International Journal of Electronics and Communication Engineering & Technology (IJECET), ISSN 0976 –
6464(Print), ISSN 0976 – 6472(Online), Volume 6, Issue 1, January (2015), pp. 39-48 © IAEME
39
CONCEPTUAL DESIGN OF EDGE ADAPTIVE
STEGANOGRAPHY SCHEME BASED ON ADVANCED
LSB ALGORITHM
RAMAKRISHNA HEGDE1
, Dr.JAGADEESHA S2
1
Department of Computer Science and Engineering,
SDM Institute of Technology, Ujire, India,
2
Department of Electronics and Communications Engineering,
SDM Institute of Technology, Ujire, India,
ABSTRACT
This research article outlines the efficient algorithm in which secrete data are embedded in
edge regions of the image. Here region selection totally depending on size of the secrete message. If
less information to be embedded, then sharp regions in the image are selected for embedding bits. If
the size of secrete information is large, then the more edge regions are released to accommodate all
the secrete bits. This means that edge regions are selected adaptively with the size of the secrete
message. Our work focuses on inserting the bits we used Least Significant Bit Matching Revisited
(LSBMR) scheme and consider the relationship between characteristics of the region and size of the
secrete message. And also this paper proposes to preserve higher visual quality of the stego image.
Keywords: Steganography, Least Significant Bits (LSB), Edge Embedding, Unobtrusiveness,
Security.
I. INTRODUCTION
Steganography is an efficient and well known technique for secure data transmission over the
public networks. The secrete information can be communicated to the other authorized user, by
embedding secrete messages in cover image and it generates stego image. This stego image is
transmitted over the public network and authorized user can extract the secrete data from the stego
image by efficient data extraction algorithm. There are many good algorithms are available for
steganography.
INTERNATIONAL JOURNAL OF ELECTRONICS AND
COMMUNICATION ENGINEERING & TECHNOLOGY (IJECET)
ISSN 0976 – 6464(Print)
ISSN 0976 – 6472(Online)
Volume 6, Issue 1, January (2015), pp. 39-48
© IAEME: http://www.iaeme.com/IJECET.asp
Journal Impact Factor (2015): 7.9817 (Calculated by GISI)
www.jifactor.com
IJECET
© I A E M E
International Journal of Electronics and Communication Engineering & Technology (IJECET), ISSN 0976 –
6464(Print), ISSN 0976 – 6472(Online), Volume 6, Issue 1, January (2015), pp. 39-48 © IAEME
40
Steganography is the art and science of writing hidden messages in such a way that no one,
apart from the sender and intended recipient, suspects the existence of the message. In many new
applications for military and civilian purpose, the contributions of steganography are immense. The
word steganography is of Greek origin and means "concealed writing" from the Greek words
steganos meaning "covered or protected", and graphei meaning writing". The first recorded use of
the term was in 1499 by Johannes rithemius in his Steganographia, a treatise on cryptography and
steganography disguised as a book on magic. As people become aware of the internet day-by-day,
the number of users in the network increases considerably thereby, facing more challenges in terms
of data storage and transmission over the internet, for example information like account number,
password etc. Hence, in order to provide a better security mechanism, we propose a data hiding
technique called steganography along with the technique of encryption-decryption.
Steganography is the art and science of hiding data into different carrier files such as text, audio,
images, video, etc. In cryptography, the secret message that we send may be easily detectable by the
attacker. But in steganography, the secret message is not easily detectable. The persons other than
the sender and receiver are not able to view the secret message.
1.1 Characteristics of Steganography
The steganography should have the following characteristics to function efficiently.
1.1.1Unobtrusiveness - The steganography should be properly invisible or inaudible, or its presence
should not interfere with the media content being protected.
1.1.2 Robustness – The covered data should not be accessed or removed by any other user except
the authorized user. If only a partial knowledge is available, then attempts to remove or destroy a
hidden data should result in severe degradation of the host data before the hidden data is lost. In
particular, the steganography should be robust in the following areas:
1.1.3 Unambiguity - Retrieval of the hidden data should unambiguously identify the owner.
Furthermore, the accuracy of owner identification should degrade gracefully in the face of attack.
1.1.4 Security- The security of steganography techniques can be interpreted in the same way as the
security of encryption techniques Kerchoff’s assumption state that one should assume that the
method used to encrypt the data is known to an unauthorized party and that security must lie in the
choice of a key.
The applications of steganography spread over many areas. Some of the applications are
point to point convert communication to convey secrete information between trusted parties with
host media as camouflage, modern printers, military applications, education, posting secrete
communications on the web to avoid transmission, embedding corrective audio or image data in case
corrosion occurs from a poor connection or transmission. Basic idea of steganography is to hide the
secrete data in master file (carrier file) and communicated to the other user over the networks. Master
files can be of images, audios, text, video file. Most cases images are used as covered media. In
digital steganography, electronic communications may include steganographic coding inside of a
transport layer, such as a document file, image file, program or protocol. Media files are ideal for
steganographic transmission because of their large size. As a simple example, a sender might start
with an innocuous image file and adjust the color of every 100th pixel to correspond to a letter in the
alphabet, a change so subtle that someone not specifically looking for it is unlikely to notice
it.During transmitting the hidden message in covered media over the public network can be detected
by using the method called steganalysis.
II. PREVIOUS WORKS
Lots of research work is done on steganography and some of the work mentioned here. Many
of the applications like copy right protection, content annotation, access control and transaction
International Journal of Electronics and Communication Engineering & Technology (IJECET), ISSN 0976 –
6464(Print), ISSN 0976 – 6472(Online), Volume 6, Issue 1, January (2015), pp. 39-48 © IAEME
41
tracking, the secrete information can be hidden into compressed video bit stream. For instance, [1]
used data hiding techniques to assess the quality of compressed video in the absence of the original
reference. The authors of [2] used data hiding to enable real time scene change detection in
compressed video.
Least Significant Bit (LSB) replacement algorithm is one of the popular and age old
algorithm. In this data hiding scheme, the LSB of master image or covered image is overwritten by
the bit stream of the secrete message according to the pseudorandom number generator (PRNG) . As
a result there is a possibility of introducing some structural changes and for unauthorized users over
public networks become easy to detect the hidden secrete information even though the low
embedding rate by using some of data hiding algorithms such as Chi-squared attack [3],
regular/singular groups (RS) analysis [4], sample pair analysis [5], and the general framework for
structural steganalysis [6], [7]. Most of the LSB replacement algorithms introduces structural
changes. To avoid this up to maximum extent LSB matching (LSBM) technique can be employed. In
LSBM if the secrete bit does not match the LSB of the master image, then +1 or -1 is added
randomly to the corresponding pixel value. Till now several data hiding algorithm [8]-[11] are
proposed to analyze LSBM scheme.
In [8], the author introduced detector using centre of mass (COM) of the histogram
characteristic function (HCF). In [9], the author proved that on a gray scale image, HCF COM does
not work well, so introduced two ways of applying HCF COM method. Namely utilizing the down
sample image and adjacent histogram instead of traditional histogram. In a recent work [11], Li et al.
proposed to calculate calibration-based detectors, such as Calibrated HCF COM, on the difference
image. It proves that Ker’s approach [9] outperformed by new detector and acceptable accuracy at an
embedding rate 50% is achieved. The paper [12] presents an improved data hiding technique based
on BCH (n,k,t) coding. Wang and Moulin [13] have shown that perfect steganography is possible
with zero risk of detection as long as the embedder has perfect knowledge of the cover distribution.
