh L q oi /8.84)20200)(025.0)(2)(0.3())(2(  So, the addition of 3.17 cm (5.67-2.5) of insulation actually increases the heat transfer by 25 percent. As an alternative, fiberglass having a thermal conductivity of 0.04 W/m·℃ might be employed as the insulation material. Then, the critical radius would be ‫کهواته‬،‫زیادکردنی‬3.17 cm‫واته‬(5.67-2.5)‫ى‬‫جیاكهرەوە‬‫ل‬‫هڕ‬‫استیدا‬‫به‬2٥‫ل‬‫ه‬‫س‬‫ه‬‫دا‬ ‫گواستن‬‫ه‬‫و‬‫ە‬‫ك‬‫ه‬‫ى‬‫گ‬‫ه‬‫رمى‬‫دەکات‬ ‫زیاد‬. ‫فایبهگالس‬ ،‫بهدیلێك‬ ‫ههروەك‬( ‫گهرمی‬ ‫گهیاندنی‬ ‫توانای‬0.04 W/m·℃)‫ههیه‬،‫لهوانهیه‬‫بهكار‬ ‫بهێنرێت‬‫ههروەك‬‫ماددەكهى‬‫جیاكهرەوە‬.،‫پاشان‬‫نیوە‬‫تیرەى‬‫شڵۆق‬‫دەبێ‬‫ت‬‫به‬ cmm h k ro 33.10133.0 0.3 04.0  Heat generation ‫په‬‌‫یدابونی‬‌‫گه‬‌‫رمی‬ Page 47 in the Data Book Heat generation ‫سێ‬‌‫حاڵه‬‌‫تی‬‌‫هه‬‌‫یه‬‌ : ‫پلێتێكمان‬‌‫هه‬‌‫یه‬‌‌‫گه‬‌‫رمی‬‌‫تیادا‬‌‫په‬‌‫یدا‬‌‫ده‬‌،‫بێت‬‌‫كه‬‌‌‫ئه‬‌‫مه‬‌‫ش‬‌‫دوو‬‌‫جۆره‬‌‌‌.‫جۆری‬‌‫یه‬‌‫كه‬‌‫میان‬‌‫خۆی‬‌ ‫پێت‬‌‫ده‬‌‫ڵت‬‌‫پله‬‌‫ی‬‌‫گه‬‌‫رمی‬‌‫ئه‬‌‫مدیوو‬‌‫ئه‬‌‫وه‬‌‌‫دیوی‬‌‫پله‬‌‫یته‬‌‫كه‬‌‌‫یه‬‌‫كسانه‬‌‌‫به‬‌‌‫ئه‬‌‫وه‬‌‫نده‬‌‌‫كه‬‌‌‫ئم‬‌‫پله‬‌‫گه‬‌‫رمییه‬‌‫ش‬‌ ‫بریتته‬‌‌‫له‬‌ Tw ‫به‬‌‫اڵم‬‌‫ئه‬‌‫وه‬‌‫ی‬‌‫تریان‬‌‫پێت‬‌‫ده‬‌‫ڵت‬‌،‌‫پله‬‌‫ی‬‌‫گه‬‌‫رمی‬‌‫هه‬‌‫واكه‬‌‫ی‬‌‫ده‬‌‫ورو‬‌‫به‬‌‫ری‬‌‫پلێته‬‌‫كه‬‌‌ ‫یه‬‌‫كسانه‬‌‌‫به‬‌‌‫ئه‬‌‫وه‬‌‫نده‬‌‌‫كه‬‌‌‫ئه‬‌‫م‬‌‫پله‬‌‫گه‬‌‫رمییه‬‌‫ش‬‌‫بریتیه‬‌‌‫له‬‌ ،‌‫له‬‌‫م‬‌‫حاڵه‬‌‫ته‬‌‫دا‬‌‫پێویسته‬‌‌‫كه‬‌‌‫سه‬‌‫ره‬‌‫تا‬ Tw ‫بدۆزینه‬‌‫وه‬‌‌‫به‬‌‫هۆی‬‌‫ئه‬‌‫م‬‌‫یاسایه‬‌
  • 49.
    49 ‫به‬‌‫دۆزینه‬‌‫وه‬‌‫ی‬‌Tw‌‌‫وه‬‌‫كو‬‌‫جۆری‬‌‫یه‬‌‫كه‬‌‫می‬‌‫لێدێتو‬‌‫هه‬‌‫ر‬‌‫به‬‌‫هه‬‌‫مان‬‌‫ڕێگای‬‌‫جۆری‬‌‫یه‬‌‫كه‬‌‫م‬‌‫شیكار‬‌ ‫ده‬‌‫كرێت‬.‌ ‌ ‫هه‬‌‫موو‬‌‫كاتێك‬‌‌maximum temperature(To)‌‫ده‬‌‫كه‬‌‫وێته‬‌‌‫ناوه‬‌‫ڕاستی‬‌‫پلێته‬‌‫كه‬‌‫وه‬‌‌‫واته‬‌‌x=0‌‌ ‫وه‬‌‫به‬‌‫م‬‌‫یاسایه‬‌‌‫ده‬‌‫یدۆزینه‬‌‫وه‬‌ ‌‌ ‫تێبینی‬‌‫له‬‌‫م‬‌‫حاڵه‬‌‫ته‬‌‫دا‬ X‫له‬‌‫ناوه‬‌‫ڕاستی‬‌‫جسمه‬‌‫كه‬‌‫وه‬‌‌‫ده‬‌‫پێورێت‬‌،‌‫واته‬‌‌‫ئه‬‌‫گه‬‌‫ر‬‌‫پرسیاره‬‌‫كه‬‌‌‫داوای‬‌‫دۆزینه‬‌‫وه‬‌‫ی‬‌ ‫پله‬‌‫ی‬‌‫گه‬‌‫رمی‬‌‫كردبوو‬‌‫له‬‌‌‫دوریه‬‌‫كی‬‌‫زانراو‬‌‫له‬‌‌‫ڕوی‬‌‫ده‬‌‫ره‬‌‫وه‬‌‌‫جسمه‬‌‫كه‬‌‫وه‬‌‌‫ئه‬‌‫وا‬‌‫پێویسته‬‌‌‫ئێمه‬‌‌‫ئه‬‌‫و‬‌‫دوریه‬‌‌ ‫بگۆڕین‬‌‫به‬‌‫گوێره‬‌‫ی‬‌‫دورییه‬‌‫كه‬‌‫ی‬‌‫له‬‌‌‫ناوه‬‌‫ڕاستی‬‌‫جسمه‬‌‫كه‬‌‫وه‬‌ . ‫پله‬‌‫ی‬‌‫گه‬‌‫رمی‬‌‫لێواری‬‌‫پلێته‬‌‫كه‬‌‫یه‬‌‌‫به‬‌‫اڵم‬ ‫پله‬‌‫ی‬‌‌‫گه‬‌‫رمی‬‌‫هه‬‌‫وای‬‌‫ده‬‌‫وری‬‌‫پلێته‬‌‫كه‬‌‫یه‬‌ . ‫بۆ‬‌‫دۆزینه‬‌‫وه‬‌‫ی‬‌‫پله‬‌‫ی‬‌‫گه‬‌‫رمی‬‌‫له‬‌‫هه‬‌‫ر‬‌‫جێگایه‬‌‫كی‬‌‫پله‬‌‫یته‬‌‫كه‬‌‫دا‬‌‫ئه‬‌‫وا‬‌‫ئه‬‌‫م‬‌‫یاسایه‬‌‌‫به‬‌‫كارده‬‌‫هێنین‬ : ( )
  • 50.
    50 Amount of heatgeneration= Example: a plate of 24mm thickness is shaped to nuclear fuel element exposed on the sides to heat convection at 200 ℃ with a convection heat transfer coefficient of ℃ Generates heat at 20 .If thermal conductivity of the plate is 25.4 ℃ . Determine the surface temperature and the maximum temperature. ‫نموون‬‫ه‬:‫پلێت‬‫ێ‬‫ك‬‫ی‬(24mm)‫ئ‬‫ه‬‫ستوور‬‫پ‬‫ێ‬‫كه‬‫بۆ‬ ‫ێنرا‬‫سووت‬‫ه‬‫م‬‫ه‬‫نیى‬‫ناووكى‬،‫بهرەاڵکرا‬ ‫تهنشتهکانیهوە‬ ‫له‬‫ب‬‫ۆ‬ ‫گهرمی‬ ‫ههڵگرتنی‬‫ل‬‫ه‬(200 ℃)‫به‬‫هاوك‬‫ۆ‬‫لك‬‫ه‬‫ی‬‫ه‬‫كى‬‫گهرمى‬ ‫گواستنهوەى‬ ‫ههڵگرتنی‬( ℃).‫گ‬‫ه‬‫رمى‬‫دروست‬‫د‬‫ە‬‫كات‬‫ل‬‫ه‬(20).‫ئ‬‫ه‬‫گ‬‫ه‬‫ر‬‫گهرمی‬ ‫گهیاندنی‬ ‫توانای‬‫پلێت‬‫هکه‬ (25.4 ℃)‫بێت‬.‫پل‬‫ه‬‫ى‬‫گ‬‫ه‬‫رم‬‫ی‬‫ڕ‬‫وو‬‫و‬ ‫ەکه‬‫پل‬‫ه‬‫ى‬‫گ‬‫ه‬‫رمی‬‫ه‬‫ك‬‫ه‬‫ى‬‫ز‬‫ۆ‬‫دیارى‬ ‫رترین‬‫بك‬‫ه‬. Given: , ℃ convection heat transfer coefficient of ℃ , Amount of heat generation= , thermal conductivity of plate ℃ Solution: from page 47 in the Data Book:
  • 51.
    51 ℃ ℃ ℃ ‌ ‫حاڵه‬‌‫تی‬‌‫دووه‬‌‫م‬‌:‫پلێتێكه‬‌‌‫لێواره‬‌‫كه‬‌‫ی‬‌insulation‌‌‫كراوه‬‌‌‌‫واته‬‌‌‫عه‬‌‫زل‬‌‫كراوه‬‌‫و‬‌‫كراوه‬‌‌‫به‬‌‌‫نگه‬‌‫یه‬‌‫نه‬‌‫روئه‬‌‫و‬‌ ‫الیه‬‌‫ی‬‌‫گه‬‌‌‫رمی‬‌‫ناگه‬‌‫یه‬‌‫نێت‬‌.‫وه‬‌‌‫ئه‬‌‫و‬‌‫الیه‬‌‫ی‬‌‫كه‬‌‌‫عه‬‌‫زل‬‌‫كراوه‬‌‌‫به‬‌‫رزترین‬‌‫پله‬‌‫ی‬‌‫گه‬‌‫رمی‬‌‫هه‬‌‫یه‬‌‌‫وه‬‌‌‫ئه‬‌‫و‬‌‫الیه‬‌‫ی‬‌‫كه‬‌‌ ‫عه‬‌‫زل‬‌‫نه‬‌‫كراوه‬‌‌‫نزمترین‬‌‫پله‬‌‫ی‬‌‫گه‬‌‫رمی‬‌‫هه‬‌‫یه‬‌،‌‫وه‬‌‌‫هه‬‌‫روه‬‌‫ها‬‌‫پانی‬‌‫پلێته‬‌‫كه‬‌‌=L‌‌‫نه‬‌‫وه‬‌‫ك‬‌2L‌‌‫وه‬‌‌x‌‫له‬‌‫الی‬‌‫چه‬‌‫پی‬‌ ‫پلێته‬‌‫كه‬‌‫وه‬‌‌‫ده‬‌‫پێورێت‬‌‫بۆالی‬‌‫ڕاست‬‌.
  • 52.
  • 53.
    53 Example: a platewall is 1m thick and it has one surface (x=0) insulated while the other surface (X=L) is maintained at a constant temperature of 350 ℃ , K =25w/mK, and uniform heat generation per unit volume of 500 exists throughout the wall. Determine the maximum temperature in the wall and the location of the plane where it occurs. ‫نموون‬‫ه‬:‫دیوار‬‫ێ‬‫كى‬‫توخت‬(1m)‫ئ‬‫ه‬‫ستور‬‫ە‬‫و‬‫ی‬‫ه‬‫ك‬‫ڕ‬‫وو‬‫ه‬‫ه‬‫ی‬‫ه‬‫ى‬(x=0)‫جیاى‬‫كر‬‫او‬‫ە‬‫ت‬‫و‬‫ە‬‫لهكاتێکدا‬ ‫ڕ‬‫وو‬‫تری‬ ‫ەکهی‬(X=L)‫ه‬‫ێڵ‬‫راو‬‫ە‬‫ت‬‫ه‬‫و‬‫ە‬‫ل‬‫ه‬‫پل‬‫ه‬‫ى‬‫گ‬‫ه‬‫رمی‬‫ێ‬‫كى‬‫ن‬‫ه‬‫گ‬‫ۆڕ‬‫ى‬(350 ℃‫)دا‬,(K =25w/mK)،‫و‬ ‫گهرمی‬‫قهبارەدا‬ ‫یهکهی‬ ‫له‬ ‫یهک‬ ‫وەک‬ ‫پهیدابوی‬(500 )‫ه‬‫ه‬‫ی‬‫ه‬‫ب‬‫ه‬‫در‬‫ێ‬‫ژایى‬‫دیوار‬‫ە‬‫ك‬‫ه‬.‫پل‬‫ه‬‫ى‬ ‫گ‬‫ه‬‫رمی‬‫ه‬‫ك‬‫ه‬‫ى‬‫ز‬‫ۆ‬‫رترین‬‫دیارى‬‫بك‬‫ه‬‫ل‬‫ه‬‫دیوار‬‫ە‬‫ك‬‫ه‬‫دا‬‫و‬‫ە‬‫شو‬‫ێ‬‫ن‬‫ه‬‫ك‬‫ه‬‫ى‬‫ڕوتهختهکادا‬ ‫له‬‫کهتیایدا‬‫ڕ‬‫وو‬‫د‬‫ە‬‫دات‬. Given: thick = L = 1m , ℃ .Thermal conductivity= K =25w/mK, Solution: from page 47 in the Data Book:
  • 54.
    54 The location ofmaximum temperature is (x=0).(Answer)‌ ‫حاڵه‬‌‫تی‬‌‫سێ‬‌‌‫یه‬‌‫م‬‌‌:‫كه‬‌‫وێته‬‌‌‫ناوه‬‌‫ڕاستی‬‌‫پلێته‬‌‫كه‬‌‫وه‬‌‌‫وه‬‌‌‫هه‬‌‫روه‬‌‫ها‬‌‫ئه‬‌‫مدی‬‌‫و‬‌‫ئه‬‌‫ودیوی‬‌‫پلێته‬‌‫كه‬‌‌‫پله‬‌‫ی‬‌ ‫گه‬‌‫رمییه‬‌‫كانیان‬‌‫جیاوازه‬‌. ‫بۆ‬‌‫دۆزینه‬‌‫وه‬‌‫ی‬‌‫پله‬‌‫ی‬‌‫گه‬‌‫رمی‬‌‫له‬‌‫هه‬‌‫ر‬‌‫شوێنێكدا‬‌‫ئه‬‌‫م‬‌‫یاسایه‬‌‌‫به‬‌‫كاردێنین‬:‌ ‫ئه‬‌‫گه‬‌‫ر‬‌‫داوای‬‌‫شوێنی‬‌‫به‬‌‫رزترین‬‌‫پله‬‌‫ی‬‌‫گه‬‌‫رمی‬‌‫كرد‬‌‫ئه‬‌‫وا‬‌‫ئه‬‌‫م‬‌‫یاسایه‬‌‌‫به‬‌‫كاردێنین‬:‌ ‫به‬‌‫اڵم‬‌‫بۆ‬‌‫دۆزینه‬‌‫وه‬‌‫ی‬‌‫نرخی‬‌‫به‬‌‫رزترین‬‌‫پله‬‌‫ی‬‌‫گه‬‌‫رمی‬‌‫ئه‬‌‫م‬‌‫یاسایه‬‌‌‫به‬‌‫كاردێنین‬:‌
  • 55.
    55 Example: The thicknessof a steel plate is 25mm and (K =48 W/m℃ ), having a uniform heat generation per unit volume of 30* W/ , the temperature on the two surfaces of the steel plate, are 180℃ and 120℃ . Determine the value and position of the maximum temperature and heat flow from each surface of the plate. ‫نموون‬‫ه‬:‫ئهستوری‬‫پلێت‬‫ێ‬‫كى‬‫پ‬‫ۆاڵ‬(25mm)‫ە‬‫و‬(K =48 W/m℃)،‫وەکیهک‬ ‫گهرمی‬ ‫پهیدابونی‬ ‫قهبارەدا‬ ‫لهیهکهی‬(30* W/)‫ە‬،‫پل‬‫ه‬‫ى‬‫گ‬‫ه‬‫رم‬‫ی‬‫ل‬‫ه‬‫س‬‫ه‬‫ر‬‫دوو‬‫ڕ‬‫ووى‬‫پلێت‬‫ه‬‫پ‬‫ۆاڵ‬‫که‬،(180℃)‫و‬ (120℃.‫)ن‬‫نرخ‬‫و‬‫شو‬‫ێ‬‫نى‬‫پل‬‫ه‬‫ى‬‫گ‬‫ه‬‫رم‬‫ی‬‫ز‬‫ۆ‬‫رترین‬‫و‬‫ڕۆ‬‫یشتنى‬‫گ‬‫ه‬‫رمى‬‫ل‬‫ه‬‫ه‬‫ه‬‫ر‬‫ڕ‬‫وو‬‫یهکی‬‫پلێتهک‬‫هوە‬ ‫دیارى‬‫بك‬‫ه‬. Given: thick = 2L = 25mm =0.025m , Thermal conductivity= K =48 W/m℃, heat generation= 30* W/ , maximum temperature= =180℃, minimum temperature= =120 ℃. Solution: ℃
  • 56.
    56 Example: A wall8cm thick has its surfaces maintained at 0℃ and 100℃ . The heat generation rate is 3.25* W/ . If the Thermal conductivity of the material is 4W/mK, determine the temperature at the mid plane, the location and the value of the maximum temperature. ً‫ًوىو‬‫ە‬:‫ديىار‬‫ێکی‬(8cm)‫ئ‬‫ە‬‫ضتىر‬‫ڕ‬‫وو‬‫ەکبًی‬‫هێڵراوەتەوە‬‫ل‬‫ە‬(0℃)‫و‬(100℃)‫دا‬.‫ڕێ‬‫ژ‬‫ی‬‫گ‬‫ە‬ً‫ره‬ ‫پەيذاثى‬(3.25* W/)‫ە‬.‫ئ‬‫ە‬‫گ‬‫ە‬‫ر‬‫گەرهی‬ ‫گەيبًذًی‬ ‫تىاًبی‬‫هبدد‬‫ە‬‫ك‬‫ە‬(4W/mK‫)ثێت‬،‫پل‬‫ە‬‫ي‬ ‫گ‬‫ە‬‫رهی‬‫ە‬‫ك‬‫ە‬‫ديبري‬‫ثك‬‫ە‬‫ل‬‫ە‬‫ڕوتەختەکەدا‬ ‫ًبوەڕاضتی‬،‫ًرخی‬ ‫و‬ ‫غىێي‬‫پل‬‫ە‬‫ي‬‫گ‬‫ە‬‫رهی‬‫ە‬‫ك‬‫ە‬‫ي‬‫ز‬‫ۆ‬‫رتريي‬‫ديبري‬ ‫ثك‬‫ە‬. Given: thick = 2L = 8cm =0.08m , , heat generation= 3.25* W/ , Thermal conductivity= K =4 W/mK maximum temperature= =100℃=373K, minimum temperature= =0 ℃=273K. Solution: from page 47 in the Data Book: ‫بۆ‬‌‫دۆزینه‬‌‫وه‬‌‫ی‬‌‫پله‬‌‫ی‬‌‫گه‬‌‫رمی‬‌‫له‬‌‫هه‬‌‫ر‬‌‫شوێنێكدا‬‌‫ئه‬‌‫م‬‌‫یاسایه‬‌‌‫به‬‌‫كاردێنین‬:‌
  • 57.
  • 58.
    58 Example: a 6cmthick slab of insulating material (K =0.38 W/mK) is placed between two parallel electrodes and is subjected to high electric power producing 39000w/ . Under steady state condition, the convection heat transfer coefficient is 11.8W/ .K at left side while the right side is at 30℃ , if ambient air temperature is 25℃ at left side. (1)Calculate The left side surface temperature. (2) Determine Location and magnitude of maximum temperature. ‫نموون‬‫ه‬:‫شتایگهر‬‫ێ‬‫ك‬(6cm)‫ئ‬‫ه‬‫ستورى‬‫كهرەوە‬ ‫جیا‬ ‫ماددەی‬(K =0.38 W/mK)‫دا‬‫نرا‬‫ل‬‫ه‬‫ن‬‫ێ‬‫وان‬‫دوو‬ ‫ئ‬‫ه‬‫لكتر‬‫ۆ‬‫دى‬‫ت‬‫ه‬‫ریب‬‫و‬‫ژێر‬ ‫خرانه‬‫تواناى‬‫ب‬‫ه‬‫رز‬‫كار‬‫ە‬‫بایى‬‫ب‬‫ه‬‫ره‬‫ه‬‫م‬‫ه‬‫ێ‬‫نان‬(39000w/)‫ب‬‫ه‬‫ره‬‫ه‬‫م‬ ‫دێنێت‬.‫ل‬‫ه‬‫ژ‬‫ێ‬‫ر‬‫مهرجی‬‫جێگیر‬ ‫حاڵهتی‬،‫هاوكۆلكهی‬‫ههڵگرتنهکه‬ ‫گهرمی‬ ‫گواستنهوەی‬ (11.8W/ .K)‫ە‬.‫ل‬‫ه‬‫الى‬‫چ‬‫ه‬‫پ‬‫لهكاتێکدا‬‫الی‬‫ڕ‬‫است‬‫ه‬‫له‬(30℃)‫دا‬،‫ئ‬‫ه‬‫گ‬‫ه‬‫ر‬‫ههواى‬ ‫گهرمى‬ ‫پلهى‬ ‫دەوروبهر‬(25℃)‫بێت‬‫ل‬‫ه‬‫الى‬‫چ‬‫ه‬‫پ‬( .1)‫پل‬‫ه‬‫ى‬‫گ‬‫ه‬‫رمیى‬‫ڕ‬‫وو‬‫ی‬‫الى‬‫چ‬‫ه‬‫پ‬‫بکه‬ ‫ههژمار‬( .2)‫شوێنو‬ ‫گهرمی‬ ‫پلهی‬ ‫بهرزترین‬ ‫نرخی‬‫دیارى‬‫بك‬‫ه‬. Given: thick = 2L = 6cm =0.06m , Thermal conductivity= K =0.38 W/mK, heat generation= , heat transfer coefficient=11.8 W/ . ambient air temperature = 25℃ , minimum temperature= =30℃=303K.
