Download free for 30 days
Sign in
Upload
Language (EN)
Support
Business
Mobile
Social Media
Marketing
Technology
Art & Photos
Career
Design
Education
Presentations & Public Speaking
Government & Nonprofit
Healthcare
Internet
Law
Leadership & Management
Automotive
Engineering
Software
Recruiting & HR
Retail
Sales
Services
Science
Small Business & Entrepreneurship
Food
Environment
Economy & Finance
Data & Analytics
Investor Relations
Sports
Spiritual
News & Politics
Travel
Self Improvement
Real Estate
Entertainment & Humor
Health & Medicine
Devices & Hardware
Lifestyle
Change Language
Language
English
Español
Português
Français
Deutsche
Cancel
Save
EN
Uploaded by
Akira Asano
PDF, PPTX
310 views
2022年度春学期 統計学 第13回 不確かな測定の不確かさを測るー不偏分散とt分布
関西大学総合情報学部 統計学(担当・浅野晃) http://racco.mikeneko.jp/Kougi/
Education
◦
Read more
0
Save
Share
Embed
Embed presentation
Download
Download as PDF, PPTX
1
/ 140
2
/ 140
3
/ 140
4
/ 140
5
/ 140
6
/ 140
7
/ 140
8
/ 140
9
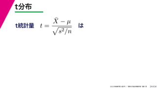
/ 140
10
/ 140
11
/ 140
12
/ 140
13
/ 140
14
/ 140
15
/ 140
16
/ 140
17
/ 140
18
/ 140
19
/ 140
20
/ 140
21
/ 140
22
/ 140
23
/ 140
24
/ 140
25
/ 140
26
/ 140
27
/ 140
28
/ 140
29
/ 140
30
/ 140
31
/ 140
32
/ 140
33
/ 140
34
/ 140
35
/ 140
36
/ 140
37
/ 140
38
/ 140
39
/ 140
40
/ 140
41
/ 140
42
/ 140
43
/ 140
44
/ 140
45
/ 140
46
/ 140
47
/ 140
48
/ 140
49
/ 140
50
/ 140
51
/ 140
52
/ 140
53
/ 140
54
/ 140
55
/ 140
56
/ 140
57
/ 140
58
/ 140
59
/ 140
60
/ 140
61
/ 140
62
/ 140
63
/ 140
64
/ 140
65
/ 140
66
/ 140
67
/ 140
68
/ 140
69
/ 140
70
/ 140
71
/ 140
72
/ 140
73
/ 140
74
/ 140
75
/ 140
76
/ 140
77
/ 140
78
/ 140
79
/ 140
80
/ 140
81
/ 140
82
/ 140
83
/ 140
84
/ 140
85
/ 140
86
/ 140
87
/ 140
88
/ 140
89
/ 140
90
/ 140
91
/ 140
92
/ 140
93
/ 140
94
/ 140
95
/ 140
96
/ 140
97
/ 140
98
/ 140
99
/ 140
100
/ 140
101
/ 140
102
/ 140
103
/ 140
104
/ 140
105
/ 140
106
/ 140
107
/ 140
108
/ 140
109
/ 140
110
/ 140
111
/ 140
112
/ 140
113
/ 140
114
/ 140
115
/ 140
116
/ 140
117
/ 140
118
/ 140
119
/ 140
120
/ 140
121
/ 140
122
/ 140
123
/ 140
124
/ 140
125
/ 140
126
/ 140
127
/ 140
128
/ 140
129
/ 140
130
/ 140
131
/ 140
132
/ 140
133
/ 140
134
/ 140
135
/ 140
136
/ 140
137
/ 140
138
/ 140
139
/ 140
140
/ 140
More Related Content
PDF
2022年度春学期 統計学 第7回 データの関係を知る(2) ー 回帰分析
by
Akira Asano
PDF
2022年度秋学期 統計学 第6回 データの関係を知る(1)ー相関関係 (2022. 11. 1)
by
Akira Asano
PDF
2022年度秋学期 統計学 第9回 確からしさを記述するー確率 (2022. 11. 22)
by
Akira Asano
PDF
2022年度秋学期 統計学 第3回 クロス集計と感度・特異度,データの可視化 (2022. 10. 11)
by
Akira Asano
PPT
パターン認識と機械学習14章 d0912
by
Yoshinori Kabeya
PDF
グラフィカルモデル入門
by
Kawamoto_Kazuhiko
PDF
PRML上巻勉強会 at 東京大学 資料 第1章後半
by
Ohsawa Goodfellow
PDF
PRML輪読#8
by
matsuolab
2022年度春学期 統計学 第7回 データの関係を知る(2) ー 回帰分析
by
Akira Asano
2022年度秋学期 統計学 第6回 データの関係を知る(1)ー相関関係 (2022. 11. 1)
by
Akira Asano
2022年度秋学期 統計学 第9回 確からしさを記述するー確率 (2022. 11. 22)
by
Akira Asano
2022年度秋学期 統計学 第3回 クロス集計と感度・特異度,データの可視化 (2022. 10. 11)
by
Akira Asano
パターン認識と機械学習14章 d0912
by
Yoshinori Kabeya
グラフィカルモデル入門
by
Kawamoto_Kazuhiko
PRML上巻勉強会 at 東京大学 資料 第1章後半
by
Ohsawa Goodfellow
PRML輪読#8
by
matsuolab
What's hot
PPTX
異常検知と変化検知 7章方向データの異常検知
by
智文 中野
PDF
読書会 「トピックモデルによる統計的潜在意味解析」 第2回 3.2節 サンプリング近似法
by
健児 青木
PDF
2022年度秋学期 統計学 第11回 分布の「型」を考える - 確率分布モデルと正規分布 (2022. 12. 6)
by
Akira Asano
PDF
第14回 配信講義 計算科学技術特論B(2022)
by
RCCSRENKEI
PDF
Word2vecの並列実行時の学習速度の改善
by
Naoaki Okazaki
PDF
MCMCと正規分布の推測
by
Gen Fujita
PPTX
Dimensionality reduction with t-SNE(Rtsne) and UMAP(uwot) using R packages.
by
Satoshi Kato
PDF
Rで計量時系列分析~CRANパッケージ総ざらい~
by
Takashi J OZAKI
PDF
2022年度秋学期 統計学 第2回 統計資料の収集と読み方[講義前配付用] (2022. 10. 4)
by
Akira Asano
PDF
[DL輪読会]Ensemble Distribution Distillation
by
Deep Learning JP
PDF
PRML8章
by
弘毅 露崎
PDF
幾何を使った統計のはなし
by
Toru Imai
PDF
PRML11.2 - 11.6
by
Hirotaka Matsumoto
PDF
学振特別研究員になるために~2023年度申請版
by
Masahito Ohue
PDF
pymcとpystanでベイズ推定してみた話
by
Classi.corp
PDF
PRMLの線形回帰モデル(線形基底関数モデル)
by
Yasunori Ozaki
PPTX
遺伝研スパコンの『ここが困った!』事例集と今後への提言
by
Masahiro Kasahara
PPTX
密度比推定による時系列データの異常検知
by
- Core Concept Technologies
PDF
MLaPP 9章 「一般化線形モデルと指数型分布族」
by
moterech
PDF
第10回 配信講義 計算科学技術特論B(2022)
by
RCCSRENKEI
異常検知と変化検知 7章方向データの異常検知
by
智文 中野
読書会 「トピックモデルによる統計的潜在意味解析」 第2回 3.2節 サンプリング近似法
by
健児 青木
2022年度秋学期 統計学 第11回 分布の「型」を考える - 確率分布モデルと正規分布 (2022. 12. 6)
by
Akira Asano
第14回 配信講義 計算科学技術特論B(2022)
by
RCCSRENKEI
Word2vecの並列実行時の学習速度の改善
by
Naoaki Okazaki
MCMCと正規分布の推測
by
Gen Fujita
Dimensionality reduction with t-SNE(Rtsne) and UMAP(uwot) using R packages.
