1
9.2 – Arithmetic Sequences and Series
An introduction…………
1, 4, 7,10,13
9,1, 7, 15
6.2, 6.6, 7, 7.4
, 3, 6
− −
π π + π +
Arithmetic Sequences
ADD
To get next term
2, 4, 8,16, 32
9, 3,1, 1/3
1,1/ 4,1/16,1/ 64
, 2.5 , 6.25
− −
π π π
Geometric Sequences
MULTIPLY
To get next term
Arithmetic Series
Sum of Terms
35
12
27.2
3 9
−
π +
Geometric Series
Sum of Terms
62
20/3
85/ 64
9.75π
Find the next four terms of –9, -2, 5, …
Arithmetic Sequence
2 9 5 2 7− − − = − − =
7 is referred to as the common difference (d)
Common Difference (d) – what we ADD to get next term
Next four terms……12, 19, 26, 33
Find the next four terms of 0, 7, 14, …
Arithmetic Sequence, d = 7
21, 28, 35, 42
Find the next four terms of x, 2x, 3x, …
Arithmetic Sequence, d = x
4x, 5x, 6x, 7x
Find the next four terms of 5k, -k, -7k, …
Arithmetic Sequence, d = -6k
-13k, -19k, -25k, -32k
Vocabulary of Sequences (Universal)
1a First term→
na nth term→
nS sum of n terms→
n number of terms→
d common difference→
( )
( )
n 1
n 1 n
nth term of arithmetic sequence
sum of n terms of arithmetic sequen
a a n 1 d
n
S a a
2
ce
= + −
= +
→
→
Given an arithmetic sequence with 15 1a 38 and d 3, find a .= = −
1a First term→
na nth term→
nS sum of n terms→
n number of terms→
d common difference→
x
15
38
NA
-3
( )n 1a a n 1 d= + −
( ) ( )38 x 1 15 3= + − −
X = 80
63Find S of 19, 13, 7,...− − −
1a First term→
na nth term→
nS sum of n terms→
n number of terms→
d common difference→
-19
63
??
x
6
( )n 1a a n 1 d= + −
( ) ( )?? 19 6 1
?? 353
3 6= + −
=
−
353
( )n 1 n
n
S a a
2
= +
( )63
63
3 3S
2
19 5−= +
63 1 1S 052=
16 1Find a if a 1.5 and d 0.5= =Try this one:
1a First term→
na nth term→
nS sum of n terms→
n number of terms→
d common difference→
1.5
16
x
NA
0.5
( )n 1a a n 1 d= + −
( )16 1.5 0.a 16 51= + −
16a 9=
n 1Find n if a 633, a 9, and d 24= = =
1a First term→
na nth term→
nS sum of n terms→
n number of terms→
d common difference→
9
x
633
NA
24
( )n 1a a n 1 d= + −
( )633 9 21x 4= + −
633 9 2 244x= + −
X = 27
1 29Find d if a 6 and a 20= − =
1a First term→
na nth term→
nS sum of n terms→
n number of terms→
d common difference→
-6
29
20
NA
x
( )n 1a a n 1 d= + −
( )120 6 29 x= + −−
26 28x=
13
x
14
=
Find two arithmetic means between –4 and 5
-4, ____, ____, 5
1a First term→
na nth term→
nS sum of n terms→
n number of terms→
d common difference→
-4
4
5
NA
x
( )n 1a a n 1 d= + −
( ) ( )15 4 4 x= + −−
x 3=
The two arithmetic means are –1 and 2, since –4, -1, 2, 5
forms an arithmetic sequence
Find three arithmetic means between 1 and 4
1, ____, ____, ____, 4
1a First term→
na nth term→
nS sum of n terms→
n number of terms→
d common difference→
1
5
4
NA
x
