Solid State Physics
Unit II
(B.tech First Year)
Introductory Concepts
Types of Solids
Solids can be divided into two groups based on the arrangement of the atoms.
Crystalline : atoms/molecules are arranged in an orderly manner. The atoms are having
long range order.
Examples : Iron, Copper, NaCl, Kcl etc.
Amorphous: atoms/molecules are not present in an orderly manner. They are randomly
arranged.
Example : Glass, Plastic etc.
Crystal Structure Definations
• Crystallinity: 3-D pattern in which each atom is bonded to
its nearest neighbours
• Crystalline material is a material comprised of one or
many crystals. In each crystal, atoms or ions show a long-
range periodic arrangement.
(a) Single crystal is a crystalline material that is made of
only one crystal (there are no grain boundaries).
Grains are the crystals in a polycrystalline material.
(b) Polycrystalline material is a material comprised of
many crystals (as opposed to a single-crystal material that
has only one crystal).
Space Lattice
• Space lattice is the distribution of points in
3D in such a way that every point has
identical surroundings, i.e., it is an infinite
array of points in three dimensions in which
every point has surroundings identical to
every other point in the array.
• In Euclidean space which is an infinite array
of points
We can have 1D, 2D or 3D arrays (lattices)
Important Note:
• Lattice points are a purely mathematical concept, whereas atoms are physical objects.
• Lattice Points do not necessarily lie at the center of atoms.
In Figure (a) is the 3-D periodic arrangement of atoms, and Figure (b) is the corresponding
space lattice. In this case, atoms lie at the same point as the space lattice.
There are 7
crystal structures
and 14 Bravais
lattice
• Most common types: –
Cubic: Li, Na, Al, K, Cr, Fe, Ir,
Pt, Au etc.
Hexagonal Closed Pack (HCP):
Mg, Co, Zn, Y, Zr, etc.
Diamond: C, Si, Ge, Sn (only
four)
Unit Cell
• Unit Cell: It is the basic structural unit of a crystal
structure. Its geometry and atomic positions define
the crystal structure. A unit cell is the smallest part of
the unit cell, which when repeated in all three
directions, reproduces the lattice.
• A unit cell is the smallest part of the unit cell, which
when repeated in all three directions, reproduces the
lattice.
Practice Examples
Miller Indices
• Miller indices: These are defined as the reciprocals of the intercepts made by
the plane on the axis of a crystal.
Steps to find Miller indices
1. Determine the intercepts of the plane along the axes X,Y and Z in terms of
the lattice constants a, b and c.
2. Determine the reciprocals of these numbers.
3. Find the least common denominator (lcd) and multiply each by this lcd
4. The result is written in parenthesis and is called the `Miller Indices’ of the
plane in the form (h k l).
Practice Examples
Practice Examples
Indexing a negative plane
Draw your own lattice planes
Very useful website:
http://www.doitpoms.ac.uk/tlplib/miller_indices/lattice_draw.php
Understanding Elementary Particles
There are two fundamental classes of subatomic particles Fermions and bosons
Fermions Bosons
Particles are
Indistinguishable
Particles are
Indistinguishable
Obey Pauli principle Do not obey Pauli
principle
Have one half spin have integral spin
Each state can have only
one particle
Each state can have
more than one particle
Follow Fermi Dirac
Statistics
Follow Bose Einstein
Statistics
Ex. Electrons, Protons Ex. Phonons, Photons
According to Free Electron theory : the electrons near the
nucleus are tightly bound to the nucleus and constitute the
conduction electrons whereas the ones in the outer shell are
partially bound and constitute the valence electrons.
The valence electrons of metallic atoms are free to move in
the spaces between ions from one place to another place
within the metallic specimen similar to gaseous molecules so
that these electrons are called free electron gas.
Conduction Band Valence Band
Higher energy level band
Energy band formed by a series
of energy levels containing
valence electrons
Partially filled by the electrons. Always filled with electrons
High Energy State Low Energy State
Above the Fermi level Below of Fermi level
Electrons move into the
conduction band when the atom
is excited
Electrons will move out of the
conduction band when the atom
is excited
Current flows due to such
electrons.
