Prepared by :
Muhammad .S. Amin
Estimation of Skin Factor by Using
Pressure Transient Testing Results
4/21/2015 1
4/21/2015 2
Objectives
 Introducing skin factor and formation damage.
 Introducing well testing as a tool to describe the productivity
and future of a reservoir.
 Different methods of well testing such as Drawdown and
Build Up tests has been applied to determine Skin factor
 We will integrate the pressure analysis approach with the
pressure integral analysis approach and develop a consistent
and applicable method for the analysis of well test data to
evaluate skin factor.
 In this project, PanSystem program will also be applied to
evaluate the effect and value of skin factor

 Formation damage is an undesirable operational and
economic problem that
can occur during the
various phases of oil
and gas recovery.
introduction
4/21/2015 2

 . Formation damage indicators include permeability
impairment, skin
damage, and
decrease of well
performance
Introduction
4/21/2015 4

 Formation damage can occur at any time during a
well’s history from the initial drilling and completion
of a wellbore through depletion of a reservoir by
production. Operations
such as drilling,
completion,
workovers and
stimulations.
Formation Damage in Oil Wells:
4/21/2015 5

 1. Shallow damage is the most common and makes
the biggest impact on production.
 2. It may take significant damage to create large
drops in production
 3. The problem, however, is that the highest
permeability zones are the easiest to damage, and
that can have a major impact on productivity
Observations on Damage:
4/21/2015 6

Causes of damage
4/21/2015 7

 Skin factor denoted by the symbol S .
 What ever is the reason of the pressure loss or losses
in production (flow efficiency) there is a measure of
severity of for this reduction which is called skin
factor (S).
 Skin has no physical dimension.
 Skin can be zero (no effect), positive or negative.
Concept of Skin factor
4/21/2015 8

 A restriction to flow.
 A distortion of the flow lines from the perfectly
normal to the well direction.
 May result from:
Positive Skin
St = Sfm + Sc +Spp
4/21/2015 9

Flow enhancement
May result from:
 Matrix stimulation (near-wellbore permeability
exceeds the natural value)
 Hydraulic fracturing
 Highly inclined wellbore
Negative Skin
4/21/2015 10

Effective wellbore radius
4/21/2015 11

Positive skin has the effect of reducing
wellbore radius.
Negative skin has the effect of
increasing wellbore radius
S
w wr r e
 
