Explain The Flow of Communication? 
Communication Flow: 
Business communication is a process of exchanging, explaining and promoting business. It is 
a proven fact that business success or survival is totally dependent on effect communication as it is 
the circuit of the business. The best way to study the important of communication is to observe the 
direction in which it flows with in an organization. 
i. Formal communication channels 
· Downward communication 
· Upward communication 
· Horizontal communication 
ii. Informal communication 
a. Internal communication: 
“Exchange of information with in an organization on different levels.” 
An exchange of information with in an organization is called internal communication. It takes place 
at different levels such as: 
· Formal communication channels 
· Informal communication channels 
b. Formal communication channels: 
Information may travel downward, upward and horizontal. 
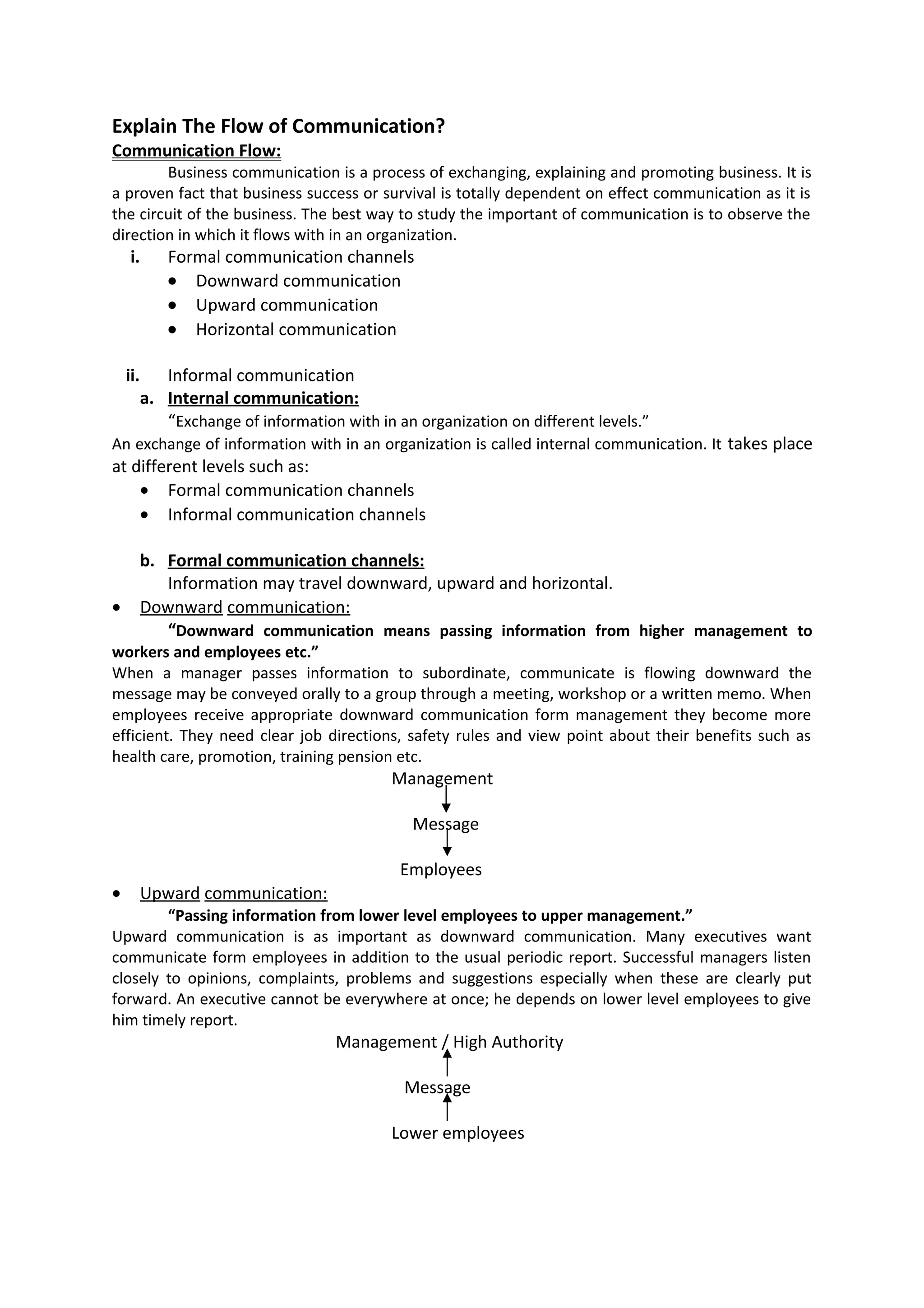
· Downward communication: 
“Downward communication means passing information from higher management to 
workers and employees etc.” 
