Amines
1
2
3
4
5
6
7
8
9
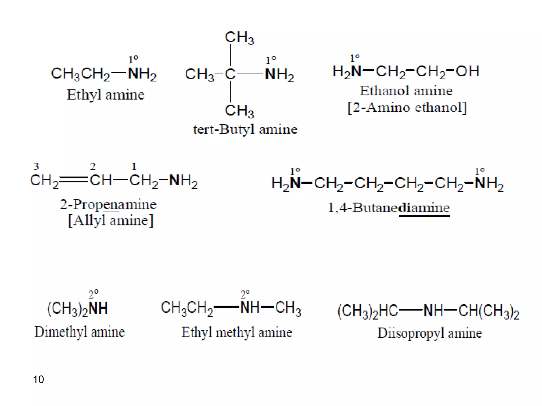
10
11
12
Physical Properties of Amines
-Amines are moderately polar. For this reason the low formula
weight amines are readily soluble in water due to the formation
of hydrogen bonds with water.
-They have higher boiling points than non-polar compounds of the
same molecular weight, because of the formation of intermolecular
hydrogen bonds, except for tertiary amines.
)Intermolecular H bonds(
)H bonds with water(
13
Physical Properties of Amines
14
Basicity of Amines
• The lone pair of electrons on nitrogen makes amines
basic and nucleophilic
• They react with acids to form acid–base salts and they
react with electrophiles
• Amines are stronger bases than alcohols, ethers, or
water
Amines as Bases
16
17
High pKa → weaker acid and stronger conjugate base.
Aliphatic amines are stronger bases than aromatic amines because of
the resonance in aromatic amines
18
Electron-donating groups increase the basicity of amines,
Electron-withdrawing groups decrease the basicity of amines
CH3
CH2
NH2 CH2
(Cl)CH2
NH2
NH2
CH3
NH2
H
NH2
NO2
>>
is stronger base than
stronger base
19
20
amines are stronger bases than amides
• Amides (RCONH2) in general are not proton acceptors except
in very strong acid
• The C=O group is strongly electron-withdrawing, making the
N a very weak base
• Addition of a proton occurs on O but this destroys the double
bond character of C=O as a requirement of stabilization by N
21
22
1-Reduction of Nitriles and Amides
Synthesis of Amines
CH2Br
NaCN
CH2C N
2 H2, Ni
CH2CH2NH2
benzyl bromide 1-amino-2-phenylethane
23
2. Reduction of nitro compounds:
24
CH3
HNO3,H2SO4
CH3
NO2
+ ortho-
H2,Ni
CH3
NH2
p-toluidine
3- Ammonolysis of 1o
or methyl halides.
R-X
NH3 RNH2
R-X
R2NH
R-X
R3N
R-X
R4N+X-
1o 2o 3o
4o
salt
R-X must be 1o
or CH3
CH3CH2CH2CH2Br
NH3
CH3CH2CH2CH2NH2
n-butylamine
27
28
4.Reductive amination:
O
H2, Ni
or NaBH3CN
CH NH2+ NH3
O
H2, Ni
or NaBH3CN
CH NHR+ RNH2
O
H2, Ni
or NaBH3CN
CH NR2+ R2NH
1o
amine
3o
amine
2o amine
• Ammonia, primary amines, and secondary amines yield
primary, secondary, and tertiary amines, respectively
Mechanism of Reductive Amination
• Imine is intermediate
H3C
C
O
CH3
acetone
NH3, H2/Ni
CH3CHCH3
NH2
isopropylamine
CCH2CH3
O
propiophenone
+ CH3CH2NH2
NaBH3CN
CHCH2CH3
NH
CH2CH3
1-(N-ethylamino)-1-phenylpropane
O
cyclohexanone
NH3, H2/Ni NH2
cyclohexylamine
5. Hofmann degradation of amides
R C
NH2
O KOBr
R-NH2
Removes one carbon!
2,2-dimethylpropanamide
OBr
CH3C
CH3
CH3
NH2
tert-butylamine
CH3C
CH3
CH3
C
O
NH2
33
34
Reactions of Amines
- The lone-pair of electrons on the nitrogen atom dominates the
chemistry of the amines and cause them to function as Lewis
bases or nucleophiles
1- Basicity. Salt formation
NH2 + HCl NH3
+Cl-
(CH3CH2)2NH + CH3COOH (CH3CH2)2NH2
+
, -
OOCCH3
anilinium chloride
diethylammonium acetate
2.Alkylation (ammonolysis of alkyl halides(
• Ammonia and other amines are good nucleophiles
CH3CH2CH2NH2
CH3Cl
CH3CH2CH2NHCH3
n-propylamine methyl-n-propylamine
NH2
2 CH3CH2Br
N
Et
Et
aniline N,N-diethylaniline
H2
C NH2
benzylamine
(xs) CH3I H2
C N
CH3
CH3
CH3 I
benzyltrimethylammonium iodide
38
3- Conversion into amides
-Primary and secondary amines react readily with acid chlorides
and acid anhydrides to form N-substituted amides.
