Option B
Biochemistry
What we look at
• B1.Energy
• B2. Proteins
• B3. Carbohydrates
• B4. Lipids
• B5. Micronutrients and Macronutrients
• B6. Hormones
• B7. Enzymes (AHL)
• B8. Nucleic Acids (AHL)
• B9. Respiration (AHL)
• The chemistry of living organisms is called biochemistry.
• Biochemical molecules tend to be very large and difficult
to synthesize.
• Living organisms are highly ordered. Therefore, living
organisms have very low entropy.
• Most biologically important molecules are polymers,
called biopolymers.
• Biopolymers fall into three classes: proteins,
carbohydrates, and nucleic acids.
Introduction to Biochemistry
Calculating Energy from Food
• Use calorimeter
• Energy content of food can be determined by calorimetry.
• The food is burned in a calorimeter, and the increase in
temperature of surrounding water is measured:
q = mCΔT
q = heat (in joules)
m = mass of water (in grams)
C = specific heat of water (4.184 J g-1 ºC-1)
T = temperature change of water (in ºC)
B1. Calorimetry
• Example: 1.13 g of rice raises the temperature of 525 g of
water by 3.31ºC. Determine the energy content in kJ per
100 g of rice.
Calorimetry
Q = mC∆T = (525 g) (4.184 J g-1 ºC-1) (3.31ºC)
= 7260 kJ
Energy content is 7260 kJ / 1.13 g rice = 6.42 kJ per gram of
rice
Multiply by 100 g to get 642 kJ per 100 g of rice.
Example 2
Calorimetry
solution
Amino Acids
• Proteins are large molecules present in all cells.
• They are made up of 2-amino acids. (this means that the amine
group is on carbon number 2, while the carboxylic acid group is on
carbon number 1)
• There are two forms of an amino acid: one that is neutral (with -
NH2 and -COOH groups) and one that is zwitterionic (with -NH3
+
and -COO- groups).
• A zwitterion has both positive and negative charge in one
molecule.
B2. Proteins
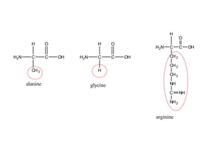
Structure of 2-Amino Acids Proteins
H2N C C
R
OH
OH Carbon 1: carboxyl group
Carbon 2:
contains amine
group
Functional group – where one
amino acid differs from the
others
H2N C C
CH3
OH
OH
alanine
H2N C C
H
OH
OH
glycine
H2N C C
CH2
OH
O
CH2
CH2
NH
C
NH2
NH
arginine
H
• There are about 20 amino acids found in most
proteins.
• Each amino acid is assigned a three-letter
abbreviation.
• Amino acids are listed in the IB data booklet
• Our bodies can synthesize about 10 amino acids.
• Essential amino acids are the other 10 amino acids,
which have to be ingested (part of our diet).
• The -carbon (carbon 2) in all amino acids except
glycine is chiral (has 4 different groups attached to it).
Human Biochemistry 13
20 α-amino acids
Jan 3, 2010 Human Biochemistry 14
Properties of amino acids
(amphoteric)
H++ H2N-CHR-COO-← H3N+-CHR-COO- → H3N+-CHR-COOH + OH-
>At low pH
>Extra H+ reacts with OH-
>[OH- ] drops
>Equilibrium shifts to the right
>H3N+
-CHR-COOH form
>positive charge
>At high pH
>Extra OH- reacts with H+
>[H+] drops
>Equilibrium shifts to the left
>H2N-CHR-COO-
form
>negative charge
>At isoelectric point
>identical ionizations
>only zwitterion
>H3N+
-CHR-COO-
form
>no net charge
Jan 3, 2010 Human Biochemistry 15
Properties of amino acids
(buffer)
H3N+-CHR-COO- + H+→ H3N+-CHR-COOH + H2O>when H+ is added
>equilibrium shifts to right
>[H+] drops
>pH remains the same
>buffer action
>when OH- is added
>equilibrium shifts to left
>[OH-] drops
>pH remains the same
>buffer action
H2O + H2N-CHR-COO-← OH- + H3N+-CHR-COO-
Polypeptides and Proteins
• Proteins are polyamides.
• When formed by amino acids, each amide group is called
a peptide bond.
• Peptides are formed by condensation of the -COOH
group of one amino acid and the NH group of another
amino acid. Water is also produced in the reaction
N C
R
H
C
O
OH
H
H N C
R'
H
C
O
OH
H
H+ N C
R
H
C
O
N
H
H C
H
C OH
R'
H
O
• The acid forming the peptide bond is named first.
Example: if a dipeptide is formed from alanine and
glycine so that the COOH group of glycine reacts with
the NH group of alanine, then the dipeptide is called
glycylalanine.
• Glycylalanine is abbreviated gly-ala.
• Polypeptides are formed with a large number of amino
acids (usually result in proteins with molecular weights
between 6000 and 50 million amu).
Jan 3, 2010 Human Biochemistry 18
Primary structure
>sequence of amino acids
>characteristic of protein function
Secondary structure
>folding of polypeptide chain
>by Hydrogen bonds
α-helix: between atoms of the same chain, e.g. hair,
wool
pleated sheet: between parallel chains, e.g. silk
random coil: no repeating pattern
Tertiary structure
>3D shape of secondary structure
> several types of interaction
Quaternary structure
>3D shape of tertiary structures of different
polypeptide chains
Protein Structure
• Primary structure is the sequence of
the amino acids in the protein.
• Example: NH2-leu-his-ala-…-ala-
val-ser-COOH
• A change in one amino acid can alter
the biochemical behavior of the
protein.
• Secondary structure is the regular
arrangement of segments of protein.
• One common secondary structure is
the -helix.
• Contains hydrogen-bonding
parallel to helix
• Another is the β-pleated sheet.