Research papers , Hamming code [14], [15], simplex code [16], binary BCH code [17], Reed–
Solomon code [18], and syndrome-trellis code [19] have been used for secure steganography. Böhme
[20], [21] explain about the security of the steganography from the point of the adversary
assumptions and cover assumptions. The first information-theoretic approach was proposed by
Cachin [22], [23]. He carried out the research on security of a steganographic system using the
Kullback–Leibler (KL) divergence between the distributions of cover and stego media. Binary BCH
codes [24] have been investigated and seem to be good candidates of the first type and the second
type as well. Picture quality and statistical undetectability are two key issues related to
steganography techniques. The research paper [25] proposed closed-loop computing framework that
iteratively searches proper modifications of pixels/coefficients to enhance a base steganographic
scheme with optimized picture quality and higher anti-steganalysis capability.
III METHODOLOGY
First and foremost, during data embedding stage, some of the parameters are initialized. For
region selection in the master image and subsequent processing of this image, those initialized
parameters are used. Abstract data embedding steps involved in this scheme are mentioned in
TABLE 1. Master images which contain more edges are better than the master image having fewer
edges to apply this scheme efficiently. In this scheme, if the selected region is sufficiently enough to
hide all the secrete data, the no need to modify the parameters. Otherwise parameters values should
be modified and reselect the region in the master image. Finally some post processing on embedded
image to obtain the stego image. Otherwise parameters should be revised to reselect the region to
insert the secrete bits until all the secrete bits are inserted.
International Journal of Electronics and Communication Engineering & Technology (IJECET), ISSN 0976 –
6464(Print), ISSN 0976 – 6472(Online), Volume 6, Issue 1, January (2015), pp. 39-48 © IAEME
42
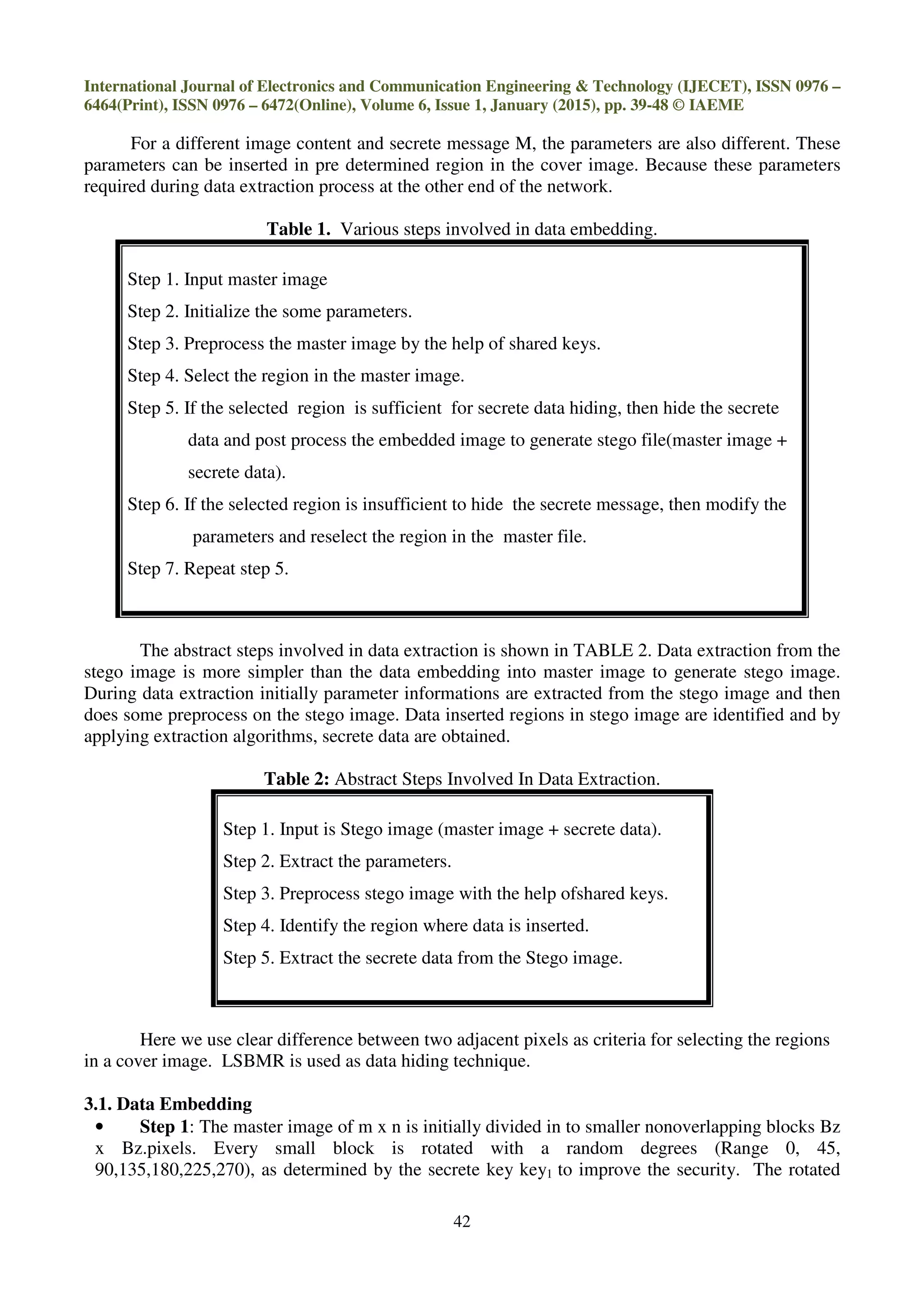
For a different image content and secrete message M, the parameters are also different. These
parameters can be inserted in pre determined region in the cover image. Because these parameters
required during data extraction process at the other end of the network.
Table 1. Various steps involved in data embedding.
Step 1. Input master image
Step 2. Initialize the some parameters.
Step 3. Preprocess the master image by the help of shared keys.
Step 4. Select the region in the master image.
Step 5. If the selected region is sufficient for secrete data hiding, then hide the secrete
data and post process the embedded image to generate stego file(master image +
secrete data).
Step 6. If the selected region is insufficient to hide the secrete message, then modify the
parameters and reselect the region in the master file.
Step 7. Repeat step 5.
The abstract steps involved in data extraction is shown in TABLE 2. Data extraction from the
stego image is more simpler than the data embedding into master image to generate stego image.
During data extraction initially parameter informations are extracted from the stego image and then
does some preprocess on the stego image. Data inserted regions in stego image are identified and by
applying extraction algorithms, secrete data are obtained.
Table 2: Abstract Steps Involved In Data Extraction.
Step 1. Input is Stego image (master image + secrete data).
Step 2. Extract the parameters.
Step 3. Preprocess stego image with the help ofshared keys.
Step 4. Identify the region where data is inserted.
