MATHEMATICS RESOURCE PACKAGE
Prepared by: Maria Fatima M. Emperado Noted by: CLAUDETH S. MERCADO
Ayungon Science High School Focal Person
Ayungon District 2
QUARTER I
Week 5
Subject: MATH Grade Level: 10
Date: __________________ Day: 3
Content Standard
Demonstrates understanding of key concepts of
sequences, polynomials and polynomial equations.
Performance Standard
Is able
to formulate and solve problems involving sequences,
polynomials and polynomial equations in different
disciplines through appropriate and accurate
representations.
Competency
Competency 9: finds the sum of the terms of a given
finite or infinite geometric sequence. (M10AL - Ie – 2)
I. OBJECTIVES
Knowledge:  Explains how to find the sum of the terms of a given
finite geometric sequence.
Skill:  Illustrates how to find the sum of the terms of a given
finite geometric sequence.
Attitude:  Answers diligently in finding the sum of the terms of
a finite geometric sequence.
II. CONTENT
Finding the Sum of the
Terms of a given Finite Geometric Sequence
III. LEARNING RESOURCES
A. References
a) Teacher’s Guide
Pages
Teacher’s Guide (TG) in Mathematics 10, pp. 25; 30
b) Learner’s
Materials Pages
Learner’s Module (LM) in Math 10, pp. 31 – 37; 42
c) Textbook Pages  Intermediate Algebra, pp. 188 – 189
d) Additional
Materials
 Attachment
e) Learning Resources
(LR) portal
 EASE Module 6 on Searching For Patterns in
Sequences, Arithmetic, Geometric and Others , pp. 2-
6
B. Other Learning
Resources
Geometric Sequence. Retrieved from
http://coolmath.com/algebra/19-sequences-series/07-
geometric-sequences01.html
Geometric Sequence. Retrieved from
http://coolmath.com/algebra/19-sequences-series/08-
MATHEMATICS RESOURCE PACKAGE
Prepared by: Maria Fatima M. Emperado Noted by: CLAUDETH S. MERCADO
Ayungon Science High School Focal Person
Ayungon District 2
geometric-sequences01.html
IV. PROCEDURES
A. Reviewing or
presenting the new
lesson
Activity 1: Reviewing Time
Note to the Teacher:
 Divide the students into four (4) groups.(The number
of groups depend on the number of students)
 The teacher should prepare the materials of the game
before the class. (Refer to Attachment – Reviewing
Time for the list of geometric sequences that will be
written in a flashcard.)
 Each group will be ask to identify whether the
geometric sequence shown in the cards(one at a time)
shows a finite or infinite sequence.
 The group who will get the first five points will be
declared as the winner.
Guide Questions:
4. What do you fell about the activity?
(Expected Answer: Answers may vary.)
2. Where you able to identify a finite geometric
sequence? infinite geometric sequence?
(Expected Answer: Yes)
3. How did you do it?
(Expected Answer: Answers may vary)
B. Establishing a
purpose for the
C. lesson
Activity 2: Want Sum? (Refer to Activity 6, LM pages
31-36; or Refer to attachment)
D. Presenting examples
of the new lesson
ACTIVITY 3: Find Me Please
(Please refer to the attachment for the activity sheet)
Fill in the table with the correct values.
MATHEMATICS RESOURCE PACKAGE
Prepared by: Maria Fatima M. Emperado Noted by: CLAUDETH S. MERCADO
Ayungon Science High School Focal Person
Ayungon District 2
Guide Questions:
1. How did you find an? r? a1?
(Expected Answer: By using the formula an = a1rn-1
)
2. How did you find the sum of the terms in each
number?
(Expected Answer: By using the formula
Sn = a1 – a1rn
1 - r
No. a1 r n an Sn
1. 3 -4 8 (-49,152) (-39,321)
2. 2
3
1
7 (
2
729
) (
2186
729
)
3. 32 (
1
2
) 8
4
1
(
255
4
)
4. (-4) -3 7 -2 916 (-2188)
5.
2
1
2
3
(6)
64
243
(
665
64
)
E. Discussing new
concepts and
practicing new skills
#1
The teacher discusses on how to find the sum of the
terms of a finite geometric sequence.
