Design of Gears
2.1. Introduction
1.Gears are defined as toothed wheels, which transmit
power and motion from one shaft to another by means
of successive engagement of teeth. The center distance
between the shafts is relatively small.
2. It can transmit very large power.
3. It is a positive, and the velocity ratio remains
constant.
4. It can transmit motion at a very low velocity.
2.2. CLASSIFICATION OF GEARS
Four groups:
1) Spur Gears
2) Helical gears
3) Bevel gears
4) Worm Gears
According to the type of gearing. may be classified as :
(a) External gearing, (b) Internal gearing, and (c) Rack
and pinion.
1. Pitch circle. It is an imaginary circle which by pure rolling
action, would give the same motion as the actual gear.
2. Pitch circle diameter. It is the diameter of the pitch
circle. The size of the gear is usually specified by the pitch
circle diameter. It is also called as pitch diameter.
3. Pitch point. It is a common point of contact between two
pitch circles.
4. Pitch surface. It is the surface of the rolling discs which
the meshing gears have replaced at the pitch circle.
5. Pressure angle or angle of obliquity. It is the angle
between the common normal to two gear teeth at the point
of contact and the common tangent at the pitch point.
It is usually denoted by φ. The standard pressure angles are 14 /2° and
20°.
6. Addendum. It is the radial distance of a tooth from the pitch circle to
the top of the tooth.
7. Dedendum. It is the radial distance of a tooth from the pitch circle to
the bottom of the tooth.
8. Addendum circle. It is the circle drawn through the top of the teeth
and is concentric with the pitch circle.
9. Dedendum circle. It is the circle drawn through the bottom of the
teeth. It is also called root circle.
Note : Root circle diameter = Pitch circle diameter × cos φ, where φ is
the pressure angle.
10. Circular pitch. It is the distance measured on the
circumference of the pitch circle from a point of one tooth
to the corresponding point on the next tooth. It is usually
denoted by .
Mathematically,
Circular pitch = π D/T
Where
D = Diameter of the pitch circle, and
T = Number of teeth on the wheel.
 A little consideration will show that the two gears will
mesh together correctly, if the two wheels have the same
circular pitch.
Note : If D1 and D2 are the diameters of the two meshing
gears having the teeth T1 and T2 respectively; then for
them to mesh correctly,
11. Diametral pitch. It is the ratio of number of teeth to the
pitch circle diameter in millimeters. It denoted by pd.
Mathematically,
where T = Number of teeth, and
D = Pitch circle diameter
12. Module. It is the ratio of the pitch circle diameter in
millimeters to the number of teeth. It is usually denoted by m.
Mathematically, Module, m = D / T
Note : The recommended series of modules in Indian
Standard are 1, 1.25, 1.5, 2, 2.5, 3, 4, 5, 6, 8, 10, 12, 16,
20, 25, 32, 40 and 50.
The modules 1.125, 1.375, 1.75, 2.25, 2.75, 3.5, 4.5,5.5, 7, 9,
11, 14, 18, 22, 28, 36 and 45 are of second choice.
13. Clearance. It is the radial distance from the top of the
tooth to the bottom of the tooth, in a meshing gear. A circle
passing through the top of the meshing gear is known as
clearance circle.
14. Total depth. It is the radial distance between the
addendum and the dedendum circle of a gear. It is equal to
the sum of the addendum and dedendum.
15. Working depth. It is radial distance from the addendum
circle to the clearance circle. It is equal to the sum of the
addendum of the two meshing gears.
16. Tooth thickness. It is the width of the tooth measured
along the pitch circle.
17. Tooth space. It is the width of space between the two
adjacent teeth measured along the pitch circle.
18. Backlash. It is the difference between the tooth space
and the tooth thickness, as measured
on the pitch circle.
19. Face of the tooth. It is surface of the tooth above the
pitch surface.
20. Top land. It is the surface of the top of the tooth.
21. Flank of the tooth. It is the surface of the tooth below
the pitch surface.
22. Face width. It is the width of the gear tooth measured
parallel to its axis.
23. Profile. It is the curve formed by the face and flank of
the tooth.
24. Fillet radius. It is the radius that connects the root
circle to the profile of the tooth.
25. Path of contact. It is the path traced by the point of
contact of two teeth from the beginning to the end of
engagement.
26. Length of the path of contact. It is the length of the
common normal cut-off by the addendum circles of the
wheel and pinion.
27. Arc of contact. It is the path traced by a point on the pitch
circle from the beginning to the end of engagement of a given
pair of teeth. The arc of contact consists of two parts, i.e.
(a) Arc of approach. It is the portion of the path of contact
from the beginning of the engagement to the pitch point.
(b) Arc of recess. It is the portion of the path of contact from
the pitch point to the end of the engagement of a pair of teeth.
Note : The ratio of the length of arc of contact to the circular
pitch is known as contact ratio i.e. number of pairs of teeth in
contact.
Law of Gearing
“The common normal at the point of contact between a
pair of teeth must always pass through the pitch point”
 This is fundamental condition which must be satisfied
while designing the profiles for the teeth of gear wheels.
If D1 and D2 are pitch circle diameters of wheel 1 and 2
having teeth T1 and T2 respectively, then velocity ratio,
2.3. Forms of Teeth
In actual practice, following are the two types of teeth
commonly used.
1. Cycloidal teeth ; and 2. Involute teeth.
 A cycloid is the curve traced by a point on the
circumference of a circle which rolls without slipping on a
fixed straight line.
Fig - Construction of cycloidal teeth of a gear.
 An involute of a circle is a plane curve generated by
a point on a tangent, which rolls on the circle
without slipping.
Fig _ Construction of involute teeth.
2.3.1 Comparison Between Involute and Cycloidal
Gears
In actual practice, the involute gears are more commonly
used as compared to cycloidal gears, due to the following
advantages :
Following are the advantages of involute gears :
1. The most important advantage of the involute gears is
that the center distance for a pair of involute gears can be
varied within limits without changing the velocity ratio.
This is not true for cycloidal gears which requires exact
center distance to be maintained.
2. In involute gears, the pressure angle, from the start of the
engagement of teeth to the end of the engagement, remains constant. It
is necessary for smooth running and less wear of gears .But in
cycloidal gears, the pressure angle is maximum at the beginning of
engagement, reduces to zero at pitch point, starts increasing and again
becomes maximum at the end of engagement. This results in less
smooth running of gears. 3. The face and flank of involute teeth are
generated by a single curve whereas in cycloidal gears, double curves
(i.e. epicycloid and hypocycloid) are required for the face and flank
respectively.
Following are the advantages of cycloidal gears :
1. Since the cycloidal teeth have wider flanks, therefore
the cycloidal gears are stronger than the involute gears for
the same pitch. Due to this reason, the cycloidal teeth are
preferred specially for cast teeth.
2. In cycloidal gears, the contact takes place between a
convex flank and concave surface, whereas in involute
gears, the convex surfaces are in contact.
This condition results in less wear in cycloidal gears as
compared to involute gears. However the difference in
wear is negligible.
3. In cycloidal gears, the interference does not occur at all.
Though there are advantages of cycloidal gears but they are
outweighed by the greater simplicity and flexibility of the
involute gears.
 The tooth profile of the 14 1/2° full depth involute
system was developed for use with gear hobs for spur
and helical gears.
 The tooth profile of the 20° full depth involute system
may be cut by hobs.
 The increase of the pressure angle from 14 1/2° to 20°
results in a stronger tooth, because the tooth acting as a
beam is wider at the base. The 20° stub involute system
has a strong tooth to take heavy loads.
Table 2.1. Standard proportions of gear systems.
Table 2.2. Minimum number of teeth on the pinion in order to avoid interference.
2.4 Gear Materials
 The material used for the manufacture of gears depends
upon the strength and service conditions like wear, noise
The gears may be manufactured from metallic or non-
metallic materials.
