เนืÊอหาทีÉจะต้องเรียนในบททีÉ 1 อะตอมและตารางธาตุ 
บททีÉ ř อะตอมและตารางธาตุ 
1.1 แบบจำลองอะตอม 
1.1.1 แบบจำลองอะตอมของดอลตัน 
1.1.2 แบบจำลองอะตอมของทอมสัน 
1.1.3 แบบจำลองอะตอมของรัทเทอร์ฟอร์ด 
1.1.4 แบบจำลองอะตอมของโบร์ 
1.1.5 แบบจำลองอะตอมของกลุ่มหมอก 
1.1.6 การจัดอิเล็กตรอนในอะตอม 
1.2 ตารางธาตุ 
1.2.1 วิวัฒนาการของการสร้างตารางธาตุ 
1.2.2 สมบัติของธาตุตามหมู่และตามคาบ 
1) ขนาดอะตอม 
2) รัศมีไอออน 
3) พลังงานไอออไนเซชัน 
4) อิเล็กโทรเนกาติวิตี 
5) สัมพรรคภาพอิเล็กตรอน 
6) จุดหลอมเหลวและจุดเดือด 
7) เลขออกซิเดชัน 
โดย อรณี หัสเสม : เรียบเรียง 1 
อนุภาคมูลฐานของอะตอม 
เลขอะตอม เลขมวล ไอโซโทป ไอโซโทน ไอโซบาร์
บททีÉ ř อะตอมและตารางธาตุ 
1. แบบจำลองอะตอม 
โดย อรณี หัสเสม : เรียบเรียง 2 
 ในสมัยโบราณมีนักปราชญ์ชาวกรีก ชÉือ ดิโมคริตุส (Democritus) เชÉือว่า เมÉือย่อยสารลงเรÉือย ๆ จะได้ส่วนทÉีเล็ก 
ทÉีสุดซึÉงไม่สามารถทำให้เล็กลงกว่าเดิมได้อีก และเรียกอนุภาคขนาดเล็กทÉีสุดว่า อะตอม ซึÉงคำว่า "อะตอม" 
(atom) เป็นคำซึÉงมาจากภาษากรีกว่า (atomas) แปลว่า แบ่งแยกอีกไม่ได้ 
 สสารทัÊงหลายประกอบด้วยอนุภาค ทÉีเล็กทÉีสุด (สสารเกิดจากอะตอมรวมตัวกันขึÊนนันÉเอง) 
 ในสมัยนัÊนก็ยังไม่มีเครÉืองมือทÉีสามารถพิสูจน์และสนับสนุนแนวความคิดทÉีแน่นอนได้ จึงทำให้ไม่ทราบว่า 
อะตอมมีโครงสร้างเป็นอย่างไร จึงมีการเสนอให้มีแบบจำลองอะตอมขึÊน 
 แบบจำลองอะตอม (Atomic model) คือ ภาพทางความคิดทีÉแสดงให้เห็น รายละเอียดของโครงสร้างอะตอม ทีÉ 
สอดคล้องกับผลการทดลองต่าง ๆ ซึÉงได้แก่ 
1.1 แบบจำลองอะตอมของดอลตัน โดย จอห์น ดอลตัน 
สาระสำคัญ 
 ธาตุประกอบด้วยอนุภาคเล็ก ๆ หลายอนุภาค อนุภาคเล็ก ๆ นีÊ เรียกว่า อะตอม ซึÉงแบ่งแยกไม่ได้ และทำให้ 
สูญหายไม่ได้ 
 อะตอมของธาตุชนิดเดียวกันจะมีสมบัติเหมือนกัน เช่น มีมวลเท่ากัน แต่มีสมบัติต่างจากอะตอมของธาตุอÉืน 
 สารประกอบเกิดจากอะตอมของธาตุมากกว่าหนึÉงชนิด ทำปฏิกิริยาเคมีในอัตราส่วนทÉีเป็นลงตัวน้อย ๆ 
ลักษณะของแบบจำลองอะตอมของดอลตัน 