Step 5. Extract the secrete data from the Stego image.
Here we use clear difference between two adjacent pixels as criteria for selecting the regions
in a cover image. LSBMR is used as data hiding technique.
3.1. Data Embedding
• Step 1: The master image of m x n is initially divided in to smaller nonoverlapping blocks Bz
x Bz.pixels. Every small block is rotated with a random degrees (Range 0, 45,
90,135,180,225,270), as determined by the secrete key key1 to improve the security. The rotated
International Journal of Electronics and Communication Engineering & Technology (IJECET), ISSN 0976 –
6464(Print), ISSN 0976 – 6472(Online), Volume 6, Issue 1, January (2015), pp. 39-48 © IAEME
43
small blocks are rearranged as a row vector V by raster scanning. And then vector is divided into
nonoverlaping embedding units with every two consecutive pixels (Xi, Xi+1 ), where i = 1,3 …….,
mn-1.
• Step 2: As per the LSBMR scheme, for each embedding unit, two secrete bits can be
embedded. For a given secrete message M, threshold value T is calculated as follows. Let EU(t) be
the set of pixel pairs whose absolute differences are greater than or equal to parameter t.
EU(t) = {(Xi, Xi+1 )||Xi –Xi+1 | ≥ t, V (Xi, Xi+1 )€ V
Threshold T = argmaxt{2x|EU(t)|≥|M|}
Where t ϵ {0,1……31}, |M| size of the secrete message M, |EU(t)| denotes total
number of elements in the set EU(t).
• Step 3: Performing data hiding on the set of
EU(T) = {(Xi, Xi+1 )||Xi –Xi+1 | ≥ T , V (Xi, Xi+1 )€ V
We deal with the above embedding units in a pseudorandom order determined by a
secret key key2. Here we perform data hiding with following four case.
Case 1. LSB(Xi) = mi & f(Xi, Xi+1) = mi+1
(X’I, X’i+1) = (Xi, Xi+1)
Case 2. LSB(Xi) = mi & f(Xi, Xi+1) ≠ mi+1
(X’I, X’i+1) = (Xi, Xi+1 + r)
Case 3. LSB(Xi) ≠ mi & f(Xi -1, Xi+1) = mi+1
(X’I, X’i+1) = (Xi-1, Xi+1)
Case 4. LSB(Xi) ≠ mi & f(Xi -1, Xi+1) ≠ mi+1
(X’I, X’i+1) = (Xi+1, Xi+1)
Where mi and mi+1 are two secrete bits to be embedded.
• Step 4: After data hiding, resulting region is divided into nonoverlapping Bz x Bz blocks.
These blocks are rotated by the random number of degrees based on key1. Here in this case random
degrees are opposite. The parameters (T,Bz) embed into a predetermined regions in the cover
image.
3.2 Data Extraction
To extract the secrete data from the stego image, we first extract the side information i.e T
and Bz. The stego image is divided into nonoverlapping Bzx Bz blocks. Rotate these blocks into
random degrees with the help of secrete key key1 and rearrange them into the row vector V’. Now we
get the embedding units by dividing the V’into nonoverlapping blocks with two consecutive pixels.
For each qualified embedding unit say (X’i, X’i+1), where | X’i+1 –X’i| ≥ T, we extract two secrete bits
mi and mi+1 as follows.
mi = LSB(X”i), mi+1 = LSB ( [X’i / 2] + X’i+1
IV EXPERIMENTAL RESULTS
4.1 Hiding Capacity and Image quality
In this section, we are presenting the proposed techniques experimental results and compared
with some existing techniques also. Size of the color image we took here is 1024 x 768 or 768 x
1024. These selected color images are converted into gray images and applied our proposed scheme.
International Journal of Electronics and Communication Engineering & Technology (IJECET), ISSN 0976 –
6464(Print), ISSN 0976 – 6472(Online), Volume 6, Issue 1, January (2015), pp. 39-48 © IAEME
44
(a) Cover or master image (b) Embedding rate < 40%
(c) Embedding rate >40%
Fig 1.Images with modified pixels. (a) Cover or Master image
(b) Image with embedding rate < 40% (c) Image with embedding rate >40%
The Fig.1(a) is the cover image or master image. The Fig.1 (b) and (c) shows that positions of
those modified pixels after data hiding by using our proposed technique with embedding rates less
than 40% and greater than 40% respectively in the cover image . The threshold value T is in the
range of 20 to 5 for embedding rates of less than 40% and 3 to 0 for embedding rates of greater than
40%. When the threshold value is T equal to 0, then complete location of the covered image is
available for embedding the secrete bits. Here we observed that, for lower embedding rates, only
sharper edges are used for hiding the secrete data and remain untouched for other clear areas. For
the higher embedding rates, more locations can be released adaptively by decreasing the threshold
value T. For example, when embedding rates are greater than 50% , then the some of clear location
( like clear sky here) in the covered image are released for hiding the secrete bits i.e it all depends on
size of the secrete message.
The Table.3 shows the average PSNR as per the per the paper [26] and our proposed
technique. It observed that quality of LSBMR technique is better in terms average PSNR, since it
uses +_1 embedding scheme and modification rate is also lower. In our proposed scheme average
PSNR is little lower than the LSBMR method because of readjusting the embedding unite to assure
the better data extraction. Overall our proposed method is nearly the best in terms of average PSNR
and average modification rate among other popular techniques
International Journal of Electronics and Communication Engineering & Technology (IJECET), ISSN 0976 –
6464(Print), ISSN 0976 – 6472(Online), Volume 6, Issue 1, January (2015), pp. 39-48 © IAEME
45
Table 3: Average Psnr and the Modification Rate of Stego Images with Different Stegonagraphy
Algorithms and Different Embedding Rates.
4.2 Stego Image Visibility
One of the main characteristics of the better quality steganographic algorithm is, for human
eyes, content of the secrete data into the cover image should not be visible or guessed by the
(a) (b) (c)
Fig 2 . (a) Cover Image (b) Stego Image with 30% embedding rate (c) Stego image with 50%
embedding rate.
Embedding
Rates
Steganography
Alorithm
Average PSNR
Avg. Rate of
Modification.
30 %
LSB Based
LSBM 56.4 0.1500
LSBMR 57.4 0.1125
Edge Based
PVD 46.8 0.1465
IPVD 49.0 0.1471
HBC 56.4 0.1500
Proposed 56.5 0.1197
50 %
LSB Based
LSBM 54.2 0.2500
LSBMR 55.2 0.1875
Edge Based
PVD 44.5 0.2441
IPVD 46.8 0.2452
HBC 54.2 0.2500
Proposed 53.9 0.2033
International Journal of Electronics and Communication Engineering & Technology (IJECET), ISSN 0976 –
6464(Print), ISSN 0976 – 6472(Online), Volume 6, Issue 1, January (2015), pp. 39-48 © IAEME
46
(a) (b)
(c) (d)
(e)
Fig. 3 (a) LSB of cover image and stego images for four different embedding techniques with
embedding rate of 50%. (a) LSB of LSBM stego (b) LSB of LSBMR stego (c) LSB of PVD stego
(d) LSB of IPVD stego (e) LSB of Proposed techniques.
