© 2014 Pearson Education, Inc.
Chad Snyder, PhD
Grace College
Chapter 8
Lecture
Reactions of Alkenes
© 2017 Pearson Education, Ltd.
Organic Chemistry,
9th Edition,
Global Edition
L. G. Wade, Jr.
© 2014 Pearson Education, Inc.
8-1 Reactivity of the Carbon–
Carbon Double Bond
© 2017 Pearson Education, Ltd.
Reactivity of the Carbon–
Carbon Double Bond
• The most common reactions of double
bonds transform the pi bond into a
sigma bond.
© 2017 Pearson Education, Ltd.
Types of Alkene Reactions
© 2014 Pearson Education, Inc.
8-2 Electrophilic Addition to
Alkene
© 2017 Pearson Education, Ltd.
Bonding in Alkenes
• Electrons in pi bonds
are loosely held.
• The double bond acts
as a nucleophile
attacking electrophilic
species.
• Carbocations are
intermediates in some
of these reactions.
• These reactions are
called electrophilic
additions.
© 2017 Pearson Education, Ltd.
Electrophilic Addition
• Step 1: Pi electrons attack the electrophile.
• Step 2: Nucleophile attacks the carbocation.
© 2017 Pearson Education, Ltd.
Types of Additions
© 2017 Pearson Education, Ltd.
8-3 Addition of Hydrogen
Halides to Alkenes
© 2017 Pearson Education, Ltd.
Addition of HX to Alkenes
• Step 1 is the protonation of the double bond.
• The protonation step forms the most stable
carbocation possible.
• In step 2, the nucleophile attacks the
carbocation, forming an alkyl halide.
• HBr, HCl, and HI can be added through this
reaction.
© 2017 Pearson Education, Ltd.
Mechanism of Addition of HX
Step 1: Protonation of the double bond
Step 2: Nucleophilic attack of the halide on the carbocation
© 2017 Pearson Education, Ltd.
Regioselectivity
• Markovnikov’s rule: The addition of a proton
to the double bond of an alkene results in a
product with the acidic proton bonded to the
carbon atom that already holds the greater
number of hydrogens.
• Markovnikov’s rule (extended): In an
electrophilic addition to the alkene, the
electrophile adds in such a way that it
generates the most stable intermediate.
© 2017 Pearson Education, Ltd.
Markovnikov’s Rule
The acid proton will bond to carbon 3 in order to
produce the most stable carbocation possible.
© 2017 Pearson Education, Ltd.
Markovnikov’s Rule (Continued)
• The bromide anion then adds to the
carbocation.
© 2017 Pearson Education, Ltd.
The Reaction-Energy Diagram
The first step is rate-determining in the
electrophilic addition to an alkene.
© 2017 Pearson Education, Ltd.
Example
© 2017 Pearson Education, Ltd.
Show how you would accomplish the following synthetic conversions.
(a) Convert 1-methylcyclohexene to 1-bromo-1-methylcyclohexane.
This synthesis requires the addition of HBr to an alkene with Markovnikov
orientation. Ionic addition of HBr gives the correct product.
Solved Problem 1
Solution
© 2017 Pearson Education, Ltd.
More Examples
© 2017 Pearson Education, Ltd.
Free-Radical Addition of HBr
• In the presence of peroxides, HBr adds to an
alkene to form the “anti-Markovnikov” product.
• Peroxides produce free radicals.
• Only HBr has just the right reactivity for each step
of the free-radical chain reaction to take place.
• The peroxide effect is not seen with HCl or HI
because the reaction of an alkyl radical with HCl
or HI is strongly endothermic.
© 2017 Pearson Education, Ltd.
Free-Radical Initiation
• The peroxide bond breaks homolytically to
form the first radical:
• Hydrogen is abstracted from HBr.
© 2017 Pearson Education, Ltd.
Propagation Steps
• Bromine adds to the double bond, forming the
most stable radical possible:
• Hydrogen is abstracted from HBr:
© 2017 Pearson Education, Ltd.
Anti-Markovnikov
Stereochemistry
• The intermediate tertiary radical forms faster
because it is more stable.
© 2017 Pearson Education, Ltd.
This synthesis requires the conversion of an alcohol to an alkyl bromide with the bromine
atom at the neighboring carbon atom. This is the anti-Markovnikov product, which could be
formed by the radical-catalyzed addition of HBr to 1-methylcyclohexene.
1-Methylcyclohexene is easily synthesized by the dehydration of 1-methylcyclohexanol. The
most substituted alkene is the desired product.
Solved Problem 2
Solution
Convert 1-methylcyclohexanol to 1-bromo-2-methylcyclohexane.
© 2017 Pearson Education, Ltd.
The two-step synthesis is summarized as follows:
Solved Problem 2 (Continued)
Solution (Continued)
© 2017 Pearson Education, Ltd.
8-4 Addition of Water:
Hydration of Alkenes
© 2017 Pearson Education, Ltd.
Hydration of Alkenes
• Addition of water to the double bond forms an alcohol.
• The addition follows Markovnikov’s rule.
• This is the reverse of the dehydration of alcohol.
• It uses dilute solutions of H2SO4 or H3PO4 to drive
equilibrium toward hydration.
© 2017 Pearson Education, Ltd.
Mechanism for Hydration
Step 1: Protonation of the double bond forms a carbocation.
Step 2: Nucleophilic attack of water
Step 3: Deprotonation of the alcohol
© 2017 Pearson Education, Ltd.
Orientation of Hydration
The protonation follows Markovnikov’s rule: The
proton adds to the less substituted end of the double
bond, so the positive charge appears at the more
substituted end (most stable carbocation).
© 2017 Pearson Education, Ltd.
Rearrangements Are Possible
• A methyl shift after protonation will produce the more
stable tertiary carbocation.
Methyl Shift:
© 2017 Pearson Education, Ltd.
8-5 Hydration by Oxymercuration-
Demercuration
© 2017 Pearson Education, Ltd.
Oxymercuration–
Demercuration Reaction
• Markovnikov addition of water to the double bond
• Milder conditions than direct hydration
• No rearrangements or polymerization
© 2017 Pearson Education, Ltd.
Oxymercuration Reaction
• The reagent is mercury(II) acetate, which
dissociates slightly to form +Hg(OAc).
