浅野 晃
関西大学総合情報学部
2022年度秋学期 統計学
不確かな測定の不確かさを測る
― 不偏分散とt分布
第13回
2
ちょっと(ほんのちょっと)
前回までの復習
34
2022年度秋学期 統計学 / 関西大学総合情報学部 浅野 晃
正規分布の場合の区間推定
3
例題
標本X1, ... Xnをとりだす
サイズn
母集団
(受験者全体)
母平均μ
母平均μの95%信頼区間が知りたい
正規分布
と仮定する
標本平均 X
34
2022年度秋学期 統計学 / 関西大学総合情報学部 浅野 晃
正規分布の場合の区間推定
3
例題
標本X1, ... Xnをとりだす
サイズn
母集団
(受験者全体)
母平均μ
母平均μの95%信頼区間が知りたい
正規分布
と仮定する
母分散σ2がわかっているものとする
標本平均 X
34
2022年度秋学期 統計学 / 関西大学総合情報学部 浅野 晃
正規分布の場合の区間推定
3
例題
標本X1, ... Xnをとりだす
サイズn
母集団
(受験者全体)
母平均μ
母平均μの95%信頼区間が知りたい
正規分布
と仮定する
母分散σ2がわかっているものとする (説明の都合です)
標本平均 X
34
2022年度秋学期 統計学 / 関西大学総合情報学部 浅野 晃
区間推定の考え方
4
数値をいくつか抽出して標本平均
標本平均にすることで
ばらつきが小さくなる
仮に,何度も抽出したとすると
母平均(実際にはわからない)
のまわりにばらついている
標本平均の期待値
=母平均
標本平均の分散
=母分散÷標本サイズ
X
X
X
X
★
★
★
★
34
2022年度秋学期 統計学 / 関西大学総合情報学部 浅野 晃
区間推定の考え方
5
標本平均の左右に区間をつける
区間は母平均を
母平均
どの回の区間が
母平均を含むか・含まないかは
わからないが
確率95%で母平均を含むように
区間の幅を設定できる
X
X
X
X
含む
含む
含まない
含む
(実際にはわからない)
標本平均はばらついているが,前後に区間をつければ,母平均はたいてい
その区間に入っているようにできる
34
2022年度秋学期 統計学 / 関西大学総合情報学部 浅野 晃
信頼区間
6
区間は母平均を
母平均
X
X
X
X
含むだろう
含む
含ま
ない
含む
(実際にはわからない)
95%という大きな確率で
母平均を含むように設定した区間だから,
その1回でも含むと信じる
母平均の
[信頼係数]95%の
[信頼区間] という
([95%信頼区間])
7
不偏分散💡💡
34
2022年度秋学期 統計学 / 関西大学総合情報学部 浅野 晃
正規分布の場合の区間推定
8
例題
標本 , ... をとりだす
サイズ
X1 Xn
n
母集団
(受験者全体)
母平均μ
母平均 の95%信頼区間が知りたい
μ
正規分布
と仮定する
標本平均 X̄
34
2022年度秋学期 統計学 / 関西大学総合情報学部 浅野 晃
正規分布の場合の区間推定
8
例題
標本 , ... をとりだす
サイズ
X1 Xn
n
母集団
(受験者全体)
母平均μ
母平均 の95%信頼区間が知りたい
μ
正規分布
と仮定する
母分散 がわかっているものとする
σ2
標本平均 X̄
34
2022年度秋学期 統計学 / 関西大学総合情報学部 浅野 晃
正規分布の場合の区間推定
8
例題
標本 , ... をとりだす
サイズ
X1 Xn
n
母集団
(受験者全体)
母平均μ
母平均 の95%信頼区間が知りたい
μ
正規分布
と仮定する
母分散 がわかっているものとする
σ2 (説明の都合です)
標本平均 X̄
34
2022年度秋学期 統計学 / 関西大学総合情報学部 浅野 晃
母分散は,ふつうはわからない
9
母集団全体は調べていないし,母平均もわからない
(わからないから,いま推定しようとしている)
34
2022年度秋学期 統計学 / 関西大学総合情報学部 浅野 晃
母分散は,ふつうはわからない
9
それなのに,母分散がわかるはずがない
母集団全体は調べていないし,母平均もわからない
(わからないから,いま推定しようとしている)
34
2022年度秋学期 統計学 / 関西大学総合情報学部 浅野 晃
母分散は,ふつうはわからない
9
それなのに,母分散がわかるはずがない
母集団全体は調べていないし,母平均もわからない
(わからないから,いま推定しようとしている)
母分散の「代用品」を,標本を使って計算できないか。
34
2022年度秋学期 統計学 / 関西大学総合情報学部 浅野 晃
標本を使って分散を計算
10
分散=(偏差)2の平均
34
2022年度秋学期 統計学 / 関西大学総合情報学部 浅野 晃
標本を使って分散を計算
10
分散=(偏差)2の平均
34
2022年度秋学期 統計学 / 関西大学総合情報学部 浅野 晃
標本を使って分散を計算
10
分散=(偏差)2の平均
(データの各数値)ー(データの平均)
34
2022年度秋学期 統計学 / 関西大学総合情報学部 浅野 晃
標本を使って分散を計算
10
標本を使って分散を計算する。
分散=(偏差)2の平均
(データの各数値)ー(データの平均)
34
2022年度秋学期 統計学 / 関西大学総合情報学部 浅野 晃
標本を使って分散を計算
10
標本を使って分散を計算する。
分散=(偏差)2の平均
(データの各数値)ー(データの平均)
データ: 標本 , ...
X1 Xn
34
2022年度秋学期 統計学 / 関西大学総合情報学部 浅野 晃
標本を使って分散を計算
10
標本を使って分散を計算する。
分散=(偏差)2の平均
(データの各数値)ー(データの平均)
データ: 標本 , ...
X1 Xn
データの平均:
34
2022年度秋学期 統計学 / 関西大学総合情報学部 浅野 晃
標本を使って分散を計算
10
標本を使って分散を計算する。
分散=(偏差)2の平均
(データの各数値)ー(データの平均)
データ: 標本 , ...
X1 Xn
データの平均: 本当は母平均だが,
34
2022年度秋学期 統計学 / 関西大学総合情報学部 浅野 晃
標本を使って分散を計算
10
標本を使って分散を計算する。
分散=(偏差)2の平均
(データの各数値)ー(データの平均)
データ: 標本 , ...
X1 Xn
わからないので標本平均 で代用
X̄
データの平均: 本当は母平均だが,
34
2022年度秋学期 統計学 / 関西大学総合情報学部 浅野 晃
標本を使って分散を計算
11
標本を使った分散
S2
=
1
n

(X1 − X̄)2
+ (X2 − X̄)2
+ · · · + (Xn − X̄)2
34
2022年度秋学期 統計学 / 関西大学総合情報学部 浅野 晃
標本を使って分散を計算
11
標本を使った分散
S2
=
1
n

(X1 − X̄)2
+ (X2 − X̄)2
+ · · · + (Xn − X̄)2
34
2022年度秋学期 統計学 / 関西大学総合情報学部 浅野 晃
標本を使って分散を計算
11
標本サイズで割る
標本を使った分散
S2
=
1
n

(X1 − X̄)2
+ (X2 − X̄)2
+ · · · + (Xn − X̄)2
34
2022年度秋学期 統計学 / 関西大学総合情報学部 浅野 晃
標本を使って分散を計算
11
標本サイズで割る
標本を使った分散
S2
=
1
n

(X1 − X̄)2
+ (X2 − X̄)2
+ · · · + (Xn − X̄)2

分散=(偏差)2の平均
だから当然だけど…
34
2022年度秋学期 統計学 / 関西大学総合情報学部 浅野 晃
標本を使って分散を計算
11
標本サイズで割る
標本を使った分散
S2
=
1
n

(X1 − X̄)2
+ (X2 − X̄)2
+ · · · + (Xn − X̄)2

分散=(偏差)2の平均
だから当然だけど… 本当にこれでいいの?
34
2022年度秋学期 統計学 / 関西大学総合情報学部 浅野 晃
標本平均を用いた偏差
12
標本サイズ n=2 とする 標本は X1, X2
34
2022年度秋学期 統計学 / 関西大学総合情報学部 浅野 晃
標本平均を用いた偏差
12
標本サイズ n=2 とする 標本は X1, X2
34
2022年度秋学期 統計学 / 関西大学総合情報学部 浅野 晃
標本平均を用いた偏差
12
標本サイズ n=2 とする 標本は X1, X2
X1
34
2022年度秋学期 統計学 / 関西大学総合情報学部 浅野 晃
標本平均を用いた偏差
12
標本サイズ n=2 とする 標本は X1, X2
X1 X2
34
2022年度秋学期 統計学 / 関西大学総合情報学部 浅野 晃
標本平均を用いた偏差
12
標本サイズ n=2 とする 標本は X1, X2
X1 X2
母平均
34
2022年度秋学期 統計学 / 関西大学総合情報学部 浅野 晃
標本平均を用いた偏差
12
標本サイズ n=2 とする 標本は X1, X2
X1 X2
母平均
34
2022年度秋学期 統計学 / 関西大学総合情報学部 浅野 晃
標本平均を用いた偏差
12
標本サイズ n=2 とする 標本は X1, X2
X1
母平均とのへだたり(偏差)
X2
母平均
34
2022年度秋学期 統計学 / 関西大学総合情報学部 浅野 晃
標本平均を用いた偏差
12
標本サイズ n=2 とする 標本は X1, X2
X
X1
母平均とのへだたり(偏差)
X2
母平均
34
2022年度秋学期 統計学 / 関西大学総合情報学部 浅野 晃
標本平均を用いた偏差
12
標本サイズ n=2 とする 標本は X1, X2
X
X1
母平均とのへだたり(偏差)
X2
母平均
34
2022年度秋学期 統計学 / 関西大学総合情報学部 浅野 晃
標本平均を用いた偏差
12
標本サイズ n=2 とする 標本は X1, X2
X
X1
母平均とのへだたり(偏差)
X2
標本平均とのへだたり
母平均
34
2022年度秋学期 統計学 / 関西大学総合情報学部 浅野 晃
標本平均を用いた偏差
12
標本サイズ n=2 とする 標本は X1, X2
X
X1
母平均とのへだたり(偏差)
X2
標本平均とのへだたり
母平均
34
2022年度秋学期 統計学 / 関西大学総合情報学部 浅野 晃
標本平均を用いた偏差
12
標本サイズ n=2 とする 標本は X1, X2
X
X1
母平均とのへだたり(偏差)
X1
X2
標本平均とのへだたり
母平均
34
2022年度秋学期 統計学 / 関西大学総合情報学部 浅野 晃
標本平均を用いた偏差
12
標本サイズ n=2 とする 標本は X1, X2
X
X1
X2
母平均とのへだたり(偏差)
X1
X2
標本平均とのへだたり
母平均
34
2022年度秋学期 統計学 / 関西大学総合情報学部 浅野 晃
標本平均を用いた偏差
12
標本サイズ n=2 とする 標本は X1, X2
X
X1
X2
母平均とのへだたり(偏差)
X1
X2
標本平均とのへだたり
母平均
34
2022年度秋学期 統計学 / 関西大学総合情報学部 浅野 晃
標本平均を用いた偏差
12
標本サイズ n=2 とする 標本は X1, X2
X
X1
X2
母平均とのへだたり(偏差)
X1
X2
X
標本平均とのへだたり
母平均
34
2022年度秋学期 統計学 / 関西大学総合情報学部 浅野 晃
標本平均を用いた偏差
12
標本サイズ n=2 とする 標本は X1, X2
X
X1
X2
母平均とのへだたり(偏差)
X1
X2
X
標本平均とのへだたり
母平均
34
2022年度秋学期 統計学 / 関西大学総合情報学部 浅野 晃
標本平均を用いた偏差
12
標本サイズ n=2 とする 標本は X1, X2
X
X1
X2
母平均とのへだたり(偏差)
X1
X2
X
標本平均とのへだたり
母平均
34
2022年度秋学期 統計学 / 関西大学総合情報学部 浅野 晃
標本平均を用いた偏差
12
標本サイズ n=2 とする 標本は X1, X2
X
X1
X2
母平均とのへだたり(偏差)
X1
X2
X
標本平均とのへだたり
X1
母平均
34
2022年度秋学期 統計学 / 関西大学総合情報学部 浅野 晃
標本平均を用いた偏差
12
標本サイズ n=2 とする 標本は X1, X2
X
X1
X2
母平均とのへだたり(偏差)
X1
X2
X
標本平均とのへだたり
X2
X1
母平均
34
2022年度秋学期 統計学 / 関西大学総合情報学部 浅野 晃
標本平均を用いた偏差
12
標本サイズ n=2 とする 標本は X1, X2
X
X1
X2
母平均とのへだたり(偏差)
X1
X2
X
標本平均とのへだたり
X2
X1
母平均
34
2022年度秋学期 統計学 / 関西大学総合情報学部 浅野 晃
標本平均を用いた偏差
12
標本サイズ n=2 とする 標本は X1, X2
X
X1
X2
母平均とのへだたり(偏差)
X1
X2
X
標本平均とのへだたり
X2
X1 X
母平均
34
2022年度秋学期 統計学 / 関西大学総合情報学部 浅野 晃
標本平均を用いた偏差
12
標本サイズ n=2 とする 標本は X1, X2
X
X1
X2
母平均とのへだたり(偏差)
X1
X2
X
標本平均とのへだたり
X2
X1 X
母平均
34
2022年度秋学期 統計学 / 関西大学総合情報学部 浅野 晃
標本平均を用いた偏差
12
標本サイズ n=2 とする 標本は X1, X2
X
X1
X2
母平均とのへだたり(偏差)
X1
X2
X
標本平均とのへだたり
X2
X1 X
母平均
母平均はわからないから,X1,X2が
偏った標本かどうかはわからないが,
34
2022年度秋学期 統計学 / 関西大学総合情報学部 浅野 晃
標本平均を用いた偏差
12
標本サイズ n=2 とする 標本は X1, X2
X
X1
X2
母平均とのへだたり(偏差)
X1
X2
X
標本平均とのへだたり
X2
X1 X
標本平均とのへだたりのほう
がたいてい小さい
母平均
母平均はわからないから,X1,X2が
偏った標本かどうかはわからないが,
34
2022年度秋学期 統計学 / 関西大学総合情報学部 浅野 晃
標本平均を用いた偏差
13
別の説明
母集団の度数分布
34
2022年度秋学期 統計学 / 関西大学総合情報学部 浅野 晃
標本平均を用いた偏差
13
別の説明
母集団の度数分布
34
2022年度秋学期 統計学 / 関西大学総合情報学部 浅野 晃
標本平均を用いた偏差
13
別の説明
母集団の度数分布
X
34
2022年度秋学期 統計学 / 関西大学総合情報学部 浅野 晃
標本平均を用いた偏差
13
別の説明
母集団の度数分布
これなら
「標本平均との隔たり」と
「母平均との隔たり」は
かわらない
X
34
2022年度秋学期 統計学 / 関西大学総合情報学部 浅野 晃
標本平均を用いた偏差
13
別の説明
母集団の度数分布
これなら
「標本平均との隔たり」と
「母平均との隔たり」は
かわらない
X
34
2022年度秋学期 統計学 / 関西大学総合情報学部 浅野 晃
標本平均を用いた偏差
13
別の説明
母集団の度数分布
これなら
「標本平均との隔たり」と
「母平均との隔たり」は
かわらない
X
X
34
2022年度秋学期 統計学 / 関西大学総合情報学部 浅野 晃
標本平均を用いた偏差
13
別の説明
母集団の度数分布
これなら
「標本平均との隔たり」と
「母平均との隔たり」は
かわらない
X
こんなふうに偏っていると
「標本平均との隔たり」
のほうが小さい X
34
2022年度秋学期 統計学 / 関西大学総合情報学部 浅野 晃
不偏分散
14
母平均との隔たりよりも
標本平均との隔たりのほうが
たいてい小さい
標本平均との隔たりを使って分散を計算すると,
母分散よりもたいてい小さめになる
34
2022年度秋学期 統計学 / 関西大学総合情報学部 浅野 晃
不偏分散
14
母平均との隔たりよりも
標本平均との隔たりのほうが
たいてい小さい
標本平均との隔たりを使って分散を計算すると,
母分散よりもたいてい小さめになる
では,計算のときに少し大きめにしておけば?
34
2022年度秋学期 統計学 / 関西大学総合情報学部 浅野 晃
不偏分散
15
計算のときに少し大きめにする
34
2022年度秋学期 統計学 / 関西大学総合情報学部 浅野 晃
不偏分散
15
計算のときに少し大きめにする
s2
=
1
n − 1