by
Satoshi Kato
Rで計量時系列分析~CRANパッケージ総ざらい~
by
Takashi J OZAKI
2022年度秋学期 統計学 第2回 統計資料の収集と読み方[講義前配付用] (2022. 10. 4)
by
Akira Asano
[DL輪読会]Ensemble Distribution Distillation
by
Deep Learning JP
PRML8章
by
弘毅 露崎
幾何を使った統計のはなし
by
Toru Imai
PRML11.2 - 11.6
by
Hirotaka Matsumoto
学振特別研究員になるために~2023年度申請版
by
Masahito Ohue
pymcとpystanでベイズ推定してみた話
by
Classi.corp
PRMLの線形回帰モデル(線形基底関数モデル)
by
Yasunori Ozaki
遺伝研スパコンの『ここが困った!』事例集と今後への提言
by
Masahiro Kasahara
密度比推定による時系列データの異常検知
by
- Core Concept Technologies
MLaPP 9章 「一般化線形モデルと指数型分布族」
by
moterech
第10回 配信講義 計算科学技術特論B(2022)
by
RCCSRENKEI
Similar to 2022年度春学期 統計学 第13回 不確かな測定の不確かさを測るー不偏分散とt分布
PDF
2021年度秋学期 統計学 第13回 不確かな測定の不確かさを測る - 不偏分散とt分布(2021. 12. 21)
by
Akira Asano
PDF
2020年度秋学期 統計学 第13回 不確かな測定の不確かさを測る ー 不偏分散とt分布 (2020. 12. 22)
by
Akira Asano
PDF
2022年度秋学期 統計学 第13回 不確かな測定の不確かさを測る - 不偏分散とt分布 (2022. 12. 20)
by
Akira Asano
PDF
2019年度春学期 統計学 第13回 不確かな測定の不確かさを測るー不偏分散とt分布 (2019. 7. 11)
by
Akira Asano
PDF
2018年度秋学期 統計学 第13回 不確かな推定の不確かさを測るー不偏分散とt分布 (2018. 12. 18)
by
Akira Asano
PDF
2018年度春学期 統計学 第13回 不確かな推定の不確かさを測るー不偏分散とt分布 (2018. 7. 5))
by
Akira Asano
PDF
2022年度秋学期 統計学 第12回 分布の平均を推測する - 区間推定 (2022. 12. 13)
by
Akira Asano
PDF
2016年度秋学期 統計学 第13回 不確かな測定の不確かさを測る-不偏分散とt分布 (2016. 12. 19)
by
Akira Asano
PDF
2022年度春学期 統計学 第11回 分布の「型」を考えるー確率分布モデルと正規分布
by
Akira Asano
PDF
2021年度秋学期 統計学 第11回 分布の「型」を考える ー 確率分布モデルと正規分布(2021. 12. 7)
by
Akira Asano
PDF
2022年度春学期 統計学 第15回 分布についての仮説を検証するー仮説検定(2)
by
Akira Asano
PDF
2014年度春学期 統計学 第13回 不確かな測定の不確かさを測る ― 不偏分散とt分布 (2014. 7. 10)
by
Akira Asano
PDF
2014年度秋学期 統計学 第13回 不確かな測定の不確かさを測る ― 不偏分散とt分布 (2015. 1. 7)
by
Akira Asano
PDF
2015年度春学期 統計学 第13回 不確かな測定の不確かさを測る ― 不偏分散とt分布 (2015. 7. 9)
by
Akira Asano
PDF
2015年度秋学期 統計学 第13回 不確かな測定の不確かさを測る ― 不偏分散とt分布 (2015. 12. 24)
by
Akira Asano
PPT
K070k80 点推定 区間推定
by
t2tarumi
PDF
2021年度秋学期 統計学 第14回 分布についての仮説を検証する - 仮説検定(1)(2022. 1. 11)
by
Akira Asano
PDF
2022年度春学期 統計学 第12回 分布の平均を推測するー区間推定
by
Akira Asano
PDF
2022年度秋学期 統計学 第10回 分布の推測とはー標本調査,度数分布と確率分布 (2022. 11. 29)
by
Akira Asano
PDF
2021年度秋学期 統計学 第12回 分布の平均を推測する - 区間推定(2021. 12. 14)
by
Akira Asano
2021年度秋学期 統計学 第13回 不確かな測定の不確かさを測る - 不偏分散とt分布(2021. 12. 21)
by
Akira Asano
2020年度秋学期 統計学 第13回 不確かな測定の不確かさを測る ー 不偏分散とt分布 (2020. 12. 22)
by
Akira Asano
2022年度秋学期 統計学 第13回 不確かな測定の不確かさを測る - 不偏分散とt分布 (2022. 12. 20)
by
Akira Asano
2019年度春学期 統計学 第13回 不確かな測定の不確かさを測るー不偏分散とt分布 (2019. 7. 11)
by
Akira Asano
2018年度秋学期 統計学 第13回 不確かな推定の不確かさを測るー不偏分散とt分布 (2018. 12. 18)
by
Akira Asano
2018年度春学期 統計学 第13回 不確かな推定の不確かさを測るー不偏分散とt分布 (2018. 7. 5))
by
Akira Asano
2022年度秋学期 統計学 第12回 分布の平均を推測する - 区間推定 (2022. 12. 13)
by
Akira Asano
2016年度秋学期 統計学 第13回 不確かな測定の不確かさを測る-不偏分散とt分布 (2016. 12. 19)
by
Akira Asano
2022年度春学期 統計学 第11回 分布の「型」を考えるー確率分布モデルと正規分布
by
Akira Asano
2021年度秋学期 統計学 第11回 分布の「型」を考える ー 確率分布モデルと正規分布(2021. 12. 7)
by
Akira Asano
2022年度春学期 統計学 第15回 分布についての仮説を検証するー仮説検定(2)
by
Akira Asano
2014年度春学期 統計学 第13回 不確かな測定の不確かさを測る ― 不偏分散とt分布 (2014. 7. 10)
by
Akira Asano
2014年度秋学期 統計学 第13回 不確かな測定の不確かさを測る ― 不偏分散とt分布 (2015. 1. 7)
by
Akira Asano
2015年度春学期 統計学 第13回 不確かな測定の不確かさを測る ― 不偏分散とt分布 (2015. 7. 9)
by
Akira Asano
2015年度秋学期 統計学 第13回 不確かな測定の不確かさを測る ― 不偏分散とt分布 (2015. 12. 24)
by
Akira Asano
K070k80 点推定 区間推定
by
t2tarumi
2021年度秋学期 統計学 第14回 分布についての仮説を検証する - 仮説検定(1)(2022. 1. 11)
by
Akira Asano
2022年度春学期 統計学 第12回 分布の平均を推測するー区間推定
by
Akira Asano
2022年度秋学期 統計学 第10回 分布の推測とはー標本調査,度数分布と確率分布 (2022. 11. 29)
by
Akira Asano
2021年度秋学期 統計学 第12回 分布の平均を推測する - 区間推定(2021. 12. 14)
by
Akira Asano
More from Akira Asano
PDF
2022年度秋学期 統計学 第15回 分布についての仮説を検証するー仮説検定(2) (2023. 1. 17)
by
Akira Asano
PDF
2022年度秋学期 応用数学(解析) 第15回 測度論ダイジェスト(2) ルベーグ積分 (2023. 1. 19)
by
Akira Asano
PDF
2022年度秋学期 応用数学(解析) 第14回 測度論ダイジェスト(1) ルベーグ測度と完全加法性 (2023. 1. 12)
by
Akira Asano
PDF
2022年度秋学期 統計学 第14回 分布についての仮説を検証するー仮説検定(1) (2023. 1. 10)
by
Akira Asano
PDF
2022年度秋学期 応用数学(解析) 第13回 複素関数論ダイジェスト(2) 孤立特異点と留数 (2022. 12. 22)
by
Akira Asano
PDF
2022年度秋学期 応用数学(解析) 第12回 複素関数論ダイジェスト(1) 複素関数・正則関数 (2022. 12. 15)
by
Akira Asano
PDF
2022年度秋学期 画像情報処理 第11回 逆投影法による再構成 (2022. 12. 9)
by
Akira Asano
PDF
2022年度秋学期 応用数学(解析) 第11回 振動と微分方程式 (2022. 12. 8)
by
Akira Asano
PDF
2022年度秋学期 画像情報処理 第10回 Radon変換と投影切断面定理 (2022. 12. 2)
by
Akira Asano
PDF
2022年度秋学期 応用数学(解析) 第10回 生存時間分布と半減期 (2022. 12. 1)
by
Akira Asano
PDF
2022年度秋学期 統計学 第8回 問題に対する答案の書き方 (2022. 11. 15)
by
Akira Asano
PDF