(Refer to Attachment –Discusssion)
F. Discussing new
concepts and
practicing new skills
#2
 Group the students into 4 (preferably the same group
during the first activity). Let the group answer activity
11: Sum of Terms of Geometric Sequence, A. 1-5
(Refer to LM page 42)
 Let them present their answers through:
Group 1: Rap
Group 2: Jingle
Group 3: Poem
Group 4: Speech Choir
G. Developing Mastery Individual Activity:
 Let the students answer the following:
1. Find the sum of the first ten terms in the geometric
sequence 3, 6, 12, 24,…
(Expected Answer: 3069)
MATHEMATICS RESOURCE PACKAGE
Prepared by: Maria Fatima M. Emperado Noted by: CLAUDETH S. MERCADO
Ayungon Science High School Focal Person
Ayungon District 2
2. Find the first six terms in the geometric sequence
36, 18, 9, …
(Expected Answer:
567
8
)
3. Find the sum of the first eight terms in the geometric
sequence
1
2
,
2
3
,
8
9
, …
(Expected Answer:
58975
4374
)
H. Finding practical
applications of
concepts and skills in
daily living
 Are you fond of saving money?
 How much do you save a day?
 Check this out.
A student saved Php 10.00 on Sunday and doubled his
savings each day thereafter. How much did he save on the
7th
day? What was his total savings for the week?
(Expected answer: Php 1270.00)
I. Making
Generalizations and
abstractions about
the lesson
Guide Questions for Generalization:
(To be answered by the students)
 What is finite geometric sequence?
(Expected answer: Finite Geometric sequence is a
sequence that has a last term)
 How do you find the sum of the terms of a finite
geometric sequence?
(Expected Answer: The sum of the terms of a finite
geometric sequence can be found by using the
geometric formula,
Sn = a1 – a1rn
1 - r
J. Evaluating learning Instruction: Do as directed.
1. Find the sum of the first 8 terms of the geometric
sequence: 2, 4, 8, 16, …
(Expected Answer:512)
2. What is the sum of the first 3 terms of the geometric
sequence:
1, ,...
8
1
,
4
1
,
2
1
?
(Expected Answer:
13
8
)
MATHEMATICS RESOURCE PACKAGE
Prepared by: Maria Fatima M. Emperado Noted by: CLAUDETH S. MERCADO
Ayungon Science High School Focal Person
Ayungon District 2
3. What is the sum of the first 30 terms of 1, ,...
8
1
,
4
1
,
2
1
?
(Expected Answer:2)
4. Find the sum of the first 4 terms of the geometric
sequence:
1 + 10 + 100 + 1000 +…
(Expected Answer: 1, 111)
K. Additional
Activities for
application or
remediation
Refer to attachment for more activities
V. REMARKS
VI. REFLECTION
A. No. of learners who
earned 80% in the
evaluation
A. ____ No. of learners who earned 80% in the evaluation
B. No. of learners who
require additional
activities for remediation
B. _____ No. of learners who require additional activities
for remediation
C. Did the remedial
lessons work? No. of
learners who have caught
up the lesson
C. Did the remedial lessons work? ______ No. of
learners who have caught up the lesson
D. No. of learners who
continue to require
remediation
D. _____ No. of learners who continue to require
remediation
E. Which of my teaching
strategies worked well?
Why did these work?
Strategies used that work well:
____ Group Collaboration
____ Games
____ Powerpoint Presentation
____ Answering preliminary activities/exercises
____ Discussion
____ Case Method
____ Think-Pair-Share
____ Rereading of Paragraphs?Poems/Stories
____ Differentiated Instruction
____ Role Playing/Drama
____ Discovery Method
____ Lecture Method
Why?
MATHEMATICS RESOURCE PACKAGE
Prepared by: Maria Fatima M. Emperado Noted by: CLAUDETH S. MERCADO
Ayungon Science High School Focal Person
Ayungon District 2
____ Complete IMs
____ Availability of Materials
____ Pupil’s eagerness to learn
____ Group member’s Cooperation in doing their tasks
F. What difficulties did I
encounter which my
principal and supervisor
help me solve?
____ Bullying among pupils
____ Pupil’s behavior/attitude
____ Colorful IM’s
____ Unavailable Technology
____ Equipment (AVR/LCD)
____Science/Computer/Internet Lab
____ Additional Clerical works
____ Reading Readiness
G. What innovation or
localized I used/discover
which I wish to share
with other teacher?