• +Hg(OAc) is the electrophile that adds to the
pi bond.
• The intermediate is a three-membered ring
called the mercurinium ion.
• Overall, the addition of water follows
Markovnikov’s rule.
© 2017 Pearson Education, Ltd.
Formation of the Mercury
Species +Hg(OAc)
© 2017 Pearson Education, Ltd.
Mechanism of Oxymercuration
© 2017 Pearson Education, Ltd.
Stereochemistry of the
Mercurinium Ion Opening
• Water adds to the more substituted carbon to
form the Markovnikov product.
• Water approaches the mercurinium ion from the
side opposite the ring (anti addition).
© 2017 Pearson Education, Ltd.
Demercuration Reaction
• In the demercuration reaction, a hydride
furnished by the sodium borohydride (NaBH4)
replaces the mercuric acetate.
• The overall reaction gives the Markovnikov
product with the hydroxy group on the most
substituted carbon.
© 2017 Pearson Education, Ltd.
Oxymercuration–Demercuration
of 3,3,-Dimethylbut-1-ene
The reaction does not suffer from rearrangements because
there is no carbocation intermediate.
© 2017 Pearson Education, Ltd.
Predict the Product
Predict the product when the given alkene
reacts with aqueous mercuric acetate,
followed by reduction with sodium
borohydride.
CH3
D
(1) Hg(OAc) 2, H2O
(2) NaBH 4
OH
CH3
D
H
anti addition
© 2017 Pearson Education, Ltd.
8-6 Alkoxymercuration -
Demercuration
© 2017 Pearson Education, Ltd.
© 2017 Pearson Education, Ltd.
If the nucleophile is an alcohol (ROH),
instead of water, an ether is produced.
© 2017 Pearson Education, Ltd.
Show the intermediates and products that result from alkoxymercuration–demercuration of
1-methylcyclopentene, using methanol as the solvent.
Mercuric acetate adds to 1-methylcyclopentene to give the cyclic mercurinium ion. This ion
has a considerable amount of positive charge on the more substituted tertiary carbon atom.
Methanol attacks this carbon.
Reduction of the intermediate gives the Markovnikov product, 1-methoxy-1-
methylcyclopentane.
Solution
Solved Problem 2
© 2017 Pearson Education, Ltd.
8-7 Hydroboration of Alkenes
© 2017 Pearson Education, Ltd.
© 2017 Pearson Education, Ltd.
Hydroboration of Alkenes
• H. C. Brown of Purdue University discovered that
diborane (B2H6) adds to alkenes with anti-Markovnikov
orientation to form alkylboranes, which, after oxidation,
give anti-Markovnikov alcohols.
• Brown received the Nobel Prize in Chemistry in 1979 for
his work in the field of borane chemistry.
© 2017 Pearson Education, Ltd.
© 2017 Pearson Education, Ltd.
Diborane
• Diborane (B2H6) is a dimer of borane and is in
equilibrium with a small amount of BH3.
• The complex of borane with tetrahydrofuran
(BH3•THF) is the most commonly used form of
borane.
© 2017 Pearson Education, Ltd.
Mechanism of Hydroboration
• Borane adds to the double bond in a single step, with boron
adding to the less substituted carbon and hydrogen adding to the
more highly substituted carbon.
• This orientation places the partial positive charge in the transition
state on the more highly substituted carbon atom.
© 2017 Pearson Education, Ltd.
Oxidation to Alcohol
• Oxidation of the alkyl borane with basic
hydrogen peroxide produces the alcohol.
• Orientation is anti-Markovnikov.
© 2017 Pearson Education, Ltd.
Stoichiometry of Hydroboration
• Three moles of alkene can react with
each mole of BH3.
© 2017 Pearson Education, Ltd.
Stereochemistry of
Hydroboration
• The hydroboration step adds the hydrogen and the boron
to the same side of the double bond (syn addition).
• When the boron is oxidized, the OH will keep the same
stereochemical orientation.
© 2017 Pearson Education, Ltd.
Predict the product when the given alkene
reacts with borane in THF, followed by
oxidation with basic hydrogen peroxide.
CH3
D
(1)
(2)
BH3, THF
H2O2, OH
-
=>
syn addition
H
CH3
D
OH
© 2017 Pearson Education, Ltd.
The Role of the
Hydroperoxide Ion
© 2017 Pearson Education, Ltd.
Oxidation of a Trialkylborane
© 2017 Pearson Education, Ltd.
Show how you would convert 1-methylcyclopentanol to 2-methylcyclopentanol.
Working backward, use hydroboration–oxidation to form 2-methylcyclopentanol from
1-methylcyclopentene. The use of (1) and (2) above and below the reaction arrow indicates
individual steps in a two-step sequence.
The 2-methylcyclopentanol that results from this synthesis is the pure trans isomer. This
stereochemical result is discussed in Section 8-7C. 1-Methylcyclopentene is the most
substituted alkene that results from dehydration of 1-methylcyclopentanol. Dehydration of the
alcohol would give the correct alkene.
Solved Problem 3
Solution
© 2017 Pearson Education, Ltd.
The syn addition of BH3 across the double bond of norbornene takes place mostly
from the more accessible outside (exo) face of the double bond. Oxidation gives a
product with both the hydrogen atom and the hydroxyl group in exo positions.
(The less accessible inner face of the double bond is called the endo face.)
A norbornene molecule labeled with deuterium is subjected to hydroboration–
oxidation. Give the structures of the intermediates and products.
Solution
Solved Problem 4
© 2017 Pearson Education, Ltd.
8-8 Addition of Halogens to
Alkenes
© 2017 Pearson Education, Ltd.
Addition of Halogens
• Cl2, Br2, and sometimes I2 add to a double
bond to form a vicinal dihalide.
• This is an anti addition of halides.
© 2017 Pearson Education, Ltd.
Mechanism of
Halogen Addition
© 2017 Pearson Education, Ltd.
Mechanism of Halogen
Addition to Alkenes continued.
• The intermediate is a three-membered ring called the
halonium ion.
© 2017 Pearson Education, Ltd.
© 2017 Pearson Education, Ltd.