( )n 1a a n 1 d= + −
( ) ( )4 1 x15= + −
3
x
4
=
The three arithmetic means are 7/4, 10/4, and 13/4
since 1, 7/4, 10/4, 13/4, 4 forms an arithmetic sequence
Find n for the series in which 1 na 5, d 3, S 440= = =
1a First term→
na nth term→
nS sum of n terms→
n number of terms→
d common difference→
5
x
y
440
3
( )n 1a a n 1 d= + −
( )n 1 n
n
S a a
2
= +
( )y 5 31x= + −
( )
x
40 y4
2
5= +
( )( )1
2
x
440 5 5 x 3= + + −
( )x 7 x
440
2
3
=
+
( )880 x 7 3x= +
2
0 3x 7x 880= + −
X = 16
Graph on positive window
The sum of the first n terms of an infinite sequence
is called the nth partial sum.
1( )
2n n
nS a a= +
Example 6. Find the 150th
partial sum of the arithmetic sequence, 5,
16, 27, 38, 49, …
1 5 11 5 11 6a d c= = → = − = −
11 6na n= − ( )150 11 150 6 1644a→ = − =
( ) ( )150
150
5 1644 75 1649 123,675
2
S = + = =
Example 7. An auditorium has 20 rows of seats. There are 20 seats in
the first row, 21 seats in the second row, 22 seats in the third row, and
so on. How many seats are there in all 20 rows?
1 20 1 19d c= = − =
( ) ( )1 201 20 19 1 39na a n d a= + − → = + =
( ) ( )20
20
20 39 10 59 590
2
S = + = =
Example 8. A small business sells $10,000 worth of sports memorabilia
during its first year. The owner of the business has set a goal of
increasing annual sales by $7500 each year for 19 years. Assuming that
the goal is met, find the total sales during the first 20 years this business
is in operation.
1 10,000 7500 10,000 7500 2500a d c= = = − =
( ) ( )1 201 10,000 19 7500 152,500na a n d a= + − → = + =
( ) ( )20
20
10,000 152,500 10 162,500 1,625,000
2
S = + = =
So the total sales for the first 2o years is $1,625,000
9.3 – Geometric Sequences and Series
1, 4, 7,10,13
9,1, 7, 15
6.2, 6.6, 7, 7.4
, 3, 6
− −
π π + π +
Arithmetic Sequences
ADD
To get next term
2, 4, 8,16, 32
9, 3,1, 1/3
1,1/ 4,1/16,1/ 64
, 2.5 , 6.25
− −
π π π
Geometric Sequences
MULTIPLY
To get next term
Arithmetic Series
Sum of Terms
35
12
27.2
3 9
−
π +
Geometric Series
Sum of Terms
62
20/3
85/ 64
9.75π
Vocabulary of Sequences (Universal)
1a First term→
na nth term→
nS sum of n terms→
n number of terms→
r common ratio→
( )
n 1
n 1
n
1
n
nth term of geometric sequence
sum of n terms of geometric sequ
a a r
a r 1
S
r 1
ence
−
→ =
 − =
−
→
Find the next three terms of 2, 3, 9/2, ___, ___, ___
3 – 2 vs. 9/2 – 3… not arithmetic
3 9/ 2 3
1.5 geometric r
2 3 2
= = → → =
3 3 3 3 3 3
2 2 2
9
2, 3, , , ,
2
9 9 9
2 2 2 2 2 2
× × × × × ×
9
2, 3, , ,
27 81 243
4 8
,
2 16
1 9
1 2
If a ,r , find a .
2 3
= =
1a First term→
na nth term→
nS sum of n terms→
n number of terms→
r common ratio→
1/2
x
9
NA
2/3
n 1
n 1a a r −
=
9 1
1 2
x
2 3
−
  