2022年度秋学期 画像情報処理 第9回 離散フーリエ変換と離散コサイン変換 (2022. 11. 25)
by
Akira Asano
PDF
2022年度秋学期 画像情報処理 第8回 行列の直交変換と基底画像 (2022. 11. 18)
by
Akira Asano
PDF
2022年度秋学期 応用数学(解析) 第8回 2階線形微分方程式(2) (2022. 11. 17)
by
Akira Asano
PDF
2022年度秋学期 画像情報処理 第7回 主成分分析とKarhunen-Loève変換 (2022. 11. 11)
by
Akira Asano
PDF
2022年度秋学期 応用数学(解析) 第7回 2階線形微分方程式(1) (2022. 11. 10)
by
Akira Asano
PDF
2022年度秋学期 統計学 第8回 問題に対する答案の書き方(講義前提供用) (2022. 11. 15)
by
Akira Asano
PDF
2022年度秋学期 統計学 第7回 データの関係を知る(2)ー 回帰分析 (2022. 11. 8)
by
Akira Asano
PDF
2022年度秋学期 画像情報処理 第6回 ベクトルと行列について (2022. 10. 28)
by
Akira Asano
PDF
2022年度秋学期 画像情報処理 第6回 ベクトルと行列について(講義前配付用) (2022. 10. 28)
by
Akira Asano
2022年度秋学期 統計学 第15回 分布についての仮説を検証するー仮説検定(2) (2023. 1. 17)
by
Akira Asano
2022年度秋学期 応用数学(解析) 第15回 測度論ダイジェスト(2) ルベーグ積分 (2023. 1. 19)
by
Akira Asano
2022年度秋学期 応用数学(解析) 第14回 測度論ダイジェスト(1) ルベーグ測度と完全加法性 (2023. 1. 12)
by
Akira Asano
2022年度秋学期 統計学 第14回 分布についての仮説を検証するー仮説検定(1) (2023. 1. 10)
by
Akira Asano
2022年度秋学期 応用数学(解析) 第13回 複素関数論ダイジェスト(2) 孤立特異点と留数 (2022. 12. 22)
by
Akira Asano
2022年度秋学期 応用数学(解析) 第12回 複素関数論ダイジェスト(1) 複素関数・正則関数 (2022. 12. 15)
by
Akira Asano
2022年度秋学期 画像情報処理 第11回 逆投影法による再構成 (2022. 12. 9)
by
Akira Asano
2022年度秋学期 応用数学(解析) 第11回 振動と微分方程式 (2022. 12. 8)
by
Akira Asano
2022年度秋学期 画像情報処理 第10回 Radon変換と投影切断面定理 (2022. 12. 2)
by
Akira Asano
2022年度秋学期 応用数学(解析) 第10回 生存時間分布と半減期 (2022. 12. 1)
by
Akira Asano
2022年度秋学期 統計学 第8回 問題に対する答案の書き方 (2022. 11. 15)
by
Akira Asano
2022年度秋学期 画像情報処理 第9回 離散フーリエ変換と離散コサイン変換 (2022. 11. 25)
by
Akira Asano
2022年度秋学期 画像情報処理 第8回 行列の直交変換と基底画像 (2022. 11. 18)
by
Akira Asano
2022年度秋学期 応用数学(解析) 第8回 2階線形微分方程式(2) (2022. 11. 17)
by
Akira Asano
2022年度秋学期 画像情報処理 第7回 主成分分析とKarhunen-Loève変換 (2022. 11. 11)
by
Akira Asano
2022年度秋学期 応用数学(解析) 第7回 2階線形微分方程式(1) (2022. 11. 10)
by
Akira Asano
2022年度秋学期 統計学 第8回 問題に対する答案の書き方(講義前提供用) (2022. 11. 15)
by
Akira Asano
2022年度秋学期 統計学 第7回 データの関係を知る(2)ー 回帰分析 (2022. 11. 8)
by
Akira Asano
2022年度秋学期 画像情報処理 第6回 ベクトルと行列について (2022. 10. 28)
by
Akira Asano
2022年度秋学期 画像情報処理 第6回 ベクトルと行列について(講義前配付用) (2022. 10. 28)
by
Akira Asano
2022年度春学期 統計学 第13回 不確かな測定の不確かさを測るー不偏分散とt分布
1.
浅野 晃 関西大学総合情報学部 2022年度春学期 統計学 不確かな測定の不確かさを測る ― 不偏分散とt分布 第13回
2.
ちょっと(ほんのちょっと) 前回までの復習
3.
34 2022年度春学期 統計学 / 関西大学総合情報学部 浅野 晃 正規分布の場合の区間推定 3 例題 標本X1, ...
Xnをとりだす サイズn 母集団 (受験者全体) 母平均μ 母平均μの95%信頼区間が知りたい 正規分布 と仮定する 標本平均 X
4.
34 2022年度春学期 統計学 / 関西大学総合情報学部 浅野 晃 正規分布の場合の区間推定 3 例題 標本X1, ...
Xnをとりだす サイズn 母集団 (受験者全体) 母平均μ 母平均μの95%信頼区間が知りたい 正規分布 と仮定する 母分散σ2がわかっているものとする 標本平均 X
5.
34 2022年度春学期 統計学 / 関西大学総合情報学部 浅野 晃 正規分布の場合の区間推定 3 例題 標本X1, ...
Xnをとりだす サイズn 母集団 (受験者全体) 母平均μ 母平均μの95%信頼区間が知りたい 正規分布 と仮定する 母分散σ2がわかっているものとする (説明の都合です) 標本平均 X
6.
34 2022年度春学期 統計学 / 関西大学総合情報学部 浅野 晃 区間推定の考え方 4 数値をいくつか抽出して標本平均 標本平均にすることで ばらつきが小さくなる 仮に,何度も抽出したとすると 母平均(実際にはわからない) のまわりにばらついている 標本平均の期待値 =母平均 標本平均の分散 =母分散÷標本サイズ X X X X
7.
34 2022年度春学期 統計学 / 関西大学総合情報学部 浅野 晃 区間推定の考え方 5 標本平均の左右に区間をつける 区間は母平均を 母平均 どの回の区間が母平均を含むか・ 含まないかはわからないが 確率95%で 母平均を含むように 区間を設定できる X X X X 含む 含む 含まない 含む (実際にはわからない)
8.
34 2022年度春学期 統計学 / 関西大学総合情報学部 浅野 晃 信頼区間 6 区間は母平均を 母平均 X X X X 含む 含む 含ま ない 含む (実際にはわからない) 確率95%で 母平均を含むように計算した区間だから, 1回だけ計算した区間でも含むと信じる 母平均の [信頼係数]95%の [信頼区間] という ([95%信頼区間])
9.
不偏分散💡💡
10.
34 2022年度春学期 統計学 / 関西大学総合情報学部 浅野 晃 正規分布の場合の区間推定 8 例題 標本 ,
... をとりだす サイズ X1 Xn n 母集団 (受験者全体) 母平均μ 母平均 の95%信頼区間が知りたい μ 正規分布 と仮定する 標本平均 X̄
11.
34 2022年度春学期 統計学 / 関西大学総合情報学部 浅野 晃 正規分布の場合の区間推定 8 例題 標本 ,
... をとりだす サイズ X1 Xn n 母集団 (受験者全体) 母平均μ 母平均 の95%信頼区間が知りたい μ 正規分布 と仮定する 母分散 がわかっているものとする σ2 標本平均 X̄
12.
34 2022年度春学期 統計学 / 関西大学総合情報学部 浅野 晃 正規分布の場合の区間推定 8 例題 標本 ,
... をとりだす サイズ X1 Xn n 母集団 (受験者全体) 母平均μ 母平均 の95%信頼区間が知りたい μ 正規分布 と仮定する 母分散 がわかっているものとする σ2 (説明の都合です) 標本平均 X̄
13.
34 2022年度春学期 統計学 / 関西大学総合情報学部 浅野 晃 母分散は,ふつうはわからない 9 母集団全体は調べていないし,母平均もわからない (わからないから,いま推定しようとしている)
14.
34 2022年度春学期 統計学 / 関西大学総合情報学部 浅野 晃 母分散は,ふつうはわからない 9 それなのに,母分散がわかるはずがない 母集団全体は調べていないし,母平均もわからない (わからないから,いま推定しようとしている)
15.
34 2022年度春学期 統計学 / 関西大学総合情報学部 浅野 晃 母分散は,ふつうはわからない 9 それなのに,母分散がわかるはずがない 母集団全体は調べていないし,母平均もわからない (わからないから,いま推定しようとしている) 母分散の「代用品」を,標本を使って計算できないか。
16.
34 2022年度春学期 統計学 / 関西大学総合情報学部 浅野 晃 標本を使って分散を計算 10 分散=(偏差)2の平均
17.
34 2022年度春学期 統計学 / 関西大学総合情報学部 浅野 晃 標本を使って分散を計算 10 分散=(偏差)2の平均
18.
34 2022年度春学期 統計学 / 関西大学総合情報学部 浅野 晃 標本を使って分散を計算 10 分散=(偏差)2の平均 (データの各数値)ー(データの平均)
19.
34 2022年度春学期 統計学 / 関西大学総合情報学部 浅野 晃 標本を使って分散を計算 10 標本を使って分散を計算する。 分散=(偏差)2の平均 (データの各数値)ー(データの平均)
20.
