Basic Integration
Course- BCA
Subject- MATHEMATICS-I
Unit- V
RAI UNIVERSITY, AHMEDABAD
Unit-V Basic Integration
RAI UNIVERSITY, AHMEDABAD
Introduction— Integration is a way of adding very small parts to find the whole. Integration
can be used to find areas, volumes, central points and many useful things. But it is easiest to
start with finding the area under the curve of a function like this:
What is the area under ( ) ?
Slices—
We could calculate the function at a few points and add up slices of width like this (but
the answer won't be very accurate)—
We can make Δx a lot smaller and add up many small slices (answer is getting better)—
Unit-V Basic Integration
RAI UNIVERSITY, AHMEDABAD
And as the slices width approach to zero, the answer approaches the true answer.
That is a lot of adding up!
But we don't have to add them up, as there is a "shortcut". Because, finding an Integral is
the inverse process of finding a derivative.
(So we should really know about Derivatives before reading more!)
Example— what is an integral of 2x?
We know that the derivative of is 2x. So, an integral of 2x is
Notation— The symbol for "Integral" is a stylish "∫ " (for "Sum", the idea of summing
slices)—
After the Integral Symbol we put the function we want to find the integral of (called the
Integrand), and then finish with , which means for slices in the x direction with width
approaches to zero.
And here is how we write the answer—
Unit-V Basic Integration
RAI UNIVERSITY, AHMEDABAD
Plus C—
We wrote the answer as x but why + C ?
It is the "Constant of Integration". It is there because of all the functions whose derivative is
2x—
The derivative of x + 4 is 2x, and the derivative of x + 99 is also 2x, and so on! Since, the
derivative of constant is zero. So when we reverse the operation (to find the integral) we only
know 2x, but there could have been a constant of any value. So we wrap up the idea by just
writing + C at the end.
Definition— A function ( ) is an anti-derivative or integral of a function ( ) if
( )
= ( )
For all in the domain of . The set of all anti-derivative of f is the indefinite integral of with
respect to , denoted by
( )
The symbol ∫ is an integral sign. The function f is the integrand of the integral and x is the
variable of integration.
Standard integral formulas—