  • 59.
    59 Solution: from page47 in the Data Book: ‫بۆ‬‌‫دۆزینه‬‌‫وه‬‌‫ی‬‌‫نرخی‬‌‫به‬‌‫رزترین‬‌‫پله‬‌‫ی‬‌‫گه‬‌‫رمی‬‌‫ئه‬‌‫م‬‌‫یاسایه‬‌‌‫به‬‌‫كاردێنین‬:‌ ‌
  • 60.
    60 Fins Types of thefin: ‫پهڕەكه‬ ‫پهڕەكهكه‬ ‫جۆرى‬: 1. Long Fin ‫به‬‌‫هۆی‬‌‫یاساوه‬‌‌‫شیكار‬‌‫ده‬‌‫كرێت‬ 2. Short Fin (end insulated)=Thin Fin ‫به‬‌‫هۆی‬‌‫یاساوه‬‌‌‫شیكار‬‌‫ده‬‌‫كرێت‬ 3. Short Fin (end insulated) ‫به‬‌‫هۆی‬‌‫یاساوه‬‌‌‫شیكار‬‌‫ده‬‌‫كرێت‬ 4. Circumferential fin ‫به‬‌‫هۆی‬‌‫چارته‬‌‫وه‬‌‌‫شیكار‬‌‫ده‬‌‫كرێت‬ 5. Rectangular fin ‫به‬‌‫هۆی‬‌‫چارته‬‌‫وه‬‌‌‫شیكار‬‌‫ده‬‌‫كرێت‬ 6. Triangular fin ‫به‬‌‫هۆی‬‌‫چارته‬‌‫وه‬‌‌‫شیكار‬‌‫ده‬‌‫كرێت‬ ‫پرسیار‬‌:‫جۆری‬Long fin‫هه‬‌‫روه‬‌‫ها‬short fin‫له‬‌‌‫كاتی‬‌‫تاقیكردنه‬‌‫وه‬‌‫دا‬‌،‌‫چۆن‬‌‫له‬‌‫یه‬‌‫كتر‬‌‫جیابكه‬‌‫ینه‬‌‫وه‬‌‫؟‬ ‫وه‬‌‫اڵم‬‌:‫له‬‌‫هه‬‌‫ر‬‌‫پرسیارێكدا‬‌‫ئه‬‌‫گه‬‌‫ر‬‌‫درێژی‬fin‫ه‬‌‫كه‬‌‌‫درابوو‬‌‫ئه‬‌‫وا‬‌‫ئه‬‌‫و‬‌‫جۆره‬‌‌‫بریتیه‬‌‌‫له‬‌short fin .‫به‬‌‫اڵم‬‌ ‫ئه‬‌‫گه‬‌‫ر‬‌‫درێژی‬fin‫ه‬‌‫كه‬‌‌‫نه‬‌‫درابوو‬‌‫ئه‬‌‫وا‬‌‫ئه‬‌‫و‬‌‫جۆره‬‌‌‫بریتیه‬‌‌‫له‬‌Long fin .
  • 61.
    61 Example: Find outthe amount of heat transfer through an thin iron fin of length 50mm, 100mm width and thickness of 5mm. Assume k=210W/m.℃ for the material of the fin and h=42W/ .℃ , if the atmospheric temperature is 20℃ . Also determine the temperature at the tip of the fin if base temperature is 80℃. ‫نموون‬‫ه‬:‫ب‬‫ڕ‬‫ى‬‫گواست‬‫ن‬‫هوەی‬‫گهرمى‬‫بزان‬‫ه‬‫ب‬‫ه‬‫ناو‬‫پ‬‫هڕە‬‫یه‬‫ئاسنى‬ ‫كى‬‫باریك‬‫ی‬‫در‬‫ێ‬‫ژى‬(50mm)، (100mm)‫پان‬‫و‬‫ئهستوری‬‫ى‬(5mm).‫وا‬‫دا‬‫بن‬‫ێ‬‫ب‬‫ۆ‬‫مادد‬‫ە‬‫ى‬‫پ‬‫هڕە‬‫ك‬‫ه‬‫ك‬‫ه‬(k=210W/m.℃)‫و‬ (h=42W/ .℃)،‫ئ‬‫ه‬‫گ‬‫ه‬‫ر‬‫کهش‬ ‫گهرمیى‬ ‫پلهى‬(20℃)‫بێت‬.‫ه‬‫ه‬‫رو‬‫ە‬‫ها‬‫پل‬‫ه‬‫ى‬‫گ‬‫ه‬‫رم‬‫ی‬‫ل‬‫ه‬ ‫س‬‫ه‬‫ر‬‫ە‬‫نوك‬‫ه‬‫ك‬‫ه‬‫ى‬‫پ‬‫هڕە‬‫ك‬‫ه‬‫ك‬‫ه‬‫دیارى‬‫بکه‬‫ئ‬‫ه‬‫گ‬‫ه‬‫ر‬‫پل‬‫ه‬‫ى‬‫گ‬‫ه‬‫رمیى‬‫بنك‬‫ه‬(80℃)‫بێت‬. Given: Type of the fin is thin iron fin i.e. Short Fin (end insulated), length=L= 50mm=0.05m, width=w= 100mm=0.1m thickness =t=5mm=0.005m, thermal conductivity=k=210W/m.℃, heat transfer coefficient= h=42W/ . ℃, atmospheric temperature = 20℃. Base temperature = 80℃. Determine the temperature at the tip of the fin.
  • 62.
    62 Solution: From page 49in the Data Book: Perimeter = p =2 (width) + 2(thickness) p =2 (0.01) + 2(0.005)=0.02 + 0.010=0.03m. Area =A= width * thickness A=0.01 * 0.005 = 0.00005 . √ √
  • 63.
  • 64.
    64 Example: a rodof carbon steel (k=54 W/m.K) with a cross section of an Equilateral triangular (Each side is 5mm) is 80mm long. It is attached to a plane wall which is maintained at a temperature of 400℃. The surrounding environment is at 50℃ and convection heat transfer coefficient is 90W/ .K. Calculate the heat dissipated by the rod. ‫نموون‬‫ه‬:‫تووڵ‬‫ێکی‬‫پ‬‫ۆاڵ‬‫ی‬‫كارب‬‫ۆ‬‫ن‬(k=54 W/m.K)‫به‬‫بڕگه‬ ‫پانه‬‫یهکی‬‫س‬‫ێ‬‫گ‬‫ۆ‬‫ش‬‫ه‬‫ی‬‫ال‬‫ی‬‫ه‬‫كسان‬‫ه‬‫ه‬‫ر‬ ‫الیهکی‬(5mm)‫وە‬ ‫ە‬(80mm)‫در‬‫ێ‬‫ژ‬‫ە‬.‫هاوپ‬‫ێ‬‫چ‬‫كرا‬‫ب‬‫ێ‬‫ت‬‫ب‬‫ۆ‬‫دیوار‬‫ێ‬‫ك‬‫تهخت‬ ‫ی‬‫ك‬‫ه‬‫ه‬‫ێڵ‬‫راو‬‫ە‬‫ت‬‫ه‬‫و‬‫ە‬‫ل‬‫ه‬‫پل‬‫ه‬‫ى‬ ‫گ‬‫ه‬‫رمى‬(400℃)‫دا‬.‫دەوروبهر‬ ‫ژینگهی‬‫ل‬‫ه‬(50℃)‫دایه‬‫و‬‫ە‬‫هاوك‬‫ۆ‬‫لكي‬‫گهرمی‬ ‫گواستنهوەی‬ (90W/ .K)‫ە‬.‫گ‬‫ه‬‫رمي‬‫لهناوچو‬‫به‬‫هۆی‬‫تووڵ‬‫ه‬‫ك‬‫ه‬‫وە‬‫بکه‬ ‫ههژمار‬. Given: ‫تێبینی‬‌:‫له‬‌‫هه‬‌‫ر‬‌‫پرسیارێكدا‬‌‫ئه‬‌‫گه‬‌‫ر‬‌‫درێژی‬fin‫ه‬‌‫كه‬‌‌‫درابوو‬‌‫ئه‬‌‫وا‬‌‫ئه‬‌‫و‬‌‫جۆره‬‌‌‫بریتیه‬‌‌‫له‬‌short fin Type of the fin is short fin (end not insulated), thermal conductivity=k=54W/m.K, length=L= 80mm=0.08m, Base temperature= = 400℃, surrounding temperature = 50℃ , heat transfer coefficient= h=90W/ . K, Calculate the heat dissipated by the rod.
  • 65.
    65 Solution: ‫فیساگۆرس‬ From page 49in the Data Book: Perimeter = p =3 * 0.005=0.015m A= . √ √ ( ( ) ( ) ) ( ( ) ( ) )
  • 66.
    66 ( ) ( ) () Example: Circumferential aluminum fins (K=200W/mk) is rectangular 1.5cm wide and 1mm thick are fitted onto a 2.5cm diameter tube. The fin base temperature is 170℃ and the ambient fluid temperature is 25℃ . Estimate the heat lost per fin, If h=130W/ k. ‫نموون‬‫ه‬:‫پ‬‫هڕە‬‫ئ‬‫ه‬‫ل‬‫ه‬‫منی‬‫ۆ‬‫م‬‫چێوەییهکان‬ ‫ه‬(K=200W/mk)‫الك‬‫ێ‬‫ش‬‫ه‬‫ییه‬(1.5cm)‫وە‬ ‫پان‬(1mm) ‫ئ‬‫ه‬‫ستور‬‫کران‬ ‫جێگیر‬‫سهر‬ ‫ه‬‫تیرە‬ ‫بۆرییهکی‬(2.5cm)‫ی‬.‫پل‬‫ه‬‫ى‬‫گ‬‫ه‬‫رمي‬‫بنك‬‫ه‬‫ی‬‫پ‬‫هڕە‬‫ك‬‫ه‬(170℃)‫ە‬‫و‬‫ە‬ ‫پل‬‫ه‬‫ى‬‫گ‬‫ه‬‫رمي‬‫شلگازەکهی‬‫د‬‫ە‬‫ور‬‫وبهر‬(25℃)‫ە‬.‫گ‬‫ه‬‫رمی‬‫ه‬‫بزربوو‬‫ب‬ ‫ەکه‬‫خ‬‫ه‬‫م‬‫ڵێنه‬‫ل‬‫ه‬‫پ‬‫هڕە‬‫ك‬‫ه‬‫دا‬،‫ئ‬‫ه‬‫گ‬‫ه‬‫ر‬ (h=130W/ k). Given: the type of the fin is circumferential fin ‫به‬‌‫هۆی‬‌‫چارته‬‌‫وه‬‌‌‫شیكار‬‌‫ده‬‌‫كرێت‬ From page 50 at the Data Book: Circumferential rectangular fin
  • 67.
    67 ( ) () X-axis‫ئیصقات‬‌‫ده‬‌‫كه‬‌‫ین‬‌‫بۆ‬‌‫سه‬‌‫ر‬curve number 2‫ه‬‌‫كه‬‌‌‫له‬‌‫كویادا‬curve‫ه‬‌‫كه‬‌‫ی‬‌‫بڕی‬‌‫ئه‬‌‫وا‬‌‫ئه‬‌‫و‬‌ ‫خاڵه‬‌‌‫ئیصقات‬‌‫ده‬‌‫كه‬‌‫ین‬‌‫بۆ‬‌‫سه‬‌‫ر‬Y-axis‫وه‬‌fin efficiency‫ده‬‌‫دۆزینه‬‌‫وه‬‌‌‫كه‬‌‫ده‬‌‫كاته‬‌‌85% η η Example: A heating unit is made in the form of a vertical tube fitted with rectangular section steel fins. The tube height is 1.2m and its outer diameter is 60mm. the fins are 50mm height and 3mm thickness along the tube. The numbers of fins used are 20. The base and air surrounding temperature are 80℃ and 18℃ respectively, h=9.3W/ k. for fin material (k=55.7W/mK). Calculate the total heat transferred from the tube with fins. ‫نموون‬‫ه‬:‫ی‬‫ه‬‫ك‬‫ه‬‫یهکی‬‫گ‬‫ه‬‫رم‬‫كردن‬‫دروست‬‫كر‬‫اوە‬‫ل‬‫ه‬‫ش‬‫ێ‬‫و‬‫ە‬‫ى‬‫ب‬‫ۆ‬‫ری‬‫ێ‬‫كى‬‫شاوڵیدا‬‫جێگیر‬‫کراوە‬‫ل‬‫ه‬‫گ‬‫هڵ‬‫پ‬‫هڕە‬‫ك‬‫ه‬‫ى‬ ‫پ‬‫ۆاڵ‬‫الکێشه‬ ‫بڕگه‬ ‫ی‬.‫ب‬‫ه‬‫رز‬‫ی‬‫ب‬‫ۆ‬‫ر‬‫یهکه‬(1.2m)‫ە‬‫و‬‫دەرەکی‬ ‫تیرەى‬‫ى‬(60mm)‫ە‬.‫پ‬‫هڕە‬‫ك‬‫ه‬‫کان‬ (50mm)‫ب‬‫ه‬‫رز‬‫ن‬(3mm)‫ئهستور‬‫ن‬‫ب‬‫ه‬‫درێژای‬‫ب‬‫ۆ‬‫ر‬‫یهکه‬.‫ژمار‬‫ە‬‫ى‬‫پ‬‫هڕە‬‫ك‬‫ه‬‫کا‬‫ن‬‫ی‬ ‫ب‬‫ه‬‫كار‬(‫هێنراوە‬20‫)ن‬.‫پل‬‫ه‬‫ى‬‫گ‬‫ه‬‫بنك‬ ‫رمیى‬‫ه‬‫ك‬‫ه‬‫و‬‫ه‬‫ه‬‫وا‬‫ی‬‫چوار‬‫د‬‫ە‬‫ور‬‫ی‬(80℃)‫ە‬‫و‬(18℃)‫ب‬‫ه‬‫ڕ‬،‫یز‬ (h=9.3W/ k).‫ب‬‫ۆ‬‫مادد‬‫ە‬‫ى‬‫پ‬‫هڕە‬‫ك‬‫ه‬(k=55.7W/mK. )‫گواستراوە‬ ‫گهرمی‬ ‫تێکڕای‬‫بکه‬ ‫ههژمار‬ .‫پهڕەکهکهنهوە‬ ‫بههۆی‬ ‫بۆریهکهوە‬ ‫له‬ Given: the type of the fin is circumferential fin ‌‫به‬‫ه‬‫ۆی‬‫چارته‬‫وه‬‫ش‬‫ی‬‫كار‬‫ده‬‫كر‬‫ێ‬‫ت‬
  • 68.
    68 Solution: Calculation: for heattransfer with one fin : From page 50 at the Data Book: Circumferential rectangular fin ( ) ( )
  • 69.
    69 ‌‌X-axis‌‌‫ئیصقات‬‌‫ده‬‌‫كه‬‌‫ین‬‌‫بۆ‬‌‫سه‬‌‫ر‬‌curve number 2‌‌‌‫ه‬‌‫كه‬‌‌‫له‬‌‫كویادا‬‌curve‌‌‫ه‬‌‫كه‬‌‫ی‬‌‫بڕی‬‌‫ئه‬‌‫وا‬‌‫ئه‬‌‫و‬‌ ‫خاڵه‬‌‌‫ئیصقات‬‌‫ده‬‌‫كه‬‌‫ین‬‌‫بۆ‬‌‫سه‬‌‫ر‬‌‌Y-axis‌‫وه‬‌‌finefficiency‌‌‫ده‬‌‫دۆزینه‬‌‫وه‬‌‌‫كه‬‌‫ده‬‌‫كاته‬‌‌99%‌ η η Example 2-6 A current of 200 A is passed through a stainless steel wire (k = 19 W/m·℃). it is 3mm in diameter. The resistivity of the steel may be taken as 70 μΩ·cm,‌and‌the‌length‌of‌the‌wire‌is‌1m. The wire is submerged in a liquid at 110℃ and experiences a convection heat transfer coefficient of 4kW/m2 ·℃. Calculate the center temperature of the wire. ‫نمونه‬(2.٦)‫تهزویهکی‬(200 A‫)ی‬‫ت‬‫ێ‬‫پ‬‫هڕ‬‫کرا‬‫ب‬‫ه‬‫ناو‬‫وای‬‫ه‬‫ر‬‫ێ‬‫كى‬‫خهوشدا‬ ‫بێ‬ ‫پۆاڵی‬(k = 19 W/m·℃).‫ل‬‫ه‬‫تیرە‬( ‫دا‬3mm‫)ە‬.‫ب‬‫ه‬‫رگرى‬‫ج‬‫ۆ‬‫ری‬‫ه‬‫ك‬‫ه‬‫ى‬‫پ‬‫ۆاڵ‬‫ی‬‫ه‬‫ك‬‫ه‬‫ل‬‫ه‬‫وان‬‫ه‬‫ی‬‫ه‬‫به‬(76‌μΩ·cm) ‫وەربگیرێت‬،‫و‬‫در‬‫ێ‬‫ژی‬‫ه‬‫ك‬‫ه‬‫ى‬‫وای‬‫ه‬‫ر‬‫ە‬‫ك‬‫ه‬(1m‫)ە‬.‫وای‬‫ه‬‫ر‬‫ە‬‫ك‬‫ه‬‫نقوم‬‫كرا‬‫ل‬‫ه‬‫شل‬‫ه‬‫ی‬‫ێ‬‫ك‬‫ل‬‫ه‬(110℃)‫و‬ ‫هاوك‬‫ۆ‬‫لك‬‫ه‬‫ى‬‫هه‬ ‫گهرمی‬ ‫گواستنهوەی‬‫ڵگرتنی‬(4kW/m2 ·℃)‫تاقیدەکاتهوە‬ ‫ی‬.‫پل‬‫ه‬‫ى‬‫گ‬‫ه‬‫رمی‬‫ه‬‫ك‬‫ه‬‫ى‬ ‫ناو‬‫ە‬‫ندى‬‫وای‬‫ه‬‫ر‬‫ە‬‫ك‬‫ه‬‫بکه‬ ‫ههژمار‬. Solution. All the power generated in the wire must be dissipated by convection to the liquid:
  • 70.
    70 ‫ه‬‫ە‬‫هىو‬‫تىاًب‬‫پەيذاثى‬ ‫ی‬‫ل‬‫ە‬‫واي‬‫ە‬‫ر‬‫ە‬‫ك‬‫ە‬‫دا‬‫د‬‫ە‬‫ث‬‫ێ‬‫ت‬‫ل‬‫ە‬‫ًبو‬‫ث‬‫جر‬‫ێ‬‫ت‬‫ثە‬‫ثەهۆی‬ ‫هەڵگرتي‬‫غل‬‫ە‬‫ك‬‫ە‬‫وە‬ P= I2 R = q = hA(Tw-T∞) The resistance of the wire is calculated from ‫ث‬‫ە‬‫رگري‬‫واي‬‫ە‬‫ر‬‫ە‬‫ك‬‫ە‬‫حیطبة‬‫لە‬ ‫کراوە‬     099.0 )15.0( )100)(1070( 2 6   A L R where‌ρ‌is‌the‌resistivity‌of‌the‌wire.‌The‌surface‌area‌of‌the‌wire‌is‌π‌dL,‌so‌ from Equation ‫لهویادا‬(ρ)‫ب‬‫ه‬‫رگرى‬‫ج‬‫ۆ‬‫رى‬‫وای‬‫ه‬‫ر‬‫ە‬‫ك‬‫ه‬‫ی‬‫ه‬.‫ڕ‬‫ووب‬‫ه‬‫رى‬‫ڕ‬‫ووى‬‫وای‬‫ه‬‫ر‬‫ە‬‫ك‬‫ه‬(π‌dL)‫ە‬،‫له‬ ‫کهواته‬ ‫هاوکێشهکهوە‬ WTw 3960)110)(1)(103(4000)099.0()200( 32    and Tw = 215℃ (419℉) The heat generated per unit volume  q is calculated from ‫گ‬‫ە‬‫رهی‬‫ە‬‫پەيذاثىوەکە‬‫قەثبرەدا‬ ‫لەيەکەی‬(  q)‫حیطبة‬‫كرا‬‫وە‬‫ل‬‫ە‬ LrqVqP 2    so that 3 23 /2.560 )1()105.1( 3960 mMWq       (5.41*107 Btu/h·ft3 ) 6.231215 )19)(4( )105.1)(10602.5( 4 2382      w o o T k rq T ℃
  • 71.
    71 Chapter 3 ‫ث‬‫ە‬‫ظ‬٣ Steady stateconduction – multiple dimension ‫گهیاندن‬ ‫جێگیری‬ ‫حاڵهتی‬-‫ڕەههند‬ ‫فرە‬ Nodal Equation ‫پرسیار‬‌:‫پله‬ ‫چۆن‬‌‫ی‬‌‫گه‬‌‫رمی‬‌‫خاڵك‬‌‫ده‬‌‫دۆزینه‬‌‫وه‬‌‌‫به‬‌‫هۆی‬‌‫پله‬‌‫ی‬‌‫گه‬‌‫رمی‬‌‫خاڵه‬‌‫كانی‬‌‫ده‬‌‫وروبه‬‌‫رییه‬‌‫وه‬‌‫؟‬ ‫وه‬‌‫اڵم‬‌:‫به‬‌‫هۆی‬‌nodal Equation‌‌‫ه‬‌‫وه‬‌‌‫هاوكێشه‬‌‫یه‬‌‫ك‬‌‫بۆ‬‌‫خاڵه‬‌‫كه‬‌‌‫دروست‬‌‫ده‬‌‫كه‬‌‫ین‬‌‫و‬‌‫پله‬‌‫ی‬‌‫گه‬‌‫رمی‬‌ ‫خاڵه‬‌‫كه‬‌‫ی‬‌‫پێده‬‌‫دۆزینه‬‌‫وه‬‌. ‫چۆنیه‬‌‫تی‬‌‫دروستكردنی‬‌nodal Equation‌ ‫سه‬‫ره‬‫پێویسته‬ ‫تا‬‫ڕه‬‫ئه‬ ‫سمی‬‫واته‬ ‫خاڵ‬ ‫و‬‫ئه‬( ‫و‬Node‫ه‬ )‫بکهین‬ ‫دروست‬‌‌‫كه‬‌‫ده‬‌‫مانه‬‌‫وێت‬‌‫هاوكێشه‬‫كه‬‫بۆ‬ ‫ی‬ ‫بنوسین‬‌‫پاشان‬‌node‌‫ه‬‌‫كه‬‌‌‫ده‬‌‫كه‬‌‫ینه‬‌‌‫ناو‬‌‫چوارگۆشه‬‌‫یه‬‌‫كه‬‌‫وه‬‌‌‫یان‬‌‫الكێشه‬‌‫یه‬‌‫كه‬‌‫وه‬‌‌‫كه‬‌‌‫بنكه‬‌‫كه‬‌‫ی‬‌)∆x‌‌(‫وه‬‌‌ ‫به‬‌‫رزییه‬‌‫كه‬‌‫ی‬‌)∆y‌(‫بێت‬.‫پێویسته‬‌‌‫خاڵه‬‌‫كه‬‌‌‫بكه‬‌‫وێته‬‌‌‫ناوه‬‌‫ندی‬‌‫الكێشه‬‌‫كه‬‌‌‫یا‬‌‫چوار‬‌‫گۆشه‬‌‫كه‬‌‫وه‬‌.‌ ‌ ‌ ‌ Example: write the nodal Equation for node 1 and node 6 as shown in the Figure below.