MATHEMATICS RESOURCE PACKAGE
Prepared by: Maria Fatima M. Emperado Noted by: CLAUDETH S. MERCADO
Ayungon Science High School Focal Person
Ayungon District 2
ATTACHMENT
Day: 3 (1 day)
Content: Finding the sum of the terms of a Finite Geometric Sequence
DISCUSSIONS:
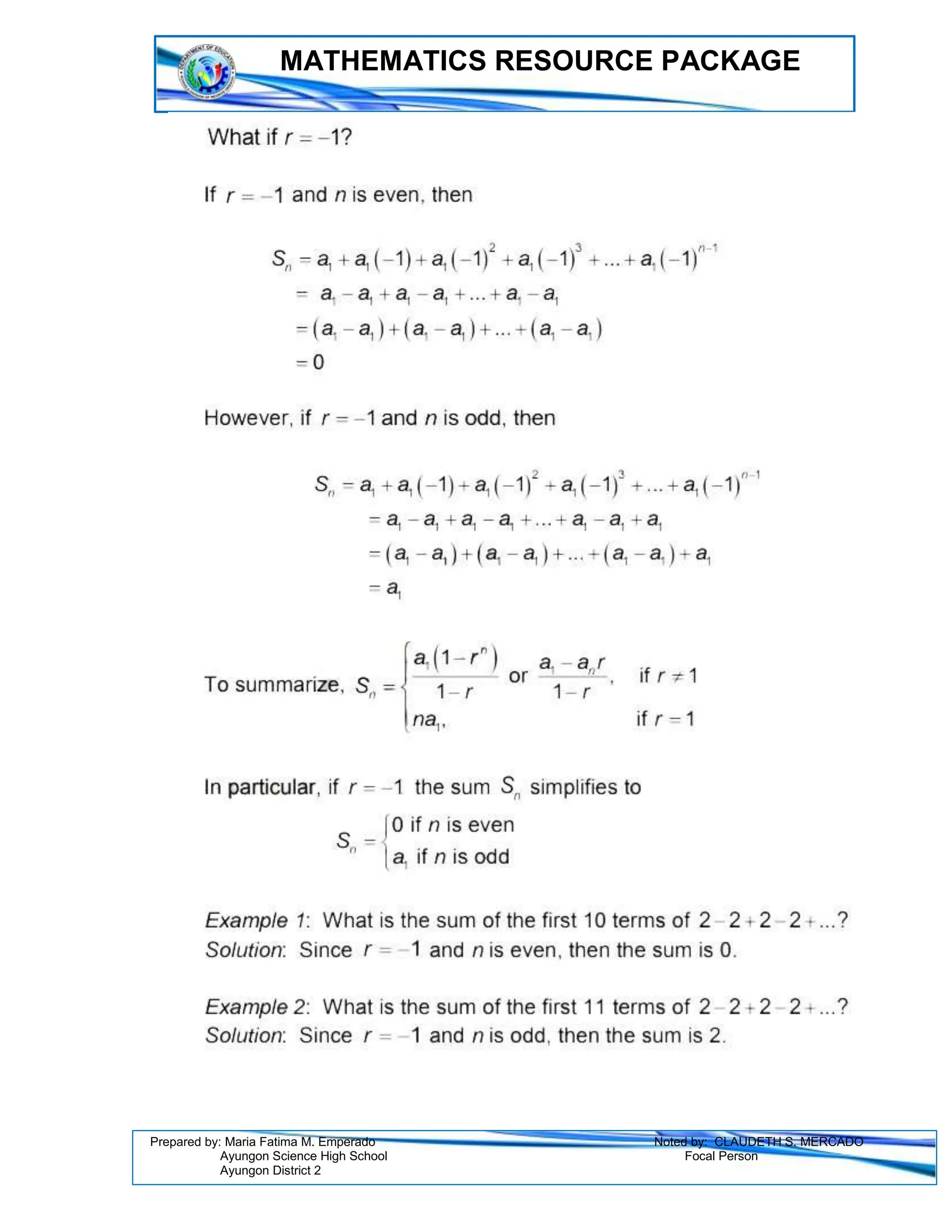
The formula for the sum of the first n terms in a finite geometric
sequence is
𝑆𝑛 =
𝑎1− 𝑎1𝑟𝑛
1−𝑟
or 𝑆𝑛 =
𝑎1(1− 𝑟𝑛)
1−𝑟
Where
Sn – the sum n – number of terms
a1 – the first term r – constant ration, r ≠ 1
Example 1: Find the sum of the geometric sequence
2,
4
3
,
8
9
,
16
27
,
32
81
,
64
243
Solution:
a1 = 2, r =
2
3
, n = 6
𝑆𝑛 =
𝑎1− 𝑎1𝑟𝑛
1−𝑟
𝑆6 =
2−2(
2
3
)6
1−
2
3
𝑆6 =
2−
128
729
1
3
=
1330
729
1
3
=
3990
729
=
1330
243
Example 2: Find the sum of the geometric sequence 40, -20, 10, -5,
5/2, -5/4.
Solution:
a1 = 40, r = -
1
2
, n = 6
𝑆𝑛 =
𝑎1− 𝑎1𝑟𝑛
1−𝑟
𝑆6 =
40−40(−
1
2
)6
1−(−
1
2
)
𝑆6 =
40−
5
8
3
2
=
315
8
3
2
=
315
12
=
105
4
MATHEMATICS RESOURCE PACKAGE
Prepared by: Maria Fatima M. Emperado Noted by: CLAUDETH S. MERCADO
Ayungon Science High School Focal Person
Ayungon District 2
SUPPLEMENTARY ACTIVITIES
Note: The activities included here will be used only when needed.