The highest energy level which
can be occupied by an electron
in the valence band at 0 K is
called the Fermi level.
Forbidden Band
The forbidden band is the energy gap between
a conduction band and valence band.
Some of its characteristics include;
1. No free electron is present.
2. These are the Energy states which are
quantum mechanically forbidden
3. The Width of the forbidden energy gap
depends upon the nature of the substance.
Introduction to Band Theory
Fermi Energy
As we know that the metal contains a large number of conduction electrons which are not
completely free (but partially), though they are not bound to any particular atomic system.
The forces between conduction electrons and ion cores are neglected in the free electron
approximation so that the electrons within the metal are treated as free. Further, the
energy possessed by electron is kinetic, since the potential energy is taken to be zero.
Fermi Dirac Distribution
The Fermi-Dirac distribution function, also called Fermi function f(E): The probability that the available
energy state ‘E’ will be occupied by an electron at absolute temperature T under conditions of thermal
equilibrium is given by the Fermi-Dirac function. From quantum physics, the Fermi-Dirac Distribution
Expression is
where, kB is the Boltzmann constant (kB = 1.38X10-23 J/K), T is the temperature in 0K and EF is the Fermi energy
in eV.
Analytical Treatment of f(E)
Note:
Fermi-Dirac distribution only gives the
probability of occupancy of the state at a
given energy level but doesn’t provide any
information about the number of states
available at that energy level.
DENSITY OF STATES
Average Kinetic energy of Free electron Gas at 0 K
Bloch’s Theorem : Translational Symmetry
Bloch's theorem states that solutions to the Schrödinger equation in a periodic potential take the form of
a plane wave modulated by a periodic function
A Bloch wave function (bottom) can be broken up into
the product of a periodic function (top) and a plane-
wave (center). The left side and right side represent
the same Bloch state broken up in two different ways,
involving the wave vector k1 (left) or k2 (right). The
difference (k1−k2) is a reciprocal lattice vector.
In 1930, Kronig and Penney proposed a one-dimensional model for the shape of rectangular potential
wells. Even though the model is one-dimensional, it is the periodicity of the potential that is the crucial
property and yields electronic band structure as a solution of the Schrodinger Equation .
Kronig-Penney Model
There are four assumptions in Kronig-Penney Model analysis
namely:
1. Electron interaction with the core is purely coulombic ;
2. Electron to electron interaction is precluded;
3. Non-ideal effects, such as collisions with the lattice and the
presence of impurities, are neglected;
4. Atoms are fixed in position whereas they are having thermal
vibrations.
In order to find the allowed energies of electrons in solids, we consider the effect of formation of a
solid when the individual constituent atoms are brought together. We solve the Schrödinger equation
for periodic potential seen by an electron in a crystal lattice. The model presumes potential barriers
having the lattice periodicity, as shown in Fig. below. Each well represents an approximation to the
potential produced by one ion. In the region such as 0 < x < a, the potential energy is assumed to be
zero while in the region –b < x < 0 or a < x < (a + b), the potential energy is taken as V0. The relevant
Schrödinger equations for these two regions are
It is found that the potential is not constant but varies
periodically. The effect of periodicity is to change the free
particle travelling wave eigen function. Therefore, the travelling
wave eigen function has a varying amplitude which changes
with the period of the lattice.
If we consider that the space periodicity is ‘a’ (Fig. 18.2), then according to Bloch, the eigen function
for one-dimensional system has the form
On solving Schrödinger wave equation for an electron under Kronig-Penney potential having boundary
condition that are continuous at the boundaries of the well.
The expression for the allowed energies in terms of k shows that gaps in energy are obtained at values such
that
This is a DISPERSION RELATION for electrons since it provides a
connection between their wavenumber( k ) and their energy ( Ε)
The importance of this equation is that it provides a CONDITION on
the ALLOWED energies of the electron in the periodic potential
From Eq. (v), it is clear that the relation between E and k is parabolic.
