GRADE 10 MATHEMATICS DLL
Prepared by: RICHARD B. PAULINO
INRSF
QUARTER I
Subject: MATH Grade Level: 10
Date: JULY 17, 2019 Day: 3
Content Standard
Demonstrates understanding of key concepts of sequences, polynomials and
polynomial equations.
Performance Standard
Is able to formulate and solve problems involving sequences, polynomials
and polynomial equations in different disciplines through appropriate and
accurate representations.
Competency
Competency 9: finds the sum of the terms of a given finite or infinite
geometric sequence. (M10AL - Ie – 2)
I. OBJECTIVES
Knowledge:  Explains how to find the sum of the terms of a given finite geometric
sequence.
Skill:  Illustrates how to find the sum of the terms of a given finite geometric
sequence.
Attitude:  Answers diligently in finding the sum of the terms of a finite geometric
sequence.
II. CONTENT
Finding the Sum of the
Terms of a given Finite Geometric Sequence
III. LEARNING RESOURCES
A. References
a) Teacher’s Guide Pages Teacher’s Guide (TG) in Mathematics 10, pp. 25; 30
b) Learner’s Materials
Pages
Learner’s Module (LM) in Math 10, pp. 31 – 37; 42
c) Textbook Pages  Intermediate Algebra, pp. 188 – 189
d) Additional Materials  Attachment
e) Learning Resources (LR)
portal
 EASE Module 6 on Searching For Patterns in Sequences, Arithmetic,
Geometric and Others , pp. 2-6
B. Other Learning
Resources
Geometric Sequence. Retrieved from http://coolmath.com/algebra/19-
sequences-series/07-geometric-sequences01.html
Geometric Sequence. Retrieved from http://coolmath.com/algebra/19-
sequences-series/08-geometric-sequences01.html
IV. PROCEDURES
A. Reviewing or
presenting the new
lesson
Activity 1: Reviewing Time
Note to the Teacher:
 Divide the students into three (3) groups.(The number of groups depend
on the number of students)
 The teacher should prepare the materials of the game before the class.
(Refer to Attachment – Reviewing Time for the list of geometric
sequences.)
 Each group will be ask to identify whether the geometric sequence shown
(one at a time) shows a finite or infinite sequence.
 The group who will get the highest points will be declared as the winner.
GRADE 10 MATHEMATICS DLL
Prepared by: RICHARD B. PAULINO
INRSF
Guide Questions:
1. Where you able to identify a finite geometric sequence? infinite
geometric sequence?
(Expected Answer: Yes)
2.. How did you do it?
(Expected Answer: Answers may vary)
B. Establishing a
purpose for the
C. lesson
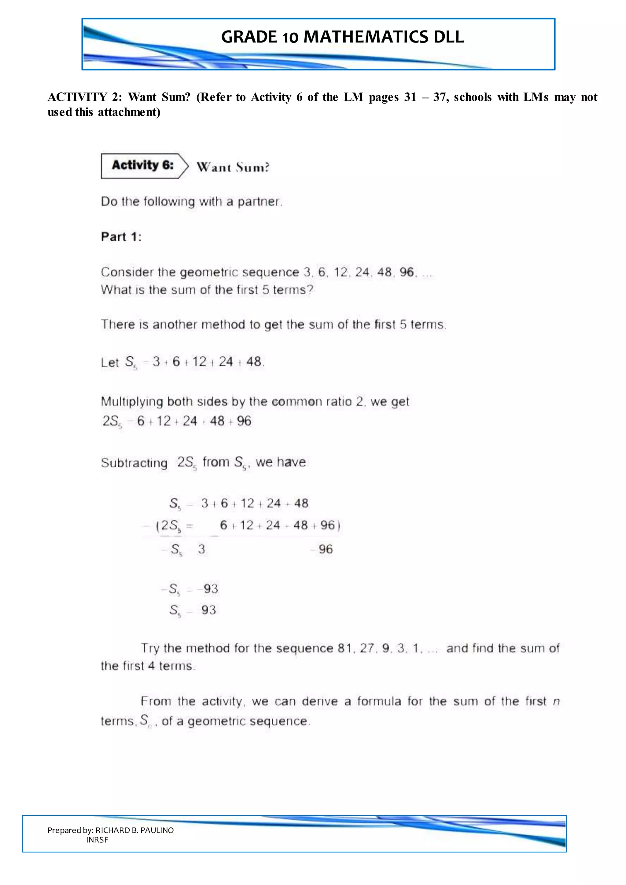
Activity 2: Want Sum? (Refer to Activity 6, LM pages 31-36; or Refer to
attachment)
D. Discussing new
concepts and
practicing new skills
The teacher discusses on how to find the sum of the terms of a finite
geometric sequence.