 อะตอมมีขนาดเล็กมาก เป็น ทรงกลมตัน ซึÉงเขียนเป็นรูปได้ ดังนีÊ 
แบบจำลองอะตอมของดอลตัน 
 แต่ต่อมา มีการศึกษาเกÉียวกับอะตอมเพิÉมขึÊน และค้นพบข้อมูลบางประการทÉีไม่สนับสนุนแนวคิดของ 
จอหน์ ดอลตัน เช่น อะตอมของธาตุชนิดเดียวกัน อาจมีมวลไม่เท่ากันก็ได้ และอะตอมสามารถแบ่งแยกได้ 
เป็นต้น 
 นักวิทยาศาสตร์รุ่นต่อมา ได้ศึกษาเพิÉมเติม และสร้างแบบจำลองอะตอมขึÊนใหม่ คือ เซอร์โซเซฟ จอห์น 
ทอมสัน
โดย อรณี หัสเสม : เรียบเรียง 3 
1.2 แบบจำลองอะตอมของทอมสัน โดย เซอร์โจเซฟ จอห์น ทอมสัน ศึกษาการนำไฟฟ้าของแก๊ส 
การนำไฟฟ้าของแก๊ส 
 ปกติแก๊สเป็นตัวนำไฟฟ้าทีÉไม่ดี แต่ก็นำไฟฟ้าได้ ปรากฏการณ์ทÉียืนยันได้ว่าแก๊สนำไฟฟ้าได้ก็คือ การเกิดฟ้าแลบ ฟ้าผ่า 
 แก๊สนำไฟฟ้าได้ดีขึÊน เมÉือแก๊สมีความดันตํÉา ๆ และมีความต่างศักย์ของขัÊวไฟฟ้าสูง ๆ 
 แก๊สนำไฟฟ้าได้ เพราะแก๊สสามารถแตกตัวเป็นไอออนบวก (โปรตอน) และไอออนลบ (อิเล็กตรอน) เมืÉออยู่ใน 
สนามไฟฟ้าศักย์สูง ๆ 
 เซอร์ โจเซฟ จอห์น ทอมสัน (J.J Thomson) นักวิทยาศาสตร์ชาวอังกฤษได้สนใจปรากฏการณ์ทÉีเกิดขึÊนใน 
หลอดรังสีแคโทด (มีลักษณะ ดังรูป) 
 ซึÉงได้ทำการทดลองเกÉียวกับการนำไฟฟ้าของแก๊สขึÊนในปี พ.ศ. ŚŜŜŘ (ค.ศ. řŠšş) ซึÉงทำการทดลอง 3 การทดลอง 
สรุปผลได้ดังต่อไปนีÊ 
การทดลองทีÉ ř ทดลองการนำไฟฟ้าของแก๊ส (โดยใช้หลอดรังสีแคโทด) 
(ขัÊวลบ ) (ขัÊวบวก) 
วิธีทดลอง 
 บรรจุแก๊ส (แก๊ส ประกอบด้วยอะตอมของธาตุ) ในหลอดรังสีแคโทด ทีÉสูบอากาศออกจนหมด (เป็นสุญญากาศ) 
 เจาะรูทÉีขัÊวบวก (แอโนด) และ นำฉากเรืองแสงวางขวางหลอด จากนัÊนต่อขัÊวไฟฟ้าเข้าเครÉืองกำเนิดไฟฟ้าศักย์สูง 
ดังรูป 
ผลทีÉเกิดขึÊน เห็นจุดสว่างบนฉากเรืองแสง 
สรุปผลการทดลอง 
 รังสีเดินทางเป็นเส้นตรงจากขัÊวแคโทด (ขัÊวบวก) ไปยังขัÊวแอโนด (ขัÊวลบ) 
 รังสีมีการทะลุผ่านอนุภาคของแก๊ส (ทะลุอะตอมของแก๊สนัÉนเอง) ไปปรากฏทีÉฉากเรืองแสง 
ดังนัÊน แก๊สสามารถนำไฟฟ้าได้ทÉีความต่างศักย์ไฟฟ้าสูง 
 แสดงว่า อะตอมไม่ได้มีลักษณะเป็นทรงกลมตันอย่างทีÉ จอห์น ดอลตัน เสนอแนวคิดไว้ 
