Stress Strain Curve
Universal Testing Machine
MECHANICAL PROPERTIES OF
MATERIALS
The ASTM standard tension specimen has a
diameter of 12.8 mm and a gage length of
50.8 mm between the gage marks, which
are the points where the extensometer
arms are attached to the specimen
When the initial area of the specimen is used
in the calculation, the stress is called the
nominal stress (other names are conventional
stress and engineering stress). A more exact
value of the axial stress, called the true stress,
can be calculated by using the actual area of
the bar at the cross section where failure
occurs.
A is called the proportional limit
For low-carbon steels, this limit is
in the range 210 to 350 MPa, but
high-strength steels (with higher
carbon content plus other alloys)
can have proportional limits of
more than 550 MPa.
The slope of the straight line
from O to A is called the modulus
of elasticity (E)
This phenomenon is known as yielding of the
material, and point B is called the yield point.
The corresponding stress is known as the yield
stress of the steel.
During strain hardening, the
material undergoes changes in its
crystalline structure, resulting in
increased resistance of the material
to further deformation.
MECHANICAL PROPERTIES OF
MATERIALS
Results of Tension test for ductile Materials
1. Young’s Modulus ‘E’
2. Yield stress
3. Ultimate stress
4. % of elongation
5. %of reduction in cross sectional area
6. Proof of Resilience
Proof resilience is defined as the maximum energy that can be
absorbed up to the elastic limit, without creating a permanent
distortion.
7. Toughness
Toughness is the ability of a material to absorb energy and
plastically deform without fracturing
Neckinginaductilemetalspecimen
Cup-and-conefailuresurfaces
The ductility of a material in tension
can be characterized by its
elongation and by the reduction in
area at the cross section where
fracture occurs. The percent
elongation is defined as
The percent reduction in area measures
the amount of necking that occurs and is
defined as
A summary of the definitions
The proportional limit is the value of stress on the stress–
strain curve at which the curve first deviates from a straight
line.
The elastic limit is the value of stress on the stress–strain
curve at which the material has deformed plastically; that is, it
will no longer return to its original size and shape after
removing the load.
The yield point is the value of stress on the stress–strain curve
at which there is a significant increase in strain with little or no
increase in stress.
Typical stress–strain curve for aluminum.
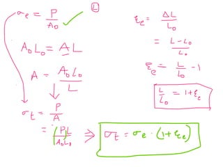
Engineering Stress=
Engineering Strain=
True Stress=
True Strain=
𝜎𝑒
𝜀 𝑒
𝜎𝑡
𝜀𝑡
𝜎𝑡 𝜎𝑒
𝜀 𝑒𝜀𝑡
Relation between true stress and engineering stress:
True stress=
Engineering Strain=
Modulus of Elasticity (E)
• The modulus of elasticity, E, is a measure of the stiffness of a material determined
by the slope of the straight-line portion of the stress–strain curve. It is the ratio of
the change of stress to the corresponding change in strain
When the level of stress in a
material under load is below the
proportional limit and there is a
straight-line relationship between
stress and strain, it is said that
Hooke’s law applies.
Typical stress-strain diagram for a
brittle material showing the
proportional limit (point A) and
fracture stress (point B)
Materials that fail in tension at relatively low
values of strain are classified as brittle.
Examples are concrete, stone, cast iron, glass,
ceramics, and a variety of metallic alloys.
Brittle materials fail with only little elongation
after the proportional limit is exceeded.
Furthermore, the reduction in area is
insignificant, and so the nominal fracture
stress (point B) is the same as the true ultimate
stress.
Poisson’s Ratio(Siméon D. Poisson)
Experiments have shown that the relationship
between lateral and longitudinal strains caused
by an axial force remains constant, provided
that the material remains elastic and is
homogeneous and isotropic
This is valid only for a
uniaxial state of stress (i.e.,
simple tension or
compression).
Values vary for different materials, but for most metals,
Poisson’s ratio has a value between 1/4 and 1/3. Because the
volume of material must remain constant, the largest
possible value for Poisson’s ratio is 0.5. Values approaching
this upper limit are found only for materials such as rubber.
1. stress is proportional to strain, i.e. the
Hooke’s law holds good upto
(a) Elastic Limit
(b) Proportional Limit
(c) Plastic Limit
(d) Yield point
2. Elastic limit is the point ____________
a) up to which stress is proportional to strain
b) At which elongation takes place without
application of additional load
c) Up to which if the load is removed, original
volume and shapes are regained
d) None of the mentioned
3. The slope of the stress-strain curve in the
elastic deformation region is ____________
a) Elastic modulus
b) Plastic modulus
c) Poisson’s ratio
d) None of the mentioned
4. When mild steel is subjected to a tensile load, its
fracture will conform to
(a) Star shape
(b) Granular shape
(c) Cup and cone shape
(d) Fibrous shape
Percentage elongation during tensile test is
indication of
(a) Ductility
(b) Malleability
(c) Creep
(d) Rigidity
When a wire is stretched to double in length,
the longitudinal strain produced in it is
(a) 0.5
(b) 1.0
(c) 1.5
(d) 2.0
A brittle material has
(a) No elastic zone
(b) No plastic zone
(c) Large plastic zone
(d) None of these
20 08 2020stress_straincurve_p

20 08 2020stress_straincurve_p

  • 1.