  • 72.
    72 ‫نموون‬‫ه‬:‫بنووسه‬ ‫گرێی‬ ‫هاوكێشهى‬‫گرێى‬‫بۆ‬1‫گرێى‬ ‫و‬6‫پیشان‬ ‫خوارەوەدا‬ ‫وێنهکهی‬ ‫له‬ ‫ههروەک‬ ‫دراوە‬. Answer: ‫سه‬‫ره‬‫پێویسته‬ ‫تا‬‫ڕه‬‫ئه‬ ‫سمی‬‫واته‬ ‫خاڵ‬ ‫و‬‫ئه‬( ‫و‬Node‫ه‬ )‫بکهین‬ ‫دروست‬‌‌‫كه‬‌‫ده‬‌‫مانه‬‌‫وێت‬‌‫هاوكێشه‬‫كه‬‫بۆ‬ ‫ی‬ ‫بنوسین‬‌‫پاشان‬node‫ه‬‌‫كه‬‌‌‫ده‬‌‫كه‬‌‫ینه‬‌‌‫ناو‬‌‫چوارگۆشه‬‌‫یه‬‌‫كه‬‌‫وه‬‌‌‫یان‬‌‫الكێشه‬‌‫یه‬‌‫كه‬‌‫وه‬‌‌‫كه‬‌‌‫بنكه‬‫كه‬‫ی‬∆(x‫وه‬ ‫بێت‬ ) ‫به‬‫رزییه‬‫كه‬‫ی‬∆(y‫پێویسته‬ .‫بێت‬ )‌‫خاڵه‬‌‫كه‬‌‌‫بكه‬‌‫وێته‬‌‌‫ناوه‬‌‫ندی‬‌‫الكێشه‬‌‫كه‬‌‌‫یا‬‌‫چوار‬‌‫گۆشه‬‌‫كه‬‌‫وه‬‌. For node 1: ‫ڕونكردنه‬‌‫وه‬‌:
  • 73.
    73 ‫له‬‌‫خاڵ‬‌)2(‫ه‬‌‫وه‬‌‌‫بۆ‬‌‫خاڵی‬‌)1‌(،‌‫گه‬‌‫رمببه‬‌‫كه‬‌‌‫به‬‌(conduction)‫ده‬‌‫گوازرێته‬‌‫وه‬‌. ‫له‬‌‫خاڵ‬‌)3(‫ه‬‌‫وه‬‌‌‫بۆ‬‌‫خاڵی‬‌)1‌(،‌‫گه‬‌‫رمببه‬‌‫كه‬‌‌‫به‬‌(conduction)‫ده‬‌‫گوازرێته‬‌‫وه‬‌. ‫له‬‌‫خاڵ‬‌)4(‫ه‬‌‫وه‬‌‌‫بۆ‬‌‫خاڵی‬‌)1‌(،‌‫گه‬‌‫رمببه‬‌‫كه‬‌‌‫به‬‌(conduction)‫ده‬‌‫گوازرێته‬‌‫وه‬‌. ‫له‬‌‫خاڵ‬‌)5(‫ه‬‌‫وه‬‌‌‫بۆ‬‌‫خاڵی‬‌)1‌(،‌‫گه‬‌‫رمببه‬‌‫كه‬‌‌‫به‬‌(conduction)‫ده‬‌‫گوازرێته‬‌‫وه‬‌. ( ) ( ) ( ) Fornode 6: ‫ڕونكردنه‬‌‫وه‬‌: ‫له‬‌‫خاڵ‬‌)7(‫ه‬‌‫وه‬‌‌‫بۆ‬‌‫خاڵی‬‌)1‌(،‌‫گه‬‌‫رمببه‬‌‫كه‬‌‌‫به‬‌(conduction)‫ده‬‌‫گوازرێته‬‌‫وه‬‌. ‫له‬‌‫خاڵ‬‌)8(‫ه‬‌‫وه‬‌‌‫بۆ‬‌‫خاڵی‬‌)1‌(،‌‫گه‬‌‫رمببه‬‌‫كه‬‌‌‫به‬‌(conduction)‫ده‬‌‫گوازرێته‬‌‫وه‬‌. ‫له‬‌‫خاڵ‬‌)9(‫ه‬‌‫وه‬‌‌‫بۆ‬‌‫خاڵی‬‌)1‌(،‌‫گه‬‌‫رمببه‬‌‫كه‬‌‌‫به‬‌(conduction)‫ده‬‌‫گوازرێته‬‌‫وه‬‌.
  • 74.
    74 ‫له‬‌‫خاڵ‬‌)16(‫ه‬‌‫وه‬‌‌‫بۆ‬‌‫خاڵی‬‌)1‌(،‌‫گه‬‌‫رمببه‬‌‫كه‬‌‌‫به‬‌(conduction)‫ده‬‌‫گوازرێته‬‌‫وه‬‌. ( ) ( ) ( ) Example:write the nodal Equation for points 1,2,4 as shown in the Figure below. ‫نموون‬‫ه‬:‫بنووسه‬ ‫گرێی‬ ‫هاوكێشهى‬‫ب‬‫ۆ‬‫خا‬‫ڵ‬1,2,4‫دراوە‬ ‫پیشان‬ ‫خوارەوەدا‬ ‫وێنهکهی‬ ‫له‬ ‫ههروەک‬.
  • 75.
    75 Answer: For node 1: ‫سه‬‫ره‬‫پێویسته‬‫تا‬‫ڕه‬‫ئه‬ ‫سمی‬‫واته‬ ‫خاڵ‬ ‫و‬‫ئه‬( ‫و‬Node‫ه‬ )‫بکهین‬ ‫دروست‬‌‌‫كه‬‌‫ده‬‌‫مانه‬‌‫وێت‬‌‫هاوكێشه‬‫كه‬‫بۆ‬ ‫ی‬ ‫بنوسین‬‌‫پاشان‬‌node‌‫ه‬‌‫كه‬‌‌‫ده‬‌‫كه‬‌‫ینه‬‌‌‫ناو‬‌‫چوارگۆشه‬‌‫یه‬‌‫كه‬‌‫وه‬‌‌‫یان‬‌‫الكێشه‬‌‫یه‬‌‫كه‬‌‫وه‬‌‌‫كه‬‌‌‫بنكه‬‌‫كه‬‌‫ی‬‌)∆x‌‌(‫وه‬‌‌ ‫به‬‌‫رزییه‬‌‫كه‬‌‫ی‬‌)∆y‌(‫بێت‬.‫پێویسته‬‌‌‫خاڵه‬‌‫كه‬‌‌‫بكه‬‌‫وێته‬‌‌‫ناوه‬‌‫ندی‬‌‫الكێشه‬‌‫كه‬‌‌‫یا‬‌‫چوار‬‌‫گۆشه‬‌‫كه‬‌‫وه‬‌.
  • 76.
    76 ‫ڕونكردنه‬‌‫وه‬‌: ‫له‬‌‫خاڵ‬‌)2(‫ه‬‌‫وه‬‌‌‫بۆ‬‌‫خاڵی‬‌)1‌(،‌‫گه‬‌‫رمببه‬‌‫كه‬‌‌‫به‬‌(conduction)‫ده‬‌‫گوازرێته‬‌‫وه‬‌. ‫له‬‌‫خاڵ‬‌)4(‫ه‬‌‫وه‬‌‌‫بۆ‬‌‫خاڵی‬‌)1‌(،‌‫گه‬‌‫رمببه‬‌‫كه‬‌‌‫به‬‌(conduction)‫ده‬‌‫گوازرێته‬‌‫وه‬‌. •‫گوستنه‬‌‫وه‬‌‫ی‬‌‫گه‬‌‫رمی‬‌‫به‬‌(Conduction)‫ته‬‌‫نها‬‌‫له‬‌‫نێوان‬‌‫خاڵه‬‌‫كاندا‬‌‫ڕوده‬‌‫دات‬‌،‌‫به‬‌‫اڵم‬‌‫گوستنه‬‌‫وه‬‌‫ی‬‌ ‫گه‬‌‫رمی‬‌‫به‬‌(Convection)‫ته‬‌‫نها‬‌‫له‬‌‫نێوان‬‌‫هه‬‌‫واكه‬‌‫و‬‌‫ڕووی‬‌‫ده‬‌‫ره‬‌‫وه‬‌‫ی‬‌‫ماده‬‌‫ڕه‬‌‫قه‬‌‫كه‬‌‫دا‬‌‫ڕوده‬‌‫دات‬. ( ) [ () ( ) ( ) ] ( )
  • 77.
    77 ‫تێبینی‬‌‌:‫له‬‌‫ڕویسه‬‌‫ره‬‌‫وه‬‌‌‫گه‬‌‫رمی‬‌‫ناچێت‬‌‌‫بۆ‬‌‫خاڵی‬‌‌1‌‌‫چونكه‬‌‌‫عه‬‌‫زل‬‌‫كراوه‬‌‌‫وه‬‌‫ته‬‌insulation For node 2: ‫سه‬‫ره‬‫پێویسته‬‫تا‬‫ڕه‬‫ئه‬ ‫سمی‬‫واته‬ ‫خاڵ‬ ‫و‬‫ئه‬( ‫و‬Node‫ه‬ )‫بکهین‬ ‫دروست‬‌‌‫كه‬‌‫ده‬‌‫مانه‬‌‫وێت‬‌‫هاوكێشه‬‫كه‬‫ی‬‫بۆ‬ ‫بنوسین‬‌‫پاشان‬node‫ه‬‌‫كه‬‌‌‫ده‬‌‫كه‬‌‫ینه‬‌‌‫ناو‬‌‫چوارگۆشه‬‌‫یه‬‌‫كه‬‌‫وه‬‌‌‫یان‬‌‫الكێشه‬‌‫یه‬‌‫كه‬‌‫وه‬‌‌‫كه‬‌‌‫بنكه‬‌‫كه‬‌‫ی‬(∆x)‌‌‫وه‬‌‌ ‫به‬‌‫رزییه‬‌‫كه‬‌‫ی‬(∆y)‌‫بێت‬.‫پێویسته‬‌‌‫خاڵه‬‌‫كه‬‌‌‫بكه‬‌‫وێته‬‌‌‫ناوه‬‌‫ندی‬‌‫الكێشه‬‌‫كه‬‌‌‫یا‬‌‫چوار‬‌‫گۆشه‬‌‫كه‬‌‫وه‬‌. ‫ڕونكردنه‬‌‫وه‬‌: ‫له‬‌‫خاڵ‬‌)1(‫ه‬‌‫وه‬‌‌‫بۆ‬‌‫خاڵی‬‌)2‌(،‌‫گه‬‌‫رمببه‬‌‫كه‬‌‌‫به‬‌(conduction)‫ده‬‌‫گوازرێته‬‌‫وه‬‌. ‫له‬‌‫خاڵ‬‌)3(‫ه‬‌‫وه‬‌‌‫بۆ‬‌‫خاڵی‬‌)2‌(،‌‫گه‬‌‫رمببه‬‌‫كه‬‌‌‫به‬‌(conduction)‫ده‬‌‫گوازرێته‬‌‫وه‬‌. ‫له‬‌‫خاڵ‬‌)5(‫ه‬‌‫وه‬‌‌‫بۆ‬‌‫خاڵی‬‌)2‌(،‌‫گه‬‌‫رمببه‬‌‫كه‬‌‌‫به‬‌(conduction)‫ده‬‌‫گوازرێته‬‌‫وه‬‌. •‫گوستنه‬‌‫وه‬‌‫ی‬‌‫گه‬‌‫رمی‬‌‫به‬‌(Conduction)‫ته‬‌‫نها‬‌‫له‬‌‫نێوان‬‌‫خاڵه‬‌‫كاندا‬‌‫ڕوده‬‌‫دات‬‌،‌‫به‬‌‫اڵم‬‌‫گوستنه‬‌‫وه‬‌‫ی‬‌ ‫گه‬‌‫رمی‬‌‫به‬‌(Convection)‫ته‬‌‫نها‬‌‫له‬‌‫نێوان‬‌‫هه‬‌‫واكه‬‌‫و‬‌‫ڕووی‬‌‫ده‬‌‫ره‬‌‫وه‬‌‫ی‬‌‫ماده‬‌‫ڕه‬‌‫قه‬‌‫كه‬‌‫دا‬‌‫ڕوده‬‌‫دات‬‌.‫لێره‬‌‫دا‬ (Node 2)‫ڕووی‬‌‌‫ده‬‌‫ره‬‌‫وه‬‌‫ی‬‌‫عه‬‌‫زل‬‌‫كراوه‬‌‌‫واته‬‌‌‫هه‬‌‫واكه‬‌‫ی‬‌‫به‬‌‫ر‬‌‫نه‬‌‫كه‬‌‫وتووه‬‌‌‫كه‬‌‫واته‬‌(Convection)‫مان‬‌ ‫نییه‬‌.
  • 78.
    78 ( ) [ ] () For node 4: ‫سه‬‫ره‬‫پێویسته‬ ‫تا‬‫ڕه‬‫ئه‬ ‫سمی‬‫واته‬ ‫خاڵ‬ ‫و‬‫ئه‬( ‫و‬Node‫ه‬ )‫بکهین‬ ‫دروست‬‌‌‫كه‬‌‫ده‬‌‫مانه‬‌‫وێت‬‌‫هاوكێشه‬‫كه‬‫بۆ‬ ‫ی‬ ‫بنوسین‬‌‫پاشان‬‌node‌‫ه‬‌‫كه‬‌‌‫ده‬‌‫كه‬‌‫ینه‬‌‌‫ناو‬‌‫چوارگۆشه‬‌‫یه‬‌‫كه‬‌‫وه‬‌‌‫یان‬‌‫الكێشه‬‌‫یه‬‌‫كه‬‌‫وه‬‌‌‫كه‬‌‌‫بنكه‬‌‫كه‬‌‫ی‬‌)∆x‌‌(‫وه‬‌‌ ‫به‬‌‫رزییه‬‌‫كه‬‌‫ی‬‌)∆y‌(‫بێت‬.‫پێویسته‬‌‌‫خاڵه‬‌‫كه‬‌‌‫بكه‬‌‫وێته‬‌‌‫ناوه‬‌‫ندی‬‌‫الكێشه‬‌‫كه‬‌‌‫یا‬‌‫چوار‬‌‫گۆشه‬‌‫كه‬‌‫وه‬‌.‌ ‫ڕونكردنه‬‌‫وه‬‌: ‫له‬‌‫خاڵ‬‌)1(‫ه‬‌‫وه‬‌‌‫بۆ‬‌‫خاڵی‬‌)4‌(،‌‫گه‬‌‫رمببه‬‌‫كه‬‌‌‫به‬‌(conduction)‫ده‬‌‫گوازرێته‬‌‫وه‬‌. ‫له‬‌‫خاڵ‬‌)5(‫ه‬‌‫وه‬‌‌‫بۆ‬‌‫خاڵی‬‌)4‌(،‌‫گه‬‌‫رمببه‬‌‫كه‬‌‌‫به‬‌(conduction)‫ده‬‌‫گوازرێته‬‌‫وه‬‌. ‫له‬‌‫خاڵ‬‌)7(‫ه‬‌‫وه‬‌‌‫بۆ‬‌‫خاڵی‬‌)4‌(،‌‫گه‬‌‫رمببه‬‌‫كه‬‌‌‫به‬‌(conduction)‫ده‬‌‫گوازرێته‬‌‫وه‬‌.
  • 79.
    79 ‫گوستنه‬‌‫وه‬‌‫ی‬‌‫گه‬‌‫رمی‬‌‫به‬‌(Conduction)‫ته‬‌‫نها‬‌‫له‬‌‫نێوان‬‌‫خاڵه‬‌‫كاندا‬‌‫ڕوده‬‌‫دات‬‌،‌‫به‬‌‫اڵم‬‌‫گوستنه‬‌‫وه‬‌‫ی‬‌‫گه‬‌‫رمی‬‌ ‫به‬‌(Convection)‫ته‬‌‫نها‬‌‫له‬‌‫نێوان‬‌‫هه‬‌‫واكه‬‌‫و‬‌‫ڕووی‬‌‫ده‬‌‫ره‬‌‫وه‬‌‫ی‬‌‫ماده‬‌‫ڕه‬‌‫قه‬‌‫كه‬‌‫دا‬‌‫ڕوده‬‌‫دات‬.‌ ( ) * () ( ) + * ( ) ( ) + Example: write the nodal Equation for node 1 as shown in the Figure below. ‫نموون‬‫ه‬:‫بنووسه‬ ‫گرێی‬ ‫هاوكێشهى‬‫گرێى‬ ‫بۆ‬1‫دراوە‬ ‫پیشان‬ ‫خوارەوەدا‬ ‫وێنهکهی‬ ‫له‬ ‫ههروەک‬.
  • 80.
    80 Answer: For node 1: ‫سه‬‫ره‬‫پێویسته‬‫تا‬‫ڕه‬‫ئه‬ ‫سمی‬‫واته‬ ‫خاڵ‬ ‫و‬‫ئه‬( ‫و‬Node‫ه‬ )‫بکهین‬ ‫دروست‬‌‌‫كه‬‌‫ده‬‌‫مانه‬‌‫وێت‬‌‫هاوكێشه‬‫كه‬‫بۆ‬ ‫ی‬ ‫بنوسین‬‌‫پاشان‬‌node‌‫ه‬‌‫كه‬‌‌‫ده‬‌‫كه‬‌‫ینه‬‌‌‫ناو‬‌‫چوارگۆشه‬‌‫یه‬‌‫كه‬‌‫وه‬‌‌‫یان‬‌‫الكێشه‬‌‫یه‬‌‫كه‬‌‫وه‬‌‌‫كه‬‌‌‫بنكه‬‌‫كه‬‌‫ی‬‌)∆x‌‌(‫وه‬‌‌ ‫به‬‌‫رزییه‬‌‫كه‬‌‫ی‬‌)∆y‌(‫بێت‬.‫پێویسته‬‌‌‫خاڵه‬‌‫كه‬‌‌‫بكه‬‌‫وێته‬‌‌‫ناوه‬‌‫ندی‬‌‫الكێشه‬‌‫كه‬‌‌‫یا‬‌‫چوار‬‌‫گۆشه‬‌‫كه‬‌‫وه‬‌.‌
  • 81.
    81 ( ) [ () ( ) ( ) ( ) ] ( ) Example: write the nodal Equation for node 5 as shown in the Figure below. ‫نموون‬‫ه‬:‫بنووسه‬ ‫گرێی‬ ‫هاوكێشهى‬‫گرێى‬ ‫بۆ‬5‫دراوە‬ ‫پیشان‬ ‫خوارەوەدا‬ ‫وێنهکهی‬ ‫له‬ ‫ههروەک‬.
  • 82.
    82 Answer: For node 5: ‫سه‬‫ره‬‫پێویسته‬‫تا‬‫ڕه‬‫ئه‬ ‫سمی‬‫واته‬ ‫خاڵ‬ ‫و‬‫ئه‬( ‫و‬Node‫ه‬ )‫بکهین‬ ‫دروست‬‌‌‫كه‬‌‫ده‬‌‫مانه‬‌‫وێت‬‌‫هاوكێشه‬‫كه‬‫بۆ‬ ‫ی‬ ‫بنوسین‬‌‫پاشان‬‌node‌‫ه‬‌‫كه‬‌‌‫ده‬‌‫كه‬‌‫ینه‬‌‌‫ناو‬‌‫چوارگۆشه‬‌‫یه‬‌‫كه‬‌‫وه‬‌‌‫یان‬‌‫الكێشه‬‌‫یه‬‌‫كه‬‌‫وه‬‌‌‫كه‬‌‌‫بنكه‬‌‫كه‬‌‫ی‬‌)∆x‌‌(‫وه‬‌‌ ‫به‬‌‫رزییه‬‌‫كه‬‌‫ی‬‌)∆y‌(‫بێت‬.‫پێویسته‬‌‌‫خاڵه‬‌‫كه‬‌‌‫بكه‬‌‫وێته‬‌‌‫ناوه‬‌‫ندی‬‌‫الكێشه‬‌‫كه‬‌‌‫یا‬‌‫چوار‬‌‫گۆشه‬‌‫كه‬‌‫وه‬‌.‌ ‌
  • 83.
    83 ( ) ( ) Example: writethe nodal Equation for node 2 as shown in the Figure below. ‫نموون‬‫ه‬:‫بنووسه‬ ‫گرێی‬ ‫هاوكێشهى‬‫گرێى‬ ‫بۆ‬2‫دراوە‬ ‫پیشان‬ ‫خوارەوەدا‬ ‫وێنهکهی‬ ‫له‬ ‫ههروەک‬.
  • 84.
