GBH Enterprises, Ltd.

Process Engineering Guide:
GBHE-PEG-RXT-801

Chemical Process Conception

Information contained in this publication or as otherwise supplied to Users is
believed to be accurate and correct at time of going to press, and is given in
good faith, but it is for the User to satisfy itself of the suitability of the information
for its own particular purpose. GBHE gives no warranty as to the fitness of this
information for any particular purpose and any implied warranty or condition
(statutory or otherwise) is excluded except to the extent that exclusion is
prevented by law. GBHE will accept no liability resulting from reliance on this
information. Freedom under Patent, Copyright and Designs cannot be assumed.

Refinery Process Stream Purification Refinery Process Catalysts Troubleshooting Refinery Process Catalyst Start-Up / Shutdown
Activation Reduction In-situ Ex-situ Sulfiding Specializing in Refinery Process Catalyst Performance Evaluation Heat & Mass
Balance Analysis Catalyst Remaining Life Determination Catalyst Deactivation Assessment Catalyst Performance
Characterization Refining & Gas Processing & Petrochemical Industries Catalysts / Process Technology - Hydrogen Catalysts /
Process Technology – Ammonia Catalyst Process Technology - Methanol Catalysts / process Technology – Petrochemicals
Specializing in the Development & Commercialization of New Technology in the Refining & Petrochemical Industries
Web Site: www.GBHEnterprises.com
Process Engineering Guide:

Chemical Process Conception

Table of Contents

0

INTRODUCTION / PURPOSE

3

1

SCOPE

3

2

FIELD OF APPLICATION

5

3

DEFINITIONS

5

4

PRODUCT STRATEGY

5

4.1 General
4.2 Market for the Product
4.3 Production Costs
4.4 Process Technology

5
6
7
7

5

PRELIMINARY PROCESS INFORMATION

8

6

REACTION AND REACTOR

9

6.1 Batch vs Continuous
6.2 Multiple Reactors

9
9

RECYCLE

11

7.1 Recycle Structure
7.2 Classification of Chemicals
7.3 Effect of Recycle
7.4 Preliminary Estimation of Conversion

11
11
12
12

REACTOR TYPE AND PERFORMANCE

13

8.1 Conversion-Yield Effects
8.2 Heat Effects
8.3 Equilibrium Effects
8.4 Kinetic Effects
8.5 More Help with Reactor Design

13
16
18
20
22

7

8

Refinery Process Stream Purification Refinery Process Catalysts Troubleshooting Refinery Process Catalyst Start-Up / Shutdown
Activation Reduction In-situ Ex-situ Sulfiding Specializing in Refinery Process Catalyst Performance Evaluation Heat & Mass
Balance Analysis Catalyst Remaining Life Determination Catalyst Deactivation Assessment Catalyst Performance
Characterization Refining & Gas Processing & Petrochemical Industries Catalysts / Process Technology - Hydrogen Catalysts /
Process Technology – Ammonia Catalyst Process Technology - Methanol Catalysts / process Technology – Petrochemicals
Specializing in the Development & Commercialization of New Technology in the Refining & Petrochemical Industries
Web Site: www.GBHEnterprises.com
9

SEPARATION SYSTEM

22

10

REVIEW

24

11

BIBLIOGRAPHY AND REFERENCES

24

11.1 Preliminary Flow sheeting
11.2 Physical Properties
11.3 Reactors
11.4 Separation
11.5 Costing

24
24
25
25
25

DOCUMENTS REFERRED TO IN THIS PROCESS
ENGINEERING GUIDE

50

APPENDICES
A

BASIC REACTOR SYSTEM DESIGN

26

B

DISCUSSION BETWEEN A CHEMIST AND A
CHEMICAL ENGINEER

35

BASIC SEPARATION STRATEGY

40

C

TABLES
1

CLASSIFICATION OF MATERIALS

11

FIGURES
1

FLOWCHART OF THE ITERATIVE PROCEDURE REQUIRED
IN PROCESS AND PRODUCT SELECTION AND
DEVELOPMENT

4

Refinery Process Stream Purification Refinery Process Catalysts Troubleshooting Refinery Process Catalyst Start-Up / Shutdown
Activation Reduction In-situ Ex-situ Sulfiding Specializing in Refinery Process Catalyst Performance Evaluation Heat & Mass
Balance Analysis Catalyst Remaining Life Determination Catalyst Deactivation Assessment Catalyst Performance
Characterization Refining & Gas Processing & Petrochemical Industries Catalysts / Process Technology - Hydrogen Catalysts /
Process Technology – Ammonia Catalyst Process Technology - Methanol Catalysts / process Technology – Petrochemicals
Specializing in the Development & Commercialization of New Technology in the Refining & Petrochemical Industries
Web Site: www.GBHEnterprises.com
2

INTERACTION OF THE THREE MAJOR ELEMENTS IN
DEVELOPING A SUCCESSFUL PROCESS

6

3

PROCESS INPUT - OUTPUT STRUCTURE

8

4

DECISION TREE - BATCH vs CONTINUOUS PROCESS

10

5

SIMPLIFIED RECYCLE STRUCTURE

11

6

BATCH REACTOR LOGIC

14

7

CONTINUOUS REACTOR LOGIC

15

8

HEAT EFFECTS

17

9

EQUILIBRIUM EFFECTS

19

10

KINETIC EFFECTS

21

11

DIAGRAMMATIC REPRESENTATION OF SEPARATION
PROCESSES BASED ON SIZE

23

EFFECT OF TEMPERATURE ON EQUILIBRIUM
CONCENTRATIONS

27

13

CONVERSION COST OPTIMISATION

34

14

LABORATORY REACTOR SET-UP

38

12

Refinery Process Stream Purification Refinery Process Catalysts Troubleshooting Refinery Process Catalyst Start-Up / Shutdown
Activation Reduction In-situ Ex-situ Sulfiding Specializing in Refinery Process Catalyst Performance Evaluation Heat & Mass
Balance Analysis Catalyst Remaining Life Determination Catalyst Deactivation Assessment Catalyst Performance
Characterization Refining & Gas Processing & Petrochemical Industries Catalysts / Process Technology - Hydrogen Catalysts /
Process Technology – Ammonia Catalyst Process Technology - Methanol Catalysts / process Technology – Petrochemicals
Specializing in the Development & Commercialization of New Technology in the Refining & Petrochemical Industries
Web Site: www.GBHEnterprises.com
0

INTRODUCTIONS / PURPOSE

Chemical process conception is the initial stage of the transformation of a
relevant business opportunity into its realization - devising a process to make
saleable products.
The starting point can range from a gleam in the eye to a well defined problem,
but always involved is the exploitation of technology to make products via a
combination of chemical or biochemical transformations, physical transformations
and separation processes carried out in appropriate hardware. Unfortunately,
while the scientific principles are fixed and immutable, there is an infinite range of
process steps and conditions that can be devised for each proposed
plant.
The material in this guide draws from the evolutionary procedure developed by
Prof. JM Douglas (University of Massachusetts). An iterative framework of this
kind is essential for rapid screening of potential processes in order to identify
quickly those suitable for more detailed investigation.
GBHE has an impressive record of innovation but it can be improved still further.
The information required to put together a process to make small quantities of a
novel product, or radically improve at large scale manufacture of a well
established product, is best obtained by the collaboration of a number of
disciplines. The different language, style, culture and motivations of the
individuals in these disciplines are powerful if combined in balanced cooperation
and the cooperation is then more likely to maximize the economic potential of the
opportunity.

1

SCOPE

This Guide, one of the series on Reactor Engineering, is intended to help the
multidisciplinary teams at the Research, Development, Engineering and
Marketing interfaces to devise, evaluate and select appropriate process
technologies for a product at any stage in its life cycle.
This Guide does not deal with the selection of raw materials.

Refinery Process Stream Purification Refinery Process Catalysts Troubleshooting Refinery Process Catalyst Start-Up / Shutdown
Activation Reduction In-situ Ex-situ Sulfiding Specializing in Refinery Process Catalyst Performance Evaluation Heat & Mass
Balance Analysis Catalyst Remaining Life Determination Catalyst Deactivation Assessment Catalyst Performance
Characterization Refining & Gas Processing & Petrochemical Industries Catalysts / Process Technology - Hydrogen Catalysts /
Process Technology – Ammonia Catalyst Process Technology - Methanol Catalysts / process Technology – Petrochemicals
Specializing in the Development & Commercialization of New Technology in the Refining & Petrochemical Industries
Web Site: www.GBHEnterprises.com
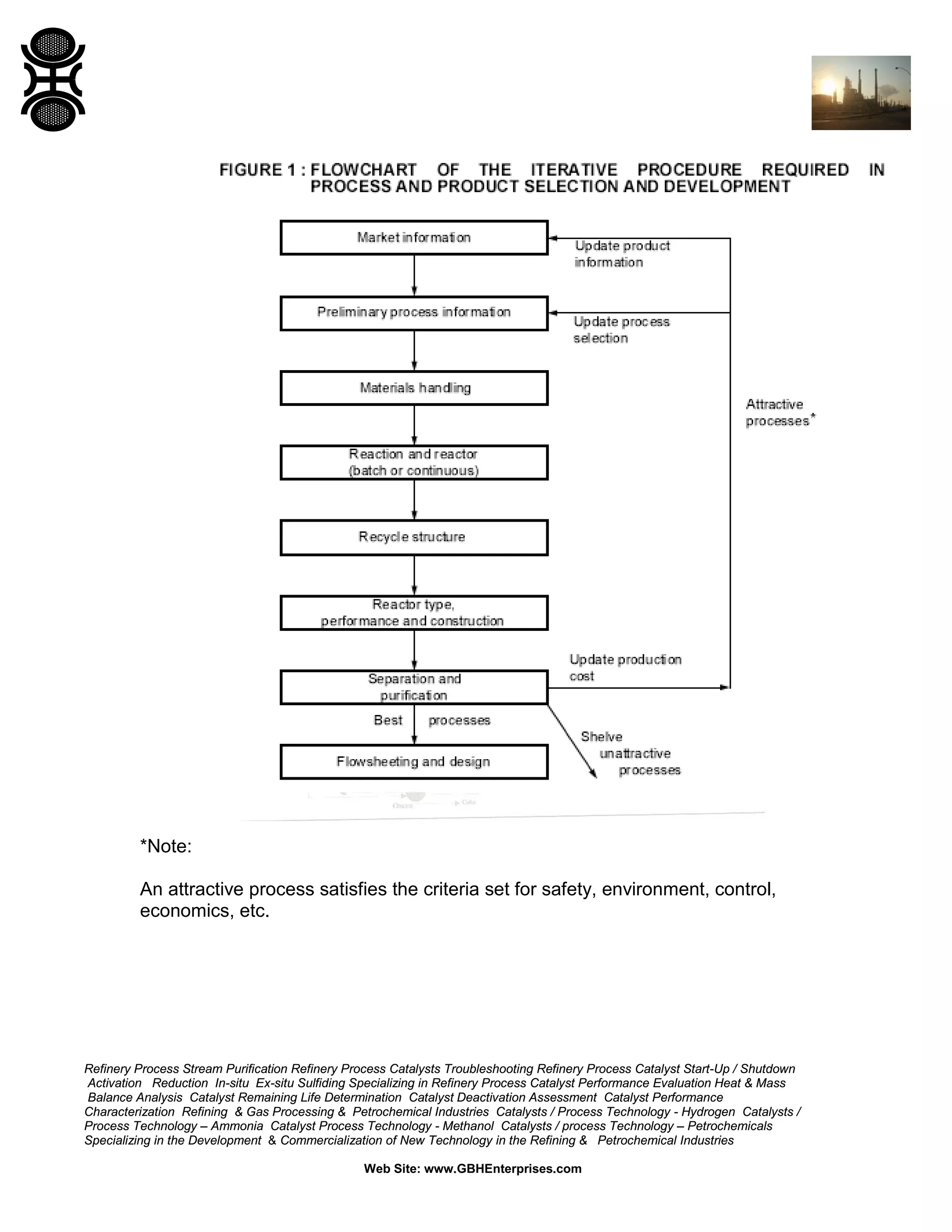
A framework is outlined that acknowledges the iterative nature of the design
procedure and draws strength and unity from the knowledge, experience and
creative spark of the different disciplines that make an input.
An attempt is made here to list the points of information required at each stage
and briefly indicate their relevance. The list is not exhaustive, comprehensive or
infallible, but a guide to rational evolution and a stimulant to lateral thinking.
The order of the stages may differ from the preference of the reader. This
illustrates not so much the idiosyncrasies of the authors (which are admitted) but
the highly iterative nature of the design procedure. At each stage it is likely that
several process options will exist for further evaluation or later consideration.
Figure1 shows this iterative procedure in the form of a simple flowchart.
Note: No case studies are included. There are many alternative methods
for using this guide. Each team involved in process conception will
probably find that it helps them in different ways to develop their own
insights.

Refinery Process Stream Purification Refinery Process Catalysts Troubleshooting Refinery Process Catalyst Start-Up / Shutdown
Activation Reduction In-situ Ex-situ Sulfiding Specializing in Refinery Process Catalyst Performance Evaluation Heat & Mass
Balance Analysis Catalyst Remaining Life Determination Catalyst Deactivation Assessment Catalyst Performance
Characterization Refining & Gas Processing & Petrochemical Industries Catalysts / Process Technology - Hydrogen Catalysts /
Process Technology – Ammonia Catalyst Process Technology - Methanol Catalysts / process Technology – Petrochemicals
Specializing in the Development & Commercialization of New Technology in the Refining & Petrochemical Industries
Web Site: www.GBHEnterprises.com
*Note:
An attractive process satisfies the criteria set for safety, environment, control,
economics, etc.

Refinery Process Stream Purification Refinery Process Catalysts Troubleshooting Refinery Process Catalyst Start-Up / Shutdown
Activation Reduction In-situ Ex-situ Sulfiding Specializing in Refinery Process Catalyst Performance Evaluation Heat & Mass
Balance Analysis Catalyst Remaining Life Determination Catalyst Deactivation Assessment Catalyst Performance
Characterization Refining & Gas Processing & Petrochemical Industries Catalysts / Process Technology - Hydrogen Catalysts /
Process Technology – Ammonia Catalyst Process Technology - Methanol Catalysts / process Technology – Petrochemicals
Specializing in the Development & Commercialization of New Technology in the Refining & Petrochemical Industries
Web Site: www.GBHEnterprises.com
2

FIELD OF APPLICATION

This Process Engineering Guide is applicable to the GBHE process engineering
and to development scientists working in conjunction with GBHE process
engineering.
3

DEFINITIONS

For the purposes of this Process Engineering Guide, the following definitions
apply:
Conversion - Moles of a key reactant which have reacted divided by the total
number of moles of the key reactant fed to the reactor.
Yield - Moles of a key reactant transformed into a desired product divided by the
total number of moles of the key reactant which have reacted.
Operational Yield - Moles of a key reactant transformed into a desired product
divided by the total number of moles of the key reactant fed to the reactor.
Selectivity - Moles of a key reactant transformed into a desired product divided
by the number of moles of a key reactant transformed into unwanted products.
CSTR - A commonly used abbreviation for a Continuous Stirred Tank Reactor.
With the exception of proper nouns, terms with initial capital letters which appear
in this document and are not defined above are defined in the Glossary of
Engineering Terms.

4

PRODUCT STRATEGY

4.1

General

New process development should fit into the business strategy for the product.
This requires a shared understanding of the business and technical factors.
GBHE can provide guidance on developing this understanding which enables the
different business interests - R&T, Marketing, Production, and Engineering - to
review the major areas likely to influence the overall scope of a prospective
investment.
Refinery Process Stream Purification Refinery Process Catalysts Troubleshooting Refinery Process Catalyst Start-Up / Shutdown
Activation Reduction In-situ Ex-situ Sulfiding Specializing in Refinery Process Catalyst Performance Evaluation Heat & Mass
Balance Analysis Catalyst Remaining Life Determination Catalyst Deactivation Assessment Catalyst Performance
Characterization Refining & Gas Processing & Petrochemical Industries Catalysts / Process Technology - Hydrogen Catalysts /
Process Technology – Ammonia Catalyst Process Technology - Methanol Catalysts / process Technology – Petrochemicals
Specializing in the Development & Commercialization of New Technology in the Refining & Petrochemical Industries
Web Site: www.GBHEnterprises.com
These areas are summarized under the headings:
(a)
(b)
(c)
(d)

Commercial.
Technology.
Manufacture.
Strategic fit.

The method then develops a series of questions that help the team to increase
their understanding, share information and identify areas of concern.
Profitable commercial exploitation of a product requires simultaneous success in
each of the areas shown in Figure 2. They interact considerably and a balance
needs to be struck. Concentrating too much resource into one area may strike
the wrong balance, for example, by devising a technically supremely elegant
process to make a product that nobody wants to buy. The information needs to
drop out of the three areas and hold good for products at any stage of
their life cycle.

Refinery Process Stream Purification Refinery Process Catalysts Troubleshooting Refinery Process Catalyst Start-Up / Shutdown
Activation Reduction In-situ Ex-situ Sulfiding Specializing in Refinery Process Catalyst Performance Evaluation Heat & Mass
Balance Analysis Catalyst Remaining Life Determination Catalyst Deactivation Assessment Catalyst Performance
Characterization Refining & Gas Processing & Petrochemical Industries Catalysts / Process Technology - Hydrogen Catalysts /
Process Technology – Ammonia Catalyst Process Technology - Methanol Catalysts / process Technology – Petrochemicals
Specializing in the Development & Commercialization of New Technology in the Refining & Petrochemical Industries
Web Site: www.GBHEnterprises.com
4.2

Market for the Product

There is a need for customers who want to buy the product and they usually
determine the product properties. "Market pull" stems from customers' product
needs, identifying areas of opportunity that can frequently be profitably explored
in conjunction with customers. Answers to the following questions should be
sought.
(a)
(b)
(c)
(d)
(e)

Who are the customers?
What are the major product properties that will determine price and
attractiveness?
What form of interaction with customers will take place?
Who are the major competitors?
What are the competing products? What are their strengths and
weaknesses? How do these compare with the properties of your product
within the market segment of interest:
(1) now;
(2) in 5 years;
(3) in 10 years.

(f)
(g)

How is the market influenced by different product properties that can be
achieved by varying process conditions?
Price/volume/product property relationship?

4.3

Production Costs

An attractive selling price is needed with the cost of manufacture some
appropriate fraction of this. Novel products will tend to trade on their unique
properties, at as high a price as they can command. At the other end of the
spectrum, "me too products" entering an expanding market will need to achieve
lower unit production costs, better than or similar to competing products.
To compete in a static or slowly growing market a new process for a "me too
product" should exhibit ”knock-out technology” such that the new total production
cost is less than (or equal to) the old plant marginal.

Refinery Process Stream Purification Refinery Process Catalysts Troubleshooting Refinery Process Catalyst Start-Up / Shutdown
Activation Reduction In-situ Ex-situ Sulfiding Specializing in Refinery Process Catalyst Performance Evaluation Heat & Mass
Balance Analysis Catalyst Remaining Life Determination Catalyst Deactivation Assessment Catalyst Performance
Characterization Refining & Gas Processing & Petrochemical Industries Catalysts / Process Technology - Hydrogen Catalysts /
Process Technology – Ammonia Catalyst Process Technology - Methanol Catalysts / process Technology – Petrochemicals
Specializing in the Development & Commercialization of New Technology in the Refining & Petrochemical Industries
Web Site: www.GBHEnterprises.com
The process conception framework will help to define the contribution to
production costs deriving from:
(A) Process configuration.
(b) Type of plant and operational pattern.
(c) Scale.
(d) Capital (including tax, grants, etc.).
(e) Raw material requirements and costs.
(f) Utility sources.
(g) Manning.
(h) Research and development.
(j) Selling and distribution expenses.
At the process conception stage, the location of a production plant may not be
known. The integration with existing site facilities, e.g. cooling towers, boiler
house, waste treatment plants, may therefore have to be deferred.
4.4

Process Technology

Process technology includes the translation of scientific information and raw
product ideas into valid ideas and then into hardware that will permit economic
manufacture. "Technology push" is all about novel products or materials, novel
process routes, novel raw materials or novel hardware introduced into chemical
manufacture to make significant improvements.
The technique implied by this Process Engineering Guide can help in those
market entry studies where a choice of process routes are required to bypass
patents, reduce production costs, use different raw materials, etc.
When the opportunity identified is for a material with particular properties, then in
order to identify candidate products a sequence of manual and database
searches of open, patent and trade literature and property banks is followed by
laboratory research.

Refinery Process Stream Purification Refinery Process Catalysts Troubleshooting Refinery Process Catalyst Start-Up / Shutdown
Activation Reduction In-situ Ex-situ Sulfiding Specializing in Refinery Process Catalyst Performance Evaluation Heat & Mass
Balance Analysis Catalyst Remaining Life Determination Catalyst Deactivation Assessment Catalyst Performance
Characterization Refining & Gas Processing & Petrochemical Industries Catalysts / Process Technology - Hydrogen Catalysts /
Process Technology – Ammonia Catalyst Process Technology - Methanol Catalysts / process Technology – Petrochemicals
Specializing in the Development & Commercialization of New Technology in the Refining & Petrochemical Industries
Web Site: www.GBHEnterprises.com
5

PRELIMINARY PROCESS INFORMATION

On the basis of the "GBHE", the "input-output structure" of the process (Prof. JM
Douglas) should be set down. See Figure 3.

Information is required on each of the following areas:
(a)

What are the likely stoichiometric equations and reaction steps?

(b)

These will include not only the relationships between feed and desired
products, but also side reactions. Reaction synthesis software will clearly
play a part in future. Fundamental chemical judgment will be needed to sift
the probable from the Possible
.
What is the availability, specification and cost of raw materials?
How much do raw materials contribute to the production cost?
From commercial information in Clause 4, decide whether to proceed.

(c)

Are the reactions feasible to a useful extent?
Obtain confirmation, preferably by thermodynamic calculations of
equilibria, that the reactions might go.

(d)

What is the minimum energy input cost?
Determine by thermodynamic calculation the heat of reaction data.
If the process is endothermic, this will represent the minimum energy
requirement. Calculate the contribution of the energy cost to the
production cost. Judge whether to proceed.

Refinery Process Stream Purification Refinery Process Catalysts Troubleshooting Refinery Process Catalyst Start-Up / Shutdown
Activation Reduction In-situ Ex-situ Sulfiding Specializing in Refinery Process Catalyst Performance Evaluation Heat & Mass
Balance Analysis Catalyst Remaining Life Determination Catalyst Deactivation Assessment Catalyst Performance
Characterization Refining & Gas Processing & Petrochemical Industries Catalysts / Process Technology - Hydrogen Catalysts /
Process Technology – Ammonia Catalyst Process Technology - Methanol Catalysts / process Technology – Petrochemicals
Specializing in the Development & Commercialization of New Technology in the Refining & Petrochemical Industries
Web Site: www.GBHEnterprises.com
(e)

Knowing the physical state of compounds involved in the process, are
there likely to be awkward materials handling or fouling problems?

(f)

Are there likely to be any problems in choosing materials of construction?

(g)

Are there likely to be any toxicological problems, safety hazards or
effluent disposal problems associated with any of the raw materials,
products, byproducts or intermediates used within the process?