4/21/2015 12

Radius distribution
4/21/2015 13

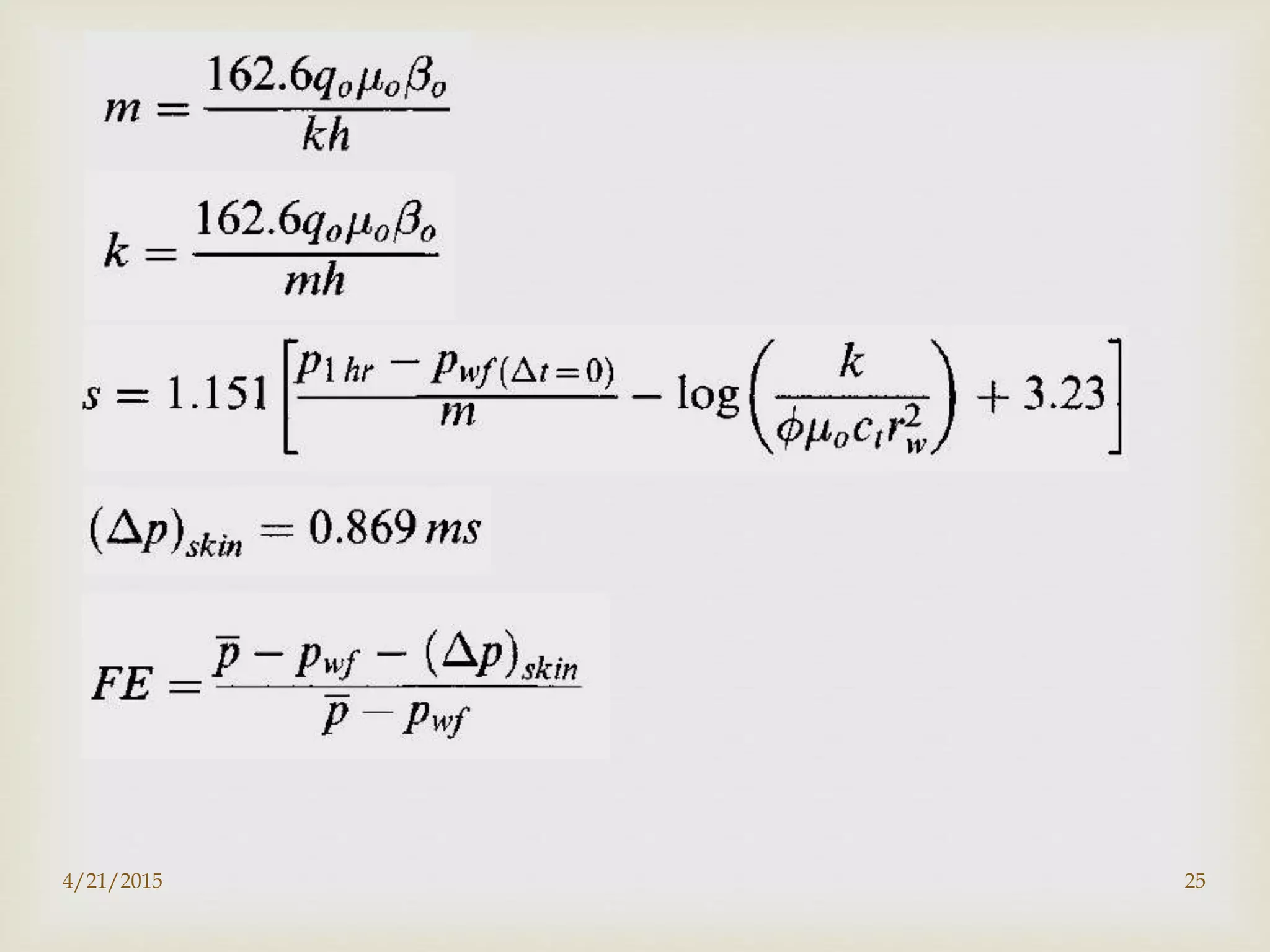
ΔΡskin = (ΔΡ2- ΔΡ1 ) = ( p3 – p2 ) - ( p3 – p1 )
ΔΡskin = ( p1 – p2 ) ………… (A)
Skin factor equations
141.2
2
o o o
S
q B
P S
kh


 
4/21/2015 14
No damage – no skin (ks = k)
Ideal drawdown:
Damage (ks < k)
Real drawdown:
,
141.2
ln
2
o o o s
S wf ideal
w
q B r
P P
kh r


 
   
 
,
141.2
ln
2
o o o s
S wf real
S w
q B r
P P
k h r


 
   
 
4/21/2015 15

Flow efficiency
Ideal drawdown
Real drawdown
F 
 
 
,
,
S wf ideal s
S wf real
P P k
F
kP P

 

F < 1: Damaged well
(skin is positive)
F = 1: No change (skin
is zero)
F > 1: Stimulated well
(skin is negative)4/21/2015 16

To determine the following parameters
 Initial pressure (p)
 Average pressure within the drainage boundary (p)
 Permeability thickness product(kh) and
permeability(k)
 Mechanical skin factor (S)
 Area drained (A)
Why test a well
4/21/2015 17

• Pressure Drawdown
• Pressure Build up
• Multirate
• Injection/fall-off
• Interference
• Pulse
Types of Well Tests
4/21/2015 18

shut in the well till pressure reaches static level & then
flowing the
well at a constant
rate ,q &
measuring Pwf.
Pressure Drawdown Tests
4/21/2015 19
Pressure Drawdown Tests
Semilog plot of pressure drawdown data4/21/2015 20