34 2022年度春学期 統計学 / 関西大学総合情報学部 浅野 晃 標本を使って分散を計算 10 標本を使って分散を計算する。 分散=(偏差)2の平均 (データの各数値)ー(データの平均) データ: 標本 ,
... X1 Xn
21.
34 2022年度春学期 統計学 / 関西大学総合情報学部 浅野 晃 標本を使って分散を計算 10 標本を使って分散を計算する。 分散=(偏差)2の平均 (データの各数値)ー(データの平均) データ: 標本 ,
... X1 Xn データの平均:
22.
34 2022年度春学期 統計学 / 関西大学総合情報学部 浅野 晃 標本を使って分散を計算 10 標本を使って分散を計算する。 分散=(偏差)2の平均 (データの各数値)ー(データの平均) データ: 標本 ,
... X1 Xn データの平均: 本当は母平均だが,
23.
34 2022年度春学期 統計学 / 関西大学総合情報学部 浅野 晃 標本を使って分散を計算 10 標本を使って分散を計算する。 分散=(偏差)2の平均 (データの各数値)ー(データの平均) データ: 標本 ,
... X1 Xn わからないので標本平均 で代用 X̄ データの平均: 本当は母平均だが,
24.
34 2022年度春学期 統計学 / 関西大学総合情報学部 浅野 晃 標本を使って分散を計算 11 標本を使った分散 S2 = 1 n (X1 −
X̄)2 + (X2 − X̄)2 + · · · + (Xn − X̄)2
25.
34 2022年度春学期 統計学 / 関西大学総合情報学部 浅野 晃 標本を使って分散を計算 11 標本を使った分散 S2 = 1 n (X1 −
X̄)2 + (X2 − X̄)2 + · · · + (Xn − X̄)2
26.
34 2022年度春学期 統計学 / 関西大学総合情報学部 浅野 晃 標本を使って分散を計算 11 標本サイズで割る 標本を使った分散 S2 = 1 n (X1 −
X̄)2 + (X2 − X̄)2 + · · · + (Xn − X̄)2
27.
34 2022年度春学期 統計学 / 関西大学総合情報学部 浅野 晃 標本を使って分散を計算 11 標本サイズで割る 標本を使った分散 S2 = 1 n (X1 −
X̄)2 + (X2 − X̄)2 + · · · + (Xn − X̄)2 分散=(偏差)2の平均 だから当然だけど…
28.
34 2022年度春学期 統計学 / 関西大学総合情報学部 浅野 晃 標本を使って分散を計算 11 標本サイズで割る 標本を使った分散 S2 = 1 n (X1 −
X̄)2 + (X2 − X̄)2 + · · · + (Xn − X̄)2 分散=(偏差)2の平均 だから当然だけど… 本当にこれでいいの?
29.
34 2022年度春学期 統計学 / 関西大学総合情報学部 浅野 晃 標本平均を用いた偏差 12 標本サイズ n=2
とする 標本は X1, X2
30.
34 2022年度春学期 統計学 / 関西大学総合情報学部 浅野 晃 標本平均を用いた偏差 12 標本サイズ n=2
とする 標本は X1, X2
31.
34 2022年度春学期 統計学 / 関西大学総合情報学部 浅野 晃 標本平均を用いた偏差 12 標本サイズ n=2
とする 標本は X1, X2 X1
32.
34 2022年度春学期 統計学 / 関西大学総合情報学部 浅野 晃 標本平均を用いた偏差 12 標本サイズ n=2
とする 標本は X1, X2 X1 X2
33.
34 2022年度春学期 統計学 / 関西大学総合情報学部 浅野 晃 標本平均を用いた偏差 12 標本サイズ n=2
とする 標本は X1, X2 X1 X2 母平均
34.
34 2022年度春学期 統計学 / 関西大学総合情報学部 浅野 晃 標本平均を用いた偏差 12 標本サイズ n=2
とする 標本は X1, X2 X1 X2 母平均
35.
34 2022年度春学期 統計学 / 関西大学総合情報学部 浅野 晃 標本平均を用いた偏差 12 標本サイズ n=2
とする 標本は X1, X2 X1 母平均との隔たり(偏差) X2 母平均
36.
34 2022年度春学期 統計学 / 関西大学総合情報学部 浅野 晃 標本平均を用いた偏差 12 標本サイズ n=2
とする 標本は X1, X2 X X1 母平均との隔たり(偏差) X2 母平均
37.
34 2022年度春学期 統計学 / 関西大学総合情報学部 浅野 晃 標本平均を用いた偏差 12 標本サイズ n=2
とする 標本は X1, X2 X X1 母平均との隔たり(偏差) X2 母平均
38.
34 2022年度春学期 統計学 / 関西大学総合情報学部 浅野 晃 標本平均を用いた偏差 12 標本サイズ n=2
とする 標本は X1, X2 X X1 母平均との隔たり(偏差) X2 標本平均との隔たり 母平均
39.
34 2022年度春学期 統計学 / 関西大学総合情報学部 浅野 晃 標本平均を用いた偏差 12 標本サイズ n=2
とする 標本は X1, X2 X X1 母平均との隔たり(偏差) X2 標本平均との隔たり 母平均
40.
34 2022年度春学期 統計学 / 関西大学総合情報学部 浅野 晃 標本平均を用いた偏差 12 標本サイズ n=2
とする 標本は X1, X2 X X1 母平均との隔たり(偏差) X1 X2 標本平均との隔たり 母平均
41.
34 2022年度春学期 統計学 / 関西大学総合情報学部 浅野 晃 標本平均を用いた偏差 12 標本サイズ n=2
とする 標本は X1, X2 X X1 X2 母平均との隔たり(偏差) X1 X2 標本平均との隔たり 母平均
42.
34 2022年度春学期 統計学 / 関西大学総合情報学部 浅野 晃 標本平均を用いた偏差 12 標本サイズ n=2
とする 標本は X1, X2 X X1 X2 母平均との隔たり(偏差) X1 X2 標本平均との隔たり 母平均
43.
34 2022年度春学期 統計学 / 関西大学総合情報学部 浅野 晃 標本平均を用いた偏差 12 標本サイズ n=2
とする 標本は X1, X2 X X1 X2 母平均との隔たり(偏差) X1 X2 X 標本平均との隔たり 母平均
44.
34 2022年度春学期 統計学 / 関西大学総合情報学部 浅野 晃 標本平均を用いた偏差 12 標本サイズ n=2
とする 標本は X1, X2 X X1 X2 母平均との隔たり(偏差) X1 X2 X 標本平均との隔たり 母平均
45.
34 2022年度春学期 統計学 / 関西大学総合情報学部 浅野 晃 標本平均を用いた偏差 12 標本サイズ n=2
とする 標本は X1, X2 X X1 X2 母平均との隔たり(偏差) X1 X2 X 標本平均との隔たり 母平均
46.
34 2022年度春学期 統計学 / 関西大学総合情報学部 浅野 晃 標本平均を用いた偏差 12 標本サイズ n=2
とする 標本は X1, X2 X X1 X2 母平均との隔たり(偏差) X1 X2 X 標本平均との隔たり X1 母平均
47.
34 2022年度春学期 統計学 / 関西大学総合情報学部 浅野 晃 標本平均を用いた偏差 12 標本サイズ n=2
とする 標本は X1, X2 X X1 X2 母平均との隔たり(偏差) X1 X2 X 標本平均との隔たり X2 X1 母平均
48.
34 2022年度春学期 統計学 / 関西大学総合情報学部 浅野 晃 標本平均を用いた偏差 12 標本サイズ n=2
とする 標本は X1, X2 X X1 X2 母平均との隔たり(偏差) X1 X2 X 標本平均との隔たり X2 X1 母平均
49.
34 2022年度春学期 統計学 / 関西大学総合情報学部 浅野 晃 標本平均を用いた偏差 12 標本サイズ n=2
とする 標本は X1, X2 X X1 X2 母平均との隔たり(偏差) X1 X2 X 標本平均との隔たり X2 X1 X 母平均
50.
34 2022年度春学期 統計学 / 関西大学総合情報学部 浅野 晃 標本平均を用いた偏差 12 標本サイズ n=2
とする 標本は X1, X2 X X1 X2 母平均との隔たり(偏差) X1 X2 X 標本平均との隔たり X2 X1 X 母平均
51.
34 2022年度春学期 統計学 / 関西大学総合情報学部 浅野 晃 標本平均を用いた偏差 12 標本サイズ n=2
とする 標本は X1, X2 X X1 X2 母平均との隔たり(偏差) X1 X2 X 標本平均との隔たり X2 X1 X 標本平均との隔たりのほうが たいてい小さい 母平均
52.
