Significance of Fourier Series and Fourier
Transform
Dr.R.Subasri
Professor
Kongu Engineering College
Perundurai
Courtesy: Referred and collected from various web sources and arranged
Any periodic function f(t) can be expressed as
a weighted sum (infinite) of sine and cosine
functions of increasing frequency:
Our building block:
Add enough of them to get any signal f(x) you want!
)+ xAsin(
Fourier Series
A Sum of Sinusoids
• Decompose a periodic input signal into
primitive periodic components.
T
nt
b
T
nt
a
a
tf
n
n
n
n

+

+= 

=

=
2
sin
2
cos
2
)(
11
0
DC Part
Even Part Odd Part
T is a period of all the above signals
Let 0=2/T
)sin()cos(
2
)( 0
1
0
1
0
tnbtna
a
tf
n
n
n
n ++= 

=

=
DC part is the average value of the given continuous time signal
fundamental angular frequency.
the n-th harmonic of the periodic function
The integrations can be performed from
0 to 2
( ) 


dfa =
2
00
2
1
( ) ,,ndncosfan 21
1 2
0
==  


( ) ,,ndnsinfbn 21
1 2
0
==  


Waveform Symmetry
• Even Functions
• Odd Functions
)()( tftf −=
)()( tftf −−=
Even Functions

f()
The value of the
function would be
the same when we
walk equal
distances along the
X-axis in opposite
directions.
( ) ( ) ff =−
Mathematically speaking -
Odd Functions The value of the
function would
change its sign but
with the same
magnitude when
we walk equal
distances along the
X-axis in opposite
directions.
( ) ( ) ff −=−
Mathematically speaking -

f()
Even functions can solely be represented by
cosine waves because, cosine waves are even
functions. A sum of even functions is another
even function.
10 0 10
5
0
5

Odd functions can solely be represented by sine
waves because, sine waves are odd functions. A
sum of odd functions is another odd function.
10 0 10
5
0
5

The Fourier series of an even function ( )f
is expressed in terms of a cosine series.
( ) 

=
+=
1
0 cos
n
n naaf 
The Fourier series of an odd function ( )f
is expressed in terms of a sine series.
( ) 

=
=
1
sin
n
n nbf 
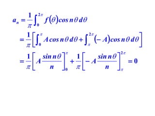
Example 1. Find the Fourier series of the
following periodic function.
0

f ( )
 2 3 4 5
A
-A
( )
−=
=
2
0
whenA
whenAf
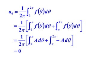
( ) ( ) ff =+ 2
( )
( ) ( )
0
2
1
2
1
2
1
2
0
2
0
2
0
0
=



 −+=



 +=
=
















dAdA
dfdf
dfa
( )
( )
0
11
1
1
2
0
2
0
2
0
=





−+





=



 −+=
=

















n
nsin
A
n
nsin
A
dncosAdncosA
dncosfan
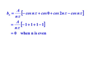
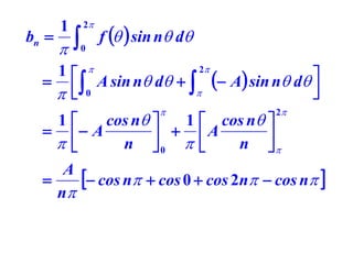
( )
( )
 
















ncosncoscosncos
n
A
n
ncos
A
n
ncos
A
dnsinAdnsinA
dnsinfbn
−++−=






+





−=



 −+=
=


20
11
1
1
2
0
2
0
2
0
 
 
oddisnwhen
4
1111
20




n
A
n
A
ncosncoscosncos
n
A
bn
=
+++=
−++−=
 
 
evenisnwhen0
1111
20
=
−++−=
−++−=



n
A
ncosncoscosncos
n
A
bn
Therefore, the corresponding Fourier series is






++++ 

7sin
7
1
5sin
5
1
3sin
3
1
sin
4A
In writing the Fourier series we may not be able to
consider infinite number of terms for practical
reasons. The question therefore, is – how many
terms to consider?
When we consider 4 terms as shown in the previous
slide, the function looks like the following.
1.5
1
0.5
0
0.5
1
1.5
f ( )

