Structural organization of
proteins
Protein
Peptide Bond
Few things should be remembered:
•Three dimensional structure of a protein is determined by its amino acid sequence.
•The function of a protein depends on its structure.
•An isolated protein usually exists in one or a small number of stable structural forms.
•The most important forces stabilizing the specific structures maintained by a given
protein are noncovalent interactions.
Primary Structure of Protein
• The primary structure of a protein is its linear
sequence of amino acids and the location of any
disulfide (-S-S-) bridges.
Basic structural units of proteins:
Secondary structure
α-helix β-sheet
Secondary structures, α-helix and β-
sheet, have regular hydrogen-bonding
patterns.
Three-dimensional structure of proteins
Tertiary structure
Quaternary structure
Hierarchical nature of protein structure
Primary structure (Amino acid sequence)
↓
Secondary structure (α-helix, β-sheet)
↓
Tertiary structure (Three-dimensional structure
formed by assembly of secondary structures)
↓
Quaternary structure (Structure formed by more than
one polypeptide chains)
Protein’s Secondary structure
Most proteins contain one or more stretches of
amino acids that take on a characteristic
structure in 3-D space. The most common of
these are the alpha helix and the beta
conformation.
Secondary structure
In 1951 Linus pauling and Robert Corey first proposed two types
of secondary structure:
1.Alpha Helix
2.Beta sheet
 Both of these secondary structures are held together by hydrogen bond
between CO and NH groups of peptide bonds
 An Alpha helix is formed when a region of a polypeptide chain coils
around itself , and H bond formed between CO and NH groups of peptide
bond separated by four amino acid residues .
 In a Beta sheet , Hydrogen bonds connect two parts of a polypeptide lying
side by side .
• Rigid peptide bonds, but other single bonds are free to rotate.
• The polypeptide backbone is tightly wound around an imaginary axis drawn
longitudinally through the middle of the helix.
• The R groups of the amino acids all protrude outward from the helical backbone.
• Repeating unit is a single turn of the helix which extends about 5.4ͦ along the long
axis.
• The helix makes a complete turn every 3.6 amino acids.
• The helical twist of α helix found in all proteins is right handed.
Alpha Helix
Why does the alpha helix form more readily than many other possible
conformations?
• Alpha helix makes optimal use of internal hydrogen bonds. The structure is
stabilized by a hydrogen bond between the hydrogen atom attached to the
electronegative nitrogen atom of a peptide linkage and the electronegative
carbonyl oxygen atom of the fourth amino acid on the amino terminal side of
that peptide bond.
Alpha Helix
Amino acid sequence affects Alpha Helix stability
Five different kinds of constraints affect the stability of an Alpha Helix:
1. The electrostatic repulsion (attraction) between successive amino acid
residues with charged R groups.
2. The bulkiness of adjucent R groups
3. The interactions between amino acid side chains spaced three ( or four)
residue apart.
4. The occurrence of Pro and Gly residues. Proline’s nitrogen is in the ring,
so it is not available to make hydrogen bond; glycine has more
conformational flexibility so it tends up to take coil structure.