34 2022年度春学期 統計学 / 関西大学総合情報学部 浅野 晃 標本平均を用いた偏差 13 別の説明 母集団の度数分布
53.
34 2022年度春学期 統計学 / 関西大学総合情報学部 浅野 晃 標本平均を用いた偏差 13 別の説明 母集団の度数分布
54.
34 2022年度春学期 統計学 / 関西大学総合情報学部 浅野 晃 標本平均を用いた偏差 13 別の説明 母集団の度数分布 X
55.
34 2022年度春学期 統計学 / 関西大学総合情報学部 浅野 晃 標本平均を用いた偏差 13 別の説明 母集団の度数分布 これなら 「標本平均との隔たり」と 「母平均との隔たり」は かわらない X
56.
34 2022年度春学期 統計学 / 関西大学総合情報学部 浅野 晃 標本平均を用いた偏差 13 別の説明 母集団の度数分布 これなら 「標本平均との隔たり」と 「母平均との隔たり」は かわらない X
57.
34 2022年度春学期 統計学 / 関西大学総合情報学部 浅野 晃 標本平均を用いた偏差 13 別の説明 母集団の度数分布 これなら 「標本平均との隔たり」と 「母平均との隔たり」は かわらない X X
58.
34 2022年度春学期 統計学 / 関西大学総合情報学部 浅野 晃 標本平均を用いた偏差 13 別の説明 母集団の度数分布 これなら 「標本平均との隔たり」と 「母平均との隔たり」は かわらない X こんなふうに偏っていると 「標本平均との隔たり」 のほうが小さい X
59.
34 2022年度春学期 統計学 / 関西大学総合情報学部 浅野 晃 不偏分散 14 母平均との隔たりよりも 標本平均との隔たりのほうが たいてい小さい 標本平均との隔たりを使って分散を計算すると, 母分散よりもたいてい小さめになる
60.
34 2022年度春学期 統計学 / 関西大学総合情報学部 浅野 晃 不偏分散 14 母平均との隔たりよりも 標本平均との隔たりのほうが たいてい小さい 標本平均との隔たりを使って分散を計算すると, 母分散よりもたいてい小さめになる では,計算のときに少し大きめにしておけば?
61.
34 2022年度春学期 統計学 / 関西大学総合情報学部 浅野 晃 不偏分散 15 計算のときに少し大きめにする
62.
34 2022年度春学期 統計学 / 関西大学総合情報学部 浅野 晃 不偏分散 15 計算のときに少し大きめにする s2 = 1 n −
1 (X1 − X̄)2 + (X2 − X̄)2 + · · · + (Xn − X̄)2
63.
34 2022年度春学期 統計学 / 関西大学総合情報学部 浅野 晃 不偏分散 15 計算のときに少し大きめにする s2 = 1 n −
1 (X1 − X̄)2 + (X2 − X̄)2 + · · · + (Xn − X̄)2
64.
34 2022年度春学期 統計学 / 関西大学総合情報学部 浅野 晃 不偏分散 15 計算のときに少し大きめにする s2 = 1 n −
1 (X1 − X̄)2 + (X2 − X̄)2 + · · · + (Xn − X̄)2 (標本サイズ - 1)で割る
65.
34 2022年度春学期 統計学 / 関西大学総合情報学部 浅野 晃 不偏分散 15 計算のときに少し大きめにする s2 = 1 n −
1 (X1 − X̄)2 + (X2 − X̄)2 + · · · + (Xn − X̄)2 (標本サイズ - 1)で割る これを不偏分散(不偏標本分散)といい, 母分散の代用に用いる
66.
34 2022年度春学期 統計学 / 関西大学総合情報学部 浅野 晃 不偏分散 15 計算のときに少し大きめにする s2 = 1 n −
1 (X1 − X̄)2 + (X2 − X̄)2 + · · · + (Xn − X̄)2 (標本サイズ - 1)で割る これを不偏分散(不偏標本分散)といい, 母分散の代用に用いる 「不偏」とは?
67.
34 2022年度春学期 統計学 / 関西大学総合情報学部 浅野 晃 「不偏」とは? 16 計算のときに少し大きめにすると? 標本平均との隔たりを使って分散を計算すると, 母分散よりもたいてい小さめになる
68.
34 2022年度春学期 統計学 / 関西大学総合情報学部 浅野 晃 「不偏」とは? 16 計算のときに少し大きめにすると? 標本平均との隔たりを使って分散を計算すると, 母分散よりもたいてい小さめになる 母分散と一致するわけではないが 母分散より大きくも小さくも平等にはずれる
69.
34 2022年度春学期 統計学 / 関西大学総合情報学部 浅野 晃 「不偏」とは? 16 計算のときに少し大きめにすると? 標本平均との隔たりを使って分散を計算すると, 母分散よりもたいてい小さめになる 母分散と一致するわけではないが 母分散より大きくも小さくも平等にはずれる 「不偏」とは「えこひいきしない」こと
70.
34 2022年度春学期 統計学 / 関西大学総合情報学部 浅野 晃 標本サイズ=2のときに,式で書いてみると 17 標本サイズ=2のとき,標本を ,標本平均を
とすると 不偏分散 は X1, X2 X̄ s2 s2 = 1 2 − 1 (X1 − X̄)2 + (X2 − X̄)2 {}内は,2つの「へだたり」の2乗の和? を代入すると X̄ = X1 + X2 2 s2 = 1 2 − 1 (X1 − X1 + X2 2 )2 + (X2 − X1 + X2 2 )2 = 1 2 − 1 X1 − X2 2 2 + X2 − X1 2 2 = 1 2 − 1 (X1 − X2)2 2 「へだたり」は,ひとつしかない だから,2で割らずに1で割る
71.
不偏分散を用いた区間推定💡💡
72.
34 2022年度春学期 統計学 / 関西大学総合情報学部 浅野 晃 正規分布の場合の区間推定 19 前回の例題 ある試験の点数の分布は正規分布であるとします。 この試験の受験者から,10人からなる標本を無作為抽出して, この人たちの点数を平均したところ50点でした。 この試験の受験者全体の標準偏差が5点であるとわかっている とき,受験者全体の平均点の95%信頼区間を求めてください。
73.
34 2022年度春学期 統計学 / 関西大学総合情報学部 浅野 晃 正規分布の場合の区間推定 20 例題 標本 ,
... をとりだす サイズ X1 Xn n 母集団 (受験者全体) 母平均μ 母平均 の95%信頼区間が知りたい μ 正規分布 と仮定する 母分散 がわかっているものとする σ2 (説明の都合です) 標本平均 X̄
74.
34 2022年度春学期 統計学 / 関西大学総合情報学部 浅野 晃 正規分布の場合の区間推定 21 考え方 標本は,母集団分布と同じ確率分布にしたがう 正規分布N(μ, σ2) 標本平均は,やはり正規分布にしたがうが, 分散が1/nになる 正規分布N(μ,
σ2/n) [性質2]
75.
34 2022年度春学期 統計学 / 関西大学総合情報学部 浅野 晃 正規分布の場合の区間推定 22 考え方 標本は,母集団分布と同じ確率分布にしたがう 正規分布N(μ, σ2) 標本平均は,やはり正規分布にしたがうが,分散が1/nになる 正規分布N(μ,
σ2/n) [性質2] 正規分布の[性質1]により X Z = X̄ − µ σ2/n は標準正規分布にしたがう N(0, 1)
76.
34 2022年度春学期 統計学 / 関西大学総合情報学部 浅野 晃 正規分布の場合の区間推定 22 考え方 標本は,母集団分布と同じ確率分布にしたがう 正規分布N(μ, σ2) 標本平均は,やはり正規分布にしたがうが,分散が1/nになる 正規分布N(μ,
σ2/n) [性質2] 正規分布の[性質1]により X Z = X̄ − µ σ2/n は標準正規分布にしたがう N(0, 1)
77.
34 2022年度春学期 統計学 / 関西大学総合情報学部 浅野 晃 正規分布の場合の区間推定 22 考え方 標本は,母集団分布と同じ確率分布にしたがう 正規分布N(μ, σ2) 標本平均は,やはり正規分布にしたがうが,分散が1/nになる 正規分布N(μ,
σ2/n) [性質2] 正規分布の[性質1]により X Z = X̄ − µ σ2/n は標準正規分布にしたがう N(0, 1)
78.
34 2022年度春学期 統計学 / 関西大学総合情報学部 浅野 晃 正規分布の場合の区間推定 22 考え方 標本は,母集団分布と同じ確率分布にしたがう 正規分布N(μ, σ2) 標本平均は,やはり正規分布にしたがうが,分散が1/nになる 正規分布N(μ,
σ2/n) [性質2] 正規分布の[性質1]により X Z = X̄ − µ σ2/n は標準正規分布にしたがう N(0, 1)
79.