• Contains H-bonding perpendicular to the sheet
• The helix or pleated sheet is held together by hydrogen
bonds between N-H bonds and carbonyl groups.
Tertiary Structure is the overall shape of the protein.
• Fibrous Proteins – provide strength for tissue (muscle,
hair,cartilage)
• Globular Proteins (sphere-shaped)
• Transport and store nutrients
• Catalyze reactions (enzymes)
• Fight invasion
• Participate in metabolism
Tertiary structure of Myoglobin
Forces Affecting Tertiary Structure:
• Ionic Bonding
• Hydrogen Bonding
• Covalent Bonds (disulfide linkage)
• London Dispersion Forces
• Dipole-dipole Forces
Denaturation – A change in the
function of a protein as a result of a
change in tertiary structure.
Quaternary Structure
• How multiple polypeptide chains are held together in
large proteins containing more than one polypeptide
molecule
– Intermolecular forces (H-bonds, dipole-dipole, LDF)
Haemoglobin
Analysis of Proteins
Paper Chromatography
• Hydrolysis of protein (6 M HCl, 110°C)
• Break peptide bonds, obtain amino acids
• Place sample spot on paper, set paper in
solvent
• Spray ninhydrin to “develop” spots
• Amino acids separate based on polarity
solventbymovedcedis
spotbymovedcedis
Rf
tan
tan

Human Biochemistry 25
Chromatography set-up
Human Biochemistry 26
Chromatography Rf value
distance traveled by compound
distance traveled by solvent
Rf =
Rf is specific for each amino acid
Electrophoresis
Separate amino acids based on isoelectric point (pI)
pI = isoelectric point = the pH at which positive and
negative charges are balanced (no net charge on
amino acid or polypeptide)
– Depends on acid-base properties of “R”
1. Mixture of amino acids placed on gel (or paper)
2. Gel (or paper) is saturated with a buffer of known
pH.
3. Electric Current is applied
• If pH = pI, amino acid does not move
• If pH > pI, amino acid moves toward “+”
– Amino acid loses H+ in basic solution and becomes negative, moving
toward anode.
• If pH < pI, amino acid moves toward “-”
– Amino acid gains H+ in acidic solution and becomes positive, moving
toward cathode.
• The further the pH is from pI, the faster the amino acid will move.
• Example – A mixture of 5 amino acids
(shown below with pI values) is to be
separated by electrophoresis. A buffer
with a pH of 6.0 is used. What will happen
when the current is turned on?
Cys Gln Gly His Lys
5.1 5.7 6.0 7.6 9.7
What if the buffer used has a pH of 7.0?
+ -
Major Functions of Proteins
1. Structure – fibrous proteins
• Muscle, cartilage, skin, bones, hair, nails
• Collagen (skin), keratin (hair)
2. Catalyst. Enzymes catalyze specific
chemical reactions in the body.
3. Control. Hormones – ie.insuline
4. Transport and storage of energy and
nutrients – ie.haemoglobin
5. Protection – ie. antibodies
6. Energy source- ie.proteins in muscles.
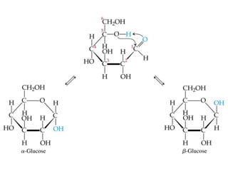
• Carbohydrates have empirical formula Cx(H2O)y.
• Monosaccharides contain:
One C=O group and at least two OH- groups
• Most abundant carbohydrate is glucose, C6H12O6.
• Carbohydrates are polyhydroxy aldehydes and ketones.
• Glucose is a 6 carbon aldehyde (aldoses) sugar and
fructose is a 6 carbon ketone (ketoses) sugar.
• The alcohol side of glucose can react with the aldehyde
side to form a six-membered ring.
B3.Carbohydrates
• Most glucose molecules are in the ring form.
• Note the six-membered rings are not planar.
• Focus on carbon atoms 1 and 5: if the OH groups are on
opposite sides of the CH2OH group, then we have -
glucose; if they are on the same side of the ring, then we
have -glucose.
• The - and - forms of glucose form very different
compounds.
Disaccharides
• Glucose and fructose are monosaccharides.
• Monosaccharides: simple sugars that cannot be broken
down by hydrolysis with aqueous acids.
• Disaccharides are sugars formed by the condensation of
two monosaccharides. Examples: sucrose (table sugar),
maltose and lactose (milk sugar).
• Sucrose is formed by the condensation of -glucose and
fructose.
• Glycoside linkage – “ether” bond formed when
monosaccharides combine to form disaccharides or
polysaccharides (C-O-C).
• Lactose is formed from galactose and -glucose.
• Sucrose is about six times sweeter than lactose, a little
sweeter than glucose and about half as sweet as fructose.
• Disaccharides can be converted into monosaccharides
by treatment with acid in aqueous solution.
LACTOSE
= β-D galactose + β-D glucose
β-1,4-glycoside linkage
MALTOSE
= α-D glucose + α-D glucose
α-1,4-glycoside linkage
SUCROSE
= β-D fructose + α-D glucose
a-1,2-glycoside linkage
Polysaccharides
• Polysaccharides are formed by condensation of several
monosaccharide units.
• There are several different types. Example: starches can
be derived from corn, potatoes, wheat or rice.
• Starch performs storage of glucose in plants and animals.
• Starch contains 1,4 and 1,6 linkages.
• Enzymes catalyze the conversion of starch to glucose.
• Starch is poly -glucose whereas cellulose is poly -
glucose.
• Enzymes that hydrolyze starch do not hydrolyze cellulose
because of the different shapes of the polymers.
• Ingested cellulose is recovered unmetabolized. This is
referred to as dietary fiber.
Polysaccharides
• Cellulases are enzymes that enable animals to use
cellulose for food and break down cellulose by
hydrolysis. These enzymes are absent in most animals,
including mammals.