Stereochemistry of
Halogen Addition
• Anti stereochemistry results from the back-side attack
of the nucleophile on the bromonium ion.
• This back-side attack assures anti stereochemistry of
addition.
© 2017 Pearson Education, Ltd.
Examples of Stereospecificity
© 2017 Pearson Education, Ltd.
Bromine Test for Unsaturation
• Add Br2 in CCl4 (dark, red-
brown color) to an alkene.
• The color quickly disappears
as the bromine adds to the
double bond (left-side test
tube).
• If there is no double bond
present, the brown color will
remain (right side).
• “Decolorizing bromine” is the
chemical test for the
presence of a double bond.
© 2017 Pearson Education, Ltd.
8-9 Formation of Halohydrin
© 2017 Pearson Education, Ltd.
Formation of Halohydrins
• If a halogen is added in the presence of water as solvent,
a halohydrin is formed.
• Water is the nucleophile.
• This is a Markovnikov addition: The bromide
(electrophile) will add to the less substituted carbon.
© 2017 Pearson Education, Ltd.
Mechanism of
Halohydrin Formation
© 2017 Pearson Education, Ltd.
Stereochemistry of
Halohydrins
• Because the mechanism involves a
halonium ion, the stereochemistry of
addition is anti, as in halogenation.
© 2017 Pearson Education, Ltd.
Orientation of
Halohydrin Formation
• The more substituted carbon of the chloronium
ion bears more positive charge than the less
substituted carbon.
• Attack by water occurs on the more substituted
carbon to give the Markovnikov product.
© 2017 Pearson Education, Ltd.
Propose a mechanism for the reaction of 1-methylcyclopentene with bromine water.
1-Methylcyclopentene reacts with bromine to give a bromonium ion. Attack by water
could occur at either the secondary carbon or the tertiary carbon of the bromonium
ion. Attack actually occurs at the more substituted carbon, which bears more of the
positive charge. The product is formed as a racemic mixture.
Solved Problem 5
Solution
© 2017 Pearson Education, Ltd.
When cyclohexene is treated with bromine in saturated aqueous sodium chloride, a
mixture of trans-2-bromocyclohexanol and trans-1-bromo-2-chlorocyclohexane
results. Propose a mechanism to account for these two products.
Cyclohexene reacts with bromine to give a bromonium ion, which will react with any
available nucleophile. The most abundant nucleophiles in saturated aqueous
sodium chloride solution are water and chloride ions. Attack by water gives the
bromohydrin, and attack by chloride gives the dihalide. Either of these attacks gives
anti stereochemistry.
Solved Problem 6
Solution
© 2017 Pearson Education, Ltd.
8-10 Catalytic Hydrogenation
of Alkenes
© 2017 Pearson Education, Ltd.
Catalytic Hydrogenation
of Alkenes
• Hydrogen (H2) can be added across the double bond in
a process known as catalytic hydrogenation.
• The reaction only takes place if a catalyst is used.
© 2017 Pearson Education, Ltd.
Mechanism of Catalytic
Hydrogenation
• The hydrogen and the alkene are adsorbed on the metal surface.
• Once adsorbed, the hydrogens insert across the same face of the
double bond and the reduced product is released from the metal.
• The reaction has a syn stereochemistry since both hydrogens
will add to the same side of the double bond.
© 2017 Pearson Education, Ltd.
Wilkinson’s Catalyst
• Wilkinson’s catalyst is a soluble homogenous catalyst
that catalyzes the hydrogenation of a carbon–carbon
double bond.
© 2017 Pearson Education, Ltd.
Syn Stereochemistry in
Catalytic Hydrogenation
• A solid heterogeneous catalyst adds two
hydrogen atoms to the same face of the pi bond.
© 2017 Pearson Education, Ltd.
The Need for Chiral Catalysts
• Only the (–)-enantiomer of dopa can cross the
blood–brain barrier and be transformed into
dopamine; the other enantiomer is toxic to the
patient.
© 2017 Pearson Education, Ltd.
8-11 Addition of Carbenes to
Alkene
© 2017 Pearson Education, Ltd.
Addition of Carbenes
• The insertion of the —CH2 group into a double bond
produces a cyclopropane ring.
• There are three methods:
– Diazomethane (CH3N2, UV light or heat)
– Simmons–Smith (CH2I2 and Zn(Cu))
– Alpha elimination of a haloform (CHX3, NaOH, H2O)
© 2017 Pearson Education, Ltd.
Carbenes: Diazomethane
Method
Problems with diazomethane:
1. Extremely toxic and explosive
2. The carbene can insert into C—H bonds, too.
© 2017 Pearson Education, Ltd.
Simmons–Smith Reaction
Best method for preparing cyclopropanes.
Preparation of the Simmons–Smith reagent:
CH2I2 + Zn(Cu)  ICH2ZnI
Simmons–Smith
reagent
© 2017 Pearson Education, Ltd.
Alpha Elimination Reaction
• In the presence of a base, chloroform or
bromoform can be dehydrohalogenated to
form a carbene.
© 2017 Pearson Education, Ltd.
Stereospecificity
• The cylopropanes will retain the cis or trans
stereochemistry of the alkene.
© 2017 Pearson Education, Ltd.
Carbene Examples
Simmons–Smith Reaction
Alpha Elimination Reaction
© 2017 Pearson Education, Ltd.
8-12 Epoxidation of Alkenes
© 2017 Pearson Education, Ltd.
Epoxidation
• An alkene reacts with a peroxyacid to form an
epoxide (also called oxirane).
• The most common peroxyacid used is meta-
chloroperoxybenzoic acid (MCPBA).
© 2017 Pearson Education, Ltd.
Mechanism
• The peroxyacid and the alkene react with
each other in a one-step reaction to produce
the epoxide and a molecule of acid.
© 2017 Pearson Education, Ltd.
Stereochemistry of Epoxidation
© 2017 Pearson Education, Ltd.
8-13 Acid-Catalyzed Opening
of Epoxides
© 2017 Pearson Education, Ltd.
Opening the Epoxide Ring
• This process is acid-catalyzed.
• Water attacks the protonated epoxide on the
opposite side of the ring (back-side attack).
• Anti-diol is formed.
© 2017 Pearson Education, Ltd.
Reagents for Epoxidation
© 2017 Pearson Education, Ltd.
