MASS
AND
MOMENTUM
Momentum, product of the mass of a
particle and its velocity. Momentum is
a vector quantity; i.e., it has both
magnitude and direction. Isaac Newton’s
second law of motion states that the time
rate of change of momentum is equal to
the force acting on the particle.
Linear Momentum
Linear momentum is defined as the
product of a system’s mass
multiplied by its velocity:
p = mv
The scientific definition of linear momentum
is consistent with most people’s intuitive
understanding of momentum: a large, fast-
moving object has greater momentum than
a smaller, slower object. Linear
momentum is defined as the product of a
system’s mass multiplied by its velocity. In
symbols, linear momentum is expressed
as p = mv.
Momentum is directly proportional to the
object’s mass and also its velocity. Thus the
greater an object’s mass or the greater its
velocity, the greater its momentum.
Momentum p is a vector having the same
direction as the velocity v. The SI unit for
momentum is kg · m/s.
Example 1:
Calculate the momentum of a 100-kg
football player running at 8.00 m/s.
Given:
Mass: 100 kg
Velocity: 8.00m/s
p = mv
p =( 100kg) (8.00m/s)
p = 800kg ∙ 𝑚/𝑠
Example 2:
What is the momentum
of a bowling ball with
mass 5kg and
velocity 10m/s?
Momentum describes an
object’s motion.
Linear momentum of an object of mass
(m) moving with a velocity (v) is defined
as the product of the mass and velocity.
Momentum is denoted by the symbol
𝒑 . 𝑝 is the tendency of a moving
particle/system to continue moving and
the difficulty it encounters in slowing
down to rest. A common unit of this
vector quantity is kilogram meter per
second (kg•m/s).
𝑝 = m x 𝑣
momentum = mass x velocity
Example 3. 0.5-kg ball moves at 2 m/s. Then the ball is hit with
force F opposite to the ball direction, so the ball speed is changed
to 6 m/s. The ball in contact with a hitter for 0.01 second, what is
the change in momentum of the ball.
Mass of ball (m) = 0.5 kg
Initial velocity (𝑣𝑖) = 2 m/s
Final velocity (𝑣𝑓) = -6 m/s
Time interval (t) = 0.01 second
Unknown: The change in
momentum
Solution :
∆p = m(𝑣𝑓) – m(𝑣𝑖) = m (𝑣𝑓–𝑣𝑖 )
∆p = (0.5 kg)(-6 m/s – 2 m/s)
∆p = (0.5 kg)(-8m/s)
∆p = -4 kg ▪m/s
Example 4.
The parking brake on a 1200kg
automobile has broken, and the
vehicle has reached a momentum
of 7800 kg▪m/s. what is the velocity
of the vehicle?
Linear momentum is a vector quantity
whose direction is the same as that of
velocity (𝑣). It is sometimes referred to
as inertia of a body in motion.
A change in momentum takes
force and time.
Now, consider a system acted upon by a force F .
Momentum is closely related to force, in fact, when
Newton expressed mathematically his second law of
motion, the force F will produce an acceleration
(a), he wrote it not as F = ma, but in this form:
𝑭𝒐𝒓𝒄𝒆 =
𝒄𝒉𝒂𝒏𝒈𝒆 𝒊𝒏 𝒎𝒐𝒎𝒆𝒏𝒕𝒖𝒎
𝒕𝒊𝒎𝒆 𝒊𝒏𝒕𝒆𝒓𝒗𝒂𝒍
Impulse momentum Theorem
𝐹∆t =∆ 𝑝 or
𝐹∆t =∆ 𝑝 = m∆𝑣𝑓 - m∆𝑣𝑖
The expression 𝐹∆t =∆ 𝑝 is called the
impulse-momentum theorem. The term on
the left side of the equation, 𝐹∆t is called
impulse of the force F for the time interval t.
We can see that impulse equals the change
in momentum. Impulse is an impelling force
that acts suddenly and produces motion. A
common unit is Newton second (Ns).
Example 5:
A 0.25kg ball was strucked by a baseball bat
from rest up to a speed of 35 m/s the ball was
in contact the bat for 0.02 seconds.
a.What is the change in momentum of the
ball?
b.What was the impulse exerted on the ball?
c.Calculate the average speed?
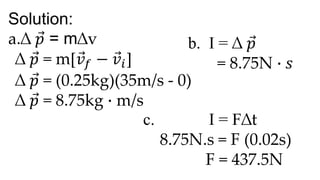
Solution:
a.∆ 𝑝 = m∆v
∆ 𝑝 = m[𝑣𝑓 − 𝑣𝑖]
∆ 𝑝 = (0.25kg)(35m/s - 0)
∆ 𝑝 = 8.75kg ∙ m/s
b. I = ∆ 𝑝
= 8.75N ∙ 𝑠
c. I = F∆t
8.75N.s = F (0.02s)
F = 437.5N
Example 6:
A 0.25kg tennis ball moves east at a
speed of 50m/s and strikes a wall. The
ball bounces at speed of (-50m/s). the
contact time between the wall and the ball
was 0.015 seconds. What average force
was exerted by the wall on the ball?