(Refer to Attachment –Discusssion)
E. Presenting examples
of the new lesson
ACTIVITY 3: Find Me Please
(Please refer to the attachment for the activity sheet)
Fill in the table with the correct values.
Guide Question(s):
How did you find the sum of the terms in each number?
(Expected Answer: By using the formula
Sn = a1 – a1rn
1 - r
No. a1 r n Sn
1. 3 -4 8 (-39,321)
2. 2
3
1
7 (
2186
729
)
3. 32
1
2
8 (
255
4
)
4. -4 -3 7 (-2188)
5.
2
1
2
3
6 (
665
64
)
GRADE 10 MATHEMATICS DLL
Prepared by: RICHARD B. PAULINO
INRSF
F. Developing Mastery Individual Activity:
 Let the students answer the following:
1. Find the sum of the first ten terms in the geometric sequence 3, 6,
12,24,…
(Expected Answer: 3069)
2. Find the sum of the first six terms in the geometric sequence 36, 18, 9,
…
(Expected Answer:
567
8
)
3. Find the sum of the first eight terms in the geometric sequence
1
2
,
2
3
,
8
9
, …
(Expected Answer:
58975
4374
)
G. Finding practical
applications of
concepts and skills in
daily living
 Are you fond of saving money?
 How much do you save a day?
 Check this out.
A student saved Php 10.00 on Sunday and doubled his savings each day
thereafter. How much did he save on the 7th day? What was his total savings
for the week?
(Expected answer: Php 1270.00)
H. Making
Generalizations and
abstractions about
the lesson
Guide Questions for Generalization:
(To be answered by the students)
 What is finite geometric sequence?
(Expected answer: Finite Geometric sequence is a sequence that has a
last term)
 How do you find the sum of the terms of a finite geometric sequence?
(Expected Answer: The sum of the terms of a finite geometric sequence
can be found by using the geometric formula,
Sn = a1 – a1rn
1 - r
I. Evaluating learning Instruction: Do as directed.
1. Find the sum of the first 8 terms of the geometric sequence: 2, 4, 8, 16, …
(Expected Answer:512)
2. What is the sum of the first 3 terms of the geometric sequence:
1, ,...
8
1
,
4
1
,
2
1
?
(Expected Answer:
13
8
)
3. What is the sum of the first 30 terms of 1, ,...
8
1
,
4
1
,
2
1
?
(Expected Answer:2)
4. Find the sum of the first 4 terms of the geometric sequence:
1 + 10 + 100 + 1000 +…
(Expected Answer: 1, 111)
J. Additional Activities for
application or
remediation
Refer to attachment for more activities
GRADE 10 MATHEMATICS DLL
Prepared by: RICHARD B. PAULINO
INRSF
V. REMARKS
VI. REFLECTION
A. No. of learners who earned
80% in the evaluation
A. ____ No. of learners who earned 80% in the evaluation
B. No. of learners who require
additional activities for
remediation
B. _____ No. of learners who require additional activities for remediation
C. Did the remedial lessons
work? No. of learners who
have caught up the lesson
C. Did the remedial lessons work? ______ No. of learners who have caught
up the lesson
D. No. of learners who
continue to require
remediation
D. _____ No. of learners who continue to require remediation
E. Which of my teaching
strategies worked well? Why
did these work?
Strategiesused that work well:
____ Group Collaboration
____ Games
____ Powerpoint Presentation
____ Answering preliminary activities/exercises
____ Discussion
____ Case Method
____ Think-Pair-Share
____ Rereading of Paragraphs?Poems/Stories
____ Differentiated Instruction
____ Role Playing/Drama
____ Discovery Method
____ Lecture Method
Why?