8-14 Syn Hydroxylation
of Alkenes
© 2017 Pearson Education, Ltd.
Syn Hydroxylation
of Alkenes
• Alkene is converted to a syn-1,2-diol
• Two reagents:
– Osmium tetroxide, OsO4, followed by
hydrogen peroxide or
– Cold, dilute solution of KMnO4 in base
© 2017 Pearson Education, Ltd.
Mechanism with OsO4
• The OsO4 adds to the double bond of an alkene in a
concerted mechanism forming an osmate ester.
• The osmate ester can be hydrolyzed to produce a
cis-glycol and regenerate the OsO4.
© 2017 Pearson Education, Ltd.
Permanganate Dihydroxylation
• A cold, dilute solution of KMnO4 also hydroxylates
alkenes with syn stereochemistry.
• The basic solution hydrolyzes the manganate ester,
liberating the glycol and producing a brown precipitate
of manganese dioxide, MnO2.
© 2017 Pearson Education, Ltd.
Oxidative Cleavage
with KMnO4
• If the solution is warm or acidic or too concentrated,
oxidative cleavage of the glycol may occur.
• Disubstituted carbons become ketones.
• Monosubstituted carbons become carboxylic acids.
© 2017 Pearson Education, Ltd.
Permanganate
Dihydroxylation
• Osmium tetroxide is expensive, highly toxic, and volatile.
• A cold, dilute solution of potassium permanganate
hydroxylates alkenes with syn stereochemistry.
© 2017 Pearson Education, Ltd.
8-15 Oxidation Cleavage of
Alkenes
© 2017 Pearson Education, Ltd.
Oxidative Cleavage
of Alkenes
• If the potassium permanganate solution is
warm or acidic or too concentrated,
oxidative cleavage of the glycol may occur.
• Aldehydes, if made, are oxidized to
carboxylic acids under these conditions.
© 2017 Pearson Education, Ltd.
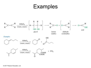
Examples
© 2017 Pearson Education, Ltd.
© 2017 Pearson Education, Ltd.
Ozonolysis
• Ozone will oxidatively cleave (break) the double bond
to produce aldehydes and ketones.
• Ozonolysis is milder than KMnO4 and will not oxidize
aldehydes further.
• A second step of the ozonolysis is the reduction of
the intermediate by zinc or dimethyl sulfide.
© 2017 Pearson Education, Ltd.
• The ozone adds to the double bond, forming
a five-membered ring intermediate called
molozonide, which rearranges to form the
ozonide.
Mechanism of Ozonolysis
© 2017 Pearson Education, Ltd.
Reduction of the Ozonide
• The ozonide is not isolated, but is immediately reduced
by a mild reducing agent, such as zinc or dimethyl
sulfide, to give the aldehydes and ketones as the main
products.
• When dimethyl sulfide is used, the sulfur atom gets
oxidized, forming dimethyl sulfoxide (DMSO).
© 2017 Pearson Education, Ltd.
© 2017 Pearson Education, Ltd.
© 2017 Pearson Education, Ltd.
Comparison of Permanganate
Cleavage and Ozonolysis
© 2017 Pearson Education, Ltd.
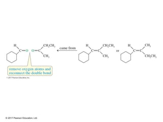
Ozonolysis–reduction of an unknown alkene gives an equimolar mixture of
cyclohexanecarbaldehyde and butan-2-one. Determine the structure of the
original alkene.
We can reconstruct the alkene by removing the two oxygen atoms of the carbonyl
groups (C=O) and connecting the remaining carbon atoms with a double bond.
One uncertainty remains, however: The original alkene might be either of two
possible geometric isomers.
Solved Problem 7
Solution
© 2017 Pearson Education, Ltd.
8-16 Polymerization of Alkenes
© 2017 Pearson Education, Ltd.
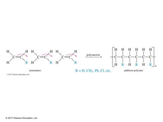
Polymerization
• An alkene (monomer) can add to another
molecule like itself to form a chain
(polymer).
• Three methods:
– Cationic, a carbocation intermediate
– Free radical
– Anionic, a carbanion intermediate (rare)
© 2017 Pearson Education, Ltd.
© 2017 Pearson Education, Ltd.
Cationic Polymerization
© 2017 Pearson Education, Ltd.
Termination Step of
Cationic Polymerization
• The chain growth ends when a proton is abstracted by
the weak base of the acid used to initiate the reaction.
• The loss of a hydrogen forms an alkene and ends the
chain growth, so this is a termination step.
© 2017 Pearson Education, Ltd.
Cationic Polymerization Using
BF3 as Catalyst
© 2017 Pearson Education, Ltd.
Termination of the
Polymer Chain
© 2017 Pearson Education, Ltd.
Radical Polymerization
• In the presence of an initiator such as peroxide,
free-radical polymerization occurs.
© 2017 Pearson Education, Ltd.
Anionic Polymerization
For an alkene to gain electrons, strong electron-withdrawing
groups such as nitro, cyano, or carbonyl must be attached to
the carbons in the double bond.
© 2017 Pearson Education, Ltd.
8-17 Olefin Metathesis
© 2017 Pearson Education, Ltd.
Olefin Metathesis
• We can think of a double bond as two alkylidene
groups (=CHR).
• Olefin metathesis is any reaction that trades and
interchanges alkylidene groups.
© 2017 Pearson Education, Ltd.
Catalysts for Olefin Metathesis
© 2017 Pearson Education, Ltd.
Examples for
Olefin Metathesis
© 2017 Pearson Education, Ltd.
Olefin Metathesis Mechanism
• The metal-alkylidene catalyst forms an
intermediate four-membered ring with
an alkylidene followed by ring opening.

Wade 9th chapter 8

  • 1.
    © 2014 PearsonEducation, Inc. Chad Snyder, PhD Grace College Chapter 8 Lecture Reactions of Alkenes © 2017 Pearson Education, Ltd. Organic Chemistry, 9th Edition, Global Edition L. G. Wade, Jr.
  • 2.
    © 2014 PearsonEducation, Inc. 8-1 Reactivity of the Carbon– Carbon Double Bond
  • 3.
