BIOSYNTHETIC PATHWAYS
By: Swapnil S. Tirmanwar
Priyadarshini J.L.College of Pharmacy ,
Nagpur.
W0x888
1
2
1.Biosynthetic pathways and Radio tracing techniques:
Constituents & their Biosynthesis,
Isolation, Characterization and purification with a
special reference to
their importance in herbal industries of following phyto-
pharmaceuticals containing drugs:
a) Alkaloids: Ephedrine, Quinine, Strychynine, Piperine,
Berberine, Taxol, Vinca alkoloids.
b) Glycosides: Digitoxin, Glycyrrhizin, Sennosides,
Bacosides, Quercitin.
c) Steroids: Hecogenin, guggulosterone and
withanolides
d) Coumarin: Umbelliferone.
e) Terpenoids: Cucurbitacins
W0x888
3
Metabolic pathways in higher plants and their
determination
a) Brief Study of basic metabolic pathways and
formation of different secondary metabolites through
these pathways-
Shikimic acid pathway,
Acetate pathways and
Amino acid pathway.
b) Study of utilization of radioactive isotopes in the
investigation of Biogenetic studies.
W0x888
Metabolic pathways in higher plants &their
determination
a) Brief study of basic metabolic pathways and
formation of different secondary metabolites
through these pathways- Shikimic acid pathway,
Acetate pathways and Amino acid pathway.
b) Study of utilization of radioactive isotopes in the
investigation of Biogenetic studies.
4
W0x888
5
W0x888
Plant Metabolism
6
W0x888
7
W0x888
8
W0x888
9
W0x888
10
W0x888
11
W0x888
12
W0x888
13
W0x888
Biosynthetic Pathways
1. Acetate
Mevalonate Pathway
14
W0x888
16
Biosynthetic pathway
2. Acetate Malonate Pathway
W0x888
C
H3
O
S.CoA
O
S.CoA
OOC
C
H3
O
S-ACP
O
S-ACP
OOC
Acetyl CoA Malonyl CoA
S
O O
ACP
S-ACP
O
S-ACP
O
S-ACP
O
Acetyl ACP
Acetoacetyl ACP
Palmitolyl-ACP
Palmitic acid
Stearoyl ACP
Stearic acid
Oleic acid
(16:1)
Oleoyl ACP
S-ACP
O
S-ACP
O
S-ACP
O
Linoleioyl ACP
Linolenoyl ACP
Linoleic acid
(16:2)
Linolenic acid
(16:3)
Arachidonic acid
17
W0x888
Biosynthetic pathway
3. Shikimic Acid Pathway
18
W0x888
COOH
C
CH3
O PO3H2
+
CHO
C
C
OH
H
H OH
H2PO3OH2C
COOH
C
CH2
CHOH
O
CHOH
CHOH
CH2OPO3H2
COOH
O
H
O OH
O
H
COOH
O OH
O
H
HOOC
OH
O
H
O
H
O
CH2
COOH
HOOC
O
H
HOOC CH2
C O
COOH
H
O
H
COOH
NH2
N
H
COOH
NH2
H2C
C O
COOH
H2C
C O
COOH
O
H
Erythrose- 4 -Phosphate
2- keto-3-deoxy-7-phospho-D-glucoheptonic acid
3-Dehydro shikimic acid
3-Dehydroquinic acid
Shikimic acid
Chorismic acid
Prephenic acid
Anthranillic acid
p-hydroxy phenyl
pyruvic acid
Phenyl-pyruvic acid
Tryptophan
Phenylalanine Tyrosine
Phosphoenol Pyruvate
COOH
NH2
O
H
COOH
NH2
19
W0x888
20
Amino Acid Pathway
W0x888
21
N
H
N
H
pyrrolidine pyrrole
N
H
N
piperidine pyridine
N
N N
H
quinoline isoquinoline indole
N
H
dihydroindole
W0x888
22
N N
N
H
N
quinolizidine pyrrolizidine tropane
benzylisoquinoline
N
N N
N
H
purine
C C N
-phenylethylamine
W0x888
23
W0x888
24
W0x888
25
GLUCOSE  GLUC-6-PHOSPHATE    RIB-5-PHOS→ HIS


3-PHOSPHOGLYCERATE  SERINE
 
 GLYCINE
E-4-PHOS + PEP CYSTEINE
 
PHE→TYR PYRUVATE  ALA
TRP  VAL
CITRATE LEU, ILE
↓
OXALOACETATE, -KETOGLUTARATE
ASP, ASN, GLU, GLN, PRO, ARG, LYS, THR, MET
AMINO ACID BIOSYNTHESIS OVERVIEW
W0x888
26
W0x888
27
W0x888
28
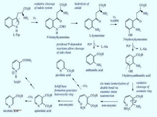
Biosynthesis of Pyridine from
Tryptophan
W0x888
29
W0x888
Biosynthesis of
Anthracene
Glycosides
30
W0x888
H3C COOH
CH3
HOOC
H3C
COOH
H3C
COOH
H3C
COOH
CH3
HOOC
CH3
HOOC
CH3
HOOC
O
O
O
O
O
O
Enz-So
O
O
OH
OH
O
O
OH
OH
O
O
O
H
OH
OH
O
O
8 Acetate units
Anthrone
Polyketide
Endocrocin
Emodin
Enolization oxidation
Decarboxylation
31
W0x888
Biosynthesis of Steroidal Glycosides
32
W0x888
33
W0x888
34
W0x888
35
W0x888
36
W0x888
37
W0x888
Biosynthesis of Flavonoidal glycosides
Shikimic acid Pathway
P-coumaric acid
A polyketide
Chalcone
Flavanone
Aurone Dihydroflavanol Isoflavone Flavone
Catechin Anthocyanin Flavonol
38
W0x888
39
W0x888
40
W0x888

Biosynthesis.pptx..