A. DIRECTION: Find the sum of the first n terms of the given geometric
sequence.
1. 3, 6, 12,… n = 12
2. 12, 9,
4
27
,… n = 5
3. -5, 15, -45,… n = 7
B. DIRECTION: Find the sum of the first n terms of the given geometric
sequence.
a) a1 = 0; r =1/2; S6 = ?
b) a1 = 6; r = -2; S12 = ?
c) a1 = 1; r = 3; S20 = ?
MATHEMATICS RESOURCE PACKAGE
Prepared by: Maria Fatima M. Emperado Noted by: CLAUDETH S. MERCADO
Ayungon Science High School Focal Person
Ayungon District 2
Activity 1: Reviewing Time!
3,
6,
12,
24
48,
24,
12,
…
MATHEMATICS RESOURCE PACKAGE
Prepared by: Maria Fatima M. Emperado Noted by: CLAUDETH S. MERCADO
Ayungon Science High School Focal Person
Ayungon District 2
3
10
,
3
100
,
3
1000
,
…
36,
18,
…
,
3/2
MATHEMATICS RESOURCE PACKAGE
Prepared by: Maria Fatima M. Emperado Noted by: CLAUDETH S. MERCADO
Ayungon Science High School Focal Person
Ayungon District 2
2,
4,
8,
…
81,
-27,
9,
-3
MATHEMATICS RESOURCE PACKAGE
Prepared by: Maria Fatima M. Emperado Noted by: CLAUDETH S. MERCADO
Ayungon Science High School Focal Person
Ayungon District 2
0.4,
0.04,
0.004,
…
3,
-6,
12,
-24
MATHEMATICS RESOURCE PACKAGE
Prepared by: Maria Fatima M. Emperado Noted by: CLAUDETH S. MERCADO
Ayungon Science High School Focal Person
Ayungon District 2
ACTIVITY 2: Want Sum? (Refer to Activity 6 of the LM pages 31 – 37, schools with
LMs may not used this attachment)
MATHEMATICS RESOURCE PACKAGE
Prepared by: Maria Fatima M. Emperado Noted by: CLAUDETH S. MERCADO
Ayungon Science High School Focal Person
Ayungon District 2
MATHEMATICS RESOURCE PACKAGE
Prepared by: Maria Fatima M. Emperado Noted by: CLAUDETH S. MERCADO
Ayungon Science High School Focal Person
Ayungon District 2
MATHEMATICS RESOURCE PACKAGE
Prepared by: Maria Fatima M. Emperado Noted by: CLAUDETH S. MERCADO
Ayungon Science High School Focal Person
Ayungon District 2
MATHEMATICS RESOURCE PACKAGE
Prepared by: Maria Fatima M. Emperado Noted by: CLAUDETH S. MERCADO
Ayungon Science High School Focal Person
Ayungon District 2
MATHEMATICS RESOURCE PACKAGE
Prepared by: Maria Fatima M. Emperado Noted by: CLAUDETH S. MERCADO
Ayungon Science High School Focal Person
Ayungon District 2
MATHEMATICS RESOURCE PACKAGE
Prepared by: Maria Fatima M. Emperado Noted by: CLAUDETH S. MERCADO
Ayungon Science High School Focal Person
Ayungon District 2
NAME:
YR. and SECTION:
DATE:_____________
ACTIVITY 3: Find Me Please.
Fill in the table with the correct values.
No. a1 r n an Sn
1. 3 -4 8
2. 2
3
1
7
3. 32 8
4
1
4. -3 7 -2 916
5.
2
1
2
3
64
243
_______
MATHEMATICS RESOURCE PACKAGE
Prepared by: Maria Fatima M. Emperado Noted by: CLAUDETH S. MERCADO
Ayungon Science High School Focal Person
Ayungon District 2
ACTIVITY 4: Sum of Terms in a Geometric Sequence? (Refer to Activity 11 of the
LM page 42, schools with LMs may not use this attachment)
NAME:
YR. and SECTION:
DATE:________
MATHEMATICS RESOURCE PACKAGE
Prepared by: Maria Fatima M. Emperado Noted by: CLAUDETH S. MERCADO
Ayungon Science High School Focal Person
Ayungon District 2
ANSWER KEYS:
SUPPLEMENTARY ACTIVITIES:
A. B.
1. 12285 1. 0
2.
2343
64
2. – 8, 190
3. -2735 3. 1, 743, 392, 200
ACTIVITY 2: Want Sum?