Starch
Amylose
α-glucose
Straight chain
α-1,4
Water soluble
Starch
Amylopectin
α-glucose
Branched chain
Water insoluble
α-1,4+α-1,6
Glycogen
α-glucose
Branched chain
Water insoluble
α-1,4+α-1,6
β-glucose
Straight chain
Water insoluble
β-1,4 + H-bonds
Major Functions of Carbohydrates
1. Energy sources (glucose)
2. Energy reserves (glycogen)
3. Structure (cellulose)
4. Precursors for other important molecules
Dietary Fiber – mainly plant material that is not
digested by hydrolyzed by enzymes in the human
digestive tract.
Importance – may help prevent diverticulitis, IBS,
constipation, obesity, Crohn’s disease,
hemorrhoids, and diabetes mellitus.
B4. Lipids
Organic molecules with long hydrocarbon
chains (nonpolar)
Types: Triglycerides, phospholipids, steroids.
Major functions in the body:
* energy storage
* insulate and protect organs
* form cell membranes
* hormones
Triglycerides are fats and oils – esters composed of glycerol
(1,2,3-propanetriol) and long-chain carboxylic acids.
R is usually a straight chain
- usually an even number of carbon atoms
- between 10 & 20 carbon atoms
- no other functional groups present
OH
OH
OH
OH R1
O
OH R2
O
OH R3
O
O R1
O
O R2
O
O R3
O
glycerol fatty acids
triglyceride
Triglycerides
Saturated Fats Unsaturated Fats
All single bonds C-C contains C=C
and/or C=C
Animal fats vegetable oils
Solids (high mp) Liquids (lower mp)
Pack closely together Not closely packed
• Lipases – enzymes in the body that
hydrolyze fats to glycerol and fatty acids.
– Fatty acids are then broken down to make
CO2, H2O and energy. Produce large amounts
of energy compared to proteins and
carbohydrates (gram for gram)
Essential fatty acids
– Omega-6 linoleic
• Cis,cis-9,12-octadecadienoic acid
– Omega-3 linolenic
– From these, the body can synthesize longer and more
unsaturated fatty acids.
– Trans fatty acids increase formation of LDL
Iodine Number – The number of moles of I2
reacting with one mole of fat/oil indicates the
number of double bonds present in the fat/oil
molecule. I2 reacts with pi bonds. I2 is added
to a fat – the more I2 reacts, the more pi bonds
present (more unsaturated)
C C
R
R
R
R
+ I I C C
I
R
R
I
R
R
Saponification – the production of soap from fatty
acids.
Base Hydrolysis – triglyceride is hydrolyzed in the
presence of a strong base (OH-) – produces
glycerine and conjugate bases of carboxylic
acids (soap molecules).
Action of soaps – Form micelles to attract nonpolar
dirt into polar water.
OH
OH
OH
O R1
O
O R2
O
O R3
O
O R1
O
O R2
O
O R3
O
glycerol bases of
fatty acids
(soap)
triglyceride
+ NaOH
Hard Water – Resists solution of soap
(bubbles not produced)
- contains Ca2+ and Mg2+ ions, which
precipitate the ions of soap.
Phospholipids contain polar and
nonpolar ends (like soap) – form bilayers
in cell membranes.
Embedded proteins – allow for transport of
substances into and out of the cell.
Phospholipids
Waxes – monohydroxy alcohols
- low melting solids
- waterproof coating (fruits, some animals)
Steroids – A group of molecules with a common
fused 4-ring structure
Waxes and Steroids
Cholesterol – multifunctional lipid found in tissues,
blood, brain, spinal cord building block for other
steroids formed in liver, available in food
hardening of arteries – heart disease
transported by lipoproteins
LDL – low density lipoproteins (“bad” cholesterol)
– source is saturated fats.
- large molecules (18-25 nm long)
- transport cholesterol to arteries, leading to
cardiovascular diseases.
HDL – high density lipoproteins (“good”
cholesterol)
- can remove cholesterol from arteries and
transport it back to liver.
- smaller molecules (8-11 nm long)
• Macronutrients – required by the body in
large amounts (>0.005% body mass)
– Carbohydrates, proteins, lipids
– Na, Mg, K, Ca, P, S, Cl
• Micronutrients – required by the body in trace
amounts (<0.005% body mass)
– Vitamins and trace minerals (Fe, Cu, Zn, I, Se,
Mn, Mo, Cr, Co, B)
B5. Micro and macro nutrients
Vitamins
• Organic compounds needed in small amounts
for normal growth and metabolism, but are not
synthesised by the body
• Some of them are water soluble (polar): Vit C
• Some of them are fat soluble (non polar):
slower to be absorbed and excess is stored in
fat tissue producing side effects (Vit A, Vit D)
Comparing vitamins A, D and C
Deducing wheter a vitamin is water or fat
soluble from its structure
Malnutrition
• Not having a balanced diet (deficit in some
nutrients)
• Serious problem both in developing and
non developing countries
Micronutrient deficiencies
• Deficit in Iodine: goitre
• Deficit in Vitamin A: Xerophthalmia
• Iron deficiency: anaemia
• Niacin (vit B3) deficiency: pellagra
• Deficit in thiamin (vit B1): beriberi
• Vit c deficiency: scurvy
• Vit D deciciency: rickets
• Selenium deficit: Kashin-Beck disease.
Macronutrients deficiencies
• Marasmus: protein deficiency found mainly
in infants
• Kwashioskior: condition affecting young
children with diets rich in carbs and poor in
proteins
Metal Ions in the Body
• Ca – bones and teeth (needs P to attach)
• Mg, Na, K – ions in fluids in and around cells.
• Transition metals – REDOX reactions
- Lewis Acids
• Zn2+ - cofactor in 100 enzymes
– In insulin
• Co3+ - vitamin B12
• Fe – hemoglobin (oxygen transport)
• Cu – cytochrome
• Mn – needed for healthy bones
• Cr – helps in metabolism
Sodium/Potassium – transmission of nerve
impulses.
