Download free for 30 days
Sign in
Upload
Language (EN)
Support
Business
Mobile
Social Media
Marketing
Technology
Art & Photos
Career
Design
Education
Presentations & Public Speaking
Government & Nonprofit
Healthcare
Internet
Law
Leadership & Management
Automotive
Engineering
Software
Recruiting & HR
Retail
Sales
Services
Science
Small Business & Entrepreneurship
Food
Environment
Economy & Finance
Data & Analytics
Investor Relations
Sports
Spiritual
News & Politics
Travel
Self Improvement
Real Estate
Entertainment & Humor
Health & Medicine
Devices & Hardware
Lifestyle
Change Language
Language
English
Español
Português
Français
Deutsche
Cancel
Save
EN
SN
Uploaded by
SYED NAWAZ
800 views
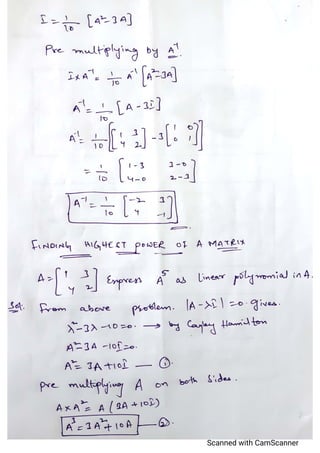
Cayley hamilton theorem
I make this pdf file especially for GATE 2021 preparation Petroleum Engineering
Engineering
◦
Read more
1
Save
Share
Embed
Embed presentation
Download
Download to read offline
1
/ 4
2
/ 4
Most read
3
/ 4
Most read
4
/ 4
Most read
More Related Content
PPTX
nth Derivatives.pptx
by
SoyaMathew1
PPTX
Counting, pigeonhole, permuntation, Permutations and Combination ,Binomial T...
by
sheiblu
PDF
Jacobians new
by
Cyprian. Konyeha
PPTX
Algebraic and geometric multiplicity
by
Yash Patel
PDF
Elementary linear algebra
by
Ayupratiwi Geophysics
PDF
Set Theory - Mathematics Handwritten Notes
by
Edufever
PPTX
2. Persamaan Linier2020.pptx
by
YodaKurniaWijaya
PPTX
Helmholtz equation (Motivations and Solutions)
by
Hassaan Saleem
nth Derivatives.pptx
by
SoyaMathew1
Counting, pigeonhole, permuntation, Permutations and Combination ,Binomial T...
by
sheiblu
Jacobians new
by
Cyprian. Konyeha
Algebraic and geometric multiplicity
by
Yash Patel
Elementary linear algebra
by
Ayupratiwi Geophysics
Set Theory - Mathematics Handwritten Notes
by
Edufever
2. Persamaan Linier2020.pptx
by
YodaKurniaWijaya
Helmholtz equation (Motivations and Solutions)
by
Hassaan Saleem
What's hot
PPT
Newton divided difference interpolation
by
VISHAL DONGA
PPT
Linear transformation.ppt
by
Raj Parekh
PDF
Class XII CBSE Mathematics Sample question paper with solution
by
Pratima Nayak ,Kendriya Vidyalaya Sangathan
PPT
Applications of numerical methods
by
Tarun Gehlot
PPTX
MATRICES AND CALCULUS.pptx
by
massm99m
PPTX
GAUSS ELIMINATION METHOD
by
reach2arkaELECTRICAL
PDF
Singular Value Decompostion (SVD): Worked example 2
by
Isaac Yowetu
PPTX
GROUP, SUBGROUP, ABELIAN GROUP, NORMAL SUBGROUP, CONJUGATE NUMBER,NORMALIZER ...
