What is DNA Sequencing?
Determination of nucleotide sequence of
specific DNA molecule.
5'-ACGT-3‘ ( a four nucleotide DNA
molecule)
5'-CGCAAATTCGATCCAATCGTA-3'
Why DNA sequencing ?
To know its conformation
To make prediction about its function
To facilitate manipulation of DNA molecule
To compare two molecules i.e. Normal and
Mutant
Beginning of DNA Sequencing
Prior to 1970’s - no satisfactory method of
sequencing DNA.
One of the method included + and – method
of sequencing.
Scientists depended on the REVERSE
GENETICS for finding the sequence of DNA.
Problem: Degeneracy of amino acids.
DNA Sequencing Methods
Two basic methods of sequencing:
1. Chemical Degradation (Maxam and Gilbert)
Method.
2. Chain Termination /Dideoxy (Sanger)
Method.
Sanger's Method:
Maxam-Gilbert's Method:
32
P
32
P ATCGATCG
32
P ATCG
AT
ATCGAT
ATCG
TAGCTAGCTA
TAGCTAGCTA
TAGCTAGCTA
ATCGA
Specific Reaction to G
ATCG
STOP
32
P
A
Terminated
Keep on going
Biosynthetic method
Chemical
method
Template
or
Non-radioactive
(invisible)
A,T,C,G
32
P
A
Terminator
Destroy → Cleavage
Destroy → Cleavage
ATCGATCGAT
Producing various fragments
Analysis of Recombinant clone by
Nucleotide Sequencing
Both methods create nested set of DNA
molecule in which their length represents
the distance from a fixed point (i.e. primer)
to a specific base.
These fragments are then resolved by gel
electrophoresis.
Chemical Degradation Method
 A. Maxam and W. Gilbert published a
paper – “A new method of sequencing
DNA” in 1977
Chemical Degradation Method
 Uses the base specific chemical cleavage of an end-
labeled DNA molecule to generate a nested set of
labeled molecules, each terminating at a specific
base. Base specific reactions are so designed, so as to
modify only a small proportion of the specific base.
 Following high resolution denaturing gel
electrophoresis and detection of the labeled
fragments by autoradiography, the sequence of the
original DNA can be read from the resulting
sequencing ‘ladder’.
 It involved a three step catalytic process
1. Chemical alteration of bases.
2. Chemical removal of altered bases.
3. Chemical cleavage of sugar without bases.
Three Step Catalytic Process
Reagents used in Maxam Gilbert method
Acid : Formic Acid
Base: NaOH
Chemical Cleavage Method Reactions
G-specific cleavage: with dimethyl sulfate,
followed by strand scission with piperidine
G/A cleavage: depurination with mild acid,
followed by piperidine
C/T cleavage: ring hydrolysis by hydrazine,
followed by piperidine
C cleavage: same method (hydrazine and
piperidine), but high salt protects T residues
DNA Double Stranded Structure
DNA Backbone: 5’-d(CGAAT)
Alternating backbone of
deoxyribose and
phosphodiester groups
Chain has a direction
(known as polarity), 5'- to
3'- from top to bottom
Oxygens (red atoms) of
phosphates are polar and
negatively charged
A, G, C, and T bases extend
away from chain, and stack
on-top each other
Bases are hydrophobic
Advantages of Maxam and Gilbert method
The sequence can be determined from within
a DNA of unknown sequence, based only on
a restriction map.
Sequence can be determined very close to the
labeled site (within 2-3 bases).
The sequence is obtained from the original
DNA molecule, rather than an enzymatic
copy.
Disadvantages of Maxam and Gilbert method
Less Sequence is normally obtained.
Reactions are generally slower and less
reliable.
Reactions require hazardous chemicals.
Applications of Maxam and Gilbert method
Sequencing of original DNA molecule.
Sequence verification of synthetic oligo-
nucleotides.
Studying DNA-protein interactions by
footprinting.
Analysis of molecules containing stable
hairpin loops or mononucleotide runs, which
are difficult to deal by chain termination
method.