 The metallic gears with cut teeth are commercially
obtainable in cast iron, steel and bronze. The nonmetallic
materials like wood, rawhide, compressed paper and
synthetic resins like nylon are used for gears, especially
for reducing noise.
 The cast iron is widely used for the manufacture of gears
due to its good wearing properties, excellent machinability
and ease of producing complicated shapes by casting
method. The cast iron gears with cut teeth may be
employed, where smooth action is not important.
 The steel is used for high strength gears and steel may be
plain carbon steel or alloy steel. The steel gears are usually
heat treated in order to combine properly the toughness
and tooth hardness.
Table 2.3. Properties of commonly used gear materials.
Design Considerations for a Gear Drive
In the design of a gear drive, the following data is usually given :
1. The power to be transmitted.
2. The speed of the driving gear,
3. The speed of the driven gear or the velocity ratio, and
4. The center distance.
The following requirements must be met in the design of a gear drive :
(a) The gear teeth should have sufficient strength so that they will not fail under static
loading or dynamic loading during normal running conditions.
(b) The gear teeth should have wear characteristics so that their life is satisfactory.
(c) The use of space and material should be economical.
(d) The alignment of the gears and deflections of the shafts must be considered
because they effect on the performance of the gears.
(e) The lubrication of the gears must be satisfactory.
The maximum value of the bending stress (or the permissible working stress),
at the critical section is given by:
Fig.Tooth of a gear
therefore in order to find the value of y, the quantities t, h and pc may be determined
analytically or measured from the drawing similar to Fig. above. It may be noted that
if the gear is enlarged, the distances t, h and pc will each increase proportionately.
Therefore the value of y will remain unchanged. A little consideration will show that
the value of y is independent of the size of the tooth and depends only on the number
of teeth on a gear and the system of teeth.
The value of y in terms of the number of teeth may be expressed
as follows :
Permissible Working Stress for Gear Teeth in the Lewis Equation
Table 2.4. Values of allowable static stress.
Dynamic Tooth Load.
Table 2.5 Values of deformation factor (C ).
Table 2.6 Values of maximum allowable tooth error in action (e) verses pitch
line velocity, for well cut commercial gears.
The maximum allowable tooth error in action (e) depends upon the pitch line
velocity (v) and the class of cut of the gears. The following tables show the values of
tooth errors in action (e) for the different values of pitch line velocities and modules.
Table 2.7 Values of tooth error in action (e) verses module.
Static Tooth Load
Table 2.8 Values of flexural endurance limit.
Wear Tooth Load
Table 2.9 Values of surface endurance limit.
Causes of Gear Tooth Failure
The different modes of failure of gear teeth and their possible remedies to avoid
the failure, are as follows :
1. Bending failure. Every gear tooth acts as a cantilever. If the total repetitive
dynamic load acting on the gear tooth is greater than the beam strength of the
gear tooth, then the gear tooth will fail in bending, i.e. the gear tooth will
break. In order to avoid such failure, the module and face width of the gear is
adjusted so that the beam strength is greater than the dynamic load.
2. Pitting. It is the surface fatigue failure which occurs due to many repetition of
Hertz contact stresses. The failure occurs when the surface contact stresses are
higher than the endurance limit of the material. In order to avoid the pitting, the
dynamic load between the gear tooth should be less than the wear strength of the
gear tooth.
3. Scoring. The excessive heat is generated when there is an excessive surface
pressure, high speed or supply of lubricant fails. It is a stick-slip phenomenon in
which alternate shearing and welding takes place rapidly at high spots. This type of
failure can be avoided by properly designing the parameters such as speed, pressure
and proper flow of the lubricant, so that the temperature at the rubbing faces is
within the permissible limits.
4. Abrasive wear. The foreign particles in the lubricants such
as dirt, dust or burr enter between the tooth and damage the
form of tooth. This type of failure can be avoided by providing
filters for the lubricating oil or by using high viscosity
lubricant oil which enables the formation of thicker oil film
and hence permits easy passage of such particles without
damaging the gear surface.
5. Corrosive wear. The corrosion of the tooth surfaces is
mainly caused due to the presence of corrosive elements such
as additives present in the lubricating oils. In order to avoid
this type of wear, proper anti-corrosive additives should be
used.
Design Procedure for Spur Gears
Table 2.10 Values of service factor.
Helical Gears
 A helical gear has teeth in form of helix around the gear. Two
such gears may be used to connect two parallel shafts in place of
spur gears.
 The helixes may be right handed on one gear and left handed on
the other. The pitch surfaces are cylindrical as in spur gearing, but
the teeth instead of being parallel to the axis, wind around the
cylinders helically like screw threads. The teeth of helical gears
with parallel axis have line contact, as in spur gearing. This
provides gradual engagement and continuous contact of the
engaging teeth. Hence helical gears give smooth drive with a high
efficiency of transmission.
Terms used in Helical Gears
Figure sectional views of helical gear
W e
WN W
Face width of helical gears
Face width of helical gear.
Formative or Equivalent Number of Teeth for Helical Gears
Proportions for Helical Gears
Strength of Helical Gears
Problem 1. A pair of helical gears are to transmit 15 kW. The teeth
are 20° stub in diametral plane and have a helix angle of 45°. The
pinion runs at 10 000 r.p.m. and has 80 mm pitch diameter. The gear
has 320 mm pitch diameter. If the gears are made of cast steel having
allowable static strength of 100 MPa; determine a suitable module
and face width from static strength considerations and check the
gears for wear, given σes = 618 MPa.
Problem 2. Design a pair of helical gears for transmitting 22 kW. The speed of the
driver gear is 1800r.p.m. and that of driven gear is 600r.p.m. The helix angle is 30°
and profile is corresponding to 20° full depth system. The driver gear has 24 teeth.
Both the gears are made of cast steel with allowable static stress as 50MPa. Assume
the face width parallel to axis as 4 times the circular pitch and the overhang for each
gear as150mm. The allowable shear stress for the shaft material may be taken as
50MPa. The form factor may be taken as 0.154 – 0.912 / TE, where TE is the
equivalent number of teeth. The velocity factor may be taken as , 350 /(350 + v)
where v is pitch line velocity in m / min. The gears are required to be designed only
against bending failure of the teeth under dynamic condition.
Bevel Gears
The bevel gears are used for transmitting power at a constant velocity
ratio between two shafts whose axes intersect at a certain angle. The pitch
surfaces for the bevel gear are frustums of cones.
Classification of Bevel Gears
1. Mitre gears. When equal bevel gears (having equal teeth and equal pitch angles)
connect two shafts whose axes intersect at right angle, as shown in Fig. (a), below.
2. Angular bevel gears. When the bevel gears connect two shafts whose axes intersect at
an angle other than a right angle, then they are known as angular bevel gears.
3. Crown bevel gears. When the bevel gears connect two shafts whose axes intersect at an
angle greater than a right angle and one of the bevel gears has a pitch angle of 90º.The
crown gear corresponds to a rack in spur gearing, as shown in Fig. (b).
4. Internal bevel gears. When the teeth on the bevel gear are cut on the inside of the pitch
cone. Note : The bevel gears may have straight or spiral teeth. It may be assumed, unless
otherwise stated, that the bevel gear has straight teeth and the axes of the shafts intersect at
right angle.
Fig. Terms used in bevel gears.
5. Addendum angle. It is the angle subtended by the addendum of the tooth at the
cone center. It is denoted by ‘α’ Mathematically, addendum angle,
Where
6. Dedendum angle. It is the angle subtended by the dedendum of the tooth at the cone
center.It is denoted by ‘β’. Mathematically, dedendum angle,
Where
7. Face angle. It is the angle subtended by the face of the tooth at the cone center. It is
denoted by ‘φ’. The face angle is equal to the pitch angle plus addendum angle.
8. Root angle. It is the angle subtended by the root of the tooth at the cone center. It is
denoted by ‘θR’. It is equal to the pitch angle minus dedendum angle.