1.∫ = + ( ≠ − )
2.∫ = | | +
3.∫ = +
4.∫ = − +
5.∫ = +
6.∫ = − +
Unit-V Basic Integration
RAI UNIVERSITY, AHMEDABAD
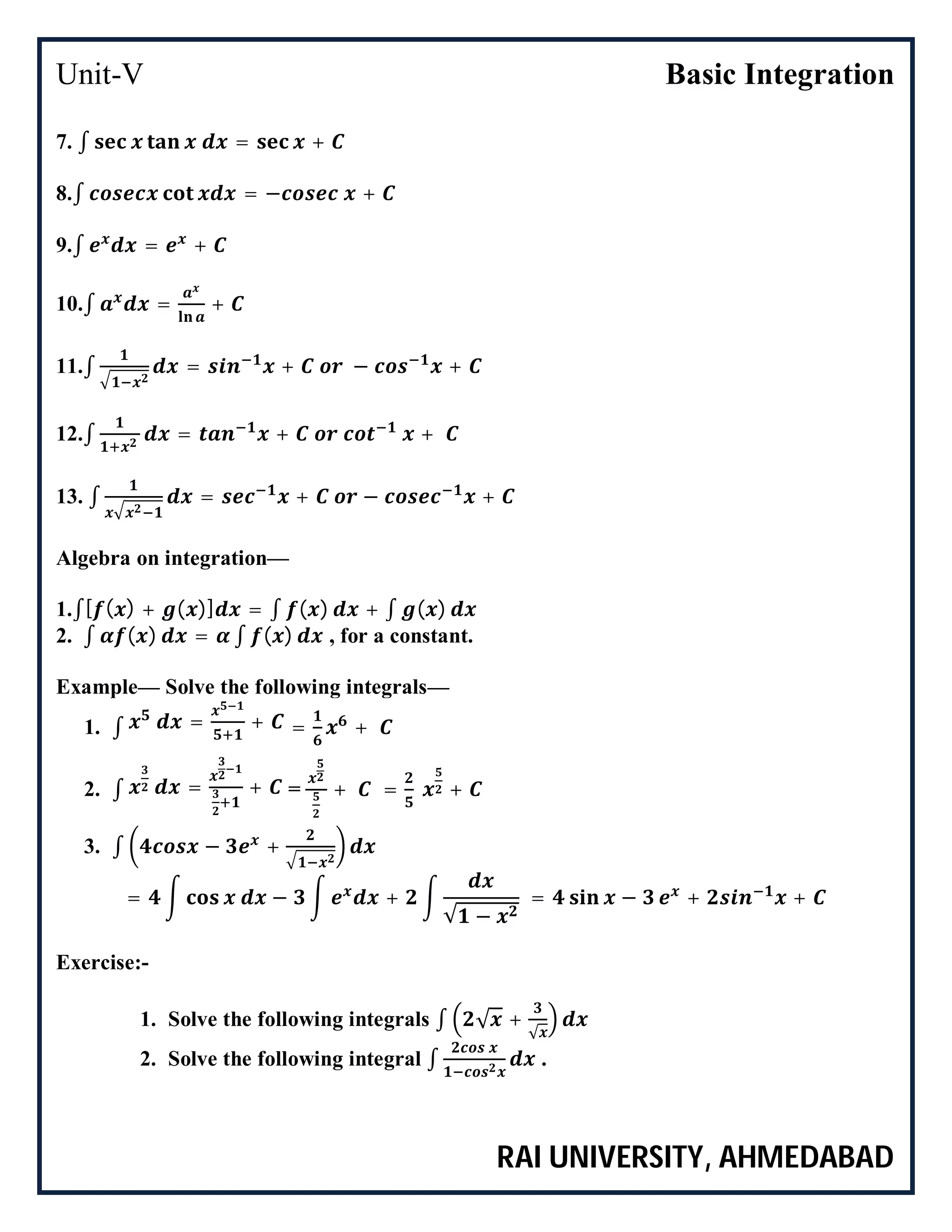
7. ∫ = +
8.∫ = − +
9.∫ = +
10.∫ = +
11.∫ = + − +
12.∫ = + +
13. ∫ = + − +
Algebra on integration—
1.∫[ ( ) + ( )] = ∫ ( ) + ∫ ( )
2. ∫ ( ) = ∫ ( ) , for a constant.
Example— Solve the following integrals—
1. ∫ = + = +
2. ∫ = + = + = +
3. ∫ − +
= − +
√ −
= − + +
Exercise:-
1. Solve the following integrals ∫ √ +
√
2. Solve the following integral ∫ .
Unit-V Basic Integration
RAI UNIVERSITY, AHMEDABAD
Integration by substitution—If integrand is not in the standard form and can be transformed to
integral form by a suitable substitution then such process of integration is called as integration
by substitution.
Take these steps to evaluate the integral ∫ { ( )} ′( ) , where and ′ are contineous
function—
Step 1: Substitute = ( ) and = ′( ) to obtain the integral ∫ ( ) .
Step 2: Integrate with respect to .
Step 3: Replace by ( ) in the result.
Example—Solve the following integral ∫ .
Solution— ∫
= ∫ 2
= ∫ .
= 2
⟹ = 2
⟹ =
= ∫ .
= +
= 2 +
Exercise
1. Evaluate ∫ .
2. Evaluate ∫( + )
Unit-V Basic Integration
RAI UNIVERSITY, AHMEDABAD
Integration of trigonometric functions—
cos =
1
2
. 2 sin cos =
1
2
[sin( + ) + cos( − ) ]
sin sin =
1
2
[cos( − ) − cos( + ) ]
cos cos =
1
2
[cos( − ) − cos( + ) ]
Example— Evaluate ∫ .
Solution—∫ sin 3 cos 2
= ∫ 2. sin 3 cos 2
= ∫(sin 5x + sin x)
= − 5 − +
= (cos 5 + 5 cos + )
Exercise
1. Evaluate the integral∫
2. Integrate ∫ .
3. Integrate ∫ .
Basic Integral Formula—
1. ∫ = +
2. ∫ = +
3. ∫ = +
4. ∫ = + √ + +
5. ∫ = + √ − +
6. ∫ √ + = √ + + + √ + +
7. ∫ √ − = √ − + + √ − +
8. ∫ √ − = √ − + +
Unit-V Basic Integration
RAI UNIVERSITY, AHMEDABAD
Example— Integrate ∫ .
Solution—
√25 − 16
=
1
4 5
4
−
=
1
4
sin
5/4
+
=
1
4
sin
4
5
+
Exercise
1. Integrate ∫
2. Integrate ∫
Integration by parts—
Formula— If and are functions of then the integral of product of these functions is given
by—
= −
This rule is called as ‘integration by parts’.
The choice of first and second integral is given by—
I— Inverse
L—Logarithmic
A—Algebraic
T—Trigonometric
E—Exponential
The term appearing first in this series have to take first integral (u).
Example—Integrate ∫
Solution—
∫ cos =(∫ cos ). − ∫(∫ cos ) × .