39
40
41
-Tertiary amines do not possess a hydrogen atom bonded to
nitrogen and do not form amides with acid chlorides and acid
anhydrides.
Hinsberg Test:
unknown amine + benzenesulfonyl chloride, KOH (aq(
- Reacts to produce a clear solution and then gives a ppt upon
acidification  primary amine.
- Reacts to produce a ppt  secondary amine.
- Doesn’t react  tertiary amine.
4- Ring substitution in aromatic amines
42
-Aromatic amines can undergo substitutions on the ring.
• The amino group forms a Lewis acid–base complex with the
AlCl3 catalyst, preventing further reaction
• -NH2, -NHR, -NR2 are powerful activating groups and
ortho/para directors
• -NHCOR less powerful activator than NH2
43
NH2
+ Br2, aq.
NH2
Br Br
Br
no catalyst needed
use polar solvent
Br2,Fe
Br
HNO3
H2SO4
Br
NO2
+ ortho-
H2/Ni
Br
NH2
polyhalogenation!
NH2
CH3
+ CH3CH2Br, AlCl3
NR
Do not confuse the above with the alkylation reaction:
NH2
CH3
+ CH3CH2Br
NHCH2CH3
CH3
44
5- Hofmann Elimination
• Converts amines into alkenes
• NH2
−
is very a poor leaving group so it converted to an
alkylammonium ion, which is a good leaving group
45
6-Diazonium salts
i- Reactions of Diazonium Salts
1- Replacement of nitrogen
-Replacement of the diazonium group is the best general way of introducing
F, Cl, Br, I, CN, OH, and H into an aromatic ring.
46
(a) Replacement by – Cl, - Br, - CN. Sandmeyer reaction
47
(b) Replacement by – I
(c) Replacement by – F
48
(d) Replacement by – OH
(e) Replacement by – H
49
ii- Coupling
- Under the proper conditions, diazonium salts react with certain
aromatic compounds to yield products of the general formula
Ar – N = N – Ar', called azo compounds, this reaction, known
as coupling.
50
of the following compounds Draw structures
51
a( Triethyl amine
b( 1,5-Pentanedi amine
c( N-Isopropyl-N-methyl cyclohexyl amine
d( N-Methyl
aniline

10003553

  • 1.
  • 2.
  • 3.
  • 4.
  • 5.
  • 6.
  • 7.
  • 8.
  • 9.
  • 10.
  • 11.
  • 12.
    12 Physical Properties ofAmines -Amines are moderately polar. For this reason the low formula weight amines are readily soluble in water due to the formation of hydrogen bonds with water. -They have higher boiling points than non-polar compounds of the same molecular weight, because of the formation of intermolecular hydrogen bonds, except for tertiary amines. )Intermolecular H bonds( )H bonds with water(
  • 13.
  • 14.
  • 15.
    Basicity of Amines •The lone pair of electrons on nitrogen makes amines basic and nucleophilic • They react with acids to form acid–base salts and they react with electrophiles • Amines are stronger bases than alcohols, ethers, or water
  • 16.
  • 17.
    17 High pKa →weaker acid and stronger conjugate base.
  • 18.
    Aliphatic amines arestronger bases than aromatic amines because of the resonance in aromatic amines 18
  • 19.
    Electron-donating groups increasethe basicity of amines, Electron-withdrawing groups decrease the basicity of amines CH3 CH2 NH2 CH2 (Cl)CH2 NH2 NH2 CH3 NH2 H NH2 NO2 >> is stronger base than stronger base 19
  • 20.
    20 amines are strongerbases than amides • Amides (RCONH2) in general are not proton acceptors except in very strong acid • The C=O group is strongly electron-withdrawing, making the N a very weak base • Addition of a proton occurs on O but this destroys the double bond character of C=O as a requirement of stabilization by N
  • 21.
  • 22.
    22 1-Reduction of Nitrilesand Amides Synthesis of Amines CH2Br NaCN CH2C N 2 H2, Ni CH2CH2NH2 benzyl bromide 1-amino-2-phenylethane
  • 23.