____ Complete IMs
____ Availability of Materials
____ Pupil’s eagerness to learn
____ Group member’s Cooperation in doing their tasks
F. What difficulties did I
encounter which my principal
and supervisor help me solve?
____ Bullying among pupils
____ Pupil’s behavior/attitude
____ Colorful IM’s
____ Unavailable Technology
____ Equipment (AVR/LCD)
____Science/Computer/Internet Lab
____ Additional Clerical works
____ Reading Readiness
G. What innovation or localized I
used/discoverwhich I wish to
share with otherteacher?
Preparedby:
RICHARD B. PAULINO CheckedandVerifiedby:
TeacherIII-JHS
LIBRADA J. DOMINGO Noted:
HeadTeacherIII – RelatedSubjects
SUSANA. MARIANO
Principal IV
GRADE 10 MATHEMATICS DLL
Prepared by: RICHARD B. PAULINO
INRSF
ATTACHMENT
Day: 3 (1 day)
Content: Finding the sum of the terms of a Finite Geometric Sequence
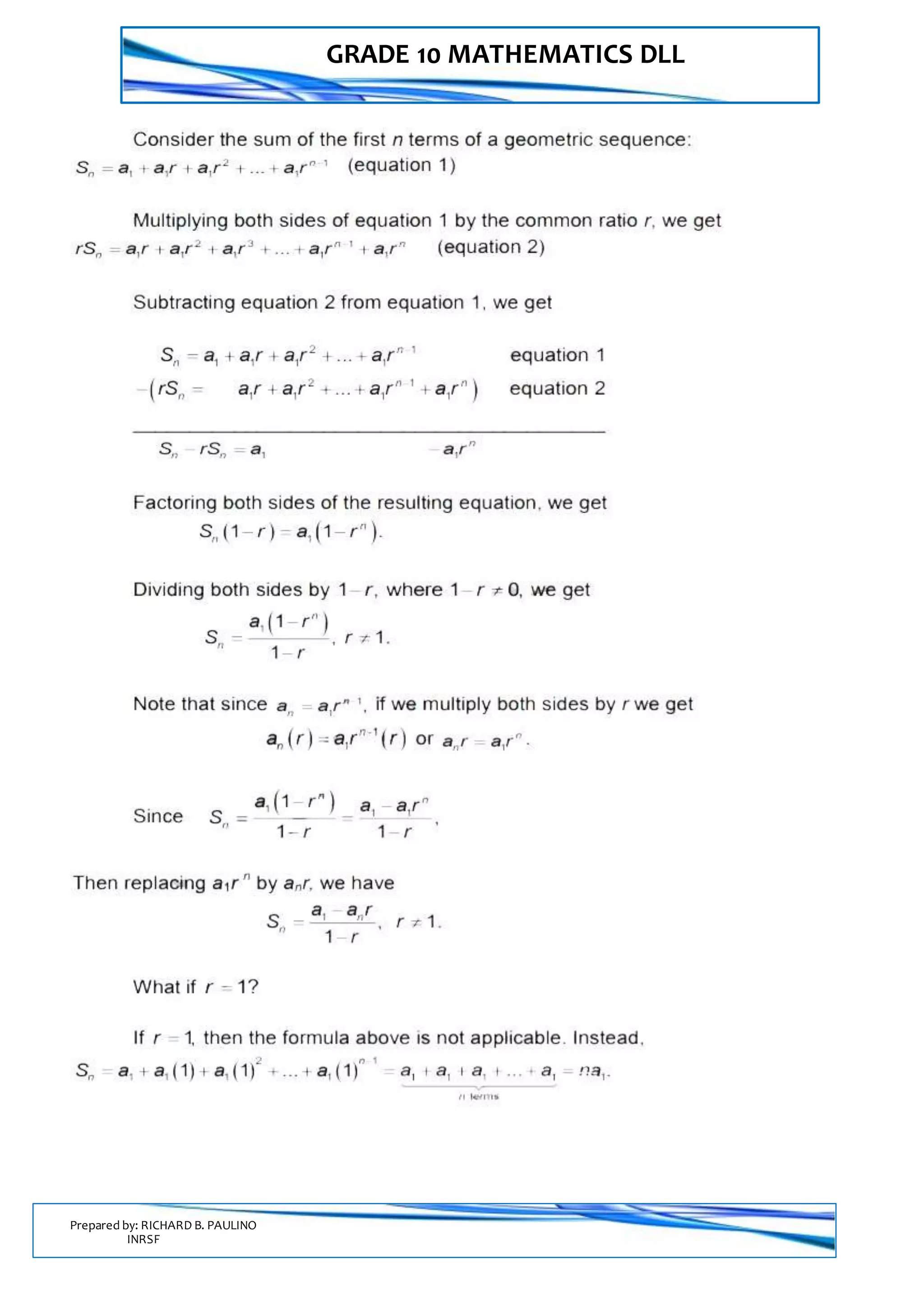
DISCUSSIONS:
The formula for the sum of the first n terms in a finite geometric sequence
is
𝑆 𝑛 =
𝑎1− 𝑎1 𝑟 𝑛
1−𝑟
or 𝑆 𝑛 =
𝑎1(1− 𝑟 𝑛
)
1−𝑟
Where
Sn – the sum n – number of terms
a1 – the first term r – constant ration, r ≠ 1
Example 1: Find the sum of the geometric sequence
2,
4
3
,
8
9
,
16
27
,
32
81
,
64
243
Solution:
a1 = 2, r =
2
3
, n = 6
𝑆 𝑛 =
𝑎1− 𝑎1 𝑟 𝑛
1−𝑟
𝑆6 =
2−2(
2
3
)6
1 −
2
3
𝑆6 =
2−
128
729
1
3
=
1330
729
1
3
=
3990
729
=
1330
243
Example 2: Find the sum of the geometric sequence 40, -20, 10, -5, 5/2, -5/4.