MATHEMATICS RESOURCE PACKAGE
Prepared by: Maria Fatima M. Emperado Noted by: CLAUDETH S. MERCADO
Ayungon Science High School Focal Person
Ayungon District 2
ACTIVITY 3: Find Me Please…
ACTIVITY 4: Sum of Terms in a Geometric Sequence
A.
1. 484
2. -63
3. 0
4. -3
5. 6
No. a1 r n an Sn
1. 3 -4 8 (-49,152) (-39,321)
2. 2
3
1
7 (
2
729
) (
2186
729
)
3. 32 (
1
2
) 8
4
1
(
255
4
)
4. (-4) -3 7 -2 916 (-2188)
5.
2
1
2
3
(6)
64
243
(
665
64
)
MATHEMATICS RESOURCE PACKAGE
Prepared by: Maria Fatima M. Emperado Noted by: CLAUDETH S. MERCADO
Ayungon Science High School Focal Person
Ayungon District 2
REFERENCES
A. DepEd INSTRUCTIONAL MATERIALS:
EASE Modules Year 2, Module 6: Searching For Patterns in Sequences, Arithmetic,
Geometric and Others , pp. 2-6
Callanta, M., & et. al. (2015). Mathematics-Grade 10 Learner’s Module (1st Ed.).
Pasig City: DepEd-IMCS
B. BOOKS AND OTHER REFERENCES
Bernabe, J. and Soledad, J. (2009) Intermediate Algebra Textbook for Second
Year, Rev. Ed. Quezon City: SD Publications, Inc.
K to 12 Curriculum Guide Mathematics. (2012). Department of Education,
Philippines;
C. INTERNET SOURCES:
www.google.ph.com
Geometric Sequence. Retrieved from http://coolmath.com/algebra/19-sequences-
series/07-geometric-sequences01.html
Geometric Sequence. Retrieved from http://coolmath.com/algebra/19-sequences-series/08-
geometric-sequences01.html

dlp-math-10-q1-week-5-day-3.docx

  • 1.
    MATHEMATICS RESOURCE PACKAGE Preparedby: Maria Fatima M. Emperado Noted by: CLAUDETH S. MERCADO Ayungon Science High School Focal Person Ayungon District 2 QUARTER I Week 5 Subject: MATH Grade Level: 10 Date: __________________ Day: 3 Content Standard Demonstrates understanding of key concepts of sequences, polynomials and polynomial equations. Performance Standard Is able to formulate and solve problems involving sequences, polynomials and polynomial equations in different disciplines through appropriate and accurate representations. Competency Competency 9: finds the sum of the terms of a given finite or infinite geometric sequence. (M10AL - Ie – 2) I. OBJECTIVES Knowledge:  Explains how to find the sum of the terms of a given finite geometric sequence. Skill:  Illustrates how to find the sum of the terms of a given finite geometric sequence. Attitude:  Answers diligently in finding the sum of the terms of a finite geometric sequence. II. CONTENT Finding the Sum of the Terms of a given Finite Geometric Sequence III. LEARNING RESOURCES A. References a) Teacher’s Guide Pages Teacher’s Guide (TG) in Mathematics 10, pp. 25; 30 b) Learner’s Materials Pages Learner’s Module (LM) in Math 10, pp. 31 – 37; 42 c) Textbook Pages  Intermediate Algebra, pp. 188 – 189 d) Additional Materials  Attachment e) Learning Resources (LR) portal  EASE Module 6 on Searching For Patterns in Sequences, Arithmetic, Geometric and Others , pp. 2- 6 B. Other Learning Resources Geometric Sequence. Retrieved from http://coolmath.com/algebra/19-sequences-series/07- geometric-sequences01.html Geometric Sequence. Retrieved from http://coolmath.com/algebra/19-sequences-series/08-
  • 2.
    MATHEMATICS RESOURCE PACKAGE Preparedby: Maria Fatima M. Emperado Noted by: CLAUDETH S. MERCADO Ayungon Science High School Focal Person Ayungon District 2 geometric-sequences01.html IV. PROCEDURES A. Reviewing or presenting the new lesson Activity 1: Reviewing Time Note to the Teacher:  Divide the students into four (4) groups.(The number of groups depend on the number of students)  The teacher should prepare the materials of the game before the class. (Refer to Attachment – Reviewing Time for the list of geometric sequences that will be written in a flashcard.)  Each group will be ask to identify whether the geometric sequence shown in the cards(one at a time) shows a finite or infinite sequence.  The group who will get the first five points will be declared as the winner. Guide Questions: 4. What do you fell about the activity? (Expected Answer: Answers may vary.) 2. Where you able to identify a finite geometric sequence? infinite geometric sequence? (Expected Answer: Yes) 3. How did you do it? (Expected Answer: Answers may vary) B. Establishing a purpose for the C. lesson Activity 2: Want Sum? (Refer to Activity 6, LM pages 31-36; or Refer to attachment) D. Presenting examples of the new lesson ACTIVITY 3: Find Me Please (Please refer to the attachment for the activity sheet) Fill in the table with the correct values.