– K+ - most abundant ion inside cells
• Responsible for cellular enzymes
– Na+ - most abundant ion outside cells
• Maintains water balance
– BOTH regulate H+ ions in the body
Hormones – chemical messengers
• Hypothalamus controls pituitary gland,
which controls the endocrine glands that
make hormones.
• Adrenaline (epinephrine) – produced in
the adrenal cortex. Stimulant that is
released in times of excitement. Increases
heart rate and release of glucose into
bloodstream.
B6. Hormones
• Thyroxin – produced in thyroid glands in
the neck. Contains iodine. Low levels
(hypothyroidism) cause lethargy,
sensitivity to cold, and dry skin. High levels
(hyperthyroidism) causes anxiety, weight
loss, intolerance to heat, and protruding
eyes.
• Insulin – produced in the pancreas.
Regulates blood sugar levels.
Hyperglycemia is caused by too little
insulin (thirst, weight loss, circulatory
problems). Hypogycemia causes dizziness
and fainting.
•Aldosterone
Is produced in the adrenal cortex, which is part of
the adrenal gland. It manages sodium and
potassium balance and maintains body fluid levels.
•The Antidiuretic Hormone (ADH)
It is produced in the hypothalamus, but is released
by the pituitary gland. It is also called vasopressin.
It prevents the production of dilute urine and
contracts the arteries and capillaries
• Sex hormones – produced in the testes
and ovaries
– Estrogen
– Testosterone
Oral Contraceptives action
• Synthetic progesterone and estrogen
– Stop release of hormones that cause
ovulation
– Mimics action of production of progesterone in
pregnancy
– Often “progesterone-like”
• Minipill – changes composition of cervical
mucous – prevent spermatozoa from
entering.
– Can be inserted under the skin
• Time release over 5 years
Anabolic Steroids – (anabolic = building up)
uses – increase muscle mass
problems – Aging
– Impotence, baldness, problems urinating,
smaller testes (in men)
– Build up muscles, facial hair (in women)
– Temper, aggressive behavior, liver tumors, high
blood pressure, heart attacks
Action of Enzymes
• Enzymes are proteins.
• NO EFFECT on ΔH, ΔS, ΔG.
• Increases the rate of the reaction by decreasing Ea
• Action of enzyme is determined by tertiary and quaternary
structure.
• Substrate – the “reactant” molecule in the catalyzed
reaction.
• Active Site – the specific site on the enzyme molecule that
catalyzes the reaction.
• Each enzyme catalyzes a specific chemical reaction.
Enzymes – induced fit
Enzymes – induced fit
• Cofactor – A substance that attaches to an
enzyme in order to increase its effectiveness.
– Coenzyme – an organic cofactor.
• Factors that affect the rate of a catalyzed
reaction
– [enzyme] – first order Rate = k[E]
• As concentration of enzyme increases, more substrate
molecules can be catalyzed
Rate vs. [Enzyme]
[Enzyme]
RateofReaction
• [Substrate]
• As concentration increases, rate increases
(first order kinetics) up to a point – enzyme
saturation. When all enzyme molecules are
working at capacity, rate levels off.
Rate vs. [Substrate]
[Substrate]
RateofReaction
Rate vs. [Substrate]
[Substrate]
RateofReaction
Vmax
Vmax = The maximum rate of a reaction for a particular
enzyme concentration.
Km = Michaelis-Menten constant
Represents approximate [substrate] in human
body under normal conditions
Equal to [substrate] at ½ Vmax
Km
• Inhibitor – A substance that attaches to
enzyme and slows down (inhibits) the
action of the enzyme
– Irreversible inhibition – occurs if the inhibitor
bonds covalently to the enzyme
– Reversible if weak forces are present (H-
bonds, dipole-dipole, LDF)
1. Competitive Inhibition – The inhibitor
attaches at the active site, preventing the
substrate from binding with the enzyme.
(example is CO or CN-)
– To reduce the effect, we can increase the
substrate concentration
2. Non-competitive inhibition – Inhibitor binds to
the enzyme at a site other than the active site.
This causes the shape of the active site to
change, so that the enzyme will no longer fit
into the active site properly. (heavy metal ions)
Rate vs. [substrate] with Inhibition
[Substrate]
Rate
Uninhibited Competitive Non-competitive
• Temperature
• Most efficient at body temperature. As
temperature increases or decreases, tertiary
structure changes, altering active site.
Rate vs. Temperature
Temperature
Rate
• pH
Each enzyme has an optimal pH. The further
you get from that pH, the less effective it is
(denaturation occurs)
Rate vs. pH
pH
Rate
Uses of Enzymes in Biotechnology
1. Fermentation – production of alcohol
– Wine – yeasts in grape skin turn sugars into
alcohol
– 2 (C6H10O5)n + n H2O n C12H22O11
– C12H22O11 + H2O2 C6H12O6
– C6H12O6 2 C2H5OH + 2 CO2
• Cheese manufacture – fermentation of
lactose.
• Penicillin – fermentation to make antibiotic.
2. Enzyme immobilization
3. Genetic Engineering (anti-virals)
Respiration
The process by which glucose is converted to
energy.
Aerobic – C6H12O6 + 6 O2  6 CO2 + 6 H2O
First, glucose reacts with O2 to produce pyruvic
acid, C3H4O3:
C6H12O6 + O2  2 C3H4O3 + 2 H2O
H C
H
H
C
O
C
O
O H
Then, pyruvic acid is oxidized to form CO2 and
H2O:
2 C3H4O3 + 5 O2  6 CO2 + 4 H2O
Hemoglobin, with Fe2+ attached, carries O2 from the
lungs to the cells, then carries CO2 from the
cells to the lungs.