Chain Termination Method
F. Sanger published a
paper “DNA
Sequencing with
Chain-Terminating
Inhibitors” in 1977.
Described a new
technique of
sequencing of DNA
using Dideoxy ribose
nucleotides
(ddNTPs).
Chain Termination/Dideoxy method
Uses the DIDEOXY molecules to cause
premature termination of DNA synthesis,
creating fragments of varying length.
These fragments are specific for the last base.
Dideoxy method
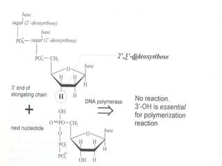
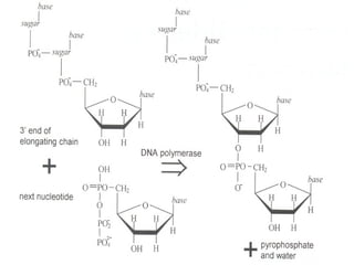
In vitro DNA synthesis - DNA polymerase
ddNTPs are incorporated into a growing DNA
chain through 5' phosphate groups.
Lack 3'-OH group – must for elongation.
Chain terminates at the precise point.
Four sets of reactions performed on each
template, differing only in which of the four
ddNTP is added.
Resolved by high resolution gel
electrophoresis.
Gives a ‘ladder’ of bands from which the
sequence can be read
 Involves the enzymatic synthesis of new
polynucleotides on a ssDNA template
 Each polynucleotide starts at an oligonucleotide
primer and is terminated by incorporation of a
modified nucleotide which prevents further
elongation
 Most of the time, the polymerase uses normal
nucleotides and DNA molecules grow normally
 Occasionally, the polymerase uses a
dideoxynucleotide, which adds to the chain and
then prevents further growth in that molecule
 Random insertion of dd-nucleotides leaves
(optimally) at least a few chains terminated at
every occurrence of a given nucleotide
Contd…
Components of Chain
Termination Sequencing
1. ssDNA template: Cloned DNA whose
sequence will be determined – obtained by
ssDNA.
 The DNA – cloned into vector containing an
f1 or M13 origin of replication.
The DNA can be cloned into a standard
plasmid and obtained as dsDNA, which is
fully denatured by treating with alkali.
Contd…
2. The Primer: anneals to the template DNA
and defines the position at which strand
synthesis begins.
Needed because template dependent
DNA polymerases are unable to initiate
DNA synthesis on an entirely single
stranded molecule.
Ensures that all strands synthesized have
one common end – shows the length of
sequence
Contd…
3. The DNA Polymerase
High processivity
Negligible or zero 5'→3' exonuclease
activity
Negligible or zero 3'→5' exonuclease
activity (Proof-reading)
4. ddNTPs
5. dNTPs
Outline of Chain termination method
3'-GCTGATCTCCGA-5‘ Template strand
S35
-CG
S35
-CGACTAG
S35
-CGACTAGAG
S35
-CGACTAGAGG
Chance incorporation of ddG prevents
further elongation of the chain.
DNA Replication in the Presence of ddNTPs
DNA replication in the
presence of both dNTPs
and ddNTPs will terminate
the growing DNA strand at
each base.
In the presence of 5%
ddTTPs and 95% dTTPs
Taq polymerase will
incorporate a terminating
ddTTP at each ‘T’ position
in the growing DNA strand.
Note: DNA is replicated in
the 5’ to 3’ direction.
Polymerase Chain Reaction
Gel Electrophoresis DNA Fragment Size
Determination
DNA is negatively charged
because of the Phosphate
groups that make up the
DNA Phosphate backbone.
Gel Electrophoresis separates
DNA by fragment size. The
larger the DNA piece the
slower it will progress
through the gel matrix
toward the positive cathode.
Conversely, the smaller the
DNA fragment, the faster it
will travel through the gel.
Putting It All Together
Using gel electrophoresis
to separate each DNA
fragment that differs by a
single nucleotide will
band each fluorescently
tagged terminating
ddNTP producing a
sequencing read.