The parabolic relation between E and k, valid in case of free
electrons, is therefore, interrupted at different values of k, as shown
in Fig. It means the energies corresponding to the values of k given
by Eq. (iv) are not permitted for electrons in the crystal. Thus, the
energies of electrons are divided into forbidden and allowed bands
General Results from Kronig-Penney model
1. The energy spectrum of the electrons consists of energy
bands allowed and forbidden.
2. The width of the allowed energy region or band increases
with increasing values of or energy.
3. If potential barrier is strong, energy bands are narrowed
and spaced far apart. (Corresponds to crystals in which
electrons are tightly bond to ion cores, and wave functions
do not overlap much with adjacent cores. Also true for
lowest energy bands.)
4. If potential barrier is weak, energy bands are wide and
spaced close together. (This is typically situation for metals
with weakly bond electrons.)
Energy ‘E’ versus Wave Number ‘k’ Diagram
Due to this periodicity in potential for an infinitely long lattice, the wave function does not remain sinusoidal
travelling waves of constant amplitude but now they include the lattice periodicity in their amplitudes, and
electrons may be scattered by the lattice. When the de-Broglie wavelength of the electron corresponds to a
periodicity in the spacing of the ions, the electron interacts strongly with the lattice. This situation is the
same as an electromagnetic wave suffers Bragg’s reflection, when the Bragg’s condition is satisfied
-
One and Two Dimensional Brillouin Zones
In Kronig-Penney model, we have seen that the discontinuities in energy occurs when the wave
number ‘k’ satisfies the condition k = nπ/a, where ‘n’ takes the values ±1, ±2, ±3,... etc.
 From the graph between the total energy ‘E’ and wave number ‘k’ is shown in Fig It is clear that an
electron has allowed energy values in the region between –π/a to + π /a. This region is called the First
Brillouin Zone.
 The discontinuity of gap in the energy values after this allowed energy value. This gap is called
Forbidden gap or Forbidden zone.
 Again, there is another allowed energy zone, which is observed after this forbidden gap and is
extended from –π /a to –2 π /a and π /a to 2 π /a. This zone is called Second Brillouin Zone.
 Similarly, the other higher order Brillouin zones can be defined.
Band Theory in Solids
The last completely filled (at least at T = 0
K) band is called the Valence Band
• The next band with higher energy is the
Conduction Band
• The Conduction Band can be empty or
partially filed
• The energy difference between the
bottom of the CB and the top of the VB is
called the Band Gap (or Forbidden Gap)
According to the Band Theory:
Points to Understand:
1. Electrons in a completely filled band cannot move, since all states
are occupied (Pauli’s Exclusion Principle)
2. The only way for the electrons to move would be to jump to the
next higher energy level: This requires energy
CLASSIFICATION
OF SOLIDS AS
PER BAND
STRUCTURE
Semiconductors and its Classification
Semiconductors are materials whose electronic properties are intermediate between those of
Metals and Insulators.
They have conductivities in the range of 10 -4 to 10 +4S/m.
 The interesting feature about semiconductors is that they are bipolar and current is transported
by two charge carriers of opposite sign.
There properties are determined by
1.Crystal Structure bonding Characteristics.
2.Electronic Energy bands.
Semiconductors are mainly two types
1. Intrinsic (Pure) Semiconductors
2. Extrinsic (Impure) Semiconductors
Intrinsic Semiconductor
An intrinsic semiconductor is one which is made of the semiconductor
material in its extremely pure form. Examples: pure germanium and
silicon which have forbidden energy gaps of 0.72 eV and 1.1 eV
respectively.
This energy gap is so small that even at ordinary room temperature;
there are many electrons which possess sufficient energy to jump across
the small energy gap between the valence and the conduction bands.
Alternatively, an intrinsic semiconductor may be defined as one in
which the number of conduction electrons is equal to the number of
holes.
Intrinsic Semiconductor
Fermi Level
Fermi level is the term used to describe the top of the
collection of electron energy levels at absolute zero
temperature. the highest energy level which an
electron can occupy the valance band at 0k is
called fermi energy.