9. Back (or normal) cone. It is an imaginary cone, perpendicular to the pitch cone at
the end of the tooth.
10. Back cone distance. It is the length of the back cone. It is denoted by ‘RB’. It is
also called back cone radius.
11. Backing. It is the distance of the pitch point (P) from the back of the boss, parallel
to the pitch point of the gear. It is denoted by ‘B’.
12. Crown height. It is the distance of the crown point (C) from the cone center (O),
parallel to the axis of the gear. It is denoted by ‘HC’.
13. Mounting height. It is the distance of the back of the boss from the cone center. It
is denoted by ‘HM’.
14. Pitch diameter. It is the diameter of the largest pitch circle.
15. Outside or addendum cone diameter. It is the maximum diameter of the teeth of the gear.
It is equal to the diameter of the blank from which the gear can be cut. Mathematically,
outside diameter,
Where
16. Inside or dedendum cone diameter. The inside or the dedendum cone diameter is given by
Where
Pitch Angle for Bevel Gears
Consider a pair of bevel gears in mesh,
From Fig. above we find that
Formative or Equivalent Number of Teeth for Bevel Gears
 It is impossible to represent on a plane surface the exact profile of a bevel gear tooth lying
on the surface of a sphere. Therefore, it is important to approximate the bevel gear tooth
profiles as accurately as possible.
 The approximation (known as Tredgold’s approximation) is based upon the fact that a cone
tangent to the sphere at the pitch point will closely approximate the surface of the sphere for
a short distance either side of the pitch point, as shown in Fig. (a).
 The cone (known as back cone) may be developed as a plane surface and spur gear teeth
corresponding to the pitch and pressure angle of the bevel gear and the radius of the
developed cone can be drawn. This procedure is shown in Fig. (b).
Let θP = Pitch angle or half of the cone angle,
R = Pitch circle radius of the bevel pinion or gear, and
RB = Back cone distance or equivalent pitch circle radius of bevel pinion or gear.
Now from the above fig. (b), we find that
Proportions for Bevel Gear
1. Addendum, a = 1 m
2. Dedendum, d = 1.2 m
3. Clearance = 0.2 m
4. Working depth = 2 m
5. Thickness of tooth = 1.5708 m where m is the module.
Note : Since the bevel gears are not interchangeable, therefore these are
designed in pairs.
Strength of Bevel Gears
The strength of a bevel gear tooth is obtained in a similar way as discussed in the
previous articles. The modified form of the Lewis equation for the tangential tooth
load is given as follows:
Where
Notes : 1. The factor may be called as bevel factor.
2. For satisfactory operation of the bevel gears, the face width should be from 6.3 m to 9.5
m, where m is the module. Also the ratio L / b should not exceed 3. For this, the number of
teeth in the pinion must not less than where V.R. is the required velocity ratio.
3. The dynamic load for bevel gears may be obtained in the similar manner as discussed
for spur gears.
4. The static tooth load or endurance strength of the tooth for bevel gears is given by
The value of flexural endurance limit (σe) may be taken from table, in
spur gears.
5. The maximum or limiting load for wear for bevel gears is given by
where DP, b and K have usual meanings as discussed in spur gears
but Q is based on formative or equivalent number of teeth, such that
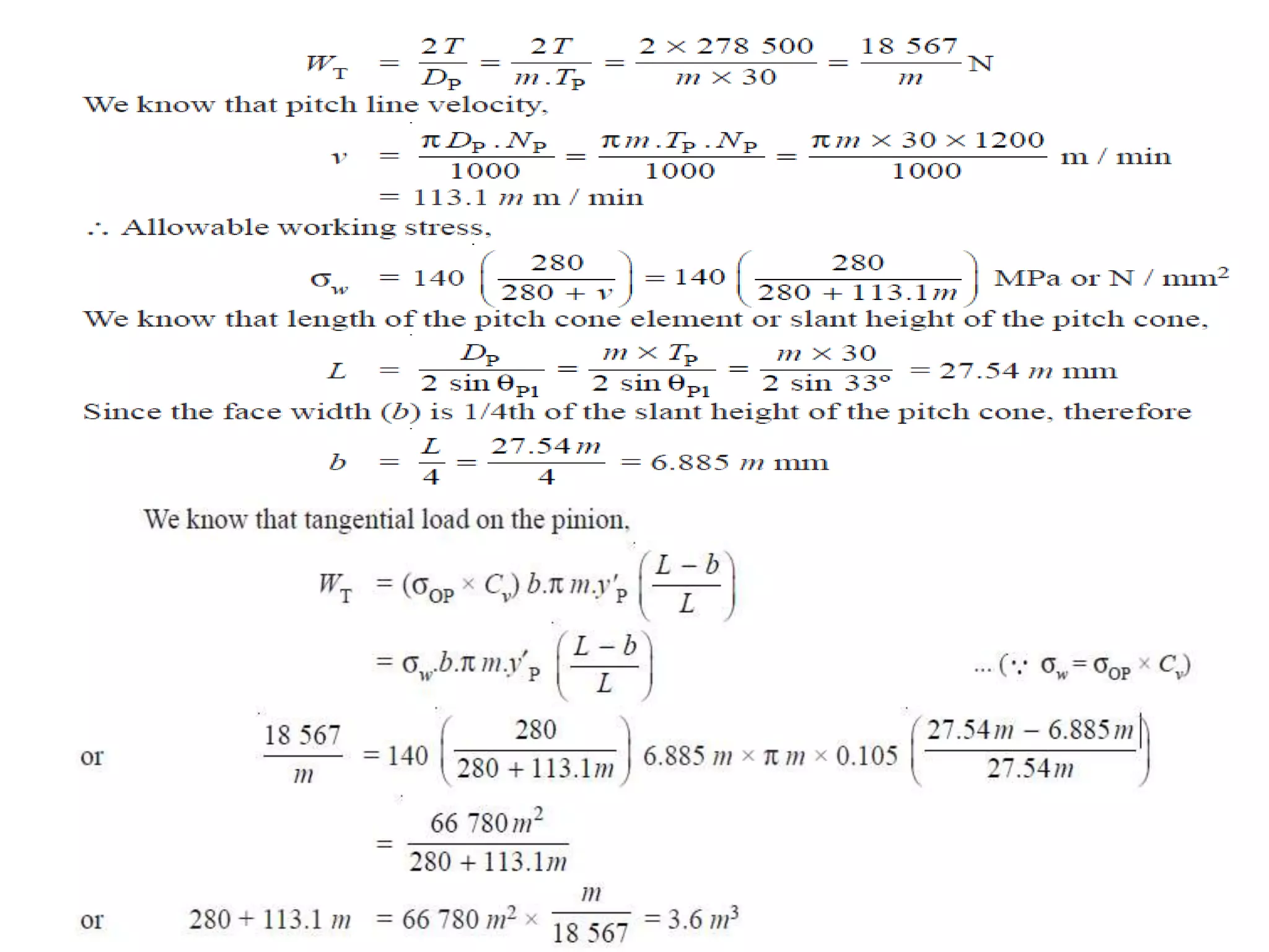
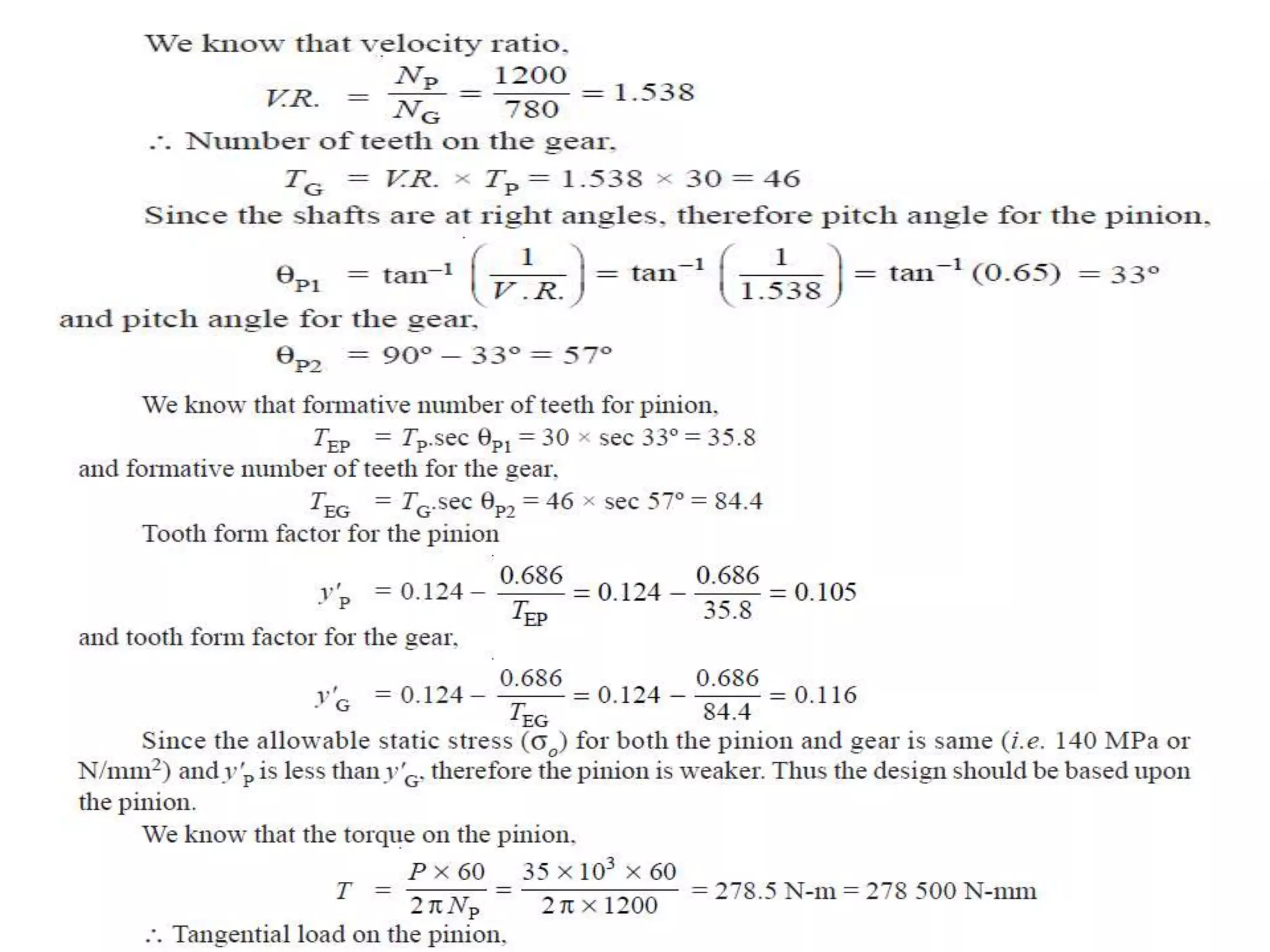
Example 1. A 35 kW motor running at 1200 r.p.m. drives a compressor at 780 r.p.m.
through a 90° bevel gearing arrangement. The pinion has 30 teeth. The pressure angle of
teeth is 14 1/2°. The wheels are capable of withstanding a dynamic stress,
where v is the pitch line speed in m / min. The form factor for teeth may be taken as
where Te is the number of teeth equivalent of a spur gear.
The face width may be taken as 1/4 of the slant height of pitch cone. Determine for the
pinion, the module pitch, face width, addendum, dedendum, outside diameter and cone
distance/ slant height.
Solution : Given : P = 35 kW = 35 ×10 W ; NP = 1200 r.p.m. ; NG = 780 r.p.m. ; θS= 90º ;
TP = 30 ; φ = 14 1/2º ; b = L / 4
Module and face width for the pinion