= − sin . 1. = sin + cos +
Unit-V Basic Integration
RAI UNIVERSITY, AHMEDABAD
Example—Integrate ∫
Solution— ∫ = ∫ + ∫
by using the formula—
∫ ( ) + ( ) = ( ) + here, observed that =
ℎ ,
1 +
1 +
=
1 +
+
Exercise
1. ∫
2. ∫
Unit-V Basic Integration
RAI UNIVERSITY, AHMEDABAD
Definite integral—
It was started earlier that integration can be considered as a process of summation. In such a
case the integral is called definite integral.
A Definite Integral has ‘start’ and ‘end’ values. In other words there is an interval( , ). The
values are put at the bottom and top of the "∫ ".
Indefinite Integral
(no specific values)
Definite Integral
(from a to b)
We can find the Definite Integral by calculating the Indefinite Integral at points a and b, then
subtracting them.
Note—The indefinite integral represents a family of anti-derivatives, whereas the definite
integral represents a absolute value.
Fundamental theorem for definite integral—
If ( ) is continuous in the interval [ , ] and ( ) is an antiderivative of ( ), then
( ) = ( ) − ( )
Elementary properties of definite integral—
1. ∫ ( ) = − ∫ ( )
2. ∫ ( ) = ∫ ( ) = ∫ ( )
3. ∫ ( ) = ∫ ( ) + ∫ ( ) , < < .
4. ∫ ( ) = ∫ ( − )
5. ∫ ( ) =
∫ ( )
6. ∫ ( ) =
∫ ( ) ( − ) = ( )
( − ) = − ( )
Unit-V Basic Integration
RAI UNIVERSITY, AHMEDABAD
Example— Integrate ∫
Solution—
∫ = = − = − =
Example— Integrate ∫
Solution—
∫ =| − cos | = − cos − (− cos 0) = 0 − (−1) = 1
Exercise
1. Integrate ∫ ( + + )
2. Integrate ∫ ( − )
3. Integrate ∫ ( + )
4. Integrate ∫
References—
1. www.mathsisfun.com
2. ocw.mit.edu
3. www.math.uakron.edu
4. www.mecmath.net

BCA_MATHEMATICS-I_Unit-V

  • 1.
    Basic Integration Course- BCA Subject-MATHEMATICS-I Unit- V RAI UNIVERSITY, AHMEDABAD
  • 2.
    Unit-V Basic Integration RAIUNIVERSITY, AHMEDABAD Introduction— Integration is a way of adding very small parts to find the whole. Integration can be used to find areas, volumes, central points and many useful things. But it is easiest to start with finding the area under the curve of a function like this: What is the area under ( ) ? Slices— We could calculate the function at a few points and add up slices of width like this (but the answer won't be very accurate)— We can make Δx a lot smaller and add up many small slices (answer is getting better)—
  • 3.
    Unit-V Basic Integration RAIUNIVERSITY, AHMEDABAD And as the slices width approach to zero, the answer approaches the true answer. That is a lot of adding up! But we don't have to add them up, as there is a "shortcut". Because, finding an Integral is the inverse process of finding a derivative. (So we should really know about Derivatives before reading more!) Example— what is an integral of 2x? We know that the derivative of is 2x. So, an integral of 2x is Notation— The symbol for "Integral" is a stylish "∫ " (for "Sum", the idea of summing slices)— After the Integral Symbol we put the function we want to find the integral of (called the Integrand), and then finish with , which means for slices in the x direction with width approaches to zero. And here is how we write the answer—
  • 4.
    Unit-V Basic Integration RAIUNIVERSITY, AHMEDABAD Plus C— We wrote the answer as x but why + C ? It is the "Constant of Integration". It is there because of all the functions whose derivative is 2x— The derivative of x + 4 is 2x, and the derivative of x + 99 is also 2x, and so on! Since, the derivative of constant is zero. So when we reverse the operation (to find the integral) we only know 2x, but there could have been a constant of any value. So we wrap up the idea by just writing + C at the end. Definition— A function ( ) is an anti-derivative or integral of a function ( ) if ( ) = ( ) For all in the domain of . The set of all anti-derivative of f is the indefinite integral of with respect to , denoted by ( ) The symbol ∫ is an integral sign. The function f is the integrand of the integral and x is the variable of integration. Standard integral formulas— 1.∫ = + ( ≠ − ) 2.∫ = | | + 3.∫ = + 4.∫ = − + 5.∫ = + 6.∫ = − +
  • 5.
    Unit-V Basic Integration RAIUNIVERSITY, AHMEDABAD 7. ∫ = + 8.∫ = − + 9.∫ = + 10.∫ = + 11.∫ = + − + 12.∫ = + + 13. ∫ = + − + Algebra on integration— 1.∫[ ( ) + ( )] = ∫ ( ) + ∫ ( ) 2. ∫ ( ) = ∫ ( ) , for a constant. Example— Solve the following integrals— 1. ∫ = + = + 2. ∫ = + = + = + 3. ∫ − + = − + √ − = − + + Exercise:- 1. Solve the following integrals ∫ √ + √ 2. Solve the following integral ∫ .