 In an Intrinsic Semiconductor the Fermi Level Lies
exactly between the valence band and the conduction
band
Electron Concentration in Conduction Band of an Intrinsic semiconductor
Intrinsic Concentration of Charge Carriers
Energy Band Diagram and Fermi level
In an Intrinsic semiconductor, the electrons and holes are generated in pairs, n=p=ni, substituting the values
Extrinsic Semiconductors
The Extrinsic Semiconductors are those in which impurities/doping are present. Usually,
the impurities can be either 3rd group elements or 5th group elements.
Based on the impurities present in the Extrinsic Semiconductors, they are classified into
two categories.
1. N-type semiconductors
2. P-type semiconductors
Doping is the intentional introduction of impurities into an intrinsic semiconductor for the purpose of
modulating its electrical, optical and structural properties. The doped material is referred to as
an extrinsic semiconductor. A semiconductor doped to such high levels that it acts more like
a conductor than a semiconductor is referred to as a degenerate semiconductor.
Note:
N- Type Semiconductors
The Intrinsic Semiconductors doped with Pentavalent
impurities such as Phosphorous, Arsenic or Antimony are
called N-type Semiconductors
In such a semiconductor, the intrinsic four electrons are
involved in covalent bonding whereas, the fifth electron is
weakly bound to the parent atom. The energy level of fifth
electron is called donor level
In this type of a semiconductor :
1. The donor level is close to the bottom of the conduction
band
2. Most of the donor level electrons are excited into the
conduction band at room temperature
3. In N-type Semiconductors electrons are Majority carriers
and holes are Minority carriers.
P- Type Semiconductors
When a small amount of trivalent acceptor atoms
(e.g., boron (B) and aluminum (Al)) is added, a silicon
atom in the lattice may be replaced by an acceptor
atom with only three valence electrons forming three
covalent bounds and a hole in the lattice.
The energy level of hole (acceptor atom) is called
acceptor level
In this type of a semiconductor :
1. The acceptor level is close to the Valence band
2. In P-type Semiconductors holes are the Majority
carriers and electrons are Minority carriers.
Effect of Temperature on Extrinsic Semiconductors
Since all the donors have already donated their free electrons at room temperature, the additional thermal
energy will only increase the generation of electron-hole pairs. Thus the concentration of minority charge
carriers increases. A temperature is ultimately reached when the number of covalent bonds broken is very
large such that the number of holes and electrons is almost equal. The same analogy takes place for p type
semiconductors as well.
The extrinsic semiconductor then behaves like an intrinsic semiconductor, although its conductivity is higher.
Applications of Extrinsic Semiconductors
Although, semiconductors have paved their way in every sphere of life but a few day to day examples are
Zener Diode
A diode is a specialized electronic component with two electrode called the anode and the
cathode. Most diodes are made with semiconductor materials such as silicon, germanium, or
selenium.
1. When a Zener diode is forward biased, it
operates as a normal diode.
2. In forward biased P side connected to +ve and N
side connected to –ve terminal of battery.
3. In this case the electrons and holes are swept
across the junction an large current flows
through it
4. The figure shows, the forward characteristics is
same as that of ordinary forward biased
junction diode.
Forward Biasing in a Zener Diode
Reverse Biasing in a Zener Diode
1. In case of reverse biased current practically zero
and at certain voltage which called Zener voltage
the current increases sharply.
2. Each Zener diode has breakdown rating which
specifies the max voltage that can be dropped
across it.
3. In reverse direction however there is a very small
leakage current between 0V an the Zener voltage
–i.e. tiny amount of current is able to flow.
4. Then, when the voltage reaches the breakdown
voltage (VZ), suddenly current flow through it
The most common application of Zener Diode are
1. Zener Regulator 3.Zener Limiters
2. Zener diode in Power Supplies 4. Zener Comparator
Crystal structure_ Engineering Physics

Crystal structure_ Engineering Physics

  • 1.
    Solid State Physics UnitII (B.tech First Year)
  • 2.