Let m = Module in mm,
b = Face width in mm = L / 4, and
DP = Pitch circle diameter of the pinion.
Solving this expression by trial and error method, we find that
m = 6.6 say 8 mm .
and face width, b = 6.885 m = 6.885 × 8 = 55 mm .
Addendum and dedendum for the pinion
We know that addendum,
a = 1 m = 1 × 8 = 8mm.
and dedendum, d = 1.2 m = 1.2 × 8 = 9.6 mm.
Outside diameter for the pinion
We know that outside diameter for the pinion,
DO = DP + 2 a cos θP1 = m.TP + 2 a cos θP1 ... (DP = m . TP)
= 8 × 30 + 2 × 8 cos 33º = 253.4mm.
Slant height
We know that slant height of the pitch cone,
L = 27.54 m = 27.54 × 8 = 220.3 mm.
WORM GEARS
Worm gear drives are used to transmit power between
two non intersecting shafts, which are in general, at
right angles to each other. The worm gear drive
consists of a worm and a worm wheel. The worm is a
threaded screw, while the worm wheel is a toothed
gear. The teeth on the worm wheel envelope the
threads on the worm , giving either a line or area
contact between mating parts. Worm gear drives are
used in materials handling equipment , machine tools
and automobiles.
 It can give velocity ratios as high as 300 : 1 or more in a single step
in a minimum of space, but it has a lower efficiency.
 The worm gearing is mostly used as a speed reducer, which consists
of worm and a worm wheel or gear. The worm (which is the driving
member) The worm wheel or gear (which is the driven member)
Worm
Worm Wheel (Gear)
The advantages of worm gear drives
1, The most important characteristic of worm gear
drives is their high speed reduction. A speed reduction
as high as 100:1 can be obtained with a single pair of
worm gears.
2, The worm gear drives are compact with small over
all dimensions, compared with equivalent spur or
helical gear drives for the .same speed reduction.
3, The operation is smooth and silent.
4, Provision can be made for self locking operation,
where the motion is transmitted only from the worm to
the worm wheel. This is advantageous in applications
like cranes and lifting devices .
The drawbacks of the worm gear drives
1, The efficiency is low compared with other types of
gear drives.
2, The worm wheel in general, is made of phosphor
bronze, which increases the cost.
3, Considerable amount of heat is generated in
worm gear drives, which is required to be dissipated
by a lubricating oil to the housing walls and finally
to the surroundings.
4, The power transmitting capacity is low. Worm gear
drives are used for up to 100kw power transmission.
Types of Worms
The following are the two types of worms :
1. Cylindrical or straight worm, and
2. Cone or double enveloping worm.
Fig 1. Types of worms
Types of Worm Gears
The following three types of worm gears are important from the subject
point of view :
1. Straight face worm gear, as shown in Fig. (a),
2. Hobbed straight face worm gear, as shown in Fig. (b), and
3. Concave face worm gear, as shown in Fig. (c).
Fig 2.Types of worms gears.
Terms used in Worm Gearing
Fig. 3 Worm and Worm gear.
1. Axial pitch. It is also known as linear pitch of a worm. It is the
distance measured axially (i.e. parallel to the axis of worm) from a
point on one thread to the corresponding point on the adjacent thread
on the worm, as shown in Fig. above. It may be noted that the axial
pitch (pa) of a worm is equal to the circular pitch ( pc ) of the mating
worm gear, when the shafts are at right angles.
2. Lead. It is the linear distance through which a point on a thread
moves ahead in one revolution of the worm. For single start threads,
lead is equal to the axial pitch, but for multiple start threads, lead is
equal to the product of axial pitch and number of starts.
Mathematically, Lead, l = pa . n
where pa = Axial pitch ; and n = Number of starts.
3. Lead angle . It is the angle between the tangent to the thread helix on
the pitch cylinder and the plane normal to the axis of the worm. It is
denoted by λ. A little consideration will show that if one complete turn of
a worm thread be imagined to be unwound from the body of the worm, it
will form an inclined plane whose base is equal to the pitch
circumference of the worm and altitude equal to lead of the worm, as
shown in Fig 4.below.