Cytochromes, with Fe3+ or Cu2+ attached, facilitate
the oxidation of glucose (metal ion is reduced to
Fe2+ or Cu+)
Anaerobic – C6H12O6  2 CO2 + 2 C2H5OH
(fermentation)
Anaerobic – In humans, pyruvic acid is converted to
lactic acid:
Otherwise, pyruvic acid becomes ethanol:
C6H12O6  2 CO2 + 2 C2H5OH
(fermentation)
H C
H
H
OH
H
C
O
OH

Biochemistry

  • 1.
  • 2.
    What we lookat • B1.Energy • B2. Proteins • B3. Carbohydrates • B4. Lipids • B5. Micronutrients and Macronutrients • B6. Hormones • B7. Enzymes (AHL) • B8. Nucleic Acids (AHL) • B9. Respiration (AHL)
  • 3.
    • The chemistryof living organisms is called biochemistry. • Biochemical molecules tend to be very large and difficult to synthesize. • Living organisms are highly ordered. Therefore, living organisms have very low entropy. • Most biologically important molecules are polymers, called biopolymers. • Biopolymers fall into three classes: proteins, carbohydrates, and nucleic acids. Introduction to Biochemistry
  • 4.
    Calculating Energy fromFood • Use calorimeter
  • 5.
    • Energy contentof food can be determined by calorimetry. • The food is burned in a calorimeter, and the increase in temperature of surrounding water is measured: q = mCΔT q = heat (in joules) m = mass of water (in grams) C = specific heat of water (4.184 J g-1 ºC-1) T = temperature change of water (in ºC) B1. Calorimetry
  • 6.
    • Example: 1.13g of rice raises the temperature of 525 g of water by 3.31ºC. Determine the energy content in kJ per 100 g of rice. Calorimetry Q = mC∆T = (525 g) (4.184 J g-1 ºC-1) (3.31ºC) = 7260 kJ Energy content is 7260 kJ / 1.13 g rice = 6.42 kJ per gram of rice Multiply by 100 g to get 642 kJ per 100 g of rice.
  • 7.
  • 8.
  • 9.
    Amino Acids • Proteinsare large molecules present in all cells. • They are made up of 2-amino acids. (this means that the amine group is on carbon number 2, while the carboxylic acid group is on carbon number 1) • There are two forms of an amino acid: one that is neutral (with - NH2 and -COOH groups) and one that is zwitterionic (with -NH3 + and -COO- groups). • A zwitterion has both positive and negative charge in one molecule. B2. Proteins
  • 10.
    Structure of 2-AminoAcids Proteins H2N C C R OH OH Carbon 1: carboxyl group Carbon 2: contains amine group Functional group – where one amino acid differs from the others
  • 11.
    H2N C C CH3 OH OH alanine H2NC C H OH OH glycine H2N C C CH2 OH O CH2 CH2 NH C NH2 NH arginine H
  • 12.
    • There areabout 20 amino acids found in most proteins. • Each amino acid is assigned a three-letter abbreviation. • Amino acids are listed in the IB data booklet • Our bodies can synthesize about 10 amino acids. • Essential amino acids are the other 10 amino acids, which have to be ingested (part of our diet). • The -carbon (carbon 2) in all amino acids except glycine is chiral (has 4 different groups attached to it).
  • 13.
  • 14.
    Jan 3, 2010Human Biochemistry 14 Properties of amino acids (amphoteric) H++ H2N-CHR-COO-← H3N+-CHR-COO- → H3N+-CHR-COOH + OH- >At low pH >Extra H+ reacts with OH- >[OH- ] drops >Equilibrium shifts to the right >H3N+ -CHR-COOH form >positive charge >At high pH >Extra OH- reacts with H+ >[H+] drops >Equilibrium shifts to the left >H2N-CHR-COO- form >negative charge >At isoelectric point >identical ionizations >only zwitterion >H3N+ -CHR-COO- form >no net charge
  • 15.
    Jan 3, 2010Human Biochemistry 15 Properties of amino acids (buffer) H3N+-CHR-COO- + H+→ H3N+-CHR-COOH + H2O>when H+ is added >equilibrium shifts to right >[H+] drops >pH remains the same >buffer action >when OH- is added >equilibrium shifts to left >[OH-] drops >pH remains the same >buffer action H2O + H2N-CHR-COO-← OH- + H3N+-CHR-COO-
  • 16.
    Polypeptides and Proteins •Proteins are polyamides. • When formed by amino acids, each amide group is called a peptide bond. • Peptides are formed by condensation of the -COOH group of one amino acid and the NH group of another amino acid. Water is also produced in the reaction N C R H C O OH H H N C R' H C O OH H H+ N C R H C O N H H C H C OH R' H O
  • 17.
    • The acidforming the peptide bond is named first. Example: if a dipeptide is formed from alanine and glycine so that the COOH group of glycine reacts with the NH group of alanine, then the dipeptide is called glycylalanine. • Glycylalanine is abbreviated gly-ala. • Polypeptides are formed with a large number of amino acids (usually result in proteins with molecular weights between 6000 and 50 million amu).
  • 18.
    Jan 3, 2010Human Biochemistry 18 Primary structure >sequence of amino acids >characteristic of protein function Secondary structure >folding of polypeptide chain >by Hydrogen bonds α-helix: between atoms of the same chain, e.g. hair, wool pleated sheet: between parallel chains, e.g. silk random coil: no repeating pattern Tertiary structure >3D shape of secondary structure > several types of interaction Quaternary structure >3D shape of tertiary structures of different polypeptide chains
  • 19.
    Protein Structure • Primarystructure is the sequence of the amino acids in the protein. • Example: NH2-leu-his-ala-…-ala- val-ser-COOH • A change in one amino acid can alter the biochemical behavior of the protein. • Secondary structure is the regular arrangement of segments of protein. • One common secondary structure is the -helix. • Contains hydrogen-bonding parallel to helix
  • 20.