Unauthorized user in the public network even after modifying the pixel value. Visibility of
the original cover image and stego image should remain same and for human eye slight modification
in the pixel value will not be visible. In our proposed technique, although we insert the secrete data
in to the edge region of the cover image, it would not leave any visual artifacts in LSB image.
Fig.2 illustrates the cover image and stego images after applying our proposed technique.
Fig.2 (a) is the cover image or master image, Fig.2 (b) is the stego image with 30% embedding rate,
Fig.2 (c) is the stego image with 50% embedding rate. Here we observed that original cover image
and stego images are all looks similar to the human eye. The stego images with 30% embedding rate
and with 50% embedding rates are looks similar.. Human eyes cannot differentiate both these stego
images.
International Journal of Electronics and Communication Engineering & Technology (IJECET), ISSN 0976 –
6464(Print), ISSN 0976 – 6472(Online), Volume 6, Issue 1, January (2015), pp. 39-48 © IAEME
47
Fig.3 shows the LSB of stego images of different embedding techniques with 50% embedding
rates. It is observed that LSB images for LSBM, LSBMR , PVD and IPVD are almost similar in
nature and when it zoomed, some of artifacts can be visible. Our proposed technique matches with
other embedding techniques and quality of steganography is improved in terms of unobtrusiveness.
V CONCLUSION
In our research work, edge adaptive steganographic technique with advanced LSB algorithm
is used.. As we pointed out in the work that, most of natural images contains the smooth region and
some textual information also. While embedding the secrete bits in those smooth areas and textual
information regions, the structure and visibility of the stego images are bound to change. When stego
image looks differently than the original master or cover image, then unauthorized users can easily
extract the secrete information. So to keep the one of the important characteristic of the
steganography, unobtrusiveness intact and to avoid recognizing the stego image, then cover image
and stego image should not be differentiated by human eye. Our proposed steganographic technique,
edge adaptive with LSBMR achieves this goal. In most of the previous embedding techniques,
pixel/pixel pair selection mainly depending on PSNR without considering the size of the message
and content region characteristics. By implementing above proposed approach, the following results
obtained depending on the size of message. The edge regions are released for insertion of bits based
on size of the secrete message. Our proposed approach achieved 56.5 as average PSNR and .01197
as average rate of modification for 30% embedding rate. For 50% embedding rate 53.9 as average
PSNR and 0.2033 as average rate of modification is achieved.
REFERENCE
1. M. Carli, M. Farais, E. D. Gelasca, R. Tedesco, and A. Neri, “Quality assessment using data
hiding on perceptually important areas,” in Proc.IEEE Int. Conf. Image Processing, ICIP,
Sep. 2005, pp. III-1200-3–III- 1200-3.
2. S. Kapotas and A. Skodras, “A new data hiding scheme for scene change detection in H.264
encoded video sequences,” in Proc. IEEE Int. Conf. Multimedia Expo ICME, Jun. 2008, pp.
277–280.
3. A. Westfeld and A. Pfitzmann, “Attacks on steganographic systems,”in Proc. 3rd Int.
workshop on Information Hiding, 1999, vol. 1768, pp. 61–76.
4. [4] J. Fridrich, M. Goljan, and R. Du, “Detecting LSB teganography in color, and gray-scale
images,” IEEE Multimedia, vol. 8, no. 4, pp. 22–28, Oct. 2001.
5. S. Dumitrescu, X.Wu, and Z.Wang, “Detection of LSB steganography via sample pair
analysis,” IEEE Trans. Signal Process., vol. 51, no. 7, pp. 1995–2007, Jul. 2003.
6. A. D. Ker, “A general framework for structural steganalysis of LSB replacement,” in Proc.
7th Int. Workshop on Information Hiding, 2005, vol. 3427, pp. 296–311.
7. A. D. Ker, “A funsion of maximum likelihood and structural steganalysis,”in Proc. 9th Int.
Workshop on Information Hiding, 2007, vol. 4567, pp. 204–219.
8. J. Harmsen and W. Pearlman, “Steganalysis of additive-noise modelable information hiding,”
Proc. SPIE Electronic Imaging, vol. 5020, pp. 131–142, 2003.
9. A. D. Ker, “Steganalysis of LSB matching in grayscale images,” IEEE Signal Process. Lett.,
vol. 12, no. 6, pp. 441–444, Jun. 2005.
10. F. Huang, B. Li, and J. Huang, “Attack LSB matching steganography by counting alteration
rate of the number of neighbourhood gray levels,” in Proc. IEEE Int. Conf. Image
Processing, Oct. 16–19, 2007, vol. 1, pp. 401–404.
International Journal of Electronics and Communication Engineering & Technology (IJECET), ISSN 0976 –
6464(Print), ISSN 0976 – 6472(Online), Volume 6, Issue 1, January (2015), pp. 39-48 © IAEME
48
11. X. Li, T. Zeng, and B. Yang, “Detecting LSB matching by applying calibration technique for
difference image,” in Proc. 10th ACM Workshop on Multimedia and Security, Oxford, U.K.,
2008, pp. 133–138.
12. Rongyue Zhang, Vasiliy Sachnev, Magnus Bakke Botnan, Hyoung Joong Kim, Member,
IEEE, and Jun Heo, Member, IEEE, “An Efficient Embedder for BCH Coding for
Steganography”, IEEE Trans, Information Theory, Vol 58, No 12, December 2012.
13. Y. Wang and P. Moulin, “Perfectly secure steganography: Capacity, error exponents, and
code constructions,” IEEE Trans. Inf. Theory, vol. 54, no. 6, pp. 2706–2722, Jun. 2008.
14. R. Crandall, Some notes on steganography 1998 [Online]. Available: http://os.inf.tu-
dresden.de/westfeld/crandall.pdf
15. A. Westfeld, “F5: A steganographic algorithm, “High capacity despite better steganalysis”,”
in Information Hiding, ser. Lecture Notes Comput. Sci.. Berlin, Germany: Springer, 2001,
vol. 2137, pp. 289–302.
16. J. Fridrich and D. Soukal, “Matrix embedding for large payloads,” IEEE Trans. Inf.
Forensics Security, vol. 1, no. 3, pp. 390–395, Sep. 2006.
17. D. Schönfeld and A. Winkler, “Embedding with syndrome coding based on BCH codes,” in
Proc. 8th ACM Workshop Multimedia Security, 2006, pp. 214–223.
18. C. Fontaine and F. Galand, “How Reed–Solomon codes can improve steganographic
schemes,” EURASIP J. Inf. Security, vol. 2009, pp. 274845-1–274845-10, 2009.
19. T. Filler, J. Judas, and J. Fridrich, “Minimizing additive distortion in steganography using
syndrome-trellis codes,” IEEE Trans. Inf. Forensics Security, vol. 6, no. 3, pp. 920–935, Sep.
2011.
20. R. Böhme, “An epistemological approach to steganography,” in Information Hiding, ser.
Lecture Notes Comput. Sci.. Berlin, Germany: Springer, 2009, vol. 5806, pp. 15–30.