Solution:
a1 = 40, r = -
1
2
, n = 6
𝑆 𝑛 =
𝑎1− 𝑎1 𝑟 𝑛
1−𝑟
𝑆6 =
40−40(−
1
2
)6
1−(−
1
2
)
𝑆6 =
40−
5
8
3
2
=
315
8
3
2
=
315
12
=
105
4
GRADE 10 MATHEMATICS DLL
Prepared by: RICHARD B. PAULINO
INRSF
SUPPLEMENTARYACTIVITIES
Note: The activitiesincludedhere willbeused only when needed.
A. DIRECTION: Find the sum of the first n terms of the given geometric
sequence.
1. 3, 6, 12,… n = 12
2. 12, 9,
4
27
,… n = 5
3. -5, 15, -45,… n =
B. DIRECTION: Find the sum of the first n terms of the given geometric
sequence.
a) a1 = 0; r =1/2; S6 = ?
b) a1 = 6; r = -2; S12 = ?
c) a1 = 1; r = 3; S20 = ?
GRADE 10 MATHEMATICS DLL
Prepared by: RICHARD B. PAULINO
INRSF
Activity 1: Reviewing Time!
3, 6, 12, 24
48, 24, 12, …
𝟑
𝟏𝟎
,
𝟑
𝟏𝟎𝟎
,
𝟑
𝟏𝟎𝟎𝟎
,…
36, 18, … , 3/2
2, 4, 8, …
81, -27, 9, -3
0.4, 0.04, 0.004, …
3, -6, 12, -24
GRADE 10 MATHEMATICS DLL
Prepared by: RICHARD B. PAULINO
INRSF
ACTIVITY 2: Want Sum? (Refer to Activity 6 of the LM pages 31 – 37, schools with LMs may not
used this attachment)
GRADE 10 MATHEMATICS DLL
Prepared by: RICHARD B. PAULINO
INRSF
GRADE 10 MATHEMATICS DLL
Prepared by: RICHARD B. PAULINO
INRSF
GRADE 10 MATHEMATICS DLL
Prepared by: RICHARD B. PAULINO
INRSF
GRADE 10 MATHEMATICS DLL
Prepared by: RICHARD B. PAULINO
INRSF
GROUP/NAME: _________________________ YR. and SECTION: _________________________
DATE:__________________________
ACTIVITY 3: Find Me Please.