    • Another isthe β-pleated sheet. • Contains H-bonding perpendicular to the sheet • The helix or pleated sheet is held together by hydrogen bonds between N-H bonds and carbonyl groups.
  • 21.
    Tertiary Structure isthe overall shape of the protein. • Fibrous Proteins – provide strength for tissue (muscle, hair,cartilage) • Globular Proteins (sphere-shaped) • Transport and store nutrients • Catalyze reactions (enzymes) • Fight invasion • Participate in metabolism Tertiary structure of Myoglobin
  • 22.
    Forces Affecting TertiaryStructure: • Ionic Bonding • Hydrogen Bonding • Covalent Bonds (disulfide linkage) • London Dispersion Forces • Dipole-dipole Forces Denaturation – A change in the function of a protein as a result of a change in tertiary structure.
  • 23.
    Quaternary Structure • Howmultiple polypeptide chains are held together in large proteins containing more than one polypeptide molecule – Intermolecular forces (H-bonds, dipole-dipole, LDF) Haemoglobin
  • 24.
    Analysis of Proteins PaperChromatography • Hydrolysis of protein (6 M HCl, 110°C) • Break peptide bonds, obtain amino acids • Place sample spot on paper, set paper in solvent • Spray ninhydrin to “develop” spots • Amino acids separate based on polarity solventbymovedcedis spotbymovedcedis Rf tan tan 
  • 25.
  • 26.
    Human Biochemistry 26 ChromatographyRf value distance traveled by compound distance traveled by solvent Rf = Rf is specific for each amino acid
  • 27.
    Electrophoresis Separate amino acidsbased on isoelectric point (pI) pI = isoelectric point = the pH at which positive and negative charges are balanced (no net charge on amino acid or polypeptide) – Depends on acid-base properties of “R” 1. Mixture of amino acids placed on gel (or paper) 2. Gel (or paper) is saturated with a buffer of known pH. 3. Electric Current is applied
  • 28.
    • If pH= pI, amino acid does not move • If pH > pI, amino acid moves toward “+” – Amino acid loses H+ in basic solution and becomes negative, moving toward anode. • If pH < pI, amino acid moves toward “-” – Amino acid gains H+ in acidic solution and becomes positive, moving toward cathode. • The further the pH is from pI, the faster the amino acid will move.
  • 29.
    • Example –A mixture of 5 amino acids (shown below with pI values) is to be separated by electrophoresis. A buffer with a pH of 6.0 is used. What will happen when the current is turned on? Cys Gln Gly His Lys 5.1 5.7 6.0 7.6 9.7 What if the buffer used has a pH of 7.0? + -
  • 30.
    Major Functions ofProteins 1. Structure – fibrous proteins • Muscle, cartilage, skin, bones, hair, nails • Collagen (skin), keratin (hair) 2. Catalyst. Enzymes catalyze specific chemical reactions in the body. 3. Control. Hormones – ie.insuline 4. Transport and storage of energy and nutrients – ie.haemoglobin 5. Protection – ie. antibodies 6. Energy source- ie.proteins in muscles.
  • 31.
    • Carbohydrates haveempirical formula Cx(H2O)y. • Monosaccharides contain: One C=O group and at least two OH- groups • Most abundant carbohydrate is glucose, C6H12O6. • Carbohydrates are polyhydroxy aldehydes and ketones. • Glucose is a 6 carbon aldehyde (aldoses) sugar and fructose is a 6 carbon ketone (ketoses) sugar. • The alcohol side of glucose can react with the aldehyde side to form a six-membered ring. B3.Carbohydrates
  • 33.
    • Most glucosemolecules are in the ring form. • Note the six-membered rings are not planar. • Focus on carbon atoms 1 and 5: if the OH groups are on opposite sides of the CH2OH group, then we have - glucose; if they are on the same side of the ring, then we have -glucose. • The - and - forms of glucose form very different compounds.
  • 38.
    Disaccharides • Glucose andfructose are monosaccharides. • Monosaccharides: simple sugars that cannot be broken down by hydrolysis with aqueous acids. • Disaccharides are sugars formed by the condensation of two monosaccharides. Examples: sucrose (table sugar), maltose and lactose (milk sugar). • Sucrose is formed by the condensation of -glucose and fructose. • Glycoside linkage – “ether” bond formed when monosaccharides combine to form disaccharides or polysaccharides (C-O-C).
  • 39.
    • Lactose isformed from galactose and -glucose. • Sucrose is about six times sweeter than lactose, a little sweeter than glucose and about half as sweet as fructose. • Disaccharides can be converted into monosaccharides by treatment with acid in aqueous solution.
  • 40.
    LACTOSE = β-D galactose+ β-D glucose β-1,4-glycoside linkage
  • 41.
    MALTOSE = α-D glucose+ α-D glucose α-1,4-glycoside linkage
  • 42.
    SUCROSE = β-D fructose+ α-D glucose a-1,2-glycoside linkage
  • 43.
    Polysaccharides • Polysaccharides areformed by condensation of several monosaccharide units. • There are several different types. Example: starches can be derived from corn, potatoes, wheat or rice.
  • 44.
    • Starch performsstorage of glucose in plants and animals. • Starch contains 1,4 and 1,6 linkages. • Enzymes catalyze the conversion of starch to glucose. • Starch is poly -glucose whereas cellulose is poly - glucose. • Enzymes that hydrolyze starch do not hydrolyze cellulose because of the different shapes of the polymers. • Ingested cellulose is recovered unmetabolized. This is referred to as dietary fiber.
  • 45.
    Polysaccharides • Cellulases areenzymes that enable animals to use cellulose for food and break down cellulose by hydrolysis. These enzymes are absent in most animals, including mammals.
  • 46.
  • 47.
  • 48.
  • 50.
  • 51.
