Calculus Notes Ch 6.2
•Volumes by slicing can be found by adding up each
slice of the solid as the thickness of the slices gets
smaller and smaller, in other words
the number of slices goes to infinity.
•To find the volume of each slice of the pyramid you
would find the area of each square then multiply the
area by the thickness of the slice. The thickness would
be dx because we are slicing with respect to the x-axis.
Next you would add the volumes of each slice together
to find the total volume.
•This would be a Riemann sum with the limit as n the
number of slices going to infinity.
• Remember the from Ch 5.5
• Only now instead of f(x*) we will be summing the
areas of the base of each slice. So change
f(x*)in the Riemann Sum to A(x*)which
represents the area of the base.
∑ ∫=→∆
=∆=
n
k
b
a
kk
x
dxxfxxfA
1
*
0max
)()(lim
∑ ∫=→∆
=∆=
n
k
b
a
kk
x
dxxAxxAV
1
*
0max
)()(lim
Here is an example using a
cylinder
Find the volume of the cylinder
using the formula and slicing
with respect to the x-axis.
A = πr2
A = π22
= 4π
∫
6
2
4 dxπ
] ππππππ 16824)2(4)6(44
6
2 =−=−== x
• Now use the formula you learned in
Geometry to find the area
• V=π r2
h=π(22
)(4) = 16 π
You can also work problems like
these with respect to the y-axis.
• Volume of solids of revolution using
disks
• If you take the area under the line y = x
from 0 to 4 it will look like the diagram
below
4
If you rotate this area around the x-axis
it will form a cone (see below diagram)
4
• Now use the formula below to find the
volume of the 3-D figure formed by
rotating around the x-axis.
• http://www.plu.edu/~heathdj/java/calc2/Solid.html
• This method is called disks when
revolved around the x-axis ( note: it is
sliced with respect to the x-axis and is
revolved around the x-axis)
• Formula for finding the volume of the solid
formed when f(x) is revolved around the x-
axis
• Each slice is a circle, the formula for the
area of a circle is A=π r2
. The radius is the y-
value of the function AKA f(x). So, the area
formula becomes A=π (f(x))2
• Substitute into the formula
( ) dxxfdxxA
b
a
b
a
∫∫ =
2
)()( π
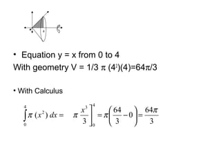
• Equation y = x from 0 to 4
With geometry V = 1/3 π (42
)(4)=64π/3
4
• With Calculus
3
64
0
3
64
3
)(
4
0
34
0
2 π
πππ =





−=


=∫
x
dxx
Your turn
p. 410 # 6. find the volume of the solid that
results when the region enclosed by the
given curves is revolved around the x-axis
y = sec x, x = , x = , y = 04
π
3
π
Use the formula ( ) dxxf
b
a
∫
2
)(π
( ) [ ] 





−==∫ 4
tan
3
tantansec 3
4
3
4
2 ππ
πππ
π
π
π
π
xdxx
( ) πππ −=− 313
Your turn
p. 410 # 6. find the volume of the solid that
results when the region enclosed by the
given curves is revolved around the x-axis
y = sec x, x = , x = , y = 04
π
3
π
Use the formula ( ) dxxf
b
a
∫
2
)(π
( ) [ ] 





−==∫ 4
tan
3
tantansec 3
4
3
4
2 ππ
πππ
π
π
π
π
xdxx
( ) πππ −=− 313

Calculus notes ch 6

  • 1.
    Calculus Notes Ch6.2 •Volumes by slicing can be found by adding up each slice of the solid as the thickness of the slices gets smaller and smaller, in other words the number of slices goes to infinity. •To find the volume of each slice of the pyramid you would find the area of each square then multiply the area by the thickness of the slice. The thickness would be dx because we are slicing with respect to the x-axis. Next you would add the volumes of each slice together to find the total volume. •This would be a Riemann sum with the limit as n the number of slices going to infinity.
  • 2.
    • Remember thefrom Ch 5.5 • Only now instead of f(x*) we will be summing the areas of the base of each slice. So change f(x*)in the Riemann Sum to A(x*)which represents the area of the base. ∑ ∫=→∆ =∆= n k b a kk x dxxfxxfA 1 * 0max )()(lim ∑ ∫=→∆ =∆= n k b a kk x dxxAxxAV 1 * 0max )()(lim
  • 3.
    Here is anexample using a cylinder Find the volume of the cylinder using the formula and slicing with respect to the x-axis. A = πr2 A = π22 = 4π ∫ 6 2 4 dxπ ] ππππππ 16824)2(4)6(44 6 2 =−=−== x
  • 4.
    • Now usethe formula you learned in Geometry to find the area • V=π r2 h=π(22 )(4) = 16 π You can also work problems like these with respect to the y-axis.
  • 5.
    • Volume ofsolids of revolution using disks • If you take the area under the line y = x from 0 to 4 it will look like the diagram below 4 If you rotate this area around the x-axis it will form a cone (see below diagram) 4
  • 6.
    • Now usethe formula below to find the volume of the 3-D figure formed by rotating around the x-axis. • http://www.plu.edu/~heathdj/java/calc2/Solid.html • This method is called disks when revolved around the x-axis ( note: it is sliced with respect to the x-axis and is revolved around the x-axis)
  • 7.
    • Formula forfinding the volume of the solid formed when f(x) is revolved around the x- axis • Each slice is a circle, the formula for the area of a circle is A=π r2 . The radius is the y- value of the function AKA f(x). So, the area formula becomes A=π (f(x))2 • Substitute into the formula ( ) dxxfdxxA b a b a ∫∫ = 2 )()( π
  • 8.
    • Equation y= x from 0 to 4 With geometry V = 1/3 π (42 )(4)=64π/3 4 • With Calculus 3 64 0 3 64 3 )( 4 0 34 0 2 π πππ =      −=   =∫ x dxx
  • 9.
    Your turn p. 410# 6. find the volume of the solid that results when the region enclosed by the given curves is revolved around the x-axis y = sec x, x = , x = , y = 04 π 3 π Use the formula ( ) dxxf b a ∫ 2 )(π ( ) [ ]       −==∫ 4 tan 3 tantansec 3 4 3 4 2 ππ πππ π π π π xdxx ( ) πππ −=− 313
  • 10.
    Your turn p. 410# 6. find the volume of the solid that results when the region enclosed by the given curves is revolved around the x-axis y = sec x, x = , x = , y = 04 π 3 π Use the formula ( ) dxxf b a ∫ 2 )(π ( ) [ ]       −==∫ 4 tan 3 tantansec 3 4 3 4 2 ππ πππ π π π π xdxx ( ) πππ −=− 313