(X1 − X̄)2
+ (X2 − X̄)2
+ · · · + (Xn − X̄)2
34
2022年度秋学期 統計学 / 関西大学総合情報学部 浅野 晃
不偏分散
15
計算のときに少し大きめにする
s2
=
1
n − 1

(X1 − X̄)2
+ (X2 − X̄)2
+ · · · + (Xn − X̄)2
34
2022年度秋学期 統計学 / 関西大学総合情報学部 浅野 晃
不偏分散
15
計算のときに少し大きめにする
s2
=
1
n − 1

(X1 − X̄)2
+ (X2 − X̄)2
+ · · · + (Xn − X̄)2

(標本サイズ - 1)で割る
34
2022年度秋学期 統計学 / 関西大学総合情報学部 浅野 晃
不偏分散
15
計算のときに少し大きめにする
s2
=
1
n − 1

(X1 − X̄)2
+ (X2 − X̄)2
+ · · · + (Xn − X̄)2

(標本サイズ - 1)で割る
これを不偏分散(不偏標本分散)といい,
母分散の代用に用いる
34
2022年度秋学期 統計学 / 関西大学総合情報学部 浅野 晃
不偏分散
15
計算のときに少し大きめにする
s2
=
1
n − 1

(X1 − X̄)2
+ (X2 − X̄)2
+ · · · + (Xn − X̄)2

(標本サイズ - 1)で割る
これを不偏分散(不偏標本分散)といい,
母分散の代用に用いる
「不偏」とは?
34
2022年度秋学期 統計学 / 関西大学総合情報学部 浅野 晃
「不偏」とは?
16
計算のときに少し大きめにすると?
標本平均との隔たりを使って分散を計算すると,
母分散よりもたいてい小さめになる
34
2022年度秋学期 統計学 / 関西大学総合情報学部 浅野 晃
「不偏」とは?
16
計算のときに少し大きめにすると?
標本平均との隔たりを使って分散を計算すると,
母分散よりもたいてい小さめになる
母分散と一致するわけではないが
母分散より大きくも小さくも平等にはずれる
34
2022年度秋学期 統計学 / 関西大学総合情報学部 浅野 晃
「不偏」とは?
16
計算のときに少し大きめにすると?
標本平均との隔たりを使って分散を計算すると,
母分散よりもたいてい小さめになる
母分散と一致するわけではないが
母分散より大きくも小さくも平等にはずれる
「不偏」とは「えこひいきしない」こと
34
2022年度秋学期 統計学 / 関西大学総合情報学部 浅野 晃
標本サイズ=2のときに,式で書いてみると
17
標本サイズ=2のとき,標本を ,標本平均を とすると
不偏分散 は
X1, X2 X̄
s2
s2
=
1
2 − 1

(X1 − X̄)2
+ (X2 − X̄)2

{}内は,2つの「へだたり」の2乗の和? を代入すると
X̄ =
X1 + X2
2
s2
=
1
2 − 1

(X1 −
X1 + X2
2
)2
+ (X2 −
X1 + X2
2
)2

=
1
2 − 1

X1 − X2
2
2
+

X2 − X1
2
2

=
1
2 − 1

(X1 − X2)2
2

「へだたり」は,ひとつしかない
だから,2で割らずに1で割る
18
不偏分散を用いた区間推定💡💡
34
2022年度秋学期 統計学 / 関西大学総合情報学部 浅野 晃
正規分布の場合の区間推定
19
前回の例題
ある試験の点数の分布は正規分布であるとします。
この試験の受験者から,10人からなる標本を無作為抽出して,
この人たちの点数を平均したところ50点でした。
この試験の受験者全体の標準偏差が5点であるとわかっている
とき,受験者全体の平均点の95%信頼区間を求めてください。
34
2022年度秋学期 統計学 / 関西大学総合情報学部 浅野 晃
正規分布の場合の区間推定
20
例題
標本 , ... をとりだす
サイズ
X1 Xn
n
母集団
(受験者全体)
母平均μ
母平均 の95%信頼区間が知りたい
μ
正規分布
と仮定する
母分散 がわかっているものとする
σ2 (説明の都合です)
標本平均 X̄
34
2022年度秋学期 統計学 / 関西大学総合情報学部 浅野 晃
正規分布の場合の区間推定
21
考え方
標本は,母集団分布と同じ確率分布にしたがう
正規分布N(μ, σ2)
標本平均は,やはり正規分布にしたがうが,
分散が1/nになる
正規分布N(μ, σ2/n)
[性質2]
34
2022年度秋学期 統計学 / 関西大学総合情報学部 浅野 晃
正規分布の場合の区間推定
22
考え方
標本は,母集団分布と同じ確率分布にしたがう
正規分布N(μ, σ2)
標本平均は,やはり正規分布にしたがうが,分散が1/nになる
正規分布N(μ, σ2/n)
[性質2]
正規分布の[性質1]により
X
Z =
X̄ − µ

σ2/n
は標準正規分布にしたがう
N(0, 1)
34
2022年度秋学期 統計学 / 関西大学総合情報学部 浅野 晃
正規分布の場合の区間推定
22
考え方
標本は,母集団分布と同じ確率分布にしたがう
正規分布N(μ, σ2)
標本平均は,やはり正規分布にしたがうが,分散が1/nになる
正規分布N(μ, σ2/n)
[性質2]
正規分布の[性質1]により
X
Z =
X̄ − µ

σ2/n
は標準正規分布にしたがう
N(0, 1)
34
2022年度秋学期 統計学 / 関西大学総合情報学部 浅野 晃
正規分布の場合の区間推定
22
考え方
標本は,母集団分布と同じ確率分布にしたがう
正規分布N(μ, σ2)
標本平均は,やはり正規分布にしたがうが,分散が1/nになる
正規分布N(μ, σ2/n)
[性質2]
正規分布の[性質1]により
X
Z =
X̄ − µ

σ2/n
は標準正規分布にしたがう
N(0, 1)
34
2022年度秋学期 統計学 / 関西大学総合情報学部 浅野 晃
正規分布の場合の区間推定
22
考え方
標本は,母集団分布と同じ確率分布にしたがう
正規分布N(μ, σ2)
標本平均は,やはり正規分布にしたがうが,分散が1/nになる
正規分布N(μ, σ2/n)
[性質2]
正規分布の[性質1]により
X
Z =
X̄ − µ

σ2/n
は標準正規分布にしたがう
N(0, 1)
34
2022年度秋学期 統計学 / 関西大学総合情報学部 浅野 晃
本当は,母分散はわからない
23
Z =
X̄ − µ

σ2/n
は標準正規分布にしたがう
N(0, 1)
34
2022年度秋学期 統計学 / 関西大学総合情報学部 浅野 晃
本当は,母分散はわからない
23
Z =
X̄ − µ

σ2/n
は標準正規分布にしたがう
N(0, 1)
34
2022年度秋学期 統計学 / 関西大学総合情報学部 浅野 晃
本当は,母分散はわからない
23
Z =
X̄ − µ

σ2/n
は標準正規分布にしたがう
N(0, 1)
本当は母分散はわからない
34
2022年度秋学期 統計学 / 関西大学総合情報学部 浅野 晃
本当は,母分散はわからない
23
Z =
X̄ − µ

σ2/n
は標準正規分布にしたがう
N(0, 1)
本当は母分散はわからない
不偏分散で代用する
34
2022年度秋学期 統計学 / 関西大学総合情報学部 浅野 晃
本当は,母分散はわからない
23
Z =
X̄ − µ