When we consider 6 terms, the function looks like the
following.
1.5
1
0.5
0
0.5
1
1.5
f ( )

When we consider 8 terms, the function looks like the
following.
1.5
1
0.5
0
0.5
1
1.5
f ( )

When we consider 12 terms, the function looks like
the following.
1.5
1
0.5
0
0.5
1
1.5
f ( )







++++ 

7sin
7
1
5sin
5
1
3sin
3
1
sin
4A
Therefore, the corresponding Fourier series is
Frequency Spectrum
Spectral representation
The frequency representation of periodic and aperiodic
signals indicates how their power or energy is allocated to
different frequencies. Such a distribution over frequency is
called the spectrum of the signal.
For a periodic signal the spectrum is discrete function
of frequency and povides information as to how the
power of the signal is distributed over the different
frequencies present in the signal. We thus learn not
only what frequency components are present in the
signal but also the strength of these frequency
components
On the other hand, the spectrum of an aperiodic signal is
a continuous function of frequency.
Application of Fourier analysis
The frequency representation of signals and systems is
extremely important in signal processing and in
communications. It explains filtering, modulation of
messages in a communication system, the meaning of
bandwidth, and how to design filters.
Likewise, the frequency representation turns out to be
essential in the sampling of analog signals the
bridge between analog and digital signal processing.
Fourier Series vs. Fourier Integral


−=

=
n
tjn
nectf 0
)(
Fourier
Series:
Fourier
Integral:
dtetf
T
c
T
T
tjn
Tn −
−
=
2/
2/
0
)(
1
dtetfjF tj


−
−
= )()(


= 

−

dejFtf tj
)(
2
1
)(
Period Function
Discrete Spectra
Non-Period
Function
Continuous Spectra
Fourier Transform Pair
dtetfjF tj


−
−
= )()(


= 

−

dejFtf tj
)(
2
1
)( Synthesis
Analysis
Fourier Transform:
Inverse Fourier Transform:
dtetfjF tj


−
−
= )()(
Continuous Spectra
)()()( += jjFjFjF IR
)(
|)(| 
= j
ejF FR(j)
FI(j)
()
Magnitude
Phase
Example
1-1
1
t
f(t)
dtetfjF tj


−
−
= )()( dte tj
−
−
=
1
1
1
1
1
−
−
−
= tj
e
j
)( −
−

= jj
ee
j


=
sin2
Example
1-1
1
t
f(t)
dtetfjF tj


−
−
= )()( dte tj
−
−
=
1
1
1
1
1
−
−
−
= tj
e
j
)( −
−

= jj
ee
j


=
sin2
-10 -5 0 5 10
-1
0
1
2
3
F()
-10 -5 0 5 10
0
1
2
3
|F()|
-10 -5 0 5 10
0
2
4arg[F()]
Example
dtetfjF tj


−
−
= )()( dtee tjt


−−
=
0
t
f(t)
e−t
dte tj


+−
=
0
)(
+
=
j
1
Example
dtetfjF tj


−
−
= )()( dtee tjt


−−
=
0
t
f(t)
e−t
dte tj


+−
=
0
)(
+
=
j
1
-10 -5 0 5 10
0
0.5
1
|F(j)|
-10 -5 0 5 10
-2
0
2
arg[F(j)]
=2
Parseval’s Theorem:
Energy Preserving (Fourier Transform)


= 

−

−
djFdttf 22
|)(|
2
1
|)(|
dtetftf tj


−
−
= )(*)](*[F
−−

= 

−
djFjF )]([*)(
2
1
dttftfdttf 

−

−
= )(*)(|)(| 2
*
)( 



= 

−

dtetf tj )(* −= jF


= 

−
djF 2
|)(|
2
1
Parseval’s Theorem:
Power Preserving (Fourier Series)
2
2
0
)(
1
 =
k
k
T
cdttf
T
222
0
2
0 2
1
)(
1
kk
T
baadttf
T
++= 
C1- In one period, the number of discontinuous points is finite.
C2- In one period, the number of maximum and minimum points is finite.
C3- In one period, the function is absolutely integrable.
Existence of the Fourier Transform