34 2022年度春学期 統計学 / 関西大学総合情報学部 浅野 晃 本当は,母分散はわからない 23 Z = X̄
− µ σ2/n は標準正規分布にしたがう N(0, 1)
80.
34 2022年度春学期 統計学 / 関西大学総合情報学部 浅野 晃 本当は,母分散はわからない 23 Z = X̄
− µ σ2/n は標準正規分布にしたがう N(0, 1)
81.
34 2022年度春学期 統計学 / 関西大学総合情報学部 浅野 晃 本当は,母分散はわからない 23 Z = X̄
− µ σ2/n は標準正規分布にしたがう N(0, 1) 本当は母分散はわからない
82.
34 2022年度春学期 統計学 / 関西大学総合情報学部 浅野 晃 本当は,母分散はわからない 23 Z = X̄
− µ σ2/n は標準正規分布にしたがう N(0, 1) 本当は母分散はわからない 不偏分散で代用する
83.
34 2022年度春学期 統計学 / 関西大学総合情報学部 浅野 晃 本当は,母分散はわからない 23 Z = X̄
− µ σ2/n は標準正規分布にしたがう N(0, 1) 本当は母分散はわからない 不偏分散で代用する t = X̄ − µ s2/n
84.
34 2022年度春学期 統計学 / 関西大学総合情報学部 浅野 晃 本当は,母分散はわからない 23 Z = X̄
− µ σ2/n は標準正規分布にしたがう N(0, 1) 本当は母分散はわからない 不偏分散で代用する t = X̄ − µ s2/n
85.
34 2022年度春学期 統計学 / 関西大学総合情報学部 浅野 晃 本当は,母分散はわからない 23 Z = X̄
− µ σ2/n は標準正規分布にしたがう N(0, 1) 本当は母分散はわからない 不偏分散で代用する t = X̄ − µ s2/n 不偏分散
86.
34 2022年度春学期 統計学 / 関西大学総合情報学部 浅野 晃 本当は,母分散はわからない 23 Z = X̄
− µ σ2/n は標準正規分布にしたがう N(0, 1) 本当は母分散はわからない 不偏分散で代用する t = X̄ − µ s2/n 不偏分散 t は何分布にしたがう?
87.
34 2022年度春学期 統計学 / 関西大学総合情報学部 浅野 晃 t分布 24 は t = X̄
− µ s2/n t統計量
88.
34 2022年度春学期 統計学 / 関西大学総合情報学部 浅野 晃 t分布 24 は t = X̄
− µ s2/n 自由度(n–1)のt分布にしたがう t統計量
89.
34 2022年度春学期 統計学 / 関西大学総合情報学部 浅野 晃 t分布 24 は t(n–1) t = X̄
− µ s2/n 自由度(n–1)のt分布にしたがう t統計量
90.
34 2022年度春学期 統計学 / 関西大学総合情報学部 浅野 晃 t分布 24 は t(n–1) t = X̄
− µ s2/n 自由度(n–1)のt分布にしたがう t統計量 (「スチューデントのt分布」という)
91.
34 2022年度春学期 統計学 / 関西大学総合情報学部 浅野 晃 t分布 24 は t(n–1) t = X̄
− µ s2/n 自由度(n–1)のt分布にしたがう t統計量 (「スチューデントのt分布」という)
92.
34 2022年度春学期 統計学 / 関西大学総合情報学部 浅野 晃 t分布 24 は t(n–1) t = X̄
− µ s2/n 自由度(n–1)のt分布にしたがう t統計量 (「スチューデントのt分布」という) 発見者ウィリアム・ゴセットのペンネーム ※ゴセットはギネスビールのエンジニアで,会社との契約のために論文を発表 できなかったので, ペンネームで論文を発表した。
93.
34 2022年度春学期 統計学 / 関西大学総合情報学部 浅野 晃 正規分布(母分散不明)の場合の区間推定 25 テキストの例題 ある試験の点数の分布は正規分布であるとします。 この試験の受験者から,10人からなる標本を無作為抽出して, この人たちの点数を平均したところ50点でした。 この10人の不偏分散が52点であるとき,受験者全体の平均点 の95%信頼区間を求めてください。
94.
34 2022年度春学期 統計学 / 関西大学総合情報学部 浅野 晃 正規分布(母分散不明)の場合の区間推定 25 テキストの例題 ある試験の点数の分布は正規分布であるとします。 この試験の受験者から,10人からなる標本を無作為抽出して, この人たちの点数を平均したところ50点でした。 この10人の不偏分散が52点であるとき,受験者全体の平均点 の95%信頼区間を求めてください。
95.
34 2022年度春学期 統計学 / 関西大学総合情報学部 浅野 晃 正規分布(母分散不明)の場合の区間推定 25 テキストの例題 ある試験の点数の分布は正規分布であるとします。 この試験の受験者から,10人からなる標本を無作為抽出して, この人たちの点数を平均したところ50点でした。 この10人の不偏分散が52点であるとき,受験者全体の平均点 の95%信頼区間を求めてください。 前回は 「受験者全体の標準偏差が5点であるとわかっている」
96.
34 2022年度春学期 統計学 / 関西大学総合情報学部 浅野 晃 正規分布の場合の区間推定 26 例題 標本 ,
... をとりだす サイズ X1 Xn n 母集団 (受験者全体) 母平均μ 母平均 の95%信頼区間が知りたい μ 正規分布 と仮定する 母分散 がわか σ2 標本平均 X̄
97.
34 2022年度春学期 統計学 / 関西大学総合情報学部 浅野 晃 正規分布の場合の区間推定 26 例題 標本 ,
... をとりだす サイズ X1 Xn n 母集団 (受験者全体) 母平均μ 母平均 の95%信頼区間が知りたい μ 正規分布 と仮定する 母分散 がわか σ2 標本平均 X̄ らないので,
98.
34 2022年度春学期 統計学 / 関西大学総合情報学部 浅野 晃 正規分布の場合の区間推定 26 例題 標本 ,
... をとりだす サイズ X1 Xn n 母集団 (受験者全体) 母平均μ 母平均 の95%信頼区間が知りたい μ 正規分布 と仮定する 母分散 がわか σ2 標本平均 X̄ らないので, 不偏分散 で代用 s2
99.
34 2022年度春学期 統計学 / 関西大学総合情報学部 浅野 晃 t 0 t分布を用いた区間推定 27 は自由度(n–1)のt分布にしたがう t(n–1)の 確率密度関数 t = X̄
− µ s2/n t(n–1)
100.
34 2022年度春学期 統計学 / 関西大学総合情報学部 浅野 晃 t 0 t分布を用いた区間推定 27 は自由度(n–1)のt分布にしたがう t(n–1)の 確率密度関数 t = X̄
− µ s2/n t(n–1)
101.
34 2022年度春学期 統計学 / 関西大学総合情報学部 浅野 晃 t 0 t分布を用いた区間推定 27 この区間に入っている確率=95%とすると は自由度(n–1)のt分布にしたがう t(n–1)の 確率密度関数 が t = X̄
− µ s2/n t = X̄ − µ s2/n t(n–1)
102.
34 2022年度春学期 統計学 / 関西大学総合情報学部 浅野 晃 t 0 t分布を用いた区間推定 27 この区間に入っている確率=95%とすると は自由度(n–1)のt分布にしたがう t(n–1)の 確率密度関数 が 面積=95% t = X̄
− µ s2/n t = X̄ − µ s2/n t(n–1)
103.
34 2022年度春学期 統計学 / 関西大学総合情報学部 浅野 晃 t 0 t分布を用いた区間推定 27 この区間に入っている確率=95%とすると は自由度(n–1)のt分布にしたがう t(n–1)の 確率密度関数 が 面積=95% 境界の値はいくら? t = X̄
− µ s2/n t = X̄ − µ s2/n t(n–1)
104.
34 2022年度春学期 統計学 / 関西大学総合情報学部 浅野 晃 t 0 t 0 t分布を用いた区間推定 28 面積=95% 面積=2.5% (左右で5%)
105.
34 2022年度春学期 統計学 / 関西大学総合情報学部 浅野 晃 t 0 t 0 t分布を用いた区間推定 28 面積=95% 面積=2.5% (左右で5%) 境界の値は自由度によってちがうので
106.
34 2022年度春学期 統計学 / 関西大学総合情報学部 浅野 晃 t 0 t 0 t分布を用いた区間推定 28 面積=95% 面積=2.5% (左右で5%) 境界の値は自由度によってちがうので t0.025(n–1) としておく
107.