(h)

Does the process look technically feasible? Are there any novel/unusual
processing steps or equipment that need additional development, and
hence development lead time?

(j)

Process complexity (e.g. number of processing stages) should help to
rank competing processes. Analogy with existing processes could give a
first estimate of capital cost.

Using this data to estimate a preliminary total production cost, either manually or
preferably using the structured approach of "COMPARE", the dominant
contributions to this cost should now be clear. If this looks potentially acceptable
and the process technology is capable of being developed, proceed through the
iteration. Most processes can be initially ranked at this stage.

6

REACTION AND REACTOR

6.1

Batch vs Continuous

The next objective is to decide whether the process will be batch or continuous.
The decision tree (see Figure!4) will help in making a decision when information
has been obtained in the following further areas:
(a)

What is the overall reaction rate?
The minimum at this stage is a single conversion/time point in a batch
reactor, or a gross volumetric rate in a particular sort of continuous
reactor, at some specified concentration, temperature and pressure.

(b)

Can the reaction be speeded up by increasing the temperature or
pressure?

Refinery Process Stream Purification Refinery Process Catalysts Troubleshooting Refinery Process Catalyst Start-Up / Shutdown
Activation Reduction In-situ Ex-situ Sulfiding Specializing in Refinery Process Catalyst Performance Evaluation Heat & Mass
Balance Analysis Catalyst Remaining Life Determination Catalyst Deactivation Assessment Catalyst Performance
Characterization Refining & Gas Processing & Petrochemical Industries Catalysts / Process Technology - Hydrogen Catalysts /
Process Technology – Ammonia Catalyst Process Technology - Methanol Catalysts / process Technology – Petrochemicals
Specializing in the Development & Commercialization of New Technology in the Refining & Petrochemical Industries
Web Site: www.GBHEnterprises.com
(c)

Is heat transfer likely to be a problem?

(d)

What phases are involved?

(e)

Is mass transfer likely to be a problem?

(f)

Is there a catalyst? If so, in what form; does it decay? How is spent
catalyst disposal effected safely?

(g)

Are there competing reactions and what happens to the unwanted
products?

(h)

Is the reaction limited by chemical equilibrium? If so, how can the
limitation be removed?

6.2

Multiple Reactors

Now we have to make a preliminary decision about whether the desired reactions
can take place under one set of physical and chemical conditions. There are
obvious capital advantages in minimizing the number of reaction vessels but
there may be operating or production cost benefits in separating reactor systems.
For example, if desirable products can be removed after intermediate stages, or
if a number of desired sequential reactions require very different process
conditions.
(a)

Is it technically feasible to use one reactor stage?
It is helpful to review this decision at every iteration.

(b)

For multiple reactor systems:
(1)

Should there simply be a direct connection between reactor stages,
i.e. only physical conditions (temperature, pressure) changed?

(2)

Is there an incentive for separation between reactors to change
concentrations, improve yield, reduce capital cost and remove
unstable products or corrosive byproducts?

Refinery Process Stream Purification Refinery Process Catalysts Troubleshooting Refinery Process Catalyst Start-Up / Shutdown
Activation Reduction In-situ Ex-situ Sulfiding Specializing in Refinery Process Catalyst Performance Evaluation Heat & Mass
Balance Analysis Catalyst Remaining Life Determination Catalyst Deactivation Assessment Catalyst Performance
Characterization Refining & Gas Processing & Petrochemical Industries Catalysts / Process Technology - Hydrogen Catalysts /
Process Technology – Ammonia Catalyst Process Technology - Methanol Catalysts / process Technology – Petrochemicals
Specializing in the Development & Commercialization of New Technology in the Refining & Petrochemical Industries
Web Site: www.GBHEnterprises.com
The complexity of the "Recycle Structure" will depend on the number of reaction
stages in the process and whether inter-stage separation is both possible and
desirable.

Refinery Process Stream Purification Refinery Process Catalysts Troubleshooting Refinery Process Catalyst Start-Up / Shutdown
Activation Reduction In-situ Ex-situ Sulfiding Specializing in Refinery Process Catalyst Performance Evaluation Heat & Mass
Balance Analysis Catalyst Remaining Life Determination Catalyst Deactivation Assessment Catalyst Performance
Characterization Refining & Gas Processing & Petrochemical Industries Catalysts / Process Technology - Hydrogen Catalysts /
Process Technology – Ammonia Catalyst Process Technology - Methanol Catalysts / process Technology – Petrochemicals
Specializing in the Development & Commercialization of New Technology in the Refining & Petrochemical Industries
Web Site: www.GBHEnterprises.com
7

RECYCLE

7.1

Recycle Structure

We can now explore the "recycle structure" shown in Figure 5. The objective is to
identify what materials are present in the recycle(s), whether there are any
constraints and to make a first estimate of the recycle rate and composition. In
many cases significant improvements in operational yield can be achieved by
operating at less than maximum conversion per pass and recycling excess feed
material.

For multiple reaction systems there may be several recycle structure options, e.g.
in a two reactor scheme should unconverted material ex-Reactor 2 be recycled to
the inlet of Reactor 1 or Reactor 2?

7.2

Classification of Chemicals

Classify each of the materials highlighted in Clause 5, which appears in the
reactor exit stream. Lump components of a similar type.
Listing the components in terms of their normal boiling points gives an immediate
appreciation of the separation problem.

Refinery Process Stream Purification Refinery Process Catalysts Troubleshooting Refinery Process Catalyst Start-Up / Shutdown
Activation Reduction In-situ Ex-situ Sulfiding Specializing in Refinery Process Catalyst Performance Evaluation Heat & Mass
Balance Analysis Catalyst Remaining Life Determination Catalyst Deactivation Assessment Catalyst Performance
Characterization Refining & Gas Processing & Petrochemical Industries Catalysts / Process Technology - Hydrogen Catalysts /
Process Technology – Ammonia Catalyst Process Technology - Methanol Catalysts / process Technology – Petrochemicals
Specializing in the Development & Commercialization of New Technology in the Refining & Petrochemical Industries
Web Site: www.GBHEnterprises.com
7.3

Effect of Recycle

(a)

Is it feasible to isolate the product from the rest of the material? If so,
continue. If not, is the product quality acceptable, or is further
separation/purification required?

(b)

What is the effect of recycling products, byproducts, intermediates,
catalysts, impurities in raw materials etc? (This question is also relevant to
deciding whether raw materials need to be purified prior to processing). At
what concentrations are these effects significant?

(c)

Is there a solvent reaction medium? Examine alternatives against:
(1) Effectiveness in reactor environment.
(2) Does it react - even to the slightest degree?
(3) How easy is it to separate from other materials in the system?
(4) If there are different reaction stages, can the same solvent be used in
all of them?

Refinery Process Stream Purification Refinery Process Catalysts Troubleshooting Refinery Process Catalyst Start-Up / Shutdown
Activation Reduction In-situ Ex-situ Sulfiding Specializing in Refinery Process Catalyst Performance Evaluation Heat & Mass
Balance Analysis Catalyst Remaining Life Determination Catalyst Deactivation Assessment Catalyst Performance
Characterization Refining & Gas Processing & Petrochemical Industries Catalysts / Process Technology - Hydrogen Catalysts /
Process Technology – Ammonia Catalyst Process Technology - Methanol Catalysts / process Technology – Petrochemicals
Specializing in the Development & Commercialization of New Technology in the Refining & Petrochemical Industries
Web Site: www.GBHEnterprises.com
DON'T RECYCLE THESE CLASSES OF MATERIALS
(i)

Catalyst Poisons.

(ii)

Degradable main products.

(iii)

Corrosive/hazardous materials (unless they will significantly improve the
yield).

(iv)

Inerts (unless needed to avoid flammability hazards).

7.4

Preliminary Estimation of Conversion

7.4.1 What is the conversion-yield relationship?
The first estimate of conversion and yield relationship should be based either on
patent literature or on the Chemist's experiments and preferably based on a
preliminary reaction scheme. The minimum data required is a product yield
spectrum at one conversion. As a very crude first approximation, the conversionyield relationship for the desired product could be obtained by joining this point
with 100% yield at zero conversion using a straight line on a log-log plot of
(1-conversion) vs yield. The byproduct yield takes up the balance in the ratios at
the spectrum point.
7.4.2 Is the reaction at equilibrium?
It is likely that the preliminary conversion-yield relationship can be improved by
changing the reactor type and operating conditions. This will be examined in
Clause 8.
At this point an initial mass balance of the overall recycle flows for a particular
conversion can be calculated.
Next, the reactor has to be examined in more detail.

Refinery Process Stream Purification Refinery Process Catalysts Troubleshooting Refinery Process Catalyst Start-Up / Shutdown
Activation Reduction In-situ Ex-situ Sulfiding Specializing in Refinery Process Catalyst Performance Evaluation Heat & Mass
Balance Analysis Catalyst Remaining Life Determination Catalyst Deactivation Assessment Catalyst Performance
Characterization Refining & Gas Processing & Petrochemical Industries Catalysts / Process Technology - Hydrogen Catalysts /
Process Technology – Ammonia Catalyst Process Technology - Methanol Catalysts / process Technology – Petrochemicals
Specializing in the Development & Commercialization of New Technology in the Refining & Petrochemical Industries
Web Site: www.GBHEnterprises.com
8

REACTOR TYPE AND PERFORMANCE

8.1

Conversion-Yield Effects

A preliminary structure into which our reactor(s) can be fitted has been defined in
Clause 7. In order to decide on the most appropriate type of reactor configuration
and operating conditions it is important that some understanding is developed of
how the reactions which form products and byproducts are interrelated. At a
preliminary stage an identification of trends, rather than definitive set of reaction
mechanisms is required, in order to gain an insight into the conversion-yield
relationship and the variables that affect it. Laboratory experimentation should
therefore be approached with the aim of answering the question; HOW IS THE
PRODUCT DISTRIBUTION AFFECTED BY:
(a)

Extent of conversion.

(b)

Temperature or temperature profile.

(c)

Pressure.

(d)

Addition rate and sequence of reactants/inerts.

(e)

Mixing patterns within the reactor/reactor configuration.

(f)

Heat and mass transfer effects between various phases in the reactor or
across the reactor boundary.

(g)

Catalysts/solvents.

When preliminary definition of the process flowsheet has been achieved, very
detailed experiments can be conducted in the likely region of operation, to
provide relevant design data and have accurate descriptions of the performance
of the reaction scheme.
Decision trees to help identification of appropriate batch and continuous reactor
systems are given in Figures 6 and 7.

Refinery Process Stream Purification Refinery Process Catalysts Troubleshooting Refinery Process Catalyst Start-Up / Shutdown
Activation Reduction In-situ Ex-situ Sulfiding Specializing in Refinery Process Catalyst Performance Evaluation Heat & Mass
Balance Analysis Catalyst Remaining Life Determination Catalyst Deactivation Assessment Catalyst Performance
Characterization Refining & Gas Processing & Petrochemical Industries Catalysts / Process Technology - Hydrogen Catalysts /
Process Technology – Ammonia Catalyst Process Technology - Methanol Catalysts / process Technology – Petrochemicals
Specializing in the Development & Commercialization of New Technology in the Refining & Petrochemical Industries
Web Site: www.GBHEnterprises.com
Refinery Process Stream Purification Refinery Process Catalysts Troubleshooting Refinery Process Catalyst Start-Up / Shutdown
Activation Reduction In-situ Ex-situ Sulfiding Specializing in Refinery Process Catalyst Performance Evaluation Heat & Mass
Balance Analysis Catalyst Remaining Life Determination Catalyst Deactivation Assessment Catalyst Performance
Characterization Refining & Gas Processing & Petrochemical Industries Catalysts / Process Technology - Hydrogen Catalysts /
Process Technology – Ammonia Catalyst Process Technology - Methanol Catalysts / process Technology – Petrochemicals
Specializing in the Development & Commercialization of New Technology in the Refining & Petrochemical Industries
Web Site: www.GBHEnterprises.com
Refinery Process Stream Purification Refinery Process Catalysts Troubleshooting Refinery Process Catalyst Start-Up / Shutdown
Activation Reduction In-situ Ex-situ Sulfiding Specializing in Refinery Process Catalyst Performance Evaluation Heat & Mass
Balance Analysis Catalyst Remaining Life Determination Catalyst Deactivation Assessment Catalyst Performance
Characterization Refining & Gas Processing & Petrochemical Industries Catalysts / Process Technology - Hydrogen Catalysts /
Process Technology – Ammonia Catalyst Process Technology - Methanol Catalysts / process Technology – Petrochemicals
Specializing in the Development & Commercialization of New Technology in the Refining & Petrochemical Industries
Web Site: www.GBHEnterprises.com
8.2

Heat Effects

As far as the process as a whole is concerned, a major decision is how the heat
of reaction is to be handled. If the exotherm / endotherm is significant, there are
three ways of dealing with the situation.
(a)

Heat can be transferred through a wall.

(b)

The temperature change can be confined by providing heat capacity in the
process stream.

or
(c)

The use of latent heat.

In many cases operation is at some point between the above cases. Figure 8
shows the logic diagram for the key questions to be addressed.
If capacity is provided in the form of a heat carrier then that component has to be
separated and recycled. Choices of a heat carrier include:
(1)

Feed excess of one of the reactants.

(2)

Recycle product (if it doesn't degrade).

(3)

Recycle a byproduct, particularly if it drives a chemical equilibrium in the
profitable direction.

(4)

An inert material. The amount is minimized if this and reaction conditions
can be chosen such that a latent heat of phase change can be involved.

(5)

Can this inert material be the solvent reaction medium?

Use of a heat carrier, particularly if it is a new component, is likely to change
significantly the recycle mass balance.
Modifications of the flows calculated in Clause 7 are also likely from the
consideration of reactor type and operating conditions described in 8.1.
Revise the recycle mass balance.

Refinery Process Stream Purification Refinery Process Catalysts Troubleshooting Refinery Process Catalyst Start-Up / Shutdown
Activation Reduction In-situ Ex-situ Sulfiding Specializing in Refinery Process Catalyst Performance Evaluation Heat & Mass
Balance Analysis Catalyst Remaining Life Determination Catalyst Deactivation Assessment Catalyst Performance
Characterization Refining & Gas Processing & Petrochemical Industries Catalysts / Process Technology - Hydrogen Catalysts /
Process Technology – Ammonia Catalyst Process Technology - Methanol Catalysts / process Technology – Petrochemicals
Specializing in the Development & Commercialization of New Technology in the Refining & Petrochemical Industries
Web Site: www.GBHEnterprises.com
Refinery Process Stream Purification Refinery Process Catalysts Troubleshooting Refinery Process Catalyst Start-Up / Shutdown
Activation Reduction In-situ Ex-situ Sulfiding Specializing in Refinery Process Catalyst Performance Evaluation Heat & Mass
Balance Analysis Catalyst Remaining Life Determination Catalyst Deactivation Assessment Catalyst Performance
Characterization Refining & Gas Processing & Petrochemical Industries Catalysts / Process Technology - Hydrogen Catalysts /
Process Technology – Ammonia Catalyst Process Technology - Methanol Catalysts / process Technology – Petrochemicals
Specializing in the Development & Commercialization of New Technology in the Refining & Petrochemical Industries
Web Site: www.GBHEnterprises.com
8.3

Equilibrium Effects

Is the reaction near chemical equilibrium?
NOTES:
(1)

Remember Le Chatelier's Principle: - an exothermic or a volume increase
reaction will become more nearly equilibrium limited at higher
temperatures or pressures:

(2)

An adiabatic reactor can become equilibrium limited at the higher
temperature and conversions present at exit. Multiple stages with
interpass cooling or cold shot injection of a reactant or diluent can be
helpful.

(3)

Localized hot spots within a heat transfer reactor can also approach
equilibrium.

(4)

Beware of an apparent fall in reaction rate at higher temperatures, this
may be indicating equilibrium or mass transfer limitations rather than
kinetic effects.

(5)

Laboratory reactors may be at low pressure; plant can be high. If the
reaction involves a volume increase, check equilibrium will not limit at the
plant pressures.

Figure 9 shows the logic diagram for the key questions to ask with respect to
equilibrium effects.

Refinery Process Stream Purification Refinery Process Catalysts Troubleshooting Refinery Process Catalyst Start-Up / Shutdown
Activation Reduction In-situ Ex-situ Sulfiding Specializing in Refinery Process Catalyst Performance Evaluation Heat & Mass
Balance Analysis Catalyst Remaining Life Determination Catalyst Deactivation Assessment Catalyst Performance
Characterization Refining & Gas Processing & Petrochemical Industries Catalysts / Process Technology - Hydrogen Catalysts /
Process Technology – Ammonia Catalyst Process Technology - Methanol Catalysts / process Technology – Petrochemicals
Specializing in the Development & Commercialization of New Technology in the Refining & Petrochemical Industries
Web Site: www.GBHEnterprises.com
Refinery Process Stream Purification Refinery Process Catalysts Troubleshooting Refinery Process Catalyst Start-Up / Shutdown
Activation Reduction In-situ Ex-situ Sulfiding Specializing in Refinery Process Catalyst Performance Evaluation Heat & Mass
Balance Analysis Catalyst Remaining Life Determination Catalyst Deactivation Assessment Catalyst Performance
Characterization Refining & Gas Processing & Petrochemical Industries Catalysts / Process Technology - Hydrogen Catalysts /
Process Technology – Ammonia Catalyst Process Technology - Methanol Catalysts / process Technology – Petrochemicals
Specializing in the Development & Commercialization of New Technology in the Refining & Petrochemical Industries
Web Site: www.GBHEnterprises.com
8.4

Kinetic Effects
What is the reaction rate - half life time for reaction?

There are five characteristic time scales for a reactor which are relevant; the
reaction half life, the reactor residence time, the interphase mass transfer time,
the heat transfer time and the single phase mixing time. Clearly, the reactor
residence time should equal or exceed the reaction half life, but only if significant
product degradation occurs at longer residence times will the residence time
have to closely match the reaction half life.
The characteristic heat transfer time is usually less than the mass transfer

and can normally be neglected except for highly exothermic reactions. These will
generally require heat transfer within the reactor.
The single phase mixing time <1 second is only important for reaction half life of
this order. Note that for stirred tank reactors the internal recycle time lies
between the mixing and residence time and is often near the reaction half life.
This can affect scale up where in the laboratory:
Mixing time <recycle time <reaction time <residence time
but on scale up,
Mixing time <reaction time <recycle time <residence time
and an identical reactor system has scaled up from a stirred tank device to a plug
flow with recycle device.
When the interphase mass transfer time is about the reaction half life - and this is
common for gas-liquid reactor systems - then the diffusional and reactive
processes interact strongly and a full analysis of the reaction dynamics is likely to
be required.
Refinery Process Stream Purification Refinery Process Catalysts Troubleshooting Refinery Process Catalyst Start-Up / Shutdown
Activation Reduction In-situ Ex-situ Sulfiding Specializing in Refinery Process Catalyst Performance Evaluation Heat & Mass
Balance Analysis Catalyst Remaining Life Determination Catalyst Deactivation Assessment Catalyst Performance
Characterization Refining & Gas Processing & Petrochemical Industries Catalysts / Process Technology - Hydrogen Catalysts /
Process Technology – Ammonia Catalyst Process Technology - Methanol Catalysts / process Technology – Petrochemicals
Specializing in the Development & Commercialization of New Technology in the Refining & Petrochemical Industries
Web Site: www.GBHEnterprises.com
This interaction is highly sensitive to scale and care is needed to identify the
likely dynamic regime on the full scale and to confirm this on the laboratory scale.
The inverse process of scale up from laboratory work carried out in one dynamic
regime can be impossible where the full scale operate in another regime and
cannot reproduce the laboratory regime.
Figure 10 shows the logic diagram for the key questions to ask with respect to
kinetic effects.

Refinery Process Stream Purification Refinery Process Catalysts Troubleshooting Refinery Process Catalyst Start-Up / Shutdown
Activation Reduction In-situ Ex-situ Sulfiding Specializing in Refinery Process Catalyst Performance Evaluation Heat & Mass
Balance Analysis Catalyst Remaining Life Determination Catalyst Deactivation Assessment Catalyst Performance
Characterization Refining & Gas Processing & Petrochemical Industries Catalysts / Process Technology - Hydrogen Catalysts /
Process Technology – Ammonia Catalyst Process Technology - Methanol Catalysts / process Technology – Petrochemicals
Specializing in the Development & Commercialization of New Technology in the Refining & Petrochemical Industries
Web Site: www.GBHEnterprises.com
Refinery Process Stream Purification Refinery Process Catalysts Troubleshooting Refinery Process Catalyst Start-Up / Shutdown
Activation Reduction In-situ Ex-situ Sulfiding Specializing in Refinery Process Catalyst Performance Evaluation Heat & Mass
Balance Analysis Catalyst Remaining Life Determination Catalyst Deactivation Assessment Catalyst Performance
Characterization Refining & Gas Processing & Petrochemical Industries Catalysts / Process Technology - Hydrogen Catalysts /
Process Technology – Ammonia Catalyst Process Technology - Methanol Catalysts / process Technology – Petrochemicals
Specializing in the Development & Commercialization of New Technology in the Refining & Petrochemical Industries
Web Site: www.GBHEnterprises.com
8.5

More Help with Reactor Design

Further background information on the main factors that affect reactor system
design for particular types of reaction mechanism is given in Appendix A.
Appendix B gives a typical "Discussion between a Chemist and Chemical
Engineer" (taken from Rudd's book on Process Synthesis). It is hoped that this
will provide a useful illustration of how to ask some of the questions which are
relevant at this stage of process conception.

9

SEPARATION SYSTEM

At this stage a preliminary cost for the required separations has to be
determined.
The selection of the best type of separation for a given duty is a topic which still
requires considerable research. A hierarchy has been proposed subdividing the
separation task into 3 categories, which are likely to be of increasing cost, viz:
(1)

Separation achieved by simple mechanical or thermal means.

(2)

Separation involving phase change.

(3)

Separation involving chemical change.

For example, Type 1 Separations (filtration, simple vapor-liquid flash) are likely to
be cheapest for chemical, but not necessarily for biochemical, systems. On their
own they may not provide sufficient separation to meet the required specification.
Choice of the most appropriate separation technique is made by identifying
inherent differences in the physico-chemical properties of the various
components
Typical 'key' properties are:
(a)

Boiling Point.

(b)

Freezing Point.

(c)

Density.

Refinery Process Stream Purification Refinery Process Catalysts Troubleshooting Refinery Process Catalyst Start-Up / Shutdown
Activation Reduction In-situ Ex-situ Sulfiding Specializing in Refinery Process Catalyst Performance Evaluation Heat & Mass
Balance Analysis Catalyst Remaining Life Determination Catalyst Deactivation Assessment Catalyst Performance
Characterization Refining & Gas Processing & Petrochemical Industries Catalysts / Process Technology - Hydrogen Catalysts /
Process Technology – Ammonia Catalyst Process Technology - Methanol Catalysts / process Technology – Petrochemicals
Specializing in the Development & Commercialization of New Technology in the Refining & Petrochemical Industries
Web Site: www.GBHEnterprises.com
(d)

Solubility (in various solvents).