Fig 4. Development of a helix thread.
From the geometry of the figure, we find that,
Frederick Arthur Halsey
4. Tooth pressure angle. It is measured in a plane containing the axis of
the worm and is equal to one-half the thread profile angle as shown in
Fig 3. The following table shows the recommended values of lead angle
(λ) and tooth pressure angle (φ).
Table 1 Recommended values of lead angle and pressure angle.
For automotive applications, the pressure angle of 30° is recommended
to obtain a high efficiency and to permit overhauling.
5. Normal pitch.
It is the distance measured along the normal to the threads between two
corresponding points on two adjacent threads of the worm.
Mathematically, Normal pitch, pN = pa.cos λ
Note. The term normal pitch is used for a worm having single
start threads. In case of a worm having multiple start threads, the
term normal lead is used, such that
6. Helix angle. It is the angle between the tangent to the thread helix on the pitch
cylinder and the axis of the worm. It is denoted by αW, in Fig. above (worm &worm
gear). The worm helix angle is the complement of worm lead angle, i.e.
αW + λ = 90°
It may be noted that the helix angle on the worm is generally quite large and that on
the worm gear is very small amount. Thus, it is usual to specify the lead angle (λ) on
the worm and helix angle (αG) on the worm gear. These two angles are equal for a 90°
shaft angle.
7. Velocity ratio. It is the ratio of the speed of worm (NW) in r.p.m. to the speed of
the worm gear (NG) in r.p.m. Mathematically, velocity ratio,
Table 2. Number of starts to be used on the worm for different velocity
ratios.
Table 3. Proportions for worm.
Table 4 Proportions for worm gear.
Efficiency of Worm Gearing
The efficiency of worm gearing may be defined as the ratio of work done by the worm gear to the
work done by the worm.
Mathematically, the efficiency of worm gearing is given by
In order to find the approximate value of the efficiency, assuming square
threads, the following relation may be used :
Note : If the efficiency of worm gearing is less than 50%, then the worm gearing
is said to be self locking, i.e. it cannot be driven by applying a torque to the wheel.
This property of self locking is desirable in some applications such as hoisting
machinery.
Example.
A triple threaded worm has teeth of 6 mm module and pitch circle diameter of 50
mm. If the worm gear has 30 teeth of 14½° and the coefficient of friction of the worm
gearing is 0.05, find 1. the lead angle of the worm, 2. velocity ratio, 3. center distance, and
4. efficiency of the worm gearing.
The static tooth load or endurance strength of the tooth (WS) may also be
obtained in the similar manner as discussed in spur gears i.e.
Wear Tooth Load for Worm Gear
Table 5. Values of load stress factor (K ).
Forces Acting on Worm Gears
When the worm gearing is transmitting power, the forces acting on the worm are similar
to those on a power screw. Fig 5 shows the forces acting on the worm. It may be noted
that the forces on a worm gear are equal in magnitude to that of worm, but opposite in
direction to those shown in Fig 5.
Fig 5. Forces acting on worm teeth.
Design of Worm Gearing
In designing a worm and worm gear, the quantities like the power transmitted,
speed, velocity ratio and the center distance between the shafts are usually given
and the quantities such as lead angle, lead and number of threads on the worm are
to be determined. In order to determine the satisfactory combination of lead angle,
lead and center distance, the following method may be used:
From Fig. 6 we find that the center distance,
Fig. 6. Worm and worm gear.
Design of gears by aliyi umer
Design of gears by aliyi umer
Design of gears by aliyi umer
Design of gears by aliyi umer
Design of gears by aliyi umer
Design of gears by aliyi umer

Design of gears by aliyi umer

  • 1.
  • 2.
    2.1. Introduction 1.Gears aredefined as toothed wheels, which transmit power and motion from one shaft to another by means of successive engagement of teeth. The center distance between the shafts is relatively small. 2. It can transmit very large power. 3. It is a positive, and the velocity ratio remains constant. 4. It can transmit motion at a very low velocity.
  • 3.
    2.2. CLASSIFICATION OFGEARS Four groups: 1) Spur Gears 2) Helical gears 3) Bevel gears 4) Worm Gears
  • 4.
    According to thetype of gearing. may be classified as : (a) External gearing, (b) Internal gearing, and (c) Rack and pinion.
  • 6.
    1. Pitch circle.It is an imaginary circle which by pure rolling action, would give the same motion as the actual gear.
  • 7.
    2. Pitch circlediameter. It is the diameter of the pitch circle. The size of the gear is usually specified by the pitch circle diameter. It is also called as pitch diameter. 3. Pitch point. It is a common point of contact between two pitch circles. 4. Pitch surface. It is the surface of the rolling discs which the meshing gears have replaced at the pitch circle. 5. Pressure angle or angle of obliquity. It is the angle between the common normal to two gear teeth at the point of contact and the common tangent at the pitch point.
  • 8.
    It is usuallydenoted by φ. The standard pressure angles are 14 /2° and 20°. 6. Addendum. It is the radial distance of a tooth from the pitch circle to the top of the tooth. 7. Dedendum. It is the radial distance of a tooth from the pitch circle to the bottom of the tooth. 8. Addendum circle. It is the circle drawn through the top of the teeth and is concentric with the pitch circle. 9. Dedendum circle. It is the circle drawn through the bottom of the teeth. It is also called root circle. Note : Root circle diameter = Pitch circle diameter × cos φ, where φ is the pressure angle.
  • 9.
    10. Circular pitch.It is the distance measured on the circumference of the pitch circle from a point of one tooth to the corresponding point on the next tooth. It is usually denoted by . Mathematically, Circular pitch = π D/T Where D = Diameter of the pitch circle, and T = Number of teeth on the wheel.
  • 10.
     A littleconsideration will show that the two gears will mesh together correctly, if the two wheels have the same circular pitch. Note : If D1 and D2 are the diameters of the two meshing gears having the teeth T1 and T2 respectively; then for them to mesh correctly,
  • 11.
    11. Diametral pitch.It is the ratio of number of teeth to the pitch circle diameter in millimeters. It denoted by pd. Mathematically, where T = Number of teeth, and D = Pitch circle diameter
  • 12.
    12. Module. Itis the ratio of the pitch circle diameter in millimeters to the number of teeth. It is usually denoted by m. Mathematically, Module, m = D / T Note : The recommended series of modules in Indian Standard are 1, 1.25, 1.5, 2, 2.5, 3, 4, 5, 6, 8, 10, 12, 16, 20, 25, 32, 40 and 50. The modules 1.125, 1.375, 1.75, 2.25, 2.75, 3.5, 4.5,5.5, 7, 9, 11, 14, 18, 22, 28, 36 and 45 are of second choice.
  • 13.
    13. Clearance. Itis the radial distance from the top of the tooth to the bottom of the tooth, in a meshing gear. A circle passing through the top of the meshing gear is known as clearance circle. 14. Total depth. It is the radial distance between the addendum and the dedendum circle of a gear. It is equal to the sum of the addendum and dedendum. 15. Working depth. It is radial distance from the addendum circle to the clearance circle. It is equal to the sum of the addendum of the two meshing gears.
  • 14.
    16. Tooth thickness.It is the width of the tooth measured along the pitch circle. 17. Tooth space. It is the width of space between the two adjacent teeth measured along the pitch circle. 18. Backlash. It is the difference between the tooth space and the tooth thickness, as measured on the pitch circle.
  • 15.
    19. Face ofthe tooth. It is surface of the tooth above the pitch surface. 20. Top land. It is the surface of the top of the tooth. 21. Flank of the tooth. It is the surface of the tooth below the pitch surface. 22. Face width. It is the width of the gear tooth measured parallel to its axis. 23. Profile. It is the curve formed by the face and flank of the tooth.
  • 16.