Fill in the table with the correct values.
No. a1 r n an Sn
1. 3 -4 8 -49,152
2. 2
3
1
7
2
729
3. 32 (
1
2
) 8
4
1
4. (-4) -3 7 -2 916
5.
2
1
2
3
(6)
64
243
GRADE 10 MATHEMATICS DLL
Prepared by: RICHARD B. PAULINO
INRSF
ACTIVITY 4: Sum of Terms in a Geometric Sequence? (Refer to Activity 11 of the LM page 42)
NAME: _________________________ YR. and SECTION: __________________________
DATE:__________________________
GRADE 10 MATHEMATICS DLL
Prepared by: RICHARD B. PAULINO
INRSF
ANSWER KEYS:
SUPPLEMENTARY ACTIVITIES:
A. B.
1. 12285 1. 0
2.
2343
64
2. – 8, 190
3. -2735 3. 1, 743, 392, 200
ACTIVITY 2: Want Sum?
GRADE 10 MATHEMATICS DLL
Prepared by: RICHARD B. PAULINO
INRSF
ACTIVITY 3: Find Me Please…
ACTIVITY 4: Sum of Terms in a Geometric Sequence
A.
1. 484
2. -63
3. 0
4. -3
5. 6
REFERENCES
A. DepEd INSTRUCTIONAL MATERIALS:
EASE Modules Year 2, Module 6: Searching For Patterns in Sequences,Arithmetic,
Geometric and Others , pp. 2-6
Callanta, M., & et. al. (2015). Mathematics-Grade 10 Learner’s Module (1st Ed.).
Pasig City: DepEd-IMCS
B. BOOKS AND OTHER REFERENCES
Bernabe, J. and Soledad, J. (2009) Intermediate Algebra Textbook for Second Year, Rev. Ed. Quezon City:
SD Publications, Inc.
K to 12 Curriculum Guide Mathematics. (2012). Department of Education, Philippines;
C. INTERNET SOURCES:
www.google.ph.com
Geometric Sequence.Retrieved from http://coolmath.com/algebra/19-sequences-series/07-geometric-sequences01.html
Geometric Sequence. Retrieved from http://coolmath.com/algebra/19-sequences-series/08-geometric-sequences01.html
No. a1 r n an Sn
1. 3 -4 8 (-49,152) (-39,321)
2. 2
3
1
7 (
2
729
) (
2186
729
)
3. 32 (
1
2
) 8
4
1
(
255
4
)
4. (-4) -3 7 -2 916 (-2188)
5.
2
1
2
3
(6)
64
243
(
665
64
)
Prepared by:
RICHARD B. PAULINO Checked and Verified by:
Teacher III-JHS
LIBRADA J. DOMINGO Noted:
Head Teacher III – Related Subjects
SUSAN A. MARIANO
Principal IV

Finite Geometric Series dlp

  • 1.