  • 3.
    MATHEMATICS RESOURCE PACKAGE Preparedby: Maria Fatima M. Emperado Noted by: CLAUDETH S. MERCADO Ayungon Science High School Focal Person Ayungon District 2 Guide Questions: 1. How did you find an? r? a1? (Expected Answer: By using the formula an = a1rn-1 ) 2. How did you find the sum of the terms in each number? (Expected Answer: By using the formula Sn = a1 – a1rn 1 - r No. a1 r n an Sn 1. 3 -4 8 (-49,152) (-39,321) 2. 2 3 1 7 ( 2 729 ) ( 2186 729 ) 3. 32 ( 1 2 ) 8 4 1 ( 255 4 ) 4. (-4) -3 7 -2 916 (-2188) 5. 2 1 2 3 (6) 64 243 ( 665 64 ) E. Discussing new concepts and practicing new skills #1 The teacher discusses on how to find the sum of the terms of a finite geometric sequence. (Refer to Attachment –Discusssion) F. Discussing new concepts and practicing new skills #2  Group the students into 4 (preferably the same group during the first activity). Let the group answer activity 11: Sum of Terms of Geometric Sequence, A. 1-5 (Refer to LM page 42)  Let them present their answers through: Group 1: Rap Group 2: Jingle Group 3: Poem Group 4: Speech Choir G. Developing Mastery Individual Activity:  Let the students answer the following: 1. Find the sum of the first ten terms in the geometric sequence 3, 6, 12, 24,… (Expected Answer: 3069)
  • 4.
    MATHEMATICS RESOURCE PACKAGE Preparedby: Maria Fatima M. Emperado Noted by: CLAUDETH S. MERCADO Ayungon Science High School Focal Person Ayungon District 2 2. Find the first six terms in the geometric sequence 36, 18, 9, … (Expected Answer: 567 8 ) 3. Find the sum of the first eight terms in the geometric sequence 1 2 , 2 3 , 8 9 , … (Expected Answer: 58975 4374 ) H. Finding practical applications of concepts and skills in daily living  Are you fond of saving money?  How much do you save a day?  Check this out. A student saved Php 10.00 on Sunday and doubled his savings each day thereafter. How much did he save on the 7th day? What was his total savings for the week? (Expected answer: Php 1270.00) I. Making Generalizations and abstractions about the lesson Guide Questions for Generalization: (To be answered by the students)  What is finite geometric sequence? (Expected answer: Finite Geometric sequence is a sequence that has a last term)  How do you find the sum of the terms of a finite geometric sequence? (Expected Answer: The sum of the terms of a finite geometric sequence can be found by using the geometric formula, Sn = a1 – a1rn 1 - r J. Evaluating learning Instruction: Do as directed. 1. Find the sum of the first 8 terms of the geometric sequence: 2, 4, 8, 16, … (Expected Answer:512) 2. What is the sum of the first 3 terms of the geometric sequence: 1, ,... 8 1 , 4 1 , 2 1 ? (Expected Answer: 13 8 )
  • 5.
    MATHEMATICS RESOURCE PACKAGE Preparedby: Maria Fatima M. Emperado Noted by: CLAUDETH S. MERCADO Ayungon Science High School Focal Person Ayungon District 2 3. What is the sum of the first 30 terms of 1, ,... 8 1 , 4 1 , 2 1 ? (Expected Answer:2) 4. Find the sum of the first 4 terms of the geometric sequence: 1 + 10 + 100 + 1000 +… (Expected Answer: 1, 111) K. Additional Activities for application or remediation Refer to attachment for more activities V. REMARKS VI. REFLECTION A. No. of learners who earned 80% in the evaluation A. ____ No. of learners who earned 80% in the evaluation B. No. of learners who require additional activities for remediation B. _____ No. of learners who require additional activities for remediation C. Did the remedial lessons work? No. of learners who have caught up the lesson C. Did the remedial lessons work? ______ No. of learners who have caught up the lesson D. No. of learners who continue to require remediation D. _____ No. of learners who continue to require remediation E. Which of my teaching strategies worked well? Why did these work? Strategies used that work well: ____ Group Collaboration ____ Games ____ Powerpoint Presentation ____ Answering preliminary activities/exercises ____ Discussion ____ Case Method ____ Think-Pair-Share ____ Rereading of Paragraphs?Poems/Stories ____ Differentiated Instruction ____ Role Playing/Drama ____ Discovery Method ____ Lecture Method Why?