    84 Answer: For node 2: ‫سه‬‫ره‬‫پێویسته‬‫تا‬‫ڕه‬‫ئه‬ ‫سمی‬‫واته‬ ‫خاڵ‬ ‫و‬‫ئه‬( ‫و‬Node‫ه‬ )‫بکهین‬ ‫دروست‬‌‌‫كه‬‌‫ده‬‌‫مانه‬‌‫وێت‬‌‫هاوكێشه‬‫كه‬‫بۆ‬ ‫ی‬ ‫بنوسین‬‌‫پاشان‬‌node‌‫ه‬‌‫كه‬‌‌‫ده‬‌‫كه‬‌‫ینه‬‌‌‫ناو‬‌‫چوارگۆشه‬‌‫یه‬‌‫كه‬‌‫وه‬‌‌‫یان‬‌‫الكێشه‬‌‫یه‬‌‫كه‬‌‫وه‬‌‌‫كه‬‌‌‫بنكه‬‌‫كه‬‌‫ی‬‌)∆x‌‌(‫وه‬‌‌ ‫به‬‌‫رزییه‬‌‫كه‬‌‫ی‬‌)∆y‌(‫بێت‬.‫پێویسته‬‌‌‫خاڵه‬‌‫كه‬‌‌‫بكه‬‌‫وێته‬‌‌‫ناوه‬‌‫ندی‬‌‫الكێشه‬‌‫كه‬‌‌‫یا‬‌‫چوار‬‌‫گۆشه‬‌‫كه‬‌‫وه‬‌.‌ ‫ڕونكردنه‬‌‫وه‬‌: ‫له‬‌‫خاڵ‬‌)6(‫ه‬‌‫وه‬‌‌‫بۆ‬‌‫خاڵی‬‌)2‌(،‌‫گه‬‌‫رمببه‬‌‫كه‬‌‌‫به‬‌(conduction)‫ده‬‌‫گوازرێته‬‌‫وه‬‌. ‫له‬‌‫خاڵ‬‌)6(‫ه‬‌‫وه‬‌‌‫بۆ‬‌‫خاڵی‬‌)2‌(،‌‫گه‬‌‫رمببه‬‌‫كه‬‌‌‫به‬‌(conduction)‫ده‬‌‫گوازرێته‬‌‫وه‬‌. ‫گوستنه‬‌‫وه‬‌‫ی‬‌‫گه‬‌‫رمی‬‌‫به‬‌(Conduction)‫ته‬‌‫نها‬‌‫له‬‌‫نێوان‬‌‫خاڵه‬‌‫كاندا‬‌‫ڕوده‬‌‫دات‬‌،‌‫به‬‌‫اڵم‬‌‫گوستنه‬‌‫وه‬‌‫ی‬‌‫گه‬‌‫رمی‬‌ ‫به‬‌(Convection)‫ته‬‌‫نها‬‌‫له‬‌‫نێوان‬‌‫هه‬‌‫واكه‬‌‫و‬‌‫ڕووی‬‌‫ده‬‌‫ره‬‌‫وه‬‌‫ی‬‌‫ماده‬‌‫ڕه‬‌‫قه‬‌‫كه‬‌‫دا‬‌‫ڕوده‬‌‫دات‬. ‫پێویسته‬‌‌‫كه‬‌‌‫درێژی‬(AB)‫بدۆزینه‬‌‫وه‬‌‌‫چونكه‬‌‌‫له‬‌‫وو‬‌‫ڕویه‬‌‫یه‬‌‫وه‬‌(Convection)‫ڕوده‬‌‫دات‬. ‫یاسای‬‌‫فیساگۆرس‬‌‫به‬‌‫كارده‬‌‫هێنین‬‌‫بۆ‬‌‫دۆزینه‬‌‫وه‬‌‫ی‬‌‫درێژی‬(AB).‌ ‫یاسای‬‌‫فیساگۆرس‬‌‌: √ ‌
  • 85.
    85 ( ) [ ] () [ (√ ) ] ( ) Example: write the nodal Equation for node 1 as shown in the Figure below. ‫نموون‬‫ه‬:‫بنووسه‬ ‫گرێی‬ ‫هاوكێشهى‬‫گرێى‬ ‫بۆ‬1‫دراوە‬ ‫پیشان‬ ‫خوارەوەدا‬ ‫وێنهکهی‬ ‫له‬ ‫ههروەک‬.
  • 86.
    86 Answer: For node 1: ‫سه‬‫ره‬‫پێویسته‬‫تا‬‫ڕه‬‫ئه‬ ‫سمی‬‫واته‬ ‫خاڵ‬ ‫و‬‫ئه‬( ‫و‬Node‫ه‬ )‫بکهین‬ ‫دروست‬‌‌‫كه‬‌‫ده‬‌‫مانه‬‌‫وێت‬‌‫هاوكێشه‬‫كه‬‫بۆ‬ ‫ی‬ ‫بنوسین‬‌‫پاشان‬‌node‌‫ه‬‌‫كه‬‌‌‫ده‬‌‫كه‬‌‫ینه‬‌‌‫ناو‬‌‫چوارگۆشه‬‌‫یه‬‌‫كه‬‌‫وه‬‌‌‫یان‬‌‫الكێشه‬‌‫یه‬‌‫كه‬‌‫وه‬‌‌‫كه‬‌‌‫بنكه‬‌‫كه‬‌‫ی‬‌)∆x‌‌(‫وه‬‌‌ ‫به‬‌‫رزییه‬‌‫كه‬‌‫ی‬‌)∆y‌(‫بێت‬.‫پێویسته‬‌‌‫خاڵه‬‌‫كه‬‌‌‫بكه‬‌‫وێته‬‌‌‫ناوه‬‌‫ندی‬‌‫الكێشه‬‌‫كه‬‌‌‫یا‬‌‫چوار‬‌‫گۆشه‬‌‫كه‬‌‫وه‬‌.‌ ‫ڕونكردنه‬‌‫وه‬‌:
  • 87.
    87 ‫له‬‌‫خاڵ‬‌)6(‫ه‬‌‫وه‬‌‌‫بۆ‬‌‫خاڵی‬‌)1‌(،‌‫گه‬‌‫رمببه‬‌‫كه‬‌‌‫به‬‌‌)conduction‌(‫ده‬‌‫گوازرێته‬‌‫وه‬‌. ‫گوستنه‬‌‫وه‬‌‫ی‬‌‫گه‬‌‫رمی‬‌‫به‬‌‌)Conduction‌‌(‫ته‬‌‫نها‬‌‫له‬‌‫نێوان‬‌‫خاڵه‬‌‫كاندا‬‌‫ڕوده‬‌‫دات‬‌،‌‫به‬‌‫اڵم‬‌‫گوستنه‬‌‫وه‬‌‫ی‬‌‫گه‬‌‫رمی‬‌ ‫به‬‌‌)Convection‌‌(‫ته‬‌‫نها‬‌‫له‬‌‫نێوان‬‌‫هه‬‌‫واكه‬‌‫و‬‌‫ڕووی‬‌‫ده‬‌‫ره‬‌‫وه‬‌‫ی‬‌‫ماده‬‌‫ڕه‬‌‫قه‬‌‫كه‬‌‫دا‬‌‫ڕوده‬‌‫دات‬. ‫پێویسته‬‌‌‫كه‬‌‌‫درێژی‬‌)AB‌(‫بدۆزینه‬‌‫وه‬‌‌‫چونكه‬‌‌‫له‬‌‫وو‬‌‫ڕویه‬‌‫یه‬‌‫وه‬‌‌)Convection‌(‫ڕوده‬‌‫دات‬‌. ‫یاسای‬‌‫فیساگۆرس‬‌‫به‬‌‫كارده‬‌‫هێنین‬‌‫بۆ‬‌‫دۆزینه‬‌‫وه‬‌‫ی‬‌‫درێژی‬‌)AB.(‌ ‌ ‫یاسای‬‌‫فیساگۆرس‬‌‌: √ ‌ ( ) [ () ] ( )
  • 88.
    88 * ( ) (√) + ( ) Chapter 4 ‫ث‬‫ە‬‫ظ‬٤ Unsteady state conduction ‫گهیاندن‬ ‫ناجێگیری‬ ‫حاڵهتی‬
  • 89.
    89 The process ofheat transfer by conduction where the temperature varies with time and with space coordinates, is called unsteady or transient. ‫كردارى‬‫بهگهیاندن‬ ‫گهرمى‬ ‫گواستنهوەی‬‫لهویادا‬‫لهگهڵ‬ ‫و‬ ‫كات‬ ‫لهگهڵ‬ ‫دەگۆڕێت‬ ‫گهرمیهكه‬ ‫پلهى‬ ‫پۆتانهکانی‬‫بۆشای‬‫دا‬،‫کاتی‬ ‫یان‬ ‫ناجێگیر‬ ‫دەوترێت‬ ‫پێی‬. ‌ ‌ ‌ ‫حاڵتی‬‌‫یه‬‌‫كه‬‌‫م‬‌:Lumped Capacity‌ Page 57 in the Data Book
  • 90.
    90 ‫حاڵه‬‌‫تی‬‌‫یه‬‌‫كه‬‌‫م‬‌‫به‬‌‫دوو‬‌‫خاڵدا‬‌‫ده‬‌‫ناسینه‬‌‫وه‬‌: 1.‌‫پرساره‬‌‫كه‬‌‌‫داوات‬‌‫لێناكات‬‌‫له‬‌‌‫چ‬‌‫شوێنێكی‬‌‫جسمه‬‌‫كه‬‌،‫دا‬‌‫چونكه‬‌‌‫له‬‌‌‫هه‬‌‫موو‬‌‫شوێنێكی‬‌‫جسمه‬‌‫كه‬‌‫دا‬‌‫پله‬‌‫ی‬‌ ‫گه‬‌‫رمی‬‌‫یه‬‌‫كسانه‬‌. 2.‌‌‫قه‬‌‫باره‬‌‫ی‬‌‫جسمه‬‌‫كه‬‌‌volume‌‫ه‬‌‫ی‬‌‫وه‬‌‌‫ڕوبه‬‌‫ره‬‌‫كه‬‌‫ی‬‌Area‌‌‫ه‬‌‫ی‬‌‫زانراوه‬‌‌‫یان‬‌‫خۆمان‬‌‫ده‬‌‫توانین‬‌ ‫بیدۆزینه‬‌‫وه‬‌. ‫پرسیاره‬‌‫كه‬‌‌‫به‬‌‫هۆی‬‌‫ئه‬‌‫م‬‌‫یاسایه‬‌‫وه‬‌‌‫شیكارده‬‌‫كه‬‌‫ین‬‌ [ 𝜌 ] ‌‌ ‌ ‌ ‌ ‌ ‌ ‌ ‌ ‌ ‌ ‌ Example: a thermocouplejunction, which may be approximated as a sphere, is to be used for temperature measurement in a gas. The h between the
  • 91.
    91 junction surface andthe gas is With the junction properties are K=20W/mK, ‫نموون‬‫ه‬:‫گهرمی‬ ‫دوانهیهکی‬،‫که‬‫گۆییه‬ ‫شێوە‬ ‫تاڕادەیهک‬،‫ب‬‫ه‬‫كار‬‫دە‬‫ه‬‫ێ‬‫نر‬‫ێ‬‫ت‬‫ب‬‫ۆ‬‫پ‬‫ێ‬‫وانى‬‫پل‬‫ه‬‫ى‬‫گ‬‫ه‬‫رمى‬‫ل‬‫ه‬ ‫گاز‬‫ێ‬‫ك‬‫دا‬.(h)‫ل‬‫ه‬‫ن‬‫ێ‬‫وان‬‫ڕ‬‫وو‬‫ە‬‫ك‬‫ه‬‫ى‬‫و‬‫گاز‬‫ە‬‫ك‬‫ه‬‫دا‬()‫ە‬.‫ل‬‫ه‬‫گ‬‫هڵ‬‫تایب‬‫ه‬‫تم‬‫ه‬‫ندی‬‫ه‬‫ك‬‫ه‬‫ى‬‫س‬‫ه‬‫رى‬ ‫دوور‬‫ێ‬‫کهدا‬(K=20W/mK)، and density 8500kg/ .If thermocouple junction diameter assumed to be 0.7mm, how long will it take for the junction to reach 199℃ , If junction temperature is at 25℃ and placed in a gas steam that is at 200℃ Given: h = , Thermal conductivity= K=20W/mK, , density =𝜌 8500kg/ junction diameter = 0.7mm , , Initaial temperature =25℃ , fluid temperature= =20℃ Solution: ‫له‬‌‫به‬‌‫ر‬‌‫ئه‬‌‫وه‬‌‫ی‬‌‫باسی‬‌‫شوێنی‬‌‫نه‬‌‫كردوو‬‌‫كه‬‌‫واته‬‌‌‫ئه‬‌‫مه‬‌‌‫حاڵتی‬‌‫یه‬‌‫كه‬‌‫مه‬‌Lumped Capacity From page 57 in the Data Book: [ 𝜌 ]
  • 92.
    92 [ 𝜌 ] ( ) Taking logarithmsfor both sides ‌ ‌ ‌ ‌ ‌ ‌ ‌ ‌ ‌ ‌
  • 93.
    93 ‫حاڵه‬‌‫تی‬‌‫دووه‬‌‫م‬:Semi Infinite witherror function ‫حاڵتی‬‌‫دووه‬‌‫م‬‌‫به‬‌‫دوو‬‌‫خاڵدا‬‌‫ده‬‌‫ناسینه‬‌‫وه‬‌: ‌‫پرساره‬‌‫كه‬‌‌‫هیچ‬‌‫قیاساتێكی‬‌‫جسمه‬‌‫كه‬‌‫مان‬‌‫ناداتێ‬‌‌.‫وه‬‌‌‫له‬‌‫ناكاو‬‌‫پله‬‌‫ی‬‌‫گه‬‌‫رمی‬‌‫جسمه‬‌‫كه‬‌‌‫ده‬‌‫ت‬َ‫گۆر‬‌.‫یان‬‌ ‫ده‬‌‫ڵێت‬‌‫ئه‬‌‫وه‬‌‫نده‬‌‌‫گه‬‌‫رمی‬‌flux‌‫مان‬‌‫پێدا‬‌‫كه‬‌‌‫ئم‬‌‫بڕه‬‌‌‫گه‬‌‫رمییه‬‌‌‫بریتییه‬‌‌‫له‬‌‌q^./A ‌‌‫پرسیاره‬‌‫كه‬‌‌‫به‬‌‫هیچ‬‌‫شێوه‬‌‫یه‬‌‫ك‬‌‫باسی‬‌fluid‌‌‫ناكات‬. ‫پرسیاره‬‌‫كه‬‌‌‫به‬‌‫هۆی‬‌‫ئه‬‌‫م‬‌‫یاسایه‬‌‫وه‬‌‌‫شیكارده‬‌‫كه‬‌‫ین‬:‌ √ at page 58 in the Data Book‌ ‌ Example: A thick concrete wall fairly large in size initially at 30℃ suddenly has its surface temperature increased to 600℃ . Determine the depth at which the temperature become 400℃ after 25 minutes. Thermal diffusivity is 4.92* /s and K=1.28 W/mK. ‫نموون‬‫ه‬:‫دیوار‬‫کۆنکرێتی‬ ‫ێکی‬‫ئ‬‫ه‬‫ستور‬‫تا‬‫ڕ‬‫اد‬‫ە‬‫ی‬‫ه‬‫ك‬‫زل‬‫ل‬‫ه‬‫ق‬‫ه‬‫بار‬‫ە‬‫دا‬‫س‬‫ه‬‫ر‬‫ە‬‫تا‬‫ل‬‫ه‬(30℃)‫ل‬‫ه‬‫پ‬‫ڕ‬‫پل‬‫ه‬‫ى‬ ‫گ‬‫ه‬‫رمییى‬‫ڕ‬‫وو‬‫ەکهی‬‫زیاد‬‫کرا‬‫ب‬‫ۆ‬(600℃).‫قوو‬‫ڵ‬‫ی‬‫ه‬‫ك‬‫ه‬‫دیارى‬‫بك‬‫ه‬‫ك‬‫ه‬‫پل‬‫ه‬‫ى‬‫گ‬‫ه‬‫رم‬‫به‬ ‫دەبێت‬ ‫تیادا‬ ‫ی‬ (400℃)‫دوای‬25‫خول‬‫ه‬‫ك‬.4.92* /s‫وە‬K=1.28 W/mK. Given: Initaial temperature =30 ℃ , surface temperature= 600℃ T x =400℃ , Thermal diffusivity 4.92* /s,Thermal conductivity= K=1.28 W/mK Solution:
  • 94.
    94 ‫له‬‌‫به‬‌‫ر‬‌‫ئه‬‌‫وه‬‌‫ی‬‌‫هیچ‬‌‫دوریه‬‌‫ك‬‌dimension‌‫كی‬‌‫جسمه‬‌‫كه‬‌‌‫نه‬‌‫دراوه‬‌‌‫وه‬‌‌‫باسی‬‌fluid‌‫ی‬‌‫نه‬‌‫كردووه‬‌‌‫كه‬‌‫واته‬‌‌‫ئه‬‌‫مه‬‌‌ ‫حاڵتی‬‌‫دووه‬‌‫مه‬‌‌ Semi Infinite witherror function From page 58 in the Data Book: √ √ According to the table from page 59 in the Data Book: ‫له‬‌‌column‌‌‫ی‬‌‫یه‬‌‫كه‬‌‫مدا‬‌‫سه‬‌‫یر‬‌‫ده‬‌‫كه‬‌‫ین‬‌‫له‬‌‫ژێر‬‌erf(z)‌‌‌‫دا‬‌‫هاتا‬‌6.35‌‫ده‬‌‫دۆزینه‬‌‫وه‬‌‌‫ده‬‌‫بینین‬‌‫له‬‌‫ستونی‬‌ ‫یه‬‌‫كه‬‌‫مدا‬‌‫له‬‌‫پێش‬‌‫ڕیزی‬‌‫كۆتایدا‬‌6.35928‌‫نوسراوه‬‌‌‫كه‬‌‫زۆر‬‌‫نزیكه‬‌‌‫له‬‌‌6.35‌‫كه‬‌‫واته‬‌‌‫ئه‬‌‫و‬‌‫ژماره‬‌‫یه‬‌‌ ‫هه‬‌‫ڵده‬‌‫بژێرین‬‌‫كه‬‌‌‫له‬‌‌‫ته‬‌‫نیشتیا‬‌‫نوسراوه‬‌‌‫كه‬‌‌‫بریتیه‬‌‌‫له‬‌‌6.33‌‫وه‬‌‌‫ئه‬‌‫مه‬‌‫ش‬‌‫نرخی‬‌)z‌(‫ه‬‌‫كه‬‌‫مانه‬‌‌‫ئه‬‌‫مه‬‌‌‫ده‬‌‫خه‬‌‫ینه‬‌‌‫ناو‬‌ ‫هاوكێشه‬‌‫ی‬‌‫یه‬‌‫كه‬‌‫مه‬‌‫وه‬‌.‌ The depth= x=0.01782 m=1.782 cm (Answer) ‌
  • 95.
    95 ‌ ‌ ‫حاڵه‬‌‫تی‬‌‫سێ‬‌‌‫یه‬‌‫م‬:Semi Infinite withConvection Boundary condition ‫حاڵه‬‌‫تی‬‌‫سێ‬‌‌‫یه‬‌‫م‬‌‫به‬‌‫دوو‬‌‫خاڵدا‬‌‫ده‬‌‫ناسینه‬‌‫وه‬‌: ‌‫پرساره‬‌‫كه‬‌‌‫هیچ‬‌‫قیاساتێكی‬‌‫جسمه‬‌‫كه‬‌‫مان‬‌‫ناداتێ‬‌‌.‫وه‬‌‌‫له‬‌‫ناكاو‬‌‫پله‬‌‫ی‬‌‫گه‬‌‫رمی‬‌‫جسمه‬‌‫كه‬‌‌‫ده‬‌‫ت‬َ‫گۆر‬‌.‫یان‬‌ ‫ده‬‌‫ڵێت‬‌‫ئه‬‌‫وه‬‌‫نده‬‌‌‫گه‬‌‫رمی‬‌flux‌‫مان‬‌‫پێدا‬‌‫كه‬‌‌‫ئم‬‌‫بڕه‬‌‌‫گه‬‌‫رمییه‬‌‌‫بریتییه‬‌‌‫له‬‌‌q^./A ‌‌‫پرسیاره‬‌‫كه‬‌‌‫باسی‬‌fluid‌‌‫ده‬‌‫كات‬‌.‫وه‬‌‌h‌‫ه‬‌‫كه‬‌‫یو‬‌‫پله‬‌‌‫گه‬‌‫رمییه‬‌‫كه‬‌‫ی‬‌T‌‌∞_‫باسكراوه‬‌. ‫پرسیاره‬‌‫كه‬‌‌‫به‬‌‫هۆی‬‌‫ئه‬‌‫م‬‌‌Chart‌‫ه‬‌‫وه‬‌‫شیكار‬‌‫ده‬‌‫كه‬‌‫ین‬:‌
  • 96.