Occasionally, the optimum separation technique requires the addition of a new
component which enhances the differences in properties between the various
compound (e.g. Addition of H2S04 for extractive distillation of aqueous HNO3), or
several properties to be exploited simultaneously.
In his experiments the Chemist will probably have tried several forms of
separation for extracting the desired product and this also might provide a useful
guide to the means by which full scale separation can best be achieved, through
knowledge of some of the properties that can be exploited.
In the bulk chemical industry large use is made of Distillation (for liquid-liquid
systems) and Filtration/Centrifuging/Drying (for liquid-solid systems). As data are
more readily available for these types of separation they provide useful initial
estimates for the cost of separation.
However, other alternatives should always be considered during later iterations
as these could provide lower cost solutions, particularly for difficult separations.
A diagrammatic representation of separation processes based on characteristic
size is given in Figure 11. A more comprehensive list, taken from King is included
in Appendix C, and is based on the fundamental properties that can be exploited
to achieve separation.

Refinery Process Stream Purification Refinery Process Catalysts Troubleshooting Refinery Process Catalyst Start-Up / Shutdown
Activation Reduction In-situ Ex-situ Sulfiding Specializing in Refinery Process Catalyst Performance Evaluation Heat & Mass
Balance Analysis Catalyst Remaining Life Determination Catalyst Deactivation Assessment Catalyst Performance
Characterization Refining & Gas Processing & Petrochemical Industries Catalysts / Process Technology - Hydrogen Catalysts /
Process Technology – Ammonia Catalyst Process Technology - Methanol Catalysts / process Technology – Petrochemicals
Specializing in the Development & Commercialization of New Technology in the Refining & Petrochemical Industries
Web Site: www.GBHEnterprises.com
The recycle mass balance should be modified if necessary, and the data for this
iteration needs to be reviewed.

Refinery Process Stream Purification Refinery Process Catalysts Troubleshooting Refinery Process Catalyst Start-Up / Shutdown
Activation Reduction In-situ Ex-situ Sulfiding Specializing in Refinery Process Catalyst Performance Evaluation Heat & Mass
Balance Analysis Catalyst Remaining Life Determination Catalyst Deactivation Assessment Catalyst Performance
Characterization Refining & Gas Processing & Petrochemical Industries Catalysts / Process Technology - Hydrogen Catalysts /
Process Technology – Ammonia Catalyst Process Technology - Methanol Catalysts / process Technology – Petrochemicals
Specializing in the Development & Commercialization of New Technology in the Refining & Petrochemical Industries
Web Site: www.GBHEnterprises.com
10

REVIEW

A preliminary flowsheet has now been obtained for the process together with
some information on:
(a)

Incentive for manufacturing the product, based on material costs.

(b)

Energy costs for endothermic reactions, separating and recycling
materials.

(c)

Preliminary capital cost of reactor, separation and recycling systems.

(d)

The likely complexity of the final flowsheet.

(e)

The hazards and difficulties involved in handling the materials.

A more accurate comparison of the alternative processes than was possible in
Clause 5 can now be made. The most attractive processes should now be further
evaluated whilst those with little potential should be shelved.
After revising the "input data" given in Clauses 4 and 5, Clauses 6-9 should be
repeated using the more detailed information now available.
11

BIBLIOGRAPHY AND REFERENCES

11.1

Preliminary Flow sheeting
Process evaluation and preliminary design procedure 1985.
Guide to preliminary design, development and selection of solid/liquid
processes 1984.
Integrated reactor systems manual 1986.
Process development guide.
The Preliminary Evaluation of Process Costs.

Refinery Process Stream Purification Refinery Process Catalysts Troubleshooting Refinery Process Catalyst Start-Up / Shutdown
Activation Reduction In-situ Ex-situ Sulfiding Specializing in Refinery Process Catalyst Performance Evaluation Heat & Mass
Balance Analysis Catalyst Remaining Life Determination Catalyst Deactivation Assessment Catalyst Performance
Characterization Refining & Gas Processing & Petrochemical Industries Catalysts / Process Technology - Hydrogen Catalysts /
Process Technology – Ammonia Catalyst Process Technology - Methanol Catalysts / process Technology – Petrochemicals
Specializing in the Development & Commercialization of New Technology in the Refining & Petrochemical Industries
Web Site: www.GBHEnterprises.com
"A hierarchical decision making procedure for process synthesis" by JM Douglas;
AIChE Journal 31 No. 3 (March 1985) p353.
"Process Synthesis" by D F Rudd, Powers & Surola, (Prentice-Hall).

11.2

Physical Properties

"Chemical Engineers' Handbook" by J Perry (McGraw-Hill).
"Handbook of Chemistry & Physics" by RC Weast (CRC PRESS)
("Rubber" Book).

11.3

Reactors

"Chemical Reaction Engineering" by O Levenspiel (Wiley).
"Chemical Reactor Theory" by Denbigh and Turner (Camb. Univ. Press).
"Chemical Reactor Design in Practice" by L M Rose (Elsevier Science Publishers
B.V.).
11.4

Separation

Fluid Separation.
Selection of internals for distillation columns.
”Empirical Approach to Separation Problems” by W Featherstone, Wilton report
No 0200, 580/A (May 1967).
”Separation Processes” by C J King (McGraw-Hill).
”Solid Liquid Separation Technology” by D B Purchas.
”Selection of Equipment for a Solid-Liquid Separation Process
”Distillation Systems Design Procedure” by the Process Synthesis Team, NSG.
”Handbook of Separation Techniques for Chemical Engineers” by PA Schweitzer
(McGraw-Hill).
Refinery Process Stream Purification Refinery Process Catalysts Troubleshooting Refinery Process Catalyst Start-Up / Shutdown
Activation Reduction In-situ Ex-situ Sulfiding Specializing in Refinery Process Catalyst Performance Evaluation Heat & Mass
Balance Analysis Catalyst Remaining Life Determination Catalyst Deactivation Assessment Catalyst Performance
Characterization Refining & Gas Processing & Petrochemical Industries Catalysts / Process Technology - Hydrogen Catalysts /
Process Technology – Ammonia Catalyst Process Technology - Methanol Catalysts / process Technology – Petrochemicals
Specializing in the Development & Commercialization of New Technology in the Refining & Petrochemical Industries
Web Site: www.GBHEnterprises.com
11.5

Costing

”Capital Cost Estimating” by Guthrie Chemical Engineering, March!24 1969 pp
114 (costs need care due to age and U.S. background).
The preliminary evaluation of process costs.
"A Guide to Capital Cost Estimating", 3rd edition (1988). Institution of Chemical
Engineers.

Refinery Process Stream Purification Refinery Process Catalysts Troubleshooting Refinery Process Catalyst Start-Up / Shutdown
Activation Reduction In-situ Ex-situ Sulfiding Specializing in Refinery Process Catalyst Performance Evaluation Heat & Mass
Balance Analysis Catalyst Remaining Life Determination Catalyst Deactivation Assessment Catalyst Performance
Characterization Refining & Gas Processing & Petrochemical Industries Catalysts / Process Technology - Hydrogen Catalysts /
Process Technology – Ammonia Catalyst Process Technology - Methanol Catalysts / process Technology – Petrochemicals
Specializing in the Development & Commercialization of New Technology in the Refining & Petrochemical Industries
Web Site: www.GBHEnterprises.com
APPENDIX A:

BASIC REACTOR SYSTEM DESIGN

There are many books written on chemical reactor design which cover in great
detail the various facets of this subject. At this preliminary stage of process
evaluation we are more concerned with the effect of the reactor system on the
total flowsheet rather than the detailed reactor design. Hence, it is satisfactory to
consider ideal reactors for initial investigation of the process options. This Clause
sets out briefly the main aspects of Reactor System Design.
A.1

SINGLE REACTIONS

The rate of formation of a product R in a chemical reaction, starting from (say) 2
feed chemicals A,B

can normally be written in the form:

Where x, y are some indices, not necessarily equal to the stoichiometric ratios.
However, some free radical reactions and most catalytic reactions have rate
equations of the form:-

where pi = partial pressure of”i”
The term "k1" (reaction rate constant) is given by the Arrhenius equation:-

Refinery Process Stream Purification Refinery Process Catalysts Troubleshooting Refinery Process Catalyst Start-Up / Shutdown
Activation Reduction In-situ Ex-situ Sulfiding Specializing in Refinery Process Catalyst Performance Evaluation Heat & Mass
Balance Analysis Catalyst Remaining Life Determination Catalyst Deactivation Assessment Catalyst Performance
Characterization Refining & Gas Processing & Petrochemical Industries Catalysts / Process Technology - Hydrogen Catalysts /
Process Technology – Ammonia Catalyst Process Technology - Methanol Catalysts / process Technology – Petrochemicals
Specializing in the Development & Commercialization of New Technology in the Refining & Petrochemical Industries
Web Site: www.GBHEnterprises.com
Where:
E1
k10
R
T

=
=
=
=

Activation Energy of forward reaction (kJ/kg mol)
Pre-exponential constant
Gas Constant 8.3143 (kJ/kg mol K)
Absolute temperature (K)

A.2

EQUILIBRIUM

If the reaction under consideration is reversible i.e.:

And

equilibrium is achieved when the 2 reaction rates are equal, i.e.:-

The equilibrium constant

K can be determined experimentally or predicted from thermodynamic data.
The above equation immediately shows how, under equilibrium conditions, the
product formation can be increased by changing the relative concentrations in
the reactive medium.
Temperature has a significant effect on equilibrium concentrations, as shown in
Figure 12:

Refinery Process Stream Purification Refinery Process Catalysts Troubleshooting Refinery Process Catalyst Start-Up / Shutdown
Activation Reduction In-situ Ex-situ Sulfiding Specializing in Refinery Process Catalyst Performance Evaluation Heat & Mass
Balance Analysis Catalyst Remaining Life Determination Catalyst Deactivation Assessment Catalyst Performance
Characterization Refining & Gas Processing & Petrochemical Industries Catalysts / Process Technology - Hydrogen Catalysts /
Process Technology – Ammonia Catalyst Process Technology - Methanol Catalysts / process Technology – Petrochemicals
Specializing in the Development & Commercialization of New Technology in the Refining & Petrochemical Industries
Web Site: www.GBHEnterprises.com
A.3

COMPETING REACTIONS

In most practical systems a number of competing reactions occur. These can be
classified as follows:(i) Parallel Reactions

(ii) Consecutive Reactions

or, occasionally,
Refinery Process Stream Purification Refinery Process Catalysts Troubleshooting Refinery Process Catalyst Start-Up / Shutdown
Activation Reduction In-situ Ex-situ Sulfiding Specializing in Refinery Process Catalyst Performance Evaluation Heat & Mass
Balance Analysis Catalyst Remaining Life Determination Catalyst Deactivation Assessment Catalyst Performance
Characterization Refining & Gas Processing & Petrochemical Industries Catalysts / Process Technology - Hydrogen Catalysts /
Process Technology – Ammonia Catalyst Process Technology - Methanol Catalysts / process Technology – Petrochemicals
Specializing in the Development & Commercialization of New Technology in the Refining & Petrochemical Industries
Web Site: www.GBHEnterprises.com
(iii) Mixed Reactions
Some combination (often very complex) of cases (i) and (ii).

A.4

METHODS OF IMPROVING YIELD

The proportion of desired product formed in the reaction can often be increased
by improved choice of:
(a)

Temperature.

(b)

Concentration (including pressure and mass transfer effects and reactor
type/configuration).

A.4.1 Effect of Temperature Changes
If the activation energies (E) of the various reactions are different then changes
in temperature will affect the yields at a given conversion. Increasing temperature
will normally increase reaction rates, hence reduce reaction volume. Sometimes
compromise is necessary.
The effect of temperature on yield can be difficult to predict, depending on
relative activation energies and the position of the desired product in the reaction
scheme. The following may offer some insight.

Refinery Process Stream Purification Refinery Process Catalysts Troubleshooting Refinery Process Catalyst Start-Up / Shutdown
Activation Reduction In-situ Ex-situ Sulfiding Specializing in Refinery Process Catalyst Performance Evaluation Heat & Mass
Balance Analysis Catalyst Remaining Life Determination Catalyst Deactivation Assessment Catalyst Performance
Characterization Refining & Gas Processing & Petrochemical Industries Catalysts / Process Technology - Hydrogen Catalysts /
Process Technology – Ammonia Catalyst Process Technology - Methanol Catalysts / process Technology – Petrochemicals
Specializing in the Development & Commercialization of New Technology in the Refining & Petrochemical Industries
Web Site: www.GBHEnterprises.com
Refinery Process Stream Purification Refinery Process Catalysts Troubleshooting Refinery Process Catalyst Start-Up / Shutdown
Activation Reduction In-situ Ex-situ Sulfiding Specializing in Refinery Process Catalyst Performance Evaluation Heat & Mass
Balance Analysis Catalyst Remaining Life Determination Catalyst Deactivation Assessment Catalyst Performance
Characterization Refining & Gas Processing & Petrochemical Industries Catalysts / Process Technology - Hydrogen Catalysts /
Process Technology – Ammonia Catalyst Process Technology - Methanol Catalysts / process Technology – Petrochemicals
Specializing in the Development & Commercialization of New Technology in the Refining & Petrochemical Industries
Web Site: www.GBHEnterprises.com
A.4.2 Effect of Concentration Changes
Changing concentrations of the various reactants/products can dramatically
increase the reactor yield either by shifting equilibrium or by increasing the
relative rate of formation of the desired product.
The operating, concentrations can be improved by:
(a)

Selection of appropriate reactor type;

and possibly enhanced by
(b)

Recycling byproducts or excess reactants;

(c)

Selective removal of product from reaction vessel;

(d)

Changing pressure;

(e)

Improved mass transfer.

Refinery Process Stream Purification Refinery Process Catalysts Troubleshooting Refinery Process Catalyst Start-Up / Shutdown
Activation Reduction In-situ Ex-situ Sulfiding Specializing in Refinery Process Catalyst Performance Evaluation Heat & Mass
Balance Analysis Catalyst Remaining Life Determination Catalyst Deactivation Assessment Catalyst Performance
Characterization Refining & Gas Processing & Petrochemical Industries Catalysts / Process Technology - Hydrogen Catalysts /
Process Technology – Ammonia Catalyst Process Technology - Methanol Catalysts / process Technology – Petrochemicals
Specializing in the Development & Commercialization of New Technology in the Refining & Petrochemical Industries
Web Site: www.GBHEnterprises.com
Use can be made of the difference in concentration/time characteristics between
PFR and CSTR for improving reactor yield. Also the method of adding the
reactants can be used to control the concentrations as shown in the following
diagram for the reacting system:
Refinery Process Stream Purification Refinery Process Catalysts Troubleshooting Refinery Process Catalyst Start-Up / Shutdown
Activation Reduction In-situ Ex-situ Sulfiding Specializing in Refinery Process Catalyst Performance Evaluation Heat & Mass
Balance Analysis Catalyst Remaining Life Determination Catalyst Deactivation Assessment Catalyst Performance
Characterization Refining & Gas Processing & Petrochemical Industries Catalysts / Process Technology - Hydrogen Catalysts /
Process Technology – Ammonia Catalyst Process Technology - Methanol Catalysts / process Technology – Petrochemicals
Specializing in the Development & Commercialization of New Technology in the Refining & Petrochemical Industries
Web Site: www.GBHEnterprises.com
Refinery Process Stream Purification Refinery Process Catalysts Troubleshooting Refinery Process Catalyst Start-Up / Shutdown
Activation Reduction In-situ Ex-situ Sulfiding Specializing in Refinery Process Catalyst Performance Evaluation Heat & Mass
Balance Analysis Catalyst Remaining Life Determination Catalyst Deactivation Assessment Catalyst Performance
Characterization Refining & Gas Processing & Petrochemical Industries Catalysts / Process Technology - Hydrogen Catalysts /
Process Technology – Ammonia Catalyst Process Technology - Methanol Catalysts / process Technology – Petrochemicals
Specializing in the Development & Commercialization of New Technology in the Refining & Petrochemical Industries
Web Site: www.GBHEnterprises.com
Refinery Process Stream Purification Refinery Process Catalysts Troubleshooting Refinery Process Catalyst Start-Up / Shutdown
Activation Reduction In-situ Ex-situ Sulfiding Specializing in Refinery Process Catalyst Performance Evaluation Heat & Mass
Balance Analysis Catalyst Remaining Life Determination Catalyst Deactivation Assessment Catalyst Performance
Characterization Refining & Gas Processing & Petrochemical Industries Catalysts / Process Technology - Hydrogen Catalysts /
Process Technology – Ammonia Catalyst Process Technology - Methanol Catalysts / process Technology – Petrochemicals
Specializing in the Development & Commercialization of New Technology in the Refining & Petrochemical Industries
Web Site: www.GBHEnterprises.com
Refinery Process Stream Purification Refinery Process Catalysts Troubleshooting Refinery Process Catalyst Start-Up / Shutdown
Activation Reduction In-situ Ex-situ Sulfiding Specializing in Refinery Process Catalyst Performance Evaluation Heat & Mass
Balance Analysis Catalyst Remaining Life Determination Catalyst Deactivation Assessment Catalyst Performance
Characterization Refining & Gas Processing & Petrochemical Industries Catalysts / Process Technology - Hydrogen Catalysts /
Process Technology – Ammonia Catalyst Process Technology - Methanol Catalysts / process Technology – Petrochemicals
Specializing in the Development & Commercialization of New Technology in the Refining & Petrochemical Industries
Web Site: www.GBHEnterprises.com
A.5

CONVERSION

Provided the unreacted raw materials can be effectively separated from products
downstream of the reactor the opportunity exists to increase yield by operating at
partial conversion and recycling the unreacted feeds.
In such cases the operational conversion should be chosen to give a suitable
balance between the improved process yield and the increased cost of
separation and recycling.

Refinery Process Stream Purification Refinery Process Catalysts Troubleshooting Refinery Process Catalyst Start-Up / Shutdown
Activation Reduction In-situ Ex-situ Sulfiding Specializing in Refinery Process Catalyst Performance Evaluation Heat & Mass
Balance Analysis Catalyst Remaining Life Determination Catalyst Deactivation Assessment Catalyst Performance
Characterization Refining & Gas Processing & Petrochemical Industries Catalysts / Process Technology - Hydrogen Catalysts /
Process Technology – Ammonia Catalyst Process Technology - Methanol Catalysts / process Technology – Petrochemicals
Specializing in the Development & Commercialization of New Technology in the Refining & Petrochemical Industries
Web Site: www.GBHEnterprises.com
Refinery Process Stream Purification Refinery Process Catalysts Troubleshooting Refinery Process Catalyst Start-Up / Shutdown
Activation Reduction In-situ Ex-situ Sulfiding Specializing in Refinery Process Catalyst Performance Evaluation Heat & Mass
Balance Analysis Catalyst Remaining Life Determination Catalyst Deactivation Assessment Catalyst Performance
Characterization Refining & Gas Processing & Petrochemical Industries Catalysts / Process Technology - Hydrogen Catalysts /
Process Technology – Ammonia Catalyst Process Technology - Methanol Catalysts / process Technology – Petrochemicals
Specializing in the Development & Commercialization of New Technology in the Refining & Petrochemical Industries
Web Site: www.GBHEnterprises.com
(5)
Was a solvent used? If so, what was its purpose? Dilution,
separation, heat absorption, reaction 'kinetics, or safety?
Chemist:
In the pure state all these glycols are solids; NPG melts at 60°C and
DCNPG at 75°C. Both are soluble in acetic acid, so I ran the reaction in an
acetic acid-water solution at ambient pressure at 80°C. This was most
convenient in the laboratory and the reaction went all right.
Engineer:
Why was the acetic acid-water solution used? Is it essential for the
reaction?
Chemist:
I needed to dissolve the solids in something, since it is inconvenient to
blow chlorine through a beaker of solids. I had acetic acid on the lab
bench, and it was used as a solvent by other researchers working with
similar compounds.
Engineer:
Can the reaction be run without a solvent?
Chemist:
I think we need an acid solvent. In fact, the solution needs to be dilute. In
one run using concentrated acid, solids precipitated and fouled up the
reactor.
Engineer:
What would happen if I melted NPG and bubbled Cl2 through the liquid?
Chemist:
It might work, but I prefer the acetic acid.
Engineer:
What would happen if I ran my reaction under pressure?
Chemist:
I don't know because I ran my reactions either under vacuum or at
atmospheric pressure.

Refinery Process Stream Purification Refinery Process Catalysts Troubleshooting Refinery Process Catalyst Start-Up / Shutdown
Activation Reduction In-situ Ex-situ Sulfiding Specializing in Refinery Process Catalyst Performance Evaluation Heat & Mass
Balance Analysis Catalyst Remaining Life Determination Catalyst Deactivation Assessment Catalyst Performance
Characterization Refining & Gas Processing & Petrochemical Industries Catalysts / Process Technology - Hydrogen Catalysts /
Process Technology – Ammonia Catalyst Process Technology - Methanol Catalysts / process Technology – Petrochemicals
Specializing in the Development & Commercialization of New Technology in the Refining & Petrochemical Industries
Web Site: www.GBHEnterprises.com
(6)

What was the quality of the reactants used? Has a run been tried
with industrial quality feed stock? What reactions would occur with
common impurities? Were there any residues or was the product
unusually coloured?

Chemist:
There was a tar-like residue occasionally. But, I was careful to select high
purity reagent grade chemicals to avoid this
Engineer:
Here is a list of materials that might appear in the reactants under process
conditions. What would happen to these? Air? Iron? Closely related
chemicals found in impure feed stock?
Chemist:
Oxygen would have no effect if present at, say, less than l per cent.
Nitrogen have no effect at all. Iron would cause a very bad colour and
should be kept out.
The only close relative to the main reactant that might be in cheaper feed
stock is

and it would be chlorinated just like NPG.
(7)

What yields were obtained of the product and main byproducts?
How many compounds have been identified in the product, by what
methods, and at what concentrations? How long was the reaction
run? What if the reaction was run for a longer or shorter period?
Chemist:
I got a 60 per cent yield of DCNPG and the remainder was mainly
MCNPG. From past experience I know that 4 to 6 hours is the best
run time. I ran one sample through a gas liquid chromatograph and
found NPG, acetic acid, H20, Cl2, HCl, MCNPG, DCNPG,TCNPG,
four unknowns, plus some tars. The lowest concentration
detectable was 500 ppm.