    Major Functions ofCarbohydrates 1. Energy sources (glucose) 2. Energy reserves (glycogen) 3. Structure (cellulose) 4. Precursors for other important molecules Dietary Fiber – mainly plant material that is not digested by hydrolyzed by enzymes in the human digestive tract. Importance – may help prevent diverticulitis, IBS, constipation, obesity, Crohn’s disease, hemorrhoids, and diabetes mellitus.
  • 52.
    B4. Lipids Organic moleculeswith long hydrocarbon chains (nonpolar) Types: Triglycerides, phospholipids, steroids. Major functions in the body: * energy storage * insulate and protect organs * form cell membranes * hormones
  • 53.
    Triglycerides are fatsand oils – esters composed of glycerol (1,2,3-propanetriol) and long-chain carboxylic acids. R is usually a straight chain - usually an even number of carbon atoms - between 10 & 20 carbon atoms - no other functional groups present OH OH OH OH R1 O OH R2 O OH R3 O O R1 O O R2 O O R3 O glycerol fatty acids triglyceride Triglycerides
  • 54.
    Saturated Fats UnsaturatedFats All single bonds C-C contains C=C and/or C=C Animal fats vegetable oils Solids (high mp) Liquids (lower mp) Pack closely together Not closely packed
  • 55.
    • Lipases –enzymes in the body that hydrolyze fats to glycerol and fatty acids. – Fatty acids are then broken down to make CO2, H2O and energy. Produce large amounts of energy compared to proteins and carbohydrates (gram for gram)
  • 56.
    Essential fatty acids –Omega-6 linoleic • Cis,cis-9,12-octadecadienoic acid – Omega-3 linolenic – From these, the body can synthesize longer and more unsaturated fatty acids. – Trans fatty acids increase formation of LDL
  • 57.
    Iodine Number –The number of moles of I2 reacting with one mole of fat/oil indicates the number of double bonds present in the fat/oil molecule. I2 reacts with pi bonds. I2 is added to a fat – the more I2 reacts, the more pi bonds present (more unsaturated) C C R R R R + I I C C I R R I R R
  • 58.
    Saponification – theproduction of soap from fatty acids. Base Hydrolysis – triglyceride is hydrolyzed in the presence of a strong base (OH-) – produces glycerine and conjugate bases of carboxylic acids (soap molecules). Action of soaps – Form micelles to attract nonpolar dirt into polar water. OH OH OH O R1 O O R2 O O R3 O O R1 O O R2 O O R3 O glycerol bases of fatty acids (soap) triglyceride + NaOH
  • 60.
    Hard Water –Resists solution of soap (bubbles not produced) - contains Ca2+ and Mg2+ ions, which precipitate the ions of soap.
  • 61.
    Phospholipids contain polarand nonpolar ends (like soap) – form bilayers in cell membranes. Embedded proteins – allow for transport of substances into and out of the cell. Phospholipids
  • 63.
    Waxes – monohydroxyalcohols - low melting solids - waterproof coating (fruits, some animals) Steroids – A group of molecules with a common fused 4-ring structure Waxes and Steroids
  • 64.
    Cholesterol – multifunctionallipid found in tissues, blood, brain, spinal cord building block for other steroids formed in liver, available in food hardening of arteries – heart disease transported by lipoproteins LDL – low density lipoproteins (“bad” cholesterol) – source is saturated fats. - large molecules (18-25 nm long) - transport cholesterol to arteries, leading to cardiovascular diseases.
  • 65.
    HDL – highdensity lipoproteins (“good” cholesterol) - can remove cholesterol from arteries and transport it back to liver. - smaller molecules (8-11 nm long)
  • 66.
    • Macronutrients –required by the body in large amounts (>0.005% body mass) – Carbohydrates, proteins, lipids – Na, Mg, K, Ca, P, S, Cl • Micronutrients – required by the body in trace amounts (<0.005% body mass) – Vitamins and trace minerals (Fe, Cu, Zn, I, Se, Mn, Mo, Cr, Co, B) B5. Micro and macro nutrients
  • 67.
    Vitamins • Organic compoundsneeded in small amounts for normal growth and metabolism, but are not synthesised by the body • Some of them are water soluble (polar): Vit C • Some of them are fat soluble (non polar): slower to be absorbed and excess is stored in fat tissue producing side effects (Vit A, Vit D)
  • 69.
  • 70.
    Deducing wheter avitamin is water or fat soluble from its structure
  • 73.
    Malnutrition • Not havinga balanced diet (deficit in some nutrients) • Serious problem both in developing and non developing countries
  • 74.
    Micronutrient deficiencies • Deficitin Iodine: goitre • Deficit in Vitamin A: Xerophthalmia • Iron deficiency: anaemia • Niacin (vit B3) deficiency: pellagra • Deficit in thiamin (vit B1): beriberi • Vit c deficiency: scurvy • Vit D deciciency: rickets • Selenium deficit: Kashin-Beck disease.
  • 75.
    Macronutrients deficiencies • Marasmus:protein deficiency found mainly in infants • Kwashioskior: condition affecting young children with diets rich in carbs and poor in proteins
  • 76.
    Metal Ions inthe Body • Ca – bones and teeth (needs P to attach) • Mg, Na, K – ions in fluids in and around cells. • Transition metals – REDOX reactions - Lewis Acids • Zn2+ - cofactor in 100 enzymes – In insulin • Co3+ - vitamin B12 • Fe – hemoglobin (oxygen transport) • Cu – cytochrome • Mn – needed for healthy bones • Cr – helps in metabolism
  • 77.
    Sodium/Potassium – transmissionof nerve impulses. – K+ - most abundant ion inside cells • Responsible for cellular enzymes – Na+ - most abundant ion outside cells • Maintains water balance – BOTH regulate H+ ions in the body
  • 78.