    Introductory Concepts Types ofSolids Solids can be divided into two groups based on the arrangement of the atoms. Crystalline : atoms/molecules are arranged in an orderly manner. The atoms are having long range order. Examples : Iron, Copper, NaCl, Kcl etc. Amorphous: atoms/molecules are not present in an orderly manner. They are randomly arranged. Example : Glass, Plastic etc.
  • 3.
    Crystal Structure Definations •Crystallinity: 3-D pattern in which each atom is bonded to its nearest neighbours • Crystalline material is a material comprised of one or many crystals. In each crystal, atoms or ions show a long- range periodic arrangement. (a) Single crystal is a crystalline material that is made of only one crystal (there are no grain boundaries). Grains are the crystals in a polycrystalline material. (b) Polycrystalline material is a material comprised of many crystals (as opposed to a single-crystal material that has only one crystal).
  • 4.
    Space Lattice • Spacelattice is the distribution of points in 3D in such a way that every point has identical surroundings, i.e., it is an infinite array of points in three dimensions in which every point has surroundings identical to every other point in the array. • In Euclidean space which is an infinite array of points We can have 1D, 2D or 3D arrays (lattices) Important Note: • Lattice points are a purely mathematical concept, whereas atoms are physical objects. • Lattice Points do not necessarily lie at the center of atoms. In Figure (a) is the 3-D periodic arrangement of atoms, and Figure (b) is the corresponding space lattice. In this case, atoms lie at the same point as the space lattice.
  • 5.
    There are 7 crystalstructures and 14 Bravais lattice • Most common types: – Cubic: Li, Na, Al, K, Cr, Fe, Ir, Pt, Au etc. Hexagonal Closed Pack (HCP): Mg, Co, Zn, Y, Zr, etc. Diamond: C, Si, Ge, Sn (only four)
  • 6.
    Unit Cell • UnitCell: It is the basic structural unit of a crystal structure. Its geometry and atomic positions define the crystal structure. A unit cell is the smallest part of the unit cell, which when repeated in all three directions, reproduces the lattice. • A unit cell is the smallest part of the unit cell, which when repeated in all three directions, reproduces the lattice.
  • 10.
  • 11.
    Miller Indices • Millerindices: These are defined as the reciprocals of the intercepts made by the plane on the axis of a crystal. Steps to find Miller indices 1. Determine the intercepts of the plane along the axes X,Y and Z in terms of the lattice constants a, b and c. 2. Determine the reciprocals of these numbers. 3. Find the least common denominator (lcd) and multiply each by this lcd 4. The result is written in parenthesis and is called the `Miller Indices’ of the plane in the form (h k l).
  • 13.
  • 14.
  • 15.
  • 17.
    Draw your ownlattice planes Very useful website: http://www.doitpoms.ac.uk/tlplib/miller_indices/lattice_draw.php
  • 18.
    Understanding Elementary Particles Thereare two fundamental classes of subatomic particles Fermions and bosons Fermions Bosons Particles are Indistinguishable Particles are Indistinguishable Obey Pauli principle Do not obey Pauli principle Have one half spin have integral spin Each state can have only one particle Each state can have more than one particle Follow Fermi Dirac Statistics Follow Bose Einstein Statistics Ex. Electrons, Protons Ex. Phonons, Photons According to Free Electron theory : the electrons near the nucleus are tightly bound to the nucleus and constitute the conduction electrons whereas the ones in the outer shell are partially bound and constitute the valence electrons. The valence electrons of metallic atoms are free to move in the spaces between ions from one place to another place within the metallic specimen similar to gaseous molecules so that these electrons are called free electron gas.
  • 19.