    © 2017 PearsonEducation, Ltd. Reactivity of the Carbon– Carbon Double Bond • The most common reactions of double bonds transform the pi bond into a sigma bond.
  • 4.
    © 2017 PearsonEducation, Ltd. Types of Alkene Reactions
  • 5.
    © 2014 PearsonEducation, Inc. 8-2 Electrophilic Addition to Alkene
  • 6.
    © 2017 PearsonEducation, Ltd. Bonding in Alkenes • Electrons in pi bonds are loosely held. • The double bond acts as a nucleophile attacking electrophilic species. • Carbocations are intermediates in some of these reactions. • These reactions are called electrophilic additions.
  • 7.
    © 2017 PearsonEducation, Ltd. Electrophilic Addition • Step 1: Pi electrons attack the electrophile. • Step 2: Nucleophile attacks the carbocation.
  • 8.
    © 2017 PearsonEducation, Ltd. Types of Additions
  • 9.
    © 2017 PearsonEducation, Ltd. 8-3 Addition of Hydrogen Halides to Alkenes
  • 10.
    © 2017 PearsonEducation, Ltd. Addition of HX to Alkenes • Step 1 is the protonation of the double bond. • The protonation step forms the most stable carbocation possible. • In step 2, the nucleophile attacks the carbocation, forming an alkyl halide. • HBr, HCl, and HI can be added through this reaction.
  • 11.
    © 2017 PearsonEducation, Ltd. Mechanism of Addition of HX Step 1: Protonation of the double bond Step 2: Nucleophilic attack of the halide on the carbocation
  • 12.
    © 2017 PearsonEducation, Ltd. Regioselectivity • Markovnikov’s rule: The addition of a proton to the double bond of an alkene results in a product with the acidic proton bonded to the carbon atom that already holds the greater number of hydrogens. • Markovnikov’s rule (extended): In an electrophilic addition to the alkene, the electrophile adds in such a way that it generates the most stable intermediate.
  • 13.
    © 2017 PearsonEducation, Ltd. Markovnikov’s Rule The acid proton will bond to carbon 3 in order to produce the most stable carbocation possible.
  • 14.
    © 2017 PearsonEducation, Ltd. Markovnikov’s Rule (Continued) • The bromide anion then adds to the carbocation.
  • 15.
    © 2017 PearsonEducation, Ltd. The Reaction-Energy Diagram The first step is rate-determining in the electrophilic addition to an alkene.
  • 16.
    © 2017 PearsonEducation, Ltd. Example
  • 17.
    © 2017 PearsonEducation, Ltd. Show how you would accomplish the following synthetic conversions. (a) Convert 1-methylcyclohexene to 1-bromo-1-methylcyclohexane. This synthesis requires the addition of HBr to an alkene with Markovnikov orientation. Ionic addition of HBr gives the correct product. Solved Problem 1 Solution
  • 18.
    © 2017 PearsonEducation, Ltd. More Examples
  • 19.
    © 2017 PearsonEducation, Ltd. Free-Radical Addition of HBr • In the presence of peroxides, HBr adds to an alkene to form the “anti-Markovnikov” product. • Peroxides produce free radicals. • Only HBr has just the right reactivity for each step of the free-radical chain reaction to take place. • The peroxide effect is not seen with HCl or HI because the reaction of an alkyl radical with HCl or HI is strongly endothermic.
  • 20.
    © 2017 PearsonEducation, Ltd. Free-Radical Initiation • The peroxide bond breaks homolytically to form the first radical: • Hydrogen is abstracted from HBr.
  • 21.
    © 2017 PearsonEducation, Ltd. Propagation Steps • Bromine adds to the double bond, forming the most stable radical possible: • Hydrogen is abstracted from HBr:
  • 22.
    © 2017 PearsonEducation, Ltd. Anti-Markovnikov Stereochemistry • The intermediate tertiary radical forms faster because it is more stable.
  • 23.
    © 2017 PearsonEducation, Ltd. This synthesis requires the conversion of an alcohol to an alkyl bromide with the bromine atom at the neighboring carbon atom. This is the anti-Markovnikov product, which could be formed by the radical-catalyzed addition of HBr to 1-methylcyclohexene. 1-Methylcyclohexene is easily synthesized by the dehydration of 1-methylcyclohexanol. The most substituted alkene is the desired product. Solved Problem 2 Solution Convert 1-methylcyclohexanol to 1-bromo-2-methylcyclohexane.
  • 24.
    © 2017 PearsonEducation, Ltd. The two-step synthesis is summarized as follows: Solved Problem 2 (Continued) Solution (Continued)
  • 25.
    © 2017 PearsonEducation, Ltd. 8-4 Addition of Water: Hydration of Alkenes
  • 26.
    © 2017 PearsonEducation, Ltd. Hydration of Alkenes • Addition of water to the double bond forms an alcohol. • The addition follows Markovnikov’s rule. • This is the reverse of the dehydration of alcohol. • It uses dilute solutions of H2SO4 or H3PO4 to drive equilibrium toward hydration.
  • 27.
    © 2017 PearsonEducation, Ltd. Mechanism for Hydration Step 1: Protonation of the double bond forms a carbocation. Step 2: Nucleophilic attack of water Step 3: Deprotonation of the alcohol
  • 28.
    © 2017 PearsonEducation, Ltd. Orientation of Hydration The protonation follows Markovnikov’s rule: The proton adds to the less substituted end of the double bond, so the positive charge appears at the more substituted end (most stable carbocation).
  • 29.
    © 2017 PearsonEducation, Ltd. Rearrangements Are Possible • A methyl shift after protonation will produce the more stable tertiary carbocation. Methyl Shift:
  • 30.
    © 2017 PearsonEducation, Ltd. 8-5 Hydration by Oxymercuration- Demercuration
  • 31.
    © 2017 PearsonEducation, Ltd. Oxymercuration– Demercuration Reaction • Markovnikov addition of water to the double bond • Milder conditions than direct hydration • No rearrangements or polymerization
  • 32.
    © 2017 PearsonEducation, Ltd. Oxymercuration Reaction • The reagent is mercury(II) acetate, which dissociates slightly to form +Hg(OAc). • +Hg(OAc) is the electrophile that adds to the pi bond. • The intermediate is a three-membered ring called the mercurinium ion. • Overall, the addition of water follows Markovnikov’s rule.