21. R. Böhme, Advanced Statistical Steganalysis. New York: Springer- Verlag, 2010.
22. C. Cachin, “An information-theoretic model for steganography,” in Information Hiding, ser.
Lecture Notes Comput. Sci.. Berlin, Germany: Springer, 1998, vol. 1525, pp. 306–318.
23. C. Cachin, “An information-theoretic model for steganography,” Inf.Comput., vol. 192, no. 1,
pp. 41–56, 2004.
24. D. Schönfeld and A. Winkler, “Embedding with syndrome coding based on BCH codes,” in
Proc. 8th ACM Workshop Multimedia Security, 2006, pp. 214–223.
25. Guo-Shiang Lin, Yi-Ting Chang, and Wen-Nung Lie, ” A Framework of Enhancing Image
Steganography With Picture Quality Optimization and Anti-Steganalysis Based on Simulated
Annealing Algorithm”, IEEE Trans on Multimedia, Vol 12, No 5, August 2010.
26. S. Pereira, S. Voloshynovskiy, M. Madueno, S. Marchand-Maillet, and T. Pun, “Second
generation benchmarking and application oriented evaluation,” in Proc. 4th Int. Workshop on
Information Hiding, 2001, vol. 2137, pp. 340–353.
27. Geetha C.R. and Dr.Puttamadappa C., “Modified Weighted Embedding Method For Image
Steganography” International journal of Electronics and Communication Engineering
&Technology (IJECET), Volume 4, Issue 3, 2013, pp. 154 - 161, ISSN Print: 0976- 6464,
ISSN Online: 0976 –6472
28. Sonali Patil, Kapil Tajane and Janhavi Sirdeshpande, “Analysing Secure Image Secret
Sharing Schemes Based on Steganography” International journal of Computer Engineering &
Technology (IJCET), Volume 4, Issue 2, 2013, pp. 172 - 178, ISSN Print: 0976 – 6367, ISSN
Online: 0976 – 6375
29. Saurabh Singh and Dr. Ashutosh Datar, “An Efficient Hash Based Steganography Technique
For Text Message Using Color Images” International journal of Computer Engineering &
Technology (IJCET), Volume 4, Issue 4, 2013, pp. 150 - 162, ISSN Print: 0976 – 6367, ISSN
Online: 0976 – 6375

Conceptual design of edge adaptive steganography scheme based on advanced lsb algorithm

  • 1.
    International Journal ofElectronics and Communication Engineering & Technology (IJECET), ISSN 0976 – 6464(Print), ISSN 0976 – 6472(Online), Volume 6, Issue 1, January (2015), pp. 39-48 © IAEME 39 CONCEPTUAL DESIGN OF EDGE ADAPTIVE STEGANOGRAPHY SCHEME BASED ON ADVANCED LSB ALGORITHM RAMAKRISHNA HEGDE1 , Dr.JAGADEESHA S2 1 Department of Computer Science and Engineering, SDM Institute of Technology, Ujire, India, 2 Department of Electronics and Communications Engineering, SDM Institute of Technology, Ujire, India, ABSTRACT This research article outlines the efficient algorithm in which secrete data are embedded in edge regions of the image. Here region selection totally depending on size of the secrete message. If less information to be embedded, then sharp regions in the image are selected for embedding bits. If the size of secrete information is large, then the more edge regions are released to accommodate all the secrete bits. This means that edge regions are selected adaptively with the size of the secrete message. Our work focuses on inserting the bits we used Least Significant Bit Matching Revisited (LSBMR) scheme and consider the relationship between characteristics of the region and size of the secrete message. And also this paper proposes to preserve higher visual quality of the stego image. Keywords: Steganography, Least Significant Bits (LSB), Edge Embedding, Unobtrusiveness, Security. I. INTRODUCTION Steganography is an efficient and well known technique for secure data transmission over the public networks. The secrete information can be communicated to the other authorized user, by embedding secrete messages in cover image and it generates stego image. This stego image is transmitted over the public network and authorized user can extract the secrete data from the stego image by efficient data extraction algorithm. There are many good algorithms are available for steganography. INTERNATIONAL JOURNAL OF ELECTRONICS AND COMMUNICATION ENGINEERING & TECHNOLOGY (IJECET) ISSN 0976 – 6464(Print) ISSN 0976 – 6472(Online) Volume 6, Issue 1, January (2015), pp. 39-48 © IAEME: http://www.iaeme.com/IJECET.asp Journal Impact Factor (2015): 7.9817 (Calculated by GISI) www.jifactor.com IJECET © I A E M E
  • 2.
    International Journal ofElectronics and Communication Engineering & Technology (IJECET), ISSN 0976 – 6464(Print), ISSN 0976 – 6472(Online), Volume 6, Issue 1, January (2015), pp. 39-48 © IAEME 40 Steganography is the art and science of writing hidden messages in such a way that no one, apart from the sender and intended recipient, suspects the existence of the message. In many new applications for military and civilian purpose, the contributions of steganography are immense. The word steganography is of Greek origin and means "concealed writing" from the Greek words steganos meaning "covered or protected", and graphei meaning writing". The first recorded use of the term was in 1499 by Johannes rithemius in his Steganographia, a treatise on cryptography and steganography disguised as a book on magic. As people become aware of the internet day-by-day, the number of users in the network increases considerably thereby, facing more challenges in terms of data storage and transmission over the internet, for example information like account number, password etc. Hence, in order to provide a better security mechanism, we propose a data hiding technique called steganography along with the technique of encryption-decryption. Steganography is the art and science of hiding data into different carrier files such as text, audio, images, video, etc. In cryptography, the secret message that we send may be easily detectable by the attacker. But in steganography, the secret message is not easily detectable. The persons other than the sender and receiver are not able to view the secret message. 1.1 Characteristics of Steganography The steganography should have the following characteristics to function efficiently. 1.1.1Unobtrusiveness - The steganography should be properly invisible or inaudible, or its presence should not interfere with the media content being protected. 1.1.2 Robustness – The covered data should not be accessed or removed by any other user except the authorized user. If only a partial knowledge is available, then attempts to remove or destroy a hidden data should result in severe degradation of the host data before the hidden data is lost. In particular, the steganography should be robust in the following areas: 1.1.3 Unambiguity - Retrieval of the hidden data should unambiguously identify the owner. Furthermore, the accuracy of owner identification should degrade gracefully in the face of attack. 1.1.4 Security- The security of steganography techniques can be interpreted in the same way as the security of encryption techniques Kerchoff’s assumption state that one should assume that the method used to encrypt the data is known to an unauthorized party and that security must lie in the choice of a key. The applications of steganography spread over many areas. Some of the applications are point to point convert communication to convey secrete information between trusted parties with host media as camouflage, modern printers, military applications, education, posting secrete communications on the web to avoid transmission, embedding corrective audio or image data in case corrosion occurs from a poor connection or transmission. Basic idea of steganography is to hide the secrete data in master file (carrier file) and communicated to the other user over the networks. Master files can be of images, audios, text, video file. Most cases images are used as covered media. In digital steganography, electronic communications may include steganographic coding inside of a transport layer, such as a document file, image file, program or protocol. Media files are ideal for steganographic transmission because of their large size. As a simple example, a sender might start with an innocuous image file and adjust the color of every 100th pixel to correspond to a letter in the alphabet, a change so subtle that someone not specifically looking for it is unlikely to notice it.During transmitting the hidden message in covered media over the public network can be detected by using the method called steganalysis. II. PREVIOUS WORKS Lots of research work is done on steganography and some of the work mentioned here. Many of the applications like copy right protection, content annotation, access control and transaction
  • 3.