    Conduction Band ValenceBand Higher energy level band Energy band formed by a series of energy levels containing valence electrons Partially filled by the electrons. Always filled with electrons High Energy State Low Energy State Above the Fermi level Below of Fermi level Electrons move into the conduction band when the atom is excited Electrons will move out of the conduction band when the atom is excited Current flows due to such electrons. The highest energy level which can be occupied by an electron in the valence band at 0 K is called the Fermi level. Forbidden Band The forbidden band is the energy gap between a conduction band and valence band. Some of its characteristics include; 1. No free electron is present. 2. These are the Energy states which are quantum mechanically forbidden 3. The Width of the forbidden energy gap depends upon the nature of the substance. Introduction to Band Theory
  • 20.
    Fermi Energy As weknow that the metal contains a large number of conduction electrons which are not completely free (but partially), though they are not bound to any particular atomic system. The forces between conduction electrons and ion cores are neglected in the free electron approximation so that the electrons within the metal are treated as free. Further, the energy possessed by electron is kinetic, since the potential energy is taken to be zero.
  • 23.
    Fermi Dirac Distribution TheFermi-Dirac distribution function, also called Fermi function f(E): The probability that the available energy state ‘E’ will be occupied by an electron at absolute temperature T under conditions of thermal equilibrium is given by the Fermi-Dirac function. From quantum physics, the Fermi-Dirac Distribution Expression is where, kB is the Boltzmann constant (kB = 1.38X10-23 J/K), T is the temperature in 0K and EF is the Fermi energy in eV.
  • 24.
    Analytical Treatment off(E) Note: Fermi-Dirac distribution only gives the probability of occupancy of the state at a given energy level but doesn’t provide any information about the number of states available at that energy level.
  • 25.
  • 27.
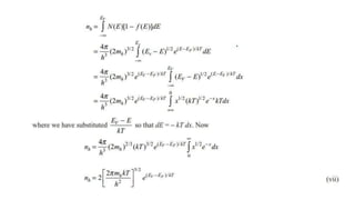
    Average Kinetic energyof Free electron Gas at 0 K
  • 28.
    Bloch’s Theorem :Translational Symmetry Bloch's theorem states that solutions to the Schrödinger equation in a periodic potential take the form of a plane wave modulated by a periodic function A Bloch wave function (bottom) can be broken up into the product of a periodic function (top) and a plane- wave (center). The left side and right side represent the same Bloch state broken up in two different ways, involving the wave vector k1 (left) or k2 (right). The difference (k1−k2) is a reciprocal lattice vector.
  • 29.
    In 1930, Kronigand Penney proposed a one-dimensional model for the shape of rectangular potential wells. Even though the model is one-dimensional, it is the periodicity of the potential that is the crucial property and yields electronic band structure as a solution of the Schrodinger Equation . Kronig-Penney Model There are four assumptions in Kronig-Penney Model analysis namely: 1. Electron interaction with the core is purely coulombic ; 2. Electron to electron interaction is precluded; 3. Non-ideal effects, such as collisions with the lattice and the presence of impurities, are neglected; 4. Atoms are fixed in position whereas they are having thermal vibrations.
  • 30.
    In order tofind the allowed energies of electrons in solids, we consider the effect of formation of a solid when the individual constituent atoms are brought together. We solve the Schrödinger equation for periodic potential seen by an electron in a crystal lattice. The model presumes potential barriers having the lattice periodicity, as shown in Fig. below. Each well represents an approximation to the potential produced by one ion. In the region such as 0 < x < a, the potential energy is assumed to be zero while in the region –b < x < 0 or a < x < (a + b), the potential energy is taken as V0. The relevant Schrödinger equations for these two regions are It is found that the potential is not constant but varies periodically. The effect of periodicity is to change the free particle travelling wave eigen function. Therefore, the travelling wave eigen function has a varying amplitude which changes with the period of the lattice.
  • 31.
    If we considerthat the space periodicity is ‘a’ (Fig. 18.2), then according to Bloch, the eigen function for one-dimensional system has the form On solving Schrödinger wave equation for an electron under Kronig-Penney potential having boundary condition that are continuous at the boundaries of the well.
  • 32.