=   
  
8
8
2
x
2 3
=
×
7
8
2
3
=
128
6561
=
Find two geometric means between –2 and 54
-2, ____, ____, 54
1a First term→
na nth term→
nS sum of n terms→
n number of terms→
r common ratio→
-2
54
4
NA
x
n 1
n 1a a r −
=
( ) ( )
14
54 2 x
−
−=
3
27 x− =
3 x− =
The two geometric means are 6 and -18, since –2, 6, -18, 54
forms an geometric sequence
2 4 1
2
Find a a if a 3 and r
3
− = − =
-3, ____, ____, ____
2
Since r ...
3
=
4 8
3, 2, ,
3 9
− −
− −
2 4
8 10
a a 2
9 9
− − 
− = − − = 
 
9Find a of 2, 2, 2 2,...
1a First term→
na nth term→
nS sum of n terms→
n number of terms→
r common ratio→
x
9
NA
2
2 2 2
r 2
22
= = =
n 1
n 1a a r −
=
( )
9 1
x 2 2
−
=
( )
8
x 2 2=
x 16 2=
5 2If a 32 2 and r 2, find a= = −
____, , ____,________ ,32 2
1a First term→
na nth term→
nS sum of n terms→
n number of terms→
r common ratio→
x
5
NA
32 2
2−
n 1
n 1a a r −
=
( )
5 1
32 2 x 2
−
−=
( )
4
32 2 x 2= −
32 2 x4=
8 2 x=
*** Insert one geometric mean between ¼ and 4***
*** denotes trick question
1
,____,4
4
1a First term→
na nth term→
nS sum of n terms→
n number of terms→
r common ratio→
1/4
3
NA
4
x
n 1
n 1a a r −
=
3 11
4
4
r −
= 2
r
1
4
4
→ = 2
16 r→ = 4 r→ ± =
1
,1, 4
4
1
, 1, 4
4
−
7
1 1 1
Find S of ...
2 4 8
+ + +
1a First term→
na nth term→
nS sum of n terms→
n number of terms→
r common ratio→
1/2
7
x
NA
11
184r
1 1 2
2 4
= = =
( )n
1
n
a r 1
S
r 1
 − =
−
7
1 1
2 2
x
1
2
1
1
   
−        =
−
7
1 1
2 2
1
2
1
   
−        =
−
63
64
=
Section 12.3 – Infinite Series
1, 4, 7, 10, 13, …. Infinite Arithmetic No Sum
3, 7, 11, …, 51 Finite Arithmetic ( )n 1 n
n
S a a
2
= +
1, 2, 4, …, 64 Finite Geometric
( )n
1
n
a r 1
S
r 1
−
=
−
1, 2, 4, 8, … Infinite Geometric
r > 1
r < -1
No Sum
1 1 1
3,1, , , ...
3 9 27
Infinite Geometric
-1 < r < 1
1a
S
1 r
=
−
Find the sum, if possible:
1 1 1
1 ...
2 4 8
+ + + +
1 1
12 4r
11 2
2
= = = 1 r 1 Yes→ − ≤ ≤ →
1a 1
S 2
11 r
1
2
= = =
−
−
Find the sum, if possible: 2 2 8 16 2 ...+ + +
8 16 2
r 2 2
82 2
= = = 1 r 1 No→ − ≤ ≤ →
NO SUM
Find the sum, if possible:
2 1 1 1
...
3 3 6 12
+ + + +
1 1
13 6r
2 1 2
3 3
= = = 1 r 1 Yes→ − ≤ ≤ →
1
2
a 43S
11 r 3
1
2
= = =
−
−
Find the sum, if possible:
2 4 8
...
7 7 7
+ + +
4 8
7 7r 2
2 4
7 7
= = = 1 r 1 No→ − ≤ ≤ →
NO SUM
Find the sum, if possible:
5
10 5 ...
2
+ + +
5
5 12r
10 5 2
= = = 1 r 1 Yes→ − ≤ ≤ →
1a 10
S 20
11 r
1
2
= = =
−
−
The Bouncing Ball Problem – Version A
A ball is dropped from a height of 50 feet. It rebounds 4/5 of
it’s height, and continues this pattern until it stops. How far
does the ball travel?
50
40
32
32/5
40
32
32/5
40
S 45
50
4
1
0
1
55
4
= =
−
+
−
The Bouncing Ball Problem – Version B
A ball is thrown 100 feet into the air. It rebounds 3/4 of
it’s height, and continues this pattern until it stops. How far
does the ball travel?
100
75
225/4
100
75
225/4
10
S 80
100
4 4
3
1
0
1
0
3
= =
−
+
−
Sigma Notation
B
n
n A
a
=
∑
UPPER BOUND
(NUMBER)
LOWER BOUND
(NUMBER)
SIGMA
(SUM OF TERMS) NTH TERM
(SEQUENCE)
( )
j
4
1
j 2
=
+∑ ( )21= + ( )2 2+ + ( )3 2+ + ( )24+ + 18=
( )
7
4a
2a
=
∑ ( )( )42= ( )( )2 5+ ( )( )2 6+ ( )( )72+ 44=
( )n
n 0
4
0.5 2
=
+∑ ( )0
0.5 2= + ( )1
0.5 2+ + ( )2
0.5 2+ + ( )3
0.5 2+ + ( )4
0.5 2+ +
33.5=
0
n
b
3
6
5=
∞
 
= 
 
∑
0
3
6
5
 
 
 