Refinery Process Stream Purification Refinery Process Catalysts Troubleshooting Refinery Process Catalyst Start-Up / Shutdown
Activation Reduction In-situ Ex-situ Sulfiding Specializing in Refinery Process Catalyst Performance Evaluation Heat & Mass
Balance Analysis Catalyst Remaining Life Determination Catalyst Deactivation Assessment Catalyst Performance
Characterization Refining & Gas Processing & Petrochemical Industries Catalysts / Process Technology - Hydrogen Catalysts /
Process Technology – Ammonia Catalyst Process Technology - Methanol Catalysts / process Technology – Petrochemicals
Specializing in the Development & Commercialization of New Technology in the Refining & Petrochemical Industries
Web Site: www.GBHEnterprises.com
Engineer:
Could you detect lower concentrations, say, l ppm or less, by mass
spectroscopy, infrared analysis, ultraviolet analysis, neutron
activation, or nuclear-magnetic-resonance methods? What about
materials not detectable by gas-liquid chromatography, such as
Fe2++, 02, or very high molecular weight residue? If I shift to a
continuous recycle operation, trace materials could build up to high
concentrations. What would happen if I took some of your reaction
products and recycled them into the feed of a new run?
Chemist:
The MCNPG would react to the desired product, and not much
would happen to TCNPG, except it might form some residue. I will
try a batch and see what happens.
(8)

What are the physical, chemical, safety, and toxic properties of all
the materials involved, including intermediate species that may
occur during reaction?
Chemist:
HCl and Cl2 are dangerous gases, and H2O-HCl mixtures can be
quite corrosive. NPG and DCNPG in dust or powder form would
irritate the lungs. I don't know how toxic the other compounds are.
None are explosive or burn readily.
Engineer:
We will need to know the melting points, boiling points, solubilities
in a variety of solvents, densities, vapor pressure, and so forth of all
compounds, including trace materials. This is critical for
engineering design. What color is the desired product?
Chemist:
It could be white. The least bit of iron colors it brown, and if the
reactors run too long the product has little black particles in it.

(9)

Describe in some detail the laboratory procedures used during
reaction and product purification.

Refinery Process Stream Purification Refinery Process Catalysts Troubleshooting Refinery Process Catalyst Start-Up / Shutdown
Activation Reduction In-situ Ex-situ Sulfiding Specializing in Refinery Process Catalyst Performance Evaluation Heat & Mass
Balance Analysis Catalyst Remaining Life Determination Catalyst Deactivation Assessment Catalyst Performance
Characterization Refining & Gas Processing & Petrochemical Industries Catalysts / Process Technology - Hydrogen Catalysts /
Process Technology – Ammonia Catalyst Process Technology - Methanol Catalysts / process Technology – Petrochemicals
Specializing in the Development & Commercialization of New Technology in the Refining & Petrochemical Industries
Web Site: www.GBHEnterprises.com
Chemist:
The acetic acid and water are placed in the reactor (shown in
Figure!14) and the mixture is heated to about 80°C. The NPG is
dumped in and mixed until dissolved. Chlorine gas is bubbled in
just under the stirrer. A reflux condenser returns the water boiled off
to the reactor and lets the hydrogen chloride and excess chlorine
pass out. After about 4 hours I stop the reaction by cooling the flask
in an ice bath.
The organic phase separates out and solidifies. The aqueous
phase is decanted off into the sewer, and the organic phase is
washed with water. Then the organic phase is dissolved in hot
acetic acid and water, and is recrystallized out by cooling. The solid
is washed in ethanol, dried, and ground.

Engineer:
Why recrystallize in acetic acid and why use the ethanol wash? How much
heat is given off? Do you need to use the steam jacket all the time? Would
it be dangerous to bubble in the chlorine gas too fast? What would happen
if liquid chlorine were dumped in with the reactants?
Refinery Process Stream Purification Refinery Process Catalysts Troubleshooting Refinery Process Catalyst Start-Up / Shutdown
Activation Reduction In-situ Ex-situ Sulfiding Specializing in Refinery Process Catalyst Performance Evaluation Heat & Mass
Balance Analysis Catalyst Remaining Life Determination Catalyst Deactivation Assessment Catalyst Performance
Characterization Refining & Gas Processing & Petrochemical Industries Catalysts / Process Technology - Hydrogen Catalysts /
Process Technology – Ammonia Catalyst Process Technology - Methanol Catalysts / process Technology – Petrochemicals
Specializing in the Development & Commercialization of New Technology in the Refining & Petrochemical Industries
Web Site: www.GBHEnterprises.com
Chemist:
The acetic acid recrystallization works, and the ethanol was handy in the
lab. Keep the chlorine concentrations low. Also, don't keep DCNPG near
water too long since it hydrolyzes.
Engineer:
Could you easily make a run without the acetic acid?
Chemist:
To run without the acetic acid solvent would probably ruin my reactor. I
have grown to like the acetic acid, and anyway it possibly might help
reduce tar formation. If you don't allow acetic acid, how can I recrystallize
the product? What are you going to do, distil the product? Sublime it?
Crystallize it from its melt? These are all difficult to do in my
lab
(10)

Do you know of any other reaction paths to the products? Can the
overreacted material be reacted back?

Engineer:
I would really like to see if there is some useful reaction in which I can use
the HCl molecules formed. If not, we have as much waste HCl to dispose
of as we have useful product formed.

DEBRIEFING SESSION
After the questions are answered, a debriefing session is essential in
which the engineer outlines` the line of attack proposed to commercialize
the reaction path. This often reveals misinterpretations and nearly always
solicits further information from the chemist on topics not mentioned
during the question and answer session. The chemist should be brought in
for consultation during all phases of process development. A stray idea
here and there can do wonders.
Engineer:
I have looked over the questionnaire and am now considering several
alternatives. If I duplicate your lab procedure at 10,000 pounds per day
production, I would have a mess handling all the dirty acetic acid,
hydrogen chloride, excess chlorine fumes, and dirty ethanol. Quite a bit of
Refinery Process Stream Purification Refinery Process Catalysts Troubleshooting Refinery Process Catalyst Start-Up / Shutdown
Activation Reduction In-situ Ex-situ Sulfiding Specializing in Refinery Process Catalyst Performance Evaluation Heat & Mass
Balance Analysis Catalyst Remaining Life Determination Catalyst Deactivation Assessment Catalyst Performance
Characterization Refining & Gas Processing & Petrochemical Industries Catalysts / Process Technology - Hydrogen Catalysts /
Process Technology – Ammonia Catalyst Process Technology - Methanol Catalysts / process Technology – Petrochemicals
Specializing in the Development & Commercialization of New Technology in the Refining & Petrochemical Industries
Web Site: www.GBHEnterprises.com
heating and cooling would also be necessary. And handling the large
batches of materials might be pretty costly.
I would like to eliminate unessential solvents, to deal with pure materials.
And, I prefer processing using continuous flow, separating, and recycling
incompletely reacted materials. For this reason, it is essential that I have
reaction data for chlorine with both liquid and powder NPG, MCNPG,
DCNPG, and TCNPG. Let's suppose that these reactions go all right. If
they don't, we can come back to the solvent later.
Now when materials come out of the reactor, they will be NPG, MCNPG,
DCNPG, and TCNPG, and perhaps I will run the reactor at conditions that
give only a small yield of DCNPG and therefore even less TCNPG and
higher residues. I would like to split off the NPG and MCNPG so that they
can be recycled to the reactor, and the TCNPG and higher residues so
that they can be disposed of.Somehow the Cl2 and HCl have to be
separated to recycle the Cl2. What can be done with the HCl? Could we
use that anywhere else in the company?
Can you think of five or six different ways that the NPG-MCNPG mixture
could be removed from the NPG-MCNPG-DCNPG-TCNPG-residue
mixture, and then the DCNPG from the remaining DCNPG-TCNPGresidue mixture? Maybe the TCNPG-residue mixture should be removed
first?
Should the pure chlorine reactant be too harsh, perhaps nitrogen could be
used as a diluent, since it should be inert. Maybe the HCl byproduct could
be the diluent? It would be nice if the heat of reaction could be used to
melt the solids during recrystallisation. Can't use ordinary equipment since
iron is not allowed anywhere. Maybe I can run the reaction at such high
pressures that the chlorine is a liquid and the HCl is still a gas; then I
would let only the gas out of the reactor, thereby eliminating the HCl-Cl2
separation problem at the source.....

Refinery Process Stream Purification Refinery Process Catalysts Troubleshooting Refinery Process Catalyst Start-Up / Shutdown
Activation Reduction In-situ Ex-situ Sulfiding Specializing in Refinery Process Catalyst Performance Evaluation Heat & Mass
Balance Analysis Catalyst Remaining Life Determination Catalyst Deactivation Assessment Catalyst Performance
Characterization Refining & Gas Processing & Petrochemical Industries Catalysts / Process Technology - Hydrogen Catalysts /
Process Technology – Ammonia Catalyst Process Technology - Methanol Catalysts / process Technology – Petrochemicals
Specializing in the Development & Commercialization of New Technology in the Refining & Petrochemical Industries
Web Site: www.GBHEnterprises.com
Refinery Process Stream Purification Refinery Process Catalysts Troubleshooting Refinery Process Catalyst Start-Up / Shutdown
Activation Reduction In-situ Ex-situ Sulfiding Specializing in Refinery Process Catalyst Performance Evaluation Heat & Mass
Balance Analysis Catalyst Remaining Life Determination Catalyst Deactivation Assessment Catalyst Performance
Characterization Refining & Gas Processing & Petrochemical Industries Catalysts / Process Technology - Hydrogen Catalysts /
Process Technology – Ammonia Catalyst Process Technology - Methanol Catalysts / process Technology – Petrochemicals
Specializing in the Development & Commercialization of New Technology in the Refining & Petrochemical Industries
Web Site: www.GBHEnterprises.com
.

Refinery Process Stream Purification Refinery Process Catalysts Troubleshooting Refinery Process Catalyst Start-Up / Shutdown
Activation Reduction In-situ Ex-situ Sulfiding Specializing in Refinery Process Catalyst Performance Evaluation Heat & Mass
Balance Analysis Catalyst Remaining Life Determination Catalyst Deactivation Assessment Catalyst Performance
Characterization Refining & Gas Processing & Petrochemical Industries Catalysts / Process Technology - Hydrogen Catalysts /
Process Technology – Ammonia Catalyst Process Technology - Methanol Catalysts / process Technology – Petrochemicals
Specializing in the Development & Commercialization of New Technology in the Refining & Petrochemical Industries
Web Site: www.GBHEnterprises.com
Refinery Process Stream Purification Refinery Process Catalysts Troubleshooting Refinery Process Catalyst Start-Up / Shutdown
Activation Reduction In-situ Ex-situ Sulfiding Specializing in Refinery Process Catalyst Performance Evaluation Heat & Mass
Balance Analysis Catalyst Remaining Life Determination Catalyst Deactivation Assessment Catalyst Performance
Characterization Refining & Gas Processing & Petrochemical Industries Catalysts / Process Technology - Hydrogen Catalysts /
Process Technology – Ammonia Catalyst Process Technology - Methanol Catalysts / process Technology – Petrochemicals
Specializing in the Development & Commercialization of New Technology in the Refining & Petrochemical Industries
Web Site: www.GBHEnterprises.com
Refinery Process Stream Purification Refinery Process Catalysts Troubleshooting Refinery Process Catalyst Start-Up / Shutdown
Activation Reduction In-situ Ex-situ Sulfiding Specializing in Refinery Process Catalyst Performance Evaluation Heat & Mass
Balance Analysis Catalyst Remaining Life Determination Catalyst Deactivation Assessment Catalyst Performance
Characterization Refining & Gas Processing & Petrochemical Industries Catalysts / Process Technology - Hydrogen Catalysts /
Process Technology – Ammonia Catalyst Process Technology - Methanol Catalysts / process Technology – Petrochemicals
Specializing in the Development & Commercialization of New Technology in the Refining & Petrochemical Industries
Web Site: www.GBHEnterprises.com
*H2 is discharged more readily than HD at the cathode. The enrichment is
substantially greater than that corresponding to gas-liquid equilibrium because of
rate factors.
C.1.2 Mechanical Separation Processes

Refinery Process Stream Purification Refinery Process Catalysts Troubleshooting Refinery Process Catalyst Start-Up / Shutdown
Activation Reduction In-situ Ex-situ Sulfiding Specializing in Refinery Process Catalyst Performance Evaluation Heat & Mass
Balance Analysis Catalyst Remaining Life Determination Catalyst Deactivation Assessment Catalyst Performance
Characterization Refining & Gas Processing & Petrochemical Industries Catalysts / Process Technology - Hydrogen Catalysts /
Process Technology – Ammonia Catalyst Process Technology - Methanol Catalysts / process Technology – Petrochemicals
Specializing in the Development & Commercialization of New Technology in the Refining & Petrochemical Industries
Web Site: www.GBHEnterprises.com
Refinery Process Stream Purification Refinery Process Catalysts Troubleshooting Refinery Process Catalyst Start-Up / Shutdown
Activation Reduction In-situ Ex-situ Sulfiding Specializing in Refinery Process Catalyst Performance Evaluation Heat & Mass
Balance Analysis Catalyst Remaining Life Determination Catalyst Deactivation Assessment Catalyst Performance
Characterization Refining & Gas Processing & Petrochemical Industries Catalysts / Process Technology - Hydrogen Catalysts /
Process Technology – Ammonia Catalyst Process Technology - Methanol Catalysts / process Technology – Petrochemicals
Specializing in the Development & Commercialization of New Technology in the Refining & Petrochemical Industries
Web Site: www.GBHEnterprises.com
C.2

SEPARATION SYNTHESIS STRATEGY

C.2.1 Introduction
The objective here is to propose a framework for the generation of options for
resolving process mixtures into the desired components and to identify the role of
physical properties and heuristics in identification and evaluation of these
options.

Refinery Process Stream Purification Refinery Process Catalysts Troubleshooting Refinery Process Catalyst Start-Up / Shutdown
Activation Reduction In-situ Ex-situ Sulfiding Specializing in Refinery Process Catalyst Performance Evaluation Heat & Mass
Balance Analysis Catalyst Remaining Life Determination Catalyst Deactivation Assessment Catalyst Performance
Characterization Refining & Gas Processing & Petrochemical Industries Catalysts / Process Technology - Hydrogen Catalysts /
Process Technology – Ammonia Catalyst Process Technology - Methanol Catalysts / process Technology – Petrochemicals
Specializing in the Development & Commercialization of New Technology in the Refining & Petrochemical Industries
Web Site: www.GBHEnterprises.com
In order to keep the practical world in sight, a number of examples will be used.
These examples have been chosen to cover a wide range of possible options,
but they obviously are not exhaustive. No distinction is intended between batch
and continuous processing at this stage, even though three of the five examples
come from batch environments, the methodology is above such matters.
Example 1: BTX (benzene, toluene, xylene) ® B, T, X
2:

Reglone in EDB (ethylene dibromide) ®
Aqueous Reglone, EDB for re-use

3:

Dye stuff in water with salts and krud ®
Dry solid dye stuff, effluent liquors

4:

Isomer mixture of Chlornitrobenzenes ®
Specified isomer split

5:

Synthesis gas ® CO, H2

C.2.2

Generation of Separation Alternatives
The task of the separation process is to transform a defined mixture into a
set of product states. Any reasonably comprehensive generator of
separation alternatives should have strategies to deal with:
(a) Materials additional to those in the defined mixture.
(b) A hierarchy of transforming techniques.
(Note : 'hierarchy' does not, as will be seen, necessarily imply value of
judgements -rather some structured procedure)

C.2.2.1

Additional Materials

Example 2 has been chosen to illustrate an important class of problems wherein
the product stated contain material(s) which is (are) additional to those found in
the original mixture. We may call these "required additional materials".

Refinery Process Stream Purification Refinery Process Catalysts Troubleshooting Refinery Process Catalyst Start-Up / Shutdown
Activation Reduction In-situ Ex-situ Sulfiding Specializing in Refinery Process Catalyst Performance Evaluation Heat & Mass
Balance Analysis Catalyst Remaining Life Determination Catalyst Deactivation Assessment Catalyst Performance
Characterization Refining & Gas Processing & Petrochemical Industries Catalysts / Process Technology - Hydrogen Catalysts /
Process Technology – Ammonia Catalyst Process Technology - Methanol Catalysts / process Technology – Petrochemicals
Specializing in the Development & Commercialization of New Technology in the Refining & Petrochemical Industries
Web Site: www.GBHEnterprises.com
e.g. mixture: = ['Reglone', 'EDB')
products: = ['Reglone', 'EDB', 'water']
required additions: = mixture-products
(the set 'required additions' contains one entry, water)
Example 3 has been chosen to illustrate another important class of problem
wherein additional material(s) is (are) introduced to render the mixture separable.
In this case, the addition of common salt precipitates the dye stuff from solution.
Other examples in this category are azeotroping agents, additive crystallization
agents, materials to selectively form salts or separable derivatives. We may call
these 'functional additional materials'.
In general, the introduction of either type of additional material into the separation
process may be made at any stage. The examples 2 and 3 illustrate the ilemma.

Example 2:
The Reglone/EDB mixture to be separated is in fact already two-phase, a slurry
of
Reglone in EDB. Two options for separation present themselves:
(a) Filter, redissolve filter cake in water (either before or after removing residual
EDB).
(b) Add water to the two-phase mixture to dissolve up Reglone and then separate
the resulting two liquid phases.
In the absence of overriding proscriptions (e.g. a limit on EDB in the aqueous
product solution less than the solubility of EDB in that solution), it would clearly
be nonsensical to opt for the first alternative. If the combinational problem is no
embarrassment, then we can allow generation of such options which can be later
removed on evaluation. It might be better to prevent their generation in the first
place.

Refinery Process Stream Purification Refinery Process Catalysts Troubleshooting Refinery Process Catalyst Start-Up / Shutdown
Activation Reduction In-situ Ex-situ Sulfiding Specializing in Refinery Process Catalyst Performance Evaluation Heat & Mass
Balance Analysis Catalyst Remaining Life Determination Catalyst Deactivation Assessment Catalyst Performance
Characterization Refining & Gas Processing & Petrochemical Industries Catalysts / Process Technology - Hydrogen Catalysts /
Process Technology – Ammonia Catalyst Process Technology - Methanol Catalysts / process Technology – Petrochemicals
Specializing in the Development & Commercialization of New Technology in the Refining & Petrochemical Industries
Web Site: www.GBHEnterprises.com
Example 3:
The dye stuff will generally be partially soluble. Four options for separation
present themselves:
(1)

Add salt to 'salt out' more dye stuffs before filtration and drying.

(2)

Filter, add salt to the filtrates to precipitate more material, filter and dry
combined filtered materials.

(3)

Concentrate the mixture to precipitate more dye stuff before filtration and
drying.

(4)

Solvent extract dye stuff, evaporate and recycle solvent.

The first two options are physiochemically identical (without getting into fine
detail) and clearly the second option would introduce unnecessary complexity.
The third and fourth options are not so easy to dismiss on thermodynamic
grounds. "Received wisdom" would dismiss them for other very good reasons.
Option!(4) would be dismissed since plant designed to handle aqueous acidic
solutions is not compatible with organic solvent processing. Drying from solvents
(although thermally more attractive than from water) requires contained plant.
Selective extraction of dye stuff from the byproduct organics is likely to be
adversely affected. Option!(3) would involve evaporative, ultrafiltration/membrane
processes, which whilst theoretically attractive, generate grave operational
difficulties.
These discussions illustrate the need for some strategy in the selection of
processing steps if the combinational explosion is to be contained.

C.2.2.2

Hierarchy of Transforming Techniques

Separation/transformation operations fall naturally into three categories:
(a)

Separations/transformations achieved by simple mechanical or thermal
methods.

(b)

Separations/transformations involving phase distribution.

(c)

Separations/transformations involving chemical changes.

Refinery Process Stream Purification Refinery Process Catalysts Troubleshooting Refinery Process Catalyst Start-Up / Shutdown
Activation Reduction In-situ Ex-situ Sulfiding Specializing in Refinery Process Catalyst Performance Evaluation Heat & Mass
Balance Analysis Catalyst Remaining Life Determination Catalyst Deactivation Assessment Catalyst Performance
Characterization Refining & Gas Processing & Petrochemical Industries Catalysts / Process Technology - Hydrogen Catalysts /
Process Technology – Ammonia Catalyst Process Technology - Methanol Catalysts / process Technology – Petrochemicals
Specializing in the Development & Commercialization of New Technology in the Refining & Petrochemical Industries
Web Site: www.GBHEnterprises.com
Into the first category fall filtration, liquid phase separation, milling and drying.
The last category includes derivatization and adjustment of pH to liberate salts or
free acids/bases. The second category includes distillation, liquid extraction,
absorption, adsorption, leaching, salting out etc.
The distinction is useful and provides a crude selection hierarchy:
(1)

If our physical property assessments tell us that the mixture is resolvable
by mechanical or thermal methods, the way is clear to complete the
separation process.

(2)

Some phase distribution processes can generate the required product
states directly (e.g. distillation) but the majority of such operations will, in
general, require subsequent operations to complete the resolution (e.g.
liquid extraction, absorptive processes, crystallization).
These subsequent processes will either be from this group (e.g.
distillation) from group (1) (e.g. filter off and dry crystals).

(3)

Chemical derivatization is usually introduced to make systems separable
by methods in either group (2) or (1) (e.g. agents for additive
crystallization, formation of insoluble salts or free acids/bases)

It is probable that little flexibility is lost by examining separability according to the
first category and completing the process in the light of an affirmative response.
How this can be done will be discussed later. However, there is not a fixed
hierarchy for categories (b) and (c). The presence of aqueous media and
favorable pka values (q.v.) would strongly indicate adoption of category (c)
methods. Non-aqueous media and favorable pKa values might suggest a
combination of categories (b) and (c) by extraction with aqueous acid/alkali. Here
is the point to introduce physical properties into the algorithms for generation of
alternatives.

C.2.3

Use of Physical Property Data in the Generation of Alternative
Separation Strategies

Refinery Process Stream Purification Refinery Process Catalysts Troubleshooting Refinery Process Catalyst Start-Up / Shutdown
Activation Reduction In-situ Ex-situ Sulfiding Specializing in Refinery Process Catalyst Performance Evaluation Heat & Mass
Balance Analysis Catalyst Remaining Life Determination Catalyst Deactivation Assessment Catalyst Performance
Characterization Refining & Gas Processing & Petrochemical Industries Catalysts / Process Technology - Hydrogen Catalysts /
Process Technology – Ammonia Catalyst Process Technology - Methanol Catalysts / process Technology – Petrochemicals
Specializing in the Development & Commercialization of New Technology in the Refining & Petrochemical Industries
Web Site: www.GBHEnterprises.com
The areas of generation and evaluation are necessarily blurred. In
distillation, for example, very low temperatures and high pressures/high
temperatures and very low pressures would generally be contra-indicative
but in some systems unavoidable (e.g. air separation). A simple algorithm
which examined relative volatility and implied temperature/pressure
relationships could correctly identify distillation as the preferred
option for Example 1 (BTX separation) and most unlikely for Example 5
(Synthesis gas separation). But it is also likely that such an algorithm
would reject distillation as an option for air separation. Since the search for
universal algorithms is likely to prove fruitless, some user intervention to
relax the selection/rejection criteria will be necessary. In this spirit we can
assess how far it is reasonable to expect physical property information to
aid the generation process.
Phase equilibria may be represented thermodynamically in many ways,
the accuracy of the methods reflecting in general the quantity and quality
of measured data available. Predictive methods are becoming more
sophisticated however and as a consequence ab initio calculations more
feasible. The following discussion is confined to activity coefficient
models and semi-empirical data relating to condensed phases. Important
amongst these are the numerous equation of state representations which
deserve separate treatment and are required for high pressure
applications.