The gel is read from the
bottom up, from 5’ to 3’,
from smallest to largest
DNA fragment.
Dideoxy
method
Advantages of Sanger Method
Reactions are generally faster.
Does not require hazardous chemicals.
Can be used with limited quantity of DNA.
Only “Single” labeled DNA molecule is
produced from each primer-template
complex.
Hence limited sensitivity: based on the
quantity of DNA that can be used in a
reaction.
Disadvantages of Sanger Method
Cycle / Automated Sequencing
Sequencing reaction-------- Denaturation
-----------Sequencing reaction.
Repeated Denaturation: Thermal Cycling at
94-96°C and cooling below the melting
temperature of primer will allow it to
anneal .
In each cycle, the primer is annealed to the
template, dideoxy reaction is performed and
newly synthesized double stranded DNA is
denatured.
This allows a linear amplification of the
amount of labeled material present in the
reaction, and so less template DNA is
required.
In combination with florescent labels and
semi automated sequencers, this method is
widely used.
Components of Cycle Sequencing
Taq DNA Polymerase
Primer
ssDNA
dNTPs and ddNTPs
Label –
1)Fluorescent dyes
2)Radio active isotopes
3)Haptenes
DNA Polymerase
Cycle Sequencing: Taq DNA polymerase
• AmpliTaq: Two Mutations in Taq.
1. 5’ -3’ exonuclease activity is absent.
2. ddNTP’s efficient incorporation.
Primer
• Quality is important.
• If one base shorter– ghost bands
• If second binding site– superimposed sets
of sequences.
Label
• Label is must to detect the newly
synthesized strands after Gel
Electrophoresis.
• Two things are important:
1. Type of label i.e. radioactive , haptens or
fluorescent.
2. Site of incorporation.
Label
Label can be incorporated with primer or with ddNTP or
with dNTP.
With dNTP
Advantage: Multiple radiolabels/strand
Facilitates the use of relatively low energy beta particles
i.e 35S, which gives sharp bands.
With ddNTP
Detects only chain terminated by incorporation of
ddNTP and not False termination.
But the sensitivity is low as only one molecule per
strand is labeled.
Reactions can be performed in a single tube if using
florescent labels.
With Primer
Requires four different set of reactions.
Contd...
Types of Labels
Labels
Radioactive Haptens Fluorescent
Radioactive labels
Radioactive labels
32
P 33
P 35
S
Radioactive labels
Advantages of Radioactive Labels
Precise
Easy to detect
Disadvantages of Radioactive Labels
Safety
Limited self life
Fluorescent label
In 1986, Leory Hood et. al. reported the use
of florescent labels, laser induced florescence
detection and computerised base calling.
They used labeled Primers.
Commercialized by Applied Biosystems in
1987.
Haptenes Labels
E.g. Biotin or digoxigenin.
Cannot be detected directly, requires
enzymatic detection system.
Advantages:
 Does not require radioisotopes.
 Time for running the gel is generally reduced as
autoradiography is eliminated.
Disadvantages of Haptens:
 Data obtained is of poor quality.
 Requires additional manipulations.
Fluorescent label
James Prober et. al.(1987) gave more elegant
chemistry, in which they labeled the ddNTPs
with four different dyes of the same family.
They used succinylflurescein based dyes.
Slight shifts in the emission wavelengths was
achieved by changing the side groups.
This facilitated the sequencing reaction to be
performed in a single tube and automated
base calling.
Raw Automated Sequencing Data
A 5 lane example of
raw automated
sequencing data.
Green: ddATP
Red: ddTTP
Yellow: ddGTP
Blue: ddCTP
Analyzed Raw Data
In addition to nucleotide sequence text files the automated
sequencer also provides trace diagrams.
Trace diagrams are analyzed by base calling programs
that use dynamic programming to match predicted and
occurring peak intensity and peak location.
Base calling programs predict nucleotide locations in
sequencing reads where data anomalies occur. Such as
multiple peaks at one nucleotide location, spread out
peaks, low intensity peaks.