34 2022年度春学期 統計学 / 関西大学総合情報学部 浅野 晃 t 0 t 0 t分布を用いた区間推定 28 面積=95% 面積=2.5% (左右で5%) 境界の値は自由度によってちがうので t0.025(n–1) としておく
[上側2.5%点]
108.
34 2022年度春学期 統計学 / 関西大学総合情報学部 浅野 晃 t 0 t分布を用いた区間推定 29 この区間に入っている確率=95% が 面積=95% t = X̄
− µ s2/n t(n–1)
109.
34 2022年度春学期 統計学 / 関西大学総合情報学部 浅野 晃 t 0 t分布を用いた区間推定 29 この区間に入っている確率=95% が 面積=95% t = X̄
− µ s2/n t(n–1)
110.
34 2022年度春学期 統計学 / 関西大学総合情報学部 浅野 晃 t 0 t分布を用いた区間推定 29 この区間に入っている確率=95% が 面積=95% t = X̄
− µ s2/n t0.025(n–1) t(n–1)
111.
34 2022年度春学期 統計学 / 関西大学総合情報学部 浅野 晃 t 0 t分布を用いた区間推定 29 この区間に入っている確率=95% が 面積=95% t = X̄
− µ s2/n t0.025(n–1) –t0.025(n–1) t(n–1)
112.
34 2022年度春学期 統計学 / 関西大学総合情報学部 浅野 晃 t分布を用いた区間推定 30 が –t0.025(n–1)
と t0.025(n–1) の間に入っている確率が95% t = X̄ − µ s2/n
113.
34 2022年度春学期 統計学 / 関西大学総合情報学部 浅野 晃 t分布を用いた区間推定 30 式で書くと が –t0.025(n–1)
と t0.025(n–1) の間に入っている確率が95% t = X̄ − µ s2/n
114.
34 2022年度春学期 統計学 / 関西大学総合情報学部 浅野 晃 t分布を用いた区間推定 30 式で書くと が –t0.025(n–1)
と t0.025(n–1) の間に入っている確率が95% t = X̄ − µ s2/n P −t0.025(n − 1) X̄ − µ s2/n t0.025(n − 1) = 0.95
115.
34 2022年度春学期 統計学 / 関西大学総合情報学部 浅野 晃 t分布を用いた区間推定 30 式で書くと が –t0.025(n–1)
と t0.025(n–1) の間に入っている確率が95% μの式に直すと t = X̄ − µ s2/n P −t0.025(n − 1) X̄ − µ s2/n t0.025(n − 1) = 0.95
116.
34 2022年度春学期 統計学 / 関西大学総合情報学部 浅野 晃 t分布を用いた区間推定 30 式で書くと が –t0.025(n–1)
と t0.025(n–1) の間に入っている確率が95% μの式に直すと t = X̄ − µ s2/n P −t0.025(n − 1) X̄ − µ s2/n t0.025(n − 1) = 0.95 P X̄ − t0.025(n − 1) s2 n µ X̄ + t0.025(n − 1) s2 n = 0.95
117.
34 2022年度春学期 統計学 / 関西大学総合情報学部 浅野 晃 t分布を用いた区間推定 31 P X̄ −
t0.025(n − 1) s2 n µ X̄ + t0.025(n − 1) s2 n = 0.95
118.
34 2022年度春学期 統計学 / 関西大学総合情報学部 浅野 晃 t分布を用いた区間推定 31 μの95% 信頼区間の下限 P X̄ −
t0.025(n − 1) s2 n µ X̄ + t0.025(n − 1) s2 n = 0.95
119.
34 2022年度春学期 統計学 / 関西大学総合情報学部 浅野 晃 t分布を用いた区間推定 31 μの95% 信頼区間の下限 μの95% 信頼区間の上限 P X̄ −
t0.025(n − 1) s2 n µ X̄ + t0.025(n − 1) s2 n = 0.95
120.
34 2022年度春学期 統計学 / 関西大学総合情報学部 浅野 晃 t分布を用いた区間推定 31 μの95% 信頼区間の下限 μの95% 信頼区間の上限 例題では P X̄ −
t0.025(n − 1) s2 n µ X̄ + t0.025(n − 1) s2 n = 0.95
121.
34 2022年度春学期 統計学 / 関西大学総合情報学部 浅野 晃 t分布を用いた区間推定 31 μの95% 信頼区間の下限 μの95% 信頼区間の上限 例題では 標本平均=50 P X̄ −
t0.025(n − 1) s2 n µ X̄ + t0.025(n − 1) s2 n = 0.95
122.
34 2022年度春学期 統計学 / 関西大学総合情報学部 浅野 晃 t分布を用いた区間推定 31 μの95% 信頼区間の下限 μの95% 信頼区間の上限 例題では 標本平均=50 不偏分散=25 P X̄ −
t0.025(n − 1) s2 n µ X̄ + t0.025(n − 1) s2 n = 0.95
123.
34 2022年度春学期 統計学 / 関西大学総合情報学部 浅野 晃 t分布を用いた区間推定 31 μの95% 信頼区間の下限 μの95% 信頼区間の上限 例題では 標本平均=50 不偏分散=25 標本サイズ=10 P X̄
− t0.025(n − 1) s2 n µ X̄ + t0.025(n − 1) s2 n = 0.95
124.
34 2022年度春学期 統計学 / 関西大学総合情報学部 浅野 晃 t分布を用いた区間推定 31 μの95% 信頼区間の下限 μの95% 信頼区間の上限 例題では 標本平均=50 不偏分散=25 標本サイズ=10 上側2.5%点 t0.025(n–1) は? P X̄
− t0.025(n − 1) s2 n µ X̄ + t0.025(n − 1) s2 n = 0.95
125.
34 2022年度春学期 統計学 / 関西大学総合情報学部 浅野 晃 t 0 t分布表 32 面積=2.5% t0.025(n–1)
126.
34 2022年度春学期 統計学 / 関西大学総合情報学部 浅野 晃 t 0 t分布表 32 面積=2.5% t0.025(n–1) 0.40 0.30
0.25 0.20 0.15 0.10 0.05 0.025 0.01 0.005 1 0.3249 0.7265 1.0000 1.3764 1.9626 3.0777 6.3138 12.7062 31.8205 63.6567 2 0.2887 0.6172 0.8165 1.0607 1.3862 1.8856 2.9200 4.3027 6.9646 9.9248 3 0.2767 0.5844 0.7649 0.9785 1.2498 1.6377 2.3534 3.1824 4.5407 5.8409 4 0.2707 0.5686 0.7407 0.9410 1.1896 1.5332 2.1318 2.7764 3.7469 4.6041 5 0.2672 0.5594 0.7267 0.9195 1.1558 1.4759 2.0150 2.5706 3.3649 4.0321 6 0.2648 0.5534 0.7176 0.9057 1.1342 1.4398 1.9432 2.4469 3.1427 3.7074 7 0.2632 0.5491 0.7111 0.8960 1.1192 1.4149 1.8946 2.3646 2.9980 3.4995 8 0.2619 0.5459 0.7064 0.8889 1.1081 1.3968 1.8595 2.3060 2.8965 3.3554 9 0.2610 0.5435 0.7027 0.8834 1.0997 1.3830 1.8331 2.2622 2.8214 3.2498
127.
34 2022年度春学期 統計学 / 関西大学総合情報学部 浅野 晃 t 0 t分布表 32 面積=2.5% t0.025(n–1) 0.40 0.30
0.25 0.20 0.15 0.10 0.05 0.025 0.01 0.005 1 0.3249 0.7265 1.0000 1.3764 1.9626 3.0777 6.3138 12.7062 31.8205 63.6567 2 0.2887 0.6172 0.8165 1.0607 1.3862 1.8856 2.9200 4.3027 6.9646 9.9248 3 0.2767 0.5844 0.7649 0.9785 1.2498 1.6377 2.3534 3.1824 4.5407 5.8409 4 0.2707 0.5686 0.7407 0.9410 1.1896 1.5332 2.1318 2.7764 3.7469 4.6041 5 0.2672 0.5594 0.7267 0.9195 1.1558 1.4759 2.0150 2.5706 3.3649 4.0321 6 0.2648 0.5534 0.7176 0.9057 1.1342 1.4398 1.9432 2.4469 3.1427 3.7074 7 0.2632 0.5491 0.7111 0.8960 1.1192 1.4149 1.8946 2.3646 2.9980 3.4995 8 0.2619 0.5459 0.7064 0.8889 1.1081 1.3968 1.8595 2.3060 2.8965 3.3554 9 0.2610 0.5435 0.7027 0.8834 1.0997 1.3830 1.8331 2.2622 2.8214 3.2498 自由度
128.