    96 ‫جیاوازی‬‌‫حاڵه‬‌‫تی‬‌‫سێ‬‌‌‫یه‬‌‫م‬‌‫له‬‌‫گه‬‌‫ڵ‬‌‫حاڵه‬‌‫ته‬‌‫ی‬‌‌‫چواره‬‌‫مدا‬‌‫ته‬‌‫نها‬‌‫ئه‬‌‫وه‬‌‫یه‬‌‌‫كه‬‌‌‫له‬‌‌‫حاڵه‬‌‫تی‬‌‫سێ‬‌‌‫یه‬‌‫مدا‬‌‫پرساره‬‌‫كه‬‌‌ ‫باسی‬)Fluid‌(‫ناكات‬‌‫به‬‌‫اڵم‬‌‫له‬‌‌‫حاڵه‬‌‫ته‬‌‫ی‬‌‌‫چواره‬‌‫مدا‬‌‫جسمه‬‌‫كه‬‌‌)Fluid‌(‫ی‬‌‫له‬‌‫گه‬‌‫ڵدایه‬‌.‫وه‬‌‫به‬‌‫وه‬‌‫دا‬‌‫ده‬‌‫زانین‬‌‫كه‬‌‌ Fluid‌‫ی‬‌‫له‬‌‫گه‬‌‫ڵدایه‬‌‫كه‬‌‌‌)h‌(‫ه‬‌‫كه‬‌‫ی‬‌‫یان‬‌‫پله‬‌‫ی‬‌‫گه‬‌‫رمی‬‌Fluid‫ه‬‌‫كه‬‌‌‫باسكراوه‬‌. ‫له‬‌‌‫حاڵه‬‌‫تی‬‌‫سێ‬‌‌‫یه‬‌‫مدا‬‌‫دوو‬‌‫جۆر‬‌‫پرسیارهه‬‌‫یه‬‌‫كه‬‌‌‫هه‬‌‫ریه‬‌‫كه‬‌‫یان‬‌‫به‬‌‫شێوازێك‬‌‫شیكارده‬‌‫كرێن‬‌‫به‬‌‫اڵم‬‌‫هه‬‌‫دوو‬‌ ‫شێوازه‬‌‫كه‬‌‌‫به‬‌‫هۆی‬‌chart‌‫ی‬‌‫الپه‬‌‫ڕه‬‌‌66‌‫ه‬‌‫وه‬‌‌‫شیكار‬‌‫ده‬‌‫كرێن‬: ‌‫ئه‬‌‫گه‬‌‫ر‬‌‫له‬‌‫پرسیاره‬‌‫كه‬‌‫دا‬‌‫كاته‬‌‫كه‬‌)time‌‌(‫درابوو‬. ‌‫ئه‬‌‫گه‬‌‫ر‬‌‫له‬‌‫پرسیاره‬‌‫كه‬‌‫دا‬‌‫كاته‬‌‫كه‬‌)time‌‌(‫نه‬‌‌‫درابوو‬. ‌‫ئه‬‌‫گه‬‌‫ر‬‌‫له‬‌‫پرسیاره‬‌‫كه‬‌‫دا‬‌‫كاته‬‌‫كه‬‌)time‌‌(‫درابوو‬: ‫ئه‬‌‫وا‬‌‫داوای‬‌‫دۆزینه‬‌‫وه‬‌‫ی‬‌‫پله‬‌‫ی‬‌‫گه‬‌‫رمی‬‌‫ده‬‌‫كات‬‌‫له‬‌‌x‌‫دا‬‌‫یان‬‌‫به‬‌‫پێچه‬‌‫وانه‬‌‫وه‬‌‌‫داوای‬‌‫دۆزینه‬‌‫وه‬‌‫ی‬‌x‌‫ده‬‌‫كات‬‌ ‫له‬‌‫پاه‬‌‫یه‬‌‫كی‬‌‫گه‬‌‫رمی‬‌‫دا‬)T‌(،‌‫ئه‬‌‫گه‬‌‫ر‬‌)T‌(‫درابوو‬‌‫ده‬‌‫بێت‬‌‫سه‬‌‫ره‬‌‫تا‬‌Y-axis‌‫بدۆزینه‬‌‫وه‬‌‫كه‬‌‌‫ده‬‌‫كاته‬‌‌‫ژماره‬‌‫یه‬‌‫ك‬‌ ‫پاشان‬‌curve‌‫ه‬‌‫كه‬‌‌‫به‬‌‫م‬‌‫هاكێشه‬‌‫یه‬‌‌ √ ‌‫ده‬‌‫دۆزینه‬‌‫وه‬‌‫كه‬‌‌‫ئه‬‌‫میش‬‌‫ده‬‌‫كاته‬‌‌‫ژماره‬‌‫یه‬‌‫كی‬‌،‫تر‬‌‫ئیمه‬‌‌‫ژماره‬‌‫كه‬‌‫ی‬‌Y- axis‌‫ئیصقات‬‌‫ده‬‌‫كه‬‌‫ین‬‌‫بۆ‬‌‫سه‬‌‫ر‬‌curve‌‫ه‬‌‫كه‬‌‌‫وه‬‌‌‫له‬‌‫كویادا‬‌curve‌‫ه‬‌‫كه‬‌‫ی‬‌‫بڕی‬‌‫ئه‬‌‫وا‬‌‫ئوخاڵ‬‌‫ئیصقات‬‌‫ده‬‌‫كه‬‌‫ین‬‌ ‫بۆ‬‌‫سه‬‌‫ر‬‌X-axis‌‫كه‬‌‌‫له‬‌‌‫ژماره‬‌‫یه‬‌‫كدا‬‌‫ده‬‌‫ی‬‌‫بڕیت‬.‫وه‬‌‫ئه‬‌‫م‬‌‫ژماره‬‌‫یه‬‌‌‫یه‬‌‫كسانه‬‌‌‫هاوكێشه‬‌‫كه‬‌‫ی‬‌‫ژێر‬‌X-axis‌ ‫كه‬‌‫بریتییه‬‌‫له‬‌ √ ‌‌‌‌.‫به‬‌‫اڵم‬‌‫ئه‬‌‫گه‬‌‫ر‬‌‫داوای‬‌‫دۆزینه‬‌‫وه‬‌‫ی‬‌‫پله‬‌‫ی‬‌‫گه‬‌‫رمی‬‌‫كردبوو‬‌‫له‬‌‌x‌‫دا‬‌‫ئه‬‌‫وا‬‌‫ئه‬‌‫م‬‌‫هه‬‌‫نگاوانه‬‌‫ی‬‌ ‫كه‬‌‌‫باسمان‬‌‫كرد‬‌‫پێچه‬‌‫وانه‬‌‫ی‬‌‫ده‬‌‫كه‬‌‫ینه‬‌‫وه‬‌‌‫واته‬‌‌‫یه‬‌‫كه‬‌‫م‬‌‫جار‬‌X-axis‌‫ده‬‌‫دۆزینه‬‌‫وه‬‌‫كه‬‌‌‫پاشان‬‌curve‌‫ه‬‌‫كه‬‌‌‫به‬‌‫م‬‌ ‫هاكێشه‬‌‫یه‬‌‌‌ √ ‌‫ده‬‌‫دۆزینه‬‌‫وه‬‌‌،‌‫ئیمه‬‌‌‫ژماره‬‌‫كه‬‌‫ی‬‌X-axis‌‫ئیصقات‬‌‫ده‬‌‫كه‬‌‫ین‬‌‫بۆ‬‌‫سه‬‌‫ر‬‌curve‌‫ه‬‌‫كه‬‌‌‫وه‬‌‌‫له‬‌‫كویادا‬‌ curve‌‫ه‬‌‫كه‬‌‫ی‬‌‫بڕی‬‌‫ئه‬‌‫وا‬‌‫ئه‬‌‫وخاڵ‬‌‫ئیصقات‬‌‫ده‬‌‫كه‬‌‫ین‬‌‫بۆ‬‌‫سه‬‌‫ر‬‌Y-axis‌‫كه‬‌‌‫له‬‌‌‫ژماره‬‌‫یه‬‌‫كدا‬‌‫ده‬‌‫ی‬‌‫بڕیت‬.‫وه‬‌‫ئه‬‌‫م‬‌ ‫ژماره‬‌‫یه‬‌‌‫یه‬‌‫كسانه‬‌‌‫به‬‌‌‫هاوكێشه‬‌‫كه‬‌‌‫ی‬‌Y-axis‌ ‌‫ئه‬‌‫گه‬‌‫ر‬‌‫له‬‌‫پرسیاره‬‌‫كه‬‌‫دا‬‌‫كاته‬‌‫كه‬‌)time‌‌(‫نه‬‌‌‫درابوو‬‌.‫ده‬‌‫بێت‬‌‫سه‬‌‫ره‬‌‫تا‬‌Y-axis‌‫بدۆزینه‬‌‫وه‬‌‫كه‬‌‌‫ده‬‌‫كاته‬‌‌ ‫ژماره‬‌‫یه‬‌‫ك‬‌‫پاشان‬‌‫خۆمان‬‌‫كاتێك‬‌‫به‬‌‫گریمان‬‌‫داده‬‌‫نێین‬‌‫واته‬‌‌assume‌‫ی‬‌‫ده‬‌‫كه‬‌‫ین‬‌‫دواتر‬‌X-axis‌‫ده‬‌‫دۆزینه‬‌‫وه‬‌‌ ‫وه‬‌‌‫پاشان‬‌curve‌‫ه‬‌‫كه‬‌‌‫به‬‌‫م‬‌‫هاكێشه‬‌‫یه‬‌‌‌ √ ‌‫ده‬‌‫دۆزینه‬‌‫وه‬‌‌،‌‫ئیمه‬‌‌‫ژماره‬‌‫كه‬‌‫ی‬‌X-axis‌‫ئیصقات‬‌‫ده‬‌‫كه‬‌‫ین‬‌‫بۆ‬‌
  • 97.
    97 ‫سه‬‌‫ر‬‌curve‌‫ه‬‌‫كه‬‌‌‫وه‬‌‌‫له‬‌‫كویادا‬‌curve‌‫ه‬‌‫كه‬‌‫ی‬‌‫بڕی‬‌‫ئه‬‌‫وا‬‌‫ئه‬‌‫وخاڵ‬‌‫ئیصقات‬‌‫ده‬‌‫كه‬‌‫ین‬‌‫بۆ‬‌‫سه‬‌‫ر‬‌Y-axis‌‫كه‬‌‌‫له‬‌‌ ‫ژماره‬‌‫یه‬‌‫كدا‬‌‫ده‬‌‫ی‬‌‫بڕیت‬.‫وه‬‌‫ئه‬‌‫م‬‌‫ژماره‬‌‫یه‬‌‌‫له‬‌‫گه‬‌‫ڵ‬‌‫ژماره‬‌‫كه‬‌‫ی‬‌‫تری‬‌Y-axis‌‫دا‬‌‫به‬‌‫راورده‬‌‫كه‬‌‫ین‬‌‫كه‬‌‫یه‬‌‫كه‬‌‫م‬‌‫جار‬‌ ‫دۆزیمانه‬‌‫وه‬‌‌‫ده‬‌‫بێ‬‌‫بزانین‬‌‫ئه‬‌‫م‬‌‫دووژماره‬‌‫یه‬‌‌‫له‬‌‫یه‬‌‫كه‬‌‫وه‬‌‌‫نزیكن‬‌‫یان‬‌‫دورن‬‌،‌‫ئه‬‌‫گه‬‌‫ر‬‌‫دوربوون‬‌‫له‬‌‫یه‬‌‫كه‬‌‫وه‬‌‌‫ئه‬‌‫وا‬‌ ‫ده‬‌‫بێت‬‌‫سه‬‌‫رله‬‌‫نوێ‬‌‌‫كاتێكی‬‌‫تر‬‌‫به‬‌‫گریماندا‬‌‫بنێینه‬‌‫وه‬‌‫و‬‌‫هه‬‌‫مان‬‌‫هانگاوه‬‌‫كانی‬‌‫پێشودوباره‬‌‫ده‬‌‫كه‬‌‫ینه‬‌‫وه‬‌‌‫هه‬‌‫تا‬‌ ‫ژماره‬‌‫یه‬‌‫كمان‬‌‫ده‬‌‫ست‬‌‫ده‬‌‫كه‬‌‫وێت‬‌‫یه‬‌‫كسان‬‌‫ده‬‌‫بێت‬‌‫به‬‌‫ژماره‬‌‌‫ئه‬‌‫صڵییه‬‌‫كه‬‌‫ی‬‌Y-axis.‌ Example: a steelingot (large in size) heated uniformly to 415℃ is hardened by quenching it in an engine oil maintain at 20℃ with ℃. Determine the time required for the temperature to reach 595℃ at a depth of 12mm. Steel has those properties 𝜌 ℃. The ingot may be approximated as a large flat plate. ‫نموون‬‫ه‬:‫دا‬‫ڕ‬‫شت‬‫ه‬‫ی‬‫ێ‬‫كى‬‫پ‬‫ۆاڵ‬(‫زل‬‫ل‬‫ه‬‫ق‬‫ه‬‫بار‬‫ە‬)‫چونیهک‬ ‫شێوەیهکی‬ ‫به‬‫گ‬‫ه‬‫رم‬‫كر‬‫ا‬‫ب‬‫ۆ‬(415℃)‫پت‬‫ه‬‫و‬‫كرا‬‫به‬ ‫تێههڵکێشانی‬‫ل‬‫ه‬‫ڕۆ‬‫ن‬‫ێ‬‫كى‬‫بزو‬‫ێ‬‫ن‬‫ه‬‫ر‬‫دا‬‫ه‬‫ێڵ‬‫را‬‫و‬‫ە‬‫تهوە‬‫ل‬‫ه‬(20℃)‫به‬(℃).‫كات‬‫ی‬ ‫پ‬‫ێ‬‫ویست‬‫دیارى‬‫بك‬‫ه‬‫ب‬‫ۆ‬‫ئهوەی‬‫پل‬‫ه‬‫ى‬‫گ‬‫ه‬‫رم‬‫بگاته‬ ‫ی‬(595℃)‫ل‬‫ه‬‫قوو‬‫ڵ‬‫ى‬(12mm)‫دا‬.‫پ‬‫ۆاڵ‬‫ئهو‬ ‫تایب‬‫ه‬‫تم‬‫ه‬‫ند‬‫ههیه‬ ‫یانهی‬𝜌 ℃‫دا‬‫ڕ‬‫شت‬‫ه‬‫که‬ ‫ل‬‫ه‬‫وان‬‫ه‬‫ی‬‫ه‬‫تاڕادەیهک‬‫و‬‫ە‬‫ك‬‫بێت‬ ‫گهورە‬ ‫تهختی‬ ‫پلێتێکی‬. Given: Initaial temperature =415 ℃ , fluid temperature= 20℃ T =595℃ , depth x= 12mm= 0.012m. 𝜌 ℃ Solution: ‫له‬‌‫به‬‌‫ر‬‌‫ئه‬‌‫وه‬‌‫ی‬‌‫هیچ‬‌‫دوریه‬‌‫ك‬‌)dimension‌(‫كی‬‌‫جسمه‬‌‫كه‬‌‌‫نه‬‌‫دراوه‬‌،‌‫وه‬‌‌‫باسی‬‌fluid‌‫كراوه‬‌‌‫كه‬‌‫واته‬‌‌‫ئه‬‌‫مه‬‌‌ ‫حاڵتی‬‌‫سێ‬‌‌‫یه‬‌‫مه‬‌.‌ ‌ ‌
  • 98.
    98 Semi infinite withconvection boundary condition. From page 60 in the Data Book:‌ ‫بێسنوور‬ ‫نیمچه‬‫دەوروبهر‬ ‫ههڵگرتنی‬ ‫مهرجی‬ ‫لهگهڵ‬. ‫الپهڕەوە‬ ‫له‬٦٦‫زانیارى‬ ‫كتێبهكهى‬ ‫له‬: ‫حاڵتی‬‌‫چواره‬‌‫م‬‌:Infinite Solid ‫حاڵتی‬‌‫چواره‬‌‫م‬‌‫له‬‌‌‫سێ‬‌‌‫جۆر‬‌‫پێكهاتووه‬‌‌.‫كه‬‌‌‫هه‬‌‫ر‬‌‫سێ‬‌‌‫جۆره‬‌‫كه‬‌‫شی‬‌‫به‬‌‌Heisler chart‌‌‫شیكارده‬‌‫كرێن‬‌ ‫وه‬‌‫ئه‬‌‫مه‬‌‫ش‬‌‫هه‬‌‫ر‬‌‫سێ‬‌‌‫جۆره‬‌‫كه‬‌‫یه‬‌‫تی‬. 1. Infinite plate 2. Long cylinder 3. Sphere ‌ 1. Infinite plate ‫پلێنێكه‬‌‌‫پانیه‬‌‫كه‬‌‫ی‬‌‫زانراوه‬‌‌،‌‫كه‬‌‌‫پانییه‬‌‫كه‬‌‫ی‬‌‫ده‬‌‫كاته‬‌‌)2L‌ (‫وه‬‌‌)x‌ (‫له‬‌‫ناوه‬‌‫ڕاستی‬‌‫پلێته‬‌‫كه‬‌‫وه‬‌‌‫پێوراوه‬‌‌. ‫وه‬‌‫هه‬‌‫ردوالی‬‌‫پلێته‬‌‫كه‬‌‌convection‌‫ده‬‌‫كات‬‌‫له‬‌‫گه‬‌‫ڵ‬‌‫شلگازێكدا‬‌‫واته‬‌‌‫له‬‌‫گه‬‌‫ڵ‬‌)Fluid‌ (‫كدا‬‌ .‫پرسیاره‬‌‫كه‬‌‌ ‫داوه‬‌‫ی‬‌‫دۆزینه‬‌‫وه‬‌‫ی‬‌‫پله‬‌‫ی‬‌‫گه‬‌‫رمی‬‌‫ده‬‌‫كات‬‌‫له‬‌‌‫ناوه‬‌‫ڕاستی‬‌‫پلێته‬‌‫كه‬‌‫دا‬‌‫یان‬‌‫له‬‌‌‫دوورییه‬‌‫كی‬‌‫زانراو‬‌‫له‬‌‌‫ناوه‬‌‫ڕاستی‬‌ ‫پلێته‬‌‫كه‬‌‫وه‬‌‌‫له‬‌‫دوای‬‌‫كاتێكی‬‌‫دیاریكراو‬‌‫یان‬‌‫به‬‌‫پێچه‬‌‫وانه‬‌‫وه‬‌.‌ ‫ئه‬‌‫گه‬‌‫ر‬‌‫داوه‬‌‫ی‬‌‫دۆزینه‬‌‫وه‬‌‫ی‬‌‫پله‬‌‫ی‬‌‫گه‬‌‫رمی‬‌‫كرد‬‌‫له‬‌‌‫ناوه‬‌‫ڕاستی‬‌‫پلێته‬‌‫كه‬‌‫دا‬‌‫ئه‬‌‫وا‬‌chart‌‌‫ی‬‌‫الپه‬‌‫ڕه‬‌‌65‌‫له‬‌‌Data Book‫ه‬‌‫كه‬‌‫دا‬‌‫به‬‌‫كاردێنین‬‌،‌‫به‬‌‫اڵم‬‌‫ئه‬‌‫گه‬‌‫ر‬‌‫داوه‬‌‫ی‬‌‫دۆزینه‬‌‫وه‬‌‫ی‬‌‫پله‬‌‫ی‬‌‫گه‬‌‫رمی‬‌‫كرد‬‌‫له‬‌‌‫دوورییه‬‌‫كی‬‌‫زانراو‬‌‫له‬‌‌ ‫ناوه‬‌‫ڕاستی‬‌‫پلێته‬‌‫كه‬‌‫دا‬‌‫ئه‬‌‫وا‬‌‫سه‬‌‫ره‬‌‫تا‬‌‫ده‬‌‫بێت‬‌‫پله‬‌‫ی‬‌‫گه‬‌‫رمی‬‌‫له‬‌‌‫ناوه‬‌‫ڕاستی‬‌‫پلێته‬‌‫كه‬‌‫دا‬‌‫بدۆزینه‬‌‫وه‬‌‌‫به‬‌‫هۆی‬‌‌chart‌‌
  • 99.
    99 ‫ی‬‌‫الپه‬‌‫ڕه‬‌‌65‌‫له‬‌‌Data Book‫ه‬‌‫كه‬‌‫كه‬‌‫دا‬‌‫چونكه‬‌‌‫پێویستمان‬‌‫پێی‬‌‫ده‬‌‫بێت‬‌‫بۆ‬‌‫دۆزینه‬‌‫وه‬‌‫ی‬‌‫پله‬‌‫ی‬‌‫گه‬‌‫رمی‬‌‫له‬‌‌ ‫دوورییه‬‌‫كی‬‌‫زانراو‬‌‫له‬‌‌‫ناوه‬‌‫ڕاستی‬‌‫پلێته‬‌‫كه‬‌‫وه‬‌‌‫دواتر‬‌‫پله‬‌‫ی‬‌‫گه‬‌‫رمی‬‌‫له‬‌‌‫دوورییه‬‌‫كی‬‌‫زانراو‬‌‫له‬‌‌‫ناوه‬‌‫ڕاستی‬‌ ‫پلێته‬‌‫كه‬‌‫دا‬‌‫ده‬‌‫دۆزینه‬‌‫وه‬‌‌‫به‬‌‫هۆی‬‌‌chart‌‌‫ی‬‌‫الپه‬‌‫ڕه‬‌‌66‌‫له‬‌‌Data Book‫ه‬‌‫كه‬‌‫كه‬‌‫دا‬.‌ ‌ ‫تێبینی‬‌‌:‫ئه‬‌‫گه‬‌‫ر‬‌‫پرسیاره‬‌‫كه‬‌‌‫داوای‬‌‫دۆزینه‬‌‫وه‬‌‫ی‬‌‫پله‬‌‫ی‬‌‫گه‬‌‫رمی‬‌‫كردبوو‬‌‫له‬‌‌‫دورییه‬‌‫كی‬‌‫زانراو‬‌‌‫له‬‌‌‫ڕووه‬‌‫كه‬‌‫یه‬‌‫وه‬‌‌ ‫واته‬‌‌‫له‬‌)surface‌(‫ه‬‌‫وه‬‌‌‫ئه‬‌‫وا‬‌‫ده‬‌‫بێت‬‌‫ئێمه‬‌‌‫ئه‬‌‫م‬‌‫دوورییه‬‌‌‫بگۆڕین‬‌‫به‬‌‫گوێره‬‌‫ی‬‌‫ناوه‬‌‫ڕاستی‬‌‫پلێته‬‌‫كه‬‌‌.‫چونكه‬‌‌)x‌( ‫له‬‌‫ناوه‬‌‫ڕاسته‬‌‫وه‬‌‌‫پێوراوه‬‌. ‫تێبینی‬‌‌:‫ئه‬‌‫گه‬‌‫ر‬‌‫پرسیاره‬‌‫كه‬‌‌‫داوای‬‌‫دۆزینه‬‌‫وه‬‌‫ی‬‌‫بڕی‬‌‫گه‬‌‫رمی‬‌‫ئاڵوگۆڕكراوی‬‌‫كردبوو‬)Heattransfer rate‌(‫له‬‌‫ناو‬‌‫پلێته‬‌‫كه‬‌‫وه‬‌‌‫بۆ‬‌‫ده‬‌‫ره‬‌‫وه‬‌‫ی‬‌‫پلێته‬‌‫كه‬‌‌‫ئه‬‌‫وا‬‌chart‌‫ی‬‌‫الپه‬‌‫ڕه‬‌‌67‌‫به‬‌‫كادێنین‬‌‫له‬‌‌Data Book‌‫ه‬‌‫كه‬‌‫دا‬.‌
  • 100.
    100 Example: A planewall is 0.12m thick ,made of material of density 7800kg/ , thermal conductivity 45W/mK, and specific heat 465 J/kg.K. It is initially at a uniform temperature of ℃ , the wall is exposed suddenly to convection on both sides at 30℃ with a convection heat transfer coefficient of 450W / .K . Determine the temperature after 8 minute at (1)mid plane (2) 0.03m from center. ‫نموون‬‫ه‬:‫تهخت‬ ‫دیوارێکی‬(0.12m)‫ئ‬‫ه‬‫ستور‬‫ە‬،‫چڕیی‬ ‫مادەیهکی‬ ‫دروستکراوی‬(7800kg/)، ‫گهرمی‬ ‫گهیاندنی‬ ‫توانای‬(45W/mK)،‫و‬‫گ‬‫ه‬‫رمیى‬‫جۆری‬(465 J/kg.K).‫س‬‫ه‬‫ر‬‫ە‬‫تا‬‫ل‬‫ه‬‫پله‬‫یهکی‬ ‫چونیهک‬ ‫گهرمی‬‫ی‬℃‫دایه‬،‫دیوار‬‫ە‬‫ك‬‫ه‬‫ل‬‫ه‬‫پ‬‫ڕ‬‫ك‬‫ه‬‫وت‬‫ه‬‫ب‬‫ه‬‫ر‬‫ههڵگرتن‬‫ل‬‫ه‬‫ه‬‫ه‬‫ردوو‬‫ال‬‫ل‬ ‫کهیهوە‬‫ه‬(30℃) ‫به‬‫هاوك‬‫ۆ‬‫لك‬‫ه‬‫ی‬‫ێ‬‫كى‬‫گهرمى‬ ‫گواستنهوەى‬ ‫ههڵگرتنی‬(450W / .K).‫پل‬‫ه‬‫ى‬‫گ‬‫ه‬‫رمی‬‫ه‬‫ك‬‫ه‬‫دیارى‬‫بك‬‫ه‬ ‫پاش‬(8)‫خول‬‫ه‬‫ك‬‫ل‬‫ه‬(1)‫ڕوتهختهکهدا‬ ‫ناوەڕاستی‬(2)(0.03m)‫ل‬‫ه‬‫ناو‬‫ە‬‫ند‬‫ە‬‫و‬‫ە‬ Given: density =𝜌 7800kg/ , Thermal conductivity= K=20W/mK, C =400 J/kg.K Thickness=2L=0.12m ,initial temperature= ℃ ,fluid temperature= =30℃ h = , time =t =8 minute=8*60sec=480sec. Solution: ‌‫له‬‫به‬‫ئه‬ ‫ر‬‫وه‬‫پلێنێكه‬ ‫پانیی‬ ‫پرسیارەکهدا‬ ‫له‬ ‫ی‬‫زانراوه‬‫وه‬‫هه‬‫پلێته‬ ‫ردوالی‬‫كه‬convection‫ده‬‫كات‬‌ ‫له‬‌‫گه‬‌‫ڵ‬‌‫شلگازێكدا‬‌‫واته‬‌‌‫له‬‌‫گه‬‌‫ڵ‬‌)Fluid‌(،‫كدا‬‌‌‫كه‬‌‫واته‬‌‌‫ئه‬‌‫مه‬‌‌‫حاڵتی‬‌‫چواره‬‌‫م‬‌Infinite Solid‫وه‬‌‫جۆری‬‌ ‫یه‬‌‫كه‬‌‫میانه‬‌‌‫واته‬‌‌infinite plate‌
  • 101.