    International Journal ofElectronics and Communication Engineering & Technology (IJECET), ISSN 0976 – 6464(Print), ISSN 0976 – 6472(Online), Volume 6, Issue 1, January (2015), pp. 39-48 © IAEME 41 tracking, the secrete information can be hidden into compressed video bit stream. For instance, [1] used data hiding techniques to assess the quality of compressed video in the absence of the original reference. The authors of [2] used data hiding to enable real time scene change detection in compressed video. Least Significant Bit (LSB) replacement algorithm is one of the popular and age old algorithm. In this data hiding scheme, the LSB of master image or covered image is overwritten by the bit stream of the secrete message according to the pseudorandom number generator (PRNG) . As a result there is a possibility of introducing some structural changes and for unauthorized users over public networks become easy to detect the hidden secrete information even though the low embedding rate by using some of data hiding algorithms such as Chi-squared attack [3], regular/singular groups (RS) analysis [4], sample pair analysis [5], and the general framework for structural steganalysis [6], [7]. Most of the LSB replacement algorithms introduces structural changes. To avoid this up to maximum extent LSB matching (LSBM) technique can be employed. In LSBM if the secrete bit does not match the LSB of the master image, then +1 or -1 is added randomly to the corresponding pixel value. Till now several data hiding algorithm [8]-[11] are proposed to analyze LSBM scheme. In [8], the author introduced detector using centre of mass (COM) of the histogram characteristic function (HCF). In [9], the author proved that on a gray scale image, HCF COM does not work well, so introduced two ways of applying HCF COM method. Namely utilizing the down sample image and adjacent histogram instead of traditional histogram. In a recent work [11], Li et al. proposed to calculate calibration-based detectors, such as Calibrated HCF COM, on the difference image. It proves that Ker’s approach [9] outperformed by new detector and acceptable accuracy at an embedding rate 50% is achieved. The paper [12] presents an improved data hiding technique based on BCH (n,k,t) coding. Wang and Moulin [13] have shown that perfect steganography is possible with zero risk of detection as long as the embedder has perfect knowledge of the cover distribution. Research papers , Hamming code [14], [15], simplex code [16], binary BCH code [17], Reed– Solomon code [18], and syndrome-trellis code [19] have been used for secure steganography. Böhme [20], [21] explain about the security of the steganography from the point of the adversary assumptions and cover assumptions. The first information-theoretic approach was proposed by Cachin [22], [23]. He carried out the research on security of a steganographic system using the Kullback–Leibler (KL) divergence between the distributions of cover and stego media. Binary BCH codes [24] have been investigated and seem to be good candidates of the first type and the second type as well. Picture quality and statistical undetectability are two key issues related to steganography techniques. The research paper [25] proposed closed-loop computing framework that iteratively searches proper modifications of pixels/coefficients to enhance a base steganographic scheme with optimized picture quality and higher anti-steganalysis capability. III METHODOLOGY First and foremost, during data embedding stage, some of the parameters are initialized. For region selection in the master image and subsequent processing of this image, those initialized parameters are used. Abstract data embedding steps involved in this scheme are mentioned in TABLE 1. Master images which contain more edges are better than the master image having fewer edges to apply this scheme efficiently. In this scheme, if the selected region is sufficiently enough to hide all the secrete data, the no need to modify the parameters. Otherwise parameters values should be modified and reselect the region in the master image. Finally some post processing on embedded image to obtain the stego image. Otherwise parameters should be revised to reselect the region to insert the secrete bits until all the secrete bits are inserted.
  • 4.
    International Journal ofElectronics and Communication Engineering & Technology (IJECET), ISSN 0976 – 6464(Print), ISSN 0976 – 6472(Online), Volume 6, Issue 1, January (2015), pp. 39-48 © IAEME 42 For a different image content and secrete message M, the parameters are also different. These parameters can be inserted in pre determined region in the cover image. Because these parameters required during data extraction process at the other end of the network. Table 1. Various steps involved in data embedding. Step 1. Input master image Step 2. Initialize the some parameters. Step 3. Preprocess the master image by the help of shared keys. Step 4. Select the region in the master image. Step 5. If the selected region is sufficient for secrete data hiding, then hide the secrete data and post process the embedded image to generate stego file(master image + secrete data). Step 6. If the selected region is insufficient to hide the secrete message, then modify the parameters and reselect the region in the master file. Step 7. Repeat step 5. The abstract steps involved in data extraction is shown in TABLE 2. Data extraction from the stego image is more simpler than the data embedding into master image to generate stego image. During data extraction initially parameter informations are extracted from the stego image and then does some preprocess on the stego image. Data inserted regions in stego image are identified and by applying extraction algorithms, secrete data are obtained. Table 2: Abstract Steps Involved In Data Extraction. Step 1. Input is Stego image (master image + secrete data). Step 2. Extract the parameters. Step 3. Preprocess stego image with the help ofshared keys. Step 4. Identify the region where data is inserted. Step 5. Extract the secrete data from the Stego image. Here we use clear difference between two adjacent pixels as criteria for selecting the regions in a cover image. LSBMR is used as data hiding technique. 3.1. Data Embedding • Step 1: The master image of m x n is initially divided in to smaller nonoverlapping blocks Bz x Bz.pixels. Every small block is rotated with a random degrees (Range 0, 45, 90,135,180,225,270), as determined by the secrete key key1 to improve the security. The rotated
  • 5.