    GRADE 10 MATHEMATICSDLL Prepared by: RICHARD B. PAULINO INRSF QUARTER I Subject: MATH Grade Level: 10 Date: JULY 17, 2019 Day: 3 Content Standard Demonstrates understanding of key concepts of sequences, polynomials and polynomial equations. Performance Standard Is able to formulate and solve problems involving sequences, polynomials and polynomial equations in different disciplines through appropriate and accurate representations. Competency Competency 9: finds the sum of the terms of a given finite or infinite geometric sequence. (M10AL - Ie – 2) I. OBJECTIVES Knowledge:  Explains how to find the sum of the terms of a given finite geometric sequence. Skill:  Illustrates how to find the sum of the terms of a given finite geometric sequence. Attitude:  Answers diligently in finding the sum of the terms of a finite geometric sequence. II. CONTENT Finding the Sum of the Terms of a given Finite Geometric Sequence III. LEARNING RESOURCES A. References a) Teacher’s Guide Pages Teacher’s Guide (TG) in Mathematics 10, pp. 25; 30 b) Learner’s Materials Pages Learner’s Module (LM) in Math 10, pp. 31 – 37; 42 c) Textbook Pages  Intermediate Algebra, pp. 188 – 189 d) Additional Materials  Attachment e) Learning Resources (LR) portal  EASE Module 6 on Searching For Patterns in Sequences, Arithmetic, Geometric and Others , pp. 2-6 B. Other Learning Resources Geometric Sequence. Retrieved from http://coolmath.com/algebra/19- sequences-series/07-geometric-sequences01.html Geometric Sequence. Retrieved from http://coolmath.com/algebra/19- sequences-series/08-geometric-sequences01.html IV. PROCEDURES A. Reviewing or presenting the new lesson Activity 1: Reviewing Time Note to the Teacher:  Divide the students into three (3) groups.(The number of groups depend on the number of students)  The teacher should prepare the materials of the game before the class. (Refer to Attachment – Reviewing Time for the list of geometric sequences.)  Each group will be ask to identify whether the geometric sequence shown (one at a time) shows a finite or infinite sequence.  The group who will get the highest points will be declared as the winner.
  • 2.
    GRADE 10 MATHEMATICSDLL Prepared by: RICHARD B. PAULINO INRSF Guide Questions: 1. Where you able to identify a finite geometric sequence? infinite geometric sequence? (Expected Answer: Yes) 2.. How did you do it? (Expected Answer: Answers may vary) B. Establishing a purpose for the C. lesson Activity 2: Want Sum? (Refer to Activity 6, LM pages 31-36; or Refer to attachment) D. Discussing new concepts and practicing new skills The teacher discusses on how to find the sum of the terms of a finite geometric sequence. (Refer to Attachment –Discusssion) E. Presenting examples of the new lesson ACTIVITY 3: Find Me Please (Please refer to the attachment for the activity sheet) Fill in the table with the correct values. Guide Question(s): How did you find the sum of the terms in each number? (Expected Answer: By using the formula Sn = a1 – a1rn 1 - r No. a1 r n Sn 1. 3 -4 8 (-39,321) 2. 2 3 1 7 ( 2186 729 ) 3. 32 1 2 8 ( 255 4 ) 4. -4 -3 7 (-2188) 5. 2 1 2 3 6 ( 665 64 )
  • 3.
    GRADE 10 MATHEMATICSDLL Prepared by: RICHARD B. PAULINO INRSF F. Developing Mastery Individual Activity:  Let the students answer the following: 1. Find the sum of the first ten terms in the geometric sequence 3, 6, 12,24,… (Expected Answer: 3069) 2. Find the sum of the first six terms in the geometric sequence 36, 18, 9, … (Expected Answer: 567 8 ) 3. Find the sum of the first eight terms in the geometric sequence 1 2 , 2 3 , 8 9 , … (Expected Answer: 58975 4374 ) G. Finding practical applications of concepts and skills in daily living  Are you fond of saving money?  How much do you save a day?  Check this out. A student saved Php 10.00 on Sunday and doubled his savings each day thereafter. How much did he save on the 7th day? What was his total savings for the week? (Expected answer: Php 1270.00) H. Making Generalizations and abstractions about the lesson Guide Questions for Generalization: (To be answered by the students)  What is finite geometric sequence? (Expected answer: Finite Geometric sequence is a sequence that has a last term)  How do you find the sum of the terms of a finite geometric sequence? (Expected Answer: The sum of the terms of a finite geometric sequence can be found by using the geometric formula, Sn = a1 – a1rn 1 - r I. Evaluating learning Instruction: Do as directed. 1. Find the sum of the first 8 terms of the geometric sequence: 2, 4, 8, 16, … (Expected Answer:512) 2. What is the sum of the first 3 terms of the geometric sequence: 1, ,... 8 1 , 4 1 , 2 1 ? (Expected Answer: 13 8 ) 3. What is the sum of the first 30 terms of 1, ,... 8 1 , 4 1 , 2 1 ? (Expected Answer:2) 4. Find the sum of the first 4 terms of the geometric sequence: 1 + 10 + 100 + 1000 +… (Expected Answer: 1, 111) J. Additional Activities for application or remediation Refer to attachment for more activities
  • 4.