    24. Fillet radius.It is the radius that connects the root circle to the profile of the tooth. 25. Path of contact. It is the path traced by the point of contact of two teeth from the beginning to the end of engagement. 26. Length of the path of contact. It is the length of the common normal cut-off by the addendum circles of the wheel and pinion.
  • 17.
    27. Arc ofcontact. It is the path traced by a point on the pitch circle from the beginning to the end of engagement of a given pair of teeth. The arc of contact consists of two parts, i.e. (a) Arc of approach. It is the portion of the path of contact from the beginning of the engagement to the pitch point. (b) Arc of recess. It is the portion of the path of contact from the pitch point to the end of the engagement of a pair of teeth. Note : The ratio of the length of arc of contact to the circular pitch is known as contact ratio i.e. number of pairs of teeth in contact.
  • 18.
    Law of Gearing “Thecommon normal at the point of contact between a pair of teeth must always pass through the pitch point”  This is fundamental condition which must be satisfied while designing the profiles for the teeth of gear wheels. If D1 and D2 are pitch circle diameters of wheel 1 and 2 having teeth T1 and T2 respectively, then velocity ratio,
  • 19.
    2.3. Forms ofTeeth In actual practice, following are the two types of teeth commonly used. 1. Cycloidal teeth ; and 2. Involute teeth.  A cycloid is the curve traced by a point on the circumference of a circle which rolls without slipping on a fixed straight line. Fig - Construction of cycloidal teeth of a gear.
  • 20.
     An involuteof a circle is a plane curve generated by a point on a tangent, which rolls on the circle without slipping. Fig _ Construction of involute teeth.
  • 21.
    2.3.1 Comparison BetweenInvolute and Cycloidal Gears In actual practice, the involute gears are more commonly used as compared to cycloidal gears, due to the following advantages : Following are the advantages of involute gears : 1. The most important advantage of the involute gears is that the center distance for a pair of involute gears can be varied within limits without changing the velocity ratio. This is not true for cycloidal gears which requires exact center distance to be maintained.
  • 22.
    2. In involutegears, the pressure angle, from the start of the engagement of teeth to the end of the engagement, remains constant. It is necessary for smooth running and less wear of gears .But in cycloidal gears, the pressure angle is maximum at the beginning of engagement, reduces to zero at pitch point, starts increasing and again becomes maximum at the end of engagement. This results in less smooth running of gears. 3. The face and flank of involute teeth are generated by a single curve whereas in cycloidal gears, double curves (i.e. epicycloid and hypocycloid) are required for the face and flank respectively.
  • 23.
    Following are theadvantages of cycloidal gears : 1. Since the cycloidal teeth have wider flanks, therefore the cycloidal gears are stronger than the involute gears for the same pitch. Due to this reason, the cycloidal teeth are preferred specially for cast teeth. 2. In cycloidal gears, the contact takes place between a convex flank and concave surface, whereas in involute gears, the convex surfaces are in contact.
  • 24.
    This condition resultsin less wear in cycloidal gears as compared to involute gears. However the difference in wear is negligible. 3. In cycloidal gears, the interference does not occur at all. Though there are advantages of cycloidal gears but they are outweighed by the greater simplicity and flexibility of the involute gears.
  • 26.
     The toothprofile of the 14 1/2° full depth involute system was developed for use with gear hobs for spur and helical gears.  The tooth profile of the 20° full depth involute system may be cut by hobs.  The increase of the pressure angle from 14 1/2° to 20° results in a stronger tooth, because the tooth acting as a beam is wider at the base. The 20° stub involute system has a strong tooth to take heavy loads.
  • 27.
    Table 2.1. Standardproportions of gear systems. Table 2.2. Minimum number of teeth on the pinion in order to avoid interference.
  • 28.
    2.4 Gear Materials The material used for the manufacture of gears depends upon the strength and service conditions like wear, noise The gears may be manufactured from metallic or non- metallic materials.  The metallic gears with cut teeth are commercially obtainable in cast iron, steel and bronze. The nonmetallic materials like wood, rawhide, compressed paper and synthetic resins like nylon are used for gears, especially for reducing noise.
  • 29.
     The castiron is widely used for the manufacture of gears due to its good wearing properties, excellent machinability and ease of producing complicated shapes by casting method. The cast iron gears with cut teeth may be employed, where smooth action is not important.  The steel is used for high strength gears and steel may be plain carbon steel or alloy steel. The steel gears are usually heat treated in order to combine properly the toughness and tooth hardness.
  • 30.
    Table 2.3. Propertiesof commonly used gear materials.
  • 32.
    Design Considerations fora Gear Drive In the design of a gear drive, the following data is usually given : 1. The power to be transmitted. 2. The speed of the driving gear, 3. The speed of the driven gear or the velocity ratio, and 4. The center distance. The following requirements must be met in the design of a gear drive : (a) The gear teeth should have sufficient strength so that they will not fail under static loading or dynamic loading during normal running conditions. (b) The gear teeth should have wear characteristics so that their life is satisfactory. (c) The use of space and material should be economical. (d) The alignment of the gears and deflections of the shafts must be considered because they effect on the performance of the gears. (e) The lubrication of the gears must be satisfactory.
  • 33.
    The maximum valueof the bending stress (or the permissible working stress), at the critical section is given by: Fig.Tooth of a gear
  • 34.
    therefore in orderto find the value of y, the quantities t, h and pc may be determined analytically or measured from the drawing similar to Fig. above. It may be noted that if the gear is enlarged, the distances t, h and pc will each increase proportionately. Therefore the value of y will remain unchanged. A little consideration will show that the value of y is independent of the size of the tooth and depends only on the number of teeth on a gear and the system of teeth.
  • 35.
    The value ofy in terms of the number of teeth may be expressed as follows :
  • 36.
    Permissible Working Stressfor Gear Teeth in the Lewis Equation
  • 37.
    Table 2.4. Valuesof allowable static stress.
  • 38.
  • 39.
    Table 2.5 Valuesof deformation factor (C ).
  • 40.
    Table 2.6 Valuesof maximum allowable tooth error in action (e) verses pitch line velocity, for well cut commercial gears. The maximum allowable tooth error in action (e) depends upon the pitch line velocity (v) and the class of cut of the gears. The following tables show the values of tooth errors in action (e) for the different values of pitch line velocities and modules.
  • 41.
    Table 2.7 Valuesof tooth error in action (e) verses module.
  • 42.
    Static Tooth Load Table2.8 Values of flexural endurance limit.
  • 43.
  • 44.
    Table 2.9 Valuesof surface endurance limit.
  • 45.
    Causes of GearTooth Failure The different modes of failure of gear teeth and their possible remedies to avoid the failure, are as follows : 1. Bending failure. Every gear tooth acts as a cantilever. If the total repetitive dynamic load acting on the gear tooth is greater than the beam strength of the gear tooth, then the gear tooth will fail in bending, i.e. the gear tooth will break. In order to avoid such failure, the module and face width of the gear is adjusted so that the beam strength is greater than the dynamic load. 2. Pitting. It is the surface fatigue failure which occurs due to many repetition of Hertz contact stresses. The failure occurs when the surface contact stresses are higher than the endurance limit of the material. In order to avoid the pitting, the dynamic load between the gear tooth should be less than the wear strength of the gear tooth. 3. Scoring. The excessive heat is generated when there is an excessive surface pressure, high speed or supply of lubricant fails. It is a stick-slip phenomenon in which alternate shearing and welding takes place rapidly at high spots. This type of failure can be avoided by properly designing the parameters such as speed, pressure and proper flow of the lubricant, so that the temperature at the rubbing faces is within the permissible limits.
  • 46.