    101 From page 63and page 65 in the Data Book: 𝜌 X-axis= ‫ئیمه‬‌‌‫ژماره‬‌‫كه‬‌‫ی‬X-axis‫ئیصقات‬‌‫ده‬‌‫كه‬‌‫ین‬‌‫بۆ‬‌‫سه‬‌‫ر‬curve‫ه‬‌‫كه‬‌‌‫وه‬‌‌‫له‬‌‫كویادا‬curve‫ه‬‌‫كه‬‌‫ی‬‌‫بڕی‬‌‫ئه‬‌‫وا‬‌ ‫ئه‬‌‫وخاڵ‬‌‫ئیصقات‬‌‫ده‬‌‫كه‬‌‫ین‬‌‫بۆ‬‌‫سه‬‌‫ر‬Y-axis‫كه‬‌‌‫له‬‌‌‫ژماره‬‌‫یه‬‌‫كدا‬‌‫ده‬‌‫ی‬‌‫بڕیت‬.‫وه‬‌‫ئه‬‌‫م‬‌‫ژماره‬‌‫یه‬‌‫بریتیه‬‌‫له‬‌‌6.52‌
  • 102.
    102 ℃ Temperature at themid of the plate= ℃ From page 63 and page 66 in the Data Book: X-axis= ‫ئیمه‬‌‌‫ژماره‬‌‫كه‬‌‫ی‬X-axis‫ئیصقات‬‌‫ده‬‌‫كه‬‌‫ین‬‌‫بۆ‬‌‫سه‬‌‫ر‬curve‫ه‬‌‫كه‬‌‌‫وه‬‌‌‫له‬‌‫كویادا‬curve‫ه‬‌‫كه‬‌‫ی‬‌‫بڕی‬‌‫ئه‬‌‫وا‬‌ ‫ئه‬‌‫وخاڵ‬‌‫ئیصقات‬‌‫ده‬‌‫كه‬‌‫ین‬‌‫بۆ‬‌‫سه‬‌‫ر‬Y-axis‫كه‬‌‌‫له‬‌‌‫ژماره‬‌‫یه‬‌‫كدا‬‌‫ده‬‌‫ی‬‌‫بڕیت‬.‫وه‬‌‫ئه‬‌‫م‬‌‫ژماره‬‌‫یه‬‌‫بریتیه‬‌‫له‬‌‌6.89‌ ℃
  • 103.
    103 Example: a plateof 20cm thickness at temperature of 500℃ ; k=57W/m℃, suddenly air at 25℃ is blown over the surface with h= ℃, . (1) At what time the mid temperature will be 240℃. (2)At what time the temperature at 1cm from the surface will be 240℃. ‫نموون‬‫ه‬:‫پلێت‬‫ێ‬‫كى‬(20cm)‫ئهستور‬‫ل‬‫ه‬‫پل‬‫ه‬‫ى‬‫گ‬‫ه‬‫رمیى‬(500℃)،‫دا‬(k=57W/m℃)،‫ل‬‫ه‬‫پ‬‫ڕ‬‫ه‬‫ه‬‫وا‬‫ل‬‫ه‬ (25℃)‫ب‬‫ه‬‫س‬‫ه‬‫ر‬‫ڕ‬‫وو‬‫ە‬‫ك‬‫ه‬‫برا‬ ‫یدا‬‫به‬(h= ℃)،(). (1)‫ل‬‫ه‬‫چى‬‫كات‬‫ێکدا‬‫پل‬‫ه‬‫ى‬‫گ‬‫ه‬‫رمیى‬‫ناو‬‫ەڕ‬‫است‬‫د‬‫ە‬‫ب‬‫ێ‬‫ت‬‫ه‬(240℃)( .2)‫ل‬‫ه‬‫چى‬‫كات‬‫ێکدا‬‫پل‬‫ه‬‫ى‬‫گ‬‫ه‬‫رمیى‬‫ل‬‫ه‬ (1cm)‫ل‬‫ه‬‫و‬‫ە‬‫ڕ‬‫وو‬‫ە‬‫ك‬‫ه‬‫ی‬‫د‬‫ە‬‫ب‬‫ێ‬‫ت‬‫ه‬(240℃). Given: Thickness=2L=20cm , initial temperature= ℃ ,Thermal conductivity= K=20W/mK, fluid temperature= =25℃ , ℃, Solution: ‫له‬‫به‬‫ئه‬ ‫ر‬‫وه‬‫پلێنێكه‬ ‫پانیی‬ ‫پرسیارەکهدا‬ ‫له‬ ‫ی‬‫زانراوه‬‫وه‬‫هه‬‫پلێته‬ ‫ردوالی‬‫كه‬convection‫ده‬‫كات‬‌ ‫له‬‌‫گه‬‌‫ڵ‬‌‫شلگازێكدا‬‌‫واته‬‌‌‫له‬‌‫گه‬‌‫ڵ‬‌)Fluid‌(،‫كدا‬‌‌‫كه‬‌‫واته‬‌‌‫ئه‬‌‫مه‬‌‌‫حاڵتی‬‌‫چواره‬‌‫م‬‌Infinite Solid‫وه‬‌‫جۆری‬‌ ‫یه‬‌‫كه‬‌‫میانه‬‌‌‫واته‬‌‌infinite plate‌
  • 104.
    104 1- Mid temperature: Frompage 63 and page 65 in the Data Book:
  • 105.
    105 2- At whattime the mid temperature at 1cm from the surface will be 240℃. ‫ل‬‫ە‬ً‫چ‬‫كبت‬‫پل‬‫ە‬‫ي‬‫گ‬‫ە‬ً‫رهی‬‫ًبو‬‫ەڕ‬‫اضت‬‫ل‬‫ە‬(1‫جن‬)‫ل‬‫ە‬‫و‬‫ە‬‫ڕ‬‫وو‬‫ە‬‫ك‬‫ە‬(2٤٠℃)‫د‬‫ە‬‫ث‬‫ێ‬‫ت‬ ‫تێبینی‬‌‌:‫ئه‬‌‫گه‬‌‫ر‬‌‫پرسیاره‬‌‫كه‬‌‌‫داوای‬‌‫دۆزینه‬‌‫وه‬‌‫ی‬‌‫پله‬‌‫ی‬‌‫گه‬‌‫رمی‬‌‫كردبوو‬‌‫له‬‌‌‫دورییه‬‌‫كی‬‌‫زانراو‬‌‌‫له‬‌‌‫ڕووه‬‌‫كه‬‌‫یه‬‌‫وه‬‌‌ ‫واته‬‌‌‫له‬‌)surface‌(‫ه‬‌‫وه‬‌‌‫ئه‬‌‫وا‬‌‫ده‬‌‫بێت‬‌‫ئێمه‬‌‌‫ئه‬‌‫م‬‌‫دوورییه‬‌‌‫بگۆڕین‬‌‫به‬‌‫گوێره‬‌‫ی‬‌‫ناوه‬‌‫ڕاستی‬‌‫پلێته‬‌‫كه‬‌‌.‫چونكه‬‌‌)x‌( ‫له‬‌‫ناوه‬‌‫ڕاسته‬‌‫وه‬‌‌‫پێوراوه‬‌. L=10cm but x=10-1=9cm =0.09m From the chart of page 66 in the Data Book: ℃
  • 106.
    106 Temperature at themid of the plate= ℃ when the surface will be 240℃. ‫پل‬‫ە‬‫ي‬‫گ‬‫ە‬ً‫ره‬‫ل‬‫ە‬‫ًبو‬‫ەڕ‬ً‫اضت‬(‫پالت‬‫ە‬=2٦1.2٦℃)‫كبت‬‫ێ‬‫ك‬‫ڕ‬‫وو‬‫ە‬‫ك‬‫ە‬(2٤٠℃)‫د‬‫ە‬‫ث‬‫ێ‬‫ت‬. From page 6 3in the Data Book: X-axis= 2. Long cylinder ‫لوله‬‌‫كێكه‬‌‌‫نیوه‬‌‫تیره‬‌‫كه‬‌‫ی‬‌‫زانراوه‬‌‌)r‌ (‫له‬‌‫ناوه‬‌‫ڕاستی‬‌‫لوله‬‌‫كه‬‌‫كه‬‌‫وه‬‌‌‫پێوراوه‬‌‌ .‫وه‬‌‫ڕووی‬‌‫ده‬‌‫ره‬‌‫وه‬‌‫ی‬‌‫لوله‬‌‫كه‬‌‫كه‬‌‌ convection‌‫ده‬‌‫كات‬‌‫له‬‌‫گه‬‌‫ڵ‬‌‫شلگازێكدا‬‌‫واته‬‌‌‫له‬‌‫گه‬‌‫ڵ‬‌)Fluid‌(‫كدا‬‌.‫پرسیاره‬‌‫كه‬‌‌‫داوه‬‌‫ی‬‌‫دۆزینه‬‌‫وه‬‌‫ی‬‌‫پله‬‌‫ی‬‌ ‫گه‬‌‫رمی‬‌‫ده‬‌‫كات‬‌‫له‬‌‌‫ناوه‬‌‫ڕاستی‬‌‫لوله‬‌‫كه‬‌‫كه‬‌‫دا‬‌‫یان‬‌‫له‬‌‌‫دوورییه‬‌‫كی‬‌‫زانراو‬‌‫له‬‌‌‫ناوه‬‌‫ڕاسته‬‌‫وه‬‌‌‫له‬‌‫دوای‬‌‫كاتێكی‬‌ ‫دیاریكراو‬‌‫یان‬‌‫به‬‌‫پێچه‬‌‫وانه‬‌‫وه‬‌‌. ‫ئه‬‌‫گه‬‌‫ر‬‌‫داوه‬‌‫ی‬‌‫دۆزینه‬‌‫وه‬‌‫ی‬‌‫پله‬‌‫ی‬‌‫گه‬‌‫رمی‬‌‫كرد‬‌‫له‬‌‌‫ناوه‬‌‫ڕاستی‬‌‫لوله‬‌‫كه‬‌‫كه‬‌‫دا‬‌‫ئه‬‌‫وا‬‌chart‌‌‫ی‬‌‫الپه‬‌‫ڕه‬‌‌68‌‫له‬‌‌ Data Book‫ه‬‌‫كه‬‌‫دا‬‌‫به‬‌‫كاردێنین‬‌،‌‫به‬‌‫اڵم‬‌‫ئه‬‌‫گه‬‌‫ر‬‌‫داوه‬‌‫ی‬‌‫دۆزینه‬‌‫وه‬‌‫ی‬‌‫پله‬‌‫ی‬‌‫گه‬‌‫رمی‬‌‫كرد‬‌‫له‬‌‌‫دوورییه‬‌‫كی‬‌
  • 107.
    107 ‫زانراو‬‌‫له‬‌‌‫ناوه‬‌‫ڕاستی‬‌‫لوله‬‌‫كه‬‌‫كه‬‌‫دا‬‌‫ئه‬‌‫وا‬‌‫سه‬‌‫ره‬‌‫تا‬‌‫ده‬‌‫بێت‬‌‫پله‬‌‫ی‬‌‫گه‬‌‫رمی‬‌‫له‬‌‌‫ناوه‬‌‫ڕاستی‬‌‫لوله‬‌‫كه‬‌‫كه‬‌‫دا‬‌‫بدۆزینه‬‌‫وه‬‌‌ ‫به‬‌‫هۆی‬‌‌chart‌‌‫ی‬‌‫الپه‬‌‫ڕه‬‌‌68‌‫له‬‌‌Data Book‫ه‬‌‫كه‬‌‫كه‬‌‫دا‬‌‫چونكه‬‌‌‫پێویستمان‬‌‫پێی‬‌‫ده‬‌‫بێت‬‌‫بۆ‬‌‫دۆزینه‬‌‫وه‬‌‫ی‬‌‫پله‬‌‫ی‬‌ ‫گه‬‌‫رمی‬‌‫له‬‌‌‫دوورییه‬‌‫كی‬‌‫زانراو‬‌‫له‬‌‌‫ناوه‬‌‫ڕاستی‬‌‫لوله‬‌‫كه‬‌‫كه‬‌‫وه‬‌‌‫دواتر‬‌‫پله‬‌‫ی‬‌‫گه‬‌‫رمی‬‌‫له‬‌‌‫دوورییه‬‌‫كی‬‌‫زانراو‬‌‫له‬‌‌ ‫ناوه‬‌‫ڕاستی‬‌‫لوله‬‌‫كه‬‌‫كه‬‌‫دا‬‌‫ده‬‌‫دۆزینه‬‌‫وه‬‌‌‫به‬‌‫هۆی‬‌‌chart‌‌‫ی‬‌‫الپه‬‌‫ڕه‬‌‌69‌‫له‬‌‌Data Book‫ه‬‌‫كه‬‌‫كه‬‌‫دا‬.‌ ‌ ‫تێبینی‬‌‌:‫ئه‬‌‫گه‬‌‫ر‬‌‫پرسیاره‬‌‫كه‬‌‌‫داوای‬‌‫دۆزینه‬‌‫وه‬‌‫ی‬‌‫پله‬‌‫ی‬‌‫گه‬‌‫رمی‬‌‫كردبوو‬‌‫له‬‌‌‫دورییه‬‌‫كی‬‌‫زانراو‬‌‌‫له‬‌‌‫ڕووه‬‌‫كه‬‌‫یه‬‌‫وه‬‌‌ ‫واته‬‌‌‫له‬‌)surface‌(‫ه‬‌‫وه‬‌‌‫ئه‬‌‫وا‬‌‫ده‬‌‫بێت‬‌‫ئێمه‬‌‌‫ئه‬‌‫م‬‌‫دوورییه‬‌‌‫بگۆڕین‬‌‫به‬‌‫گوێره‬‌‫ی‬‌‫ناوه‬‌‫ڕاستی‬‌‫لوله‬‌‫كه‬‌‫كه‬‌‌.‫چونكه‬‌‌)r‌( ‫له‬‌‫ناوه‬‌‫ڕاسته‬‌‫وه‬‌‌‫پێوراوه‬‌. ‫تێبینی‬‌‌:‫ئه‬‌‫گه‬‌‫ر‬‌‫پرسیاره‬‌‫كه‬‌‌‫داوای‬‌‫دۆزینه‬‌‫وه‬‌‫ی‬‌‫بڕی‬‌‫گه‬‌‫رمی‬‌‫ئاڵوگۆڕكراوی‬‌‫كردبوو‬)Heattransfer rate‌(‫له‬‌‫ناو‬‌‫لوله‬‌‫كه‬‌‫كه‬‌‫وه‬‌‌‫بۆ‬‌‫ده‬‌‫ره‬‌‫وه‬‌‫ی‬‌‫لوله‬‌‫كه‬‌‫كه‬‌‌‫ئه‬‌‫وا‬‌chart‌‫ی‬‌‫الپه‬‌‫ڕه‬‌‌76‌‫به‬‌‫كادێنین‬‌‫له‬‌‌Data Book‌ ‫ه‬‌‫كه‬‌‫دا‬.‌ Example: a long cylindrical bar of radius 80mm comes out off oven at 830℃ and is cooled by quenching in a large bath of 40℃ coolant. The heat transfer coefficient between the bar and coolant is . Determine the time required the shaft center to reach 120℃ . If (K=17.4 W/mK and ) ‫نموون‬‫ه‬:‫شیش‬‫ێ‬‫كى‬‫در‬‫ێ‬‫ژ‬‫لوول‬‫ه‬‫كیى‬‫نیو‬‫ە‬‫تیرە‬(80mm)‫د‬‫ە‬‫ر‬‫ە‬‫و‬‫ە‬‫دوور‬‫ل‬‫ه‬‫ت‬‫ه‬‫نوور‬‫دا‬‫د‬‫ە‬‫ب‬‫ه‬‫ز‬‫ێ‬‫ت‬‫ل‬‫ه‬ (830℃)‫و‬‫سارد‬‫براو‬‫ە‬‫ت‬‫ه‬‫و‬‫ە‬‫به‬‫كپ‬‫د‬‫ە‬‫كات‬‫ل‬‫ه‬‫گ‬‫ه‬‫رماو‬‫ێ‬‫كى‬‫زلى‬(40℃)‫ساردك‬‫ه‬‫ر‬‫ە‬‫و‬‫ە‬.‫هاوك‬‫ۆ‬‫لك‬‫ه‬‫ك‬‫ه‬‫ى‬ ‫ل‬‫ه‬‫ن‬‫ێ‬‫وان‬‫گ‬‫ه‬‫رمى‬‫گواستن‬‫ه‬‫و‬‫ە‬‫شیش‬‫ه‬‫ك‬‫ه‬‫و‬‫ساردك‬‫ه‬‫ر‬‫ە‬‫و‬‫ە‬()‫ە‬.‫كات‬‫پ‬‫ێ‬‫ویست‬‫بوو‬‫ە‬‫ك‬‫ه‬‫ى‬ ‫ش‬‫ه‬‫فت‬‫دیارى‬‫بك‬‫ه‬‫ناو‬‫ە‬‫ند‬‫تا‬(120℃)‫بگات‬‫ب‬‫ه‬.‫ئ‬‫ه‬‫گ‬‫ه‬‫ر‬(K=17.4 W/mK and )
  • 108.
    108 Given: Thermal conductivity=K=17.4W/mK, , initial temperature= ℃ ,fluid temperature= =40℃ h = , ℃ , time =t =? Solution: ‌‫له‬‌‫به‬‌‫ر‬‌‫ئه‬‌‫وه‬‌‫ی‬‌‫باسی‬‌‫لوله‬‌‫كێكه‬‌‌‫نیوه‬‌‫تیره‬‌‫كه‬‌‫ی‬‌‫زانراوه‬‌‌‌‫وه‬‌‫هه‬‌‫ردوالی‬‌‫لوله‬‌‫كه‬‌‫كه‬‌‌convection‌‫ده‬‌‫كات‬‌‫له‬‌‫گه‬‌‫ڵ‬‌ ‫شلگازێكدا‬‌‫واته‬‌‌‫له‬‌‫گه‬‌‫ڵ‬‌)Fluid‌(،‫كدا‬‌‌‫كه‬‌‫واته‬‌‌‫ئه‬‌‫مه‬‌‌‫حاڵتی‬‌‫چواره‬‌‫م‬‌Infinite Solid‫وه‬‌‫جۆری‬‌‫دووه‬‌‫میانه‬‌‌ ‫واته‬‌‌Long cylinder‌ From page 63 and page 68 in the Data Book: ‫زانیارى‬ ‫كتێبهكهى‬ ‫له‬ ٦٦ ‫الپهڕە‬ ‫و‬ ٦٤ ‫الپهڕەوە‬ ‫:له‬ X-axis=
  • 109.
    109 ‫ڕاڤه‬‌‫كه‬‌‫ی‬:‫ئیمه‬‌‌‫ژماره‬‌‫كه‬‌‫ی‬‌Y-axis‌‫ئیصقات‬‌‫ده‬‌‫كه‬‌‫ین‬‌‫بۆ‬‌‫سه‬‌‫ر‬‌curve‌‫ه‬‌‫كه‬‌‌‫وه‬‌‌‫له‬‌‫كویادا‬‌curve‌‫ه‬‌‫كه‬‌‫ی‬‌‫بڕی‬‌ ‫ئه‬‌‫وا‬‌‫ئه‬‌‫وخاڵ‬‌‫ئیصقات‬‌‫ده‬‌‫كه‬‌‫ین‬‌‫بۆ‬‌‫سه‬‌‫ر‬‌X-axis‌‫كه‬‌‌‫له‬‌‌‫ژماره‬‌‫یه‬‌‫كدا‬‌‫ده‬‌‫ی‬‌‫بڕیت‬.‫وه‬‌‫ئه‬‌‫م‬‌‫ژماره‬‌‫یه‬‌‫بریتیه‬‌‫له‬‌‌2‌ 3. Sphere ‌‫گۆیه‬‌‫كه‬‌‌‫نیوه‬‌‫تیره‬‌‫كه‬‌‫ی‬‌‫زانراوه‬‌‌)r‌ (‫له‬‌‫ناوه‬‌‫ڕاستی‬‌‫گۆیه‬‌‫كه‬‌‫وه‬‌‌‫پێوراوه‬‌‌.‫وه‬‌‫ڕووی‬‌‫ده‬‌‫ره‬‌‫وه‬‌‫ی‬‌ ‫گۆیه‬‌‫كه‬‌‌convection‌‫ده‬‌‫كات‬‌‫له‬‌‫گه‬‌‫ڵ‬‌‫شلگازێكدا‬‌‫واته‬‌‌‫له‬‌‫گه‬‌‫ڵ‬‌)Fluid‌(‫كدا‬‌.‫پرسیاره‬‌‫كه‬‌‌‫داوه‬‌‫ی‬‌ ‫دۆزینه‬‌‫وه‬‌‫ی‬‌‫پله‬‌‫ی‬‌‫گه‬‌‫رمی‬‌‫ده‬‌‫كات‬‌‫له‬‌‌‫ناوه‬‌‫ڕاستی‬‌‫گۆیه‬‌‫كه‬‌‫دا‬‌‫یان‬‌‫له‬‌‌‫دوورییه‬‌‫كی‬‌‫زانراو‬‌‫له‬‌‌ ‫ناوه‬‌‫ڕاسته‬‌‫وه‬‌‌‫له‬‌‫دوای‬‌‫كاتێكی‬‌‫دیاریكراو‬‌‫یان‬‌‫به‬‌‫پێچه‬‌‫وانه‬‌‫وه‬‌‌. ‫ئه‬‌‫گه‬‌‫ر‬‌‫داوه‬‌‫ی‬‌‫دۆزینه‬‌‫وه‬‌‫ی‬‌‫پله‬‌‫ی‬‌‫گه‬‌‫رمی‬‌‫كرد‬‌‫له‬‌‌‫ناوه‬‌‫ڕاستی‬‌‫گۆیه‬‌‫كه‬‌‫دا‬‌‫ئه‬‌‫وا‬‌chart‌‌‫ی‬‌‫الپه‬‌‫ڕه‬‌‌ 68‌‫له‬‌‌Data Book‫ه‬‌‫كه‬‌‫دا‬‌‫به‬‌‫كاردێنین‬‌،‌‫به‬‌‫اڵم‬‌‫ئه‬‌‫گه‬‌‫ر‬‌‫داوه‬‌‫ی‬‌‫دۆزینه‬‌‫وه‬‌‫ی‬‌‫پله‬‌‫ی‬‌‫گه‬‌‫رمی‬‌‫كرد‬‌‫له‬‌‌ ‫دوورییه‬‌‫كی‬‌‫زانراو‬‌‫له‬‌‌‫ناوه‬‌‫ڕاستی‬‌‫گۆیه‬‌‫كه‬‌‫وه‬‌‌‫ئه‬‌‫وا‬‌‫سه‬‌‫ره‬‌‫تا‬‌‫ده‬‌‫بێت‬‌‫پله‬‌‫ی‬‌‫گه‬‌‫رمی‬‌‫له‬‌‌‫ناوه‬‌‫ڕاستی‬‌ ‫گۆیه‬‌‫كه‬‌‫دا‬‌‫بدۆزینه‬‌‫وه‬‌‌‫به‬‌‫هۆی‬‌ ‌chart‌ ‌‫ی‬‌‫الپه‬‌‫ڕه‬‌‌68‌‫له‬‌‌Data Book‫ه‬‌‫كه‬‌‫كه‬‌‫دا‬‌‫چونكه‬‌‌ ‫پێویستمان‬‌‫پێی‬‌‫ده‬‌‫بێت‬‌‫بۆ‬‌‫دۆزینه‬‌‫وه‬‌‫ی‬‌‫پله‬‌‫ی‬‌‫گه‬‌‫رمی‬‌‫له‬‌‌‫دوورییه‬‌‫كی‬‌‫زانراو‬‌‫له‬‌‌‫ناوه‬‌‫ڕاستی‬‌ ‫گۆیه‬‌‫كه‬‌‫وه‬‌‌‫دواتر‬‌‫پله‬‌‫ی‬‌‫گه‬‌‫رمی‬‌‫له‬‌‌‫دوورییه‬‌‫كی‬‌‫زانراو‬‌‫له‬‌‌‫ناوه‬‌‫ڕاستی‬‌‫گۆیه‬‌‫كه‬‌‫دا‬‌‫ده‬‌‫دۆزینه‬‌‫وه‬‌‌ ‫به‬‌‫هۆی‬‌‌chart‌‌‫ی‬‌‫الپه‬‌‫ڕه‬‌‌69‌‫له‬‌‌Data Book‫ه‬‌‫كه‬‌‫كه‬‌‫دا‬.‌ ‌ ‫تێبینی‬‌‌:‫ئه‬‌‫گه‬‌‫ر‬‌‫پرسیاره‬‌‫كه‬‌‌‫داوای‬‌‫دۆزینه‬‌‫وه‬‌‫ی‬‌‫پله‬‌‫ی‬‌‫گه‬‌‫رمی‬‌‫كردبوو‬‌‫له‬‌‌‫دورییه‬‌‫كی‬‌‫زانراو‬‌‌‫له‬‌‌‫ڕووه‬‌‫كه‬‌‫یه‬‌‫وه‬‌‌ ‫واته‬‌‌‫له‬‌)surface‌(‫ه‬‌‫وه‬‌‌‫ئه‬‌‫وا‬‌‫ده‬‌‫بێت‬‌‫ئێمه‬‌‌‫ئه‬‌‫م‬‌‫دوورییه‬‌‌‫بگۆڕین‬‌‫به‬‌‫گوێره‬‌‫ی‬‌‫ناوه‬‌‫ڕاستی‬‌‫گۆیه‬‌‫كه‬‌‌.‫چونكه‬‌‌)r‌( ‫له‬‌‫ناوه‬‌‫ڕاسته‬‌‫وه‬‌‌‫پێوراوه‬‌.