    GRADE 10 MATHEMATICSDLL Prepared by: RICHARD B. PAULINO INRSF V. REMARKS VI. REFLECTION A. No. of learners who earned 80% in the evaluation A. ____ No. of learners who earned 80% in the evaluation B. No. of learners who require additional activities for remediation B. _____ No. of learners who require additional activities for remediation C. Did the remedial lessons work? No. of learners who have caught up the lesson C. Did the remedial lessons work? ______ No. of learners who have caught up the lesson D. No. of learners who continue to require remediation D. _____ No. of learners who continue to require remediation E. Which of my teaching strategies worked well? Why did these work? Strategiesused that work well: ____ Group Collaboration ____ Games ____ Powerpoint Presentation ____ Answering preliminary activities/exercises ____ Discussion ____ Case Method ____ Think-Pair-Share ____ Rereading of Paragraphs?Poems/Stories ____ Differentiated Instruction ____ Role Playing/Drama ____ Discovery Method ____ Lecture Method Why? ____ Complete IMs ____ Availability of Materials ____ Pupil’s eagerness to learn ____ Group member’s Cooperation in doing their tasks F. What difficulties did I encounter which my principal and supervisor help me solve? ____ Bullying among pupils ____ Pupil’s behavior/attitude ____ Colorful IM’s ____ Unavailable Technology ____ Equipment (AVR/LCD) ____Science/Computer/Internet Lab ____ Additional Clerical works ____ Reading Readiness G. What innovation or localized I used/discoverwhich I wish to share with otherteacher? Preparedby: RICHARD B. PAULINO CheckedandVerifiedby: TeacherIII-JHS LIBRADA J. DOMINGO Noted: HeadTeacherIII – RelatedSubjects SUSANA. MARIANO Principal IV
  • 5.
    GRADE 10 MATHEMATICSDLL Prepared by: RICHARD B. PAULINO INRSF ATTACHMENT Day: 3 (1 day) Content: Finding the sum of the terms of a Finite Geometric Sequence DISCUSSIONS: The formula for the sum of the first n terms in a finite geometric sequence is 𝑆 𝑛 = 𝑎1− 𝑎1 𝑟 𝑛 1−𝑟 or 𝑆 𝑛 = 𝑎1(1− 𝑟 𝑛 ) 1−𝑟 Where Sn – the sum n – number of terms a1 – the first term r – constant ration, r ≠ 1 Example 1: Find the sum of the geometric sequence 2, 4 3 , 8 9 , 16 27 , 32 81 , 64 243 Solution: a1 = 2, r = 2 3 , n = 6 𝑆 𝑛 = 𝑎1− 𝑎1 𝑟 𝑛 1−𝑟 𝑆6 = 2−2( 2 3 )6 1 − 2 3 𝑆6 = 2− 128 729 1 3 = 1330 729 1 3 = 3990 729 = 1330 243 Example 2: Find the sum of the geometric sequence 40, -20, 10, -5, 5/2, -5/4. Solution: a1 = 40, r = - 1 2 , n = 6 𝑆 𝑛 = 𝑎1− 𝑎1 𝑟 𝑛 1−𝑟 𝑆6 = 40−40(− 1 2 )6 1−(− 1 2 ) 𝑆6 = 40− 5 8 3 2 = 315 8 3 2 = 315 12 = 105 4
  • 6.
    GRADE 10 MATHEMATICSDLL Prepared by: RICHARD B. PAULINO INRSF SUPPLEMENTARYACTIVITIES Note: The activitiesincludedhere willbeused only when needed. A. DIRECTION: Find the sum of the first n terms of the given geometric sequence. 1. 3, 6, 12,… n = 12 2. 12, 9, 4 27 ,… n = 5 3. -5, 15, -45,… n = B. DIRECTION: Find the sum of the first n terms of the given geometric sequence. a) a1 = 0; r =1/2; S6 = ? b) a1 = 6; r = -2; S12 = ? c) a1 = 1; r = 3; S20 = ?
  • 7.
