Rational
Numbers
Integers: …, -3, -2, -1, 0, 1, 2, 3, …


A Rational Number can be written in the
form a , where a and b are integers and
b ≠ 0. b
                      2
                      3
         www.visualfractions.com
Representing fractions               2
                                     3
Area model


Number Line Model
                         0   1   2   1
                             3   3
Set model
Equivalent (equal) fractions represent the same
number.
                                        2 2       4
                                        3 2       6

                                        2 3       6
                                        3 3       9

 Fundamental Law of Fractions a           a c
                              b           b c
2       6
Show that and are equal by finding
           3       9
a common denominator.
  The least common denominator of two
fractions is the LCM of their denominators.

LCM(3,9) = 9
                2 3    6
                3 3    9
2       6
Show that and are equal by
              3       9
simplifying both fractions.
    A fraction is in simplest form if its
  numerator and denominator have no
      common factor other than 1.

  2   is simplified
                      6 3    2
  3                   9 3    3
2        6
Show that and
        3        9   are equal by cross
multiplying.
        a    c
               if ad bc
        b    d

        18            18    18 = 18
             2   6          so 2 6
             3   9             3 9
Ordering rational numbers

Place <, > or = between the two numbers:
  2 3
    <                  0    1   2   3   4   5   6
                                                    1
  7 7                       7   7   7   7   7   7   7
  1    3
    >                                               7
  5   5
               1
  1 1
    <          5
  5 4         1
              4
1     1
Find one rational number between   and
                                 5     4

    1 4            1 5         LCD = 20
    5 4            4 5
    4 2            5 2
   20 2           20 2
                                      9
      8             10
                                     40
     40             40
1     1
Find two rational numbers between   and
                                  6     5
   1 5             1 6         LCD = 30
   6 5             5 6
    5 2            6 2
   30 2           30 2
   10 2           12 2
   60 2           60 2
                             21 22 23
      20             24        ,   ,
                            120 120 120
     120            120
A mixed number represents the sum of an integer
and a fraction.
          1                  1
      1   2         1        2

              1                   1
       1      2          1       2



              -2   11
                    2   -1       0
                                        1
                                      1 1 2
                                        2
2
Change   1   3
               to an improper fraction.

An improper fraction has a numerator that is greater
         than or equal to its denominator.



                                  2       3   2
                              1   3       3   3
                      2
         1            3                   5
                                          3
Change 5 to a mixed number.
       2

                                    1
                                2   2
       1        1           1
                            2

       2
     2 5            2R1
       4            2   1
                        2
       1
Adding Rational Numbers

    1   1     2        1
    4   4     4        2

 3 1    1 4
 3 4    3 4

     3 4           7
    12 12         12
2       3
1   3   2   4


                    2 4        8
                1   3 4   1   12
                               9
                2   3 3
                    4 3
                          2   12
                              17
                          3   12
                               5
                          4   12
2       3
1   3   2   4

                    2   5 4    20
                1   3   3 4    12
                    3   11 3   33
                2   4    4 3   12
                               53
                               12
                                    5
                               4   12
Subtracting Rational Numbers
 4 2       1 3       8     3    5
 4 9      12 3      36    36   36


 2 2      1 5        4     5    1
 2 5      2 5       10    10   10
1       2
4   5   1   3


                    1 3
                          3 3 18
                4   5 3   4 15
                    2 5       10
                1   3 5   1   15
                               8
                          2   15
1       2
 4   5   1   3

3 21     5 5
3 5      3 5
  63     25
  15     15
  38        8
         2
  15       15
Multiplication of Rational Numbers

 3·2
 =6
                       3 groups of 2

 3·½                                 =
          3
 = 1 ½ or
             2
                   3 groups of ½
2 1   2           a c   a c
        =
    3 4 12            b d   b d
    Rectangle model
                1
                4
2
3
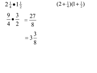
1       1              1         1
2   4   1   2
                      (2   4   )(1   2   )

9 3             27
4 2              8
                  3
                3
                  8
Dividing rational numbers

 6 3
 =2                   3            3
               How many threes are in six?



 6 2
 =3               2         2          2
               How many twos are in six?
6 ½
= 12
       How many one-halfs are in six?




6 ¼
= 24
       How many one-fourths are in six?
1   1
3   6
      =2


       How many one-sixths are in one-third?
           a    c      a d
           b    d      b c
       1 1       1 6        6
                                  2
       3 6       3 1        3
Jane has 20 yards of fabric. How many blouses
can she make if each blouse requires:

a) 2 yards of fabric

         20 2 = 10 blouses
Jane has 20 yards of fabric. How many blouses
can she make if each blouse requires:

b) 2 ½ yards of fabric                       8 blouses
                   1                   5        20    2      40
       20 2        2           20      2        1     5      5    =8



   1   2   3   4       5   6   7   8   9   10 11 12 13 14 15 16 17 18 19 20
Jane has 20 yards of fabric. How many blouses
can she make if each blouse requires:

c)   2 1
             yards of fabric                   8 blouses
       3
                     1                   7        20    3      60        4
         20 2        3           20      3        1     7      7     8   7



