Download free for 30 days
Sign in
Upload
Language (EN)
Support
Business
Mobile
Social Media
Marketing
Technology
Art & Photos
Career
Design
Education
Presentations & Public Speaking
Government & Nonprofit
Healthcare
Internet
Law
Leadership & Management
Automotive
Engineering
Software
Recruiting & HR
Retail
Sales
Services
Science
Small Business & Entrepreneurship
Food
Environment
Economy & Finance
Data & Analytics
Investor Relations
Sports
Spiritual
News & Politics
Travel
Self Improvement
Real Estate
Entertainment & Humor
Health & Medicine
Devices & Hardware
Lifestyle
Change Language
Language
English
Español
Português
Français
Deutsche
Cancel
Save
EN
Uploaded by
mskarras
216 views
Relations and functions quiz correction june 2
Education
◦
Read more
0
Save
Share
Embed
Embed presentation
Download
Download to read offline
1
/ 5
2
/ 5
3
/ 5
4
/ 5
5
/ 5
More Related Content
PDF
La communication sur les réseaux sociaux orientée pour les établissements d'e...
by
Guillaume Guérin
PDF
Relations and functions quiz correction june 2
by
mskarras
PDF
Plaquette de présentation de MySpheres
by
pbloquet
PPTX
Entretenir Ses Connaissances
by
THEBAULT
PPTX
Esempio Delleffetto Di Ripetizione Sulla Rievocazione
by
elena15987
PPTX
Presentazione Standard1
by
elena15987
PPT
Wealth Of Networks Info Intellectual P
by
rleslein
PPTX
Conférence infopresse real time bidding-6 juin
by
genguay
La communication sur les réseaux sociaux orientée pour les établissements d'e...
by
Guillaume Guérin
Relations and functions quiz correction june 2
by
mskarras
Plaquette de présentation de MySpheres
by
pbloquet
Entretenir Ses Connaissances
by
THEBAULT
Esempio Delleffetto Di Ripetizione Sulla Rievocazione
by
elena15987
Presentazione Standard1
by
elena15987
Wealth Of Networks Info Intellectual P
by
rleslein
Conférence infopresse real time bidding-6 juin
by
genguay
Viewers also liked
PPT
L’imparfait
by
EstefaniaCanovas
PPT
Les entreprises en Poitou-Charentes : Bilan 2009-Perspectives 2010
by
guest28ebe7
PPT
Parc ecologique
by
Paisaje y Sociedad, Clase 2010-2
PPTX
Modulasi digital
by
Mulkan Fadhli
PPTX
Mitosis Flip Book
by
Laxlife9
PDF
Management hiperkalemia
by
Mulkan Fadhli
PPT
Filariasis limfatik
by
Mulkan Fadhli
PPT
Enterobius vermicularis
by
Mulkan Fadhli
PPT
Proses menua dan implikasinya
by
Mulkan Fadhli
PDF
Radioterapi of lung cancer
by
Mulkan Fadhli
PPT
SEMANA NACIONAL DE TRÂNSITO - OQUERLINA TORRES
by
roneyvo
PPT
Enlightened Privacy – by Design for a Smarter Grid
by
bradley_g
PPS
Hymne a la_beauté_du_monde
by
Daklak Training College
PPT
Avoid Privacy by Disaster by Adopting Privacy by Design
by
bradley_g
PDF
The hero-birpurush
by
RUNABASU
PPT
'My street' - A Cambridge project : by Akshat Kedia , Birla High School, Class V
by
RUNABASU
PPT
Projeto páscoa solidária
by
roneyvo
L’imparfait
by
EstefaniaCanovas
Les entreprises en Poitou-Charentes : Bilan 2009-Perspectives 2010
by
guest28ebe7
Parc ecologique
by
Paisaje y Sociedad, Clase 2010-2
Modulasi digital
by
Mulkan Fadhli
Mitosis Flip Book
by
Laxlife9
Management hiperkalemia
by
Mulkan Fadhli
Filariasis limfatik
by
Mulkan Fadhli
Enterobius vermicularis
by
Mulkan Fadhli
Proses menua dan implikasinya
by
Mulkan Fadhli
Radioterapi of lung cancer
by
Mulkan Fadhli
SEMANA NACIONAL DE TRÂNSITO - OQUERLINA TORRES
by
roneyvo
Enlightened Privacy – by Design for a Smarter Grid