    The expression forthe allowed energies in terms of k shows that gaps in energy are obtained at values such that This is a DISPERSION RELATION for electrons since it provides a connection between their wavenumber( k ) and their energy ( Ε) The importance of this equation is that it provides a CONDITION on the ALLOWED energies of the electron in the periodic potential From Eq. (v), it is clear that the relation between E and k is parabolic. The parabolic relation between E and k, valid in case of free electrons, is therefore, interrupted at different values of k, as shown in Fig. It means the energies corresponding to the values of k given by Eq. (iv) are not permitted for electrons in the crystal. Thus, the energies of electrons are divided into forbidden and allowed bands
  • 33.
    General Results fromKronig-Penney model 1. The energy spectrum of the electrons consists of energy bands allowed and forbidden. 2. The width of the allowed energy region or band increases with increasing values of or energy. 3. If potential barrier is strong, energy bands are narrowed and spaced far apart. (Corresponds to crystals in which electrons are tightly bond to ion cores, and wave functions do not overlap much with adjacent cores. Also true for lowest energy bands.) 4. If potential barrier is weak, energy bands are wide and spaced close together. (This is typically situation for metals with weakly bond electrons.)
  • 34.
    Energy ‘E’ versusWave Number ‘k’ Diagram Due to this periodicity in potential for an infinitely long lattice, the wave function does not remain sinusoidal travelling waves of constant amplitude but now they include the lattice periodicity in their amplitudes, and electrons may be scattered by the lattice. When the de-Broglie wavelength of the electron corresponds to a periodicity in the spacing of the ions, the electron interacts strongly with the lattice. This situation is the same as an electromagnetic wave suffers Bragg’s reflection, when the Bragg’s condition is satisfied
  • 35.
  • 36.
    One and TwoDimensional Brillouin Zones In Kronig-Penney model, we have seen that the discontinuities in energy occurs when the wave number ‘k’ satisfies the condition k = nπ/a, where ‘n’ takes the values ±1, ±2, ±3,... etc.  From the graph between the total energy ‘E’ and wave number ‘k’ is shown in Fig It is clear that an electron has allowed energy values in the region between –π/a to + π /a. This region is called the First Brillouin Zone.  The discontinuity of gap in the energy values after this allowed energy value. This gap is called Forbidden gap or Forbidden zone.  Again, there is another allowed energy zone, which is observed after this forbidden gap and is extended from –π /a to –2 π /a and π /a to 2 π /a. This zone is called Second Brillouin Zone.  Similarly, the other higher order Brillouin zones can be defined.
  • 37.
    Band Theory inSolids The last completely filled (at least at T = 0 K) band is called the Valence Band • The next band with higher energy is the Conduction Band • The Conduction Band can be empty or partially filed • The energy difference between the bottom of the CB and the top of the VB is called the Band Gap (or Forbidden Gap) According to the Band Theory: Points to Understand: 1. Electrons in a completely filled band cannot move, since all states are occupied (Pauli’s Exclusion Principle) 2. The only way for the electrons to move would be to jump to the next higher energy level: This requires energy CLASSIFICATION OF SOLIDS AS PER BAND STRUCTURE
  • 39.
    Semiconductors and itsClassification Semiconductors are materials whose electronic properties are intermediate between those of Metals and Insulators. They have conductivities in the range of 10 -4 to 10 +4S/m.  The interesting feature about semiconductors is that they are bipolar and current is transported by two charge carriers of opposite sign. There properties are determined by 1.Crystal Structure bonding Characteristics. 2.Electronic Energy bands. Semiconductors are mainly two types 1. Intrinsic (Pure) Semiconductors 2. Extrinsic (Impure) Semiconductors
  • 40.
    Intrinsic Semiconductor An intrinsicsemiconductor is one which is made of the semiconductor material in its extremely pure form. Examples: pure germanium and silicon which have forbidden energy gaps of 0.72 eV and 1.1 eV respectively. This energy gap is so small that even at ordinary room temperature; there are many electrons which possess sufficient energy to jump across the small energy gap between the valence and the conduction bands. Alternatively, an intrinsic semiconductor may be defined as one in which the number of conduction electrons is equal to the number of holes. Intrinsic Semiconductor
  • 41.