    International Journal ofElectronics and Communication Engineering & Technology (IJECET), ISSN 0976 – 6464(Print), ISSN 0976 – 6472(Online), Volume 6, Issue 1, January (2015), pp. 39-48 © IAEME 43 small blocks are rearranged as a row vector V by raster scanning. And then vector is divided into nonoverlaping embedding units with every two consecutive pixels (Xi, Xi+1 ), where i = 1,3 ……., mn-1. • Step 2: As per the LSBMR scheme, for each embedding unit, two secrete bits can be embedded. For a given secrete message M, threshold value T is calculated as follows. Let EU(t) be the set of pixel pairs whose absolute differences are greater than or equal to parameter t. EU(t) = {(Xi, Xi+1 )||Xi –Xi+1 | ≥ t, V (Xi, Xi+1 )€ V Threshold T = argmaxt{2x|EU(t)|≥|M|} Where t ϵ {0,1……31}, |M| size of the secrete message M, |EU(t)| denotes total number of elements in the set EU(t). • Step 3: Performing data hiding on the set of EU(T) = {(Xi, Xi+1 )||Xi –Xi+1 | ≥ T , V (Xi, Xi+1 )€ V We deal with the above embedding units in a pseudorandom order determined by a secret key key2. Here we perform data hiding with following four case. Case 1. LSB(Xi) = mi & f(Xi, Xi+1) = mi+1 (X’I, X’i+1) = (Xi, Xi+1) Case 2. LSB(Xi) = mi & f(Xi, Xi+1) ≠ mi+1 (X’I, X’i+1) = (Xi, Xi+1 + r) Case 3. LSB(Xi) ≠ mi & f(Xi -1, Xi+1) = mi+1 (X’I, X’i+1) = (Xi-1, Xi+1) Case 4. LSB(Xi) ≠ mi & f(Xi -1, Xi+1) ≠ mi+1 (X’I, X’i+1) = (Xi+1, Xi+1) Where mi and mi+1 are two secrete bits to be embedded. • Step 4: After data hiding, resulting region is divided into nonoverlapping Bz x Bz blocks. These blocks are rotated by the random number of degrees based on key1. Here in this case random degrees are opposite. The parameters (T,Bz) embed into a predetermined regions in the cover image. 3.2 Data Extraction To extract the secrete data from the stego image, we first extract the side information i.e T and Bz. The stego image is divided into nonoverlapping Bzx Bz blocks. Rotate these blocks into random degrees with the help of secrete key key1 and rearrange them into the row vector V’. Now we get the embedding units by dividing the V’into nonoverlapping blocks with two consecutive pixels. For each qualified embedding unit say (X’i, X’i+1), where | X’i+1 –X’i| ≥ T, we extract two secrete bits mi and mi+1 as follows. mi = LSB(X”i), mi+1 = LSB ( [X’i / 2] + X’i+1 IV EXPERIMENTAL RESULTS 4.1 Hiding Capacity and Image quality In this section, we are presenting the proposed techniques experimental results and compared with some existing techniques also. Size of the color image we took here is 1024 x 768 or 768 x 1024. These selected color images are converted into gray images and applied our proposed scheme.
  • 6.
    International Journal ofElectronics and Communication Engineering & Technology (IJECET), ISSN 0976 – 6464(Print), ISSN 0976 – 6472(Online), Volume 6, Issue 1, January (2015), pp. 39-48 © IAEME 44 (a) Cover or master image (b) Embedding rate < 40% (c) Embedding rate >40% Fig 1.Images with modified pixels. (a) Cover or Master image (b) Image with embedding rate < 40% (c) Image with embedding rate >40% The Fig.1(a) is the cover image or master image. The Fig.1 (b) and (c) shows that positions of those modified pixels after data hiding by using our proposed technique with embedding rates less than 40% and greater than 40% respectively in the cover image . The threshold value T is in the range of 20 to 5 for embedding rates of less than 40% and 3 to 0 for embedding rates of greater than 40%. When the threshold value is T equal to 0, then complete location of the covered image is available for embedding the secrete bits. Here we observed that, for lower embedding rates, only sharper edges are used for hiding the secrete data and remain untouched for other clear areas. For the higher embedding rates, more locations can be released adaptively by decreasing the threshold value T. For example, when embedding rates are greater than 50% , then the some of clear location ( like clear sky here) in the covered image are released for hiding the secrete bits i.e it all depends on size of the secrete message. The Table.3 shows the average PSNR as per the per the paper [26] and our proposed technique. It observed that quality of LSBMR technique is better in terms average PSNR, since it uses +_1 embedding scheme and modification rate is also lower. In our proposed scheme average PSNR is little lower than the LSBMR method because of readjusting the embedding unite to assure the better data extraction. Overall our proposed method is nearly the best in terms of average PSNR and average modification rate among other popular techniques
  • 7.
    International Journal ofElectronics and Communication Engineering & Technology (IJECET), ISSN 0976 – 6464(Print), ISSN 0976 – 6472(Online), Volume 6, Issue 1, January (2015), pp. 39-48 © IAEME 45 Table 3: Average Psnr and the Modification Rate of Stego Images with Different Stegonagraphy Algorithms and Different Embedding Rates. 4.2 Stego Image Visibility One of the main characteristics of the better quality steganographic algorithm is, for human eyes, content of the secrete data into the cover image should not be visible or guessed by the (a) (b) (c) Fig 2 . (a) Cover Image (b) Stego Image with 30% embedding rate (c) Stego image with 50% embedding rate. Embedding Rates Steganography Alorithm Average PSNR Avg. Rate of Modification. 30 % LSB Based LSBM 56.4 0.1500 LSBMR 57.4 0.1125 Edge Based PVD 46.8 0.1465 IPVD 49.0 0.1471 HBC 56.4 0.1500 Proposed 56.5 0.1197 50 % LSB Based LSBM 54.2 0.2500 LSBMR 55.2 0.1875 Edge Based PVD 44.5 0.2441 IPVD 46.8 0.2452 HBC 54.2 0.2500 Proposed 53.9 0.2033
  • 8.
    International Journal ofElectronics and Communication Engineering & Technology (IJECET), ISSN 0976 – 6464(Print), ISSN 0976 – 6472(Online), Volume 6, Issue 1, January (2015), pp. 39-48 © IAEME 46 (a) (b) (c) (d) (e) Fig. 3 (a) LSB of cover image and stego images for four different embedding techniques with embedding rate of 50%. (a) LSB of LSBM stego (b) LSB of LSBMR stego (c) LSB of PVD stego (d) LSB of IPVD stego (e) LSB of Proposed techniques. Unauthorized user in the public network even after modifying the pixel value. Visibility of the original cover image and stego image should remain same and for human eye slight modification in the pixel value will not be visible. In our proposed technique, although we insert the secrete data in to the edge region of the cover image, it would not leave any visual artifacts in LSB image. Fig.2 illustrates the cover image and stego images after applying our proposed technique. Fig.2 (a) is the cover image or master image, Fig.2 (b) is the stego image with 30% embedding rate, Fig.2 (c) is the stego image with 50% embedding rate. Here we observed that original cover image and stego images are all looks similar to the human eye. The stego images with 30% embedding rate and with 50% embedding rates are looks similar.. Human eyes cannot differentiate both these stego images.
  • 9.