by
bradley_g
Hymne a la_beauté_du_monde
by
Daklak Training College
Avoid Privacy by Disaster by Adopting Privacy by Design
by
bradley_g
The hero-birpurush
by
RUNABASU
'My street' - A Cambridge project : by Akshat Kedia , Birla High School, Class V
by
RUNABASU
Projeto páscoa solidária
by
roneyvo
More from mskarras
PDF
Precal practice test answer key
by
mskarras
PDF
January 2007 exam a answer key
by
mskarras
PDF
January 2007 exam a
by
mskarras
PDF
2 quadrilaterals problems june 14
by
mskarras
PDF
Consumer review answer key
by
mskarras
PDF
1 quadrilaterals - classifying
by
mskarras
PDF
Relations and functions june 7
by
mskarras
PDF
Relations and functions june 8
by
mskarras
PDF
Exam prep consumer 40 s
by
mskarras
PDF
Relations and functions domain and range may 31
by
mskarras
PDF
3 statistics normal distribution may 25
by
mskarras
PDF
2 statistics -standard deviation may 20
by
mskarras
PDF
1 statistics - percentile may 18
by
mskarras
PDF
4 data analysis circle graphs may 28
by
mskarras
PDF
1 data analysis -line plots masy 19
by
mskarras
PDF
3 data analysis bar graphs may 27
by
mskarras
PDF
2 data analysis central tendancies may 21
by
mskarras
PDF
PreCal 20 s trig test key
by
mskarras
PDF
Trigonometry circular fcn
by
mskarras
PDF
3 trigonometry -sine law
by
mskarras
Precal practice test answer key
by
mskarras
January 2007 exam a answer key
by
mskarras
January 2007 exam a
by
mskarras
2 quadrilaterals problems june 14
by
mskarras
Consumer review answer key
by
mskarras
1 quadrilaterals - classifying
by
mskarras
Relations and functions june 7
by
mskarras
Relations and functions june 8
by
mskarras
Exam prep consumer 40 s
by
mskarras
Relations and functions domain and range may 31
by
mskarras
3 statistics normal distribution may 25
by
mskarras
2 statistics -standard deviation may 20
by
mskarras
1 statistics - percentile may 18
by
mskarras
4 data analysis circle graphs may 28
by
mskarras
1 data analysis -line plots masy 19
by
mskarras
3 data analysis bar graphs may 27
by
mskarras
2 data analysis central tendancies may 21
by
mskarras
PreCal 20 s trig test key
by
mskarras
Trigonometry circular fcn
by
mskarras
3 trigonometry -sine law
by
mskarras
Recently uploaded
PDF
"Perfection of a Kind": A New Critical Reading of W.H. Auden’s Epitaph on a T...
by
Kruti Vyas
PDF
Family and Marriage __ Sociology __ Jhasketan Kuanar __ NURSING VIBE ONLY .pdf
by
JK NURSING VIBES ONLY JHASKETAN KUANAR
PDF
Workshop 29 Crystal Review All Students by YogiGoddess
by
©LDMMIA, ©Reiki Yoga
PPTX
Types of counselling Directive, Non Directive, Eclectic Counselling
by
Priya Sush
PPT
Synthesis Repertory.ppt,Repertorium Homoepathicum syntheticum
by
Dr Dhwanika Dhagat
PPTX
A Memory of Two Mondays by Arthur Miller
by
DhatriParmar
PPTX
WEEK 2 (2).pptx TLE COOKERY 10 QUARTER 4
by
ResynFayeCortez2
PDF
Chapter 05 Drugs Acting on the Central Nervous System: Anticonvulsant (Antiep...
by
SandeshSul
PDF
Conservation of Earthen Structures in India Preserving Traditional and Sustai...
by
Aman Kumar Singh
PPTX
Return For Exchange in Odoo 18 Inventory
by
Celine George
PPTX
Greengnorance Toolkit Module 2 Energy saving
by
Karl Donert
PPTX
ELIMINATION NEEDS Fundamentals of Nursing .pptx
by
Sonali Gupta
PPTX
Plant fibres used as surgical dressings & Sutures – Surgical Catgut and Ligat...