  • 2.
  • 3.
    MECHANICAL PROPERTIES OF MATERIALS TheASTM standard tension specimen has a diameter of 12.8 mm and a gage length of 50.8 mm between the gage marks, which are the points where the extensometer arms are attached to the specimen When the initial area of the specimen is used in the calculation, the stress is called the nominal stress (other names are conventional stress and engineering stress). A more exact value of the axial stress, called the true stress, can be calculated by using the actual area of the bar at the cross section where failure occurs.
  • 4.
    A is calledthe proportional limit For low-carbon steels, this limit is in the range 210 to 350 MPa, but high-strength steels (with higher carbon content plus other alloys) can have proportional limits of more than 550 MPa. The slope of the straight line from O to A is called the modulus of elasticity (E) This phenomenon is known as yielding of the material, and point B is called the yield point. The corresponding stress is known as the yield stress of the steel. During strain hardening, the material undergoes changes in its crystalline structure, resulting in increased resistance of the material to further deformation.
  • 5.
  • 6.
    Results of Tensiontest for ductile Materials 1. Young’s Modulus ‘E’ 2. Yield stress 3. Ultimate stress 4. % of elongation 5. %of reduction in cross sectional area 6. Proof of Resilience Proof resilience is defined as the maximum energy that can be absorbed up to the elastic limit, without creating a permanent distortion. 7. Toughness Toughness is the ability of a material to absorb energy and plastically deform without fracturing
  • 10.
    Neckinginaductilemetalspecimen Cup-and-conefailuresurfaces The ductility ofa material in tension can be characterized by its elongation and by the reduction in area at the cross section where fracture occurs. The percent elongation is defined as The percent reduction in area measures the amount of necking that occurs and is defined as
  • 11.
    A summary ofthe definitions The proportional limit is the value of stress on the stress– strain curve at which the curve first deviates from a straight line. The elastic limit is the value of stress on the stress–strain curve at which the material has deformed plastically; that is, it will no longer return to its original size and shape after removing the load. The yield point is the value of stress on the stress–strain curve at which there is a significant increase in strain with little or no increase in stress.
  • 12.
  • 13.
    Engineering Stress= Engineering Strain= TrueStress= True Strain= 𝜎𝑒 𝜀 𝑒 𝜎𝑡 𝜀𝑡 𝜎𝑡 𝜎𝑒 𝜀 𝑒𝜀𝑡
  • 16.
    Relation between truestress and engineering stress: True stress= Engineering Strain=
  • 17.
    Modulus of Elasticity(E) • The modulus of elasticity, E, is a measure of the stiffness of a material determined by the slope of the straight-line portion of the stress–strain curve. It is the ratio of the change of stress to the corresponding change in strain When the level of stress in a material under load is below the proportional limit and there is a straight-line relationship between stress and strain, it is said that Hooke’s law applies.
  • 19.
    Typical stress-strain diagramfor a brittle material showing the proportional limit (point A) and fracture stress (point B) Materials that fail in tension at relatively low values of strain are classified as brittle. Examples are concrete, stone, cast iron, glass, ceramics, and a variety of metallic alloys. Brittle materials fail with only little elongation after the proportional limit is exceeded. Furthermore, the reduction in area is insignificant, and so the nominal fracture stress (point B) is the same as the true ultimate stress.
  • 21.
    Poisson’s Ratio(Siméon D.Poisson) Experiments have shown that the relationship between lateral and longitudinal strains caused by an axial force remains constant, provided that the material remains elastic and is homogeneous and isotropic This is valid only for a uniaxial state of stress (i.e., simple tension or compression). Values vary for different materials, but for most metals, Poisson’s ratio has a value between 1/4 and 1/3. Because the volume of material must remain constant, the largest possible value for Poisson’s ratio is 0.5. Values approaching this upper limit are found only for materials such as rubber.
  • 22.
    1. stress isproportional to strain, i.e. the Hooke’s law holds good upto (a) Elastic Limit (b) Proportional Limit (c) Plastic Limit (d) Yield point
  • 23.
    2. Elastic limitis the point ____________ a) up to which stress is proportional to strain b) At which elongation takes place without application of additional load c) Up to which if the load is removed, original volume and shapes are regained d) None of the mentioned
  • 24.
    3. The slopeof the stress-strain curve in the elastic deformation region is ____________ a) Elastic modulus b) Plastic modulus c) Poisson’s ratio d) None of the mentioned
  • 25.
    4. When mildsteel is subjected to a tensile load, its fracture will conform to (a) Star shape (b) Granular shape (c) Cup and cone shape (d) Fibrous shape
  • 26.
    Percentage elongation duringtensile test is indication of (a) Ductility (b) Malleability (c) Creep (d) Rigidity
  • 27.
    When a wireis stretched to double in length, the longitudinal strain produced in it is (a) 0.5 (b) 1.0 (c) 1.5 (d) 2.0
  • 28.
    A brittle materialhas (a) No elastic zone (b) No plastic zone (c) Large plastic zone (d) None of these