Calculus-II
Math-102
Dr. Farhana Shaheen
5.3 Integration by substitution
Always Remember:
Integration is by
Observation
 And…
 The Best way is by
Substitution
Integrals of Transcendental
Functions
 Trigonometric functions
 The inverse trigonometric functions
 Exponential functions
 Logarithms.
C
1n
)x(f
dx)x(f)x(f
C)x(fln
)x(f
dx)x(f
:RULESNINTEGRATIOIMPORTANT
1n
n








INTEGRATION BY SUBSTITUTION
Note:
Integration by substitution can be used for a variety of
integrals: some compound functions, some products and
some quotients.
Sometimes we have a choice of method.
Choosing u
Guidelines for u-Substitution (p. 334)
(Page: 337)
Equation (5)
Equation (6)
Equation (7)
The chain rule allows us to
differentiate a wide variety of
functions, but we are able to find
antiderivatives for only a limited
range of functions? We can
sometimes use substitution or
change of variable to rewrite
functions in a form that we can
integrate.

Example 1:
 
5
2x dx Let 2u x 
du dx
The variable of integration
must match the variable in
the expression.
Don’t forget to substitute the value
for u back into the problem!

 duu5
cu  6
6
1
c
x



6
)6( 6
Example 2:
2
1 2x x dx 
One of the clues that we look for is
if we can find a function and its
derivative in the integral.
The derivative of is .
2
1 x 2x dx
1
2
u du
3
2
2
3
u C
 
3
2 2
2
1
3
x C 
2
Let 1u x 
2du x dx
Note that this only worked because
of the 2x in the original.
Many integrals can not be done by
substitution.

Example 3:
4 1x dx Let 4 1u x 
4du dx
1
4
du dx
Solve for dx.
1
2
1
4
u du
3
2
2 1
3 4
u C 
3
2
1
6
u C
 
3
2
1
4 1
6
x C 

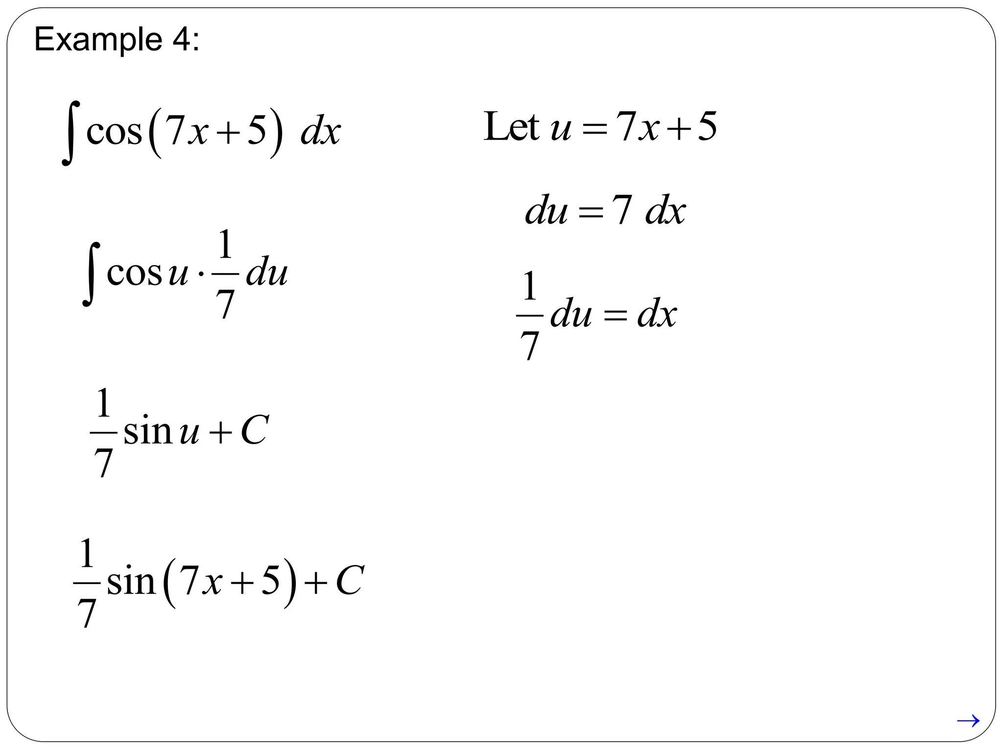
Example 4:
 cos 7 5x dx
7du dx
1
7
du dx
1
cos
7
u du
1
sin
7
u C
 