    Fermi Level Fermi levelis the term used to describe the top of the collection of electron energy levels at absolute zero temperature. the highest energy level which an electron can occupy the valance band at 0k is called fermi energy.  In an Intrinsic Semiconductor the Fermi Level Lies exactly between the valence band and the conduction band
  • 42.
    Electron Concentration inConduction Band of an Intrinsic semiconductor
  • 46.
  • 47.
    Energy Band Diagramand Fermi level In an Intrinsic semiconductor, the electrons and holes are generated in pairs, n=p=ni, substituting the values
  • 48.
    Extrinsic Semiconductors The ExtrinsicSemiconductors are those in which impurities/doping are present. Usually, the impurities can be either 3rd group elements or 5th group elements. Based on the impurities present in the Extrinsic Semiconductors, they are classified into two categories. 1. N-type semiconductors 2. P-type semiconductors Doping is the intentional introduction of impurities into an intrinsic semiconductor for the purpose of modulating its electrical, optical and structural properties. The doped material is referred to as an extrinsic semiconductor. A semiconductor doped to such high levels that it acts more like a conductor than a semiconductor is referred to as a degenerate semiconductor. Note:
  • 49.
    N- Type Semiconductors TheIntrinsic Semiconductors doped with Pentavalent impurities such as Phosphorous, Arsenic or Antimony are called N-type Semiconductors In such a semiconductor, the intrinsic four electrons are involved in covalent bonding whereas, the fifth electron is weakly bound to the parent atom. The energy level of fifth electron is called donor level In this type of a semiconductor : 1. The donor level is close to the bottom of the conduction band 2. Most of the donor level electrons are excited into the conduction band at room temperature 3. In N-type Semiconductors electrons are Majority carriers and holes are Minority carriers.
  • 52.
    P- Type Semiconductors Whena small amount of trivalent acceptor atoms (e.g., boron (B) and aluminum (Al)) is added, a silicon atom in the lattice may be replaced by an acceptor atom with only three valence electrons forming three covalent bounds and a hole in the lattice. The energy level of hole (acceptor atom) is called acceptor level In this type of a semiconductor : 1. The acceptor level is close to the Valence band 2. In P-type Semiconductors holes are the Majority carriers and electrons are Minority carriers.
  • 54.
    Effect of Temperatureon Extrinsic Semiconductors Since all the donors have already donated their free electrons at room temperature, the additional thermal energy will only increase the generation of electron-hole pairs. Thus the concentration of minority charge carriers increases. A temperature is ultimately reached when the number of covalent bonds broken is very large such that the number of holes and electrons is almost equal. The same analogy takes place for p type semiconductors as well. The extrinsic semiconductor then behaves like an intrinsic semiconductor, although its conductivity is higher.
  • 55.
    Applications of ExtrinsicSemiconductors Although, semiconductors have paved their way in every sphere of life but a few day to day examples are
  • 56.
    Zener Diode A diodeis a specialized electronic component with two electrode called the anode and the cathode. Most diodes are made with semiconductor materials such as silicon, germanium, or selenium.
  • 59.
    1. When aZener diode is forward biased, it operates as a normal diode. 2. In forward biased P side connected to +ve and N side connected to –ve terminal of battery. 3. In this case the electrons and holes are swept across the junction an large current flows through it 4. The figure shows, the forward characteristics is same as that of ordinary forward biased junction diode. Forward Biasing in a Zener Diode
  • 60.
    Reverse Biasing ina Zener Diode 1. In case of reverse biased current practically zero and at certain voltage which called Zener voltage the current increases sharply. 2. Each Zener diode has breakdown rating which specifies the max voltage that can be dropped across it. 3. In reverse direction however there is a very small leakage current between 0V an the Zener voltage –i.e. tiny amount of current is able to flow. 4. Then, when the voltage reaches the breakdown voltage (VZ), suddenly current flow through it
  • 62.
    The most commonapplication of Zener Diode are 1. Zener Regulator 3.Zener Limiters 2. Zener diode in Power Supplies 4. Zener Comparator