5. The interaction between aa residues at the ends of the helical segment and
the electric dipole inherent to the Alpha helix, (e.c. a positively charged
amino acid at the amino terminal end is destabilizing)
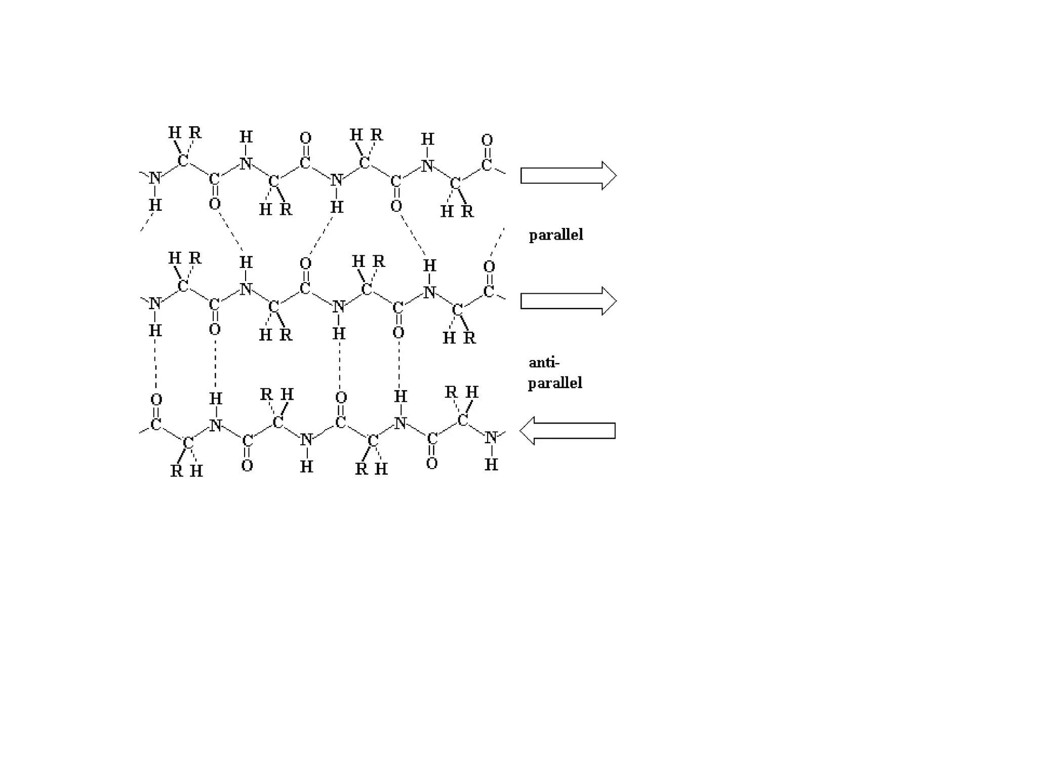
Beta sheet
 In β-conformation, the backbone of the polypeptide chain is
extended into a zigzag rather than helical structure.
 The zigzag polypeptide chains can be arranged side by side to
form a structure resembling a series of pleats.
 The adjacent polypeptide chains in a β-sheet can be either
parallel or anti parallel.
 The repeat period is for parallel conformation=6.5 Angstrom
 The repeat period for antiparallel conformation= 7 Angstrom
 Example: Silk fibroin and fibroin of spider webs ( contains
Gly and Ala)
Beta Turns
 A turn is an element of secondary structure in proteins.
 Beta turns are connecting elements that links successive runs
of Alpha Helix and Beta conformation.
 Common beta turn connects the ends of two adjacent
segment of an antiparallel beta sheet. It involves 4 amino acid
residues, with the carbonyl oxygen of the first residue forms
hydrogen bonds with the amino group hydrogen of the fourth.
 Can be type 1 and 2.
Tertiary structure
• The overall 3 dimensional arrangement of all atoms in a
protein.
• Secondary structure refers to the spatial arrangement of
amino acids that are adjacent in the primary structure,
tertiary structure includes longer range aspects of amino acid
sequence, aa that are far apart in the polypeptide sequence
and that reside in different type of secondary structure may
interact within the completely folded structure of a protein.
• Tertiary structure is the folding of the polypeptide chain as a
result of interactions between the side chains of amino acids
that lie in regions of primary sequence.
• E.g. Ribonuclease.
Quaternary structure
• Some proteins contain two or more separate
polypeptide chains or subunits, which may be
identical or different. The arrangement of
these protein subunits in three dimensional
complexes constitute quaternary structure
E.g. Hemoglobin.
10879264.ppt

10879264.ppt

  • 1.
  • 2.
  • 4.
    Few things shouldbe remembered: •Three dimensional structure of a protein is determined by its amino acid sequence. •The function of a protein depends on its structure. •An isolated protein usually exists in one or a small number of stable structural forms. •The most important forces stabilizing the specific structures maintained by a given protein are noncovalent interactions.
  • 6.
    Primary Structure ofProtein • The primary structure of a protein is its linear sequence of amino acids and the location of any disulfide (-S-S-) bridges.
  • 7.
    Basic structural unitsof proteins: Secondary structure α-helix β-sheet Secondary structures, α-helix and β- sheet, have regular hydrogen-bonding patterns.
  • 8.
    Three-dimensional structure ofproteins Tertiary structure Quaternary structure
  • 9.