Shotgun Sequencing: Assembly of
Random Sequence Fragments
To sequence a Bacterial Artificial Chromosome (100-300Kb), millions of copies are
sheared randomly, inserted into plasmids, and then sequenced. If enough fragments are
sequenced, it will be possible to reconstruct the BAC based on overlapping fragments.
Thanks for
your
attention!!

DIFFERENT METHODS FOR DNA SEQUENCING : A PRESENTATION

  • 2.
    What is DNASequencing? Determination of nucleotide sequence of specific DNA molecule. 5'-ACGT-3‘ ( a four nucleotide DNA molecule) 5'-CGCAAATTCGATCCAATCGTA-3'
  • 3.
    Why DNA sequencing? To know its conformation To make prediction about its function To facilitate manipulation of DNA molecule To compare two molecules i.e. Normal and Mutant
  • 4.
    Beginning of DNASequencing Prior to 1970’s - no satisfactory method of sequencing DNA. One of the method included + and – method of sequencing. Scientists depended on the REVERSE GENETICS for finding the sequence of DNA. Problem: Degeneracy of amino acids.
  • 5.
    DNA Sequencing Methods Twobasic methods of sequencing: 1. Chemical Degradation (Maxam and Gilbert) Method. 2. Chain Termination /Dideoxy (Sanger) Method.
  • 6.
    Sanger's Method: Maxam-Gilbert's Method: 32 P 32 PATCGATCG 32 P ATCG AT ATCGAT ATCG TAGCTAGCTA TAGCTAGCTA TAGCTAGCTA ATCGA Specific Reaction to G ATCG STOP 32 P A Terminated Keep on going Biosynthetic method Chemical method Template or Non-radioactive (invisible) A,T,C,G 32 P A Terminator Destroy → Cleavage Destroy → Cleavage ATCGATCGAT Producing various fragments Analysis of Recombinant clone by Nucleotide Sequencing
  • 7.
    Both methods createnested set of DNA molecule in which their length represents the distance from a fixed point (i.e. primer) to a specific base. These fragments are then resolved by gel electrophoresis.
  • 8.
    Chemical Degradation Method A. Maxam and W. Gilbert published a paper – “A new method of sequencing DNA” in 1977
  • 9.
    Chemical Degradation Method Uses the base specific chemical cleavage of an end- labeled DNA molecule to generate a nested set of labeled molecules, each terminating at a specific base. Base specific reactions are so designed, so as to modify only a small proportion of the specific base.  Following high resolution denaturing gel electrophoresis and detection of the labeled fragments by autoradiography, the sequence of the original DNA can be read from the resulting sequencing ‘ladder’.  It involved a three step catalytic process 1. Chemical alteration of bases. 2. Chemical removal of altered bases. 3. Chemical cleavage of sugar without bases.
  • 10.
  • 11.
    Reagents used inMaxam Gilbert method Acid : Formic Acid Base: NaOH
  • 12.
    Chemical Cleavage MethodReactions G-specific cleavage: with dimethyl sulfate, followed by strand scission with piperidine G/A cleavage: depurination with mild acid, followed by piperidine C/T cleavage: ring hydrolysis by hydrazine, followed by piperidine C cleavage: same method (hydrazine and piperidine), but high salt protects T residues
  • 13.
  • 14.
    DNA Backbone: 5’-d(CGAAT) Alternatingbackbone of deoxyribose and phosphodiester groups Chain has a direction (known as polarity), 5'- to 3'- from top to bottom Oxygens (red atoms) of phosphates are polar and negatively charged A, G, C, and T bases extend away from chain, and stack on-top each other Bases are hydrophobic
  • 19.
    Advantages of Maxamand Gilbert method The sequence can be determined from within a DNA of unknown sequence, based only on a restriction map. Sequence can be determined very close to the labeled site (within 2-3 bases). The sequence is obtained from the original DNA molecule, rather than an enzymatic copy.
  • 20.
    Disadvantages of Maxamand Gilbert method Less Sequence is normally obtained. Reactions are generally slower and less reliable. Reactions require hazardous chemicals.
