Embed presentation









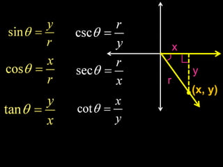
The document contains instructions for finding trigonometric function values given specific angle measurements or terminal side locations. It includes: 1) Finding the six trig functions of an angle with a terminal side at (8, -15) 2) Finding the six trig functions of an angle with a terminal side at (-3, 4) 3) Finding the reference angle of 330° 4) Finding the reference angle of an angle in Quadrant III 5) Finding the value of sin(135°) 6) Finding the remaining five trig functions of an angle in Quadrant III with a terminal side of (-4, -3)