    Hierarchical nature ofprotein structure Primary structure (Amino acid sequence) ↓ Secondary structure (α-helix, β-sheet) ↓ Tertiary structure (Three-dimensional structure formed by assembly of secondary structures) ↓ Quaternary structure (Structure formed by more than one polypeptide chains)
  • 10.
    Protein’s Secondary structure Mostproteins contain one or more stretches of amino acids that take on a characteristic structure in 3-D space. The most common of these are the alpha helix and the beta conformation.
  • 11.
    Secondary structure In 1951Linus pauling and Robert Corey first proposed two types of secondary structure: 1.Alpha Helix 2.Beta sheet  Both of these secondary structures are held together by hydrogen bond between CO and NH groups of peptide bonds  An Alpha helix is formed when a region of a polypeptide chain coils around itself , and H bond formed between CO and NH groups of peptide bond separated by four amino acid residues .  In a Beta sheet , Hydrogen bonds connect two parts of a polypeptide lying side by side .
  • 12.
    • Rigid peptidebonds, but other single bonds are free to rotate. • The polypeptide backbone is tightly wound around an imaginary axis drawn longitudinally through the middle of the helix. • The R groups of the amino acids all protrude outward from the helical backbone. • Repeating unit is a single turn of the helix which extends about 5.4ͦ along the long axis. • The helix makes a complete turn every 3.6 amino acids. • The helical twist of α helix found in all proteins is right handed. Alpha Helix
  • 13.
    Why does thealpha helix form more readily than many other possible conformations? • Alpha helix makes optimal use of internal hydrogen bonds. The structure is stabilized by a hydrogen bond between the hydrogen atom attached to the electronegative nitrogen atom of a peptide linkage and the electronegative carbonyl oxygen atom of the fourth amino acid on the amino terminal side of that peptide bond. Alpha Helix
  • 15.
    Amino acid sequenceaffects Alpha Helix stability Five different kinds of constraints affect the stability of an Alpha Helix: 1. The electrostatic repulsion (attraction) between successive amino acid residues with charged R groups. 2. The bulkiness of adjucent R groups 3. The interactions between amino acid side chains spaced three ( or four) residue apart. 4. The occurrence of Pro and Gly residues. Proline’s nitrogen is in the ring, so it is not available to make hydrogen bond; glycine has more conformational flexibility so it tends up to take coil structure. 5. The interaction between aa residues at the ends of the helical segment and the electric dipole inherent to the Alpha helix, (e.c. a positively charged amino acid at the amino terminal end is destabilizing)
  • 17.
    Beta sheet  Inβ-conformation, the backbone of the polypeptide chain is extended into a zigzag rather than helical structure.  The zigzag polypeptide chains can be arranged side by side to form a structure resembling a series of pleats.  The adjacent polypeptide chains in a β-sheet can be either parallel or anti parallel.  The repeat period is for parallel conformation=6.5 Angstrom  The repeat period for antiparallel conformation= 7 Angstrom  Example: Silk fibroin and fibroin of spider webs ( contains Gly and Ala)
  • 21.
    Beta Turns  Aturn is an element of secondary structure in proteins.  Beta turns are connecting elements that links successive runs of Alpha Helix and Beta conformation.  Common beta turn connects the ends of two adjacent segment of an antiparallel beta sheet. It involves 4 amino acid residues, with the carbonyl oxygen of the first residue forms hydrogen bonds with the amino group hydrogen of the fourth.  Can be type 1 and 2.
  • 23.
    Tertiary structure • Theoverall 3 dimensional arrangement of all atoms in a protein. • Secondary structure refers to the spatial arrangement of amino acids that are adjacent in the primary structure, tertiary structure includes longer range aspects of amino acid sequence, aa that are far apart in the polypeptide sequence and that reside in different type of secondary structure may interact within the completely folded structure of a protein. • Tertiary structure is the folding of the polypeptide chain as a result of interactions between the side chains of amino acids that lie in regions of primary sequence. • E.g. Ribonuclease.
  • 24.
    Quaternary structure • Someproteins contain two or more separate polypeptide chains or subunits, which may be identical or different. The arrangement of these protein subunits in three dimensional complexes constitute quaternary structure E.g. Hemoglobin.