σ2/n
は標準正規分布にしたがう
N(0, 1)
本当は母分散はわからない
不偏分散で代用する
t =
X̄ − µ

s2/n
34
2022年度秋学期 統計学 / 関西大学総合情報学部 浅野 晃
本当は,母分散はわからない
23
Z =
X̄ − µ

σ2/n
は標準正規分布にしたがう
N(0, 1)
本当は母分散はわからない
不偏分散で代用する
t =
X̄ − µ

s2/n
34
2022年度秋学期 統計学 / 関西大学総合情報学部 浅野 晃
本当は,母分散はわからない
23
Z =
X̄ − µ

σ2/n
は標準正規分布にしたがう
N(0, 1)
本当は母分散はわからない
不偏分散で代用する
t =
X̄ − µ

s2/n
不偏分散
34
2022年度秋学期 統計学 / 関西大学総合情報学部 浅野 晃
本当は,母分散はわからない
23
Z =
X̄ − µ

σ2/n
は標準正規分布にしたがう
N(0, 1)
本当は母分散はわからない
不偏分散で代用する
t =
X̄ − µ

s2/n
不偏分散 t は何分布にしたがう?
34
2022年度秋学期 統計学 / 関西大学総合情報学部 浅野 晃
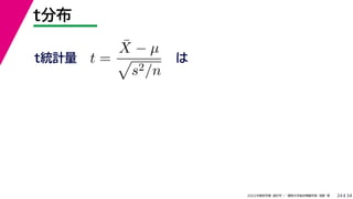
t分布
24
は
t =
X̄ − µ

s2/n
t統計量
34
2022年度秋学期 統計学 / 関西大学総合情報学部 浅野 晃
t分布
24
は
t =
X̄ − µ

s2/n
自由度(n–1)のt分布にしたがう
t統計量
34
2022年度秋学期 統計学 / 関西大学総合情報学部 浅野 晃
t分布
24
は
t(n–1)
t =
X̄ − µ

s2/n
自由度(n–1)のt分布にしたがう
t統計量
34
2022年度秋学期 統計学 / 関西大学総合情報学部 浅野 晃
t分布
24
は
t(n–1)
t =
X̄ − µ

s2/n
自由度(n–1)のt分布にしたがう
t統計量
(「スチューデントのt分布」という)
34
2022年度秋学期 統計学 / 関西大学総合情報学部 浅野 晃
t分布
24
は
t(n–1)
t =
X̄ − µ

s2/n
自由度(n–1)のt分布にしたがう
t統計量
(「スチューデントのt分布」という)
34
2022年度秋学期 統計学 / 関西大学総合情報学部 浅野 晃
t分布
24
は
t(n–1)
t =
X̄ − µ

s2/n
自由度(n–1)のt分布にしたがう
t統計量
(「スチューデントのt分布」という)
発見者ウィリアム・ゴセットのペンネーム
※ゴセットはギネスビールのエンジニアで,会社との契約のために論文を発表
できなかったので, ペンネームで論文を発表した。
34
2022年度秋学期 統計学 / 関西大学総合情報学部 浅野 晃
正規分布(母分散不明)の場合の区間推定
25
テキストの例題
ある試験の点数の分布は正規分布であるとします。
この試験の受験者から,10人からなる標本を無作為抽出して,
この人たちの点数を平均したところ50点でした。
この10人の不偏分散が52点であるとき,受験者全体の平均点
の95%信頼区間を求めてください。
34
2022年度秋学期 統計学 / 関西大学総合情報学部 浅野 晃
正規分布(母分散不明)の場合の区間推定
25
テキストの例題
ある試験の点数の分布は正規分布であるとします。
この試験の受験者から,10人からなる標本を無作為抽出して,
この人たちの点数を平均したところ50点でした。
この10人の不偏分散が52点であるとき,受験者全体の平均点
の95%信頼区間を求めてください。
34
2022年度秋学期 統計学 / 関西大学総合情報学部 浅野 晃
正規分布(母分散不明)の場合の区間推定
25
テキストの例題
ある試験の点数の分布は正規分布であるとします。
この試験の受験者から,10人からなる標本を無作為抽出して,
この人たちの点数を平均したところ50点でした。
この10人の不偏分散が52点であるとき,受験者全体の平均点
の95%信頼区間を求めてください。
前回は
「受験者全体の標準偏差が5点であるとわかっている」
34
2022年度秋学期 統計学 / 関西大学総合情報学部 浅野 晃
正規分布の場合の区間推定
26
例題
標本 , ... をとりだす
サイズ
X1 Xn
n
母集団
(受験者全体)
母平均μ
母平均 の95%信頼区間が知りたい
μ
正規分布
と仮定する
母分散 がわか
σ2
標本平均 X̄
34
2022年度秋学期 統計学 / 関西大学総合情報学部 浅野 晃
正規分布の場合の区間推定
26
例題
標本 , ... をとりだす
サイズ
X1 Xn
n
母集団
(受験者全体)
母平均μ
母平均 の95%信頼区間が知りたい
μ
正規分布
と仮定する
母分散 がわか
σ2
標本平均 X̄
らないので,
34
2022年度秋学期 統計学 / 関西大学総合情報学部 浅野 晃
正規分布の場合の区間推定
26
例題
標本 , ... をとりだす
サイズ
X1 Xn
n
母集団
(受験者全体)
母平均μ
母平均 の95%信頼区間が知りたい
μ
正規分布
と仮定する
母分散 がわか
σ2
標本平均 X̄
らないので, 不偏分散 で代用
s2
34
2022年度秋学期 統計学 / 関西大学総合情報学部 浅野 晃
t
0
t分布を用いた区間推定
27
は自由度(n–1)のt分布にしたがう
t(n–1)の
確率密度関数
t =
X̄ − µ

s2/n
t(n–1)
34
2022年度秋学期 統計学 / 関西大学総合情報学部 浅野 晃
t
0
t分布を用いた区間推定
27
は自由度(n–1)のt分布にしたがう
t(n–1)の
確率密度関数
t =
X̄ − µ

s2/n
t(n–1)
34
2022年度秋学期 統計学 / 関西大学総合情報学部 浅野 晃
t
0
t分布を用いた区間推定
27
この区間に入っている確率=95%とすると
は自由度(n–1)のt分布にしたがう
t(n–1)の
確率密度関数
が
t =
X̄ − µ

s2/n
t =
X̄ − µ

s2/n
t(n–1)
34
2022年度秋学期 統計学 / 関西大学総合情報学部 浅野 晃
t
0
t分布を用いた区間推定
27
この区間に入っている確率=95%とすると
は自由度(n–1)のt分布にしたがう
t(n–1)の
確率密度関数
が
面積=95%
t =
X̄ − µ

s2/n
t =
X̄ − µ

s2/n
t(n–1)
34
2022年度秋学期 統計学 / 関西大学総合情報学部 浅野 晃
t
0
t分布を用いた区間推定
27
この区間に入っている確率=95%とすると
は自由度(n–1)のt分布にしたがう
t(n–1)の
確率密度関数
が
面積=95%
境界の値はいくら?
t =
X̄ − µ

s2/n
t =
X̄ − µ

s2/n
t(n–1)
34
2022年度秋学期 統計学 / 関西大学総合情報学部 浅野 晃
t
0
t
0
t分布を用いた区間推定
28
面積=95%
面積=2.5%
(左右で5%)
34
2022年度秋学期 統計学 / 関西大学総合情報学部 浅野 晃
t
0
t
0
t分布を用いた区間推定
28
面積=95%
面積=2.5%
(左右で5%)
境界の値は自由度によってちがうので
34
2022年度秋学期 統計学 / 関西大学総合情報学部 浅野 晃
t
0
t
0
t分布を用いた区間推定
28
面積=95%
面積=2.5%
(左右で5%)
境界の値は自由度によってちがうので
t0.025(n–1) としておく
34
2022年度秋学期 統計学 / 関西大学総合情報学部 浅野 晃
t
0
t
0
t分布を用いた区間推定
28
面積=95%
面積=2.5%
(左右で5%)
境界の値は自由度によってちがうので
t0.025(n–1) としておく [上側2.5%点]
34
2022年度秋学期 統計学 / 関西大学総合情報学部 浅野 晃
t
0
t分布を用いた区間推定
29
この区間に入っている確率=95%
が
面積=95%
t =
X̄ − µ

s2/n
t(n–1)
34
2022年度秋学期 統計学 / 関西大学総合情報学部 浅野 晃
t
0
t分布を用いた区間推定
29
この区間に入っている確率=95%
が
面積=95%
t =
X̄ − µ

s2/n
t(n–1)
34
2022年度秋学期 統計学 / 関西大学総合情報学部 浅野 晃
t
0
t分布を用いた区間推定
29
この区間に入っている確率=95%
が
面積=95%
t =
X̄ − µ

s2/n
t0.025(n–1)
t(n–1)
34
2022年度秋学期 統計学 / 関西大学総合情報学部 浅野 晃
t
0
t分布を用いた区間推定
29
この区間に入っている確率=95%
が
面積=95%
t =
X̄ − µ

s2/n
t0.025(n–1)
–t0.025(n–1)
t(n–1)
34
2022年度秋学期 統計学 / 関西大学総合情報学部 浅野 晃
t分布を用いた区間推定
30
が –t0.025(n–1) と t0.025(n–1)
の間に入っている確率が95%
t =
X̄ − µ

s2/n
34
2022年度秋学期 統計学 / 関西大学総合情報学部 浅野 晃
t分布を用いた区間推定
30
式で書くと
が –t0.025(n–1) と t0.025(n–1)
の間に入っている確率が95%
t =
X̄ − µ

s2/n
34
2022年度秋学期 統計学 / 関西大学総合情報学部 浅野 晃
t分布を用いた区間推定
30
式で書くと
が –t0.025(n–1) と t0.025(n–1)
の間に入っている確率が95%
t =
X̄ − µ

s2/n
P

−t0.025(n − 1) 
X̄ − µ

s2/n
 t0.025(n − 1)

= 0.95
34
2022年度秋学期 統計学 / 関西大学総合情報学部 浅野 晃
t分布を用いた区間推定
30
式で書くと
が –t0.025(n–1) と t0.025(n–1)
の間に入っている確率が95%
μの式に直すと
t =
X̄ − µ

s2/n
P

−t0.025(n − 1) 
X̄ − µ

s2/n
 t0.025(n − 1)

= 0.95
34
2022年度秋学期 統計学 / 関西大学総合情報学部 浅野 晃
t分布を用いた区間推定
30
式で書くと
が –t0.025(n–1) と t0.025(n–1)
の間に入っている確率が95%
μの式に直すと
t =
X̄ − µ

s2/n
P

−t0.025(n − 1) 
X̄ − µ

s2/n
 t0.025(n − 1)

= 0.95
P

X̄ − t0.025(n − 1)

s2
n
 µ  X̄ + t0.025(n − 1)

s2
n

= 0.95
34
2022年度秋学期 統計学 / 関西大学総合情報学部 浅野 晃
t分布を用いた区間推定
31
P

X̄ − t0.025(n − 1)

s2
n
 µ  X̄ + t0.025(n − 1)

s2
n

= 0.95
34
2022年度秋学期 統計学 / 関西大学総合情報学部 浅野 晃
t分布を用いた区間推定
31
μの95%
信頼区間の下限
P

X̄ − t0.025(n − 1)

s2
n
 µ  X̄ + t0.025(n − 1)

s2
n

= 0.95
34
2022年度秋学期 統計学 / 関西大学総合情報学部 浅野 晃
t分布を用いた区間推定
31
μの95%
信頼区間の下限
μの95%
信頼区間の上限
P

X̄ − t0.025(n − 1)

s2
n
 µ  X̄ + t0.025(n − 1)

s2
n

= 0.95
34
2022年度秋学期 統計学 / 関西大学総合情報学部 浅野 晃
t分布を用いた区間推定
31
μの95%
信頼区間の下限
μの95%
信頼区間の上限
例題では
P

X̄ − t0.025(n − 1)

s2
n
 µ  X̄ + t0.025(n − 1)

s2
n

= 0.95
34
2022年度秋学期 統計学 / 関西大学総合情報学部 浅野 晃
t分布を用いた区間推定
31
μの95%
信頼区間の下限
μの95%
信頼区間の上限
例題では
標本平均=50
P

X̄ − t0.025(n − 1)

s2
n
 µ  X̄ + t0.025(n − 1)

s2
n

= 0.95
34
2022年度秋学期 統計学 / 関西大学総合情報学部 浅野 晃
t分布を用いた区間推定
31
μの95%
信頼区間の下限
μの95%
信頼区間の上限
例題では
標本平均=50
不偏分散=25
P

X̄ − t0.025(n − 1)

s2
n
 µ  X̄ + t0.025(n − 1)

s2
n

= 0.95
34
2022年度秋学期 統計学 / 関西大学総合情報学部 浅野 晃
t分布を用いた区間推定
31
μの95%
信頼区間の下限
μの95%
信頼区間の上限
例題では
標本平均=50
不偏分散=25 標本サイズ=10
P