1
sin 7 5
7
x C 
Let 7 5u x 

Example 5:
 2 3
sinx x dx
3
Let u x
2
3du x dx
21
3
du x dx
We solve for
because we can find it
in the integral.
2
x dx
1
sin
3
u du
1
cos
3
u C 
31
cos
3
x C 

Example 6:
4
sin cosx x dx
Let sinu x
cosdu x dx
 
4
sin cosx x dx
4
u du
51
5
u C
51
sin
5
x C

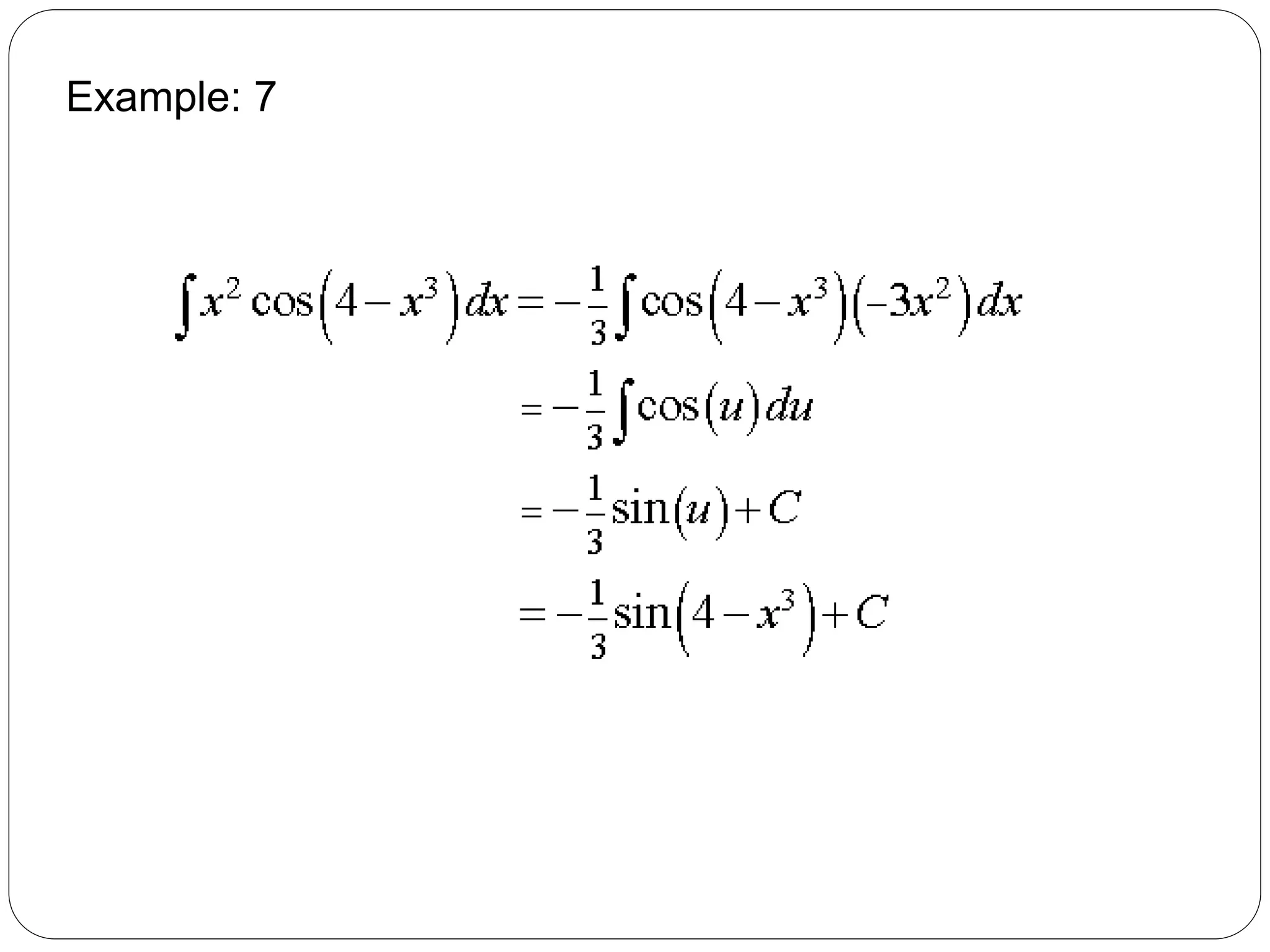
Example: 7
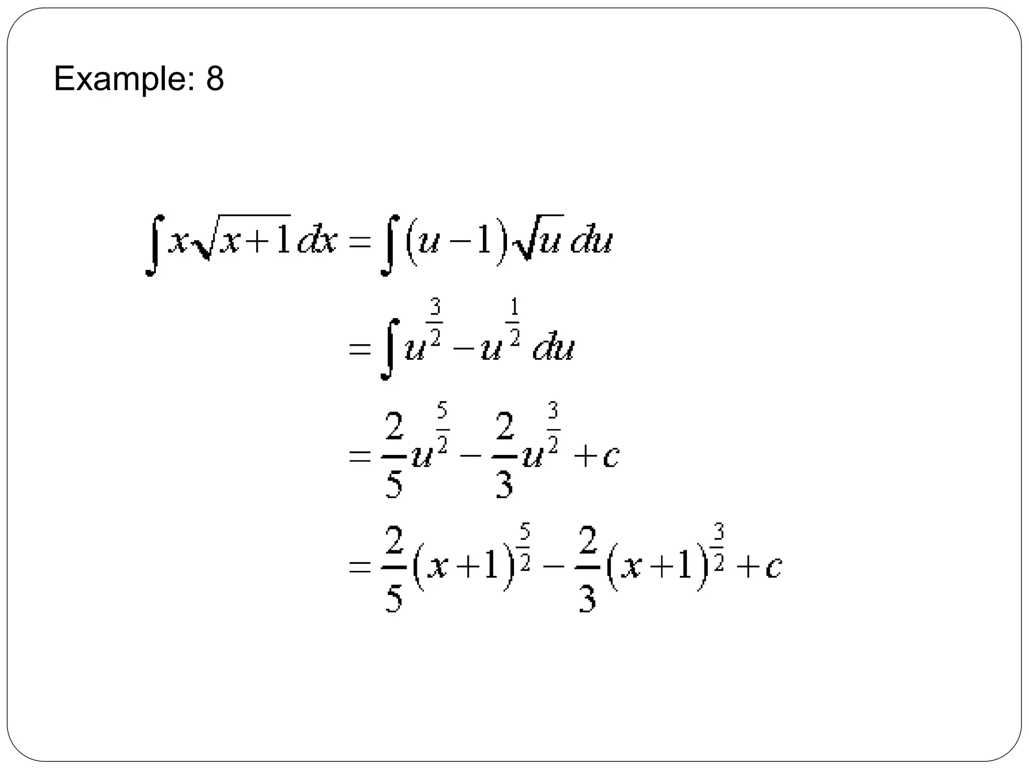
Example: 8
Example: 10 (page 336)
Evaluate:
dx
e1
e
x2
x
 
Example: 11 (page 336)
Evaluate:
dx1xx2

Exercises
Use substitution to integrate the following. (Where
possible, you could also use a 2nd method.)
  dxx 8
)1(1. 

dxe x3
2.
  dxxx 42
)1(3.
Question for you:
Ex: 5.3 Questions: 1 – 54 (page 338)
Questions: 1 – 12 (substitution is given)
Questions: 15 – 54 (using substitution)
Questions: 61 – 62 (using substitution and
formulas)
5.3 integration by substitution dfs-102

5.3 integration by substitution dfs-102