    Hormones – chemicalmessengers • Hypothalamus controls pituitary gland, which controls the endocrine glands that make hormones. • Adrenaline (epinephrine) – produced in the adrenal cortex. Stimulant that is released in times of excitement. Increases heart rate and release of glucose into bloodstream. B6. Hormones
  • 79.
    • Thyroxin –produced in thyroid glands in the neck. Contains iodine. Low levels (hypothyroidism) cause lethargy, sensitivity to cold, and dry skin. High levels (hyperthyroidism) causes anxiety, weight loss, intolerance to heat, and protruding eyes. • Insulin – produced in the pancreas. Regulates blood sugar levels. Hyperglycemia is caused by too little insulin (thirst, weight loss, circulatory problems). Hypogycemia causes dizziness and fainting.
  • 80.
    •Aldosterone Is produced inthe adrenal cortex, which is part of the adrenal gland. It manages sodium and potassium balance and maintains body fluid levels. •The Antidiuretic Hormone (ADH) It is produced in the hypothalamus, but is released by the pituitary gland. It is also called vasopressin. It prevents the production of dilute urine and contracts the arteries and capillaries
  • 81.
    • Sex hormones– produced in the testes and ovaries – Estrogen – Testosterone Oral Contraceptives action • Synthetic progesterone and estrogen – Stop release of hormones that cause ovulation – Mimics action of production of progesterone in pregnancy – Often “progesterone-like”
  • 82.
    • Minipill –changes composition of cervical mucous – prevent spermatozoa from entering. – Can be inserted under the skin • Time release over 5 years Anabolic Steroids – (anabolic = building up) uses – increase muscle mass problems – Aging – Impotence, baldness, problems urinating, smaller testes (in men) – Build up muscles, facial hair (in women) – Temper, aggressive behavior, liver tumors, high blood pressure, heart attacks
  • 84.
    Action of Enzymes •Enzymes are proteins. • NO EFFECT on ΔH, ΔS, ΔG. • Increases the rate of the reaction by decreasing Ea • Action of enzyme is determined by tertiary and quaternary structure. • Substrate – the “reactant” molecule in the catalyzed reaction. • Active Site – the specific site on the enzyme molecule that catalyzes the reaction. • Each enzyme catalyzes a specific chemical reaction.
  • 86.
  • 87.
  • 88.
    • Cofactor –A substance that attaches to an enzyme in order to increase its effectiveness. – Coenzyme – an organic cofactor. • Factors that affect the rate of a catalyzed reaction – [enzyme] – first order Rate = k[E] • As concentration of enzyme increases, more substrate molecules can be catalyzed Rate vs. [Enzyme] [Enzyme] RateofReaction
  • 89.
    • [Substrate] • Asconcentration increases, rate increases (first order kinetics) up to a point – enzyme saturation. When all enzyme molecules are working at capacity, rate levels off. Rate vs. [Substrate] [Substrate] RateofReaction
  • 90.
    Rate vs. [Substrate] [Substrate] RateofReaction Vmax Vmax= The maximum rate of a reaction for a particular enzyme concentration. Km = Michaelis-Menten constant Represents approximate [substrate] in human body under normal conditions Equal to [substrate] at ½ Vmax Km
  • 91.
    • Inhibitor –A substance that attaches to enzyme and slows down (inhibits) the action of the enzyme – Irreversible inhibition – occurs if the inhibitor bonds covalently to the enzyme – Reversible if weak forces are present (H- bonds, dipole-dipole, LDF) 1. Competitive Inhibition – The inhibitor attaches at the active site, preventing the substrate from binding with the enzyme. (example is CO or CN-) – To reduce the effect, we can increase the substrate concentration
  • 92.
    2. Non-competitive inhibition– Inhibitor binds to the enzyme at a site other than the active site. This causes the shape of the active site to change, so that the enzyme will no longer fit into the active site properly. (heavy metal ions) Rate vs. [substrate] with Inhibition [Substrate] Rate Uninhibited Competitive Non-competitive
  • 93.
    • Temperature • Mostefficient at body temperature. As temperature increases or decreases, tertiary structure changes, altering active site. Rate vs. Temperature Temperature Rate
  • 94.
    • pH Each enzymehas an optimal pH. The further you get from that pH, the less effective it is (denaturation occurs) Rate vs. pH pH Rate
  • 95.
    Uses of Enzymesin Biotechnology 1. Fermentation – production of alcohol – Wine – yeasts in grape skin turn sugars into alcohol – 2 (C6H10O5)n + n H2O n C12H22O11 – C12H22O11 + H2O2 C6H12O6 – C6H12O6 2 C2H5OH + 2 CO2 • Cheese manufacture – fermentation of lactose. • Penicillin – fermentation to make antibiotic. 2. Enzyme immobilization 3. Genetic Engineering (anti-virals)
  • 96.
    Respiration The process bywhich glucose is converted to energy. Aerobic – C6H12O6 + 6 O2  6 CO2 + 6 H2O First, glucose reacts with O2 to produce pyruvic acid, C3H4O3: C6H12O6 + O2  2 C3H4O3 + 2 H2O H C H H C O C O O H
  • 97.
    Then, pyruvic acidis oxidized to form CO2 and H2O: 2 C3H4O3 + 5 O2  6 CO2 + 4 H2O Hemoglobin, with Fe2+ attached, carries O2 from the lungs to the cells, then carries CO2 from the cells to the lungs. Cytochromes, with Fe3+ or Cu2+ attached, facilitate the oxidation of glucose (metal ion is reduced to Fe2+ or Cu+) Anaerobic – C6H12O6  2 CO2 + 2 C2H5OH (fermentation)
  • 98.
    Anaerobic – Inhumans, pyruvic acid is converted to lactic acid: Otherwise, pyruvic acid becomes ethanol: C6H12O6  2 CO2 + 2 C2H5OH (fermentation) H C H H OH H C O OH