  • 21.
    Applications of Maxamand Gilbert method Sequencing of original DNA molecule. Sequence verification of synthetic oligo- nucleotides. Studying DNA-protein interactions by footprinting. Analysis of molecules containing stable hairpin loops or mononucleotide runs, which are difficult to deal by chain termination method.
  • 22.
    Chain Termination Method F.Sanger published a paper “DNA Sequencing with Chain-Terminating Inhibitors” in 1977. Described a new technique of sequencing of DNA using Dideoxy ribose nucleotides (ddNTPs).
  • 23.
    Chain Termination/Dideoxy method Usesthe DIDEOXY molecules to cause premature termination of DNA synthesis, creating fragments of varying length. These fragments are specific for the last base.
  • 26.
    Dideoxy method In vitroDNA synthesis - DNA polymerase ddNTPs are incorporated into a growing DNA chain through 5' phosphate groups. Lack 3'-OH group – must for elongation. Chain terminates at the precise point. Four sets of reactions performed on each template, differing only in which of the four ddNTP is added. Resolved by high resolution gel electrophoresis. Gives a ‘ladder’ of bands from which the sequence can be read
  • 27.
     Involves theenzymatic synthesis of new polynucleotides on a ssDNA template  Each polynucleotide starts at an oligonucleotide primer and is terminated by incorporation of a modified nucleotide which prevents further elongation  Most of the time, the polymerase uses normal nucleotides and DNA molecules grow normally  Occasionally, the polymerase uses a dideoxynucleotide, which adds to the chain and then prevents further growth in that molecule  Random insertion of dd-nucleotides leaves (optimally) at least a few chains terminated at every occurrence of a given nucleotide Contd…
  • 29.
    Components of Chain TerminationSequencing 1. ssDNA template: Cloned DNA whose sequence will be determined – obtained by ssDNA.  The DNA – cloned into vector containing an f1 or M13 origin of replication. The DNA can be cloned into a standard plasmid and obtained as dsDNA, which is fully denatured by treating with alkali.
  • 30.
    Contd… 2. The Primer:anneals to the template DNA and defines the position at which strand synthesis begins. Needed because template dependent DNA polymerases are unable to initiate DNA synthesis on an entirely single stranded molecule. Ensures that all strands synthesized have one common end – shows the length of sequence
  • 31.
    Contd… 3. The DNAPolymerase High processivity Negligible or zero 5'→3' exonuclease activity Negligible or zero 3'→5' exonuclease activity (Proof-reading) 4. ddNTPs 5. dNTPs
  • 32.
    Outline of Chaintermination method 3'-GCTGATCTCCGA-5‘ Template strand S35 -CG S35 -CGACTAG S35 -CGACTAGAG S35 -CGACTAGAGG Chance incorporation of ddG prevents further elongation of the chain.
  • 33.
    DNA Replication inthe Presence of ddNTPs DNA replication in the presence of both dNTPs and ddNTPs will terminate the growing DNA strand at each base. In the presence of 5% ddTTPs and 95% dTTPs Taq polymerase will incorporate a terminating ddTTP at each ‘T’ position in the growing DNA strand. Note: DNA is replicated in the 5’ to 3’ direction.
  • 34.
  • 35.
    Gel Electrophoresis DNAFragment Size Determination DNA is negatively charged because of the Phosphate groups that make up the DNA Phosphate backbone. Gel Electrophoresis separates DNA by fragment size. The larger the DNA piece the slower it will progress through the gel matrix toward the positive cathode. Conversely, the smaller the DNA fragment, the faster it will travel through the gel.
  • 36.
    Putting It AllTogether Using gel electrophoresis to separate each DNA fragment that differs by a single nucleotide will band each fluorescently tagged terminating ddNTP producing a sequencing read. The gel is read from the bottom up, from 5’ to 3’, from smallest to largest DNA fragment.
  • 37.
  • 38.
    Advantages of SangerMethod Reactions are generally faster. Does not require hazardous chemicals. Can be used with limited quantity of DNA.