  • 110.
    110 ‫تێبینی‬‌‌:‫ئه‬‌‫گه‬‌‫ر‬‌‫پرسیاره‬‌‫كه‬‌‌‫داوای‬‌‫دۆزینه‬‌‫وه‬‌‫ی‬‌‫بڕی‬‌‫گه‬‌‫رمی‬‌‫ئاڵوگۆڕكراوی‬‌‫كردبوو‬)Heat transfer rate‌(‫له‬‌‫ناو‬‌‫گۆیه‬‌‫كه‬‌‫وه‬‌‌‫بۆ‬‌‫ده‬‌‫ره‬‌‫وه‬‌‫ی‬‌‫گۆیه‬‌‫كه‬‌‌‫ئه‬‌‫وا‬‌chart‌‫ی‬‌‫الپه‬‌‫ڕه‬‌‌76‌‫به‬‌‫كادێنین‬‌‫له‬‌‌Data Book‌‫ه‬‌‫كه‬‌‫دا‬.‌ ‫حاڵه‬‌‫تی‬‌‫پێنجه‬‌‫م‬‌:Multidimension From page 74 in the Data book:‌ :‫پێکدێت‬ ‫جیاوازانه‬ ‫شێوە‬ ‫لهم‬
  • 111.
    111 ‫وێنه‬‌‫ی‬‌)a‌(‫بریتیه‬‌‫له‬‌)semi-infinite plate‌(‫پلێتێكه‬‌‌‫پانییه‬‌‫كه‬‌‫ی‬‌‌‫زانراوه‬‌‌‫وه‬‌‫پرسیاره‬‌‫كه‬‌‌‫داوای‬‌ ‫دۆزینه‬‌‫وه‬‌‫ی‬‌‫پله‬‌‫ی‬‌‫گه‬‌‫رمی‬‌‫خاڵك‬‌‫ده‬‌‫كات‬‌‫دوریه‬‌‫كی‬‌‫زانراوی‬‌‫هه‬‌‌‫له‬‌‌‫بنه‬‌‫ی‬‌‫پلێته‬‌‫كه‬‌‫وه‬‌‌‫وه‬‌‫ده‬‌‫ڵت‬‌‫ده‬‌‫كه‬‌‫وێته‬‌‌ ‫ناوه‬‌‫ڕسته‬‌‫وه‬‌‌‫یان‬‌‫دورییه‬‌‫كی‬‌‫زانراو‬‌‫له‬‌‫ناوه‬‌‫ڕاسته‬‌‫وه‬‌.‌ ‫شیكاری‬‌‫به‬‌‫شی‬‫وه‬‌‫ك‬‌‫شیكاری‬‌infinite plate‌‌‫وایه‬‌‌ ‫شیكاری‬‌‫به‬‌‫شی‬‌‫وه‬‌‫ك‬‌‫شیكاری‬ ‌Semi-infinitesolid with convection boundary condition‌‌‌‫وایه‬‌‌ ‫وێنه‬‌‫ی‬‌)b‌(‫بریتیه‬‌‫له‬‌‌‌)infinite rectangular bar‌(‫درێژی‬‌‫دوالی‬‌‫زانراوه‬‌‌‫وه‬‌‫پرسیاره‬‌‫كه‬‌‌‫داوای‬‌ ‫دۆزینه‬‌‫وه‬‌‫ی‬‌‫پله‬‌‫ی‬‌‫گه‬‌‫رمی‬‌‫خاڵك‬‌‫ده‬‌‫كات‬‌‫ناوه‬‌‫ڕاستی‬‌‫جسمه‬‌‫كه‬‌‫دا‬‌.‌ ‫شیكاری‬‌‫به‬‌‫شی‬‌‌‫وه‬‌‫ك‬‌‫شیكاری‬‌infinite plate‌‌‫وایه‬‌‌ ‫شیكاری‬‌‫به‬‌‫شی‬‌‫وه‬‌‫ك‬‌‫شیكاری‬‌infinite plate‌‌‫وایه‬‌‌ ‌‫وێنه‬‌‫ی‬‌)c‌(‫بریتیه‬‌‫له‬‌‌‌)Semi-infinite rectangular bar‌(‫درێژی‬‌‫دوالی‬‌‫زانراوه‬‌‌‫وه‬‌‫پرسیاره‬‌‫كه‬‌‌ ‫داوای‬‌‫دۆزینه‬‌‫وه‬‌‫ی‬‌‫پله‬‌‫ی‬‌‫گه‬‌‫رمی‬‌‫خاڵك‬‌‫ده‬‌‫كات‬‌‫دوریه‬‌‫كی‬‌‫زانراوی‬‌‫له‬‌‌‫بنه‬‌‫ی‬‌‫پلێته‬‌‫كه‬‌‫وه‬‌‌‫وه‬‌‫ده‬‌‫ڵت‬‌‫ده‬‌‫كه‬‌‫وێته‬‌‌ ‫ناوه‬‌‫ڕسته‬‌‫وه‬‌‌‫یان‬‌‫دورییه‬‌‫كی‬‌‫زانراو‬‌‫له‬‌‫ناوه‬‌‫ڕاسته‬‌‫وه‬‌.‌ ‌
  • 112.
    112 ‫شیكاری‬‌‫به‬‌‫شی‬‌‌‫وه‬‌‫ك‬‌‫شیكاری‬‌infinite plate‌‌‫وایه‬‌‌ ‫شیكاری‬‌‫به‬‌‫شی‬‫وه‬‌‫ك‬‌‫شیكاری‬‌infinite plate‌‌‫وایه‬‌‌ ‫شیكاری‬‌‫به‬‌‫شی‬‌‫وه‬‌‫ك‬‌‫شیكاری‬ ‌Semi-infinitesolid with convection boundary condition‌‌‌‫وایه‬‌ ‫وێنه‬‌‫ی‬‌)d‌(‫بریتیه‬‌‫له‬‌‌‌)rectangular parallelepiped‌(‫درێژی‬‌‫دوالی‬‌‫زانراوه‬‌‌‫له‬‌‫گه‬‌‫ڵ‬‌‫به‬‌‫رزییه‬‌‫كه‬‌‫یدا‬‌ ‫وه‬‌‫پرسیاره‬‌‫كه‬‌‌‫داوای‬‌‫دۆزینه‬‌‫وه‬‌‫ی‬‌‫پله‬‌‫ی‬‌‫گه‬‌‫رمی‬‌‫خاڵك‬‌‫ده‬‌‫كات‬‌‫له‬‌‫جێگه‬‌‫یه‬‌‫كی‬‌‫دیاریكراوی‬‌‌‫جسمه‬‌‫كه‬‌‫دا‬‌‌.‌ ‫شیكاری‬‌‫به‬‌‫شی‬‌‌‫وه‬‌‫ك‬‌‫شیكاری‬‌infinite plate‌‌‫وایه‬‌‌ ‫شیكاری‬‌‫به‬‌‫شی‬‌‫وه‬‌‫ك‬‌‫شیكاری‬‌infinite plate‌‌‫وایه‬‌ ‫شیكاری‬‌‫به‬‌‫شی‬‌‌‌‫وه‬‌‫ك‬‌‫شیكاری‬‌infinite plate‌‌‫وایه‬‌‌ ‫وێنه‬‌‫ی‬‌)e‌(‫بریتیه‬‌‫له‬‌‌‌)Semi-infinite cylinder‌(‫تیره‬‌‫كه‬‌‫ی‬‌‫زانراوه‬‌‌‫وه‬‌‫پرسیاره‬‌‫كه‬‌‌‫داوای‬‌‫دۆزینه‬‌‫وه‬‌‫ی‬‌ ‫پله‬‌‫ی‬‌‫گه‬‌‫رمی‬‌‫خاڵێك‬‌‫ده‬‌‫كات‬‌‫له‬‌‌‫دوریه‬‌‫كی‬‌‫زانراوه‬‌‫وه‬‌‌‫له‬‌‌‫بنكه‬‌‫ی‬‌‫لوله‬‌‫كه‬‌‫كه‬‌‫وه‬‌‌‫وه‬‌‫ده‬‌‫ڵت‬‌‫ده‬‌‫كه‬‌‫وێته‬‌‌‫ناوه‬‌‫ڕسته‬‌‫وه‬‌‌ ‫یان‬‌‫دورییه‬‌‫كی‬‌‫زانراو‬‌‫له‬‌‫ناوه‬‌‫ڕاسته‬‌‫وه‬‌.‌ ‫شیكاری‬‌‫به‬‌‫شی‬‌‌‌‌‫وه‬‌‫ك‬‌‫شیكاری‬ Infinite solid (Long cylinder)‌‌‌‫وایه‬‌
  • 113.
    113 ‫شیكاری‬‌‫به‬‌‫شی‬‌‫وه‬‌‫ك‬‌‫شیكاری‬ ‌Semi-infinite solid withconvection boundary condition‌‌‌‫وایه‬‌ ‫وێنه‬‌‫ی‬‌)f‌(‫بریتیه‬‌‫له‬‌‌‌)short cylinder‌(‫تیره‬‌‫كه‬‌‫ی‬‌‫زانراوه‬‌‌‫له‬‌‫گه‬‌‫ڵ‬‌‫درێژییه‬‌‫كه‬‌‫یدا‬‌‫وه‬‌‫پرسیاره‬‌‫كه‬‌‌‫داوای‬‌ ‫دۆزینه‬‌‫وه‬‌‫ی‬‌‫پله‬‌‫ی‬‌‫گه‬‌‫رمی‬‌‫خاڵك‬‌‫ده‬‌‫كات‬‌‫دوریه‬‌‫كی‬‌‫زانراوی‬‌‫له‬‌‌‫بنه‬‌‫ی‬‌‫لوله‬‌‫كه‬‌‫كه‬‌‫وه‬‌‌‫وه‬‌‫ده‬‌‫ڵت‬‌‫ده‬‌‫كه‬‌‫وێته‬‌‌ ‫ناوه‬‌‫ڕسته‬‌‫وه‬‌‌‫یان‬‌‫دورییه‬‌‫كی‬‌‫زانراو‬‌‫له‬‌‫ناوه‬‌‫ڕاسته‬‌‫وه‬‌.‌ ‫شیكاری‬‌‫به‬‌‫شی‬‌‌‌‫وه‬‌‫ك‬‌‫شیكاری‬ Infinite solid (Long cylinder)‌‌‌‫وایه‬‌ ‫شیكاری‬‌‫به‬‌‫شی‬‌‌‫وه‬‌‫ك‬‌‫شیكاری‬‌infinite plate‌‌‫وایه‬‌.‌ ‌ ‌ ‌ Example: a cube of aluminum 10cm on each side is initially at a temperature of 300℃ and is immersed in a fluid at 100℃ . The heat transfer coefficient is 900W/ .℃. Calculate the temperature in the center of one face after 1min. Take , ℃ ‫نموون‬‫ه‬:‫شهشپاڵو‬‫ێ‬‫كى‬‫ئ‬‫ه‬‫ل‬‫ه‬‫منی‬‫ۆ‬‫م‬(10cm)‫ل‬‫ه‬‫س‬‫ه‬‫ر‬‫ه‬‫ه‬‫ر‬‫ال‬‫س‬‫ه‬‫ر‬‫ە‬‫تا‬‫ە‬‫ل‬‫ه‬‫پل‬‫ه‬‫ى‬‫گ‬‫ه‬‫رمی‬‫ێ‬‫كى‬(300℃)‫و‬ ‫نوقوم‬‫بوون‬‫را‬‫ێ‬‫ت‬‫ل‬‫ه‬‫شل‬‫ه‬‫ی‬‫ێ‬‫ك‬‫ل‬‫ه‬(100℃).‫هاوك‬‫ۆ‬‫لك‬‫ه‬‫ك‬‫ه‬‫ی‬‫ه‬‫گ‬‫ه‬‫رمى‬(900W/ .℃)‫گواستن‬‫ه‬‫و‬‫ە‬.
  • 114.
    114 ‫پل‬‫ه‬‫ى‬‫گ‬‫ه‬‫رمی‬‫ه‬‫ك‬‫ه‬‫بکه‬ ‫ههژمار‬‫ل‬‫ه‬‫ناو‬‫ە‬‫ند‬‫ە‬‫ك‬‫ه‬‫ى‬‫ی‬‫ه‬‫ك‬‫ڕ‬‫وو‬‫پاش‬1‫خول‬‫ه‬‫ك‬.‫وەریبگرە‬ , ℃ Given:2L=10cm=0. 1m =0.05m, initial temperature = = 300℃, fluid temperature = 100℃, heat transfer coefficient =h=900W/ . ℃, time= =1 min=60sec. ℃ Solution: From the chart of page 65 in the Data Book: ‫ل‬‫ە‬‫و‬‫ە‬‫ه‬‫ێڵ‬‫كبري‬‫ە‬‫ك‬‫ە‬‫ي‬‫الپ‬‫ەڕە‬٦٥‫ل‬‫ە‬‫كت‬‫ێ‬‫ج‬‫ە‬‫ك‬‫ە‬‫ي‬ ‫زاًیبري‬: ℃
  • 115.
    115 Example: a cubeof aluminum 12cm on each side is initially at a temperature of 400℃ and is suddenly immersed in a tank of oil maintained at 85℃ . The heat transfer coefficient is 1100W/ .℃. Calculate the temperature at 1cm far from the three faces after 2 minutes. Take ℃ ‫نموون‬‫ه‬:‫شهشپاڵو‬‫ێ‬‫كى‬‫ئ‬‫ه‬‫ل‬‫ه‬‫منی‬‫ۆ‬‫م‬‫الیهکی‬ ‫ههر‬(12cm)‫س‬‫ه‬‫ر‬‫ە‬‫تا‬‫ل‬‫ه‬‫پل‬‫ه‬‫ى‬‫گ‬‫ه‬‫رم‬‫ی‬(400℃)‫دایه‬‫و‬ ‫ل‬‫ه‬‫پ‬‫ڕ‬‫نوقوم‬‫بوو‬‫ل‬‫ه‬‫تانك‬‫ێ‬‫كى‬‫ڕۆ‬‫ن‬‫ماوەت‬‫ه‬‫و‬‫ە‬‫ل‬‫ه‬(85℃).‫هاوك‬‫ۆ‬‫لك‬‫ه‬‫ك‬‫ه‬‫ی‬‫ه‬‫گواستن‬‫ه‬‫و‬‫ە‬‫گ‬‫ه‬‫رمى‬ (1100W/ .℃)‫ە‬.‫پل‬‫ه‬‫ى‬‫گ‬‫ه‬‫رمی‬‫ه‬‫ك‬‫ه‬‫بکه‬ ‫ههژمار‬‫ل‬‫ه‬(1cm)‫دوور‬‫ل‬‫ه‬‫ههر‬‫س‬‫ێ‬‫ڕ‬‫و‬‫ەکهیهوە‬‫پاش‬2 ‫خول‬‫ه‬‫ك‬. Given: 2L=12cm=0. 12m =0.06m, initial temperature = = 400℃, fluid temperature = 85℃, heat transfer coefficient =h=1100W/ . ℃, x=0.01m from the surfaces=0.11m from the center, time= =2 min=120sec. ℃ ‫تێبینی‬‌‌:‫ئه‬‌‫گه‬‌‫ر‬‌‫پرسیاره‬‌‫كه‬‌‌‫داوای‬‌‫دۆزینه‬‌‫وه‬‌‫ی‬‌‫پله‬‌‫ی‬‌‫گه‬‌‫رمی‬‌‫كردبوو‬‌‫له‬‌‌‫دورییه‬‌‫كی‬‌‫زانراو‬‌‌‫له‬‌‌‫ڕووه‬‌‫كه‬‌‫یه‬‌‫وه‬‌‌ ‫واته‬‌‌‫له‬‌)surface‌(‫ه‬‌‫وه‬‌‌‫ئه‬‌‫وا‬‌‫ده‬‌‫بێت‬‌‫ئێمه‬‌‌‫ئه‬‌‫م‬‌‫دوورییه‬‌‌‫بگۆڕین‬‌‫به‬‌‫گوێره‬‌‫ی‬‌‫ناوه‬‌‫ڕاستی‬‌‫گۆیه‬‌‫كه‬‌‌.‫چونكه‬‌‌)x‌( ‫له‬‌‫ناوه‬‌‫ڕاسته‬‌‫وه‬‌‌‫پێوراوه‬‌. Solution: From the chart of page 65 in the Data Book:
  • 116.
    116 1cm from thesurface: ‫تێبینی‬‌‌:‫ئه‬‌‫گه‬‌‫ر‬‌‫پرسیاره‬‌‫كه‬‌‌‫داوای‬‌‫دۆزینه‬‌‫وه‬‌‫ی‬‌‫پله‬‌‫ی‬‌‫گه‬‌‫رمی‬‌‫كردبوو‬‌‫له‬‌‌‫دورییه‬‌‫كی‬‌‫زانراو‬‌‌‫له‬‌‌‫ڕووه‬‌‫كه‬‌‫یه‬‌‫وه‬‌‌ ‫واته‬‌‌‫له‬‌)surface‌(‫ه‬‌‫وه‬‌‌‫ئه‬‌‫وا‬‌‫ده‬‌‫بێت‬‌‫ئێمه‬‌‌‫ئه‬‌‫م‬‌‫دوورییه‬‌‌‫بگۆڕین‬‌‫به‬‌‫گوێره‬‌‫ی‬‌‫ناوه‬‌‫ڕاستی‬‌‫پلێته‬‌‫كه‬‌‌.‫چونكه‬‌‌)x‌( ‫له‬‌‫ناوه‬‌‫ڕاسته‬‌‫وه‬‌‌‫پێوراوه‬‌. L=0.06cm but x=0.06-0.01=0.05cm From the chart of page 66 in the Data Book: =0.45 0.45 0.45
  • 117.
    117 ℃ MODULE CONVECTION Convection Heat Transfer-Requirements ‫ڕاگوێزان‬ ‫پێداویستیى‬‫هکانی‬‫گهرمی‬‫گواستنهوەی‬‫ههڵگرتن‬ The heat transfer by convection requires a solid - fluid interface, a temperature difference between the solid surface and the surrounding fluid
  • 118.