  • 6.
    Unit-V Basic Integration RAIUNIVERSITY, AHMEDABAD Integration by substitution—If integrand is not in the standard form and can be transformed to integral form by a suitable substitution then such process of integration is called as integration by substitution. Take these steps to evaluate the integral ∫ { ( )} ′( ) , where and ′ are contineous function— Step 1: Substitute = ( ) and = ′( ) to obtain the integral ∫ ( ) . Step 2: Integrate with respect to . Step 3: Replace by ( ) in the result. Example—Solve the following integral ∫ . Solution— ∫ = ∫ 2 = ∫ . = 2 ⟹ = 2 ⟹ = = ∫ . = + = 2 + Exercise 1. Evaluate ∫ . 2. Evaluate ∫( + )
  • 7.
    Unit-V Basic Integration RAIUNIVERSITY, AHMEDABAD Integration of trigonometric functions— cos = 1 2 . 2 sin cos = 1 2 [sin( + ) + cos( − ) ] sin sin = 1 2 [cos( − ) − cos( + ) ] cos cos = 1 2 [cos( − ) − cos( + ) ] Example— Evaluate ∫ . Solution—∫ sin 3 cos 2 = ∫ 2. sin 3 cos 2 = ∫(sin 5x + sin x) = − 5 − + = (cos 5 + 5 cos + ) Exercise 1. Evaluate the integral∫ 2. Integrate ∫ . 3. Integrate ∫ . Basic Integral Formula— 1. ∫ = + 2. ∫ = + 3. ∫ = + 4. ∫ = + √ + + 5. ∫ = + √ − + 6. ∫ √ + = √ + + + √ + + 7. ∫ √ − = √ − + + √ − + 8. ∫ √ − = √ − + +
  • 8.
    Unit-V Basic Integration RAIUNIVERSITY, AHMEDABAD Example— Integrate ∫ . Solution— √25 − 16 = 1 4 5 4 − = 1 4 sin 5/4 + = 1 4 sin 4 5 + Exercise 1. Integrate ∫ 2. Integrate ∫ Integration by parts— Formula— If and are functions of then the integral of product of these functions is given by— = − This rule is called as ‘integration by parts’. The choice of first and second integral is given by— I— Inverse L—Logarithmic A—Algebraic T—Trigonometric E—Exponential The term appearing first in this series have to take first integral (u). Example—Integrate ∫ Solution— ∫ cos =(∫ cos ). − ∫(∫ cos ) × . = − sin . 1. = sin + cos +
  • 9.
    Unit-V Basic Integration RAIUNIVERSITY, AHMEDABAD Example—Integrate ∫ Solution— ∫ = ∫ + ∫ by using the formula— ∫ ( ) + ( ) = ( ) + here, observed that = ℎ , 1 + 1 + = 1 + + Exercise 1. ∫ 2. ∫
  • 10.
    Unit-V Basic Integration RAIUNIVERSITY, AHMEDABAD Definite integral— It was started earlier that integration can be considered as a process of summation. In such a case the integral is called definite integral. A Definite Integral has ‘start’ and ‘end’ values. In other words there is an interval( , ). The values are put at the bottom and top of the "∫ ". Indefinite Integral (no specific values) Definite Integral (from a to b) We can find the Definite Integral by calculating the Indefinite Integral at points a and b, then subtracting them. Note—The indefinite integral represents a family of anti-derivatives, whereas the definite integral represents a absolute value. Fundamental theorem for definite integral— If ( ) is continuous in the interval [ , ] and ( ) is an antiderivative of ( ), then ( ) = ( ) − ( ) Elementary properties of definite integral— 1. ∫ ( ) = − ∫ ( ) 2. ∫ ( ) = ∫ ( ) = ∫ ( ) 3. ∫ ( ) = ∫ ( ) + ∫ ( ) , < < . 4. ∫ ( ) = ∫ ( − ) 5. ∫ ( ) = ∫ ( ) 6. ∫ ( ) = ∫ ( ) ( − ) = ( ) ( − ) = − ( )
  • 11.
    Unit-V Basic Integration RAIUNIVERSITY, AHMEDABAD Example— Integrate ∫ Solution— ∫ = = − = − = Example— Integrate ∫ Solution— ∫ =| − cos | = − cos − (− cos 0) = 0 − (−1) = 1 Exercise 1. Integrate ∫ ( + + ) 2. Integrate ∫ ( − ) 3. Integrate ∫ ( + ) 4. Integrate ∫ References— 1. www.mathsisfun.com 2. ocw.mit.edu 3. www.math.uakron.edu 4. www.mecmath.net