  • 39.
    Only “Single” labeledDNA molecule is produced from each primer-template complex. Hence limited sensitivity: based on the quantity of DNA that can be used in a reaction. Disadvantages of Sanger Method
  • 40.
    Cycle / AutomatedSequencing Sequencing reaction-------- Denaturation -----------Sequencing reaction. Repeated Denaturation: Thermal Cycling at 94-96°C and cooling below the melting temperature of primer will allow it to anneal . In each cycle, the primer is annealed to the template, dideoxy reaction is performed and newly synthesized double stranded DNA is denatured.
  • 41.
    This allows alinear amplification of the amount of labeled material present in the reaction, and so less template DNA is required. In combination with florescent labels and semi automated sequencers, this method is widely used.
  • 42.
    Components of CycleSequencing Taq DNA Polymerase Primer ssDNA dNTPs and ddNTPs Label – 1)Fluorescent dyes 2)Radio active isotopes 3)Haptenes
  • 43.
    DNA Polymerase Cycle Sequencing:Taq DNA polymerase • AmpliTaq: Two Mutations in Taq. 1. 5’ -3’ exonuclease activity is absent. 2. ddNTP’s efficient incorporation.
  • 44.
    Primer • Quality isimportant. • If one base shorter– ghost bands • If second binding site– superimposed sets of sequences.
  • 45.
    Label • Label ismust to detect the newly synthesized strands after Gel Electrophoresis. • Two things are important: 1. Type of label i.e. radioactive , haptens or fluorescent. 2. Site of incorporation.
  • 46.
  • 47.
    Label can beincorporated with primer or with ddNTP or with dNTP. With dNTP Advantage: Multiple radiolabels/strand Facilitates the use of relatively low energy beta particles i.e 35S, which gives sharp bands. With ddNTP Detects only chain terminated by incorporation of ddNTP and not False termination. But the sensitivity is low as only one molecule per strand is labeled. Reactions can be performed in a single tube if using florescent labels. With Primer Requires four different set of reactions. Contd...
  • 48.
  • 49.
  • 50.
    Radioactive labels Advantages ofRadioactive Labels Precise Easy to detect Disadvantages of Radioactive Labels Safety Limited self life
  • 51.
    Fluorescent label In 1986,Leory Hood et. al. reported the use of florescent labels, laser induced florescence detection and computerised base calling. They used labeled Primers. Commercialized by Applied Biosystems in 1987.
  • 52.
    Haptenes Labels E.g. Biotinor digoxigenin. Cannot be detected directly, requires enzymatic detection system. Advantages:  Does not require radioisotopes.  Time for running the gel is generally reduced as autoradiography is eliminated. Disadvantages of Haptens:  Data obtained is of poor quality.  Requires additional manipulations.
  • 53.
    Fluorescent label James Proberet. al.(1987) gave more elegant chemistry, in which they labeled the ddNTPs with four different dyes of the same family. They used succinylflurescein based dyes. Slight shifts in the emission wavelengths was achieved by changing the side groups. This facilitated the sequencing reaction to be performed in a single tube and automated base calling.
  • 57.
    Raw Automated SequencingData A 5 lane example of raw automated sequencing data. Green: ddATP Red: ddTTP Yellow: ddGTP Blue: ddCTP
  • 59.
    Analyzed Raw Data Inaddition to nucleotide sequence text files the automated sequencer also provides trace diagrams. Trace diagrams are analyzed by base calling programs that use dynamic programming to match predicted and occurring peak intensity and peak location. Base calling programs predict nucleotide locations in sequencing reads where data anomalies occur. Such as multiple peaks at one nucleotide location, spread out peaks, low intensity peaks.
  • 60.
    Shotgun Sequencing: Assemblyof Random Sequence Fragments To sequence a Bacterial Artificial Chromosome (100-300Kb), millions of copies are sheared randomly, inserted into plasmids, and then sequenced. If enough fragments are sequenced, it will be possible to reconstruct the BAC based on overlapping fragments.
  • 61.