X̄ − t0.025(n − 1)

s2
n
 µ  X̄ + t0.025(n − 1)

s2
n

= 0.95
34
2022年度秋学期 統計学 / 関西大学総合情報学部 浅野 晃
t分布を用いた区間推定
31
μの95%
信頼区間の下限
μの95%
信頼区間の上限
例題では
標本平均=50
不偏分散=25 標本サイズ=10
上側2.5%点 t0.025(n–1) は?
P

X̄ − t0.025(n − 1)

s2
n
 µ  X̄ + t0.025(n − 1)

s2
n

= 0.95
34
2022年度秋学期 統計学 / 関西大学総合情報学部 浅野 晃
t
0
t分布表
32
面積=2.5%
t0.025(n–1)
34
2022年度秋学期 統計学 / 関西大学総合情報学部 浅野 晃
t
0
t分布表
32
面積=2.5%
t0.025(n–1)
0.40 0.30 0.25 0.20 0.15 0.10 0.05 0.025 0.01 0.005
1 0.3249 0.7265 1.0000 1.3764 1.9626 3.0777 6.3138 12.7062 31.8205 63.6567
2 0.2887 0.6172 0.8165 1.0607 1.3862 1.8856 2.9200 4.3027 6.9646 9.9248
3 0.2767 0.5844 0.7649 0.9785 1.2498 1.6377 2.3534 3.1824 4.5407 5.8409
4 0.2707 0.5686 0.7407 0.9410 1.1896 1.5332 2.1318 2.7764 3.7469 4.6041
5 0.2672 0.5594 0.7267 0.9195 1.1558 1.4759 2.0150 2.5706 3.3649 4.0321
6 0.2648 0.5534 0.7176 0.9057 1.1342 1.4398 1.9432 2.4469 3.1427 3.7074
7 0.2632 0.5491 0.7111 0.8960 1.1192 1.4149 1.8946 2.3646 2.9980 3.4995
8 0.2619 0.5459 0.7064 0.8889 1.1081 1.3968 1.8595 2.3060 2.8965 3.3554
9 0.2610 0.5435 0.7027 0.8834 1.0997 1.3830 1.8331 2.2622 2.8214 3.2498
34
2022年度秋学期 統計学 / 関西大学総合情報学部 浅野 晃
t
0
t分布表
32
面積=2.5%
t0.025(n–1)
0.40 0.30 0.25 0.20 0.15 0.10 0.05 0.025 0.01 0.005
1 0.3249 0.7265 1.0000 1.3764 1.9626 3.0777 6.3138 12.7062 31.8205 63.6567
2 0.2887 0.6172 0.8165 1.0607 1.3862 1.8856 2.9200 4.3027 6.9646 9.9248
3 0.2767 0.5844 0.7649 0.9785 1.2498 1.6377 2.3534 3.1824 4.5407 5.8409
4 0.2707 0.5686 0.7407 0.9410 1.1896 1.5332 2.1318 2.7764 3.7469 4.6041
5 0.2672 0.5594 0.7267 0.9195 1.1558 1.4759 2.0150 2.5706 3.3649 4.0321
6 0.2648 0.5534 0.7176 0.9057 1.1342 1.4398 1.9432 2.4469 3.1427 3.7074
7 0.2632 0.5491 0.7111 0.8960 1.1192 1.4149 1.8946 2.3646 2.9980 3.4995
8 0.2619 0.5459 0.7064 0.8889 1.1081 1.3968 1.8595 2.3060 2.8965 3.3554
9 0.2610 0.5435 0.7027 0.8834 1.0997 1.3830 1.8331 2.2622 2.8214 3.2498
自由度
34
2022年度秋学期 統計学 / 関西大学総合情報学部 浅野 晃
t
0
t分布表
32
面積=2.5%
パーセントの値
t0.025(n–1)
0.40 0.30 0.25 0.20 0.15 0.10 0.05 0.025 0.01 0.005
1 0.3249 0.7265 1.0000 1.3764 1.9626 3.0777 6.3138 12.7062 31.8205 63.6567
2 0.2887 0.6172 0.8165 1.0607 1.3862 1.8856 2.9200 4.3027 6.9646 9.9248
3 0.2767 0.5844 0.7649 0.9785 1.2498 1.6377 2.3534 3.1824 4.5407 5.8409
4 0.2707 0.5686 0.7407 0.9410 1.1896 1.5332 2.1318 2.7764 3.7469 4.6041
5 0.2672 0.5594 0.7267 0.9195 1.1558 1.4759 2.0150 2.5706 3.3649 4.0321
6 0.2648 0.5534 0.7176 0.9057 1.1342 1.4398 1.9432 2.4469 3.1427 3.7074
7 0.2632 0.5491 0.7111 0.8960 1.1192 1.4149 1.8946 2.3646 2.9980 3.4995
8 0.2619 0.5459 0.7064 0.8889 1.1081 1.3968 1.8595 2.3060 2.8965 3.3554
9 0.2610 0.5435 0.7027 0.8834 1.0997 1.3830 1.8331 2.2622 2.8214 3.2498
自由度
34
2022年度秋学期 統計学 / 関西大学総合情報学部 浅野 晃
t
0
t分布表
32
面積=2.5%
パーセントの値
例題では n–1 = 9
t0.025(n–1)
0.40 0.30 0.25 0.20 0.15 0.10 0.05 0.025 0.01 0.005
1 0.3249 0.7265 1.0000 1.3764 1.9626 3.0777 6.3138 12.7062 31.8205 63.6567
2 0.2887 0.6172 0.8165 1.0607 1.3862 1.8856 2.9200 4.3027 6.9646 9.9248
3 0.2767 0.5844 0.7649 0.9785 1.2498 1.6377 2.3534 3.1824 4.5407 5.8409
4 0.2707 0.5686 0.7407 0.9410 1.1896 1.5332 2.1318 2.7764 3.7469 4.6041
5 0.2672 0.5594 0.7267 0.9195 1.1558 1.4759 2.0150 2.5706 3.3649 4.0321
6 0.2648 0.5534 0.7176 0.9057 1.1342 1.4398 1.9432 2.4469 3.1427 3.7074
7 0.2632 0.5491 0.7111 0.8960 1.1192 1.4149 1.8946 2.3646 2.9980 3.4995
8 0.2619 0.5459 0.7064 0.8889 1.1081 1.3968 1.8595 2.3060 2.8965 3.3554
9 0.2610 0.5435 0.7027 0.8834 1.0997 1.3830 1.8331 2.2622 2.8214 3.2498
自由度
34
2022年度秋学期 統計学 / 関西大学総合情報学部 浅野 晃
t
0
t分布表
32
面積=2.5%
パーセントの値
例題では n–1 = 9
0.025
t0.025(n–1)
0.40 0.30 0.25 0.20 0.15 0.10 0.05 0.025 0.01 0.005
1 0.3249 0.7265 1.0000 1.3764 1.9626 3.0777 6.3138 12.7062 31.8205 63.6567
2 0.2887 0.6172 0.8165 1.0607 1.3862 1.8856 2.9200 4.3027 6.9646 9.9248
3 0.2767 0.5844 0.7649 0.9785 1.2498 1.6377 2.3534 3.1824 4.5407 5.8409
4 0.2707 0.5686 0.7407 0.9410 1.1896 1.5332 2.1318 2.7764 3.7469 4.6041
5 0.2672 0.5594 0.7267 0.9195 1.1558 1.4759 2.0150 2.5706 3.3649 4.0321
6 0.2648 0.5534 0.7176 0.9057 1.1342 1.4398 1.9432 2.4469 3.1427 3.7074
7 0.2632 0.5491 0.7111 0.8960 1.1192 1.4149 1.8946 2.3646 2.9980 3.4995
8 0.2619 0.5459 0.7064 0.8889 1.1081 1.3968 1.8595 2.3060 2.8965 3.3554
9 0.2610 0.5435 0.7027 0.8834 1.0997 1.3830 1.8331 2.2622 2.8214 3.2498
自由度
34
2022年度秋学期 統計学 / 関西大学総合情報学部 浅野 晃
t
0
t分布表
32
面積=2.5%
パーセントの値
例題では n–1 = 9
0.025
t0.025(9)=2.262
t0.025(n–1)
0.40 0.30 0.25 0.20 0.15 0.10 0.05 0.025 0.01 0.005
1 0.3249 0.7265 1.0000 1.3764 1.9626 3.0777 6.3138 12.7062 31.8205 63.6567
2 0.2887 0.6172 0.8165 1.0607 1.3862 1.8856 2.9200 4.3027 6.9646 9.9248
3 0.2767 0.5844 0.7649 0.9785 1.2498 1.6377 2.3534 3.1824 4.5407 5.8409
4 0.2707 0.5686 0.7407 0.9410 1.1896 1.5332 2.1318 2.7764 3.7469 4.6041
5 0.2672 0.5594 0.7267 0.9195 1.1558 1.4759 2.0150 2.5706 3.3649 4.0321
6 0.2648 0.5534 0.7176 0.9057 1.1342 1.4398 1.9432 2.4469 3.1427 3.7074
7 0.2632 0.5491 0.7111 0.8960 1.1192 1.4149 1.8946 2.3646 2.9980 3.4995
8 0.2619 0.5459 0.7064 0.8889 1.1081 1.3968 1.8595 2.3060 2.8965 3.3554
9 0.2610 0.5435 0.7027 0.8834 1.0997 1.3830 1.8331 2.2622 2.8214 3.2498
自由度
34
2022年度秋学期 統計学 / 関西大学総合情報学部 浅野 晃
t分布を用いた区間推定
33
P

X̄ − t0.025(n − 1)

s2
n
 µ  X̄ + t0.025(n − 1)

s2
n

= 0.95
34
2022年度秋学期 統計学 / 関西大学総合情報学部 浅野 晃
t分布を用いた区間推定
33
例題では
P

X̄ − t0.025(n − 1)

s2
n
 µ  X̄ + t0.025(n − 1)

s2
n

= 0.95
34
2022年度秋学期 統計学 / 関西大学総合情報学部 浅野 晃
t分布を用いた区間推定
33
例題では
標本平均=50
P

X̄ − t0.025(n − 1)

s2
n
 µ  X̄ + t0.025(n − 1)

s2
n

= 0.95
34
2022年度秋学期 統計学 / 関西大学総合情報学部 浅野 晃
t分布を用いた区間推定
33
例題では
標本平均=50
不偏分散=25
P

X̄ − t0.025(n − 1)

s2
n
 µ  X̄ + t0.025(n − 1)

s2
n

= 0.95
34
2022年度秋学期 統計学 / 関西大学総合情報学部 浅野 晃
t分布を用いた区間推定
33
例題では
標本平均=50
不偏分散=25 標本サイズ=10
P

X̄ − t0.025(n − 1)

s2
n
 µ  X̄ + t0.025(n − 1)

s2
n

= 0.95
34
2022年度秋学期 統計学 / 関西大学総合情報学部 浅野 晃
t分布を用いた区間推定
33
例題では
標本平均=50
不偏分散=25 標本サイズ=10
P

X̄ − t0.025(n − 1)

s2
n
 µ  X̄ + t0.025(n − 1)

s2
n

= 0.95
34
2022年度秋学期 統計学 / 関西大学総合情報学部 浅野 晃
t分布を用いた区間推定
33
例題では
標本平均=50
不偏分散=25 標本サイズ=10
P

X̄ − t0.025(n − 1)

s2
n
 µ  X̄ + t0.025(n − 1)

s2
n

= 0.95
t0.025(10–1)=2.262
34
2022年度秋学期 統計学 / 関西大学総合情報学部 浅野 晃
t分布を用いた区間推定
33
例題では
標本平均=50
不偏分散=25 標本サイズ=10
P

X̄ − t0.025(n − 1)

s2
n
 µ  X̄ + t0.025(n − 1)

s2
n

= 0.95
t0.025(10–1)=2.262
計算すると,例題の答は
「46.4以上53.6以下」( [46.4, 53.6] )
μの95%
信頼区間の下限
μの95%
信頼区間の上限
34
2022年度秋学期 統計学 / 関西大学総合情報学部 浅野 晃
前回の例題と比較
34
不偏分散は,母分散の推定量なので,不確か
どちらも 標本平均=50
不偏分散=25 のとき
標本サイズ=10
母分散=25 のとき
母平均の95%信頼区間は
[46.9, 53.1]
[46.4, 53.6]
→信頼区間が広い

2022年度秋学期 統計学 第13回 不確かな測定の不確かさを測る - 不偏分散とt分布 (2022. 12. 20)

