SOLUCIÓN DEL MODELO DE
EXAMEN
1) 2 6
6 5
2
2 5 2 5
(3 3)
' 6 '
3 3 ' 6 1
' 6(3 3) (6 1) (36 6)(3 6 3)
y x x
y u y u u
u x x u x
y x x x x x x
  
 
    
       
5 4 10 4/5 10
1
105
2) 2 2
4
' 20
5
x x
x
y x e x e
y x e

   
 
   
 
 
3 3/ 43 34
3/ 4 1/ 4
3 2
1/ 43 2
1/ 42 3
3) 4 3 4 3
3
' '
4
4 3 ' 12
3
' 4 3 12
4
' 9 4 3
y x x
y u y u u
u x u x
y x x
y x x



   
 
  
 
 
 
     
1/2
3 3
1/2 1/2
1/3 2/3 2/3
1/2
2/3 2/33
4) 4 3 4 3
4
4 ' '
2
1
(3 ) ' 1 (3 ) 3 1 (3 )
3
' 2 3 1 (3 ) 2 2(3 )
y x x x x
y u y u u
u x x u x x
y x x x x

 

 
   
 
     
    
 
    
5 3 2
5 3 4 4
2
5 3 2 4 4
6 2 6 2 4 4
4 2 4 6
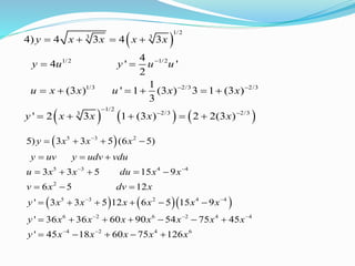
5) 3 3 5 (6 5)
3 3 5 15 9
6 5 12
' 3 3 5 12 6 5 15 9
' 36 36 60 90 54 75 45
' 45 18 60 75 126
y x x x
y uv y udv vdu
u x x du x x
v x dv x
y x x x x x x
y x x x x x x x
y x x x x x

 
 
  
 
   
  
    
  
     
      
    
 2 4X
2
2
6) ln 7x 2x 6
'
ln 6 ' '6 ln 6
7x 2x ' 14 2
4 ' 4
14 2 4' 46 ln 6
7x 2x
y
uv vy u y v
u
u u x
v x v
x xy
  
   
   
 

 

     
 
 
3 2
6
2
3 2 2
6 5
2 6 3 2 5
26
8 3 7 2 8 3 7 2 5
26
8 3 7 2 8 3 7
4 7
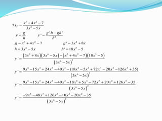
7)
3 5
' '
'
4 7 ' 3 8
3 5 ' 18 5
3 8 3 5 4 7 18 5
'
3 5
9 15 24 40 (18 5 72 20 126 35)
'
3 5
9 15 24 40 18 5 72
'
x x
y
x x
g g h gh
y y
h h
g x x g x x
h x x h x
x x x x x x x
y
x x
x x x x x x x x x
y
x x
x x x x x x x
y
 



 
    
   
     


        


     

 
 
2 5
26
8 7 5 3 2
26
20 126 35
3 5
9 48 126 10 20 35
'
3 5
x x
x x
x x x x x
y
x x
  

     



Solución del modelo de examen

  • 1.
    SOLUCIÓN DEL MODELODE EXAMEN 1) 2 6 6 5 2 2 5 2 5 (3 3) ' 6 ' 3 3 ' 6 1 ' 6(3 3) (6 1) (36 6)(3 6 3) y x x y u y u u u x x u x y x x x x x x                  
  • 2.
    5 4 104/5 10 1 105 2) 2 2 4 ' 20 5 x x x y x e x e y x e                3 3/ 43 34 3/ 4 1/ 4 3 2 1/ 43 2 1/ 42 3 3) 4 3 4 3 3 ' ' 4 4 3 ' 12 3 ' 4 3 12 4 ' 9 4 3 y x x y u y u u u x u x y x x y x x                
  • 3.
           1/2 3 3 1/2 1/2 1/3 2/3 2/3 1/2 2/3 2/33 4) 4 3 4 3 4 4 ' ' 2 1 (3 ) ' 1 (3 ) 3 1 (3 ) 3 ' 2 3 1 (3 ) 2 2(3 ) y x x x x y u y u u u x x u x x y x x x x                               5 3 2 5 3 4 4 2 5 3 2 4 4 6 2 6 2 4 4 4 2 4 6 5) 3 3 5 (6 5) 3 3 5 15 9 6 5 12 ' 3 3 5 12 6 5 15 9 ' 36 36 60 90 54 75 45 ' 45 18 60 75 126 y x x x y uv y udv vdu u x x du x x v x dv x y x x x x x x y x x x x x x x y x x x x x                                           
  • 4.
     2 4X 2 2 6)ln 7x 2x 6 ' ln 6 ' '6 ln 6 7x 2x ' 14 2 4 ' 4 14 2 4' 46 ln 6 7x 2x y uv vy u y v u u u x v x v x xy                 
  • 5.
             3 2 6 2 3 2 2 6 5 2 6 3 2 5 26 8 3 7 2 8 3 7 2 5 26 8 3 7 2 8 3 7 4 7 7) 3 5 ' ' ' 4 7 ' 3 8 3 5 ' 18 5 3 8 3 5 4 7 18 5 ' 3 5 9 15 24 40 (18 5 72 20 126 35) ' 3 5 9 15 24 40 18 5 72 ' x x y x x g g h gh y y h h g x x g x x h x x h x x x x x x x x y x x x x x x x x x x x y x x x x x x x x x y                                               2 5 26 8 7 5 3 2 26 20 126 35 3 5 9 48 126 10 20 35 ' 3 5 x x x x x x x x x y x x            