    4. Abrasive wear.The foreign particles in the lubricants such as dirt, dust or burr enter between the tooth and damage the form of tooth. This type of failure can be avoided by providing filters for the lubricating oil or by using high viscosity lubricant oil which enables the formation of thicker oil film and hence permits easy passage of such particles without damaging the gear surface. 5. Corrosive wear. The corrosion of the tooth surfaces is mainly caused due to the presence of corrosive elements such as additives present in the lubricating oils. In order to avoid this type of wear, proper anti-corrosive additives should be used.
  • 47.
  • 48.
    Table 2.10 Valuesof service factor.
  • 50.
    Helical Gears  Ahelical gear has teeth in form of helix around the gear. Two such gears may be used to connect two parallel shafts in place of spur gears.  The helixes may be right handed on one gear and left handed on the other. The pitch surfaces are cylindrical as in spur gearing, but the teeth instead of being parallel to the axis, wind around the cylinders helically like screw threads. The teeth of helical gears with parallel axis have line contact, as in spur gearing. This provides gradual engagement and continuous contact of the engaging teeth. Hence helical gears give smooth drive with a high efficiency of transmission.
  • 51.
    Terms used inHelical Gears
  • 52.
    Figure sectional viewsof helical gear W e WN W
  • 53.
    Face width ofhelical gears
  • 54.
    Face width ofhelical gear.
  • 55.
    Formative or EquivalentNumber of Teeth for Helical Gears Proportions for Helical Gears
  • 57.
  • 59.
    Problem 1. Apair of helical gears are to transmit 15 kW. The teeth are 20° stub in diametral plane and have a helix angle of 45°. The pinion runs at 10 000 r.p.m. and has 80 mm pitch diameter. The gear has 320 mm pitch diameter. If the gears are made of cast steel having allowable static strength of 100 MPa; determine a suitable module and face width from static strength considerations and check the gears for wear, given σes = 618 MPa.
  • 63.
    Problem 2. Designa pair of helical gears for transmitting 22 kW. The speed of the driver gear is 1800r.p.m. and that of driven gear is 600r.p.m. The helix angle is 30° and profile is corresponding to 20° full depth system. The driver gear has 24 teeth. Both the gears are made of cast steel with allowable static stress as 50MPa. Assume the face width parallel to axis as 4 times the circular pitch and the overhang for each gear as150mm. The allowable shear stress for the shaft material may be taken as 50MPa. The form factor may be taken as 0.154 – 0.912 / TE, where TE is the equivalent number of teeth. The velocity factor may be taken as , 350 /(350 + v) where v is pitch line velocity in m / min. The gears are required to be designed only against bending failure of the teeth under dynamic condition.
  • 67.
    Bevel Gears The bevelgears are used for transmitting power at a constant velocity ratio between two shafts whose axes intersect at a certain angle. The pitch surfaces for the bevel gear are frustums of cones.
  • 68.
    Classification of BevelGears 1. Mitre gears. When equal bevel gears (having equal teeth and equal pitch angles) connect two shafts whose axes intersect at right angle, as shown in Fig. (a), below. 2. Angular bevel gears. When the bevel gears connect two shafts whose axes intersect at an angle other than a right angle, then they are known as angular bevel gears. 3. Crown bevel gears. When the bevel gears connect two shafts whose axes intersect at an angle greater than a right angle and one of the bevel gears has a pitch angle of 90º.The crown gear corresponds to a rack in spur gearing, as shown in Fig. (b). 4. Internal bevel gears. When the teeth on the bevel gear are cut on the inside of the pitch cone. Note : The bevel gears may have straight or spiral teeth. It may be assumed, unless otherwise stated, that the bevel gear has straight teeth and the axes of the shafts intersect at right angle.
  • 69.
    Fig. Terms usedin bevel gears.
  • 70.
    5. Addendum angle.It is the angle subtended by the addendum of the tooth at the cone center. It is denoted by ‘α’ Mathematically, addendum angle, Where 6. Dedendum angle. It is the angle subtended by the dedendum of the tooth at the cone center.It is denoted by ‘β’. Mathematically, dedendum angle, Where 7. Face angle. It is the angle subtended by the face of the tooth at the cone center. It is denoted by ‘φ’. The face angle is equal to the pitch angle plus addendum angle.
  • 71.
    8. Root angle.It is the angle subtended by the root of the tooth at the cone center. It is denoted by ‘θR’. It is equal to the pitch angle minus dedendum angle. 9. Back (or normal) cone. It is an imaginary cone, perpendicular to the pitch cone at the end of the tooth. 10. Back cone distance. It is the length of the back cone. It is denoted by ‘RB’. It is also called back cone radius. 11. Backing. It is the distance of the pitch point (P) from the back of the boss, parallel to the pitch point of the gear. It is denoted by ‘B’. 12. Crown height. It is the distance of the crown point (C) from the cone center (O), parallel to the axis of the gear. It is denoted by ‘HC’. 13. Mounting height. It is the distance of the back of the boss from the cone center. It is denoted by ‘HM’. 14. Pitch diameter. It is the diameter of the largest pitch circle.
  • 72.
    15. Outside oraddendum cone diameter. It is the maximum diameter of the teeth of the gear. It is equal to the diameter of the blank from which the gear can be cut. Mathematically, outside diameter, Where 16. Inside or dedendum cone diameter. The inside or the dedendum cone diameter is given by Where
  • 73.
    Pitch Angle forBevel Gears Consider a pair of bevel gears in mesh, From Fig. above we find that
  • 75.
    Formative or EquivalentNumber of Teeth for Bevel Gears  It is impossible to represent on a plane surface the exact profile of a bevel gear tooth lying on the surface of a sphere. Therefore, it is important to approximate the bevel gear tooth profiles as accurately as possible.  The approximation (known as Tredgold’s approximation) is based upon the fact that a cone tangent to the sphere at the pitch point will closely approximate the surface of the sphere for a short distance either side of the pitch point, as shown in Fig. (a).  The cone (known as back cone) may be developed as a plane surface and spur gear teeth corresponding to the pitch and pressure angle of the bevel gear and the radius of the developed cone can be drawn. This procedure is shown in Fig. (b).
  • 76.
    Let θP =Pitch angle or half of the cone angle, R = Pitch circle radius of the bevel pinion or gear, and RB = Back cone distance or equivalent pitch circle radius of bevel pinion or gear. Now from the above fig. (b), we find that
  • 77.
    Proportions for BevelGear 1. Addendum, a = 1 m 2. Dedendum, d = 1.2 m 3. Clearance = 0.2 m 4. Working depth = 2 m 5. Thickness of tooth = 1.5708 m where m is the module. Note : Since the bevel gears are not interchangeable, therefore these are designed in pairs.
  • 78.
    Strength of BevelGears The strength of a bevel gear tooth is obtained in a similar way as discussed in the previous articles. The modified form of the Lewis equation for the tangential tooth load is given as follows: Where
  • 79.
    Notes : 1.The factor may be called as bevel factor. 2. For satisfactory operation of the bevel gears, the face width should be from 6.3 m to 9.5 m, where m is the module. Also the ratio L / b should not exceed 3. For this, the number of teeth in the pinion must not less than where V.R. is the required velocity ratio. 3. The dynamic load for bevel gears may be obtained in the similar manner as discussed for spur gears. 4. The static tooth load or endurance strength of the tooth for bevel gears is given by
  • 80.
    The value offlexural endurance limit (σe) may be taken from table, in spur gears. 5. The maximum or limiting load for wear for bevel gears is given by where DP, b and K have usual meanings as discussed in spur gears but Q is based on formative or equivalent number of teeth, such that
  • 81.
    Example 1. A35 kW motor running at 1200 r.p.m. drives a compressor at 780 r.p.m. through a 90° bevel gearing arrangement. The pinion has 30 teeth. The pressure angle of teeth is 14 1/2°. The wheels are capable of withstanding a dynamic stress, where v is the pitch line speed in m / min. The form factor for teeth may be taken as where Te is the number of teeth equivalent of a spur gear. The face width may be taken as 1/4 of the slant height of pitch cone. Determine for the pinion, the module pitch, face width, addendum, dedendum, outside diameter and cone distance/ slant height. Solution : Given : P = 35 kW = 35 ×10 W ; NP = 1200 r.p.m. ; NG = 780 r.p.m. ; θS= 90º ; TP = 30 ; φ = 14 1/2º ; b = L / 4 Module and face width for the pinion Let m = Module in mm, b = Face width in mm = L / 4, and DP = Pitch circle diameter of the pinion.