C.2.4

Vapor-Liquid Equilibria
Traditionally, short cut design methods (such as Fenske- UnderwoodGilliland) make the assumption of ideality expressed using either the
Raoult or Henry conventions with the activity coefficient terms set equal to
unity. Minimal information is needed to constrict vapor liquid equilibrium
data (VLE data), simply vapor pressures and molecular weights
of the constituents of the mixture.
However, even for non-polar subjects, the assumption of ideality is
inadequate (e.g. aliphatic hydrocarbon mixtures are nearly ideal but
aliphatic/aromatic hydrocarbon mixtures are not). For non-polar mixtures
(with the possible exception of mixtures containing fluorocarbons) the
quality of prediction can be improved by invoking regular solution theory
(Scatchard-Hildebrand).

Refinery Process Stream Purification Refinery Process Catalysts Troubleshooting Refinery Process Catalyst Start-Up / Shutdown
Activation Reduction In-situ Ex-situ Sulfiding Specializing in Refinery Process Catalyst Performance Evaluation Heat & Mass
Balance Analysis Catalyst Remaining Life Determination Catalyst Deactivation Assessment Catalyst Performance
Characterization Refining & Gas Processing & Petrochemical Industries Catalysts / Process Technology - Hydrogen Catalysts /
Process Technology – Ammonia Catalyst Process Technology - Methanol Catalysts / process Technology – Petrochemicals
Specializing in the Development & Commercialization of New Technology in the Refining & Petrochemical Industries
Web Site: www.GBHEnterprises.com
This requires one extra parameter for each species, viz liquid density,
from which is calculated the 'solubility parameter':

Refinery Process Stream Purification Refinery Process Catalysts Troubleshooting Refinery Process Catalyst Start-Up / Shutdown
Activation Reduction In-situ Ex-situ Sulfiding Specializing in Refinery Process Catalyst Performance Evaluation Heat & Mass
Balance Analysis Catalyst Remaining Life Determination Catalyst Deactivation Assessment Catalyst Performance
Characterization Refining & Gas Processing & Petrochemical Industries Catalysts / Process Technology - Hydrogen Catalysts /
Process Technology – Ammonia Catalyst Process Technology - Methanol Catalysts / process Technology – Petrochemicals
Specializing in the Development & Commercialization of New Technology in the Refining & Petrochemical Industries
Web Site: www.GBHEnterprises.com
Refinery Process Stream Purification Refinery Process Catalysts Troubleshooting Refinery Process Catalyst Start-Up / Shutdown
Activation Reduction In-situ Ex-situ Sulfiding Specializing in Refinery Process Catalyst Performance Evaluation Heat & Mass
Balance Analysis Catalyst Remaining Life Determination Catalyst Deactivation Assessment Catalyst Performance
Characterization Refining & Gas Processing & Petrochemical Industries Catalysts / Process Technology - Hydrogen Catalysts /
Process Technology – Ammonia Catalyst Process Technology - Methanol Catalysts / process Technology – Petrochemicals
Specializing in the Development & Commercialization of New Technology in the Refining & Petrochemical Industries
Web Site: www.GBHEnterprises.com