  • 6.
    MATHEMATICS RESOURCE PACKAGE Preparedby: Maria Fatima M. Emperado Noted by: CLAUDETH S. MERCADO Ayungon Science High School Focal Person Ayungon District 2 ____ Complete IMs ____ Availability of Materials ____ Pupil’s eagerness to learn ____ Group member’s Cooperation in doing their tasks F. What difficulties did I encounter which my principal and supervisor help me solve? ____ Bullying among pupils ____ Pupil’s behavior/attitude ____ Colorful IM’s ____ Unavailable Technology ____ Equipment (AVR/LCD) ____Science/Computer/Internet Lab ____ Additional Clerical works ____ Reading Readiness G. What innovation or localized I used/discover which I wish to share with other teacher?
  • 7.
    MATHEMATICS RESOURCE PACKAGE Preparedby: Maria Fatima M. Emperado Noted by: CLAUDETH S. MERCADO Ayungon Science High School Focal Person Ayungon District 2 ATTACHMENT Day: 3 (1 day) Content: Finding the sum of the terms of a Finite Geometric Sequence DISCUSSIONS: The formula for the sum of the first n terms in a finite geometric sequence is 𝑆𝑛 = 𝑎1− 𝑎1𝑟𝑛 1−𝑟 or 𝑆𝑛 = 𝑎1(1− 𝑟𝑛) 1−𝑟 Where Sn – the sum n – number of terms a1 – the first term r – constant ration, r ≠ 1 Example 1: Find the sum of the geometric sequence 2, 4 3 , 8 9 , 16 27 , 32 81 , 64 243 Solution: a1 = 2, r = 2 3 , n = 6 𝑆𝑛 = 𝑎1− 𝑎1𝑟𝑛 1−𝑟 𝑆6 = 2−2( 2 3 )6 1− 2 3 𝑆6 = 2− 128 729 1 3 = 1330 729 1 3 = 3990 729 = 1330 243 Example 2: Find the sum of the geometric sequence 40, -20, 10, -5, 5/2, -5/4. Solution: a1 = 40, r = - 1 2 , n = 6 𝑆𝑛 = 𝑎1− 𝑎1𝑟𝑛 1−𝑟 𝑆6 = 40−40(− 1 2 )6 1−(− 1 2 ) 𝑆6 = 40− 5 8 3 2 = 315 8 3 2 = 315 12 = 105 4
  • 8.
    MATHEMATICS RESOURCE PACKAGE Preparedby: Maria Fatima M. Emperado Noted by: CLAUDETH S. MERCADO Ayungon Science High School Focal Person Ayungon District 2 SUPPLEMENTARY ACTIVITIES Note: The activities included here will be used only when needed. A. DIRECTION: Find the sum of the first n terms of the given geometric sequence. 1. 3, 6, 12,… n = 12 2. 12, 9, 4 27 ,… n = 5 3. -5, 15, -45,… n = 7 B. DIRECTION: Find the sum of the first n terms of the given geometric sequence. a) a1 = 0; r =1/2; S6 = ? b) a1 = 6; r = -2; S12 = ? c) a1 = 1; r = 3; S20 = ?
  • 9.
    MATHEMATICS RESOURCE PACKAGE Preparedby: Maria Fatima M. Emperado Noted by: CLAUDETH S. MERCADO Ayungon Science High School Focal Person Ayungon District 2 Activity 1: Reviewing Time! 3, 6, 12, 24 48, 24, 12, …
  • 10.
    MATHEMATICS RESOURCE PACKAGE Preparedby: Maria Fatima M. Emperado Noted by: CLAUDETH S. MERCADO Ayungon Science High School Focal Person Ayungon District 2 3 10 , 3 100 , 3 1000 , … 36, 18, … , 3/2
  • 11.
    MATHEMATICS RESOURCE PACKAGE Preparedby: Maria Fatima M. Emperado Noted by: CLAUDETH S. MERCADO Ayungon Science High School Focal Person Ayungon District 2 2, 4, 8, … 81, -27, 9, -3
  • 12.
    MATHEMATICS RESOURCE PACKAGE Preparedby: Maria Fatima M. Emperado Noted by: CLAUDETH S. MERCADO Ayungon Science High School Focal Person Ayungon District 2 0.4, 0.04, 0.004, … 3, -6, 12, -24
  • 13.