  • 84.
    Solving this expressionby trial and error method, we find that m = 6.6 say 8 mm . and face width, b = 6.885 m = 6.885 × 8 = 55 mm . Addendum and dedendum for the pinion We know that addendum, a = 1 m = 1 × 8 = 8mm. and dedendum, d = 1.2 m = 1.2 × 8 = 9.6 mm. Outside diameter for the pinion We know that outside diameter for the pinion, DO = DP + 2 a cos θP1 = m.TP + 2 a cos θP1 ... (DP = m . TP) = 8 × 30 + 2 × 8 cos 33º = 253.4mm. Slant height We know that slant height of the pitch cone, L = 27.54 m = 27.54 × 8 = 220.3 mm.
  • 85.
    WORM GEARS Worm geardrives are used to transmit power between two non intersecting shafts, which are in general, at right angles to each other. The worm gear drive consists of a worm and a worm wheel. The worm is a threaded screw, while the worm wheel is a toothed gear. The teeth on the worm wheel envelope the threads on the worm , giving either a line or area contact between mating parts. Worm gear drives are used in materials handling equipment , machine tools and automobiles.
  • 86.
     It cangive velocity ratios as high as 300 : 1 or more in a single step in a minimum of space, but it has a lower efficiency.  The worm gearing is mostly used as a speed reducer, which consists of worm and a worm wheel or gear. The worm (which is the driving member) The worm wheel or gear (which is the driven member) Worm Worm Wheel (Gear)
  • 87.
    The advantages ofworm gear drives 1, The most important characteristic of worm gear drives is their high speed reduction. A speed reduction as high as 100:1 can be obtained with a single pair of worm gears. 2, The worm gear drives are compact with small over all dimensions, compared with equivalent spur or helical gear drives for the .same speed reduction. 3, The operation is smooth and silent. 4, Provision can be made for self locking operation, where the motion is transmitted only from the worm to the worm wheel. This is advantageous in applications like cranes and lifting devices .
  • 88.
    The drawbacks ofthe worm gear drives 1, The efficiency is low compared with other types of gear drives. 2, The worm wheel in general, is made of phosphor bronze, which increases the cost. 3, Considerable amount of heat is generated in worm gear drives, which is required to be dissipated by a lubricating oil to the housing walls and finally to the surroundings. 4, The power transmitting capacity is low. Worm gear drives are used for up to 100kw power transmission.
  • 89.
    Types of Worms Thefollowing are the two types of worms : 1. Cylindrical or straight worm, and 2. Cone or double enveloping worm. Fig 1. Types of worms
  • 90.
    Types of WormGears The following three types of worm gears are important from the subject point of view : 1. Straight face worm gear, as shown in Fig. (a), 2. Hobbed straight face worm gear, as shown in Fig. (b), and 3. Concave face worm gear, as shown in Fig. (c). Fig 2.Types of worms gears.
  • 91.
    Terms used inWorm Gearing Fig. 3 Worm and Worm gear.
  • 92.
    1. Axial pitch.It is also known as linear pitch of a worm. It is the distance measured axially (i.e. parallel to the axis of worm) from a point on one thread to the corresponding point on the adjacent thread on the worm, as shown in Fig. above. It may be noted that the axial pitch (pa) of a worm is equal to the circular pitch ( pc ) of the mating worm gear, when the shafts are at right angles. 2. Lead. It is the linear distance through which a point on a thread moves ahead in one revolution of the worm. For single start threads, lead is equal to the axial pitch, but for multiple start threads, lead is equal to the product of axial pitch and number of starts. Mathematically, Lead, l = pa . n where pa = Axial pitch ; and n = Number of starts.
  • 93.
    3. Lead angle. It is the angle between the tangent to the thread helix on the pitch cylinder and the plane normal to the axis of the worm. It is denoted by λ. A little consideration will show that if one complete turn of a worm thread be imagined to be unwound from the body of the worm, it will form an inclined plane whose base is equal to the pitch circumference of the worm and altitude equal to lead of the worm, as shown in Fig 4.below. Fig 4. Development of a helix thread.
  • 94.
    From the geometryof the figure, we find that, Frederick Arthur Halsey
  • 95.
    4. Tooth pressureangle. It is measured in a plane containing the axis of the worm and is equal to one-half the thread profile angle as shown in Fig 3. The following table shows the recommended values of lead angle (λ) and tooth pressure angle (φ). Table 1 Recommended values of lead angle and pressure angle. For automotive applications, the pressure angle of 30° is recommended to obtain a high efficiency and to permit overhauling.
  • 96.
    5. Normal pitch. Itis the distance measured along the normal to the threads between two corresponding points on two adjacent threads of the worm. Mathematically, Normal pitch, pN = pa.cos λ Note. The term normal pitch is used for a worm having single start threads. In case of a worm having multiple start threads, the term normal lead is used, such that
  • 97.
    6. Helix angle.It is the angle between the tangent to the thread helix on the pitch cylinder and the axis of the worm. It is denoted by αW, in Fig. above (worm &worm gear). The worm helix angle is the complement of worm lead angle, i.e. αW + λ = 90° It may be noted that the helix angle on the worm is generally quite large and that on the worm gear is very small amount. Thus, it is usual to specify the lead angle (λ) on the worm and helix angle (αG) on the worm gear. These two angles are equal for a 90° shaft angle.
  • 98.
    7. Velocity ratio.It is the ratio of the speed of worm (NW) in r.p.m. to the speed of the worm gear (NG) in r.p.m. Mathematically, velocity ratio,
  • 99.
    Table 2. Numberof starts to be used on the worm for different velocity ratios. Table 3. Proportions for worm.
  • 100.
    Table 4 Proportionsfor worm gear.
  • 101.
    Efficiency of WormGearing The efficiency of worm gearing may be defined as the ratio of work done by the worm gear to the work done by the worm. Mathematically, the efficiency of worm gearing is given by In order to find the approximate value of the efficiency, assuming square threads, the following relation may be used :
  • 102.
    Note : Ifthe efficiency of worm gearing is less than 50%, then the worm gearing is said to be self locking, i.e. it cannot be driven by applying a torque to the wheel. This property of self locking is desirable in some applications such as hoisting machinery.
  • 103.
    Example. A triple threadedworm has teeth of 6 mm module and pitch circle diameter of 50 mm. If the worm gear has 30 teeth of 14½° and the coefficient of friction of the worm gearing is 0.05, find 1. the lead angle of the worm, 2. velocity ratio, 3. center distance, and 4. efficiency of the worm gearing.
  • 106.
    The static toothload or endurance strength of the tooth (WS) may also be obtained in the similar manner as discussed in spur gears i.e.
  • 107.
    Wear Tooth Loadfor Worm Gear Table 5. Values of load stress factor (K ).
  • 108.
    Forces Acting onWorm Gears When the worm gearing is transmitting power, the forces acting on the worm are similar to those on a power screw. Fig 5 shows the forces acting on the worm. It may be noted that the forces on a worm gear are equal in magnitude to that of worm, but opposite in direction to those shown in Fig 5. Fig 5. Forces acting on worm teeth.
  • 110.
    Design of WormGearing In designing a worm and worm gear, the quantities like the power transmitted, speed, velocity ratio and the center distance between the shafts are usually given and the quantities such as lead angle, lead and number of threads on the worm are to be determined. In order to determine the satisfactory combination of lead angle, lead and center distance, the following method may be used: From Fig. 6 we find that the center distance, Fig. 6. Worm and worm gear.