Pressure Drawdown Tests
4/21/2015 21

•Advantages:
–Suitable in new wells
–No need to lose production
– K, S, reservoir size can be determined
•Disadvantages:
–Difficult to maintain constant production rate.
Pressure Drawdown Tests
4/21/2015 22

•Most preferred well testing technique
•The well is first produced at a constant rate till
pressure is stabilized
and then the well is
shut in
•Pressure is recorded
as a function of time
Pressure Build-up Tests
Shut in
flowing
4/21/2015 23
•
Horner relationship on semi-log plot
4/21/2015 24
4/21/2015 25

•Advantages:
–Precise control of rate
–P* can be determined
•Disadvantages:
–Loss of production due to shut in.
Pressure Build-up Tests
4/21/2015 26
 Formation damage can be occurred in different stages of oil
well operations.
 Skin factors can be positive or negative .
 Well testing can help reservoir engineer as a formation
evaluation tool to describe the future performance of oil wells
in terms of pressure drop and flow efficiency.
 Different methods of well testing such as Build-up,
drawdown, injection, fall of, can be applied at different case
to determine skin factor of oil wells.
 Petroleum engineer need to monitor oil well timely, therefore
different action need to be don,
 Sometime formation damage can be due to partial penetration
. of the pay zone .
Conclusion
4/21/2015 27

Execution remained testes
PanSystem
4/21/2015 28
Future catalogue

 Clegg, J. D.: “Production Operations Engineering,”
Petroleum Engineering Handbook, Vol. IV, SPE,
2007.
 Economides, M. J., Hill, A. D., and Ehlig-
Economides, C.: “Petroleum Production Systems,”
Prentice Hall, PTR, 1994.
 Bellarby, J.: “Well Completion Design,” 1st Ed., Elsevier
B.V., 2009.
Refrences
4/21/2015 29