1
3
6
5
 
+  
 
2
3
6
5
 
+  
 
...+
1a
S
1 r
=
−
6
15
3
1
5
= =
−
( )
2
x
3
7
2x 1
=
+∑ ( )( ) ( )( ) ( )( ) ( )( )2 1 2 8 1 2 9 1 ...7 2 123= + + + + + + + +
( ) ( )n 1 n
2n 1
S a a 15
2
3
2
7
47
− +
= + = + 527=
( )
1
b
9
4
4b 3
=
+∑ ( )( ) ( )( ) ( )( ) ( )( )4 3 4 5 3 4 6 3 ...4 4 319= + + + + + + + +
( ) ( )n 1 n
1n 1
S a a 19
2
9
2
4
79
− +
= + = + 784=
Rewrite using sigma notation: 3 + 6 + 9 + 12
Arithmetic, d= 3
( )n 1a a n 1 d= + −
( )na 3 n 1 3= + −
na 3n=
4
1n
3n
=
∑
Rewrite using sigma notation: 16 + 8 + 4 + 2 + 1
Geometric, r = ½
n 1
n 1a a r −
=
n 1
n
1
a 16
2
−
 
=  
 
n 1
n
5
1
1
16
2
−
=
 
 
 
∑
Rewrite using sigma notation: 19 + 18 + 16 + 12 + 4
Not Arithmetic, Not Geometric
n 1
na 20 2 −
= −
n 1
n
5
1
20 2 −
=
−∑
19 + 18 + 16 + 12 + 4
-1 -2 -4 -8
Rewrite the following using sigma notation:
3 9 27
...
5 10 15
+ + +
Numerator is geometric, r = 3
Denominator is arithmetic d= 5
NUMERATOR: ( )
n 1
n3 9 27 ... a 3 3
−
+ + + → =
DENOMINATOR: ( )n n5 10 15 ... a 5 n 1 5 a 5n+ + + → = + − → =
SIGMA NOTATION:
( )
1
1
n
n 5n
3 3
−
∞
=
∑
48
Do you find this slides were useful?
One second of your life , can bring a smile in a girl life
If Yes ,Join Dreams School “Campaign for Female Education”
Help us in bringing a change in a girl life, because “When
someone takes away your pens you realize quite how
important education is”.
Just Click on any advertisement on the page, your one
click can make her smile.
Eliminate Inequality “Not Women”
One second of your life , can bring a smile in her life!!
Do you find these slides were useful?
If Yes ,Join Dreams School “Campaign
for Female Education”
Help us in bringing a change in a girl life,
because “When someone takes away your
pens you realize quite how important
education is”.
Just Click on any advertisement on the page,
your one click can make her smile.
We our doing our part & u ?
Eliminate Inequality “Not Women”