  • 33.
    © 2017 PearsonEducation, Ltd. Formation of the Mercury Species +Hg(OAc)
  • 34.
    © 2017 PearsonEducation, Ltd. Mechanism of Oxymercuration
  • 35.
    © 2017 PearsonEducation, Ltd. Stereochemistry of the Mercurinium Ion Opening • Water adds to the more substituted carbon to form the Markovnikov product. • Water approaches the mercurinium ion from the side opposite the ring (anti addition).
  • 36.
    © 2017 PearsonEducation, Ltd. Demercuration Reaction • In the demercuration reaction, a hydride furnished by the sodium borohydride (NaBH4) replaces the mercuric acetate. • The overall reaction gives the Markovnikov product with the hydroxy group on the most substituted carbon.
  • 37.
    © 2017 PearsonEducation, Ltd. Oxymercuration–Demercuration of 3,3,-Dimethylbut-1-ene The reaction does not suffer from rearrangements because there is no carbocation intermediate.
  • 38.
    © 2017 PearsonEducation, Ltd. Predict the Product Predict the product when the given alkene reacts with aqueous mercuric acetate, followed by reduction with sodium borohydride. CH3 D (1) Hg(OAc) 2, H2O (2) NaBH 4 OH CH3 D H anti addition
  • 39.
    © 2017 PearsonEducation, Ltd. 8-6 Alkoxymercuration - Demercuration
  • 40.
    © 2017 PearsonEducation, Ltd.
  • 41.
    © 2017 PearsonEducation, Ltd. If the nucleophile is an alcohol (ROH), instead of water, an ether is produced.
  • 42.
    © 2017 PearsonEducation, Ltd. Show the intermediates and products that result from alkoxymercuration–demercuration of 1-methylcyclopentene, using methanol as the solvent. Mercuric acetate adds to 1-methylcyclopentene to give the cyclic mercurinium ion. This ion has a considerable amount of positive charge on the more substituted tertiary carbon atom. Methanol attacks this carbon. Reduction of the intermediate gives the Markovnikov product, 1-methoxy-1- methylcyclopentane. Solution Solved Problem 2
  • 43.
    © 2017 PearsonEducation, Ltd. 8-7 Hydroboration of Alkenes
  • 44.
    © 2017 PearsonEducation, Ltd.
  • 45.
    © 2017 PearsonEducation, Ltd. Hydroboration of Alkenes • H. C. Brown of Purdue University discovered that diborane (B2H6) adds to alkenes with anti-Markovnikov orientation to form alkylboranes, which, after oxidation, give anti-Markovnikov alcohols. • Brown received the Nobel Prize in Chemistry in 1979 for his work in the field of borane chemistry.
  • 46.
    © 2017 PearsonEducation, Ltd.
  • 47.
    © 2017 PearsonEducation, Ltd. Diborane • Diborane (B2H6) is a dimer of borane and is in equilibrium with a small amount of BH3. • The complex of borane with tetrahydrofuran (BH3•THF) is the most commonly used form of borane.
  • 48.
    © 2017 PearsonEducation, Ltd. Mechanism of Hydroboration • Borane adds to the double bond in a single step, with boron adding to the less substituted carbon and hydrogen adding to the more highly substituted carbon. • This orientation places the partial positive charge in the transition state on the more highly substituted carbon atom.
  • 49.
    © 2017 PearsonEducation, Ltd. Oxidation to Alcohol • Oxidation of the alkyl borane with basic hydrogen peroxide produces the alcohol. • Orientation is anti-Markovnikov.
  • 50.
    © 2017 PearsonEducation, Ltd. Stoichiometry of Hydroboration • Three moles of alkene can react with each mole of BH3.
  • 51.
    © 2017 PearsonEducation, Ltd. Stereochemistry of Hydroboration • The hydroboration step adds the hydrogen and the boron to the same side of the double bond (syn addition). • When the boron is oxidized, the OH will keep the same stereochemical orientation.
  • 52.
    © 2017 PearsonEducation, Ltd. Predict the product when the given alkene reacts with borane in THF, followed by oxidation with basic hydrogen peroxide. CH3 D (1) (2) BH3, THF H2O2, OH - => syn addition H CH3 D OH
  • 53.
    © 2017 PearsonEducation, Ltd. The Role of the Hydroperoxide Ion
  • 54.
    © 2017 PearsonEducation, Ltd. Oxidation of a Trialkylborane
  • 55.
    © 2017 PearsonEducation, Ltd. Show how you would convert 1-methylcyclopentanol to 2-methylcyclopentanol. Working backward, use hydroboration–oxidation to form 2-methylcyclopentanol from 1-methylcyclopentene. The use of (1) and (2) above and below the reaction arrow indicates individual steps in a two-step sequence. The 2-methylcyclopentanol that results from this synthesis is the pure trans isomer. This stereochemical result is discussed in Section 8-7C. 1-Methylcyclopentene is the most substituted alkene that results from dehydration of 1-methylcyclopentanol. Dehydration of the alcohol would give the correct alkene. Solved Problem 3 Solution
  • 56.
    © 2017 PearsonEducation, Ltd. The syn addition of BH3 across the double bond of norbornene takes place mostly from the more accessible outside (exo) face of the double bond. Oxidation gives a product with both the hydrogen atom and the hydroxyl group in exo positions. (The less accessible inner face of the double bond is called the endo face.) A norbornene molecule labeled with deuterium is subjected to hydroboration– oxidation. Give the structures of the intermediates and products. Solution Solved Problem 4
  • 57.
    © 2017 PearsonEducation, Ltd. 8-8 Addition of Halogens to Alkenes
  • 58.
    © 2017 PearsonEducation, Ltd. Addition of Halogens • Cl2, Br2, and sometimes I2 add to a double bond to form a vicinal dihalide. • This is an anti addition of halides.
  • 59.
    © 2017 PearsonEducation, Ltd. Mechanism of Halogen Addition
  • 60.
    © 2017 PearsonEducation, Ltd. Mechanism of Halogen Addition to Alkenes continued. • The intermediate is a three-membered ring called the halonium ion.
  • 61.
    © 2017 PearsonEducation, Ltd.
  • 62.