by
Sai Meer College of Pharmacy
PPTX
Greengnorance Toolkit Module 4 Active Mobility and Transport
by
Karl Donert
PDF
Chapter 05 Drugs Acting on the Central Nervous System: Anti-Depressant Drugs
by
SandeshSul
PDF
Nursing care plan for Vomiting /B.Sc nsg
by
Dr. Sudhadevi Sadanandan
PDF
The Sheep and the Goat: Beckett’s Subversion of Divine Justice in Waiting for...
by
sejadchokiya
PDF
Judgement Regarding Land Acquisition Act not Applicable to Encroachers.pdf
by
ssuser9d8e4e
PPTX
13 February 2026 - Bullying in education prevalence, impact and responses acr...
by
EduSkills OECD
PPTX
How to perform product search based on a custom field from the Website Shop p...
by
Celine George
"Perfection of a Kind": A New Critical Reading of W.H. Auden’s Epitaph on a T...
by
Kruti Vyas
Family and Marriage __ Sociology __ Jhasketan Kuanar __ NURSING VIBE ONLY .pdf
by
JK NURSING VIBES ONLY JHASKETAN KUANAR
Workshop 29 Crystal Review All Students by YogiGoddess
by
©LDMMIA, ©Reiki Yoga
Types of counselling Directive, Non Directive, Eclectic Counselling
by
Priya Sush
Synthesis Repertory.ppt,Repertorium Homoepathicum syntheticum
by
Dr Dhwanika Dhagat
A Memory of Two Mondays by Arthur Miller
by
DhatriParmar
WEEK 2 (2).pptx TLE COOKERY 10 QUARTER 4
by
ResynFayeCortez2
Chapter 05 Drugs Acting on the Central Nervous System: Anticonvulsant (Antiep...
by
SandeshSul
Conservation of Earthen Structures in India Preserving Traditional and Sustai...
by
Aman Kumar Singh
Return For Exchange in Odoo 18 Inventory
by
Celine George
Greengnorance Toolkit Module 2 Energy saving
by
Karl Donert
ELIMINATION NEEDS Fundamentals of Nursing .pptx
by
Sonali Gupta
Plant fibres used as surgical dressings & Sutures – Surgical Catgut and Ligat...
by
Sai Meer College of Pharmacy
Greengnorance Toolkit Module 4 Active Mobility and Transport
by
Karl Donert
Chapter 05 Drugs Acting on the Central Nervous System: Anti-Depressant Drugs
by
SandeshSul
Nursing care plan for Vomiting /B.Sc nsg
by
Dr. Sudhadevi Sadanandan
The Sheep and the Goat: Beckett’s Subversion of Divine Justice in Waiting for...
by
sejadchokiya
Judgement Regarding Land Acquisition Act not Applicable to Encroachers.pdf
by
ssuser9d8e4e
13 February 2026 - Bullying in education prevalence, impact and responses acr...
by
EduSkills OECD
How to perform product search based on a custom field from the Website Shop p...
by
Celine George
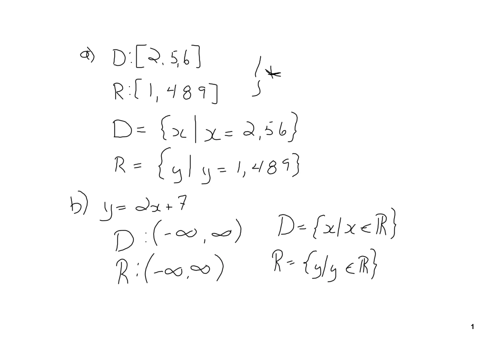
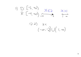
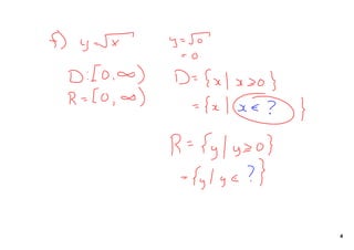
Relations and functions quiz correction june 2
1.
1
2.
2
3.
3
4.
4
5.
5
Download