Arithmetic and geometric_sequences

  • 1.
  • 2.
    9.2 – ArithmeticSequences and Series
  • 3.
    An introduction………… 1, 4,7,10,13 9,1, 7, 15 6.2, 6.6, 7, 7.4 , 3, 6 − − π π + π + Arithmetic Sequences ADD To get next term 2, 4, 8,16, 32 9, 3,1, 1/3 1,1/ 4,1/16,1/ 64 , 2.5 , 6.25 − − π π π Geometric Sequences MULTIPLY To get next term Arithmetic Series Sum of Terms 35 12 27.2 3 9 − π + Geometric Series Sum of Terms 62 20/3 85/ 64 9.75π
  • 4.
    Find the nextfour terms of –9, -2, 5, … Arithmetic Sequence 2 9 5 2 7− − − = − − = 7 is referred to as the common difference (d) Common Difference (d) – what we ADD to get next term Next four terms……12, 19, 26, 33
  • 5.
    Find the nextfour terms of 0, 7, 14, … Arithmetic Sequence, d = 7 21, 28, 35, 42 Find the next four terms of x, 2x, 3x, … Arithmetic Sequence, d = x 4x, 5x, 6x, 7x Find the next four terms of 5k, -k, -7k, … Arithmetic Sequence, d = -6k -13k, -19k, -25k, -32k
  • 6.
    Vocabulary of Sequences(Universal) 1a First term→ na nth term→ nS sum of n terms→ n number of terms→ d common difference→ ( ) ( ) n 1 n 1 n nth term of arithmetic sequence sum of n terms of arithmetic sequen a a n 1 d n S a a 2 ce = + − = + → →
  • 7.
    Given an arithmeticsequence with 15 1a 38 and d 3, find a .= = − 1a First term→ na nth term→ nS sum of n terms→ n number of terms→ d common difference→ x 15 38 NA -3 ( )n 1a a n 1 d= + − ( ) ( )38 x 1 15 3= + − − X = 80
  • 8.
    63Find S of19, 13, 7,...− − − 1a First term→ na nth term→ nS sum of n terms→ n number of terms→ d common difference→ -19 63 ?? x 6 ( )n 1a a n 1 d= + − ( ) ( )?? 19 6 1 ?? 353 3 6= + − = − 353 ( )n 1 n n S a a 2 = + ( )63 63 3 3S 2 19 5−= + 63 1 1S 052=
  • 9.
    16 1Find aif a 1.5 and d 0.5= =Try this one: 1a First term→ na nth term→ nS sum of n terms→ n number of terms→ d common difference→ 1.5 16 x NA 0.5 ( )n 1a a n 1 d= + − ( )16 1.5 0.a 16 51= + − 16a 9=
  • 10.
    n 1Find nif a 633, a 9, and d 24= = = 1a First term→ na nth term→ nS sum of n terms→ n number of terms→ d common difference→ 9 x 633 NA 24 ( )n 1a a n 1 d= + − ( )633 9 21x 4= + − 633 9 2 244x= + − X = 27
  • 11.
    1 29Find dif a 6 and a 20= − = 1a First term→ na nth term→ nS sum of n terms→ n number of terms→ d common difference→ -6 29 20 NA x ( )n 1a a n 1 d= + − ( )120 6 29 x= + −− 26 28x= 13 x 14 =
  • 12.
    Find two arithmeticmeans between –4 and 5 -4, ____, ____, 5 1a First term→ na nth term→ nS sum of n terms→ n number of terms→ d common difference→ -4 4 5 NA x ( )n 1a a n 1 d= + − ( ) ( )15 4 4 x= + −− x 3= The two arithmetic means are –1 and 2, since –4, -1, 2, 5 forms an arithmetic sequence
  • 13.