  • 1.
  • 2.
  • 3.
    34 2022年度秋学期 統計学 /関西大学総合情報学部 浅野 晃 正規分布の場合の区間推定 3 例題 標本X1, ... Xnをとりだす サイズn 母集団 (受験者全体) 母平均μ 母平均μの95%信頼区間が知りたい 正規分布 と仮定する 標本平均 X
  • 4.
    34 2022年度秋学期 統計学 /関西大学総合情報学部 浅野 晃 正規分布の場合の区間推定 3 例題 標本X1, ... Xnをとりだす サイズn 母集団 (受験者全体) 母平均μ 母平均μの95%信頼区間が知りたい 正規分布 と仮定する 母分散σ2がわかっているものとする 標本平均 X
  • 5.
    34 2022年度秋学期 統計学 /関西大学総合情報学部 浅野 晃 正規分布の場合の区間推定 3 例題 標本X1, ... Xnをとりだす サイズn 母集団 (受験者全体) 母平均μ 母平均μの95%信頼区間が知りたい 正規分布 と仮定する 母分散σ2がわかっているものとする (説明の都合です) 標本平均 X
  • 6.
    34 2022年度秋学期 統計学 /関西大学総合情報学部 浅野 晃 区間推定の考え方 4 数値をいくつか抽出して標本平均 標本平均にすることで ばらつきが小さくなる 仮に,何度も抽出したとすると 母平均(実際にはわからない) のまわりにばらついている 標本平均の期待値 =母平均 標本平均の分散 =母分散÷標本サイズ X X X X ★ ★ ★ ★
  • 7.
    34 2022年度秋学期 統計学 /関西大学総合情報学部 浅野 晃 区間推定の考え方 5 標本平均の左右に区間をつける 区間は母平均を 母平均 どの回の区間が 母平均を含むか・含まないかは わからないが 確率95%で母平均を含むように 区間の幅を設定できる X X X X 含む 含む 含まない 含む (実際にはわからない) 標本平均はばらついているが,前後に区間をつければ,母平均はたいてい その区間に入っているようにできる
  • 8.
    34 2022年度秋学期 統計学 /関西大学総合情報学部 浅野 晃 信頼区間 6 区間は母平均を 母平均 X X X X 含むだろう 含む 含ま ない 含む (実際にはわからない) 95%という大きな確率で 母平均を含むように設定した区間だから, その1回でも含むと信じる 母平均の [信頼係数]95%の [信頼区間] という ([95%信頼区間])
  • 9.
  • 10.
    34 2022年度秋学期 統計学 /関西大学総合情報学部 浅野 晃 正規分布の場合の区間推定 8 例題 標本 , ... をとりだす サイズ X1 Xn n 母集団 (受験者全体) 母平均μ 母平均 の95%信頼区間が知りたい μ 正規分布 と仮定する 標本平均 X̄
  • 11.
    34 2022年度秋学期 統計学 /関西大学総合情報学部 浅野 晃 正規分布の場合の区間推定 8 例題 標本 , ... をとりだす サイズ X1 Xn n 母集団 (受験者全体) 母平均μ 母平均 の95%信頼区間が知りたい μ 正規分布 と仮定する 母分散 がわかっているものとする σ2 標本平均 X̄
  • 12.
    34 2022年度秋学期 統計学 /関西大学総合情報学部 浅野 晃 正規分布の場合の区間推定 8 例題 標本 , ... をとりだす サイズ X1 Xn n 母集団 (受験者全体) 母平均μ 母平均 の95%信頼区間が知りたい μ 正規分布 と仮定する 母分散 がわかっているものとする σ2 (説明の都合です) 標本平均 X̄
  • 13.
    34 2022年度秋学期 統計学 /関西大学総合情報学部 浅野 晃 母分散は,ふつうはわからない 9 母集団全体は調べていないし,母平均もわからない (わからないから,いま推定しようとしている)
  • 14.
    34 2022年度秋学期 統計学 /関西大学総合情報学部 浅野 晃 母分散は,ふつうはわからない 9 それなのに,母分散がわかるはずがない 母集団全体は調べていないし,母平均もわからない (わからないから,いま推定しようとしている)
  • 15.
    34 2022年度秋学期 統計学 /関西大学総合情報学部 浅野 晃 母分散は,ふつうはわからない 9 それなのに,母分散がわかるはずがない 母集団全体は調べていないし,母平均もわからない (わからないから,いま推定しようとしている) 母分散の「代用品」を,標本を使って計算できないか。
  • 16.
    34 2022年度秋学期 統計学 /関西大学総合情報学部 浅野 晃 標本を使って分散を計算 10 分散=(偏差)2の平均
  • 17.
    34 2022年度秋学期 統計学 /関西大学総合情報学部 浅野 晃 標本を使って分散を計算 10 分散=(偏差)2の平均
  • 18.
    34 2022年度秋学期 統計学 /関西大学総合情報学部 浅野 晃 標本を使って分散を計算 10 分散=(偏差)2の平均 (データの各数値)ー(データの平均)
  • 19.
    34 2022年度秋学期 統計学 /関西大学総合情報学部 浅野 晃 標本を使って分散を計算 10 標本を使って分散を計算する。 分散=(偏差)2の平均 (データの各数値)ー(データの平均)
  • 20.
    34 2022年度秋学期 統計学 /関西大学総合情報学部 浅野 晃 標本を使って分散を計算 10 標本を使って分散を計算する。 分散=(偏差)2の平均 (データの各数値)ー(データの平均) データ: 標本 , ... X1 Xn
  • 21.
    34 2022年度秋学期 統計学 /関西大学総合情報学部 浅野 晃 標本を使って分散を計算 10 標本を使って分散を計算する。 分散=(偏差)2の平均 (データの各数値)ー(データの平均) データ: 標本 , ... X1 Xn データの平均:
  • 22.
    34 2022年度秋学期 統計学 /関西大学総合情報学部 浅野 晃 標本を使って分散を計算 10 標本を使って分散を計算する。 分散=(偏差)2の平均 (データの各数値)ー(データの平均) データ: 標本 , ... X1 Xn データの平均: 本当は母平均だが,
  • 23.
    34 2022年度秋学期 統計学 /関西大学総合情報学部 浅野 晃 標本を使って分散を計算 10 標本を使って分散を計算する。 分散=(偏差)2の平均 (データの各数値)ー(データの平均) データ: 標本 , ... X1 Xn わからないので標本平均 で代用 X̄ データの平均: 本当は母平均だが,
  • 24.
    34 2022年度秋学期 統計学 /関西大学総合情報学部 浅野 晃 標本を使って分散を計算 11 標本を使った分散 S2 = 1 n (X1 − X̄)2 + (X2 − X̄)2 + · · · + (Xn − X̄)2
  • 25.
    34 2022年度秋学期 統計学 /関西大学総合情報学部 浅野 晃 標本を使って分散を計算 11 標本を使った分散 S2 = 1 n (X1 − X̄)2 + (X2 − X̄)2 + · · · + (Xn − X̄)2
  • 26.
    34 2022年度秋学期 統計学 /関西大学総合情報学部 浅野 晃 標本を使って分散を計算 11 標本サイズで割る 標本を使った分散 S2 = 1 n (X1 − X̄)2 + (X2 − X̄)2 + · · · + (Xn − X̄)2
  • 27.
    34 2022年度秋学期 統計学 /関西大学総合情報学部 浅野 晃 標本を使って分散を計算 11 標本サイズで割る 標本を使った分散 S2 = 1 n (X1 − X̄)2 + (X2 − X̄)2 + · · · + (Xn − X̄)2 分散=(偏差)2の平均 だから当然だけど…
  • 28.
    34 2022年度秋学期 統計学 /関西大学総合情報学部 浅野 晃 標本を使って分散を計算 11 標本サイズで割る 標本を使った分散 S2 = 1 n (X1 − X̄)2 + (X2 − X̄)2 + · · · + (Xn − X̄)2 分散=(偏差)2の平均 だから当然だけど… 本当にこれでいいの?
  • 29.
    34 2022年度秋学期 統計学 /関西大学総合情報学部 浅野 晃 標本平均を用いた偏差 12 標本サイズ n=2 とする 標本は X1, X2
  • 30.
    34 2022年度秋学期 統計学 /関西大学総合情報学部 浅野 晃 標本平均を用いた偏差 12 標本サイズ n=2 とする 標本は X1, X2
  • 31.
    34 2022年度秋学期 統計学 /関西大学総合情報学部 浅野 晃 標本平均を用いた偏差 12 標本サイズ n=2 とする 標本は X1, X2 X1
  • 32.
    34 2022年度秋学期 統計学 /関西大学総合情報学部 浅野 晃 標本平均を用いた偏差 12 標本サイズ n=2 とする 標本は X1, X2 X1 X2
  • 33.
    34 2022年度秋学期 統計学 /関西大学総合情報学部 浅野 晃 標本平均を用いた偏差 12 標本サイズ n=2 とする 標本は X1, X2 X1 X2 母平均
  • 34.
    34 2022年度秋学期 統計学 /関西大学総合情報学部 浅野 晃 標本平均を用いた偏差 12 標本サイズ n=2 とする 標本は X1, X2 X1 X2 母平均
  • 35.
    34 2022年度秋学期 統計学 /関西大学総合情報学部 浅野 晃 標本平均を用いた偏差 12 標本サイズ n=2 とする 標本は X1, X2 X1 母平均とのへだたり(偏差) X2 母平均
  • 36.
    34 2022年度秋学期 統計学 /関西大学総合情報学部 浅野 晃 標本平均を用いた偏差 12 標本サイズ n=2 とする 標本は X1, X2 X X1 母平均とのへだたり(偏差) X2 母平均
  • 37.
    34 2022年度秋学期 統計学 /関西大学総合情報学部 浅野 晃 標本平均を用いた偏差 12 標本サイズ n=2 とする 標本は X1, X2 X X1 母平均とのへだたり(偏差) X2 母平均
  • 38.
    34 2022年度秋学期 統計学 /関西大学総合情報学部 浅野 晃 標本平均を用いた偏差 12 標本サイズ n=2 とする 標本は X1, X2 X X1 母平均とのへだたり(偏差) X2 標本平均とのへだたり 母平均
  • 39.
    34 2022年度秋学期 統計学 /関西大学総合情報学部 浅野 晃 標本平均を用いた偏差 12 標本サイズ n=2 とする 標本は X1, X2 X X1 母平均とのへだたり(偏差) X2 標本平均とのへだたり 母平均
  • 40.
    34 2022年度秋学期 統計学 /関西大学総合情報学部 浅野 晃 標本平均を用いた偏差 12 標本サイズ n=2 とする 標本は X1, X2 X X1 母平均とのへだたり(偏差) X1 X2 標本平均とのへだたり 母平均
  • 41.
    34 2022年度秋学期 統計学 /関西大学総合情報学部 浅野 晃 標本平均を用いた偏差 12 標本サイズ n=2 とする 標本は X1, X2 X X1 X2 母平均とのへだたり(偏差) X1 X2 標本平均とのへだたり 母平均
  • 42.
    34 2022年度秋学期 統計学 /関西大学総合情報学部 浅野 晃 標本平均を用いた偏差 12 標本サイズ n=2 とする 標本は X1, X2 X X1 X2 母平均とのへだたり(偏差) X1 X2 標本平均とのへだたり 母平均
  • 43.
    34 2022年度秋学期 統計学 /関西大学総合情報学部 浅野 晃 標本平均を用いた偏差 12 標本サイズ n=2 とする 標本は X1, X2 X X1 X2 母平均とのへだたり(偏差) X1 X2 X 標本平均とのへだたり 母平均
  • 44.
    34 2022年度秋学期 統計学 /関西大学総合情報学部 浅野 晃 標本平均を用いた偏差 12 標本サイズ n=2 とする 標本は X1, X2 X X1 X2 母平均とのへだたり(偏差) X1 X2 X 標本平均とのへだたり 母平均
  • 45.
    34 2022年度秋学期 統計学 /関西大学総合情報学部 浅野 晃 標本平均を用いた偏差 12 標本サイズ n=2 とする 標本は X1, X2 X X1 X2 母平均とのへだたり(偏差) X1 X2 X 標本平均とのへだたり 母平均
  • 46.
    34 2022年度秋学期 統計学 /関西大学総合情報学部 浅野 晃 標本平均を用いた偏差 12 標本サイズ n=2 とする 標本は X1, X2 X X1 X2 母平均とのへだたり(偏差) X1 X2 X 標本平均とのへだたり X1 母平均
  • 47.
    34 2022年度秋学期 統計学 /関西大学総合情報学部 浅野 晃 標本平均を用いた偏差 12 標本サイズ n=2 とする 標本は X1, X2 X X1 X2 母平均とのへだたり(偏差) X1 X2 X 標本平均とのへだたり X2 X1 母平均
  • 48.
    34 2022年度秋学期 統計学 /関西大学総合情報学部 浅野 晃 標本平均を用いた偏差 12 標本サイズ n=2 とする 標本は X1, X2 X X1 X2 母平均とのへだたり(偏差) X1 X2 X 標本平均とのへだたり X2 X1 母平均