−
dttf |)(|
Sufficient Condition:
f(t) is absolutely integrable, i.e.,
Thank you

Nss fourier

  • 1.
    Significance of FourierSeries and Fourier Transform Dr.R.Subasri Professor Kongu Engineering College Perundurai Courtesy: Referred and collected from various web sources and arranged
  • 2.
    Any periodic functionf(t) can be expressed as a weighted sum (infinite) of sine and cosine functions of increasing frequency: Our building block: Add enough of them to get any signal f(x) you want! )+ xAsin( Fourier Series
  • 3.
    A Sum ofSinusoids
  • 4.
    • Decompose aperiodic input signal into primitive periodic components. T nt b T nt a a tf n n n n  +  +=   =  = 2 sin 2 cos 2 )( 11 0 DC Part Even Part Odd Part T is a period of all the above signals Let 0=2/T )sin()cos( 2 )( 0 1 0 1 0 tnbtna a tf n n n n ++=   =  = DC part is the average value of the given continuous time signal fundamental angular frequency. the n-th harmonic of the periodic function
  • 5.
    The integrations canbe performed from 0 to 2 ( )    dfa = 2 00 2 1 ( ) ,,ndncosfan 21 1 2 0 ==     ( ) ,,ndnsinfbn 21 1 2 0 ==    
  • 6.
    Waveform Symmetry • EvenFunctions • Odd Functions )()( tftf −= )()( tftf −−=
  • 7.
    Even Functions  f() The valueof the function would be the same when we walk equal distances along the X-axis in opposite directions. ( ) ( ) ff =− Mathematically speaking -
  • 8.
    Odd Functions Thevalue of the function would change its sign but with the same magnitude when we walk equal distances along the X-axis in opposite directions. ( ) ( ) ff −=− Mathematically speaking -  f()
  • 9.
    Even functions cansolely be represented by cosine waves because, cosine waves are even functions. A sum of even functions is another even function. 10 0 10 5 0 5 
  • 10.
    Odd functions cansolely be represented by sine waves because, sine waves are odd functions. A sum of odd functions is another odd function. 10 0 10 5 0 5 
  • 11.
    The Fourier seriesof an even function ( )f is expressed in terms of a cosine series. ( )   = += 1 0 cos n n naaf  The Fourier series of an odd function ( )f is expressed in terms of a sine series. ( )   = = 1 sin n n nbf 
  • 12.
    Example 1. Findthe Fourier series of the following periodic function. 0  f ( )  2 3 4 5 A -A ( ) −= = 2 0 whenA whenAf ( ) ( ) ff =+ 2
  • 13.
    ( ) ( )( ) 0 2 1 2 1 2 1 2 0 2 0 2 0 0 =     −+=     += =                 dAdA dfdf dfa
  • 14.
    ( ) ( ) 0 11 1 1 2 0 2 0 2 0 =      −+      =    −+= =                  n nsin A n nsin A dncosAdncosA dncosfan
  • 15.
    ( ) ( )                  ncosncoscosncos n A n ncos A n ncos A dnsinAdnsinA dnsinfbn −++−=       +      −=     −+= =   20 11 1 1 2 0 2 0 2 0
  • 16.
  • 17.
  • 18.
    Therefore, the correspondingFourier series is       ++++   7sin 7 1 5sin 5 1 3sin 3 1 sin 4A In writing the Fourier series we may not be able to consider infinite number of terms for practical reasons. The question therefore, is – how many terms to consider?
  • 19.
    When we consider4 terms as shown in the previous slide, the function looks like the following. 1.5 1 0.5 0 0.5 1 1.5 f ( ) 
  • 20.
    When we consider6 terms, the function looks like the following. 1.5 1 0.5 0 0.5 1 1.5 f ( ) 