    Find three arithmeticmeans between 1 and 4 1, ____, ____, ____, 4 1a First term→ na nth term→ nS sum of n terms→ n number of terms→ d common difference→ 1 5 4 NA x ( )n 1a a n 1 d= + − ( ) ( )4 1 x15= + − 3 x 4 = The three arithmetic means are 7/4, 10/4, and 13/4 since 1, 7/4, 10/4, 13/4, 4 forms an arithmetic sequence
  • 14.
    Find n forthe series in which 1 na 5, d 3, S 440= = = 1a First term→ na nth term→ nS sum of n terms→ n number of terms→ d common difference→ 5 x y 440 3 ( )n 1a a n 1 d= + − ( )n 1 n n S a a 2 = + ( )y 5 31x= + − ( ) x 40 y4 2 5= + ( )( )1 2 x 440 5 5 x 3= + + − ( )x 7 x 440 2 3 = + ( )880 x 7 3x= + 2 0 3x 7x 880= + − X = 16 Graph on positive window
  • 15.
    The sum ofthe first n terms of an infinite sequence is called the nth partial sum. 1( ) 2n n nS a a= +
  • 16.
    Example 6. Findthe 150th partial sum of the arithmetic sequence, 5, 16, 27, 38, 49, … 1 5 11 5 11 6a d c= = → = − = − 11 6na n= − ( )150 11 150 6 1644a→ = − = ( ) ( )150 150 5 1644 75 1649 123,675 2 S = + = =
  • 17.
    Example 7. Anauditorium has 20 rows of seats. There are 20 seats in the first row, 21 seats in the second row, 22 seats in the third row, and so on. How many seats are there in all 20 rows? 1 20 1 19d c= = − = ( ) ( )1 201 20 19 1 39na a n d a= + − → = + = ( ) ( )20 20 20 39 10 59 590 2 S = + = =
  • 18.
    Example 8. Asmall business sells $10,000 worth of sports memorabilia during its first year. The owner of the business has set a goal of increasing annual sales by $7500 each year for 19 years. Assuming that the goal is met, find the total sales during the first 20 years this business is in operation. 1 10,000 7500 10,000 7500 2500a d c= = = − = ( ) ( )1 201 10,000 19 7500 152,500na a n d a= + − → = + = ( ) ( )20 20 10,000 152,500 10 162,500 1,625,000 2 S = + = = So the total sales for the first 2o years is $1,625,000
  • 19.
    9.3 – GeometricSequences and Series
  • 20.
    1, 4, 7,10,13 9,1,7, 15 6.2, 6.6, 7, 7.4 , 3, 6 − − π π + π + Arithmetic Sequences ADD To get next term 2, 4, 8,16, 32 9, 3,1, 1/3 1,1/ 4,1/16,1/ 64 , 2.5 , 6.25 − − π π π Geometric Sequences MULTIPLY To get next term Arithmetic Series Sum of Terms 35 12 27.2 3 9 − π + Geometric Series Sum of Terms 62 20/3 85/ 64 9.75π
  • 21.
    Vocabulary of Sequences(Universal) 1a First term→ na nth term→ nS sum of n terms→ n number of terms→ r common ratio→ ( ) n 1 n 1 n 1 n nth term of geometric sequence sum of n terms of geometric sequ a a r a r 1 S r 1 ence − → =  − = − →
  • 22.
    Find the nextthree terms of 2, 3, 9/2, ___, ___, ___ 3 – 2 vs. 9/2 – 3… not arithmetic 3 9/ 2 3 1.5 geometric r 2 3 2 = = → → = 3 3 3 3 3 3 2 2 2 9 2, 3, , , , 2 9 9 9 2 2 2 2 2 2 × × × × × × 9 2, 3, , , 27 81 243 4 8 , 2 16
  • 23.