  • 49.
    34 2022年度秋学期 統計学 /関西大学総合情報学部 浅野 晃 標本平均を用いた偏差 12 標本サイズ n=2 とする 標本は X1, X2 X X1 X2 母平均とのへだたり(偏差) X1 X2 X 標本平均とのへだたり X2 X1 X 母平均
  • 50.
    34 2022年度秋学期 統計学 /関西大学総合情報学部 浅野 晃 標本平均を用いた偏差 12 標本サイズ n=2 とする 標本は X1, X2 X X1 X2 母平均とのへだたり(偏差) X1 X2 X 標本平均とのへだたり X2 X1 X 母平均
  • 51.
    34 2022年度秋学期 統計学 /関西大学総合情報学部 浅野 晃 標本平均を用いた偏差 12 標本サイズ n=2 とする 標本は X1, X2 X X1 X2 母平均とのへだたり(偏差) X1 X2 X 標本平均とのへだたり X2 X1 X 母平均 母平均はわからないから,X1,X2が 偏った標本かどうかはわからないが,
  • 52.
    34 2022年度秋学期 統計学 /関西大学総合情報学部 浅野 晃 標本平均を用いた偏差 12 標本サイズ n=2 とする 標本は X1, X2 X X1 X2 母平均とのへだたり(偏差) X1 X2 X 標本平均とのへだたり X2 X1 X 標本平均とのへだたりのほう がたいてい小さい 母平均 母平均はわからないから,X1,X2が 偏った標本かどうかはわからないが,
  • 53.
    34 2022年度秋学期 統計学 /関西大学総合情報学部 浅野 晃 標本平均を用いた偏差 13 別の説明 母集団の度数分布
  • 54.
    34 2022年度秋学期 統計学 /関西大学総合情報学部 浅野 晃 標本平均を用いた偏差 13 別の説明 母集団の度数分布
  • 55.
    34 2022年度秋学期 統計学 /関西大学総合情報学部 浅野 晃 標本平均を用いた偏差 13 別の説明 母集団の度数分布 X
  • 56.
    34 2022年度秋学期 統計学 /関西大学総合情報学部 浅野 晃 標本平均を用いた偏差 13 別の説明 母集団の度数分布 これなら 「標本平均との隔たり」と 「母平均との隔たり」は かわらない X
  • 57.
    34 2022年度秋学期 統計学 /関西大学総合情報学部 浅野 晃 標本平均を用いた偏差 13 別の説明 母集団の度数分布 これなら 「標本平均との隔たり」と 「母平均との隔たり」は かわらない X
  • 58.
    34 2022年度秋学期 統計学 /関西大学総合情報学部 浅野 晃 標本平均を用いた偏差 13 別の説明 母集団の度数分布 これなら 「標本平均との隔たり」と 「母平均との隔たり」は かわらない X X
  • 59.
    34 2022年度秋学期 統計学 /関西大学総合情報学部 浅野 晃 標本平均を用いた偏差 13 別の説明 母集団の度数分布 これなら 「標本平均との隔たり」と 「母平均との隔たり」は かわらない X こんなふうに偏っていると 「標本平均との隔たり」 のほうが小さい X
  • 60.
    34 2022年度秋学期 統計学 /関西大学総合情報学部 浅野 晃 不偏分散 14 母平均との隔たりよりも 標本平均との隔たりのほうが たいてい小さい 標本平均との隔たりを使って分散を計算すると, 母分散よりもたいてい小さめになる
  • 61.
    34 2022年度秋学期 統計学 /関西大学総合情報学部 浅野 晃 不偏分散 14 母平均との隔たりよりも 標本平均との隔たりのほうが たいてい小さい 標本平均との隔たりを使って分散を計算すると, 母分散よりもたいてい小さめになる では,計算のときに少し大きめにしておけば?
  • 62.
    34 2022年度秋学期 統計学 /関西大学総合情報学部 浅野 晃 不偏分散 15 計算のときに少し大きめにする
  • 63.
    34 2022年度秋学期 統計学 /関西大学総合情報学部 浅野 晃 不偏分散 15 計算のときに少し大きめにする s2 = 1 n − 1 (X1 − X̄)2 + (X2 − X̄)2 + · · · + (Xn − X̄)2
  • 64.
    34 2022年度秋学期 統計学 /関西大学総合情報学部 浅野 晃 不偏分散 15 計算のときに少し大きめにする s2 = 1 n − 1 (X1 − X̄)2 + (X2 − X̄)2 + · · · + (Xn − X̄)2
  • 65.
    34 2022年度秋学期 統計学 /関西大学総合情報学部 浅野 晃 不偏分散 15 計算のときに少し大きめにする s2 = 1 n − 1 (X1 − X̄)2 + (X2 − X̄)2 + · · · + (Xn − X̄)2 (標本サイズ - 1)で割る
  • 66.
    34 2022年度秋学期 統計学 /関西大学総合情報学部 浅野 晃 不偏分散 15 計算のときに少し大きめにする s2 = 1 n − 1 (X1 − X̄)2 + (X2 − X̄)2 + · · · + (Xn − X̄)2 (標本サイズ - 1)で割る これを不偏分散(不偏標本分散)といい, 母分散の代用に用いる
  • 67.
    34 2022年度秋学期 統計学 /関西大学総合情報学部 浅野 晃 不偏分散 15 計算のときに少し大きめにする s2 = 1 n − 1 (X1 − X̄)2 + (X2 − X̄)2 + · · · + (Xn − X̄)2 (標本サイズ - 1)で割る これを不偏分散(不偏標本分散)といい, 母分散の代用に用いる 「不偏」とは?
  • 68.
    34 2022年度秋学期 統計学 /関西大学総合情報学部 浅野 晃 「不偏」とは? 16 計算のときに少し大きめにすると? 標本平均との隔たりを使って分散を計算すると, 母分散よりもたいてい小さめになる
  • 69.
    34 2022年度秋学期 統計学 /関西大学総合情報学部 浅野 晃 「不偏」とは? 16 計算のときに少し大きめにすると? 標本平均との隔たりを使って分散を計算すると, 母分散よりもたいてい小さめになる 母分散と一致するわけではないが 母分散より大きくも小さくも平等にはずれる
  • 70.
    34 2022年度秋学期 統計学 /関西大学総合情報学部 浅野 晃 「不偏」とは? 16 計算のときに少し大きめにすると? 標本平均との隔たりを使って分散を計算すると, 母分散よりもたいてい小さめになる 母分散と一致するわけではないが 母分散より大きくも小さくも平等にはずれる 「不偏」とは「えこひいきしない」こと
  • 71.
    34 2022年度秋学期 統計学 /関西大学総合情報学部 浅野 晃 標本サイズ=2のときに,式で書いてみると 17 標本サイズ=2のとき,標本を ,標本平均を とすると 不偏分散 は X1, X2 X̄ s2 s2 = 1 2 − 1 (X1 − X̄)2 + (X2 − X̄)2 {}内は,2つの「へだたり」の2乗の和? を代入すると X̄ = X1 + X2 2 s2 = 1 2 − 1 (X1 − X1 + X2 2 )2 + (X2 − X1 + X2 2 )2 = 1 2 − 1 X1 − X2 2 2 + X2 − X1 2 2 = 1 2 − 1 (X1 − X2)2 2 「へだたり」は,ひとつしかない だから,2で割らずに1で割る
  • 72.
  • 73.
    34 2022年度秋学期 統計学 /関西大学総合情報学部 浅野 晃 正規分布の場合の区間推定 19 前回の例題 ある試験の点数の分布は正規分布であるとします。 この試験の受験者から,10人からなる標本を無作為抽出して, この人たちの点数を平均したところ50点でした。 この試験の受験者全体の標準偏差が5点であるとわかっている とき,受験者全体の平均点の95%信頼区間を求めてください。
  • 74.
    34 2022年度秋学期 統計学 /関西大学総合情報学部 浅野 晃 正規分布の場合の区間推定 20 例題 標本 , ... をとりだす サイズ X1 Xn n 母集団 (受験者全体) 母平均μ 母平均 の95%信頼区間が知りたい μ 正規分布 と仮定する 母分散 がわかっているものとする σ2 (説明の都合です) 標本平均 X̄
  • 75.
    34 2022年度秋学期 統計学 /関西大学総合情報学部 浅野 晃 正規分布の場合の区間推定 21 考え方 標本は,母集団分布と同じ確率分布にしたがう 正規分布N(μ, σ2) 標本平均は,やはり正規分布にしたがうが, 分散が1/nになる 正規分布N(μ, σ2/n) [性質2]
  • 76.
    34 2022年度秋学期 統計学 /関西大学総合情報学部 浅野 晃 正規分布の場合の区間推定 22 考え方 標本は,母集団分布と同じ確率分布にしたがう 正規分布N(μ, σ2) 標本平均は,やはり正規分布にしたがうが,分散が1/nになる 正規分布N(μ, σ2/n) [性質2] 正規分布の[性質1]により X Z = X̄ − µ σ2/n は標準正規分布にしたがう N(0, 1)
  • 77.
    34 2022年度秋学期 統計学 /関西大学総合情報学部 浅野 晃 正規分布の場合の区間推定 22 考え方 標本は,母集団分布と同じ確率分布にしたがう 正規分布N(μ, σ2) 標本平均は,やはり正規分布にしたがうが,分散が1/nになる 正規分布N(μ, σ2/n) [性質2] 正規分布の[性質1]により X Z = X̄ − µ σ2/n は標準正規分布にしたがう N(0, 1)
  • 78.
    34 2022年度秋学期 統計学 /関西大学総合情報学部 浅野 晃 正規分布の場合の区間推定 22 考え方 標本は,母集団分布と同じ確率分布にしたがう 正規分布N(μ, σ2) 標本平均は,やはり正規分布にしたがうが,分散が1/nになる 正規分布N(μ, σ2/n) [性質2] 正規分布の[性質1]により X Z = X̄ − µ σ2/n は標準正規分布にしたがう N(0, 1)
  • 79.
    34 2022年度秋学期 統計学 /関西大学総合情報学部 浅野 晃 正規分布の場合の区間推定 22 考え方 標本は,母集団分布と同じ確率分布にしたがう 正規分布N(μ, σ2) 標本平均は,やはり正規分布にしたがうが,分散が1/nになる 正規分布N(μ, σ2/n) [性質2] 正規分布の[性質1]により X Z = X̄ − µ σ2/n は標準正規分布にしたがう N(0, 1)
  • 80.
    34 2022年度秋学期 統計学 /関西大学総合情報学部 浅野 晃 本当は,母分散はわからない 23 Z = X̄ − µ σ2/n は標準正規分布にしたがう N(0, 1)
  • 81.
    34 2022年度秋学期 統計学 /関西大学総合情報学部 浅野 晃 本当は,母分散はわからない 23 Z = X̄ − µ σ2/n は標準正規分布にしたがう N(0, 1)
  • 82.
    34 2022年度秋学期 統計学 /関西大学総合情報学部 浅野 晃 本当は,母分散はわからない 23 Z = X̄ − µ σ2/n は標準正規分布にしたがう N(0, 1) 本当は母分散はわからない
  • 83.
    34 2022年度秋学期 統計学 /関西大学総合情報学部 浅野 晃 本当は,母分散はわからない 23 Z = X̄ − µ σ2/n は標準正規分布にしたがう N(0, 1) 本当は母分散はわからない 不偏分散で代用する
  • 84.
    34 2022年度秋学期 統計学 /関西大学総合情報学部 浅野 晃 本当は,母分散はわからない 23 Z = X̄ − µ σ2/n は標準正規分布にしたがう N(0, 1) 本当は母分散はわからない 不偏分散で代用する t = X̄ − µ s2/n
  • 85.
    34 2022年度秋学期 統計学 /関西大学総合情報学部 浅野 晃 本当は,母分散はわからない 23 Z = X̄ − µ σ2/n は標準正規分布にしたがう N(0, 1) 本当は母分散はわからない 不偏分散で代用する t = X̄ − µ s2/n
  • 86.
    34 2022年度秋学期 統計学 /関西大学総合情報学部 浅野 晃 本当は,母分散はわからない 23 Z = X̄ − µ σ2/n は標準正規分布にしたがう N(0, 1) 本当は母分散はわからない 不偏分散で代用する t = X̄ − µ s2/n 不偏分散
  • 87.
    34 2022年度秋学期 統計学 /関西大学総合情報学部 浅野 晃 本当は,母分散はわからない 23 Z = X̄ − µ σ2/n は標準正規分布にしたがう N(0, 1) 本当は母分散はわからない 不偏分散で代用する t = X̄ − µ s2/n 不偏分散 t は何分布にしたがう?
  • 88.
    34 2022年度秋学期 統計学 /関西大学総合情報学部 浅野 晃 t分布 24 は t = X̄ − µ s2/n t統計量
  • 89.
    34 2022年度秋学期 統計学 /関西大学総合情報学部 浅野 晃 t分布 24 は t = X̄ − µ s2/n 自由度(n–1)のt分布にしたがう t統計量
  • 90.
    34 2022年度秋学期 統計学 /関西大学総合情報学部 浅野 晃 t分布 24 は t(n–1) t = X̄ − µ s2/n 自由度(n–1)のt分布にしたがう t統計量