34 2022年度春学期 統計学 / 関西大学総合情報学部 浅野 晃 t 0 t分布表 32 面積=2.5% パーセントの値 t0.025(n–1) 0.40 0.30
0.25 0.20 0.15 0.10 0.05 0.025 0.01 0.005 1 0.3249 0.7265 1.0000 1.3764 1.9626 3.0777 6.3138 12.7062 31.8205 63.6567 2 0.2887 0.6172 0.8165 1.0607 1.3862 1.8856 2.9200 4.3027 6.9646 9.9248 3 0.2767 0.5844 0.7649 0.9785 1.2498 1.6377 2.3534 3.1824 4.5407 5.8409 4 0.2707 0.5686 0.7407 0.9410 1.1896 1.5332 2.1318 2.7764 3.7469 4.6041 5 0.2672 0.5594 0.7267 0.9195 1.1558 1.4759 2.0150 2.5706 3.3649 4.0321 6 0.2648 0.5534 0.7176 0.9057 1.1342 1.4398 1.9432 2.4469 3.1427 3.7074 7 0.2632 0.5491 0.7111 0.8960 1.1192 1.4149 1.8946 2.3646 2.9980 3.4995 8 0.2619 0.5459 0.7064 0.8889 1.1081 1.3968 1.8595 2.3060 2.8965 3.3554 9 0.2610 0.5435 0.7027 0.8834 1.0997 1.3830 1.8331 2.2622 2.8214 3.2498 自由度
129.
34 2022年度春学期 統計学 / 関西大学総合情報学部 浅野 晃 t 0 t分布表 32 面積=2.5% パーセントの値 例題では n–1
= 9 t0.025(n–1) 0.40 0.30 0.25 0.20 0.15 0.10 0.05 0.025 0.01 0.005 1 0.3249 0.7265 1.0000 1.3764 1.9626 3.0777 6.3138 12.7062 31.8205 63.6567 2 0.2887 0.6172 0.8165 1.0607 1.3862 1.8856 2.9200 4.3027 6.9646 9.9248 3 0.2767 0.5844 0.7649 0.9785 1.2498 1.6377 2.3534 3.1824 4.5407 5.8409 4 0.2707 0.5686 0.7407 0.9410 1.1896 1.5332 2.1318 2.7764 3.7469 4.6041 5 0.2672 0.5594 0.7267 0.9195 1.1558 1.4759 2.0150 2.5706 3.3649 4.0321 6 0.2648 0.5534 0.7176 0.9057 1.1342 1.4398 1.9432 2.4469 3.1427 3.7074 7 0.2632 0.5491 0.7111 0.8960 1.1192 1.4149 1.8946 2.3646 2.9980 3.4995 8 0.2619 0.5459 0.7064 0.8889 1.1081 1.3968 1.8595 2.3060 2.8965 3.3554 9 0.2610 0.5435 0.7027 0.8834 1.0997 1.3830 1.8331 2.2622 2.8214 3.2498 自由度
130.
34 2022年度春学期 統計学 / 関西大学総合情報学部 浅野 晃 t 0 t分布表 32 面積=2.5% パーセントの値 例題では n–1
= 9 0.025 t0.025(n–1) 0.40 0.30 0.25 0.20 0.15 0.10 0.05 0.025 0.01 0.005 1 0.3249 0.7265 1.0000 1.3764 1.9626 3.0777 6.3138 12.7062 31.8205 63.6567 2 0.2887 0.6172 0.8165 1.0607 1.3862 1.8856 2.9200 4.3027 6.9646 9.9248 3 0.2767 0.5844 0.7649 0.9785 1.2498 1.6377 2.3534 3.1824 4.5407 5.8409 4 0.2707 0.5686 0.7407 0.9410 1.1896 1.5332 2.1318 2.7764 3.7469 4.6041 5 0.2672 0.5594 0.7267 0.9195 1.1558 1.4759 2.0150 2.5706 3.3649 4.0321 6 0.2648 0.5534 0.7176 0.9057 1.1342 1.4398 1.9432 2.4469 3.1427 3.7074 7 0.2632 0.5491 0.7111 0.8960 1.1192 1.4149 1.8946 2.3646 2.9980 3.4995 8 0.2619 0.5459 0.7064 0.8889 1.1081 1.3968 1.8595 2.3060 2.8965 3.3554 9 0.2610 0.5435 0.7027 0.8834 1.0997 1.3830 1.8331 2.2622 2.8214 3.2498 自由度
131.
34 2022年度春学期 統計学 / 関西大学総合情報学部 浅野 晃 t 0 t分布表 32 面積=2.5% パーセントの値 例題では n–1
= 9 0.025 t0.025(9)=2.262 t0.025(n–1) 0.40 0.30 0.25 0.20 0.15 0.10 0.05 0.025 0.01 0.005 1 0.3249 0.7265 1.0000 1.3764 1.9626 3.0777 6.3138 12.7062 31.8205 63.6567 2 0.2887 0.6172 0.8165 1.0607 1.3862 1.8856 2.9200 4.3027 6.9646 9.9248 3 0.2767 0.5844 0.7649 0.9785 1.2498 1.6377 2.3534 3.1824 4.5407 5.8409 4 0.2707 0.5686 0.7407 0.9410 1.1896 1.5332 2.1318 2.7764 3.7469 4.6041 5 0.2672 0.5594 0.7267 0.9195 1.1558 1.4759 2.0150 2.5706 3.3649 4.0321 6 0.2648 0.5534 0.7176 0.9057 1.1342 1.4398 1.9432 2.4469 3.1427 3.7074 7 0.2632 0.5491 0.7111 0.8960 1.1192 1.4149 1.8946 2.3646 2.9980 3.4995 8 0.2619 0.5459 0.7064 0.8889 1.1081 1.3968 1.8595 2.3060 2.8965 3.3554 9 0.2610 0.5435 0.7027 0.8834 1.0997 1.3830 1.8331 2.2622 2.8214 3.2498 自由度
132.
34 2022年度春学期 統計学 / 関西大学総合情報学部 浅野 晃 t分布を用いた区間推定 33 P X̄ −
t0.025(n − 1) s2 n µ X̄ + t0.025(n − 1) s2 n = 0.95
133.
34 2022年度春学期 統計学 / 関西大学総合情報学部 浅野 晃 t分布を用いた区間推定 33 例題では P X̄ −
t0.025(n − 1) s2 n µ X̄ + t0.025(n − 1) s2 n = 0.95
134.
34 2022年度春学期 統計学 / 関西大学総合情報学部 浅野 晃 t分布を用いた区間推定 33 例題では 標本平均=50 P X̄ −
t0.025(n − 1) s2 n µ X̄ + t0.025(n − 1) s2 n = 0.95
135.
34 2022年度春学期 統計学 / 関西大学総合情報学部 浅野 晃 t分布を用いた区間推定 33 例題では 標本平均=50 不偏分散=25 P X̄ −
t0.025(n − 1) s2 n µ X̄ + t0.025(n − 1) s2 n = 0.95
136.
34 2022年度春学期 統計学 / 関西大学総合情報学部 浅野 晃 t分布を用いた区間推定 33 例題では 標本平均=50 不偏分散=25 標本サイズ=10 P X̄
− t0.025(n − 1) s2 n µ X̄ + t0.025(n − 1) s2 n = 0.95
137.
34 2022年度春学期 統計学 / 関西大学総合情報学部 浅野 晃 t分布を用いた区間推定 33 例題では 標本平均=50 不偏分散=25 標本サイズ=10 P X̄
− t0.025(n − 1) s2 n µ X̄ + t0.025(n − 1) s2 n = 0.95
138.
34 2022年度春学期 統計学 / 関西大学総合情報学部 浅野 晃 t分布を用いた区間推定 33 例題では 標本平均=50 不偏分散=25 標本サイズ=10 P X̄
− t0.025(n − 1) s2 n µ X̄ + t0.025(n − 1) s2 n = 0.95 t0.025(10–1)=2.262
139.
34 2022年度春学期 統計学 / 関西大学総合情報学部 浅野 晃 t分布を用いた区間推定 33 例題では 標本平均=50 不偏分散=25 標本サイズ=10 P X̄
− t0.025(n − 1) s2 n µ X̄ + t0.025(n − 1) s2 n = 0.95 t0.025(10–1)=2.262 計算すると,例題の答は 「46.4以上53.6以下」( [46.4, 53.6] ) μの95% 信頼区間の下限 μの95% 信頼区間の上限
140.
34 2022年度春学期 統計学 / 関西大学総合情報学部 浅野 晃 前回の例題と比較 34 不偏分散は,母分散の推定量なので,不確か どちらも 標本平均=50 不偏分散=25 のとき 標本サイズ=10 母分散=25 のとき 母平均の95%信頼区間は [46.9,
53.1] [46.4, 53.6] →信頼区間が広い
Download