    MATHEMATICS RESOURCE PACKAGE Preparedby: Maria Fatima M. Emperado Noted by: CLAUDETH S. MERCADO Ayungon Science High School Focal Person Ayungon District 2 ACTIVITY 2: Want Sum? (Refer to Activity 6 of the LM pages 31 – 37, schools with LMs may not used this attachment)
  • 14.
    MATHEMATICS RESOURCE PACKAGE Preparedby: Maria Fatima M. Emperado Noted by: CLAUDETH S. MERCADO Ayungon Science High School Focal Person Ayungon District 2
  • 15.
    MATHEMATICS RESOURCE PACKAGE Preparedby: Maria Fatima M. Emperado Noted by: CLAUDETH S. MERCADO Ayungon Science High School Focal Person Ayungon District 2
  • 16.
    MATHEMATICS RESOURCE PACKAGE Preparedby: Maria Fatima M. Emperado Noted by: CLAUDETH S. MERCADO Ayungon Science High School Focal Person Ayungon District 2
  • 17.
    MATHEMATICS RESOURCE PACKAGE Preparedby: Maria Fatima M. Emperado Noted by: CLAUDETH S. MERCADO Ayungon Science High School Focal Person Ayungon District 2
  • 18.
    MATHEMATICS RESOURCE PACKAGE Preparedby: Maria Fatima M. Emperado Noted by: CLAUDETH S. MERCADO Ayungon Science High School Focal Person Ayungon District 2
  • 19.
    MATHEMATICS RESOURCE PACKAGE Preparedby: Maria Fatima M. Emperado Noted by: CLAUDETH S. MERCADO Ayungon Science High School Focal Person Ayungon District 2 NAME: YR. and SECTION: DATE:_____________ ACTIVITY 3: Find Me Please. Fill in the table with the correct values. No. a1 r n an Sn 1. 3 -4 8 2. 2 3 1 7 3. 32 8 4 1 4. -3 7 -2 916 5. 2 1 2 3 64 243 _______
  • 20.
    MATHEMATICS RESOURCE PACKAGE Preparedby: Maria Fatima M. Emperado Noted by: CLAUDETH S. MERCADO Ayungon Science High School Focal Person Ayungon District 2 ACTIVITY 4: Sum of Terms in a Geometric Sequence? (Refer to Activity 11 of the LM page 42, schools with LMs may not use this attachment) NAME: YR. and SECTION: DATE:________
  • 21.
    MATHEMATICS RESOURCE PACKAGE Preparedby: Maria Fatima M. Emperado Noted by: CLAUDETH S. MERCADO Ayungon Science High School Focal Person Ayungon District 2 ANSWER KEYS: SUPPLEMENTARY ACTIVITIES: A. B. 1. 12285 1. 0 2. 2343 64 2. – 8, 190 3. -2735 3. 1, 743, 392, 200 ACTIVITY 2: Want Sum?
  • 22.
    MATHEMATICS RESOURCE PACKAGE Preparedby: Maria Fatima M. Emperado Noted by: CLAUDETH S. MERCADO Ayungon Science High School Focal Person Ayungon District 2 ACTIVITY 3: Find Me Please… ACTIVITY 4: Sum of Terms in a Geometric Sequence A. 1. 484 2. -63 3. 0 4. -3 5. 6 No. a1 r n an Sn 1. 3 -4 8 (-49,152) (-39,321) 2. 2 3 1 7 ( 2 729 ) ( 2186 729 ) 3. 32 ( 1 2 ) 8 4 1 ( 255 4 ) 4. (-4) -3 7 -2 916 (-2188) 5. 2 1 2 3 (6) 64 243 ( 665 64 )
  • 23.
    MATHEMATICS RESOURCE PACKAGE Preparedby: Maria Fatima M. Emperado Noted by: CLAUDETH S. MERCADO Ayungon Science High School Focal Person Ayungon District 2 REFERENCES A. DepEd INSTRUCTIONAL MATERIALS: EASE Modules Year 2, Module 6: Searching For Patterns in Sequences, Arithmetic, Geometric and Others , pp. 2-6 Callanta, M., & et. al. (2015). Mathematics-Grade 10 Learner’s Module (1st Ed.). Pasig City: DepEd-IMCS B. BOOKS AND OTHER REFERENCES Bernabe, J. and Soledad, J. (2009) Intermediate Algebra Textbook for Second Year, Rev. Ed. Quezon City: SD Publications, Inc. K to 12 Curriculum Guide Mathematics. (2012). Department of Education, Philippines; C. INTERNET SOURCES: www.google.ph.com Geometric Sequence. Retrieved from http://coolmath.com/algebra/19-sequences- series/07-geometric-sequences01.html Geometric Sequence. Retrieved from http://coolmath.com/algebra/19-sequences-series/08- geometric-sequences01.html