Identify the given:
Mass: 0.25kg
Final velocity:-50m/s
Initial velocity: 50m/s
Time: 0.015s
Conservation of Momentum
In a closed and isolated system, the total momentum of
the objects before a collision is equal to the total
momentum of the objects after the collision.
𝑃𝑖 =𝑃𝑓
𝑃𝐴 + 𝑃𝐵= 𝑃𝐴
′
+ 𝑃𝐵
′
𝑚𝐴𝑣𝐴 + 𝑚𝐵𝑣𝐵=𝑚𝐴𝑣𝐴′ + 𝑚𝐵𝑣𝐵′
0 = 𝑚𝐴𝑣𝐴′ + 𝑚𝐵𝑣𝐵′
-𝑚𝐴𝑣𝐴′= 𝑚𝐵𝑣𝐵′
Example 7: Two ice skaters, Alice and Bob,
are initially at rest on an ice rink. Alice has
a mass of 60 kg, and Bob has a mass of 80
kg. Alice pushes Bob, giving him a velocity
of 4 m/s to the right. What is Alice's
velocity after the push, assuming there is
no external friction?
Initial Momentum = Final Momentum
(0 kg) * (Alice's initial velocity) + (0 kg) * (Bob's initial velocity) =
(60 kg) * (Alice's final velocity) + (80 kg) * (Bob's final velocity)
(0) + (0) = (60 kg) * (Alice's final velocity) + (80 kg) * (4 m/s)
0 = 60 kg * (Alice's final velocity) + 320 kg*m/s
60 kg * (Alice's final velocity) = -320 kg*m/s
Alice's final velocity = -320 kg*m/s / 60
kg = -5.33 m/s (rounded to two decimal
places) So, Alice's velocity after the push
is approximately -5.33 m/s to the left.
Example 8: A 50 kg mass
initially at rest explodes into
two fragments. The 30 kg
fragment moves west at
40m/s. what is the velocity
of the second fragment?

grade 12 momentum.pptx

  • 1.
  • 2.
    Momentum, product ofthe mass of a particle and its velocity. Momentum is a vector quantity; i.e., it has both magnitude and direction. Isaac Newton’s second law of motion states that the time rate of change of momentum is equal to the force acting on the particle.
  • 3.
    Linear Momentum Linear momentumis defined as the product of a system’s mass multiplied by its velocity: p = mv
  • 4.
    The scientific definitionof linear momentum is consistent with most people’s intuitive understanding of momentum: a large, fast- moving object has greater momentum than a smaller, slower object. Linear momentum is defined as the product of a system’s mass multiplied by its velocity. In symbols, linear momentum is expressed as p = mv.
  • 5.
    Momentum is directlyproportional to the object’s mass and also its velocity. Thus the greater an object’s mass or the greater its velocity, the greater its momentum. Momentum p is a vector having the same direction as the velocity v. The SI unit for momentum is kg · m/s.
  • 6.
    Example 1: Calculate themomentum of a 100-kg football player running at 8.00 m/s. Given: Mass: 100 kg Velocity: 8.00m/s p = mv p =( 100kg) (8.00m/s) p = 800kg ∙ 𝑚/𝑠
  • 7.
    Example 2: What isthe momentum of a bowling ball with mass 5kg and velocity 10m/s?
  • 8.
    Momentum describes an object’smotion. Linear momentum of an object of mass (m) moving with a velocity (v) is defined as the product of the mass and velocity.
  • 9.
    Momentum is denotedby the symbol 𝒑 . 𝑝 is the tendency of a moving particle/system to continue moving and the difficulty it encounters in slowing down to rest. A common unit of this vector quantity is kilogram meter per second (kg•m/s).
  • 10.
    𝑝 = mx 𝑣 momentum = mass x velocity
  • 11.
    Example 3. 0.5-kgball moves at 2 m/s. Then the ball is hit with force F opposite to the ball direction, so the ball speed is changed to 6 m/s. The ball in contact with a hitter for 0.01 second, what is the change in momentum of the ball. Mass of ball (m) = 0.5 kg Initial velocity (𝑣𝑖) = 2 m/s Final velocity (𝑣𝑓) = -6 m/s Time interval (t) = 0.01 second Unknown: The change in momentum Solution : ∆p = m(𝑣𝑓) – m(𝑣𝑖) = m (𝑣𝑓–𝑣𝑖 ) ∆p = (0.5 kg)(-6 m/s – 2 m/s) ∆p = (0.5 kg)(-8m/s) ∆p = -4 kg ▪m/s
  • 12.