  • 21.
    When we consider8 terms, the function looks like the following. 1.5 1 0.5 0 0.5 1 1.5 f ( ) 
  • 22.
    When we consider12 terms, the function looks like the following. 1.5 1 0.5 0 0.5 1 1.5 f ( ) 
  • 26.
  • 27.
    Spectral representation The frequencyrepresentation of periodic and aperiodic signals indicates how their power or energy is allocated to different frequencies. Such a distribution over frequency is called the spectrum of the signal. For a periodic signal the spectrum is discrete function of frequency and povides information as to how the power of the signal is distributed over the different frequencies present in the signal. We thus learn not only what frequency components are present in the signal but also the strength of these frequency components On the other hand, the spectrum of an aperiodic signal is a continuous function of frequency.
  • 28.
    Application of Fourieranalysis The frequency representation of signals and systems is extremely important in signal processing and in communications. It explains filtering, modulation of messages in a communication system, the meaning of bandwidth, and how to design filters. Likewise, the frequency representation turns out to be essential in the sampling of analog signals the bridge between analog and digital signal processing.
  • 29.
    Fourier Series vs.Fourier Integral   −=  = n tjn nectf 0 )( Fourier Series: Fourier Integral: dtetf T c T T tjn Tn − − = 2/ 2/ 0 )( 1 dtetfjF tj   − − = )()(   =   −  dejFtf tj )( 2 1 )( Period Function Discrete Spectra Non-Period Function Continuous Spectra
  • 30.
    Fourier Transform Pair dtetfjFtj   − − = )()(   =   −  dejFtf tj )( 2 1 )( Synthesis Analysis Fourier Transform: Inverse Fourier Transform:
  • 31.
    dtetfjF tj   − − = )()( ContinuousSpectra )()()( += jjFjFjF IR )( |)(|  = j ejF FR(j) FI(j) () Magnitude Phase
  • 32.
    Example 1-1 1 t f(t) dtetfjF tj   − − = )()(dte tj − − = 1 1 1 1 1 − − − = tj e j )( − −  = jj ee j   = sin2
  • 33.
    Example 1-1 1 t f(t) dtetfjF tj   − − = )()(dte tj − − = 1 1 1 1 1 − − − = tj e j )( − −  = jj ee j   = sin2 -10 -5 0 5 10 -1 0 1 2 3 F() -10 -5 0 5 10 0 1 2 3 |F()| -10 -5 0 5 10 0 2 4arg[F()]
  • 34.
    Example dtetfjF tj   − − = )()(dtee tjt   −− = 0 t f(t) e−t dte tj   +− = 0 )( + = j 1
  • 35.
    Example dtetfjF tj   − − = )()(dtee tjt   −− = 0 t f(t) e−t dte tj   +− = 0 )( + = j 1 -10 -5 0 5 10 0 0.5 1 |F(j)| -10 -5 0 5 10 -2 0 2 arg[F(j)] =2
  • 36.
    Parseval’s Theorem: Energy Preserving(Fourier Transform)   =   −  − djFdttf 22 |)(| 2 1 |)(| dtetftf tj   − − = )(*)](*[F −−  =   − djFjF )]([*)( 2 1 dttftfdttf   −  − = )(*)(|)(| 2 * )(     =   −  dtetf tj )(* −= jF   =   − djF 2 |)(| 2 1
  • 37.
    Parseval’s Theorem: Power Preserving(Fourier Series) 2 2 0 )( 1  = k k T cdttf T 222 0 2 0 2 1 )( 1 kk T baadttf T ++= 
  • 38.
    C1- In oneperiod, the number of discontinuous points is finite. C2- In one period, the number of maximum and minimum points is finite. C3- In one period, the function is absolutely integrable.
  • 39.
    Existence of theFourier Transform   − dttf |)(| Sufficient Condition: f(t) is absolutely integrable, i.e.,
  • 45.