Chemical Process Conception

  • 1.
    GBH Enterprises, Ltd. ProcessEngineering Guide: GBHE-PEG-RXT-801 Chemical Process Conception Information contained in this publication or as otherwise supplied to Users is believed to be accurate and correct at time of going to press, and is given in good faith, but it is for the User to satisfy itself of the suitability of the information for its own particular purpose. GBHE gives no warranty as to the fitness of this information for any particular purpose and any implied warranty or condition (statutory or otherwise) is excluded except to the extent that exclusion is prevented by law. GBHE will accept no liability resulting from reliance on this information. Freedom under Patent, Copyright and Designs cannot be assumed. Refinery Process Stream Purification Refinery Process Catalysts Troubleshooting Refinery Process Catalyst Start-Up / Shutdown Activation Reduction In-situ Ex-situ Sulfiding Specializing in Refinery Process Catalyst Performance Evaluation Heat & Mass Balance Analysis Catalyst Remaining Life Determination Catalyst Deactivation Assessment Catalyst Performance Characterization Refining & Gas Processing & Petrochemical Industries Catalysts / Process Technology - Hydrogen Catalysts / Process Technology – Ammonia Catalyst Process Technology - Methanol Catalysts / process Technology – Petrochemicals Specializing in the Development & Commercialization of New Technology in the Refining & Petrochemical Industries Web Site: www.GBHEnterprises.com
  • 2.
    Process Engineering Guide: ChemicalProcess Conception Table of Contents 0 INTRODUCTION / PURPOSE 3 1 SCOPE 3 2 FIELD OF APPLICATION 5 3 DEFINITIONS 5 4 PRODUCT STRATEGY 5 4.1 General 4.2 Market for the Product 4.3 Production Costs 4.4 Process Technology 5 6 7 7 5 PRELIMINARY PROCESS INFORMATION 8 6 REACTION AND REACTOR 9 6.1 Batch vs Continuous 6.2 Multiple Reactors 9 9 RECYCLE 11 7.1 Recycle Structure 7.2 Classification of Chemicals 7.3 Effect of Recycle 7.4 Preliminary Estimation of Conversion 11 11 12 12 REACTOR TYPE AND PERFORMANCE 13 8.1 Conversion-Yield Effects 8.2 Heat Effects 8.3 Equilibrium Effects 8.4 Kinetic Effects 8.5 More Help with Reactor Design 13 16 18 20 22 7 8 Refinery Process Stream Purification Refinery Process Catalysts Troubleshooting Refinery Process Catalyst Start-Up / Shutdown Activation Reduction In-situ Ex-situ Sulfiding Specializing in Refinery Process Catalyst Performance Evaluation Heat & Mass Balance Analysis Catalyst Remaining Life Determination Catalyst Deactivation Assessment Catalyst Performance Characterization Refining & Gas Processing & Petrochemical Industries Catalysts / Process Technology - Hydrogen Catalysts / Process Technology – Ammonia Catalyst Process Technology - Methanol Catalysts / process Technology – Petrochemicals Specializing in the Development & Commercialization of New Technology in the Refining & Petrochemical Industries Web Site: www.GBHEnterprises.com
  • 3.
    9 SEPARATION SYSTEM 22 10 REVIEW 24 11 BIBLIOGRAPHY ANDREFERENCES 24 11.1 Preliminary Flow sheeting 11.2 Physical Properties 11.3 Reactors 11.4 Separation 11.5 Costing 24 24 25 25 25 DOCUMENTS REFERRED TO IN THIS PROCESS ENGINEERING GUIDE 50 APPENDICES A BASIC REACTOR SYSTEM DESIGN 26 B DISCUSSION BETWEEN A CHEMIST AND A CHEMICAL ENGINEER 35 BASIC SEPARATION STRATEGY 40 C TABLES 1 CLASSIFICATION OF MATERIALS 11 FIGURES 1 FLOWCHART OF THE ITERATIVE PROCEDURE REQUIRED IN PROCESS AND PRODUCT SELECTION AND DEVELOPMENT 4 Refinery Process Stream Purification Refinery Process Catalysts Troubleshooting Refinery Process Catalyst Start-Up / Shutdown Activation Reduction In-situ Ex-situ Sulfiding Specializing in Refinery Process Catalyst Performance Evaluation Heat & Mass Balance Analysis Catalyst Remaining Life Determination Catalyst Deactivation Assessment Catalyst Performance Characterization Refining & Gas Processing & Petrochemical Industries Catalysts / Process Technology - Hydrogen Catalysts / Process Technology – Ammonia Catalyst Process Technology - Methanol Catalysts / process Technology – Petrochemicals Specializing in the Development & Commercialization of New Technology in the Refining & Petrochemical Industries Web Site: www.GBHEnterprises.com
  • 4.
    2 INTERACTION OF THETHREE MAJOR ELEMENTS IN DEVELOPING A SUCCESSFUL PROCESS 6 3 PROCESS INPUT - OUTPUT STRUCTURE 8 4 DECISION TREE - BATCH vs CONTINUOUS PROCESS 10 5 SIMPLIFIED RECYCLE STRUCTURE 11 6 BATCH REACTOR LOGIC 14 7 CONTINUOUS REACTOR LOGIC 15 8 HEAT EFFECTS 17 9 EQUILIBRIUM EFFECTS 19 10 KINETIC EFFECTS 21 11 DIAGRAMMATIC REPRESENTATION OF SEPARATION PROCESSES BASED ON SIZE 23 EFFECT OF TEMPERATURE ON EQUILIBRIUM CONCENTRATIONS 27 13 CONVERSION COST OPTIMISATION 34 14 LABORATORY REACTOR SET-UP 38 12 Refinery Process Stream Purification Refinery Process Catalysts Troubleshooting Refinery Process Catalyst Start-Up / Shutdown Activation Reduction In-situ Ex-situ Sulfiding Specializing in Refinery Process Catalyst Performance Evaluation Heat & Mass Balance Analysis Catalyst Remaining Life Determination Catalyst Deactivation Assessment Catalyst Performance Characterization Refining & Gas Processing & Petrochemical Industries Catalysts / Process Technology - Hydrogen Catalysts / Process Technology – Ammonia Catalyst Process Technology - Methanol Catalysts / process Technology – Petrochemicals Specializing in the Development & Commercialization of New Technology in the Refining & Petrochemical Industries Web Site: www.GBHEnterprises.com
  • 5.
    0 INTRODUCTIONS / PURPOSE Chemicalprocess conception is the initial stage of the transformation of a relevant business opportunity into its realization - devising a process to make saleable products. The starting point can range from a gleam in the eye to a well defined problem, but always involved is the exploitation of technology to make products via a combination of chemical or biochemical transformations, physical transformations and separation processes carried out in appropriate hardware. Unfortunately, while the scientific principles are fixed and immutable, there is an infinite range of process steps and conditions that can be devised for each proposed plant. The material in this guide draws from the evolutionary procedure developed by Prof. JM Douglas (University of Massachusetts). An iterative framework of this kind is essential for rapid screening of potential processes in order to identify quickly those suitable for more detailed investigation. GBHE has an impressive record of innovation but it can be improved still further. The information required to put together a process to make small quantities of a novel product, or radically improve at large scale manufacture of a well established product, is best obtained by the collaboration of a number of disciplines. The different language, style, culture and motivations of the individuals in these disciplines are powerful if combined in balanced cooperation and the cooperation is then more likely to maximize the economic potential of the opportunity. 1 SCOPE This Guide, one of the series on Reactor Engineering, is intended to help the multidisciplinary teams at the Research, Development, Engineering and Marketing interfaces to devise, evaluate and select appropriate process technologies for a product at any stage in its life cycle. This Guide does not deal with the selection of raw materials. Refinery Process Stream Purification Refinery Process Catalysts Troubleshooting Refinery Process Catalyst Start-Up / Shutdown Activation Reduction In-situ Ex-situ Sulfiding Specializing in Refinery Process Catalyst Performance Evaluation Heat & Mass Balance Analysis Catalyst Remaining Life Determination Catalyst Deactivation Assessment Catalyst Performance Characterization Refining & Gas Processing & Petrochemical Industries Catalysts / Process Technology - Hydrogen Catalysts / Process Technology – Ammonia Catalyst Process Technology - Methanol Catalysts / process Technology – Petrochemicals Specializing in the Development & Commercialization of New Technology in the Refining & Petrochemical Industries Web Site: www.GBHEnterprises.com
  • 6.
    A framework isoutlined that acknowledges the iterative nature of the design procedure and draws strength and unity from the knowledge, experience and creative spark of the different disciplines that make an input. An attempt is made here to list the points of information required at each stage and briefly indicate their relevance. The list is not exhaustive, comprehensive or infallible, but a guide to rational evolution and a stimulant to lateral thinking. The order of the stages may differ from the preference of the reader. This illustrates not so much the idiosyncrasies of the authors (which are admitted) but the highly iterative nature of the design procedure. At each stage it is likely that several process options will exist for further evaluation or later consideration. Figure1 shows this iterative procedure in the form of a simple flowchart. Note: No case studies are included. There are many alternative methods for using this guide. Each team involved in process conception will probably find that it helps them in different ways to develop their own insights. Refinery Process Stream Purification Refinery Process Catalysts Troubleshooting Refinery Process Catalyst Start-Up / Shutdown Activation Reduction In-situ Ex-situ Sulfiding Specializing in Refinery Process Catalyst Performance Evaluation Heat & Mass Balance Analysis Catalyst Remaining Life Determination Catalyst Deactivation Assessment Catalyst Performance Characterization Refining & Gas Processing & Petrochemical Industries Catalysts / Process Technology - Hydrogen Catalysts / Process Technology – Ammonia Catalyst Process Technology - Methanol Catalysts / process Technology – Petrochemicals Specializing in the Development & Commercialization of New Technology in the Refining & Petrochemical Industries Web Site: www.GBHEnterprises.com
  • 7.
    *Note: An attractive processsatisfies the criteria set for safety, environment, control, economics, etc. Refinery Process Stream Purification Refinery Process Catalysts Troubleshooting Refinery Process Catalyst Start-Up / Shutdown Activation Reduction In-situ Ex-situ Sulfiding Specializing in Refinery Process Catalyst Performance Evaluation Heat & Mass Balance Analysis Catalyst Remaining Life Determination Catalyst Deactivation Assessment Catalyst Performance Characterization Refining & Gas Processing & Petrochemical Industries Catalysts / Process Technology - Hydrogen Catalysts / Process Technology – Ammonia Catalyst Process Technology - Methanol Catalysts / process Technology – Petrochemicals Specializing in the Development & Commercialization of New Technology in the Refining & Petrochemical Industries Web Site: www.GBHEnterprises.com
  • 8.
    2 FIELD OF APPLICATION ThisProcess Engineering Guide is applicable to the GBHE process engineering and to development scientists working in conjunction with GBHE process engineering. 3 DEFINITIONS For the purposes of this Process Engineering Guide, the following definitions apply: Conversion - Moles of a key reactant which have reacted divided by the total number of moles of the key reactant fed to the reactor. Yield - Moles of a key reactant transformed into a desired product divided by the total number of moles of the key reactant which have reacted. Operational Yield - Moles of a key reactant transformed into a desired product divided by the total number of moles of the key reactant fed to the reactor. Selectivity - Moles of a key reactant transformed into a desired product divided by the number of moles of a key reactant transformed into unwanted products. CSTR - A commonly used abbreviation for a Continuous Stirred Tank Reactor. With the exception of proper nouns, terms with initial capital letters which appear in this document and are not defined above are defined in the Glossary of Engineering Terms. 4 PRODUCT STRATEGY 4.1 General New process development should fit into the business strategy for the product. This requires a shared understanding of the business and technical factors. GBHE can provide guidance on developing this understanding which enables the different business interests - R&T, Marketing, Production, and Engineering - to review the major areas likely to influence the overall scope of a prospective investment. Refinery Process Stream Purification Refinery Process Catalysts Troubleshooting Refinery Process Catalyst Start-Up / Shutdown Activation Reduction In-situ Ex-situ Sulfiding Specializing in Refinery Process Catalyst Performance Evaluation Heat & Mass Balance Analysis Catalyst Remaining Life Determination Catalyst Deactivation Assessment Catalyst Performance Characterization Refining & Gas Processing & Petrochemical Industries Catalysts / Process Technology - Hydrogen Catalysts / Process Technology – Ammonia Catalyst Process Technology - Methanol Catalysts / process Technology – Petrochemicals Specializing in the Development & Commercialization of New Technology in the Refining & Petrochemical Industries Web Site: www.GBHEnterprises.com
  • 9.
    These areas aresummarized under the headings: (a) (b) (c) (d) Commercial. Technology. Manufacture. Strategic fit. The method then develops a series of questions that help the team to increase their understanding, share information and identify areas of concern. Profitable commercial exploitation of a product requires simultaneous success in each of the areas shown in Figure 2. They interact considerably and a balance needs to be struck. Concentrating too much resource into one area may strike the wrong balance, for example, by devising a technically supremely elegant process to make a product that nobody wants to buy. The information needs to drop out of the three areas and hold good for products at any stage of their life cycle. Refinery Process Stream Purification Refinery Process Catalysts Troubleshooting Refinery Process Catalyst Start-Up / Shutdown Activation Reduction In-situ Ex-situ Sulfiding Specializing in Refinery Process Catalyst Performance Evaluation Heat & Mass Balance Analysis Catalyst Remaining Life Determination Catalyst Deactivation Assessment Catalyst Performance Characterization Refining & Gas Processing & Petrochemical Industries Catalysts / Process Technology - Hydrogen Catalysts / Process Technology – Ammonia Catalyst Process Technology - Methanol Catalysts / process Technology – Petrochemicals Specializing in the Development & Commercialization of New Technology in the Refining & Petrochemical Industries Web Site: www.GBHEnterprises.com
  • 10.
    4.2 Market for theProduct There is a need for customers who want to buy the product and they usually determine the product properties. "Market pull" stems from customers' product needs, identifying areas of opportunity that can frequently be profitably explored in conjunction with customers. Answers to the following questions should be sought. (a) (b) (c) (d) (e) Who are the customers? What are the major product properties that will determine price and attractiveness? What form of interaction with customers will take place? Who are the major competitors? What are the competing products? What are their strengths and weaknesses? How do these compare with the properties of your product within the market segment of interest: (1) now; (2) in 5 years; (3) in 10 years. (f) (g) How is the market influenced by different product properties that can be achieved by varying process conditions? Price/volume/product property relationship? 4.3 Production Costs An attractive selling price is needed with the cost of manufacture some appropriate fraction of this. Novel products will tend to trade on their unique properties, at as high a price as they can command. At the other end of the spectrum, "me too products" entering an expanding market will need to achieve lower unit production costs, better than or similar to competing products. To compete in a static or slowly growing market a new process for a "me too product" should exhibit ”knock-out technology” such that the new total production cost is less than (or equal to) the old plant marginal. Refinery Process Stream Purification Refinery Process Catalysts Troubleshooting Refinery Process Catalyst Start-Up / Shutdown Activation Reduction In-situ Ex-situ Sulfiding Specializing in Refinery Process Catalyst Performance Evaluation Heat & Mass Balance Analysis Catalyst Remaining Life Determination Catalyst Deactivation Assessment Catalyst Performance Characterization Refining & Gas Processing & Petrochemical Industries Catalysts / Process Technology - Hydrogen Catalysts / Process Technology – Ammonia Catalyst Process Technology - Methanol Catalysts / process Technology – Petrochemicals Specializing in the Development & Commercialization of New Technology in the Refining & Petrochemical Industries Web Site: www.GBHEnterprises.com
  • 11.
    The process conceptionframework will help to define the contribution to production costs deriving from: (A) Process configuration. (b) Type of plant and operational pattern. (c) Scale. (d) Capital (including tax, grants, etc.). (e) Raw material requirements and costs. (f) Utility sources. (g) Manning. (h) Research and development. (j) Selling and distribution expenses. At the process conception stage, the location of a production plant may not be known. The integration with existing site facilities, e.g. cooling towers, boiler house, waste treatment plants, may therefore have to be deferred. 4.4 Process Technology Process technology includes the translation of scientific information and raw product ideas into valid ideas and then into hardware that will permit economic manufacture. "Technology push" is all about novel products or materials, novel process routes, novel raw materials or novel hardware introduced into chemical manufacture to make significant improvements. The technique implied by this Process Engineering Guide can help in those market entry studies where a choice of process routes are required to bypass patents, reduce production costs, use different raw materials, etc. When the opportunity identified is for a material with particular properties, then in order to identify candidate products a sequence of manual and database searches of open, patent and trade literature and property banks is followed by laboratory research. Refinery Process Stream Purification Refinery Process Catalysts Troubleshooting Refinery Process Catalyst Start-Up / Shutdown Activation Reduction In-situ Ex-situ Sulfiding Specializing in Refinery Process Catalyst Performance Evaluation Heat & Mass Balance Analysis Catalyst Remaining Life Determination Catalyst Deactivation Assessment Catalyst Performance Characterization Refining & Gas Processing & Petrochemical Industries Catalysts / Process Technology - Hydrogen Catalysts / Process Technology – Ammonia Catalyst Process Technology - Methanol Catalysts / process Technology – Petrochemicals Specializing in the Development & Commercialization of New Technology in the Refining & Petrochemical Industries Web Site: www.GBHEnterprises.com
  • 12.
    5 PRELIMINARY PROCESS INFORMATION Onthe basis of the "GBHE", the "input-output structure" of the process (Prof. JM Douglas) should be set down. See Figure 3. Information is required on each of the following areas: (a) What are the likely stoichiometric equations and reaction steps? (b) These will include not only the relationships between feed and desired products, but also side reactions. Reaction synthesis software will clearly play a part in future. Fundamental chemical judgment will be needed to sift the probable from the Possible . What is the availability, specification and cost of raw materials? How much do raw materials contribute to the production cost? From commercial information in Clause 4, decide whether to proceed. (c) Are the reactions feasible to a useful extent? Obtain confirmation, preferably by thermodynamic calculations of equilibria, that the reactions might go. (d) What is the minimum energy input cost? Determine by thermodynamic calculation the heat of reaction data. If the process is endothermic, this will represent the minimum energy requirement. Calculate the contribution of the energy cost to the production cost. Judge whether to proceed. Refinery Process Stream Purification Refinery Process Catalysts Troubleshooting Refinery Process Catalyst Start-Up / Shutdown Activation Reduction In-situ Ex-situ Sulfiding Specializing in Refinery Process Catalyst Performance Evaluation Heat & Mass Balance Analysis Catalyst Remaining Life Determination Catalyst Deactivation Assessment Catalyst Performance Characterization Refining & Gas Processing & Petrochemical Industries Catalysts / Process Technology - Hydrogen Catalysts / Process Technology – Ammonia Catalyst Process Technology - Methanol Catalysts / process Technology – Petrochemicals Specializing in the Development & Commercialization of New Technology in the Refining & Petrochemical Industries Web Site: www.GBHEnterprises.com
  • 13.
    (e) Knowing the physicalstate of compounds involved in the process, are there likely to be awkward materials handling or fouling problems? (f) Are there likely to be any problems in choosing materials of construction? (g) Are there likely to be any toxicological problems, safety hazards or effluent disposal problems associated with any of the raw materials, products, byproducts or intermediates used within the process? (h) Does the process look technically feasible? Are there any novel/unusual processing steps or equipment that need additional development, and hence development lead time? (j) Process complexity (e.g. number of processing stages) should help to rank competing processes. Analogy with existing processes could give a first estimate of capital cost. Using this data to estimate a preliminary total production cost, either manually or preferably using the structured approach of "COMPARE", the dominant contributions to this cost should now be clear. If this looks potentially acceptable and the process technology is capable of being developed, proceed through the iteration. Most processes can be initially ranked at this stage. 6 REACTION AND REACTOR 6.1 Batch vs Continuous The next objective is to decide whether the process will be batch or continuous. The decision tree (see Figure!4) will help in making a decision when information has been obtained in the following further areas: (a) What is the overall reaction rate? The minimum at this stage is a single conversion/time point in a batch reactor, or a gross volumetric rate in a particular sort of continuous reactor, at some specified concentration, temperature and pressure. (b) Can the reaction be speeded up by increasing the temperature or pressure? Refinery Process Stream Purification Refinery Process Catalysts Troubleshooting Refinery Process Catalyst Start-Up / Shutdown Activation Reduction In-situ Ex-situ Sulfiding Specializing in Refinery Process Catalyst Performance Evaluation Heat & Mass Balance Analysis Catalyst Remaining Life Determination Catalyst Deactivation Assessment Catalyst Performance Characterization Refining & Gas Processing & Petrochemical Industries Catalysts / Process Technology - Hydrogen Catalysts / Process Technology – Ammonia Catalyst Process Technology - Methanol Catalysts / process Technology – Petrochemicals Specializing in the Development & Commercialization of New Technology in the Refining & Petrochemical Industries Web Site: www.GBHEnterprises.com
  • 14.
    (c) Is heat transferlikely to be a problem? (d) What phases are involved? (e) Is mass transfer likely to be a problem? (f) Is there a catalyst? If so, in what form; does it decay? How is spent catalyst disposal effected safely? (g) Are there competing reactions and what happens to the unwanted products? (h) Is the reaction limited by chemical equilibrium? If so, how can the limitation be removed? 6.2 Multiple Reactors Now we have to make a preliminary decision about whether the desired reactions can take place under one set of physical and chemical conditions. There are obvious capital advantages in minimizing the number of reaction vessels but there may be operating or production cost benefits in separating reactor systems. For example, if desirable products can be removed after intermediate stages, or if a number of desired sequential reactions require very different process conditions. (a) Is it technically feasible to use one reactor stage? It is helpful to review this decision at every iteration. (b) For multiple reactor systems: (1) Should there simply be a direct connection between reactor stages, i.e. only physical conditions (temperature, pressure) changed? (2) Is there an incentive for separation between reactors to change concentrations, improve yield, reduce capital cost and remove unstable products or corrosive byproducts? Refinery Process Stream Purification Refinery Process Catalysts Troubleshooting Refinery Process Catalyst Start-Up / Shutdown Activation Reduction In-situ Ex-situ Sulfiding Specializing in Refinery Process Catalyst Performance Evaluation Heat & Mass Balance Analysis Catalyst Remaining Life Determination Catalyst Deactivation Assessment Catalyst Performance Characterization Refining & Gas Processing & Petrochemical Industries Catalysts / Process Technology - Hydrogen Catalysts / Process Technology – Ammonia Catalyst Process Technology - Methanol Catalysts / process Technology – Petrochemicals Specializing in the Development & Commercialization of New Technology in the Refining & Petrochemical Industries Web Site: www.GBHEnterprises.com
  • 15.
    The complexity ofthe "Recycle Structure" will depend on the number of reaction stages in the process and whether inter-stage separation is both possible and desirable. Refinery Process Stream Purification Refinery Process Catalysts Troubleshooting Refinery Process Catalyst Start-Up / Shutdown Activation Reduction In-situ Ex-situ Sulfiding Specializing in Refinery Process Catalyst Performance Evaluation Heat & Mass Balance Analysis Catalyst Remaining Life Determination Catalyst Deactivation Assessment Catalyst Performance Characterization Refining & Gas Processing & Petrochemical Industries Catalysts / Process Technology - Hydrogen Catalysts / Process Technology – Ammonia Catalyst Process Technology - Methanol Catalysts / process Technology – Petrochemicals Specializing in the Development & Commercialization of New Technology in the Refining & Petrochemical Industries Web Site: www.GBHEnterprises.com
  • 16.
    7 RECYCLE 7.1 Recycle Structure We cannow explore the "recycle structure" shown in Figure 5. The objective is to identify what materials are present in the recycle(s), whether there are any constraints and to make a first estimate of the recycle rate and composition. In many cases significant improvements in operational yield can be achieved by operating at less than maximum conversion per pass and recycling excess feed material. For multiple reaction systems there may be several recycle structure options, e.g. in a two reactor scheme should unconverted material ex-Reactor 2 be recycled to the inlet of Reactor 1 or Reactor 2? 7.2 Classification of Chemicals Classify each of the materials highlighted in Clause 5, which appears in the reactor exit stream. Lump components of a similar type. Listing the components in terms of their normal boiling points gives an immediate appreciation of the separation problem. Refinery Process Stream Purification Refinery Process Catalysts Troubleshooting Refinery Process Catalyst Start-Up / Shutdown Activation Reduction In-situ Ex-situ Sulfiding Specializing in Refinery Process Catalyst Performance Evaluation Heat & Mass Balance Analysis Catalyst Remaining Life Determination Catalyst Deactivation Assessment Catalyst Performance Characterization Refining & Gas Processing & Petrochemical Industries Catalysts / Process Technology - Hydrogen Catalysts / Process Technology – Ammonia Catalyst Process Technology - Methanol Catalysts / process Technology – Petrochemicals Specializing in the Development & Commercialization of New Technology in the Refining & Petrochemical Industries Web Site: www.GBHEnterprises.com
  • 17.
    7.3 Effect of Recycle (a) Isit feasible to isolate the product from the rest of the material? If so, continue. If not, is the product quality acceptable, or is further separation/purification required? (b) What is the effect of recycling products, byproducts, intermediates, catalysts, impurities in raw materials etc? (This question is also relevant to deciding whether raw materials need to be purified prior to processing). At what concentrations are these effects significant? (c) Is there a solvent reaction medium? Examine alternatives against: (1) Effectiveness in reactor environment. (2) Does it react - even to the slightest degree? (3) How easy is it to separate from other materials in the system? (4) If there are different reaction stages, can the same solvent be used in all of them? Refinery Process Stream Purification Refinery Process Catalysts Troubleshooting Refinery Process Catalyst Start-Up / Shutdown Activation Reduction In-situ Ex-situ Sulfiding Specializing in Refinery Process Catalyst Performance Evaluation Heat & Mass Balance Analysis Catalyst Remaining Life Determination Catalyst Deactivation Assessment Catalyst Performance Characterization Refining & Gas Processing & Petrochemical Industries Catalysts / Process Technology - Hydrogen Catalysts / Process Technology – Ammonia Catalyst Process Technology - Methanol Catalysts / process Technology – Petrochemicals Specializing in the Development & Commercialization of New Technology in the Refining & Petrochemical Industries Web Site: www.GBHEnterprises.com
  • 18.
    DON'T RECYCLE THESECLASSES OF MATERIALS (i) Catalyst Poisons. (ii) Degradable main products. (iii) Corrosive/hazardous materials (unless they will significantly improve the yield). (iv) Inerts (unless needed to avoid flammability hazards). 7.4 Preliminary Estimation of Conversion 7.4.1 What is the conversion-yield relationship? The first estimate of conversion and yield relationship should be based either on patent literature or on the Chemist's experiments and preferably based on a preliminary reaction scheme. The minimum data required is a product yield spectrum at one conversion. As a very crude first approximation, the conversionyield relationship for the desired product could be obtained by joining this point with 100% yield at zero conversion using a straight line on a log-log plot of (1-conversion) vs yield. The byproduct yield takes up the balance in the ratios at the spectrum point. 7.4.2 Is the reaction at equilibrium? It is likely that the preliminary conversion-yield relationship can be improved by changing the reactor type and operating conditions. This will be examined in Clause 8. At this point an initial mass balance of the overall recycle flows for a particular conversion can be calculated. Next, the reactor has to be examined in more detail. Refinery Process Stream Purification Refinery Process Catalysts Troubleshooting Refinery Process Catalyst Start-Up / Shutdown Activation Reduction In-situ Ex-situ Sulfiding Specializing in Refinery Process Catalyst Performance Evaluation Heat & Mass Balance Analysis Catalyst Remaining Life Determination Catalyst Deactivation Assessment Catalyst Performance Characterization Refining & Gas Processing & Petrochemical Industries Catalysts / Process Technology - Hydrogen Catalysts / Process Technology – Ammonia Catalyst Process Technology - Methanol Catalysts / process Technology – Petrochemicals Specializing in the Development & Commercialization of New Technology in the Refining & Petrochemical Industries Web Site: www.GBHEnterprises.com
  • 19.
    8 REACTOR TYPE ANDPERFORMANCE 8.1 Conversion-Yield Effects A preliminary structure into which our reactor(s) can be fitted has been defined in Clause 7. In order to decide on the most appropriate type of reactor configuration and operating conditions it is important that some understanding is developed of how the reactions which form products and byproducts are interrelated. At a preliminary stage an identification of trends, rather than definitive set of reaction mechanisms is required, in order to gain an insight into the conversion-yield relationship and the variables that affect it. Laboratory experimentation should therefore be approached with the aim of answering the question; HOW IS THE PRODUCT DISTRIBUTION AFFECTED BY: (a) Extent of conversion. (b) Temperature or temperature profile. (c) Pressure. (d) Addition rate and sequence of reactants/inerts. (e) Mixing patterns within the reactor/reactor configuration. (f) Heat and mass transfer effects between various phases in the reactor or across the reactor boundary. (g) Catalysts/solvents. When preliminary definition of the process flowsheet has been achieved, very detailed experiments can be conducted in the likely region of operation, to provide relevant design data and have accurate descriptions of the performance of the reaction scheme. Decision trees to help identification of appropriate batch and continuous reactor systems are given in Figures 6 and 7. Refinery Process Stream Purification Refinery Process Catalysts Troubleshooting Refinery Process Catalyst Start-Up / Shutdown Activation Reduction In-situ Ex-situ Sulfiding Specializing in Refinery Process Catalyst Performance Evaluation Heat & Mass Balance Analysis Catalyst Remaining Life Determination Catalyst Deactivation Assessment Catalyst Performance Characterization Refining & Gas Processing & Petrochemical Industries Catalysts / Process Technology - Hydrogen Catalysts / Process Technology – Ammonia Catalyst Process Technology - Methanol Catalysts / process Technology – Petrochemicals Specializing in the Development & Commercialization of New Technology in the Refining & Petrochemical Industries Web Site: www.GBHEnterprises.com