    1 9 1 2 Ifa ,r , find a . 2 3 = = 1a First term→ na nth term→ nS sum of n terms→ n number of terms→ r common ratio→ 1/2 x 9 NA 2/3 n 1 n 1a a r − = 9 1 1 2 x 2 3 −    =       8 8 2 x 2 3 = × 7 8 2 3 = 128 6561 =
  • 24.
    Find two geometricmeans between –2 and 54 -2, ____, ____, 54 1a First term→ na nth term→ nS sum of n terms→ n number of terms→ r common ratio→ -2 54 4 NA x n 1 n 1a a r − = ( ) ( ) 14 54 2 x − −= 3 27 x− = 3 x− = The two geometric means are 6 and -18, since –2, 6, -18, 54 forms an geometric sequence
  • 25.
    2 4 1 2 Finda a if a 3 and r 3 − = − = -3, ____, ____, ____ 2 Since r ... 3 = 4 8 3, 2, , 3 9 − − − − 2 4 8 10 a a 2 9 9 − −  − = − − =   
  • 26.
    9Find a of2, 2, 2 2,... 1a First term→ na nth term→ nS sum of n terms→ n number of terms→ r common ratio→ x 9 NA 2 2 2 2 r 2 22 = = = n 1 n 1a a r − = ( ) 9 1 x 2 2 − = ( ) 8 x 2 2= x 16 2=
  • 27.
    5 2If a32 2 and r 2, find a= = − ____, , ____,________ ,32 2 1a First term→ na nth term→ nS sum of n terms→ n number of terms→ r common ratio→ x 5 NA 32 2 2− n 1 n 1a a r − = ( ) 5 1 32 2 x 2 − −= ( ) 4 32 2 x 2= − 32 2 x4= 8 2 x=
  • 28.
    *** Insert onegeometric mean between ¼ and 4*** *** denotes trick question 1 ,____,4 4 1a First term→ na nth term→ nS sum of n terms→ n number of terms→ r common ratio→ 1/4 3 NA 4 x n 1 n 1a a r − = 3 11 4 4 r − = 2 r 1 4 4 → = 2 16 r→ = 4 r→ ± = 1 ,1, 4 4 1 , 1, 4 4 −
  • 29.
    7 1 1 1 FindS of ... 2 4 8 + + + 1a First term→ na nth term→ nS sum of n terms→ n number of terms→ r common ratio→ 1/2 7 x NA 11 184r 1 1 2 2 4 = = = ( )n 1 n a r 1 S r 1  − = − 7 1 1 2 2 x 1 2 1 1     −        = − 7 1 1 2 2 1 2 1     −        = − 63 64 =
  • 30.
    Section 12.3 –Infinite Series
  • 31.
    1, 4, 7,10, 13, …. Infinite Arithmetic No Sum 3, 7, 11, …, 51 Finite Arithmetic ( )n 1 n n S a a 2 = + 1, 2, 4, …, 64 Finite Geometric ( )n 1 n a r 1 S r 1 − = − 1, 2, 4, 8, … Infinite Geometric r > 1 r < -1 No Sum 1 1 1 3,1, , , ... 3 9 27 Infinite Geometric -1 < r < 1 1a S 1 r = −
  • 32.
    Find the sum,if possible: 1 1 1 1 ... 2 4 8 + + + + 1 1 12 4r 11 2 2 = = = 1 r 1 Yes→ − ≤ ≤ → 1a 1 S 2 11 r 1 2 = = = − −
  • 33.
    Find the sum,if possible: 2 2 8 16 2 ...+ + + 8 16 2 r 2 2 82 2 = = = 1 r 1 No→ − ≤ ≤ → NO SUM
  • 34.
    Find the sum,if possible: 2 1 1 1 ... 3 3 6 12 + + + + 1 1 13 6r 2 1 2 3 3 = = = 1 r 1 Yes→ − ≤ ≤ → 1 2 a 43S 11 r 3 1 2 = = = − −
  • 35.
    Find the sum,if possible: 2 4 8 ... 7 7 7 + + + 4 8 7 7r 2 2 4 7 7 = = = 1 r 1 No→ − ≤ ≤ → NO SUM
  • 36.
    Find the sum,if possible: 5 10 5 ... 2 + + + 5 5 12r 10 5 2 = = = 1 r 1 Yes→ − ≤ ≤ → 1a 10 S 20 11 r 1 2 = = = − −
  • 37.
    The Bouncing BallProblem – Version A A ball is dropped from a height of 50 feet. It rebounds 4/5 of it’s height, and continues this pattern until it stops. How far does the ball travel? 50 40 32 32/5 40 32 32/5 40 S 45 50 4 1 0 1 55 4 = = − + −
