An arithmetic series is the sum of the
indicated terms of an arithmetic sequence.

   4, 6, 8      arithmetic sequence
   4+6+8        arithmetic series
Find the sum: 6 + 13 + 20 + 27 + 34 + 41 + 48


S7 = 6 + 13 + 20 + 27 + 34 + 41 + 48
S7 = 48 + 41 + 34 + 27 + 20 + 13 + 6
2S7 = 54 + 54 + 54 + 54 + 54 + 54 + 54
    2S7 = 7(54)
     S7 = 7(54) = 189
            2
Find the sum of the first 20 even numbers, beginning
with 2.
Find the first four terms of an arithmetic series in
which

                          17 20 23 26
                       14+__+__+__+__+29=129

                          +d    +d   +d +d    +d
          14
                            14 + 5d = 29
                            5d = 15
                            d=3
Sn = 4 + 8 + 12 + 16 + 20
Sigma notation can be used to express an
arithmetic series

Last value for n           Formula for
                           generating terms




 First value for n
How many terms are in the series
10 – 5 + 1 = 6 terms

What are the terms   a1 = 2(5) + 3 = 13
in the series?
                     a2 = 2(6) + 3 = 15
                     a3 = 2(7) + 3 = 17
                     a4 = 2(8) + 3 = 19
                     a5 = 2(9) + 3 = 21
                     a6 = 2(10) + 3 = 23
Evaluate
                       6 terms
           6
     6         13 23   a1 = 2(5) + 3 = 13
                   6
                       a6 = 2(10) + 3 = 23
         = 3(36)
         = 108
Geometric Series
If a1 + a2 + … + an is a geometric series,
then the sum of the terms of the series is


                        or


 a1 is the first term
 r is the common ratio
 n is the number of terms in the series
 an is the last term
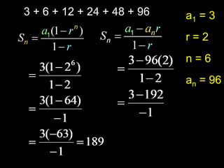
3 + 6 + 12 + 24 + 48 + 96   a1 = 3
                            r=2
                            n=6
                            an = 96
3 + 6 + 12 + 24 + 48 + 96   a1 = 3
                            r=2
                            n=6
                            an = 96
3 + 6 + 12 + 24 + 48 + 96   a1 = 3
                            r=2
                            n=6
                            an = 96
3 + 6 + 12 + 24 + 48 + 96   a1 = 3
                            r=2
                            n=6
                            an = 96
3 + 6 + 12 + 24 + 48 + 96   a1 = 3
                            r=2
                            n=6
                            an = 96
3 + 6 + 12 + 24 + 48 + 96   a1 = 3
                            r=2
                            n=6
                            an = 96
3 + 6 + 12 + 24 + 48 + 96   a1 = 3
                            r=2
                            n=6
                            an = 96
3 + 6 + 12 + 24 + 48 + 96   a1 = 3
                            r=2
                            n=6
                            an = 96
Evaluate
Find a1 in a geometric series for which
and

Alg2 lesson 11-2 and 11-4

  • 1.
    An arithmetic seriesis the sum of the indicated terms of an arithmetic sequence. 4, 6, 8 arithmetic sequence 4+6+8 arithmetic series
  • 2.
    Find the sum:6 + 13 + 20 + 27 + 34 + 41 + 48 S7 = 6 + 13 + 20 + 27 + 34 + 41 + 48 S7 = 48 + 41 + 34 + 27 + 20 + 13 + 6 2S7 = 54 + 54 + 54 + 54 + 54 + 54 + 54 2S7 = 7(54) S7 = 7(54) = 189 2
  • 3.
    Find the sumof the first 20 even numbers, beginning with 2.
  • 4.
    Find the firstfour terms of an arithmetic series in which 17 20 23 26 14+__+__+__+__+29=129 +d +d +d +d +d 14 14 + 5d = 29 5d = 15 d=3
  • 5.
    Sn = 4+ 8 + 12 + 16 + 20 Sigma notation can be used to express an arithmetic series Last value for n Formula for generating terms First value for n
  • 6.
    How many termsare in the series 10 – 5 + 1 = 6 terms What are the terms a1 = 2(5) + 3 = 13 in the series? a2 = 2(6) + 3 = 15 a3 = 2(7) + 3 = 17 a4 = 2(8) + 3 = 19 a5 = 2(9) + 3 = 21 a6 = 2(10) + 3 = 23
  • 7.
    Evaluate 6 terms 6 6 13 23 a1 = 2(5) + 3 = 13 6 a6 = 2(10) + 3 = 23 = 3(36) = 108
  • 8.
  • 9.
    If a1 +a2 + … + an is a geometric series, then the sum of the terms of the series is or a1 is the first term r is the common ratio n is the number of terms in the series an is the last term
  • 10.
    3 + 6+ 12 + 24 + 48 + 96 a1 = 3 r=2 n=6 an = 96
  • 11.
    3 + 6+ 12 + 24 + 48 + 96 a1 = 3 r=2 n=6 an = 96
  • 12.
    3 + 6+ 12 + 24 + 48 + 96 a1 = 3 r=2 n=6 an = 96
  • 13.
    3 + 6+ 12 + 24 + 48 + 96 a1 = 3 r=2 n=6 an = 96
  • 14.
    3 + 6+ 12 + 24 + 48 + 96 a1 = 3 r=2 n=6 an = 96
  • 15.
    3 + 6+ 12 + 24 + 48 + 96 a1 = 3 r=2 n=6 an = 96
  • 16.
    3 + 6+ 12 + 24 + 48 + 96 a1 = 3 r=2 n=6 an = 96
  • 17.
    3 + 6+ 12 + 24 + 48 + 96 a1 = 3 r=2 n=6 an = 96
  • 18.
  • 19.
    Find a1 ina geometric series for which and