    23 2. Reduction ofnitro compounds:
  • 24.
  • 25.
  • 26.
    3- Ammonolysis of1o or methyl halides. R-X NH3 RNH2 R-X R2NH R-X R3N R-X R4N+X- 1o 2o 3o 4o salt R-X must be 1o or CH3 CH3CH2CH2CH2Br NH3 CH3CH2CH2CH2NH2 n-butylamine
  • 27.
  • 28.
  • 29.
    4.Reductive amination: O H2, Ni orNaBH3CN CH NH2+ NH3 O H2, Ni or NaBH3CN CH NHR+ RNH2 O H2, Ni or NaBH3CN CH NR2+ R2NH 1o amine 3o amine 2o amine • Ammonia, primary amines, and secondary amines yield primary, secondary, and tertiary amines, respectively
  • 30.
    Mechanism of ReductiveAmination • Imine is intermediate
  • 31.
  • 32.
    5. Hofmann degradationof amides R C NH2 O KOBr R-NH2 Removes one carbon! 2,2-dimethylpropanamide OBr CH3C CH3 CH3 NH2 tert-butylamine CH3C CH3 CH3 C O NH2
  • 33.
  • 34.
    34 Reactions of Amines -The lone-pair of electrons on the nitrogen atom dominates the chemistry of the amines and cause them to function as Lewis bases or nucleophiles 1- Basicity. Salt formation
  • 35.
    NH2 + HClNH3 +Cl- (CH3CH2)2NH + CH3COOH (CH3CH2)2NH2 + , - OOCCH3 anilinium chloride diethylammonium acetate
  • 36.
    2.Alkylation (ammonolysis ofalkyl halides( • Ammonia and other amines are good nucleophiles
  • 37.
    CH3CH2CH2NH2 CH3Cl CH3CH2CH2NHCH3 n-propylamine methyl-n-propylamine NH2 2 CH3CH2Br N Et Et anilineN,N-diethylaniline H2 C NH2 benzylamine (xs) CH3I H2 C N CH3 CH3 CH3 I benzyltrimethylammonium iodide
  • 38.
    38 3- Conversion intoamides -Primary and secondary amines react readily with acid chlorides and acid anhydrides to form N-substituted amides.
  • 39.
  • 40.
  • 41.
    41 -Tertiary amines donot possess a hydrogen atom bonded to nitrogen and do not form amides with acid chlorides and acid anhydrides. Hinsberg Test: unknown amine + benzenesulfonyl chloride, KOH (aq( - Reacts to produce a clear solution and then gives a ppt upon acidification  primary amine. - Reacts to produce a ppt  secondary amine. - Doesn’t react  tertiary amine.
  • 42.
    4- Ring substitutionin aromatic amines 42 -Aromatic amines can undergo substitutions on the ring. • The amino group forms a Lewis acid–base complex with the AlCl3 catalyst, preventing further reaction • -NH2, -NHR, -NR2 are powerful activating groups and ortho/para directors • -NHCOR less powerful activator than NH2
  • 43.
    43 NH2 + Br2, aq. NH2 BrBr Br no catalyst needed use polar solvent Br2,Fe Br HNO3 H2SO4 Br NO2 + ortho- H2/Ni Br NH2 polyhalogenation! NH2 CH3 + CH3CH2Br, AlCl3 NR Do not confuse the above with the alkylation reaction: NH2 CH3 + CH3CH2Br NHCH2CH3 CH3
  • 44.
    44 5- Hofmann Elimination •Converts amines into alkenes • NH2 − is very a poor leaving group so it converted to an alkylammonium ion, which is a good leaving group
  • 45.
    45 6-Diazonium salts i- Reactionsof Diazonium Salts 1- Replacement of nitrogen -Replacement of the diazonium group is the best general way of introducing F, Cl, Br, I, CN, OH, and H into an aromatic ring.
  • 46.
    46 (a) Replacement by– Cl, - Br, - CN. Sandmeyer reaction
  • 47.
    47 (b) Replacement by– I (c) Replacement by – F
  • 48.
    48 (d) Replacement by– OH (e) Replacement by – H
  • 49.
    49 ii- Coupling - Underthe proper conditions, diazonium salts react with certain aromatic compounds to yield products of the general formula Ar – N = N – Ar', called azo compounds, this reaction, known as coupling.
  • 50.
  • 51.
    of the followingcompounds Draw structures 51 a( Triethyl amine b( 1,5-Pentanedi amine c( N-Isopropyl-N-methyl cyclohexyl amine d( N-Methyl aniline