by
SONU KUMAR
PDF
Gamma and betta function harsh shah
by
C.G.P.I.T
PPTX
newton raphson method
by
Yogesh Bhargawa
PPTX
GATE Engineering Maths : System of Linear Equations
by
ParthDave57
PPTX
Graph Theory
by
Ehsan Hamzei
PPT
The method of frobenius
by
Independent distributor shaklee-Universiti teknologi mara
DOCX
Btech_II_ engineering mathematics_unit2
by
Rai University
PPTX
Newton's forward & backward interpolation
by
Harshad Koshti
PPT
Differential geometry three dimensional space
by
Solo Hermelin
PPTX
Linear Combination, Span And Linearly Independent, Dependent Set
by
Dhaval Shukla
PPTX
Strassen’s Algorithm.pptx
by
YahyeKaire
PPT
Tsp branch and bound
by
Dr.DHANALAKSHMI SENTHILKUMAR
PPTX
Gauss jordan and Guass elimination method
by
Meet Nayak
Newton divided difference interpolation
by
VISHAL DONGA
Linear transformation.ppt
by
Raj Parekh
Class XII CBSE Mathematics Sample question paper with solution
by
Pratima Nayak ,Kendriya Vidyalaya Sangathan
Applications of numerical methods
by
Tarun Gehlot
MATRICES AND CALCULUS.pptx
by
massm99m
GAUSS ELIMINATION METHOD
by
reach2arkaELECTRICAL
Singular Value Decompostion (SVD): Worked example 2
by
Isaac Yowetu
GROUP, SUBGROUP, ABELIAN GROUP, NORMAL SUBGROUP, CONJUGATE NUMBER,NORMALIZER ...
by
SONU KUMAR
Gamma and betta function harsh shah
by
C.G.P.I.T
newton raphson method
by
Yogesh Bhargawa
GATE Engineering Maths : System of Linear Equations
by
ParthDave57
Graph Theory
by
Ehsan Hamzei
The method of frobenius
by
Independent distributor shaklee-Universiti teknologi mara
Btech_II_ engineering mathematics_unit2
by
Rai University
Newton's forward & backward interpolation
by
Harshad Koshti
Differential geometry three dimensional space
by
Solo Hermelin
Linear Combination, Span And Linearly Independent, Dependent Set
by
Dhaval Shukla
Strassen’s Algorithm.pptx
by
YahyeKaire
Tsp branch and bound
by
Dr.DHANALAKSHMI SENTHILKUMAR
Gauss jordan and Guass elimination method
by
Meet Nayak
More from SYED NAWAZ
PPTX
Mud loss or lost circulation
by
SYED NAWAZ
PPTX
Play types and related petroleum systems
by
SYED NAWAZ
PPTX
Density of a fluid
by
SYED NAWAZ
PPTX
Field development plan, rate of production,
by
SYED NAWAZ
PPTX
Gate petroleum engineering analysis
by
SYED NAWAZ
PPTX
Casing design
by
SYED NAWAZ
PPTX
Overview of drilling
by
SYED NAWAZ
PPTX
Surface Tension and Interfacial Tension Formula, Units and Problem
by
SYED NAWAZ
PPTX
Surface and interfacial tension
by
SYED NAWAZ
PPTX
Petrophysical Properties of Reservoir
by
SYED NAWAZ
PPTX
Saturation
by
SYED NAWAZ
PPTX
Oil formation volume factor
by
SYED NAWAZ
PPTX
gas formation volume factor derivation
by
SYED NAWAZ
PPTX
Reynolds number
by
SYED NAWAZ
PPTX
Gate 2017 pressure difference
by
SYED NAWAZ
PPT
Formation damage evaluation
by
SYED NAWAZ
PDF
Unit conversion
by
SYED NAWAZ
PDF
Skin factor determination
by
SYED NAWAZ
PDF
Recovery factor and total time
by
SYED NAWAZ
PDF
Pump input
by
SYED NAWAZ
Mud loss or lost circulation
by
SYED NAWAZ
Play types and related petroleum systems
by
SYED NAWAZ
Density of a fluid
by
SYED NAWAZ
Field development plan, rate of production,
by
SYED NAWAZ
Gate petroleum engineering analysis
by
SYED NAWAZ
Casing design
by
SYED NAWAZ
Overview of drilling
by
SYED NAWAZ
Surface Tension and Interfacial Tension Formula, Units and Problem
by
SYED NAWAZ
Surface and interfacial tension
by
SYED NAWAZ
Petrophysical Properties of Reservoir
by
SYED NAWAZ
Saturation
by
SYED NAWAZ
Oil formation volume factor
by
SYED NAWAZ
gas formation volume factor derivation
by
SYED NAWAZ
Reynolds number
by
SYED NAWAZ
Gate 2017 pressure difference
by
SYED NAWAZ
Formation damage evaluation
by
SYED NAWAZ
Unit conversion
by
SYED NAWAZ
Skin factor determination
by
SYED NAWAZ
Recovery factor and total time
by
SYED NAWAZ
Pump input
by
SYED NAWAZ
Recently uploaded
PPTX
Applications of cloud computing in education
by
hatimunwala5
PPTX
TechSprint WinterHack || After an intense hackathon filled with creativity, ...