ข้อสังเกต รังสีทÉีเกิดขึÊน เกิดจากโลหะทÉีทำแคโทด และจากแก๊สทÉีบรรจุในหลอดรังสีแคโทด
 การทดลองทีÉ Ś การค้นพบอิเล็กตรอน (ประจุลบ) 
+ 
- 
(ขัÊวลบ ) (ขัÊวบวก) 
โดย อรณี หัสเสม : เรียบเรียง 4 
วิธีทดลอง 
 เตรียมหลอดรังสีแคโทดเหมือนการทดลองทีÉ 1 
 เจาะรูทÉีขัÊวบวก (แอโนด) และ นำฉากเรืองแสงวางขวางหลอด แต่การทดลองนีÊจะ นำสนามไฟฟ้า วางในแนวตัÊง 
ระหว่าง ขัÊวแอโนดกับฉากเรืองแสง จากนัÊนต่อขัÊวไฟฟ้าเข้าเครÉืองกำเนิดไฟฟ้าศักย์สูง ดังรูป 
ผลทÉีเกิดขÊึน เกิดจุดสว่างบนฉากเรืองแสงในทิศเข้าหาขัÊวบวก ของสนามไฟฟ้า 
สรุปผลการทดลอง 
 รังสีเดินทางเป็นเส้นตรงจากขัÊวแคโทด (ขัÊวบวก) ไปยังขัÊวแอโนด (ขัÊวลบ) และเบนเข้าหาขัÊวบวกของสนามไฟฟ้า 
ไปปรากฏบนฉากเรืองแสง ดังรูป 
 แสดงว่า รังสีทÉีเกิดขึÊน ประกอบด้วยอนุภาคลบ เรียกรังสีนีÊว่า รังสีแคโทด 
 ดังนัÊน อะตอมทุกชนิดจะมีประจุลบ เป็นองค์ประกอบ และเรียกอนุภาคนีÊว่า อิเล็กตรอน 
 และยังได้หาค่าอัตราส่วนประจุต่อมวล (e/m) ของอิเล็กตรอนโดยใช้สนามแม่เหล็กและสนามไฟฟ้าช่วยในการ 
หา ซึÉงได้ค่าประจุต่อมวลของอิเล็กตรอนเท่ากับ ř.şŞ x 108 คูลอมบ์ ต่อ กรัม 
 การทดลองทีÉ ś การค้นพบโปรตอน (ประจุบวก) 
วิธีทดลอง 
 เตรียมหลอดรังสีแคโทดเหมือนการทดลองทÉี 1 และ 2 แต่เจาะรูทัÊงขัÊวแคโทด และ แอโนด 
 จากนัÊนนำฉากเรืองแสงวางขวางหลอดทัÊงสองด้าน และต่อขัÊวไฟฟ้าเข้าเครÉืองกำเนิดไฟฟ้าศักย์สูง ดังรูป 
ผลทÉีเกิดขÊึน เกิดจุดสว่างบนฉากเรืองแสงทัÊงสองด้าน 
สรุปผลการทดลอง 
 เมÉือผ่านกระแสไฟฟ้าเข้าไปในหลอดรังสีแคโทดจะมีอนุภาคชนิดหนึÉงเคลÉือนทÉีเป็นเส้นตรงไปในทิศทางตรงกันข้าม 
กับการเคลÉือนทÉีของรังสีแคโทดผ่านรูของ ขัÊวแคโทด และทำให้ฉากด้านหลังขัÊวแคโทดเรืองแสงได้ 
 แสดงว่า รังสีทÉีเกิดขึÊน ประกอบด้วยอนุภาคบวก 
 ดังนัÊน อะตอมทุกชนิดจะมีประจุบวก เป็นองค์ประกอบ และเรียกอนุภาคนีÊว่า โปรตอน
โดย อรณี หัสเสม : เรียบเรียง 5 
 จากการทดลอง 3 การทดลองของทอมสัน สามารถสรุป แบบจำลองอะตอมของทอมสัน ดังนีÊ 
1. อะตอมมีลักษณะกลวง (ไม่ได้ ตัน เหมือนทีÉดอลตันบอก) 