    © 2017 PearsonEducation, Ltd. Stereochemistry of Halogen Addition • Anti stereochemistry results from the back-side attack of the nucleophile on the bromonium ion. • This back-side attack assures anti stereochemistry of addition.
  • 63.
    © 2017 PearsonEducation, Ltd. Examples of Stereospecificity
  • 64.
    © 2017 PearsonEducation, Ltd. Bromine Test for Unsaturation • Add Br2 in CCl4 (dark, red- brown color) to an alkene. • The color quickly disappears as the bromine adds to the double bond (left-side test tube). • If there is no double bond present, the brown color will remain (right side). • “Decolorizing bromine” is the chemical test for the presence of a double bond.
  • 65.
    © 2017 PearsonEducation, Ltd. 8-9 Formation of Halohydrin
  • 66.
    © 2017 PearsonEducation, Ltd. Formation of Halohydrins • If a halogen is added in the presence of water as solvent, a halohydrin is formed. • Water is the nucleophile. • This is a Markovnikov addition: The bromide (electrophile) will add to the less substituted carbon.
  • 67.
    © 2017 PearsonEducation, Ltd. Mechanism of Halohydrin Formation
  • 68.
    © 2017 PearsonEducation, Ltd. Stereochemistry of Halohydrins • Because the mechanism involves a halonium ion, the stereochemistry of addition is anti, as in halogenation.
  • 69.
    © 2017 PearsonEducation, Ltd. Orientation of Halohydrin Formation • The more substituted carbon of the chloronium ion bears more positive charge than the less substituted carbon. • Attack by water occurs on the more substituted carbon to give the Markovnikov product.
  • 70.
    © 2017 PearsonEducation, Ltd. Propose a mechanism for the reaction of 1-methylcyclopentene with bromine water. 1-Methylcyclopentene reacts with bromine to give a bromonium ion. Attack by water could occur at either the secondary carbon or the tertiary carbon of the bromonium ion. Attack actually occurs at the more substituted carbon, which bears more of the positive charge. The product is formed as a racemic mixture. Solved Problem 5 Solution
  • 71.
    © 2017 PearsonEducation, Ltd. When cyclohexene is treated with bromine in saturated aqueous sodium chloride, a mixture of trans-2-bromocyclohexanol and trans-1-bromo-2-chlorocyclohexane results. Propose a mechanism to account for these two products. Cyclohexene reacts with bromine to give a bromonium ion, which will react with any available nucleophile. The most abundant nucleophiles in saturated aqueous sodium chloride solution are water and chloride ions. Attack by water gives the bromohydrin, and attack by chloride gives the dihalide. Either of these attacks gives anti stereochemistry. Solved Problem 6 Solution
  • 72.
    © 2017 PearsonEducation, Ltd. 8-10 Catalytic Hydrogenation of Alkenes
  • 73.
    © 2017 PearsonEducation, Ltd. Catalytic Hydrogenation of Alkenes • Hydrogen (H2) can be added across the double bond in a process known as catalytic hydrogenation. • The reaction only takes place if a catalyst is used.
  • 74.
    © 2017 PearsonEducation, Ltd. Mechanism of Catalytic Hydrogenation • The hydrogen and the alkene are adsorbed on the metal surface. • Once adsorbed, the hydrogens insert across the same face of the double bond and the reduced product is released from the metal. • The reaction has a syn stereochemistry since both hydrogens will add to the same side of the double bond.
  • 75.
    © 2017 PearsonEducation, Ltd. Wilkinson’s Catalyst • Wilkinson’s catalyst is a soluble homogenous catalyst that catalyzes the hydrogenation of a carbon–carbon double bond.
  • 76.
    © 2017 PearsonEducation, Ltd. Syn Stereochemistry in Catalytic Hydrogenation • A solid heterogeneous catalyst adds two hydrogen atoms to the same face of the pi bond.
  • 77.
    © 2017 PearsonEducation, Ltd. The Need for Chiral Catalysts • Only the (–)-enantiomer of dopa can cross the blood–brain barrier and be transformed into dopamine; the other enantiomer is toxic to the patient.
  • 78.
    © 2017 PearsonEducation, Ltd. 8-11 Addition of Carbenes to Alkene
  • 79.
    © 2017 PearsonEducation, Ltd. Addition of Carbenes • The insertion of the —CH2 group into a double bond produces a cyclopropane ring. • There are three methods: – Diazomethane (CH3N2, UV light or heat) – Simmons–Smith (CH2I2 and Zn(Cu)) – Alpha elimination of a haloform (CHX3, NaOH, H2O)
  • 80.
    © 2017 PearsonEducation, Ltd. Carbenes: Diazomethane Method Problems with diazomethane: 1. Extremely toxic and explosive 2. The carbene can insert into C—H bonds, too.
  • 81.
    © 2017 PearsonEducation, Ltd. Simmons–Smith Reaction Best method for preparing cyclopropanes. Preparation of the Simmons–Smith reagent: CH2I2 + Zn(Cu)  ICH2ZnI Simmons–Smith reagent
  • 82.
    © 2017 PearsonEducation, Ltd. Alpha Elimination Reaction • In the presence of a base, chloroform or bromoform can be dehydrohalogenated to form a carbene.
  • 83.
    © 2017 PearsonEducation, Ltd. Stereospecificity • The cylopropanes will retain the cis or trans stereochemistry of the alkene.
  • 84.
    © 2017 PearsonEducation, Ltd. Carbene Examples Simmons–Smith Reaction Alpha Elimination Reaction
  • 85.
    © 2017 PearsonEducation, Ltd. 8-12 Epoxidation of Alkenes
  • 86.
    © 2017 PearsonEducation, Ltd. Epoxidation • An alkene reacts with a peroxyacid to form an epoxide (also called oxirane). • The most common peroxyacid used is meta- chloroperoxybenzoic acid (MCPBA).
  • 87.
    © 2017 PearsonEducation, Ltd. Mechanism • The peroxyacid and the alkene react with each other in a one-step reaction to produce the epoxide and a molecule of acid.
  • 88.
    © 2017 PearsonEducation, Ltd. Stereochemistry of Epoxidation
  • 89.
    © 2017 PearsonEducation, Ltd. 8-13 Acid-Catalyzed Opening of Epoxides
  • 90.