    GRADE 10 MATHEMATICSDLL Prepared by: RICHARD B. PAULINO INRSF Activity 1: Reviewing Time! 3, 6, 12, 24 48, 24, 12, … 𝟑 𝟏𝟎 , 𝟑 𝟏𝟎𝟎 , 𝟑 𝟏𝟎𝟎𝟎 ,… 36, 18, … , 3/2 2, 4, 8, … 81, -27, 9, -3 0.4, 0.04, 0.004, … 3, -6, 12, -24
  • 8.
    GRADE 10 MATHEMATICSDLL Prepared by: RICHARD B. PAULINO INRSF ACTIVITY 2: Want Sum? (Refer to Activity 6 of the LM pages 31 – 37, schools with LMs may not used this attachment)
  • 9.
    GRADE 10 MATHEMATICSDLL Prepared by: RICHARD B. PAULINO INRSF
  • 10.
    GRADE 10 MATHEMATICSDLL Prepared by: RICHARD B. PAULINO INRSF
  • 11.
    GRADE 10 MATHEMATICSDLL Prepared by: RICHARD B. PAULINO INRSF
  • 12.
    GRADE 10 MATHEMATICSDLL Prepared by: RICHARD B. PAULINO INRSF GROUP/NAME: _________________________ YR. and SECTION: _________________________ DATE:__________________________ ACTIVITY 3: Find Me Please. Fill in the table with the correct values. No. a1 r n an Sn 1. 3 -4 8 -49,152 2. 2 3 1 7 2 729 3. 32 ( 1 2 ) 8 4 1 4. (-4) -3 7 -2 916 5. 2 1 2 3 (6) 64 243
  • 13.
    GRADE 10 MATHEMATICSDLL Prepared by: RICHARD B. PAULINO INRSF ACTIVITY 4: Sum of Terms in a Geometric Sequence? (Refer to Activity 11 of the LM page 42) NAME: _________________________ YR. and SECTION: __________________________ DATE:__________________________
  • 14.
    GRADE 10 MATHEMATICSDLL Prepared by: RICHARD B. PAULINO INRSF ANSWER KEYS: SUPPLEMENTARY ACTIVITIES: A. B. 1. 12285 1. 0 2. 2343 64 2. – 8, 190 3. -2735 3. 1, 743, 392, 200 ACTIVITY 2: Want Sum?
  • 15.
    GRADE 10 MATHEMATICSDLL Prepared by: RICHARD B. PAULINO INRSF ACTIVITY 3: Find Me Please… ACTIVITY 4: Sum of Terms in a Geometric Sequence A. 1. 484 2. -63 3. 0 4. -3 5. 6 REFERENCES A. DepEd INSTRUCTIONAL MATERIALS: EASE Modules Year 2, Module 6: Searching For Patterns in Sequences,Arithmetic, Geometric and Others , pp. 2-6 Callanta, M., & et. al. (2015). Mathematics-Grade 10 Learner’s Module (1st Ed.). Pasig City: DepEd-IMCS B. BOOKS AND OTHER REFERENCES Bernabe, J. and Soledad, J. (2009) Intermediate Algebra Textbook for Second Year, Rev. Ed. Quezon City: SD Publications, Inc. K to 12 Curriculum Guide Mathematics. (2012). Department of Education, Philippines; C. INTERNET SOURCES: www.google.ph.com Geometric Sequence.Retrieved from http://coolmath.com/algebra/19-sequences-series/07-geometric-sequences01.html Geometric Sequence. Retrieved from http://coolmath.com/algebra/19-sequences-series/08-geometric-sequences01.html No. a1 r n an Sn 1. 3 -4 8 (-49,152) (-39,321) 2. 2 3 1 7 ( 2 729 ) ( 2186 729 ) 3. 32 ( 1 2 ) 8 4 1 ( 255 4 ) 4. (-4) -3 7 -2 916 (-2188) 5. 2 1 2 3 (6) 64 243 ( 665 64 ) Prepared by: RICHARD B. PAULINO Checked and Verified by: Teacher III-JHS LIBRADA J. DOMINGO Noted: Head Teacher III – Related Subjects SUSAN A. MARIANO Principal IV