Rational Expressions and Equations




                                     1
Rational Expression ­ an algebraic expression that can be written as 
the quotient of two polynomials.



                    Numerator


                    A
                    B

           Denominator
                                    Where B≠0




                                                                        2
Undefined ­ An expression is undefined when its denominator is 
equal to zero.
                         Numerator


                           A
                           B

                  Denominator
                                      Where B≠0




Non­permissible values ­ values of the variable that give a zero 
(undefined) value for the denominator.




                                                                    3
Example : Find the non­permissible values

a)   3                        b)   ­ 2 
     6                           x ­ 1



c)    1                       d)   x   
 ( x2 ­ 4 )                     x ­ 5




                                            4
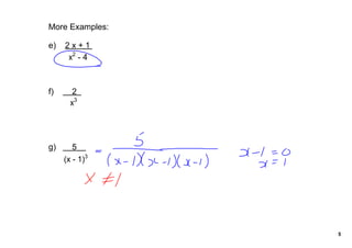
More Examples:

e)    2 x + 1 
       x2 ­ 4



f)        2  
         x3




g)       5    
     (x ­ 1)3




                 5
Simplifying Rational Expressions (Lowest Terms)

We can simplify rational expressions by:

1) Factoring the numerator and the denominator.

2) Divide out any factors that are common to both the numerator and the 
denominator.

         ie.   a)   6 ( 12 )         
                       24


                   2
              b)  x_ ( x + 1 )
                 x ( x + 1 )3

3) The Expression is simplified or reduced if the numerator and the 
demoninator have no factors in common except for 1


                                                                           6
Example 2  Simplify and state the non­permissible values:

a) 2x                                       c)   x2 ­ x
                                               _______
   4x
                                               x2 + x ­ 2



b) 3xa2b3
  ______                              d)   a ­ b 
                                         _______
     6ab                                  b2 ­ a2




 




                                                            7
Assignment 

p 158 questions 1­18




                       8
9

1 Rational Expressions Mar 1