    © 2017 PearsonEducation, Ltd. Opening the Epoxide Ring • This process is acid-catalyzed. • Water attacks the protonated epoxide on the opposite side of the ring (back-side attack). • Anti-diol is formed.
  • 91.
    © 2017 PearsonEducation, Ltd. Reagents for Epoxidation
  • 92.
    © 2017 PearsonEducation, Ltd. 8-14 Syn Hydroxylation of Alkenes
  • 93.
    © 2017 PearsonEducation, Ltd. Syn Hydroxylation of Alkenes • Alkene is converted to a syn-1,2-diol • Two reagents: – Osmium tetroxide, OsO4, followed by hydrogen peroxide or – Cold, dilute solution of KMnO4 in base
  • 94.
    © 2017 PearsonEducation, Ltd. Mechanism with OsO4 • The OsO4 adds to the double bond of an alkene in a concerted mechanism forming an osmate ester. • The osmate ester can be hydrolyzed to produce a cis-glycol and regenerate the OsO4.
  • 95.
    © 2017 PearsonEducation, Ltd. Permanganate Dihydroxylation • A cold, dilute solution of KMnO4 also hydroxylates alkenes with syn stereochemistry. • The basic solution hydrolyzes the manganate ester, liberating the glycol and producing a brown precipitate of manganese dioxide, MnO2.
  • 96.
    © 2017 PearsonEducation, Ltd. Oxidative Cleavage with KMnO4 • If the solution is warm or acidic or too concentrated, oxidative cleavage of the glycol may occur. • Disubstituted carbons become ketones. • Monosubstituted carbons become carboxylic acids.
  • 97.
    © 2017 PearsonEducation, Ltd. Permanganate Dihydroxylation • Osmium tetroxide is expensive, highly toxic, and volatile. • A cold, dilute solution of potassium permanganate hydroxylates alkenes with syn stereochemistry.
  • 98.
    © 2017 PearsonEducation, Ltd. 8-15 Oxidation Cleavage of Alkenes
  • 99.
    © 2017 PearsonEducation, Ltd. Oxidative Cleavage of Alkenes • If the potassium permanganate solution is warm or acidic or too concentrated, oxidative cleavage of the glycol may occur. • Aldehydes, if made, are oxidized to carboxylic acids under these conditions.
  • 100.
    © 2017 PearsonEducation, Ltd. Examples
  • 101.
    © 2017 PearsonEducation, Ltd.
  • 102.
    © 2017 PearsonEducation, Ltd. Ozonolysis • Ozone will oxidatively cleave (break) the double bond to produce aldehydes and ketones. • Ozonolysis is milder than KMnO4 and will not oxidize aldehydes further. • A second step of the ozonolysis is the reduction of the intermediate by zinc or dimethyl sulfide.
  • 103.
    © 2017 PearsonEducation, Ltd. • The ozone adds to the double bond, forming a five-membered ring intermediate called molozonide, which rearranges to form the ozonide. Mechanism of Ozonolysis
  • 104.
    © 2017 PearsonEducation, Ltd. Reduction of the Ozonide • The ozonide is not isolated, but is immediately reduced by a mild reducing agent, such as zinc or dimethyl sulfide, to give the aldehydes and ketones as the main products. • When dimethyl sulfide is used, the sulfur atom gets oxidized, forming dimethyl sulfoxide (DMSO).
  • 105.
    © 2017 PearsonEducation, Ltd.
  • 106.
    © 2017 PearsonEducation, Ltd.
  • 107.
    © 2017 PearsonEducation, Ltd. Comparison of Permanganate Cleavage and Ozonolysis
  • 108.
    © 2017 PearsonEducation, Ltd. Ozonolysis–reduction of an unknown alkene gives an equimolar mixture of cyclohexanecarbaldehyde and butan-2-one. Determine the structure of the original alkene. We can reconstruct the alkene by removing the two oxygen atoms of the carbonyl groups (C=O) and connecting the remaining carbon atoms with a double bond. One uncertainty remains, however: The original alkene might be either of two possible geometric isomers. Solved Problem 7 Solution
  • 109.
    © 2017 PearsonEducation, Ltd. 8-16 Polymerization of Alkenes
  • 110.
    © 2017 PearsonEducation, Ltd. Polymerization • An alkene (monomer) can add to another molecule like itself to form a chain (polymer). • Three methods: – Cationic, a carbocation intermediate – Free radical – Anionic, a carbanion intermediate (rare)
  • 111.
    © 2017 PearsonEducation, Ltd.
  • 112.
    © 2017 PearsonEducation, Ltd. Cationic Polymerization
  • 113.
    © 2017 PearsonEducation, Ltd. Termination Step of Cationic Polymerization • The chain growth ends when a proton is abstracted by the weak base of the acid used to initiate the reaction. • The loss of a hydrogen forms an alkene and ends the chain growth, so this is a termination step.
  • 114.
    © 2017 PearsonEducation, Ltd. Cationic Polymerization Using BF3 as Catalyst
  • 115.
    © 2017 PearsonEducation, Ltd. Termination of the Polymer Chain
  • 116.
    © 2017 PearsonEducation, Ltd. Radical Polymerization • In the presence of an initiator such as peroxide, free-radical polymerization occurs.
  • 117.
    © 2017 PearsonEducation, Ltd. Anionic Polymerization For an alkene to gain electrons, strong electron-withdrawing groups such as nitro, cyano, or carbonyl must be attached to the carbons in the double bond.
  • 118.
    © 2017 PearsonEducation, Ltd. 8-17 Olefin Metathesis
  • 119.
    © 2017 PearsonEducation, Ltd. Olefin Metathesis • We can think of a double bond as two alkylidene groups (=CHR). • Olefin metathesis is any reaction that trades and interchanges alkylidene groups.
  • 120.
    © 2017 PearsonEducation, Ltd. Catalysts for Olefin Metathesis
  • 121.
    © 2017 PearsonEducation, Ltd. Examples for Olefin Metathesis
  • 122.
    © 2017 PearsonEducation, Ltd. Olefin Metathesis Mechanism • The metal-alkylidene catalyst forms an intermediate four-membered ring with an alkylidene followed by ring opening.