When a manager passes information to subordinate, communicate is flowing downward the 
message may be conveyed orally to a group through a meeting, workshop or a written memo. When 
employees receive appropriate downward communication form management they become more 
efficient. They need clear job directions, safety rules and view point about their benefits such as 
health care, promotion, training pension etc. 
Management 
Message 
Employees 
· Upward communication: 
“Passing information from lower level employees to upper management.” 
Upward communication is as important as downward communication. Many executives want 
communicate form employees in addition to the usual periodic report. Successful managers listen 
closely to opinions, complaints, problems and suggestions especially when these are clearly put 
forward. An executive cannot be everywhere at once; he depends on lower level employees to give 
him timely report. 
Management / High Authority 
Message 
Lower employees
· Horizontal Communication: 
“Horizontal Communication means passing and receiving information between persons of 
same level of job or information.” 
In addition to transmitting messages up and down the organization, the formal communication 
network also carries messages horizontally from one department to another. Horizontal 
communication takes place between in organization in order to solve problems and to perform job 
duties. 
Informal communication channels: 
Every organization has one informal communication network. This is known as ‘the 
grapevine’. As people go about their work, they have causal conversations with their friends in the 
office, they joke and discuss many things like sports, movies their families etc. although many of 
these conversations deal with personal matters, business is often discussed as well. 
Ways of internal communication: 
Among various ways of internal communication with in organization are memos, reports, 
meetings, face to face discussions teleconferences and electronic mail etc. 
External communication: 
“Passing and receiving information from outside the organization.” 
Communication takes place outside the organization is called external communication. It helps to 
create a good reputation among other organizations and people. Ways of external communication: 
· External communication made through letters, proposals, telephone call, pamphlets, 
annual reports can win back an energy customer. It creates desire for firm’s product 
services. 
====================================
Explain the flow of communication?

Explain the flow of communication?

  • 1.
    Explain The Flowof Communication? Communication Flow: Business communication is a process of exchanging, explaining and promoting business. It is a proven fact that business success or survival is totally dependent on effect communication as it is the circuit of the business. The best way to study the important of communication is to observe the direction in which it flows with in an organization. i. Formal communication channels · Downward communication · Upward communication · Horizontal communication ii. Informal communication a. Internal communication: “Exchange of information with in an organization on different levels.” An exchange of information with in an organization is called internal communication. It takes place at different levels such as: · Formal communication channels · Informal communication channels b. Formal communication channels: Information may travel downward, upward and horizontal. · Downward communication: “Downward communication means passing information from higher management to workers and employees etc.” When a manager passes information to subordinate, communicate is flowing downward the message may be conveyed orally to a group through a meeting, workshop or a written memo. When employees receive appropriate downward communication form management they become more efficient. They need clear job directions, safety rules and view point about their benefits such as health care, promotion, training pension etc. Management Message Employees · Upward communication: “Passing information from lower level employees to upper management.” Upward communication is as important as downward communication. Many executives want communicate form employees in addition to the usual periodic report. Successful managers listen closely to opinions, complaints, problems and suggestions especially when these are clearly put forward. An executive cannot be everywhere at once; he depends on lower level employees to give him timely report. Management / High Authority Message Lower employees
  • 2.
    · Horizontal Communication: “Horizontal Communication means passing and receiving information between persons of same level of job or information.” In addition to transmitting messages up and down the organization, the formal communication network also carries messages horizontally from one department to another. Horizontal communication takes place between in organization in order to solve problems and to perform job duties. Informal communication channels: Every organization has one informal communication network. This is known as ‘the grapevine’. As people go about their work, they have causal conversations with their friends in the office, they joke and discuss many things like sports, movies their families etc. although many of these conversations deal with personal matters, business is often discussed as well. Ways of internal communication: Among various ways of internal communication with in organization are memos, reports, meetings, face to face discussions teleconferences and electronic mail etc. External communication: “Passing and receiving information from outside the organization.” Communication takes place outside the organization is called external communication. It helps to create a good reputation among other organizations and people. Ways of external communication: · External communication made through letters, proposals, telephone call, pamphlets, annual reports can win back an energy customer. It creates desire for firm’s product services. ====================================