     1   2   3   4       5   6   7   8   9   10 11 12 13 14 15 16 17 18 19 20



d) How many yards of fabric is left over?
                    1     7      56      2
   Fabric used: 8 2 3 8 3         3   18 3 yards
   Fabric left: 20 18 2 1 1 yards
                      3   3

1150 day 8

  • 1.
  • 2.
    Integers: …, -3,-2, -1, 0, 1, 2, 3, … A Rational Number can be written in the form a , where a and b are integers and b ≠ 0. b 2 3 www.visualfractions.com
  • 3.
    Representing fractions 2 3 Area model Number Line Model 0 1 2 1 3 3 Set model
  • 4.
    Equivalent (equal) fractionsrepresent the same number. 2 2 4 3 2 6 2 3 6 3 3 9 Fundamental Law of Fractions a a c b b c
  • 5.
    2 6 Show that and are equal by finding 3 9 a common denominator. The least common denominator of two fractions is the LCM of their denominators. LCM(3,9) = 9 2 3 6 3 3 9
  • 6.
    2 6 Show that and are equal by 3 9 simplifying both fractions. A fraction is in simplest form if its numerator and denominator have no common factor other than 1. 2 is simplified 6 3 2 3 9 3 3
  • 7.
    2 6 Show that and 3 9 are equal by cross multiplying. a c if ad bc b d 18 18 18 = 18 2 6 so 2 6 3 9 3 9
  • 8.
    Ordering rational numbers Place<, > or = between the two numbers: 2 3 < 0 1 2 3 4 5 6 1 7 7 7 7 7 7 7 7 7 1 3 > 7 5 5 1 1 1 < 5 5 4 1 4
  • 9.
    1 1 Find one rational number between and 5 4 1 4 1 5 LCD = 20 5 4 4 5 4 2 5 2 20 2 20 2 9 8 10 40 40 40
  • 10.
    1 1 Find two rational numbers between and 6 5 1 5 1 6 LCD = 30 6 5 5 6 5 2 6 2 30 2 30 2 10 2 12 2 60 2 60 2 21 22 23 20 24 , , 120 120 120 120 120
  • 11.
    A mixed numberrepresents the sum of an integer and a fraction. 1 1 1 2 1 2 1 1 1 2 1 2 -2 11 2 -1 0 1 1 1 2 2
  • 12.
    2 Change 1 3 to an improper fraction. An improper fraction has a numerator that is greater than or equal to its denominator. 2 3 2 1 3 3 3 2 1 3 5 3
  • 13.
    Change 5 toa mixed number. 2 1 2 2 1 1 1 2 2 2 5 2R1 4 2 1 2 1
  • 14.
    Adding Rational Numbers 1 1 2 1 4 4 4 2 3 1 1 4 3 4 3 4 3 4 7 12 12 12
  • 15.
    2 3 1 3 2 4 2 4 8 1 3 4 1 12 9 2 3 3 4 3 2 12 17 3 12 5 4 12
  • 16.
    2 3 1 3 2 4 2 5 4 20 1 3 3 4 12 3 11 3 33 2 4 4 3 12 53 12 5 4 12
  • 17.
    Subtracting Rational Numbers 4 2 1 3 8 3 5 4 9 12 3 36 36 36 2 2 1 5 4 5 1 2 5 2 5 10 10 10
  • 18.
    1 2 4 5 1 3 1 3 3 3 18 4 5 3 4 15 2 5 10 1 3 5 1 15 8 2 15
  • 19.
    1 2 4 5 1 3 3 21 5 5 3 5 3 5 63 25 15 15 38 8 2 15 15
  • 21.
    Multiplication of RationalNumbers 3·2 =6 3 groups of 2 3·½ = 3 = 1 ½ or 2 3 groups of ½
  • 22.
    2 1 2 a c a c = 3 4 12 b d b d Rectangle model 1 4 2 3
  • 23.
    1 1 1 1 2 4 1 2 (2 4 )(1 2 ) 9 3 27 4 2 8 3 3 8
  • 24.
    Dividing rational numbers 6 3 =2 3 3 How many threes are in six? 6 2 =3 2 2 2 How many twos are in six?
  • 25.
    6 ½ = 12 How many one-halfs are in six? 6 ¼ = 24 How many one-fourths are in six?
  • 26.
    1 1 3 6 =2 How many one-sixths are in one-third? a c a d b d b c 1 1 1 6 6 2 3 6 3 1 3
  • 27.
    Jane has 20yards of fabric. How many blouses can she make if each blouse requires: a) 2 yards of fabric 20 2 = 10 blouses
  • 28.
    Jane has 20yards of fabric. How many blouses can she make if each blouse requires: b) 2 ½ yards of fabric 8 blouses 1 5 20 2 40 20 2 2 20 2 1 5 5 =8 1 2 3 4 5 6 7 8 9 10 11 12 13 14 15 16 17 18 19 20
  • 29.
    Jane has 20yards of fabric. How many blouses can she make if each blouse requires: c) 2 1 yards of fabric 8 blouses 3 1 7 20 3 60 4 20 2 3 20 3 1 7 7 8 7 1 2 3 4 5 6 7 8 9 10 11 12 13 14 15 16 17 18 19 20 d) How many yards of fabric is left over? 1 7 56 2 Fabric used: 8 2 3 8 3 3 18 3 yards Fabric left: 20 18 2 1 1 yards 3 3