2. อะตอมประกอบด้วยอนุภาคโปรตอน (ประจุบวก) และอนุภาคลบ (ประจุลบ) กระจายอยทูั่วÉไปอย่างสมํÉาเสมอ 
และอะตอมทีÉเป็นกลางทางไฟฟ้า จะมีจำนวนประจุบวก กับประจุลบเท่ากัน ดังรูป 
แบบจำลองอะตอมของทอมสัน 
1.3 แบบจำลองอะตอมของรัทเทอร์ฟอร์ด โดย เซอร์ เออร์เนสต์ รัทเทอร์ฟอร์ด 
 ศึกษาแบบจำลองอะตอมของทอมสัน และเกิดความสงสัยว่าอะตอมจะมีโครงสร้างตามแบบจำลองของทอมสันจริง 
หรือไม่ โดยตัÊงสมมติฐานว่า 
“ถ้าอะตอมมีโครงสร้างตามแบบจำลองของทอมสันจริง ดังนัÊน เมืÉอยิงอนุภาคแอลฟาซึÉงมีประจุไฟฟ้าเป็นบวก 
เข้าไปในอะตอม แอลฟาทุกอนุภาคจะทะลุผ่านเป็นเส้นตรงทัÊงหมด เนืÉองจากอะตอมมีความหนาแน่นของประจุบวก 
และประจุลบสมํÉาเสมอเหมือนกันหมดทัÊงอะตอม” 
 เพÉือพิสูจน์สมมติฐานนีÊ รัทเทอร์ฟอร์ดได้ทำการทดลองยิงอนุภาคแอลฟาไปยังแผ่นทองคำบาง ๆ โดยมีความหนาไม่เกิน 
řŘ–Ŝ cm โดยมีฉากสารเรืองแสงรองรับ ดังรูป 
 ปรากฏผลการทดลอง ดังนีÊ 
1. อนุภาคส่วนมากเคลÉือนทÉีทะลุผ่านแผ่นทองคำเป็นเส้นตรง 
2. อนุภาคส่วนน้อยเบีÉยงเบนไปจากเส้นตรง 
3. อนุภาคส่วนน้อยมากสะท้อนกลับมาด้านหน้าของแผ่นทองคำ 
 ถ้าแบบจำลองอะตอมของทอมสันถูกต้อง เมÉือยิงอนุภาคแอลฟาไปยังแผ่นทองคำบาง ๆ นีÊ อนุภาคแอลฟาควรพุ่งทะลุผ่าน 
เป็นเส้นตรงทัÊงหมดหรือเบÉียงเบนเพียงเล็กน้อย เพราะอนุภาคแอลฟามีประจุบวกจะเบÉียงเบนเมÉือกระทบกับประจุบวกทÉี 
กระจายอยู่ในอะตอม 
 แต่แบบจำลองอะตอมของทอมสันอธิบายผลการทดลองของรัทเทอร์ฟอร์ดไม่ได้ รัทเทอร์ฟอร์ดจึงเสนอแบบจำลอง 
อะตอมขึÊนมาใหม่
 สรุปแบบจำลองอะตอมของรัทเทอร์ฟอร์ด ดังนีÊ 
โดย อรณี หัสเสม : เรียบเรียง 6 
“อะตอมประกอบด้วยนิวเคลียสทีÉมีโปรตอนรวมกันอยู่ตรงกลาง นิวเคลียสมีขนาดเล็กแต่มีมวลมาก และมีประจุ 
บวก ส่วนอิเล็กตรอนซึÉงมีประจุลบและมีมวลน้อยมากวิÉงอยรู่อบ ๆ นิวเคลียส” 
เกิดเป็นแบบจำลองอะตอมของรัทเทอร์ฟอร์ด ดังนีÊ 
แบบจำลองอะตอมของรัทเทอร์ฟอร์ด 
 ในการทดลองของรัทเทอร์ฟอร์ดสรุปว่าอะตอมมีโปรตอนและอิเล็กตรอนเป็นองค์ประกอบ ดังนัÊน การคิดมวลอะตอมควรคิด 