  • 38.
    The Bouncing BallProblem – Version B A ball is thrown 100 feet into the air. It rebounds 3/4 of it’s height, and continues this pattern until it stops. How far does the ball travel? 100 75 225/4 100 75 225/4 10 S 80 100 4 4 3 1 0 1 0 3 = = − + −
  • 39.
  • 40.
    B n n A a = ∑ UPPER BOUND (NUMBER) LOWERBOUND (NUMBER) SIGMA (SUM OF TERMS) NTH TERM (SEQUENCE)
  • 41.
    ( ) j 4 1 j 2 = +∑( )21= + ( )2 2+ + ( )3 2+ + ( )24+ + 18= ( ) 7 4a 2a = ∑ ( )( )42= ( )( )2 5+ ( )( )2 6+ ( )( )72+ 44= ( )n n 0 4 0.5 2 = +∑ ( )0 0.5 2= + ( )1 0.5 2+ + ( )2 0.5 2+ + ( )3 0.5 2+ + ( )4 0.5 2+ + 33.5=
  • 42.
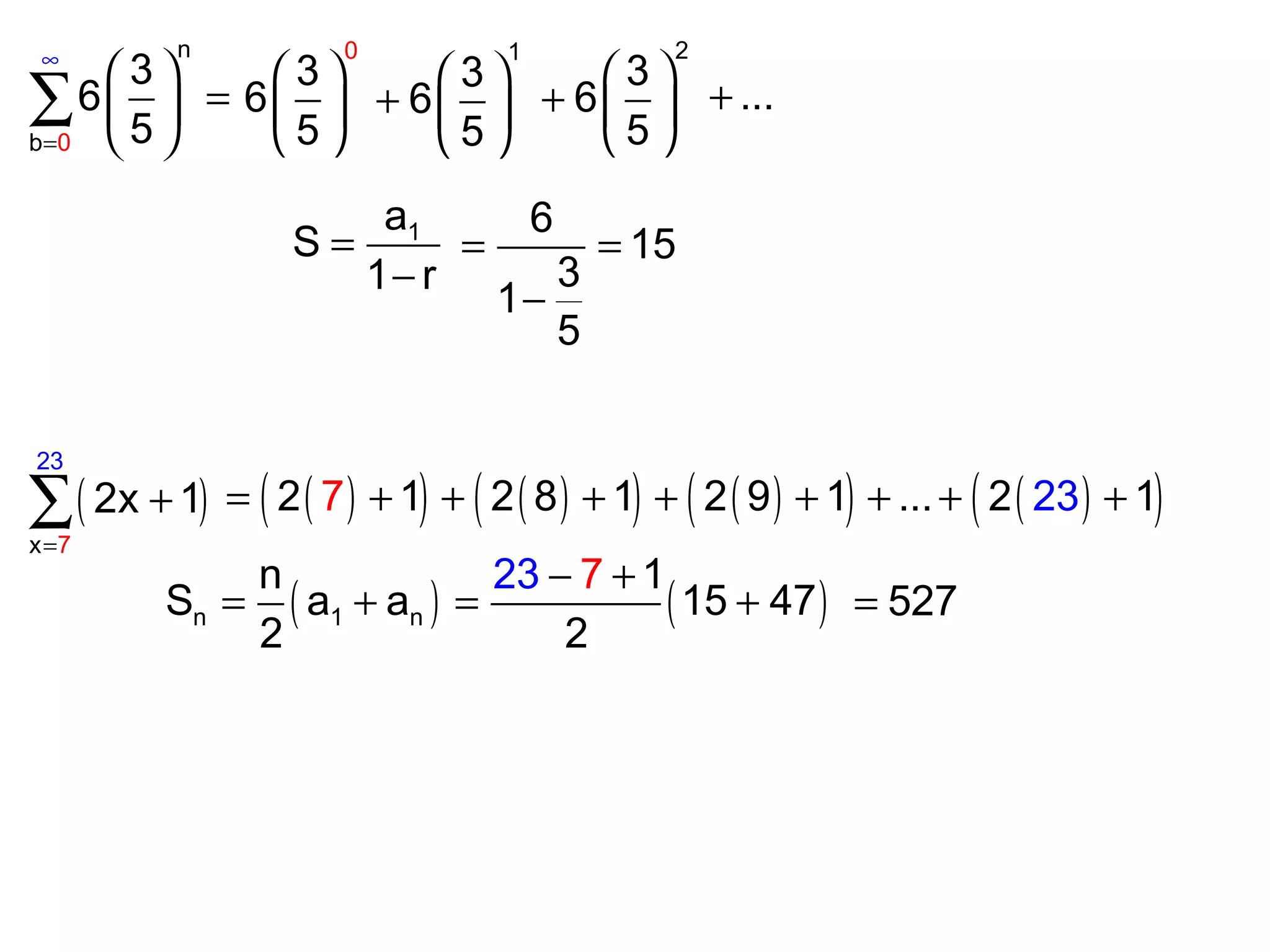
    0 n b 3 6 5= ∞   =   ∑ 0 3 6 5       1 3 6 5   +     2 3 6 5   +     ...+ 1a S 1 r = − 6 15 3 1 5 = = − ( ) 2 x 3 7 2x 1 = +∑ ( )( ) ( )( ) ( )( ) ( )( )2 1 2 8 1 2 9 1 ...7 2 123= + + + + + + + + ( ) ( )n 1 n 2n 1 S a a 15 2 3 2 7 47 − + = + = + 527=
  • 43.
    ( ) 1 b 9 4 4b 3 = +∑( )( ) ( )( ) ( )( ) ( )( )4 3 4 5 3 4 6 3 ...4 4 319= + + + + + + + + ( ) ( )n 1 n 1n 1 S a a 19 2 9 2 4 79 − + = + = + 784=
  • 44.
    Rewrite using sigmanotation: 3 + 6 + 9 + 12 Arithmetic, d= 3 ( )n 1a a n 1 d= + − ( )na 3 n 1 3= + − na 3n= 4 1n 3n = ∑
  • 45.
    Rewrite using sigmanotation: 16 + 8 + 4 + 2 + 1 Geometric, r = ½ n 1 n 1a a r − = n 1 n 1 a 16 2 −   =     n 1 n 5 1 1 16 2 − =       ∑
  • 46.
    Rewrite using sigmanotation: 19 + 18 + 16 + 12 + 4 Not Arithmetic, Not Geometric n 1 na 20 2 − = − n 1 n 5 1 20 2 − = −∑ 19 + 18 + 16 + 12 + 4 -1 -2 -4 -8
  • 47.
    Rewrite the followingusing sigma notation: 3 9 27 ... 5 10 15 + + + Numerator is geometric, r = 3 Denominator is arithmetic d= 5 NUMERATOR: ( ) n 1 n3 9 27 ... a 3 3 − + + + → = DENOMINATOR: ( )n n5 10 15 ... a 5 n 1 5 a 5n+ + + → = + − → = SIGMA NOTATION: ( ) 1 1 n n 5n 3 3 − ∞ = ∑
  • 48.
    48 Do you findthis slides were useful? One second of your life , can bring a smile in a girl life If Yes ,Join Dreams School “Campaign for Female Education” Help us in bringing a change in a girl life, because “When someone takes away your pens you realize quite how important education is”. Just Click on any advertisement on the page, your one click can make her smile. Eliminate Inequality “Not Women” One second of your life , can bring a smile in her life!! Do you find these slides were useful? If Yes ,Join Dreams School “Campaign for Female Education” Help us in bringing a change in a girl life, because “When someone takes away your pens you realize quite how important education is”. Just Click on any advertisement on the page, your one click can make her smile. We our doing our part & u ? Eliminate Inequality “Not Women”