    118 and a motionof the fluid. The process of heat transfer by convection would occur when there is a movement of macro-particles of the fluid in space from a region of higher temperature to lower temperature. ‫گواستن‬‫ه‬‫و‬‫ە‬‫ى‬‫گ‬‫ه‬‫رمى‬‫به‬‫ڕ‬‫اگو‬‫ێ‬‫زان‬‫نێوانهڕو‬ ‫به‬ ‫پێویستی‬(‫ڕەق‬-‫شلگاز‬)،‫جیاوازی‬‫ێ‬‫كى‬‫پل‬‫ه‬‫ى‬ ‫گ‬‫ه‬‫رمى‬‫ل‬‫ه‬‫ن‬‫ێ‬‫وان‬‫ڕ‬‫وو‬‫ە‬‫پت‬‫ه‬‫وو‬‫ە‬‫ك‬‫ه‬‫و‬‫شلگازەکهی‬‫چوارد‬‫ە‬‫ور‬‫ی‬‫و‬‫ە‬‫جوڵه‬‫ى‬‫شلگازە‬‫ك‬‫ه‬‫د‬‫ە‬‫ب‬‫ێ‬‫ت‬.‫پێڤاژۆی‬ ‫گواست‬‫ن‬‫هوەی‬‫گهرمى‬‫به‬‫ههڵگرتن‬‫ڕ‬‫وو‬‫د‬‫ە‬‫دات‬‫كات‬‫ێ‬‫ك‬‫جوڵه‬‫ى‬‫وردەکان‬ ‫تهنۆلکه‬‫ى‬‫شل‬‫ه‬‫ك‬‫ه‬‫ل‬‫ه‬‫ب‬‫ۆ‬‫ش‬‫ای‬‫دا‬ ‫ههبێت‬‫ل‬‫ه‬‫ناوچ‬‫ه‬‫یهکی‬‫پل‬‫ه‬‫ى‬‫گ‬‫ه‬‫رمى‬‫بۆ‬ ‫بهرزترەوە‬‫پل‬‫ه‬‫ى‬‫گ‬‫ه‬‫رمى‬‫نزم‬‫تر‬. Convection Heat Transfer Mechanism ً‫هیكبًیسه‬‫گەرهی‬ ‫گىاضتٌەوەی‬‫هەڵگرتي‬ Let us imagine a heated solid surface, say a plane wall at a temperature Tw placed in an atmosphere at temperature T , Figure 2.1 Since all real fluids are viscous, the fluid particles adjacent to the solid surface will stick to the surface. The fluid particle at A, which is at a lower temperature, will receive heat energy from the plate by conduction. ‫گەرهکراو‬ ‫ڕەقی‬ ‫ڕويەکی‬ ‫خۆهبى‬ ‫چبوی‬ ‫پێع‬ ‫ثیهێٌیٌە‬ ‫ئێوە‬ ‫ثب‬،‫ثڵێ‬‫تەخت‬ ً‫ديىارێك‬‫ل‬‫ە‬‫پل‬‫ە‬‫ي‬ ‫گ‬‫ە‬ً‫ره‬Tw‫دا‬‫داًرا‬‫ل‬‫ە‬‫ك‬‫ە‬‫غ‬‫ێ‬‫ك‬‫ذا‬‫ل‬‫ە‬‫پل‬‫ە‬‫ي‬‫گ‬‫ە‬ً‫ره‬T،‫وێٌەی‬( .2.1)‫لەثەرئەوەی‬‫ه‬‫ە‬‫هىو‬‫غلگبزە‬ ‫ڕ‬‫اضت‬‫ە‬ٌ‫قی‬‫ەکبى‬،‫لیٌجي‬‫غلگبزەکە‬ ًً‫تەًۆچكەكب‬‫ثۆ‬ ‫دەثي‬ ‫هبوضێ‬‫ڕ‬‫وو‬‫ە‬‫پت‬‫ە‬‫و‬‫ەکە‬‫و‬‫ثەڕ‬ ‫دەًىضێي‬‫وو‬‫ە‬‫ك‬‫ەوە‬. ‫غلگبزەکە‬ ًً‫تەًۆچكەكب‬‫ل‬‫ە‬A‫دا‬،‫ك‬‫ە‬‫ل‬‫ە‬‫پل‬‫ە‬‫ي‬‫گ‬‫ە‬‫ًسهتر‬ ً‫ره‬‫دايە‬،‫وز‬‫ە‬‫ي‬‫گ‬‫ە‬ً‫ره‬‫و‬‫ە‬‫ر‬‫ثگر‬‫ێ‬‫ت‬ ‫ل‬‫ە‬‫پلێتەکە‬‫وە‬‫ثەگ‬‫ە‬‫يبًذى‬. The internal energy of the particle would Increase and when the particle moves away from the solid surface (wall or plate) and collides with
  • 119.
    119 another fluid particleat B which is at the ambient temperature, it will transfer a part of its stored energy to B. And, the temperature of the fluid particle at B would increase. In this way, the heat energy is transferred from the heated plate to the surrounding fluid. Therefore in the process of heat transfer by convection involves a combined action of heat conduction, energy storage and transfer of energy by mixing motion of fluid particles. ً‫ًبوەکی‬ ‫وزەي‬‫ت‬‫ە‬ً‫ۆ‬‫چك‬‫ە‬‫ك‬‫ە‬‫زيبد‬‫د‬‫ە‬‫كبت‬‫(ديىار‬ ‫ڕەقەکەوە‬ ‫ڕوە‬ ‫لە‬ ‫دەجىڵێت‬ ‫تەًۆلکەکە‬ ‫کبتێک‬ ‫وە‬ )‫پلێت‬ ‫يبى‬‫لە‬ ‫غلگبزەکەدادا‬ ‫تری‬ ‫تەًۆلکەيەکی‬ ‫ثە‬ ‫دەکێػێت‬ ‫خۆی‬ ‫وە‬B‫گەرهی‬ ‫پلەی‬ ‫لە‬ ‫کە‬ ‫دا‬ ‫ثۆ‬ ‫دەگىازێتەوە‬ ‫خەزًکراوەکەی‬ ‫وزە‬ ‫ثەغێکی‬ ،‫دەوروثەردايە‬B‫لە‬ ‫غلگبزەکە‬ ‫گەرهی‬ ‫پلەی‬ ‫وە‬B‫دا‬ .‫دەکبت‬ ‫زيبد‬‫غلگبزەکەی‬ ‫ثۆ‬ ‫گەرهکراوەکەوە‬ ‫پلێتە‬ ‫لە‬ ‫دەگىازرێتەوە‬ ‫گەرهی‬ ‫وزەی‬ ،‫ڕێگەيەدا‬ ‫لەم‬ ،‫هەڵگرتٌذا‬ ‫ثە‬ ‫گەرهی‬ ‫گىاضتٌەوەی‬ ‫پێڤبژۆی‬ ‫لە‬ ‫لەثەرئەوە‬ .‫چىاردەوری‬‫گەيبًذًی‬ ‫کۆکراوەی‬ ‫کبرداری‬ .‫غلگبزەکە‬ ‫تەًۆلکەکبًی‬ ‫تێکەڵکردًی‬ ‫جىڵەی‬ ‫ثە‬ ‫وزە‬ ‫گىاضتٌەوەی‬ ‫و‬ ‫وزە‬ ‫خەزًکردًی‬ ،‫گەرهی‬ Figure Principle of heat transfer by convection ‫وێنهی‬‫ههڵگهتن‬ ‫به‬ ‫گهرمی‬ ‫گواستنهوەی‬ ‫بنهمای‬ Free and Forced Convection ‫ثەهێسکراو‬ ‫و‬ ‫ضەرثەضت‬ ‫هەڵگرتٌی‬ When the mixing motion of the fluid particles is the result of the density
  • 120.
    120 difference caused bya temperature gradient, the process of heat transfer is called natural or free convection. When the mixing motion is created by an artificial means (by some external agent), the process of heat transfer is called forced convection, it is essential to have knowledge of the characteristics of fluid flow. Since the effectiveness of heat transfer by convection depends largely on the mixing ‫كات‬‫ێک‬‫جوڵهى‬‫ت‬‫ێ‬‫ك‬‫هڵ‬‫كردن‬‫ی‬‫ت‬‫ه‬‫ن‬‫ۆ‬‫چك‬‫ه‬‫ك‬‫ان‬‫ى‬‫شل‬‫بریتیهله‬ ‫گازاکه‬‫ئ‬‫ه‬‫نجام‬‫ی‬‫جیاوازى‬‫چ‬‫ڕ‬‫ى‬‫که‬ ‫بوەته‬‫گرێگرێبونی‬ ‫هۆی‬‫پل‬‫ه‬‫ى‬‫گ‬‫ه‬،‫رمى‬‫پێڤاژۆی‬‫گهرمى‬ ‫گواستنهوەی‬‫سروشتی‬ ‫ههڵگرتنی‬ ‫پێیدەوترێت‬ ‫یان‬‫سهربهست‬ ‫ههڵگرتنی‬.‫كات‬‫ێ‬‫ك‬‫ك‬‫ه‬‫جوڵه‬‫ی‬‫ت‬‫ێ‬‫ك‬‫هڵ‬‫كردن‬‫هکه‬‫به‬‫ڕێ‬‫گای‬‫ێ‬‫كى‬‫د‬‫ە‬‫ستكرد‬(‫بهه‬‫ه‬‫ند‬‫ێ‬‫ك‬ ‫بریكارى‬‫د‬‫ە‬‫ر‬‫ەکی‬)‫دروست‬‫دەکرێت‬،‫پێڤاژۆی‬‫گهرمى‬ ‫گواستنهوەی‬‫ڕ‬ ‫پێیدەوترێت‬‫اگو‬‫ێ‬‫زانى‬ ‫بههێزکراو‬،‫ئ‬‫ه‬‫و‬‫ە‬‫گرنگ‬‫ه‬‫ب‬‫ۆ‬‫زانین‬‫ی‬‫تایب‬‫ه‬‫تم‬‫ه‬‫ندی‬‫ه‬‫ك‬‫انی‬‫ڕۆ‬‫یشتنى‬‫شلگاز‬.‫کاریگهری‬ ‫لهبهرئهوە‬ .‫تێکهلکردن‬ ‫لهسهر‬ ‫بهندە‬ ‫بهزۆری‬ ‫بهههڵگرتن‬ ‫گهرمی‬ ‫گواستنهوەی‬ Basic Difference between Laminar and Turbulent Flow ً‫جیبوازي‬ٌ‫ث‬‫ەڕە‬ً‫ت‬‫ل‬‫ە‬ً‫ێ‬‫ىاى‬‫ڕۆ‬ًٌ‫يػت‬‫ڕۆيػتٌی‬ ‫و‬ ‫خػۆک‬‫غێىاو‬ In laminar or streamline flow, the fluid particles move in layers such that each fluid particle follows a smooth and continuous path. There is no macroscopic mixing of fluid particles between successive layers, untill the fluid will turn around a comer or an obstacle is to be crossed. ‫ل‬‫خػۆک‬ ‫ڕۆيػتٌی‬ ‫ە‬‫يبى‬‫لە‬‫هێڵەجۆگەدا‬ ‫ڕۆيػتٌی‬،‫غلگبزەکە‬ ًً‫تەًۆچكەكب‬‫د‬‫ە‬‫جىل‬‫ێ‬‫ي‬‫ثەغێىەی‬
  • 121.
    121 ‫چیي‬‫چیي‬‫ئەوەی‬ ‫وەک‬ ‫هەر‬‫ك‬‫ە‬‫ه‬‫ە‬‫ر‬‫غلگبزەکە‬‫تەًۆلکەيەکی‬‫و‬ ‫ثەردەوام‬ ‫ڕێڕەوێکی‬ ‫غىێٌی‬‫لىوش‬ ‫ورديلەی‬ .‫کەوتىە‬‫ت‬‫ە‬ً‫ۆ‬‫چك‬‫غلگبزەکە‬ ‫ەکبًی‬‫ت‬‫ێ‬‫ك‬‫ًیە‬ ‫ەڵجىًیبى‬‫ل‬‫ە‬ً‫ێ‬‫ىاى‬ٌ‫چی‬‫ە‬‫ي‬‫ە‬‫ك‬‫ل‬‫ە‬‫دواي‬‫ي‬‫ە‬‫ك‬‫ەکبًذا‬،‫ه‬‫ە‬‫تب‬ ‫ئ‬‫ە‬‫و‬‫كبت‬‫ە‬‫ي‬‫پێچذەکبتەوە‬ ‫غلگبزەکە‬‫ضىچێکذا‬ ‫ثەدەوری‬‫يبى‬‫ث‬‫ە‬‫رث‬‫ە‬‫ضت‬‫ێ‬‫ك‬‫ە‬‫تب‬‫ثپ‬‫ەڕ‬‫ر‬‫ێ‬‫ت‬‫ە‬‫و‬‫ە‬. If a line dependent fluctuating motion is observed in directions which are parallel and transverse to the main flow, i.e., there is a random macroscopic mixing of fluid particles across successive layers of fluid flow, the motion of the fluid is called' turbulent flow'. The path of a fluid particle would then be zigzag and irregular, but on a statistical basis, the overall motion of the macro-particles would be regular and predictable. ‫ئ‬‫ە‬‫گ‬‫ە‬‫ر‬‫هێڵێک‬‫پػت‬‫ث‬‫ە‬‫ضتىو‬‫ثە‬‫جىڵە‬‫هەڵجەزوداثەزکردى‬‫ت‬‫ێ‬ًٌ‫جی‬‫ثكر‬‫ێ‬‫ت‬‫ل‬‫ە‬‫ئب‬‫ڕ‬‫اضت‬‫ەکبًذا‬‫ك‬‫ە‬‫ت‬‫ە‬‫ريت‬‫و‬ ‫ئبضۆی‬‫ث‬‫ۆ‬‫ڕۆ‬ٌ‫يػت‬‫ە‬‫ض‬‫ە‬‫ر‬‫ە‬‫ك‬‫یەکە‬‫به‬ ‫ههیه‬ ‫تێکهڵبونیان‬ ‫وردە‬ ‫شلگازەکه‬ ‫تهنۆلکهکانی‬ ،‫واتایهکیتر‬ ‫به‬ ، ،‫شلگازەکه‬ ‫رۆیشتنی‬ ‫چینهکانی‬ ‫ستونی‬‫ڕێچکهی‬ .‫شێواو‬ ‫رۆیشتنی‬ ‫پێیدەوترێت‬ ‫شلگازەکه‬ ‫جوڵهی‬ ‫گشتگیری‬ ‫جوڵهی‬ ،‫وەستاوەکان‬ ‫بنهما‬ ‫لهسهر‬ ‫بهاڵم‬ ،‫دەبێت‬ ‫ناڕێک‬ ‫و‬ ‫زیگزاگ‬ ‫شلگازێک‬ ‫تهنۆلکهی‬ . ‫دەبێت‬ ‫چاوەڕوانکراو‬ ‫و‬ ‫ڕێک‬ ‫وردەکان‬ ‫تهنۆلکه‬ Formation of a Boundary Layer ‫دروضت‬ًً‫كرد‬ٌ‫چی‬‫ێ‬ً‫ك‬‫ضٌىور‬ When a fluid flows over a surface, irrespective of whether the flow is laminar or turbulent, the fluid particles adjacent to the solid surface will always stick to it and their velocity at the solid surface will be zero, because of the viscosity of the fluid. Due to the shearing action of one fluid layer over the adjacent layer moving at the faster rate, there would be a velocity gradient in a direction normal to the flow. ‫كبت‬‫ێ‬‫ك‬‫دەڕوات‬ ‫ڕويەکذا‬ ‫ثەضەر‬ ‫غلگبزێک‬،‫ثەوەوە‬ ‫هەثێت‬ ‫پەيىەًذی‬ ‫ثەثێئەوەی‬‫داخىا‬ ‫ڕۆ‬ٌ‫يػت‬‫ە‬‫ك‬‫خػۆکە‬ ‫ە‬‫ي‬‫بى‬‫غێىاو‬‫ە‬،‫غلگبزەکە‬ ًً‫تەًۆچكەكب‬‫ڕ‬ ‫ثۆ‬ ‫دەثي‬ ‫هبوضێ‬‫وو‬‫ە‬‫پت‬‫ە‬‫و‬‫و‬ ‫ەکە‬‫دەًىضێي‬ ‫ثەڕ‬‫وو‬‫ە‬‫ك‬‫ەوە‬.‫وە‬‫خ‬‫ێ‬‫رايییبى‬‫ل‬‫ە‬‫ڕ‬‫وو‬‫ە‬‫پت‬‫ە‬‫و‬‫ەکەدا‬‫د‬‫ە‬‫ث‬‫ێ‬،‫ضفر‬ ‫ت‬‫ث‬‫ە‬‫ه‬‫ۆ‬‫ي‬‫غلگبزەکەوە‬ ‫لیٌجی‬.‫ث‬‫ە‬‫ه‬‫ۆی‬‫كبري‬ ‫ترازاًی‬‫ي‬‫ە‬‫ك‬ًٌ‫چی‬‫غلگبزەکە‬‫ثە‬‫ض‬‫ە‬‫ر‬ٌ‫چی‬‫ەکەی‬‫دراوش‬‫ێیدا‬‫خێراترە‬ ‫ڕێژەيەکی‬ ‫ثە‬ ‫جىڵەکەی‬ ‫کە‬،‫ل‬‫ە‬‫و‬‫ێ‬ ‫خ‬‫ێ‬‫راي‬‫ێکی‬‫پلەپلە‬‫د‬‫ە‬‫ث‬‫ێ‬‫ت‬‫ثە‬.‫رۆيػتٌەکە‬ ‫ثۆ‬ ‫ئەضتىى‬
  • 122.
    122 Figure 2.2: sketchof a boundary layer on a wall ‫ه‬‫ێ‬ً‫لكبري‬ٌ‫چی‬‫ێ‬ً‫ك‬‫ضٌىور‬‫ل‬‫ە‬‫ض‬‫ە‬‫ر‬‫ديىار‬‫ێ‬‫ك‬ Let us consider a two-dimensional flow of a real fluid about a solid (slender in cross-section) as shown in Figure 2.2. Detailed investigations have revealed that the velocity of the fluid particles at the surface of the solid is zero. The transition from zero velocity at the surface of the solid to the free stream velocity at some distance away from the solid surface in the V- direction (normal to the direction of flow) takes place in a very thin layer called 'momentum or hydrodynamic boundary layer'. The flow field can thus be divided in two regions: ‫ثب‬‫ڕۆ‬ ‫ئێوە‬ٌ‫يػت‬‫ێ‬‫ك‬‫ڕەهەًذی‬ ‫دو‬ ‫ی‬‫غل‬‫گبزێ‬ً‫ك‬‫ڕ‬‫اضت‬‫ە‬ٌ‫قی‬‫ە‬‫دا‬‫د‬‫ە‬ً‫ێ‬‫یي‬‫ث‬‫ە‬‫ًسيکی‬‫پت‬‫ە‬‫و‬(‫ثبريك‬‫ل‬‫ە‬ ‫پبًەثڕگەدا‬)‫ه‬‫ە‬‫رو‬‫ە‬‫ك‬ً‫ًیػب‬‫ذراوە‬‫ل‬‫ە‬‫وێٌەی‬(2.2).‫دا‬ٌ‫پػكٌی‬‫ە‬‫در‬‫ێ‬‫ژ‬‫ە‬‫پ‬‫دەريبًخطتىە‬ ‫ێذراوەکبى‬‫ك‬‫ە‬ ‫خ‬ ‫غلگبزەکە‬ ًً‫تەًۆچكەكب‬‫ێ‬‫رايی‬‫ە‬‫ك‬‫ەيبى‬‫ضفر‬‫ە‬‫ل‬‫ەضەر‬‫ڕ‬‫وو‬‫ە‬‫پت‬‫ە‬‫و‬‫ەکە‬.‫ت‬‫ێ‬‫پ‬‫ەڕ‬ٌ‫ي‬‫ە‬‫ك‬‫ە‬‫ل‬‫ە‬‫خ‬‫ێ‬ً‫راي‬‫ضفر‬‫دا‬‫ل‬‫ەضەر‬ ‫ڕ‬‫وو‬‫ە‬‫ي‬‫پت‬‫ە‬‫و‬‫ئبڕاضتەی‬ ‫ثە‬ ‫ەکە‬ V ‫ڕودەدات‬ ‫تەًکذا‬ ‫زۆر‬ ‫چیٌێکی‬ ‫لە‬ )‫ڕۆيػتٌەکە‬ ‫ئبڕاضتەی‬ ‫ثۆ‬ ‫(ئەضتىى‬ .‫ئبوەثساوتي‬ ‫ضٌىری‬ ‫جیٌی‬ ‫يبى‬ ‫تەوژم‬ ‫دەوترێت‬ ‫پێی‬‫دەتىاًرێت‬ ‫ڕۆيػتٌەکە‬ ‫ثىاری‬ ‫ثەهػێىەيە‬ :‫ڕژێن‬ ‫دو‬ ‫ثۆ‬ ‫داثەغجکرێت‬
  • 123.
    123 ( i) Avery thin layer in the vicinity 0, a velocity gradient normal to the direction of flow, the velocity gradient du/dy being large. In this thin region, even a very small Viscosity  of the fluid exerts a substantial Influence and the shearing stress    du/dy may assume large values. The thickness of the boundary layer is very small and decreases with decreasing viscosity. ( i)‫چینى‬‫ز‬‫ۆ‬‫ر‬‫باریك‬‫ل‬‫ئهستونه‬ ‫پلهپله‬ ‫خێراییهکی‬ ،‫سفر‬ ‫هنزیک‬‫ب‬‫ۆ‬‫ئا‬‫ڕ‬‫است‬‫ه‬‫ى‬‫ڕۆ‬‫یشتن‬‫هکه‬،‫خێراییهکی‬ ‫پلهپلهییهکه‬(du/dy)‫زل‬‫دەبێت‬.‫ل‬‫ه‬‫م‬‫ناوچ‬‫ه‬‫باریك‬‫هدا‬،‫ت‬‫ه‬‫نان‬‫ه‬‫ت‬‫لینجی‬‫ز‬‫ۆ‬‫ر‬‫بچووكى‬‫شل‬‫ه‬‫ك‬‫ه‬ ‫كاریگ‬‫ه‬‫ری‬‫ێ‬‫كى‬‫گرنگ‬‫ك‬‫ۆ‬‫شش‬‫د‬‫ە‬‫كات‬‫و‬‫ە‬‫فشار‬‫ی‬‫ترازان‬  ‫ل‬‫ه‬‫وان‬‫ه‬‫ی‬‫ه‬‫وا‬‫دا‬‫بن‬‫ێ‬‫نرخى‬ ‫ت‬ ‫زل‬‫بێت‬.‫ئهستورى‬‫چینى‬‫سنوور‬‫ەکه‬‫ز‬‫ۆ‬‫ر‬‫بچووك‬‫ه‬‫و‬‫ك‬‫ه‬‫م‬‫دەکات‬‫ل‬‫ه‬‫گ‬‫هڵ‬‫ك‬‫ه‬‫م‬‫بوون‬‫ه‬‫و‬‫ەی‬‫لینجی‬. (ii) In the remaining region, no such large velocity gradients exist and the Influence of viscosity is unimportant. The flow can be considered frictionless and potential. (ii)‫له‬‫ناوچ‬‫هی‬‫مان‬‫ه‬‫و‬‫ەدا‬،‫خ‬‫ێ‬‫رایي‬‫پلهپلهبوی‬‫ئ‬‫ه‬‫وها‬‫زل‬‫نیه‬ ‫بونی‬‫و‬‫كاریگ‬‫ه‬‫ری‬‫ه‬‫ك‬‫ه‬‫ى‬‫لینجی‬ ‫ناگرنگ‬‫ه‬.‫ڕۆ‬‫یشتن‬‫ه‬‫ك‬‫ه‬‫د‬‫ە‬‫توان‬‫ێ‬‫ت‬‫وانرێت‬‫دا‬‫بن‬‫ێ‬‫ر‬‫ێ‬‫ت‬‫ب‬‫و‬ ‫بێلێخشان‬ ‫ه‬‫مات‬‫و‬‫شاراو‬‫ە‬.