    International Journal ofElectronics and Communication Engineering & Technology (IJECET), ISSN 0976 – 6464(Print), ISSN 0976 – 6472(Online), Volume 6, Issue 1, January (2015), pp. 39-48 © IAEME 47 Fig.3 shows the LSB of stego images of different embedding techniques with 50% embedding rates. It is observed that LSB images for LSBM, LSBMR , PVD and IPVD are almost similar in nature and when it zoomed, some of artifacts can be visible. Our proposed technique matches with other embedding techniques and quality of steganography is improved in terms of unobtrusiveness. V CONCLUSION In our research work, edge adaptive steganographic technique with advanced LSB algorithm is used.. As we pointed out in the work that, most of natural images contains the smooth region and some textual information also. While embedding the secrete bits in those smooth areas and textual information regions, the structure and visibility of the stego images are bound to change. When stego image looks differently than the original master or cover image, then unauthorized users can easily extract the secrete information. So to keep the one of the important characteristic of the steganography, unobtrusiveness intact and to avoid recognizing the stego image, then cover image and stego image should not be differentiated by human eye. Our proposed steganographic technique, edge adaptive with LSBMR achieves this goal. In most of the previous embedding techniques, pixel/pixel pair selection mainly depending on PSNR without considering the size of the message and content region characteristics. By implementing above proposed approach, the following results obtained depending on the size of message. The edge regions are released for insertion of bits based on size of the secrete message. Our proposed approach achieved 56.5 as average PSNR and .01197 as average rate of modification for 30% embedding rate. For 50% embedding rate 53.9 as average PSNR and 0.2033 as average rate of modification is achieved. REFERENCE 1. M. Carli, M. Farais, E. D. Gelasca, R. Tedesco, and A. Neri, “Quality assessment using data hiding on perceptually important areas,” in Proc.IEEE Int. Conf. Image Processing, ICIP, Sep. 2005, pp. III-1200-3–III- 1200-3. 2. S. Kapotas and A. Skodras, “A new data hiding scheme for scene change detection in H.264 encoded video sequences,” in Proc. IEEE Int. Conf. Multimedia Expo ICME, Jun. 2008, pp. 277–280. 3. A. Westfeld and A. Pfitzmann, “Attacks on steganographic systems,”in Proc. 3rd Int. workshop on Information Hiding, 1999, vol. 1768, pp. 61–76. 4. [4] J. Fridrich, M. Goljan, and R. Du, “Detecting LSB teganography in color, and gray-scale images,” IEEE Multimedia, vol. 8, no. 4, pp. 22–28, Oct. 2001. 5. S. Dumitrescu, X.Wu, and Z.Wang, “Detection of LSB steganography via sample pair analysis,” IEEE Trans. Signal Process., vol. 51, no. 7, pp. 1995–2007, Jul. 2003. 6. A. D. Ker, “A general framework for structural steganalysis of LSB replacement,” in Proc. 7th Int. Workshop on Information Hiding, 2005, vol. 3427, pp. 296–311. 7. A. D. Ker, “A funsion of maximum likelihood and structural steganalysis,”in Proc. 9th Int. Workshop on Information Hiding, 2007, vol. 4567, pp. 204–219. 8. J. Harmsen and W. Pearlman, “Steganalysis of additive-noise modelable information hiding,” Proc. SPIE Electronic Imaging, vol. 5020, pp. 131–142, 2003. 9. A. D. Ker, “Steganalysis of LSB matching in grayscale images,” IEEE Signal Process. Lett., vol. 12, no. 6, pp. 441–444, Jun. 2005. 10. F. Huang, B. Li, and J. Huang, “Attack LSB matching steganography by counting alteration rate of the number of neighbourhood gray levels,” in Proc. IEEE Int. Conf. Image Processing, Oct. 16–19, 2007, vol. 1, pp. 401–404.
  • 10.
    International Journal ofElectronics and Communication Engineering & Technology (IJECET), ISSN 0976 – 6464(Print), ISSN 0976 – 6472(Online), Volume 6, Issue 1, January (2015), pp. 39-48 © IAEME 48 11. X. Li, T. Zeng, and B. Yang, “Detecting LSB matching by applying calibration technique for difference image,” in Proc. 10th ACM Workshop on Multimedia and Security, Oxford, U.K., 2008, pp. 133–138. 12. Rongyue Zhang, Vasiliy Sachnev, Magnus Bakke Botnan, Hyoung Joong Kim, Member, IEEE, and Jun Heo, Member, IEEE, “An Efficient Embedder for BCH Coding for Steganography”, IEEE Trans, Information Theory, Vol 58, No 12, December 2012. 13. Y. Wang and P. Moulin, “Perfectly secure steganography: Capacity, error exponents, and code constructions,” IEEE Trans. Inf. Theory, vol. 54, no. 6, pp. 2706–2722, Jun. 2008. 14. R. Crandall, Some notes on steganography 1998 [Online]. Available: http://os.inf.tu- dresden.de/westfeld/crandall.pdf 15. A. Westfeld, “F5: A steganographic algorithm, “High capacity despite better steganalysis”,” in Information Hiding, ser. Lecture Notes Comput. Sci.. Berlin, Germany: Springer, 2001, vol. 2137, pp. 289–302. 16. J. Fridrich and D. Soukal, “Matrix embedding for large payloads,” IEEE Trans. Inf. Forensics Security, vol. 1, no. 3, pp. 390–395, Sep. 2006. 17. D. Schönfeld and A. Winkler, “Embedding with syndrome coding based on BCH codes,” in Proc. 8th ACM Workshop Multimedia Security, 2006, pp. 214–223. 18. C. Fontaine and F. Galand, “How Reed–Solomon codes can improve steganographic schemes,” EURASIP J. Inf. Security, vol. 2009, pp. 274845-1–274845-10, 2009. 19. T. Filler, J. Judas, and J. Fridrich, “Minimizing additive distortion in steganography using syndrome-trellis codes,” IEEE Trans. Inf. Forensics Security, vol. 6, no. 3, pp. 920–935, Sep. 2011. 20. R. Böhme, “An epistemological approach to steganography,” in Information Hiding, ser. Lecture Notes Comput. Sci.. Berlin, Germany: Springer, 2009, vol. 5806, pp. 15–30. 21. R. Böhme, Advanced Statistical Steganalysis. New York: Springer- Verlag, 2010. 22. C. Cachin, “An information-theoretic model for steganography,” in Information Hiding, ser. Lecture Notes Comput. Sci.. Berlin, Germany: Springer, 1998, vol. 1525, pp. 306–318. 23. C. Cachin, “An information-theoretic model for steganography,” Inf.Comput., vol. 192, no. 1, pp. 41–56, 2004. 24. D. Schönfeld and A. Winkler, “Embedding with syndrome coding based on BCH codes,” in Proc. 8th ACM Workshop Multimedia Security, 2006, pp. 214–223. 25. Guo-Shiang Lin, Yi-Ting Chang, and Wen-Nung Lie, ” A Framework of Enhancing Image Steganography With Picture Quality Optimization and Anti-Steganalysis Based on Simulated Annealing Algorithm”, IEEE Trans on Multimedia, Vol 12, No 5, August 2010. 26. S. Pereira, S. Voloshynovskiy, M. Madueno, S. Marchand-Maillet, and T. Pun, “Second generation benchmarking and application oriented evaluation,” in Proc. 4th Int. Workshop on Information Hiding, 2001, vol. 2137, pp. 340–353. 27. Geetha C.R. and Dr.Puttamadappa C., “Modified Weighted Embedding Method For Image Steganography” International journal of Electronics and Communication Engineering &Technology (IJECET), Volume 4, Issue 3, 2013, pp. 154 - 161, ISSN Print: 0976- 6464, ISSN Online: 0976 –6472 28. Sonali Patil, Kapil Tajane and Janhavi Sirdeshpande, “Analysing Secure Image Secret Sharing Schemes Based on Steganography” International journal of Computer Engineering & Technology (IJCET), Volume 4, Issue 2, 2013, pp. 172 - 178, ISSN Print: 0976 – 6367, ISSN Online: 0976 – 6375 29. Saurabh Singh and Dr. Ashutosh Datar, “An Efficient Hash Based Steganography Technique For Text Message Using Color Images” International journal of Computer Engineering & Technology (IJCET), Volume 4, Issue 4, 2013, pp. 150 - 162, ISSN Print: 0976 – 6367, ISSN Online: 0976 – 6375