  • 20.
    Refinery Process StreamPurification Refinery Process Catalysts Troubleshooting Refinery Process Catalyst Start-Up / Shutdown Activation Reduction In-situ Ex-situ Sulfiding Specializing in Refinery Process Catalyst Performance Evaluation Heat & Mass Balance Analysis Catalyst Remaining Life Determination Catalyst Deactivation Assessment Catalyst Performance Characterization Refining & Gas Processing & Petrochemical Industries Catalysts / Process Technology - Hydrogen Catalysts / Process Technology – Ammonia Catalyst Process Technology - Methanol Catalysts / process Technology – Petrochemicals Specializing in the Development & Commercialization of New Technology in the Refining & Petrochemical Industries Web Site: www.GBHEnterprises.com
  • 21.
    Refinery Process StreamPurification Refinery Process Catalysts Troubleshooting Refinery Process Catalyst Start-Up / Shutdown Activation Reduction In-situ Ex-situ Sulfiding Specializing in Refinery Process Catalyst Performance Evaluation Heat & Mass Balance Analysis Catalyst Remaining Life Determination Catalyst Deactivation Assessment Catalyst Performance Characterization Refining & Gas Processing & Petrochemical Industries Catalysts / Process Technology - Hydrogen Catalysts / Process Technology – Ammonia Catalyst Process Technology - Methanol Catalysts / process Technology – Petrochemicals Specializing in the Development & Commercialization of New Technology in the Refining & Petrochemical Industries Web Site: www.GBHEnterprises.com
  • 22.
    8.2 Heat Effects As faras the process as a whole is concerned, a major decision is how the heat of reaction is to be handled. If the exotherm / endotherm is significant, there are three ways of dealing with the situation. (a) Heat can be transferred through a wall. (b) The temperature change can be confined by providing heat capacity in the process stream. or (c) The use of latent heat. In many cases operation is at some point between the above cases. Figure 8 shows the logic diagram for the key questions to be addressed. If capacity is provided in the form of a heat carrier then that component has to be separated and recycled. Choices of a heat carrier include: (1) Feed excess of one of the reactants. (2) Recycle product (if it doesn't degrade). (3) Recycle a byproduct, particularly if it drives a chemical equilibrium in the profitable direction. (4) An inert material. The amount is minimized if this and reaction conditions can be chosen such that a latent heat of phase change can be involved. (5) Can this inert material be the solvent reaction medium? Use of a heat carrier, particularly if it is a new component, is likely to change significantly the recycle mass balance. Modifications of the flows calculated in Clause 7 are also likely from the consideration of reactor type and operating conditions described in 8.1. Revise the recycle mass balance. Refinery Process Stream Purification Refinery Process Catalysts Troubleshooting Refinery Process Catalyst Start-Up / Shutdown Activation Reduction In-situ Ex-situ Sulfiding Specializing in Refinery Process Catalyst Performance Evaluation Heat & Mass Balance Analysis Catalyst Remaining Life Determination Catalyst Deactivation Assessment Catalyst Performance Characterization Refining & Gas Processing & Petrochemical Industries Catalysts / Process Technology - Hydrogen Catalysts / Process Technology – Ammonia Catalyst Process Technology - Methanol Catalysts / process Technology – Petrochemicals Specializing in the Development & Commercialization of New Technology in the Refining & Petrochemical Industries Web Site: www.GBHEnterprises.com
  • 23.
    Refinery Process StreamPurification Refinery Process Catalysts Troubleshooting Refinery Process Catalyst Start-Up / Shutdown Activation Reduction In-situ Ex-situ Sulfiding Specializing in Refinery Process Catalyst Performance Evaluation Heat & Mass Balance Analysis Catalyst Remaining Life Determination Catalyst Deactivation Assessment Catalyst Performance Characterization Refining & Gas Processing & Petrochemical Industries Catalysts / Process Technology - Hydrogen Catalysts / Process Technology – Ammonia Catalyst Process Technology - Methanol Catalysts / process Technology – Petrochemicals Specializing in the Development & Commercialization of New Technology in the Refining & Petrochemical Industries Web Site: www.GBHEnterprises.com
  • 24.
    8.3 Equilibrium Effects Is thereaction near chemical equilibrium? NOTES: (1) Remember Le Chatelier's Principle: - an exothermic or a volume increase reaction will become more nearly equilibrium limited at higher temperatures or pressures: (2) An adiabatic reactor can become equilibrium limited at the higher temperature and conversions present at exit. Multiple stages with interpass cooling or cold shot injection of a reactant or diluent can be helpful. (3) Localized hot spots within a heat transfer reactor can also approach equilibrium. (4) Beware of an apparent fall in reaction rate at higher temperatures, this may be indicating equilibrium or mass transfer limitations rather than kinetic effects. (5) Laboratory reactors may be at low pressure; plant can be high. If the reaction involves a volume increase, check equilibrium will not limit at the plant pressures. Figure 9 shows the logic diagram for the key questions to ask with respect to equilibrium effects. Refinery Process Stream Purification Refinery Process Catalysts Troubleshooting Refinery Process Catalyst Start-Up / Shutdown Activation Reduction In-situ Ex-situ Sulfiding Specializing in Refinery Process Catalyst Performance Evaluation Heat & Mass Balance Analysis Catalyst Remaining Life Determination Catalyst Deactivation Assessment Catalyst Performance Characterization Refining & Gas Processing & Petrochemical Industries Catalysts / Process Technology - Hydrogen Catalysts / Process Technology – Ammonia Catalyst Process Technology - Methanol Catalysts / process Technology – Petrochemicals Specializing in the Development & Commercialization of New Technology in the Refining & Petrochemical Industries Web Site: www.GBHEnterprises.com
  • 25.
    Refinery Process StreamPurification Refinery Process Catalysts Troubleshooting Refinery Process Catalyst Start-Up / Shutdown Activation Reduction In-situ Ex-situ Sulfiding Specializing in Refinery Process Catalyst Performance Evaluation Heat & Mass Balance Analysis Catalyst Remaining Life Determination Catalyst Deactivation Assessment Catalyst Performance Characterization Refining & Gas Processing & Petrochemical Industries Catalysts / Process Technology - Hydrogen Catalysts / Process Technology – Ammonia Catalyst Process Technology - Methanol Catalysts / process Technology – Petrochemicals Specializing in the Development & Commercialization of New Technology in the Refining & Petrochemical Industries Web Site: www.GBHEnterprises.com
  • 26.
    8.4 Kinetic Effects What isthe reaction rate - half life time for reaction? There are five characteristic time scales for a reactor which are relevant; the reaction half life, the reactor residence time, the interphase mass transfer time, the heat transfer time and the single phase mixing time. Clearly, the reactor residence time should equal or exceed the reaction half life, but only if significant product degradation occurs at longer residence times will the residence time have to closely match the reaction half life. The characteristic heat transfer time is usually less than the mass transfer and can normally be neglected except for highly exothermic reactions. These will generally require heat transfer within the reactor. The single phase mixing time <1 second is only important for reaction half life of this order. Note that for stirred tank reactors the internal recycle time lies between the mixing and residence time and is often near the reaction half life. This can affect scale up where in the laboratory: Mixing time <recycle time <reaction time <residence time but on scale up, Mixing time <reaction time <recycle time <residence time and an identical reactor system has scaled up from a stirred tank device to a plug flow with recycle device. When the interphase mass transfer time is about the reaction half life - and this is common for gas-liquid reactor systems - then the diffusional and reactive processes interact strongly and a full analysis of the reaction dynamics is likely to be required. Refinery Process Stream Purification Refinery Process Catalysts Troubleshooting Refinery Process Catalyst Start-Up / Shutdown Activation Reduction In-situ Ex-situ Sulfiding Specializing in Refinery Process Catalyst Performance Evaluation Heat & Mass Balance Analysis Catalyst Remaining Life Determination Catalyst Deactivation Assessment Catalyst Performance Characterization Refining & Gas Processing & Petrochemical Industries Catalysts / Process Technology - Hydrogen Catalysts / Process Technology – Ammonia Catalyst Process Technology - Methanol Catalysts / process Technology – Petrochemicals Specializing in the Development & Commercialization of New Technology in the Refining & Petrochemical Industries Web Site: www.GBHEnterprises.com
  • 27.
    This interaction ishighly sensitive to scale and care is needed to identify the likely dynamic regime on the full scale and to confirm this on the laboratory scale. The inverse process of scale up from laboratory work carried out in one dynamic regime can be impossible where the full scale operate in another regime and cannot reproduce the laboratory regime. Figure 10 shows the logic diagram for the key questions to ask with respect to kinetic effects. Refinery Process Stream Purification Refinery Process Catalysts Troubleshooting Refinery Process Catalyst Start-Up / Shutdown Activation Reduction In-situ Ex-situ Sulfiding Specializing in Refinery Process Catalyst Performance Evaluation Heat & Mass Balance Analysis Catalyst Remaining Life Determination Catalyst Deactivation Assessment Catalyst Performance Characterization Refining & Gas Processing & Petrochemical Industries Catalysts / Process Technology - Hydrogen Catalysts / Process Technology – Ammonia Catalyst Process Technology - Methanol Catalysts / process Technology – Petrochemicals Specializing in the Development & Commercialization of New Technology in the Refining & Petrochemical Industries Web Site: www.GBHEnterprises.com
  • 28.
    Refinery Process StreamPurification Refinery Process Catalysts Troubleshooting Refinery Process Catalyst Start-Up / Shutdown Activation Reduction In-situ Ex-situ Sulfiding Specializing in Refinery Process Catalyst Performance Evaluation Heat & Mass Balance Analysis Catalyst Remaining Life Determination Catalyst Deactivation Assessment Catalyst Performance Characterization Refining & Gas Processing & Petrochemical Industries Catalysts / Process Technology - Hydrogen Catalysts / Process Technology – Ammonia Catalyst Process Technology - Methanol Catalysts / process Technology – Petrochemicals Specializing in the Development & Commercialization of New Technology in the Refining & Petrochemical Industries Web Site: www.GBHEnterprises.com
  • 29.
    8.5 More Help withReactor Design Further background information on the main factors that affect reactor system design for particular types of reaction mechanism is given in Appendix A. Appendix B gives a typical "Discussion between a Chemist and Chemical Engineer" (taken from Rudd's book on Process Synthesis). It is hoped that this will provide a useful illustration of how to ask some of the questions which are relevant at this stage of process conception. 9 SEPARATION SYSTEM At this stage a preliminary cost for the required separations has to be determined. The selection of the best type of separation for a given duty is a topic which still requires considerable research. A hierarchy has been proposed subdividing the separation task into 3 categories, which are likely to be of increasing cost, viz: (1) Separation achieved by simple mechanical or thermal means. (2) Separation involving phase change. (3) Separation involving chemical change. For example, Type 1 Separations (filtration, simple vapor-liquid flash) are likely to be cheapest for chemical, but not necessarily for biochemical, systems. On their own they may not provide sufficient separation to meet the required specification. Choice of the most appropriate separation technique is made by identifying inherent differences in the physico-chemical properties of the various components Typical 'key' properties are: (a) Boiling Point. (b) Freezing Point. (c) Density. Refinery Process Stream Purification Refinery Process Catalysts Troubleshooting Refinery Process Catalyst Start-Up / Shutdown Activation Reduction In-situ Ex-situ Sulfiding Specializing in Refinery Process Catalyst Performance Evaluation Heat & Mass Balance Analysis Catalyst Remaining Life Determination Catalyst Deactivation Assessment Catalyst Performance Characterization Refining & Gas Processing & Petrochemical Industries Catalysts / Process Technology - Hydrogen Catalysts / Process Technology – Ammonia Catalyst Process Technology - Methanol Catalysts / process Technology – Petrochemicals Specializing in the Development & Commercialization of New Technology in the Refining & Petrochemical Industries Web Site: www.GBHEnterprises.com
  • 30.
    (d) Solubility (in varioussolvents). Occasionally, the optimum separation technique requires the addition of a new component which enhances the differences in properties between the various compound (e.g. Addition of H2S04 for extractive distillation of aqueous HNO3), or several properties to be exploited simultaneously. In his experiments the Chemist will probably have tried several forms of separation for extracting the desired product and this also might provide a useful guide to the means by which full scale separation can best be achieved, through knowledge of some of the properties that can be exploited. In the bulk chemical industry large use is made of Distillation (for liquid-liquid systems) and Filtration/Centrifuging/Drying (for liquid-solid systems). As data are more readily available for these types of separation they provide useful initial estimates for the cost of separation. However, other alternatives should always be considered during later iterations as these could provide lower cost solutions, particularly for difficult separations. A diagrammatic representation of separation processes based on characteristic size is given in Figure 11. A more comprehensive list, taken from King is included in Appendix C, and is based on the fundamental properties that can be exploited to achieve separation. Refinery Process Stream Purification Refinery Process Catalysts Troubleshooting Refinery Process Catalyst Start-Up / Shutdown Activation Reduction In-situ Ex-situ Sulfiding Specializing in Refinery Process Catalyst Performance Evaluation Heat & Mass Balance Analysis Catalyst Remaining Life Determination Catalyst Deactivation Assessment Catalyst Performance Characterization Refining & Gas Processing & Petrochemical Industries Catalysts / Process Technology - Hydrogen Catalysts / Process Technology – Ammonia Catalyst Process Technology - Methanol Catalysts / process Technology – Petrochemicals Specializing in the Development & Commercialization of New Technology in the Refining & Petrochemical Industries Web Site: www.GBHEnterprises.com
  • 31.
    The recycle massbalance should be modified if necessary, and the data for this iteration needs to be reviewed. Refinery Process Stream Purification Refinery Process Catalysts Troubleshooting Refinery Process Catalyst Start-Up / Shutdown Activation Reduction In-situ Ex-situ Sulfiding Specializing in Refinery Process Catalyst Performance Evaluation Heat & Mass Balance Analysis Catalyst Remaining Life Determination Catalyst Deactivation Assessment Catalyst Performance Characterization Refining & Gas Processing & Petrochemical Industries Catalysts / Process Technology - Hydrogen Catalysts / Process Technology – Ammonia Catalyst Process Technology - Methanol Catalysts / process Technology – Petrochemicals Specializing in the Development & Commercialization of New Technology in the Refining & Petrochemical Industries Web Site: www.GBHEnterprises.com
  • 32.
    10 REVIEW A preliminary flowsheethas now been obtained for the process together with some information on: (a) Incentive for manufacturing the product, based on material costs. (b) Energy costs for endothermic reactions, separating and recycling materials. (c) Preliminary capital cost of reactor, separation and recycling systems. (d) The likely complexity of the final flowsheet. (e) The hazards and difficulties involved in handling the materials. A more accurate comparison of the alternative processes than was possible in Clause 5 can now be made. The most attractive processes should now be further evaluated whilst those with little potential should be shelved. After revising the "input data" given in Clauses 4 and 5, Clauses 6-9 should be repeated using the more detailed information now available. 11 BIBLIOGRAPHY AND REFERENCES 11.1 Preliminary Flow sheeting Process evaluation and preliminary design procedure 1985. Guide to preliminary design, development and selection of solid/liquid processes 1984. Integrated reactor systems manual 1986. Process development guide. The Preliminary Evaluation of Process Costs. Refinery Process Stream Purification Refinery Process Catalysts Troubleshooting Refinery Process Catalyst Start-Up / Shutdown Activation Reduction In-situ Ex-situ Sulfiding Specializing in Refinery Process Catalyst Performance Evaluation Heat & Mass Balance Analysis Catalyst Remaining Life Determination Catalyst Deactivation Assessment Catalyst Performance Characterization Refining & Gas Processing & Petrochemical Industries Catalysts / Process Technology - Hydrogen Catalysts / Process Technology – Ammonia Catalyst Process Technology - Methanol Catalysts / process Technology – Petrochemicals Specializing in the Development & Commercialization of New Technology in the Refining & Petrochemical Industries Web Site: www.GBHEnterprises.com
  • 33.
    "A hierarchical decisionmaking procedure for process synthesis" by JM Douglas; AIChE Journal 31 No. 3 (March 1985) p353. "Process Synthesis" by D F Rudd, Powers & Surola, (Prentice-Hall). 11.2 Physical Properties "Chemical Engineers' Handbook" by J Perry (McGraw-Hill). "Handbook of Chemistry & Physics" by RC Weast (CRC PRESS) ("Rubber" Book). 11.3 Reactors "Chemical Reaction Engineering" by O Levenspiel (Wiley). "Chemical Reactor Theory" by Denbigh and Turner (Camb. Univ. Press). "Chemical Reactor Design in Practice" by L M Rose (Elsevier Science Publishers B.V.). 11.4 Separation Fluid Separation. Selection of internals for distillation columns. ”Empirical Approach to Separation Problems” by W Featherstone, Wilton report No 0200, 580/A (May 1967). ”Separation Processes” by C J King (McGraw-Hill). ”Solid Liquid Separation Technology” by D B Purchas. ”Selection of Equipment for a Solid-Liquid Separation Process ”Distillation Systems Design Procedure” by the Process Synthesis Team, NSG. ”Handbook of Separation Techniques for Chemical Engineers” by PA Schweitzer (McGraw-Hill). Refinery Process Stream Purification Refinery Process Catalysts Troubleshooting Refinery Process Catalyst Start-Up / Shutdown Activation Reduction In-situ Ex-situ Sulfiding Specializing in Refinery Process Catalyst Performance Evaluation Heat & Mass Balance Analysis Catalyst Remaining Life Determination Catalyst Deactivation Assessment Catalyst Performance Characterization Refining & Gas Processing & Petrochemical Industries Catalysts / Process Technology - Hydrogen Catalysts / Process Technology – Ammonia Catalyst Process Technology - Methanol Catalysts / process Technology – Petrochemicals Specializing in the Development & Commercialization of New Technology in the Refining & Petrochemical Industries Web Site: www.GBHEnterprises.com
  • 34.
    11.5 Costing ”Capital Cost Estimating”by Guthrie Chemical Engineering, March!24 1969 pp 114 (costs need care due to age and U.S. background). The preliminary evaluation of process costs. "A Guide to Capital Cost Estimating", 3rd edition (1988). Institution of Chemical Engineers. Refinery Process Stream Purification Refinery Process Catalysts Troubleshooting Refinery Process Catalyst Start-Up / Shutdown Activation Reduction In-situ Ex-situ Sulfiding Specializing in Refinery Process Catalyst Performance Evaluation Heat & Mass Balance Analysis Catalyst Remaining Life Determination Catalyst Deactivation Assessment Catalyst Performance Characterization Refining & Gas Processing & Petrochemical Industries Catalysts / Process Technology - Hydrogen Catalysts / Process Technology – Ammonia Catalyst Process Technology - Methanol Catalysts / process Technology – Petrochemicals Specializing in the Development & Commercialization of New Technology in the Refining & Petrochemical Industries Web Site: www.GBHEnterprises.com
  • 35.
    APPENDIX A: BASIC REACTORSYSTEM DESIGN There are many books written on chemical reactor design which cover in great detail the various facets of this subject. At this preliminary stage of process evaluation we are more concerned with the effect of the reactor system on the total flowsheet rather than the detailed reactor design. Hence, it is satisfactory to consider ideal reactors for initial investigation of the process options. This Clause sets out briefly the main aspects of Reactor System Design. A.1 SINGLE REACTIONS The rate of formation of a product R in a chemical reaction, starting from (say) 2 feed chemicals A,B can normally be written in the form: Where x, y are some indices, not necessarily equal to the stoichiometric ratios. However, some free radical reactions and most catalytic reactions have rate equations of the form:- where pi = partial pressure of”i” The term "k1" (reaction rate constant) is given by the Arrhenius equation:- Refinery Process Stream Purification Refinery Process Catalysts Troubleshooting Refinery Process Catalyst Start-Up / Shutdown Activation Reduction In-situ Ex-situ Sulfiding Specializing in Refinery Process Catalyst Performance Evaluation Heat & Mass Balance Analysis Catalyst Remaining Life Determination Catalyst Deactivation Assessment Catalyst Performance Characterization Refining & Gas Processing & Petrochemical Industries Catalysts / Process Technology - Hydrogen Catalysts / Process Technology – Ammonia Catalyst Process Technology - Methanol Catalysts / process Technology – Petrochemicals Specializing in the Development & Commercialization of New Technology in the Refining & Petrochemical Industries Web Site: www.GBHEnterprises.com
  • 36.
    Where: E1 k10 R T = = = = Activation Energy offorward reaction (kJ/kg mol) Pre-exponential constant Gas Constant 8.3143 (kJ/kg mol K) Absolute temperature (K) A.2 EQUILIBRIUM If the reaction under consideration is reversible i.e.: And equilibrium is achieved when the 2 reaction rates are equal, i.e.:- The equilibrium constant K can be determined experimentally or predicted from thermodynamic data. The above equation immediately shows how, under equilibrium conditions, the product formation can be increased by changing the relative concentrations in the reactive medium. Temperature has a significant effect on equilibrium concentrations, as shown in Figure 12: Refinery Process Stream Purification Refinery Process Catalysts Troubleshooting Refinery Process Catalyst Start-Up / Shutdown Activation Reduction In-situ Ex-situ Sulfiding Specializing in Refinery Process Catalyst Performance Evaluation Heat & Mass Balance Analysis Catalyst Remaining Life Determination Catalyst Deactivation Assessment Catalyst Performance Characterization Refining & Gas Processing & Petrochemical Industries Catalysts / Process Technology - Hydrogen Catalysts / Process Technology – Ammonia Catalyst Process Technology - Methanol Catalysts / process Technology – Petrochemicals Specializing in the Development & Commercialization of New Technology in the Refining & Petrochemical Industries Web Site: www.GBHEnterprises.com
  • 37.
    A.3 COMPETING REACTIONS In mostpractical systems a number of competing reactions occur. These can be classified as follows:(i) Parallel Reactions (ii) Consecutive Reactions or, occasionally, Refinery Process Stream Purification Refinery Process Catalysts Troubleshooting Refinery Process Catalyst Start-Up / Shutdown Activation Reduction In-situ Ex-situ Sulfiding Specializing in Refinery Process Catalyst Performance Evaluation Heat & Mass Balance Analysis Catalyst Remaining Life Determination Catalyst Deactivation Assessment Catalyst Performance Characterization Refining & Gas Processing & Petrochemical Industries Catalysts / Process Technology - Hydrogen Catalysts / Process Technology – Ammonia Catalyst Process Technology - Methanol Catalysts / process Technology – Petrochemicals Specializing in the Development & Commercialization of New Technology in the Refining & Petrochemical Industries Web Site: www.GBHEnterprises.com
  • 38.
    (iii) Mixed Reactions Somecombination (often very complex) of cases (i) and (ii). A.4 METHODS OF IMPROVING YIELD The proportion of desired product formed in the reaction can often be increased by improved choice of: (a) Temperature. (b) Concentration (including pressure and mass transfer effects and reactor type/configuration). A.4.1 Effect of Temperature Changes If the activation energies (E) of the various reactions are different then changes in temperature will affect the yields at a given conversion. Increasing temperature will normally increase reaction rates, hence reduce reaction volume. Sometimes compromise is necessary. The effect of temperature on yield can be difficult to predict, depending on relative activation energies and the position of the desired product in the reaction scheme. The following may offer some insight. Refinery Process Stream Purification Refinery Process Catalysts Troubleshooting Refinery Process Catalyst Start-Up / Shutdown Activation Reduction In-situ Ex-situ Sulfiding Specializing in Refinery Process Catalyst Performance Evaluation Heat & Mass Balance Analysis Catalyst Remaining Life Determination Catalyst Deactivation Assessment Catalyst Performance Characterization Refining & Gas Processing & Petrochemical Industries Catalysts / Process Technology - Hydrogen Catalysts / Process Technology – Ammonia Catalyst Process Technology - Methanol Catalysts / process Technology – Petrochemicals Specializing in the Development & Commercialization of New Technology in the Refining & Petrochemical Industries Web Site: www.GBHEnterprises.com
  • 39.
    Refinery Process StreamPurification Refinery Process Catalysts Troubleshooting Refinery Process Catalyst Start-Up / Shutdown Activation Reduction In-situ Ex-situ Sulfiding Specializing in Refinery Process Catalyst Performance Evaluation Heat & Mass Balance Analysis Catalyst Remaining Life Determination Catalyst Deactivation Assessment Catalyst Performance Characterization Refining & Gas Processing & Petrochemical Industries Catalysts / Process Technology - Hydrogen Catalysts / Process Technology – Ammonia Catalyst Process Technology - Methanol Catalysts / process Technology – Petrochemicals Specializing in the Development & Commercialization of New Technology in the Refining & Petrochemical Industries Web Site: www.GBHEnterprises.com
  • 40.
    A.4.2 Effect ofConcentration Changes Changing concentrations of the various reactants/products can dramatically increase the reactor yield either by shifting equilibrium or by increasing the relative rate of formation of the desired product. The operating, concentrations can be improved by: (a) Selection of appropriate reactor type; and possibly enhanced by (b) Recycling byproducts or excess reactants; (c) Selective removal of product from reaction vessel; (d) Changing pressure; (e) Improved mass transfer. Refinery Process Stream Purification Refinery Process Catalysts Troubleshooting Refinery Process Catalyst Start-Up / Shutdown Activation Reduction In-situ Ex-situ Sulfiding Specializing in Refinery Process Catalyst Performance Evaluation Heat & Mass Balance Analysis Catalyst Remaining Life Determination Catalyst Deactivation Assessment Catalyst Performance Characterization Refining & Gas Processing & Petrochemical Industries Catalysts / Process Technology - Hydrogen Catalysts / Process Technology – Ammonia Catalyst Process Technology - Methanol Catalysts / process Technology – Petrochemicals Specializing in the Development & Commercialization of New Technology in the Refining & Petrochemical Industries Web Site: www.GBHEnterprises.com
  • 41.
    Use can bemade of the difference in concentration/time characteristics between PFR and CSTR for improving reactor yield. Also the method of adding the reactants can be used to control the concentrations as shown in the following diagram for the reacting system: Refinery Process Stream Purification Refinery Process Catalysts Troubleshooting Refinery Process Catalyst Start-Up / Shutdown Activation Reduction In-situ Ex-situ Sulfiding Specializing in Refinery Process Catalyst Performance Evaluation Heat & Mass Balance Analysis Catalyst Remaining Life Determination Catalyst Deactivation Assessment Catalyst Performance Characterization Refining & Gas Processing & Petrochemical Industries Catalysts / Process Technology - Hydrogen Catalysts / Process Technology – Ammonia Catalyst Process Technology - Methanol Catalysts / process Technology – Petrochemicals Specializing in the Development & Commercialization of New Technology in the Refining & Petrochemical Industries Web Site: www.GBHEnterprises.com
  • 42.
    Refinery Process StreamPurification Refinery Process Catalysts Troubleshooting Refinery Process Catalyst Start-Up / Shutdown Activation Reduction In-situ Ex-situ Sulfiding Specializing in Refinery Process Catalyst Performance Evaluation Heat & Mass Balance Analysis Catalyst Remaining Life Determination Catalyst Deactivation Assessment Catalyst Performance Characterization Refining & Gas Processing & Petrochemical Industries Catalysts / Process Technology - Hydrogen Catalysts / Process Technology – Ammonia Catalyst Process Technology - Methanol Catalysts / process Technology – Petrochemicals Specializing in the Development & Commercialization of New Technology in the Refining & Petrochemical Industries Web Site: www.GBHEnterprises.com
  • 43.
    Refinery Process StreamPurification Refinery Process Catalysts Troubleshooting Refinery Process Catalyst Start-Up / Shutdown Activation Reduction In-situ Ex-situ Sulfiding Specializing in Refinery Process Catalyst Performance Evaluation Heat & Mass Balance Analysis Catalyst Remaining Life Determination Catalyst Deactivation Assessment Catalyst Performance Characterization Refining & Gas Processing & Petrochemical Industries Catalysts / Process Technology - Hydrogen Catalysts / Process Technology – Ammonia Catalyst Process Technology - Methanol Catalysts / process Technology – Petrochemicals Specializing in the Development & Commercialization of New Technology in the Refining & Petrochemical Industries Web Site: www.GBHEnterprises.com
  • 44.
    Refinery Process StreamPurification Refinery Process Catalysts Troubleshooting Refinery Process Catalyst Start-Up / Shutdown Activation Reduction In-situ Ex-situ Sulfiding Specializing in Refinery Process Catalyst Performance Evaluation Heat & Mass Balance Analysis Catalyst Remaining Life Determination Catalyst Deactivation Assessment Catalyst Performance Characterization Refining & Gas Processing & Petrochemical Industries Catalysts / Process Technology - Hydrogen Catalysts / Process Technology – Ammonia Catalyst Process Technology - Methanol Catalysts / process Technology – Petrochemicals Specializing in the Development & Commercialization of New Technology in the Refining & Petrochemical Industries Web Site: www.GBHEnterprises.com
  • 45.
    A.5 CONVERSION Provided the unreactedraw materials can be effectively separated from products downstream of the reactor the opportunity exists to increase yield by operating at partial conversion and recycling the unreacted feeds. In such cases the operational conversion should be chosen to give a suitable balance between the improved process yield and the increased cost of separation and recycling. Refinery Process Stream Purification Refinery Process Catalysts Troubleshooting Refinery Process Catalyst Start-Up / Shutdown Activation Reduction In-situ Ex-situ Sulfiding Specializing in Refinery Process Catalyst Performance Evaluation Heat & Mass Balance Analysis Catalyst Remaining Life Determination Catalyst Deactivation Assessment Catalyst Performance Characterization Refining & Gas Processing & Petrochemical Industries Catalysts / Process Technology - Hydrogen Catalysts / Process Technology – Ammonia Catalyst Process Technology - Methanol Catalysts / process Technology – Petrochemicals Specializing in the Development & Commercialization of New Technology in the Refining & Petrochemical Industries Web Site: www.GBHEnterprises.com
  • 46.