    Example 4. The parkingbrake on a 1200kg automobile has broken, and the vehicle has reached a momentum of 7800 kg▪m/s. what is the velocity of the vehicle?
  • 13.
    Linear momentum isa vector quantity whose direction is the same as that of velocity (𝑣). It is sometimes referred to as inertia of a body in motion.
  • 14.
    A change inmomentum takes force and time. Now, consider a system acted upon by a force F . Momentum is closely related to force, in fact, when Newton expressed mathematically his second law of motion, the force F will produce an acceleration (a), he wrote it not as F = ma, but in this form: 𝑭𝒐𝒓𝒄𝒆 = 𝒄𝒉𝒂𝒏𝒈𝒆 𝒊𝒏 𝒎𝒐𝒎𝒆𝒏𝒕𝒖𝒎 𝒕𝒊𝒎𝒆 𝒊𝒏𝒕𝒆𝒓𝒗𝒂𝒍
  • 15.
    Impulse momentum Theorem 𝐹∆t=∆ 𝑝 or 𝐹∆t =∆ 𝑝 = m∆𝑣𝑓 - m∆𝑣𝑖
  • 16.
    The expression 𝐹∆t=∆ 𝑝 is called the impulse-momentum theorem. The term on the left side of the equation, 𝐹∆t is called impulse of the force F for the time interval t. We can see that impulse equals the change in momentum. Impulse is an impelling force that acts suddenly and produces motion. A common unit is Newton second (Ns).
  • 17.
    Example 5: A 0.25kgball was strucked by a baseball bat from rest up to a speed of 35 m/s the ball was in contact the bat for 0.02 seconds. a.What is the change in momentum of the ball? b.What was the impulse exerted on the ball? c.Calculate the average speed?
  • 18.
    Solution: a.∆ 𝑝 =m∆v ∆ 𝑝 = m[𝑣𝑓 − 𝑣𝑖] ∆ 𝑝 = (0.25kg)(35m/s - 0) ∆ 𝑝 = 8.75kg ∙ m/s b. I = ∆ 𝑝 = 8.75N ∙ 𝑠 c. I = F∆t 8.75N.s = F (0.02s) F = 437.5N
  • 19.
    Example 6: A 0.25kgtennis ball moves east at a speed of 50m/s and strikes a wall. The ball bounces at speed of (-50m/s). the contact time between the wall and the ball was 0.015 seconds. What average force was exerted by the wall on the ball?
  • 20.
    Identify the given: Mass:0.25kg Final velocity:-50m/s Initial velocity: 50m/s Time: 0.015s
  • 21.
    Conservation of Momentum Ina closed and isolated system, the total momentum of the objects before a collision is equal to the total momentum of the objects after the collision. 𝑃𝑖 =𝑃𝑓 𝑃𝐴 + 𝑃𝐵= 𝑃𝐴 ′ + 𝑃𝐵 ′ 𝑚𝐴𝑣𝐴 + 𝑚𝐵𝑣𝐵=𝑚𝐴𝑣𝐴′ + 𝑚𝐵𝑣𝐵′ 0 = 𝑚𝐴𝑣𝐴′ + 𝑚𝐵𝑣𝐵′ -𝑚𝐴𝑣𝐴′= 𝑚𝐵𝑣𝐵′
  • 22.
    Example 7: Twoice skaters, Alice and Bob, are initially at rest on an ice rink. Alice has a mass of 60 kg, and Bob has a mass of 80 kg. Alice pushes Bob, giving him a velocity of 4 m/s to the right. What is Alice's velocity after the push, assuming there is no external friction?
  • 23.
    Initial Momentum =Final Momentum (0 kg) * (Alice's initial velocity) + (0 kg) * (Bob's initial velocity) = (60 kg) * (Alice's final velocity) + (80 kg) * (Bob's final velocity) (0) + (0) = (60 kg) * (Alice's final velocity) + (80 kg) * (4 m/s) 0 = 60 kg * (Alice's final velocity) + 320 kg*m/s 60 kg * (Alice's final velocity) = -320 kg*m/s
  • 24.
    Alice's final velocity= -320 kg*m/s / 60 kg = -5.33 m/s (rounded to two decimal places) So, Alice's velocity after the push is approximately -5.33 m/s to the left.
  • 25.
    Example 8: A50 kg mass initially at rest explodes into two fragments. The 30 kg fragment moves west at 40m/s. what is the velocity of the second fragment?

Editor's Notes

  • #16 This equation states that the net external force, F, applied to an object for a certain time interval, t, will cause a change in the object’s momentum equal to the product of the force and the time interval. To simplify, small force acting for a long time can produce the same change in momentum as a large force acting for a short time.
  • #21 Solution: F∆t = ∆  𝑝 F∆t = m[ 𝑣 𝑓 − 𝑣 𝑖 ] F(0.015s) = (0.25kg)(-50m/s -50m/s) F(0.015s) = -25kg∙m/s F = -1667 N