  • 91.
    34 2022年度秋学期 統計学 /関西大学総合情報学部 浅野 晃 t分布 24 は t(n–1) t = X̄ − µ s2/n 自由度(n–1)のt分布にしたがう t統計量 (「スチューデントのt分布」という)
  • 92.
    34 2022年度秋学期 統計学 /関西大学総合情報学部 浅野 晃 t分布 24 は t(n–1) t = X̄ − µ s2/n 自由度(n–1)のt分布にしたがう t統計量 (「スチューデントのt分布」という)
  • 93.
    34 2022年度秋学期 統計学 /関西大学総合情報学部 浅野 晃 t分布 24 は t(n–1) t = X̄ − µ s2/n 自由度(n–1)のt分布にしたがう t統計量 (「スチューデントのt分布」という) 発見者ウィリアム・ゴセットのペンネーム ※ゴセットはギネスビールのエンジニアで,会社との契約のために論文を発表 できなかったので, ペンネームで論文を発表した。
  • 94.
    34 2022年度秋学期 統計学 /関西大学総合情報学部 浅野 晃 正規分布(母分散不明)の場合の区間推定 25 テキストの例題 ある試験の点数の分布は正規分布であるとします。 この試験の受験者から,10人からなる標本を無作為抽出して, この人たちの点数を平均したところ50点でした。 この10人の不偏分散が52点であるとき,受験者全体の平均点 の95%信頼区間を求めてください。
  • 95.
    34 2022年度秋学期 統計学 /関西大学総合情報学部 浅野 晃 正規分布(母分散不明)の場合の区間推定 25 テキストの例題 ある試験の点数の分布は正規分布であるとします。 この試験の受験者から,10人からなる標本を無作為抽出して, この人たちの点数を平均したところ50点でした。 この10人の不偏分散が52点であるとき,受験者全体の平均点 の95%信頼区間を求めてください。
  • 96.
    34 2022年度秋学期 統計学 /関西大学総合情報学部 浅野 晃 正規分布(母分散不明)の場合の区間推定 25 テキストの例題 ある試験の点数の分布は正規分布であるとします。 この試験の受験者から,10人からなる標本を無作為抽出して, この人たちの点数を平均したところ50点でした。 この10人の不偏分散が52点であるとき,受験者全体の平均点 の95%信頼区間を求めてください。 前回は 「受験者全体の標準偏差が5点であるとわかっている」
  • 97.
    34 2022年度秋学期 統計学 /関西大学総合情報学部 浅野 晃 正規分布の場合の区間推定 26 例題 標本 , ... をとりだす サイズ X1 Xn n 母集団 (受験者全体) 母平均μ 母平均 の95%信頼区間が知りたい μ 正規分布 と仮定する 母分散 がわか σ2 標本平均 X̄
  • 98.
    34 2022年度秋学期 統計学 /関西大学総合情報学部 浅野 晃 正規分布の場合の区間推定 26 例題 標本 , ... をとりだす サイズ X1 Xn n 母集団 (受験者全体) 母平均μ 母平均 の95%信頼区間が知りたい μ 正規分布 と仮定する 母分散 がわか σ2 標本平均 X̄ らないので,
  • 99.
    34 2022年度秋学期 統計学 /関西大学総合情報学部 浅野 晃 正規分布の場合の区間推定 26 例題 標本 , ... をとりだす サイズ X1 Xn n 母集団 (受験者全体) 母平均μ 母平均 の95%信頼区間が知りたい μ 正規分布 と仮定する 母分散 がわか σ2 標本平均 X̄ らないので, 不偏分散 で代用 s2
  • 100.
    34 2022年度秋学期 統計学 /関西大学総合情報学部 浅野 晃 t 0 t分布を用いた区間推定 27 は自由度(n–1)のt分布にしたがう t(n–1)の 確率密度関数 t = X̄ − µ s2/n t(n–1)
  • 101.
    34 2022年度秋学期 統計学 /関西大学総合情報学部 浅野 晃 t 0 t分布を用いた区間推定 27 は自由度(n–1)のt分布にしたがう t(n–1)の 確率密度関数 t = X̄ − µ s2/n t(n–1)
  • 102.
    34 2022年度秋学期 統計学 /関西大学総合情報学部 浅野 晃 t 0 t分布を用いた区間推定 27 この区間に入っている確率=95%とすると は自由度(n–1)のt分布にしたがう t(n–1)の 確率密度関数 が t = X̄ − µ s2/n t = X̄ − µ s2/n t(n–1)
  • 103.
    34 2022年度秋学期 統計学 /関西大学総合情報学部 浅野 晃 t 0 t分布を用いた区間推定 27 この区間に入っている確率=95%とすると は自由度(n–1)のt分布にしたがう t(n–1)の 確率密度関数 が 面積=95% t = X̄ − µ s2/n t = X̄ − µ s2/n t(n–1)
  • 104.
    34 2022年度秋学期 統計学 /関西大学総合情報学部 浅野 晃 t 0 t分布を用いた区間推定 27 この区間に入っている確率=95%とすると は自由度(n–1)のt分布にしたがう t(n–1)の 確率密度関数 が 面積=95% 境界の値はいくら? t = X̄ − µ s2/n t = X̄ − µ s2/n t(n–1)
  • 105.
    34 2022年度秋学期 統計学 /関西大学総合情報学部 浅野 晃 t 0 t 0 t分布を用いた区間推定 28 面積=95% 面積=2.5% (左右で5%)
  • 106.
    34 2022年度秋学期 統計学 /関西大学総合情報学部 浅野 晃 t 0 t 0 t分布を用いた区間推定 28 面積=95% 面積=2.5% (左右で5%) 境界の値は自由度によってちがうので
  • 107.
    34 2022年度秋学期 統計学 /関西大学総合情報学部 浅野 晃 t 0 t 0 t分布を用いた区間推定 28 面積=95% 面積=2.5% (左右で5%) 境界の値は自由度によってちがうので t0.025(n–1) としておく
  • 108.
    34 2022年度秋学期 統計学 /関西大学総合情報学部 浅野 晃 t 0 t 0 t分布を用いた区間推定 28 面積=95% 面積=2.5% (左右で5%) 境界の値は自由度によってちがうので t0.025(n–1) としておく [上側2.5%点]
  • 109.
    34 2022年度秋学期 統計学 /関西大学総合情報学部 浅野 晃 t 0 t分布を用いた区間推定 29 この区間に入っている確率=95% が 面積=95% t = X̄ − µ s2/n t(n–1)
  • 110.
    34 2022年度秋学期 統計学 /関西大学総合情報学部 浅野 晃 t 0 t分布を用いた区間推定 29 この区間に入っている確率=95% が 面積=95% t = X̄ − µ s2/n t(n–1)
  • 111.
    34 2022年度秋学期 統計学 /関西大学総合情報学部 浅野 晃 t 0 t分布を用いた区間推定 29 この区間に入っている確率=95% が 面積=95% t = X̄ − µ s2/n t0.025(n–1) t(n–1)
  • 112.
    34 2022年度秋学期 統計学 /関西大学総合情報学部 浅野 晃 t 0 t分布を用いた区間推定 29 この区間に入っている確率=95% が 面積=95% t = X̄ − µ s2/n t0.025(n–1) –t0.025(n–1) t(n–1)
  • 113.
    34 2022年度秋学期 統計学 /関西大学総合情報学部 浅野 晃 t分布を用いた区間推定 30 が –t0.025(n–1) と t0.025(n–1) の間に入っている確率が95% t = X̄ − µ s2/n
  • 114.
    34 2022年度秋学期 統計学 /関西大学総合情報学部 浅野 晃 t分布を用いた区間推定 30 式で書くと が –t0.025(n–1) と t0.025(n–1) の間に入っている確率が95% t = X̄ − µ s2/n
  • 115.
    34 2022年度秋学期 統計学 /関西大学総合情報学部 浅野 晃 t分布を用いた区間推定 30 式で書くと が –t0.025(n–1) と t0.025(n–1) の間に入っている確率が95% t = X̄ − µ s2/n P −t0.025(n − 1) X̄ − µ s2/n t0.025(n − 1) = 0.95
  • 116.
    34 2022年度秋学期 統計学 /関西大学総合情報学部 浅野 晃 t分布を用いた区間推定 30 式で書くと が –t0.025(n–1) と t0.025(n–1) の間に入っている確率が95% μの式に直すと t = X̄ − µ s2/n P −t0.025(n − 1) X̄ − µ s2/n t0.025(n − 1) = 0.95
  • 117.
    34 2022年度秋学期 統計学 /関西大学総合情報学部 浅野 晃 t分布を用いた区間推定 30 式で書くと が –t0.025(n–1) と t0.025(n–1) の間に入っている確率が95% μの式に直すと t = X̄ − µ s2/n P −t0.025(n − 1) X̄ − µ s2/n t0.025(n − 1) = 0.95 P X̄ − t0.025(n − 1) s2 n µ X̄ + t0.025(n − 1) s2 n = 0.95
  • 118.
    34 2022年度秋学期 統計学 /関西大学総合情報学部 浅野 晃 t分布を用いた区間推定 31 P X̄ − t0.025(n − 1) s2 n µ X̄ + t0.025(n − 1) s2 n = 0.95
  • 119.
    34 2022年度秋学期 統計学 /関西大学総合情報学部 浅野 晃 t分布を用いた区間推定 31 μの95% 信頼区間の下限 P X̄ − t0.025(n − 1) s2 n µ X̄ + t0.025(n − 1) s2 n = 0.95
  • 120.
    34 2022年度秋学期 統計学 /関西大学総合情報学部 浅野 晃 t分布を用いた区間推定 31 μの95% 信頼区間の下限 μの95% 信頼区間の上限 P X̄ − t0.025(n − 1) s2 n µ X̄ + t0.025(n − 1) s2 n = 0.95
  • 121.
    34 2022年度秋学期 統計学 /関西大学総合情報学部 浅野 晃 t分布を用いた区間推定 31 μの95% 信頼区間の下限 μの95% 信頼区間の上限 例題では P X̄ − t0.025(n − 1) s2 n µ X̄ + t0.025(n − 1) s2 n = 0.95
  • 122.
    34 2022年度秋学期 統計学 /関西大学総合情報学部 浅野 晃 t分布を用いた区間推定 31 μの95% 信頼区間の下限 μの95% 信頼区間の上限 例題では 標本平均=50 P X̄ − t0.025(n − 1) s2 n µ X̄ + t0.025(n − 1) s2 n = 0.95
  • 123.
    34 2022年度秋学期 統計学 /関西大学総合情報学部 浅野 晃 t分布を用いた区間推定 31 μの95% 信頼区間の下限 μの95% 信頼区間の上限 例題では 標本平均=50 不偏分散=25 P X̄ − t0.025(n − 1) s2 n µ X̄ + t0.025(n − 1) s2 n = 0.95
  • 124.
    34 2022年度秋学期 統計学 /関西大学総合情報学部 浅野 晃 t分布を用いた区間推定 31 μの95% 信頼区間の下限 μの95% 信頼区間の上限 例題では 標本平均=50 不偏分散=25 標本サイズ=10 P X̄ − t0.025(n − 1) s2 n µ X̄ + t0.025(n − 1) s2 n = 0.95
  • 125.
    34 2022年度秋学期 統計学 /関西大学総合情報学部 浅野 晃 t分布を用いた区間推定 31 μの95% 信頼区間の下限 μの95% 信頼区間の上限 例題では 標本平均=50 不偏分散=25 標本サイズ=10 上側2.5%点 t0.025(n–1) は? P X̄ − t0.025(n − 1) s2 n µ X̄ + t0.025(n − 1) s2 n = 0.95
  • 126.
    34 2022年度秋学期 統計学 /関西大学総合情報学部 浅野 晃 t 0 t分布表 32 面積=2.5% t0.025(n–1)
  • 127.