จากมวลโปรตอนรวมกับมวลของอิเล็กตรอน แต่มวลของอิเล็กตรอนน้อยมาก การคิดมวลอะตอมจึงคิดจากมวลโปรตอน 
 พบว่ามวลโปรตอน ř โปรตอนเท่ากับ ř.ş x 10–24 กรัม หรือคิดเป็น ř หน่วยมวลอะตอม (ř amu = 1 atomic mass unit) 
 ดังนัÊนมวลอะตอมควรมีค่าเท่ากับหรือใกล้เคียงกับจำนวนโปรตอน 
 แต่จากการทดลองกลับพบว่ามวลอะตอมจริง ๆ มีค่าเป็น Ś เท่าหรือมากกว่า Ś เท่าของจำนวนโปรตอน 
 ในปี พ.ศ. ŚŜŞś (หรือค.ศ.řšŚŘ) รัทเทอร์ฟอร์ดได้เสนอความเห็นว่าน่าจะมีอนุภาคอีกชนิดหนึÉงทÉีเป็นกลางทางไฟฟ้าซึÉงมีมวล 
ใกล้เคียงกับมวลโปรตอน 
 ต่อมาในปี พ.ศ. ŚŜşŝ (ค.ศ. řšśŚ) เจมส์ แชดวิก (James Chadwick) ได้ค้นพบอนุภาคอีกชนิดหนึÉง ไม่มีประจุไฟฟ้า และตัÊงชÉือ 
ว่า “นิวตรอน” (neutron) นิวตรอนมีมวลน้อยกว่าโปรตอนเล็กน้อย โดยมีมวลเท่ากับ ř.Şşŝ x 10–24 กรัม 
 และรัทเทอร์ฟอร์ดได้เสนอว่านิวตรอนเป็นอนุภาคทีÉอยู่ในนิวเคลียสของอะตอม 
 ปัจจุบันนักวิทยาศาสตร์พบว่าโปรตอนและนิวตรอนอัดกันแน่นอยใู่นนิวเคลียสยึดเหนÉียวกันด้วยแรงนิวเคลียร์ (nuclear 
force) และอนุภาคทีÉประกอบเป็นนิวเคลียสเรียกว่า “นิวคลีออน” (nucleon)
 อนุภาคมูลฐานของอะตอม ประกอบด้วย 
1. ประจุลบ (อิเล็กตรอน , e- ) 
2. ประจุบวก (โปรตอน , p) 
3. ประจุทีÉเป็นกลาง (นิวตรอน , n ) 
 มวลของอะตอม = มวลของนิวเคลียส = มวลของโปรตอน (p) + มวลของนิวตรอน (n) 
เลขอะตอม = จำนวนโปรตอน (p) 
เลขมวล = จำนวนโปรตอน (p) + จำนวนนิวตรอน (n) 
จำนวนโปรตอน (p) = จำนวนอิเล็กตรอน (e-) 
ตารางแสดงรายละเอียดอนุภาคมูลฐานของอะตอม 
อนุภาค สัญลักษณ์ มวล (กรัม) ประจุไฟฟ้า (คูลอมบ์) ชนิดประจุไฟฟ้า 
อิเล็กตรอน e- 9.109 x 10-28 1.602 x 10-19 -1 
โปรตอน p 1.673 x 10-24 1.602 x 10-19 +1 
นิวตรอน n 1.675 x 10-24 0 0 
 สัญลักษณ์นิวเคลียร์ คือ สัญลักษณ์ของธาตุทีÉแสดงรายละเอียดของอนุภาคมูลฐานของอะตอมไว้ 
โดยแสดงเลขมวลไว้มุมบนซ้าย และแสดงเลขอะตอมไว้มุมล่างซ้าย ดังนีÊ 
จากสัญลักษณ์นิวเคลียร์ จะทำให้ทราบจำนวนอนุภาคมูลฐานได้ 
ตัวอย่างทีÉ 1 จงหาจำนวนอนุภาคมูลฐานของ 