by
bajpaitusharoffon678
PPT
psoc_unit_one_for_all_thoery_potion_are_coverd_in_the_this_unit_for_everything
by
sabinesh200517
PDF
10 Tips for Successfully Purchasing Twitter Accounts.pdf
by
marketing
PPTX
battery energy storage system (BESS).pptx
by
manish99skp
PPTX
Unit-2: Network Models--OSI Reference Model, TCP/IP Reference Model
by
SuvarnaSharma5
PPTX
24ME402-ENGINEERING MATERIALS AND METALLURGY --- UNIT-II
by
DJAGADEESH1
PPTX
TRICKLING FILTER PROCESS FOR WASTEWATER TREATMENT.pptx
by
Chemical Engineering Dept. NIT Rourkela-769008, Odisha, India
PPTX
820656155-Unit-III-Univariate-Analysis.pptx
by
kalaimugill
PDF
God series - Physics video office crossed
by
jangidankit8781
PDF
Chip Designer's Code - Linux Terminal Part 6 - Text Viewers
by
Amr Adel
PPTX
What TPM Looks Like When You’re Short-Staffed and Still Make It Work | Lean T...
by
MaintWiz Technologies Private Limited
PPTX
The Half-Life of Preventive Maintenance: Why PM Compliance Fails & How to Res...
by
MaintWiz Technologies Private Limited
PPTX
Group-3-Ethics - Freedom as foundation for moral acts
by
CharlsCasquejo2
PDF
2.2 Inch TFT LCD Display 320×240 Resolution – LH220Q32-FD01 Industrial Panel
by
Syluxdisplay
PDF
Process Scheduling Scheduling Queue, Types of Sheduler
by
Sanjay Gunjal
PPTX
Filtration-slow sand filtration and rapid sand filtration.pptx
by
Chemical Engineering Dept. NIT Rourkela-769008, Odisha, India
PPTX
FROM MEASUREMENT TO MEANING : Metrology-Driven Battery Testing for Reliable ...
by
RunjhunDutta
PDF
TechRush Hackathon 2026: A Platform for Innovation, Learning, and Real-World ...
by
reshmi7103
PPTX
Tips for Designing Flex Circuits for Medical Applications
by
Epec Engineered Technologies
Applications of cloud computing in education
by
hatimunwala5
TechSprint WinterHack || After an intense hackathon filled with creativity, ...
by
bajpaitusharoffon678
psoc_unit_one_for_all_thoery_potion_are_coverd_in_the_this_unit_for_everything
by
sabinesh200517
10 Tips for Successfully Purchasing Twitter Accounts.pdf
by
marketing
battery energy storage system (BESS).pptx
by
manish99skp
Unit-2: Network Models--OSI Reference Model, TCP/IP Reference Model
by
SuvarnaSharma5
24ME402-ENGINEERING MATERIALS AND METALLURGY --- UNIT-II
by
DJAGADEESH1
TRICKLING FILTER PROCESS FOR WASTEWATER TREATMENT.pptx
by
Chemical Engineering Dept. NIT Rourkela-769008, Odisha, India
820656155-Unit-III-Univariate-Analysis.pptx
by
kalaimugill
God series - Physics video office crossed
by
jangidankit8781
Chip Designer's Code - Linux Terminal Part 6 - Text Viewers
by
Amr Adel
What TPM Looks Like When You’re Short-Staffed and Still Make It Work | Lean T...
by
MaintWiz Technologies Private Limited
The Half-Life of Preventive Maintenance: Why PM Compliance Fails & How to Res...
by
MaintWiz Technologies Private Limited
Group-3-Ethics - Freedom as foundation for moral acts
by
CharlsCasquejo2
2.2 Inch TFT LCD Display 320×240 Resolution – LH220Q32-FD01 Industrial Panel
by
Syluxdisplay
Process Scheduling Scheduling Queue, Types of Sheduler
by
Sanjay Gunjal
Filtration-slow sand filtration and rapid sand filtration.pptx
by
Chemical Engineering Dept. NIT Rourkela-769008, Odisha, India
FROM MEASUREMENT TO MEANING : Metrology-Driven Battery Testing for Reliable ...
by
RunjhunDutta
TechRush Hackathon 2026: A Platform for Innovation, Learning, and Real-World ...
by
reshmi7103
Tips for Designing Flex Circuits for Medical Applications
by
Epec Engineered Technologies
Download