    34 2022年度秋学期 統計学 /関西大学総合情報学部 浅野 晃 t 0 t分布表 32 面積=2.5% t0.025(n–1) 0.40 0.30 0.25 0.20 0.15 0.10 0.05 0.025 0.01 0.005 1 0.3249 0.7265 1.0000 1.3764 1.9626 3.0777 6.3138 12.7062 31.8205 63.6567 2 0.2887 0.6172 0.8165 1.0607 1.3862 1.8856 2.9200 4.3027 6.9646 9.9248 3 0.2767 0.5844 0.7649 0.9785 1.2498 1.6377 2.3534 3.1824 4.5407 5.8409 4 0.2707 0.5686 0.7407 0.9410 1.1896 1.5332 2.1318 2.7764 3.7469 4.6041 5 0.2672 0.5594 0.7267 0.9195 1.1558 1.4759 2.0150 2.5706 3.3649 4.0321 6 0.2648 0.5534 0.7176 0.9057 1.1342 1.4398 1.9432 2.4469 3.1427 3.7074 7 0.2632 0.5491 0.7111 0.8960 1.1192 1.4149 1.8946 2.3646 2.9980 3.4995 8 0.2619 0.5459 0.7064 0.8889 1.1081 1.3968 1.8595 2.3060 2.8965 3.3554 9 0.2610 0.5435 0.7027 0.8834 1.0997 1.3830 1.8331 2.2622 2.8214 3.2498
  • 128.
    34 2022年度秋学期 統計学 /関西大学総合情報学部 浅野 晃 t 0 t分布表 32 面積=2.5% t0.025(n–1) 0.40 0.30 0.25 0.20 0.15 0.10 0.05 0.025 0.01 0.005 1 0.3249 0.7265 1.0000 1.3764 1.9626 3.0777 6.3138 12.7062 31.8205 63.6567 2 0.2887 0.6172 0.8165 1.0607 1.3862 1.8856 2.9200 4.3027 6.9646 9.9248 3 0.2767 0.5844 0.7649 0.9785 1.2498 1.6377 2.3534 3.1824 4.5407 5.8409 4 0.2707 0.5686 0.7407 0.9410 1.1896 1.5332 2.1318 2.7764 3.7469 4.6041 5 0.2672 0.5594 0.7267 0.9195 1.1558 1.4759 2.0150 2.5706 3.3649 4.0321 6 0.2648 0.5534 0.7176 0.9057 1.1342 1.4398 1.9432 2.4469 3.1427 3.7074 7 0.2632 0.5491 0.7111 0.8960 1.1192 1.4149 1.8946 2.3646 2.9980 3.4995 8 0.2619 0.5459 0.7064 0.8889 1.1081 1.3968 1.8595 2.3060 2.8965 3.3554 9 0.2610 0.5435 0.7027 0.8834 1.0997 1.3830 1.8331 2.2622 2.8214 3.2498 自由度
  • 129.
    34 2022年度秋学期 統計学 /関西大学総合情報学部 浅野 晃 t 0 t分布表 32 面積=2.5% パーセントの値 t0.025(n–1) 0.40 0.30 0.25 0.20 0.15 0.10 0.05 0.025 0.01 0.005 1 0.3249 0.7265 1.0000 1.3764 1.9626 3.0777 6.3138 12.7062 31.8205 63.6567 2 0.2887 0.6172 0.8165 1.0607 1.3862 1.8856 2.9200 4.3027 6.9646 9.9248 3 0.2767 0.5844 0.7649 0.9785 1.2498 1.6377 2.3534 3.1824 4.5407 5.8409 4 0.2707 0.5686 0.7407 0.9410 1.1896 1.5332 2.1318 2.7764 3.7469 4.6041 5 0.2672 0.5594 0.7267 0.9195 1.1558 1.4759 2.0150 2.5706 3.3649 4.0321 6 0.2648 0.5534 0.7176 0.9057 1.1342 1.4398 1.9432 2.4469 3.1427 3.7074 7 0.2632 0.5491 0.7111 0.8960 1.1192 1.4149 1.8946 2.3646 2.9980 3.4995 8 0.2619 0.5459 0.7064 0.8889 1.1081 1.3968 1.8595 2.3060 2.8965 3.3554 9 0.2610 0.5435 0.7027 0.8834 1.0997 1.3830 1.8331 2.2622 2.8214 3.2498 自由度
  • 130.
    34 2022年度秋学期 統計学 /関西大学総合情報学部 浅野 晃 t 0 t分布表 32 面積=2.5% パーセントの値 例題では n–1 = 9 t0.025(n–1) 0.40 0.30 0.25 0.20 0.15 0.10 0.05 0.025 0.01 0.005 1 0.3249 0.7265 1.0000 1.3764 1.9626 3.0777 6.3138 12.7062 31.8205 63.6567 2 0.2887 0.6172 0.8165 1.0607 1.3862 1.8856 2.9200 4.3027 6.9646 9.9248 3 0.2767 0.5844 0.7649 0.9785 1.2498 1.6377 2.3534 3.1824 4.5407 5.8409 4 0.2707 0.5686 0.7407 0.9410 1.1896 1.5332 2.1318 2.7764 3.7469 4.6041 5 0.2672 0.5594 0.7267 0.9195 1.1558 1.4759 2.0150 2.5706 3.3649 4.0321 6 0.2648 0.5534 0.7176 0.9057 1.1342 1.4398 1.9432 2.4469 3.1427 3.7074 7 0.2632 0.5491 0.7111 0.8960 1.1192 1.4149 1.8946 2.3646 2.9980 3.4995 8 0.2619 0.5459 0.7064 0.8889 1.1081 1.3968 1.8595 2.3060 2.8965 3.3554 9 0.2610 0.5435 0.7027 0.8834 1.0997 1.3830 1.8331 2.2622 2.8214 3.2498 自由度
  • 131.
    34 2022年度秋学期 統計学 /関西大学総合情報学部 浅野 晃 t 0 t分布表 32 面積=2.5% パーセントの値 例題では n–1 = 9 0.025 t0.025(n–1) 0.40 0.30 0.25 0.20 0.15 0.10 0.05 0.025 0.01 0.005 1 0.3249 0.7265 1.0000 1.3764 1.9626 3.0777 6.3138 12.7062 31.8205 63.6567 2 0.2887 0.6172 0.8165 1.0607 1.3862 1.8856 2.9200 4.3027 6.9646 9.9248 3 0.2767 0.5844 0.7649 0.9785 1.2498 1.6377 2.3534 3.1824 4.5407 5.8409 4 0.2707 0.5686 0.7407 0.9410 1.1896 1.5332 2.1318 2.7764 3.7469 4.6041 5 0.2672 0.5594 0.7267 0.9195 1.1558 1.4759 2.0150 2.5706 3.3649 4.0321 6 0.2648 0.5534 0.7176 0.9057 1.1342 1.4398 1.9432 2.4469 3.1427 3.7074 7 0.2632 0.5491 0.7111 0.8960 1.1192 1.4149 1.8946 2.3646 2.9980 3.4995 8 0.2619 0.5459 0.7064 0.8889 1.1081 1.3968 1.8595 2.3060 2.8965 3.3554 9 0.2610 0.5435 0.7027 0.8834 1.0997 1.3830 1.8331 2.2622 2.8214 3.2498 自由度
  • 132.
    34 2022年度秋学期 統計学 /関西大学総合情報学部 浅野 晃 t 0 t分布表 32 面積=2.5% パーセントの値 例題では n–1 = 9 0.025 t0.025(9)=2.262 t0.025(n–1) 0.40 0.30 0.25 0.20 0.15 0.10 0.05 0.025 0.01 0.005 1 0.3249 0.7265 1.0000 1.3764 1.9626 3.0777 6.3138 12.7062 31.8205 63.6567 2 0.2887 0.6172 0.8165 1.0607 1.3862 1.8856 2.9200 4.3027 6.9646 9.9248 3 0.2767 0.5844 0.7649 0.9785 1.2498 1.6377 2.3534 3.1824 4.5407 5.8409 4 0.2707 0.5686 0.7407 0.9410 1.1896 1.5332 2.1318 2.7764 3.7469 4.6041 5 0.2672 0.5594 0.7267 0.9195 1.1558 1.4759 2.0150 2.5706 3.3649 4.0321 6 0.2648 0.5534 0.7176 0.9057 1.1342 1.4398 1.9432 2.4469 3.1427 3.7074 7 0.2632 0.5491 0.7111 0.8960 1.1192 1.4149 1.8946 2.3646 2.9980 3.4995 8 0.2619 0.5459 0.7064 0.8889 1.1081 1.3968 1.8595 2.3060 2.8965 3.3554 9 0.2610 0.5435 0.7027 0.8834 1.0997 1.3830 1.8331 2.2622 2.8214 3.2498 自由度
  • 133.
    34 2022年度秋学期 統計学 /関西大学総合情報学部 浅野 晃 t分布を用いた区間推定 33 P X̄ − t0.025(n − 1) s2 n µ X̄ + t0.025(n − 1) s2 n = 0.95
  • 134.
    34 2022年度秋学期 統計学 /関西大学総合情報学部 浅野 晃 t分布を用いた区間推定 33 例題では P X̄ − t0.025(n − 1) s2 n µ X̄ + t0.025(n − 1) s2 n = 0.95
  • 135.
    34 2022年度秋学期 統計学 /関西大学総合情報学部 浅野 晃 t分布を用いた区間推定 33 例題では 標本平均=50 P X̄ − t0.025(n − 1) s2 n µ X̄ + t0.025(n − 1) s2 n = 0.95
  • 136.
    34 2022年度秋学期 統計学 /関西大学総合情報学部 浅野 晃 t分布を用いた区間推定 33 例題では 標本平均=50 不偏分散=25 P X̄ − t0.025(n − 1) s2 n µ X̄ + t0.025(n − 1) s2 n = 0.95
  • 137.
    34 2022年度秋学期 統計学 /関西大学総合情報学部 浅野 晃 t分布を用いた区間推定 33 例題では 標本平均=50 不偏分散=25 標本サイズ=10 P X̄ − t0.025(n − 1) s2 n µ X̄ + t0.025(n − 1) s2 n = 0.95
  • 138.
    34 2022年度秋学期 統計学 /関西大学総合情報学部 浅野 晃 t分布を用いた区間推定 33 例題では 標本平均=50 不偏分散=25 標本サイズ=10 P X̄ − t0.025(n − 1) s2 n µ X̄ + t0.025(n − 1) s2 n = 0.95
  • 139.
    34 2022年度秋学期 統計学 /関西大学総合情報学部 浅野 晃 t分布を用いた区間推定 33 例題では 標本平均=50 不偏分散=25 標本サイズ=10 P X̄ − t0.025(n − 1) s2 n µ X̄ + t0.025(n − 1) s2 n = 0.95 t0.025(10–1)=2.262
  • 140.
    34 2022年度秋学期 統計学 /関西大学総合情報学部 浅野 晃 t分布を用いた区間推定 33 例題では 標本平均=50 不偏分散=25 標本サイズ=10 P X̄ − t0.025(n − 1) s2 n µ X̄ + t0.025(n − 1) s2 n = 0.95 t0.025(10–1)=2.262 計算すると,例題の答は 「46.4以上53.6以下」( [46.4, 53.6] ) μの95% 信頼区間の下限 μの95% 信頼区間の上限
  • 141.
    34 2022年度秋学期 統計学 /関西大学総合情報学部 浅野 晃 前回の例題と比較 34 不偏分散は,母分散の推定量なので,不確か どちらも 標本平均=50 不偏分散=25 のとき 標本サイズ=10 母分散=25 のとき 母平均の95%信頼区間は [46.9, 53.1] [46.4, 53.6] →信頼区間が広い