4/21/2015 30

Estimation of skin factor by using pressure transient

  • 1.
    Prepared by : Muhammad.S. Amin Estimation of Skin Factor by Using Pressure Transient Testing Results 4/21/2015 1
  • 2.
    4/21/2015 2 Objectives  Introducingskin factor and formation damage.  Introducing well testing as a tool to describe the productivity and future of a reservoir.  Different methods of well testing such as Drawdown and Build Up tests has been applied to determine Skin factor  We will integrate the pressure analysis approach with the pressure integral analysis approach and develop a consistent and applicable method for the analysis of well test data to evaluate skin factor.  In this project, PanSystem program will also be applied to evaluate the effect and value of skin factor
  • 3.
      Formation damageis an undesirable operational and economic problem that can occur during the various phases of oil and gas recovery. introduction 4/21/2015 2
  • 4.
      . Formationdamage indicators include permeability impairment, skin damage, and decrease of well performance Introduction 4/21/2015 4
  • 5.
      Formation damagecan occur at any time during a well’s history from the initial drilling and completion of a wellbore through depletion of a reservoir by production. Operations such as drilling, completion, workovers and stimulations. Formation Damage in Oil Wells: 4/21/2015 5
  • 6.
      1. Shallowdamage is the most common and makes the biggest impact on production.  2. It may take significant damage to create large drops in production  3. The problem, however, is that the highest permeability zones are the easiest to damage, and that can have a major impact on productivity Observations on Damage: 4/21/2015 6
  • 7.
  • 8.
      Skin factordenoted by the symbol S .  What ever is the reason of the pressure loss or losses in production (flow efficiency) there is a measure of severity of for this reduction which is called skin factor (S).  Skin has no physical dimension.  Skin can be zero (no effect), positive or negative. Concept of Skin factor 4/21/2015 8
  • 9.
      A restrictionto flow.  A distortion of the flow lines from the perfectly normal to the well direction.  May result from: Positive Skin St = Sfm + Sc +Spp 4/21/2015 9
  • 10.
     Flow enhancement May resultfrom:  Matrix stimulation (near-wellbore permeability exceeds the natural value)  Hydraulic fracturing  Highly inclined wellbore Negative Skin 4/21/2015 10
  • 11.
  • 12.
     Positive skin hasthe effect of reducing wellbore radius. Negative skin has the effect of increasing wellbore radius S w wr r e   4/21/2015 12
  • 13.
  • 14.
     ΔΡskin = (ΔΡ2-ΔΡ1 ) = ( p3 – p2 ) - ( p3 – p1 ) ΔΡskin = ( p1 – p2 ) ………… (A) Skin factor equations 141.2 2 o o o S q B P S kh     4/21/2015 14
  • 15.
    No damage –no skin (ks = k) Ideal drawdown: Damage (ks < k) Real drawdown: , 141.2 ln 2 o o o s S wf ideal w q B r P P kh r           , 141.2 ln 2 o o o s S wf real S w q B r P P k h r           4/21/2015 15
  • 16.
     Flow efficiency Ideal drawdown Realdrawdown F      , , S wf ideal s S wf real P P k F kP P     F < 1: Damaged well (skin is positive) F = 1: No change (skin is zero) F > 1: Stimulated well (skin is negative)4/21/2015 16
  • 17.
     To determine thefollowing parameters  Initial pressure (p)  Average pressure within the drainage boundary (p)  Permeability thickness product(kh) and permeability(k)  Mechanical skin factor (S)  Area drained (A) Why test a well 4/21/2015 17
  • 18.
     • Pressure Drawdown •Pressure Build up • Multirate • Injection/fall-off • Interference • Pulse Types of Well Tests 4/21/2015 18
  • 19.
     shut in thewell till pressure reaches static level & then flowing the well at a constant rate ,q & measuring Pwf. Pressure Drawdown Tests 4/21/2015 19
  • 20.
    Pressure Drawdown Tests Semilogplot of pressure drawdown data4/21/2015 20
  • 21.
  • 22.
     •Advantages: –Suitable in newwells –No need to lose production – K, S, reservoir size can be determined •Disadvantages: –Difficult to maintain constant production rate. Pressure Drawdown Tests 4/21/2015 22
  • 23.
     •Most preferred welltesting technique •The well is first produced at a constant rate till pressure is stabilized and then the well is shut in •Pressure is recorded as a function of time Pressure Build-up Tests Shut in flowing 4/21/2015 23
  • 24.
    • Horner relationship onsemi-log plot 4/21/2015 24
  • 25.
  • 26.
     •Advantages: –Precise control ofrate –P* can be determined •Disadvantages: –Loss of production due to shut in. Pressure Build-up Tests 4/21/2015 26
  • 27.
     Formation damagecan be occurred in different stages of oil well operations.  Skin factors can be positive or negative .  Well testing can help reservoir engineer as a formation evaluation tool to describe the future performance of oil wells in terms of pressure drop and flow efficiency.  Different methods of well testing such as Build-up, drawdown, injection, fall of, can be applied at different case to determine skin factor of oil wells.  Petroleum engineer need to monitor oil well timely, therefore different action need to be don,  Sometime formation damage can be due to partial penetration . of the pay zone . Conclusion 4/21/2015 27
  • 28.
  • 29.
      Clegg, J.D.: “Production Operations Engineering,” Petroleum Engineering Handbook, Vol. IV, SPE, 2007.  Economides, M. J., Hill, A. D., and Ehlig- Economides, C.: “Petroleum Production Systems,” Prentice Hall, PTR, 1994.  Bellarby, J.: “Well Completion Design,” 1st Ed., Elsevier B.V., 2009. Refrences 4/21/2015 29
  • 30.

Editor's Notes

  • #22 And you can find E from j actual/ j ideal