    Refinery Process StreamPurification Refinery Process Catalysts Troubleshooting Refinery Process Catalyst Start-Up / Shutdown Activation Reduction In-situ Ex-situ Sulfiding Specializing in Refinery Process Catalyst Performance Evaluation Heat & Mass Balance Analysis Catalyst Remaining Life Determination Catalyst Deactivation Assessment Catalyst Performance Characterization Refining & Gas Processing & Petrochemical Industries Catalysts / Process Technology - Hydrogen Catalysts / Process Technology – Ammonia Catalyst Process Technology - Methanol Catalysts / process Technology – Petrochemicals Specializing in the Development & Commercialization of New Technology in the Refining & Petrochemical Industries Web Site: www.GBHEnterprises.com
  • 47.
    (5) Was a solventused? If so, what was its purpose? Dilution, separation, heat absorption, reaction 'kinetics, or safety? Chemist: In the pure state all these glycols are solids; NPG melts at 60°C and DCNPG at 75°C. Both are soluble in acetic acid, so I ran the reaction in an acetic acid-water solution at ambient pressure at 80°C. This was most convenient in the laboratory and the reaction went all right. Engineer: Why was the acetic acid-water solution used? Is it essential for the reaction? Chemist: I needed to dissolve the solids in something, since it is inconvenient to blow chlorine through a beaker of solids. I had acetic acid on the lab bench, and it was used as a solvent by other researchers working with similar compounds. Engineer: Can the reaction be run without a solvent? Chemist: I think we need an acid solvent. In fact, the solution needs to be dilute. In one run using concentrated acid, solids precipitated and fouled up the reactor. Engineer: What would happen if I melted NPG and bubbled Cl2 through the liquid? Chemist: It might work, but I prefer the acetic acid. Engineer: What would happen if I ran my reaction under pressure? Chemist: I don't know because I ran my reactions either under vacuum or at atmospheric pressure. Refinery Process Stream Purification Refinery Process Catalysts Troubleshooting Refinery Process Catalyst Start-Up / Shutdown Activation Reduction In-situ Ex-situ Sulfiding Specializing in Refinery Process Catalyst Performance Evaluation Heat & Mass Balance Analysis Catalyst Remaining Life Determination Catalyst Deactivation Assessment Catalyst Performance Characterization Refining & Gas Processing & Petrochemical Industries Catalysts / Process Technology - Hydrogen Catalysts / Process Technology – Ammonia Catalyst Process Technology - Methanol Catalysts / process Technology – Petrochemicals Specializing in the Development & Commercialization of New Technology in the Refining & Petrochemical Industries Web Site: www.GBHEnterprises.com
  • 48.
    (6) What was thequality of the reactants used? Has a run been tried with industrial quality feed stock? What reactions would occur with common impurities? Were there any residues or was the product unusually coloured? Chemist: There was a tar-like residue occasionally. But, I was careful to select high purity reagent grade chemicals to avoid this Engineer: Here is a list of materials that might appear in the reactants under process conditions. What would happen to these? Air? Iron? Closely related chemicals found in impure feed stock? Chemist: Oxygen would have no effect if present at, say, less than l per cent. Nitrogen have no effect at all. Iron would cause a very bad colour and should be kept out. The only close relative to the main reactant that might be in cheaper feed stock is and it would be chlorinated just like NPG. (7) What yields were obtained of the product and main byproducts? How many compounds have been identified in the product, by what methods, and at what concentrations? How long was the reaction run? What if the reaction was run for a longer or shorter period? Chemist: I got a 60 per cent yield of DCNPG and the remainder was mainly MCNPG. From past experience I know that 4 to 6 hours is the best run time. I ran one sample through a gas liquid chromatograph and found NPG, acetic acid, H20, Cl2, HCl, MCNPG, DCNPG,TCNPG, four unknowns, plus some tars. The lowest concentration detectable was 500 ppm. Refinery Process Stream Purification Refinery Process Catalysts Troubleshooting Refinery Process Catalyst Start-Up / Shutdown Activation Reduction In-situ Ex-situ Sulfiding Specializing in Refinery Process Catalyst Performance Evaluation Heat & Mass Balance Analysis Catalyst Remaining Life Determination Catalyst Deactivation Assessment Catalyst Performance Characterization Refining & Gas Processing & Petrochemical Industries Catalysts / Process Technology - Hydrogen Catalysts / Process Technology – Ammonia Catalyst Process Technology - Methanol Catalysts / process Technology – Petrochemicals Specializing in the Development & Commercialization of New Technology in the Refining & Petrochemical Industries Web Site: www.GBHEnterprises.com
  • 49.
    Engineer: Could you detectlower concentrations, say, l ppm or less, by mass spectroscopy, infrared analysis, ultraviolet analysis, neutron activation, or nuclear-magnetic-resonance methods? What about materials not detectable by gas-liquid chromatography, such as Fe2++, 02, or very high molecular weight residue? If I shift to a continuous recycle operation, trace materials could build up to high concentrations. What would happen if I took some of your reaction products and recycled them into the feed of a new run? Chemist: The MCNPG would react to the desired product, and not much would happen to TCNPG, except it might form some residue. I will try a batch and see what happens. (8) What are the physical, chemical, safety, and toxic properties of all the materials involved, including intermediate species that may occur during reaction? Chemist: HCl and Cl2 are dangerous gases, and H2O-HCl mixtures can be quite corrosive. NPG and DCNPG in dust or powder form would irritate the lungs. I don't know how toxic the other compounds are. None are explosive or burn readily. Engineer: We will need to know the melting points, boiling points, solubilities in a variety of solvents, densities, vapor pressure, and so forth of all compounds, including trace materials. This is critical for engineering design. What color is the desired product? Chemist: It could be white. The least bit of iron colors it brown, and if the reactors run too long the product has little black particles in it. (9) Describe in some detail the laboratory procedures used during reaction and product purification. Refinery Process Stream Purification Refinery Process Catalysts Troubleshooting Refinery Process Catalyst Start-Up / Shutdown Activation Reduction In-situ Ex-situ Sulfiding Specializing in Refinery Process Catalyst Performance Evaluation Heat & Mass Balance Analysis Catalyst Remaining Life Determination Catalyst Deactivation Assessment Catalyst Performance Characterization Refining & Gas Processing & Petrochemical Industries Catalysts / Process Technology - Hydrogen Catalysts / Process Technology – Ammonia Catalyst Process Technology - Methanol Catalysts / process Technology – Petrochemicals Specializing in the Development & Commercialization of New Technology in the Refining & Petrochemical Industries Web Site: www.GBHEnterprises.com
  • 50.
    Chemist: The acetic acidand water are placed in the reactor (shown in Figure!14) and the mixture is heated to about 80°C. The NPG is dumped in and mixed until dissolved. Chlorine gas is bubbled in just under the stirrer. A reflux condenser returns the water boiled off to the reactor and lets the hydrogen chloride and excess chlorine pass out. After about 4 hours I stop the reaction by cooling the flask in an ice bath. The organic phase separates out and solidifies. The aqueous phase is decanted off into the sewer, and the organic phase is washed with water. Then the organic phase is dissolved in hot acetic acid and water, and is recrystallized out by cooling. The solid is washed in ethanol, dried, and ground. Engineer: Why recrystallize in acetic acid and why use the ethanol wash? How much heat is given off? Do you need to use the steam jacket all the time? Would it be dangerous to bubble in the chlorine gas too fast? What would happen if liquid chlorine were dumped in with the reactants? Refinery Process Stream Purification Refinery Process Catalysts Troubleshooting Refinery Process Catalyst Start-Up / Shutdown Activation Reduction In-situ Ex-situ Sulfiding Specializing in Refinery Process Catalyst Performance Evaluation Heat & Mass Balance Analysis Catalyst Remaining Life Determination Catalyst Deactivation Assessment Catalyst Performance Characterization Refining & Gas Processing & Petrochemical Industries Catalysts / Process Technology - Hydrogen Catalysts / Process Technology – Ammonia Catalyst Process Technology - Methanol Catalysts / process Technology – Petrochemicals Specializing in the Development & Commercialization of New Technology in the Refining & Petrochemical Industries Web Site: www.GBHEnterprises.com
  • 51.
    Chemist: The acetic acidrecrystallization works, and the ethanol was handy in the lab. Keep the chlorine concentrations low. Also, don't keep DCNPG near water too long since it hydrolyzes. Engineer: Could you easily make a run without the acetic acid? Chemist: To run without the acetic acid solvent would probably ruin my reactor. I have grown to like the acetic acid, and anyway it possibly might help reduce tar formation. If you don't allow acetic acid, how can I recrystallize the product? What are you going to do, distil the product? Sublime it? Crystallize it from its melt? These are all difficult to do in my lab (10) Do you know of any other reaction paths to the products? Can the overreacted material be reacted back? Engineer: I would really like to see if there is some useful reaction in which I can use the HCl molecules formed. If not, we have as much waste HCl to dispose of as we have useful product formed. DEBRIEFING SESSION After the questions are answered, a debriefing session is essential in which the engineer outlines` the line of attack proposed to commercialize the reaction path. This often reveals misinterpretations and nearly always solicits further information from the chemist on topics not mentioned during the question and answer session. The chemist should be brought in for consultation during all phases of process development. A stray idea here and there can do wonders. Engineer: I have looked over the questionnaire and am now considering several alternatives. If I duplicate your lab procedure at 10,000 pounds per day production, I would have a mess handling all the dirty acetic acid, hydrogen chloride, excess chlorine fumes, and dirty ethanol. Quite a bit of Refinery Process Stream Purification Refinery Process Catalysts Troubleshooting Refinery Process Catalyst Start-Up / Shutdown Activation Reduction In-situ Ex-situ Sulfiding Specializing in Refinery Process Catalyst Performance Evaluation Heat & Mass Balance Analysis Catalyst Remaining Life Determination Catalyst Deactivation Assessment Catalyst Performance Characterization Refining & Gas Processing & Petrochemical Industries Catalysts / Process Technology - Hydrogen Catalysts / Process Technology – Ammonia Catalyst Process Technology - Methanol Catalysts / process Technology – Petrochemicals Specializing in the Development & Commercialization of New Technology in the Refining & Petrochemical Industries Web Site: www.GBHEnterprises.com
  • 52.
    heating and coolingwould also be necessary. And handling the large batches of materials might be pretty costly. I would like to eliminate unessential solvents, to deal with pure materials. And, I prefer processing using continuous flow, separating, and recycling incompletely reacted materials. For this reason, it is essential that I have reaction data for chlorine with both liquid and powder NPG, MCNPG, DCNPG, and TCNPG. Let's suppose that these reactions go all right. If they don't, we can come back to the solvent later. Now when materials come out of the reactor, they will be NPG, MCNPG, DCNPG, and TCNPG, and perhaps I will run the reactor at conditions that give only a small yield of DCNPG and therefore even less TCNPG and higher residues. I would like to split off the NPG and MCNPG so that they can be recycled to the reactor, and the TCNPG and higher residues so that they can be disposed of.Somehow the Cl2 and HCl have to be separated to recycle the Cl2. What can be done with the HCl? Could we use that anywhere else in the company? Can you think of five or six different ways that the NPG-MCNPG mixture could be removed from the NPG-MCNPG-DCNPG-TCNPG-residue mixture, and then the DCNPG from the remaining DCNPG-TCNPGresidue mixture? Maybe the TCNPG-residue mixture should be removed first? Should the pure chlorine reactant be too harsh, perhaps nitrogen could be used as a diluent, since it should be inert. Maybe the HCl byproduct could be the diluent? It would be nice if the heat of reaction could be used to melt the solids during recrystallisation. Can't use ordinary equipment since iron is not allowed anywhere. Maybe I can run the reaction at such high pressures that the chlorine is a liquid and the HCl is still a gas; then I would let only the gas out of the reactor, thereby eliminating the HCl-Cl2 separation problem at the source..... Refinery Process Stream Purification Refinery Process Catalysts Troubleshooting Refinery Process Catalyst Start-Up / Shutdown Activation Reduction In-situ Ex-situ Sulfiding Specializing in Refinery Process Catalyst Performance Evaluation Heat & Mass Balance Analysis Catalyst Remaining Life Determination Catalyst Deactivation Assessment Catalyst Performance Characterization Refining & Gas Processing & Petrochemical Industries Catalysts / Process Technology - Hydrogen Catalysts / Process Technology – Ammonia Catalyst Process Technology - Methanol Catalysts / process Technology – Petrochemicals Specializing in the Development & Commercialization of New Technology in the Refining & Petrochemical Industries Web Site: www.GBHEnterprises.com
  • 53.
    Refinery Process StreamPurification Refinery Process Catalysts Troubleshooting Refinery Process Catalyst Start-Up / Shutdown Activation Reduction In-situ Ex-situ Sulfiding Specializing in Refinery Process Catalyst Performance Evaluation Heat & Mass Balance Analysis Catalyst Remaining Life Determination Catalyst Deactivation Assessment Catalyst Performance Characterization Refining & Gas Processing & Petrochemical Industries Catalysts / Process Technology - Hydrogen Catalysts / Process Technology – Ammonia Catalyst Process Technology - Methanol Catalysts / process Technology – Petrochemicals Specializing in the Development & Commercialization of New Technology in the Refining & Petrochemical Industries Web Site: www.GBHEnterprises.com
  • 54.
    . Refinery Process StreamPurification Refinery Process Catalysts Troubleshooting Refinery Process Catalyst Start-Up / Shutdown Activation Reduction In-situ Ex-situ Sulfiding Specializing in Refinery Process Catalyst Performance Evaluation Heat & Mass Balance Analysis Catalyst Remaining Life Determination Catalyst Deactivation Assessment Catalyst Performance Characterization Refining & Gas Processing & Petrochemical Industries Catalysts / Process Technology - Hydrogen Catalysts / Process Technology – Ammonia Catalyst Process Technology - Methanol Catalysts / process Technology – Petrochemicals Specializing in the Development & Commercialization of New Technology in the Refining & Petrochemical Industries Web Site: www.GBHEnterprises.com
  • 55.
    Refinery Process StreamPurification Refinery Process Catalysts Troubleshooting Refinery Process Catalyst Start-Up / Shutdown Activation Reduction In-situ Ex-situ Sulfiding Specializing in Refinery Process Catalyst Performance Evaluation Heat & Mass Balance Analysis Catalyst Remaining Life Determination Catalyst Deactivation Assessment Catalyst Performance Characterization Refining & Gas Processing & Petrochemical Industries Catalysts / Process Technology - Hydrogen Catalysts / Process Technology – Ammonia Catalyst Process Technology - Methanol Catalysts / process Technology – Petrochemicals Specializing in the Development & Commercialization of New Technology in the Refining & Petrochemical Industries Web Site: www.GBHEnterprises.com
  • 56.
    Refinery Process StreamPurification Refinery Process Catalysts Troubleshooting Refinery Process Catalyst Start-Up / Shutdown Activation Reduction In-situ Ex-situ Sulfiding Specializing in Refinery Process Catalyst Performance Evaluation Heat & Mass Balance Analysis Catalyst Remaining Life Determination Catalyst Deactivation Assessment Catalyst Performance Characterization Refining & Gas Processing & Petrochemical Industries Catalysts / Process Technology - Hydrogen Catalysts / Process Technology – Ammonia Catalyst Process Technology - Methanol Catalysts / process Technology – Petrochemicals Specializing in the Development & Commercialization of New Technology in the Refining & Petrochemical Industries Web Site: www.GBHEnterprises.com
  • 57.
    *H2 is dischargedmore readily than HD at the cathode. The enrichment is substantially greater than that corresponding to gas-liquid equilibrium because of rate factors. C.1.2 Mechanical Separation Processes Refinery Process Stream Purification Refinery Process Catalysts Troubleshooting Refinery Process Catalyst Start-Up / Shutdown Activation Reduction In-situ Ex-situ Sulfiding Specializing in Refinery Process Catalyst Performance Evaluation Heat & Mass Balance Analysis Catalyst Remaining Life Determination Catalyst Deactivation Assessment Catalyst Performance Characterization Refining & Gas Processing & Petrochemical Industries Catalysts / Process Technology - Hydrogen Catalysts / Process Technology – Ammonia Catalyst Process Technology - Methanol Catalysts / process Technology – Petrochemicals Specializing in the Development & Commercialization of New Technology in the Refining & Petrochemical Industries Web Site: www.GBHEnterprises.com
  • 58.
    Refinery Process StreamPurification Refinery Process Catalysts Troubleshooting Refinery Process Catalyst Start-Up / Shutdown Activation Reduction In-situ Ex-situ Sulfiding Specializing in Refinery Process Catalyst Performance Evaluation Heat & Mass Balance Analysis Catalyst Remaining Life Determination Catalyst Deactivation Assessment Catalyst Performance Characterization Refining & Gas Processing & Petrochemical Industries Catalysts / Process Technology - Hydrogen Catalysts / Process Technology – Ammonia Catalyst Process Technology - Methanol Catalysts / process Technology – Petrochemicals Specializing in the Development & Commercialization of New Technology in the Refining & Petrochemical Industries Web Site: www.GBHEnterprises.com
  • 59.
    C.2 SEPARATION SYNTHESIS STRATEGY C.2.1Introduction The objective here is to propose a framework for the generation of options for resolving process mixtures into the desired components and to identify the role of physical properties and heuristics in identification and evaluation of these options. Refinery Process Stream Purification Refinery Process Catalysts Troubleshooting Refinery Process Catalyst Start-Up / Shutdown Activation Reduction In-situ Ex-situ Sulfiding Specializing in Refinery Process Catalyst Performance Evaluation Heat & Mass Balance Analysis Catalyst Remaining Life Determination Catalyst Deactivation Assessment Catalyst Performance Characterization Refining & Gas Processing & Petrochemical Industries Catalysts / Process Technology - Hydrogen Catalysts / Process Technology – Ammonia Catalyst Process Technology - Methanol Catalysts / process Technology – Petrochemicals Specializing in the Development & Commercialization of New Technology in the Refining & Petrochemical Industries Web Site: www.GBHEnterprises.com
  • 60.
    In order tokeep the practical world in sight, a number of examples will be used. These examples have been chosen to cover a wide range of possible options, but they obviously are not exhaustive. No distinction is intended between batch and continuous processing at this stage, even though three of the five examples come from batch environments, the methodology is above such matters. Example 1: BTX (benzene, toluene, xylene) ® B, T, X 2: Reglone in EDB (ethylene dibromide) ® Aqueous Reglone, EDB for re-use 3: Dye stuff in water with salts and krud ® Dry solid dye stuff, effluent liquors 4: Isomer mixture of Chlornitrobenzenes ® Specified isomer split 5: Synthesis gas ® CO, H2 C.2.2 Generation of Separation Alternatives The task of the separation process is to transform a defined mixture into a set of product states. Any reasonably comprehensive generator of separation alternatives should have strategies to deal with: (a) Materials additional to those in the defined mixture. (b) A hierarchy of transforming techniques. (Note : 'hierarchy' does not, as will be seen, necessarily imply value of judgements -rather some structured procedure) C.2.2.1 Additional Materials Example 2 has been chosen to illustrate an important class of problems wherein the product stated contain material(s) which is (are) additional to those found in the original mixture. We may call these "required additional materials". Refinery Process Stream Purification Refinery Process Catalysts Troubleshooting Refinery Process Catalyst Start-Up / Shutdown Activation Reduction In-situ Ex-situ Sulfiding Specializing in Refinery Process Catalyst Performance Evaluation Heat & Mass Balance Analysis Catalyst Remaining Life Determination Catalyst Deactivation Assessment Catalyst Performance Characterization Refining & Gas Processing & Petrochemical Industries Catalysts / Process Technology - Hydrogen Catalysts / Process Technology – Ammonia Catalyst Process Technology - Methanol Catalysts / process Technology – Petrochemicals Specializing in the Development & Commercialization of New Technology in the Refining & Petrochemical Industries Web Site: www.GBHEnterprises.com
  • 61.
    e.g. mixture: =['Reglone', 'EDB') products: = ['Reglone', 'EDB', 'water'] required additions: = mixture-products (the set 'required additions' contains one entry, water) Example 3 has been chosen to illustrate another important class of problem wherein additional material(s) is (are) introduced to render the mixture separable. In this case, the addition of common salt precipitates the dye stuff from solution. Other examples in this category are azeotroping agents, additive crystallization agents, materials to selectively form salts or separable derivatives. We may call these 'functional additional materials'. In general, the introduction of either type of additional material into the separation process may be made at any stage. The examples 2 and 3 illustrate the ilemma. Example 2: The Reglone/EDB mixture to be separated is in fact already two-phase, a slurry of Reglone in EDB. Two options for separation present themselves: (a) Filter, redissolve filter cake in water (either before or after removing residual EDB). (b) Add water to the two-phase mixture to dissolve up Reglone and then separate the resulting two liquid phases. In the absence of overriding proscriptions (e.g. a limit on EDB in the aqueous product solution less than the solubility of EDB in that solution), it would clearly be nonsensical to opt for the first alternative. If the combinational problem is no embarrassment, then we can allow generation of such options which can be later removed on evaluation. It might be better to prevent their generation in the first place. Refinery Process Stream Purification Refinery Process Catalysts Troubleshooting Refinery Process Catalyst Start-Up / Shutdown Activation Reduction In-situ Ex-situ Sulfiding Specializing in Refinery Process Catalyst Performance Evaluation Heat & Mass Balance Analysis Catalyst Remaining Life Determination Catalyst Deactivation Assessment Catalyst Performance Characterization Refining & Gas Processing & Petrochemical Industries Catalysts / Process Technology - Hydrogen Catalysts / Process Technology – Ammonia Catalyst Process Technology - Methanol Catalysts / process Technology – Petrochemicals Specializing in the Development & Commercialization of New Technology in the Refining & Petrochemical Industries Web Site: www.GBHEnterprises.com
  • 62.
    Example 3: The dyestuff will generally be partially soluble. Four options for separation present themselves: (1) Add salt to 'salt out' more dye stuffs before filtration and drying. (2) Filter, add salt to the filtrates to precipitate more material, filter and dry combined filtered materials. (3) Concentrate the mixture to precipitate more dye stuff before filtration and drying. (4) Solvent extract dye stuff, evaporate and recycle solvent. The first two options are physiochemically identical (without getting into fine detail) and clearly the second option would introduce unnecessary complexity. The third and fourth options are not so easy to dismiss on thermodynamic grounds. "Received wisdom" would dismiss them for other very good reasons. Option!(4) would be dismissed since plant designed to handle aqueous acidic solutions is not compatible with organic solvent processing. Drying from solvents (although thermally more attractive than from water) requires contained plant. Selective extraction of dye stuff from the byproduct organics is likely to be adversely affected. Option!(3) would involve evaporative, ultrafiltration/membrane processes, which whilst theoretically attractive, generate grave operational difficulties. These discussions illustrate the need for some strategy in the selection of processing steps if the combinational explosion is to be contained. C.2.2.2 Hierarchy of Transforming Techniques Separation/transformation operations fall naturally into three categories: (a) Separations/transformations achieved by simple mechanical or thermal methods. (b) Separations/transformations involving phase distribution. (c) Separations/transformations involving chemical changes. Refinery Process Stream Purification Refinery Process Catalysts Troubleshooting Refinery Process Catalyst Start-Up / Shutdown Activation Reduction In-situ Ex-situ Sulfiding Specializing in Refinery Process Catalyst Performance Evaluation Heat & Mass Balance Analysis Catalyst Remaining Life Determination Catalyst Deactivation Assessment Catalyst Performance Characterization Refining & Gas Processing & Petrochemical Industries Catalysts / Process Technology - Hydrogen Catalysts / Process Technology – Ammonia Catalyst Process Technology - Methanol Catalysts / process Technology – Petrochemicals Specializing in the Development & Commercialization of New Technology in the Refining & Petrochemical Industries Web Site: www.GBHEnterprises.com
  • 63.
    Into the firstcategory fall filtration, liquid phase separation, milling and drying. The last category includes derivatization and adjustment of pH to liberate salts or free acids/bases. The second category includes distillation, liquid extraction, absorption, adsorption, leaching, salting out etc. The distinction is useful and provides a crude selection hierarchy: (1) If our physical property assessments tell us that the mixture is resolvable by mechanical or thermal methods, the way is clear to complete the separation process. (2) Some phase distribution processes can generate the required product states directly (e.g. distillation) but the majority of such operations will, in general, require subsequent operations to complete the resolution (e.g. liquid extraction, absorptive processes, crystallization). These subsequent processes will either be from this group (e.g. distillation) from group (1) (e.g. filter off and dry crystals). (3) Chemical derivatization is usually introduced to make systems separable by methods in either group (2) or (1) (e.g. agents for additive crystallization, formation of insoluble salts or free acids/bases) It is probable that little flexibility is lost by examining separability according to the first category and completing the process in the light of an affirmative response. How this can be done will be discussed later. However, there is not a fixed hierarchy for categories (b) and (c). The presence of aqueous media and favorable pka values (q.v.) would strongly indicate adoption of category (c) methods. Non-aqueous media and favorable pKa values might suggest a combination of categories (b) and (c) by extraction with aqueous acid/alkali. Here is the point to introduce physical properties into the algorithms for generation of alternatives. C.2.3 Use of Physical Property Data in the Generation of Alternative Separation Strategies Refinery Process Stream Purification Refinery Process Catalysts Troubleshooting Refinery Process Catalyst Start-Up / Shutdown Activation Reduction In-situ Ex-situ Sulfiding Specializing in Refinery Process Catalyst Performance Evaluation Heat & Mass Balance Analysis Catalyst Remaining Life Determination Catalyst Deactivation Assessment Catalyst Performance Characterization Refining & Gas Processing & Petrochemical Industries Catalysts / Process Technology - Hydrogen Catalysts / Process Technology – Ammonia Catalyst Process Technology - Methanol Catalysts / process Technology – Petrochemicals Specializing in the Development & Commercialization of New Technology in the Refining & Petrochemical Industries Web Site: www.GBHEnterprises.com
  • 64.
    The areas ofgeneration and evaluation are necessarily blurred. In distillation, for example, very low temperatures and high pressures/high temperatures and very low pressures would generally be contra-indicative but in some systems unavoidable (e.g. air separation). A simple algorithm which examined relative volatility and implied temperature/pressure relationships could correctly identify distillation as the preferred option for Example 1 (BTX separation) and most unlikely for Example 5 (Synthesis gas separation). But it is also likely that such an algorithm would reject distillation as an option for air separation. Since the search for universal algorithms is likely to prove fruitless, some user intervention to relax the selection/rejection criteria will be necessary. In this spirit we can assess how far it is reasonable to expect physical property information to aid the generation process. Phase equilibria may be represented thermodynamically in many ways, the accuracy of the methods reflecting in general the quantity and quality of measured data available. Predictive methods are becoming more sophisticated however and as a consequence ab initio calculations more feasible. The following discussion is confined to activity coefficient models and semi-empirical data relating to condensed phases. Important amongst these are the numerous equation of state representations which deserve separate treatment and are required for high pressure applications. C.2.4 Vapor-Liquid Equilibria Traditionally, short cut design methods (such as Fenske- UnderwoodGilliland) make the assumption of ideality expressed using either the Raoult or Henry conventions with the activity coefficient terms set equal to unity. Minimal information is needed to constrict vapor liquid equilibrium data (VLE data), simply vapor pressures and molecular weights of the constituents of the mixture. However, even for non-polar subjects, the assumption of ideality is inadequate (e.g. aliphatic hydrocarbon mixtures are nearly ideal but aliphatic/aromatic hydrocarbon mixtures are not). For non-polar mixtures (with the possible exception of mixtures containing fluorocarbons) the quality of prediction can be improved by invoking regular solution theory (Scatchard-Hildebrand). Refinery Process Stream Purification Refinery Process Catalysts Troubleshooting Refinery Process Catalyst Start-Up / Shutdown Activation Reduction In-situ Ex-situ Sulfiding Specializing in Refinery Process Catalyst Performance Evaluation Heat & Mass Balance Analysis Catalyst Remaining Life Determination Catalyst Deactivation Assessment Catalyst Performance Characterization Refining & Gas Processing & Petrochemical Industries Catalysts / Process Technology - Hydrogen Catalysts / Process Technology – Ammonia Catalyst Process Technology - Methanol Catalysts / process Technology – Petrochemicals Specializing in the Development & Commercialization of New Technology in the Refining & Petrochemical Industries Web Site: www.GBHEnterprises.com
  • 65.
    This requires oneextra parameter for each species, viz liquid density, from which is calculated the 'solubility parameter': Refinery Process Stream Purification Refinery Process Catalysts Troubleshooting Refinery Process Catalyst Start-Up / Shutdown Activation Reduction In-situ Ex-situ Sulfiding Specializing in Refinery Process Catalyst Performance Evaluation Heat & Mass Balance Analysis Catalyst Remaining Life Determination Catalyst Deactivation Assessment Catalyst Performance Characterization Refining & Gas Processing & Petrochemical Industries Catalysts / Process Technology - Hydrogen Catalysts / Process Technology – Ammonia Catalyst Process Technology - Methanol Catalysts / process Technology – Petrochemicals Specializing in the Development & Commercialization of New Technology in the Refining & Petrochemical Industries Web Site: www.GBHEnterprises.com
  • 66.
    Refinery Process StreamPurification Refinery Process Catalysts Troubleshooting Refinery Process Catalyst Start-Up / Shutdown Activation Reduction In-situ Ex-situ Sulfiding Specializing in Refinery Process Catalyst Performance Evaluation Heat & Mass Balance Analysis Catalyst Remaining Life Determination Catalyst Deactivation Assessment Catalyst Performance Characterization Refining & Gas Processing & Petrochemical Industries Catalysts / Process Technology - Hydrogen Catalysts / Process Technology – Ammonia Catalyst Process Technology - Methanol Catalysts / process Technology – Petrochemicals Specializing in the Development & Commercialization of New Technology in the Refining & Petrochemical Industries Web Site: www.GBHEnterprises.com