จากสัญลักษณ์นิวเคลียร์ เลขอะตอม = จำนวน p 
20 = จำนวน p 
เลขมวล = จำนวนโปรตอน (p) + จำนวนนิวตรอน (n) 
40 = 20 + จำนวนนิวตรอน (n) 
จำนวนนิวตรอน (n) = 40 - 20 = 20 
ดังนัÊน อนุภาคมูลฐานได้แก่ 1) จำนวนโปรตอน เท่ากับ 20 โปรตอน 
2) จำนวนอิเล็กตรอน เท่ากับ 20 อิเล็กตรอน 
3) จำนวนนิวตรอน เท่ากับ 20 นิวตรอน 
อนุภาคมูลฐานของอะตอม 
จำนะจ้า… 
เลขอะตอม เลขมวล สัญลักษณ์นิวเคลียร์ ไอโซโทป ไอโซโทน ไอโซบาร์ 
เลขมวล (p + n) A 
เลขอะตอม (p) Z X 
40Ca 
20 
โดย อรณี หัสเสม : เรียบเรียง 7
ตัวอย่างทีÉ 2 จงหาอนุภาคมูลฐานของ 
ตัวอย่างทีÉ 3 จงหาอนุภาคมูลฐานของ 
 ไอโซโทป (Isotope) 
23Na 
11 
235U 
11 
โดย อรณี หัสเสม : เรียบเรียง 8 
 ธาตุชนิดเดียวกัน มีเลขอะตอม (จำนวน p ) เท่ากัน แต่ เลขมวล (จำนวน p + n) ต่างกัน 
 เช่น ธาตุ H มี 3 ไอโซโทป ดังนีÊ 
12C 
6 
13C 
6 
14C 
6 
 บางกรณีจะเขียนธาตุทÉีเป็นไอโซโทปกัน ดังนีÊ C-12 , C-13 และ C -14 
 ไอโซโทน (Isotone) 
 ธาตุต่างชนิดกัน มีเลขอะตอม (จำนวน p) และเลขมวล (จำนวน p+ n) ต่างกัน แต่มีจำนวนนิวตรอน (n) เท่ากัน 
 เช่น เป็นไอโซโทนกับ 
13C 
6 
14N 
7 
จำนวน n = 7 จำนวน n = 7 
 ไอโซบาร์ (Isobar) 
 ธาตุต่างชนิดกัน มีเลขมวล (จำนวน p + n) เท่ากัน แต่ เลขเลขอะตอม (จำนวน p) ต่างกัน 
 เช่น เป็นไอโซบาร์กับ 
13N 
7 
แบบฝึกหัด 
13C 
6 
จงจับคู่คำตอบต่อไปนÊีให้ถูกต้อง 
18A 
9 
19A 
9 
19B 
10 
20B 
10 
20C 
11 
21C 
11 
21D 
12 
23D 
12 
1) ไอโซโทป ………………………………………………………………………………………………….( 4 คู่) 
2) ไอโซโทน……………………………………………………………………………………………………..(9 คู่) 
………………………………………………………………………………………………………………… 
………………………………………………………………………………………………………………… 
3) ไอโซบาร์………………………………………………………………………………………………………(3คู่)
แบบทดสอบชุดทีÉ 1 
เรืÉอง แบบจำลองอะตอมของดอลตัน ทอมสัน และรัทเทอร์ฟอร์ด 
คำชีÊแจง ให้นักเรียนเลือกคำตอบทÉีถูกต้องทÉีสุด 
1. แก๊สนำไฟฟ้าได้ดีในสภาวะใด 
ก. ความดันสูง ความต่างศักย์ตํÉา ข. ความดันสูง ความต่างศักย์สูง 
ค. ความดันตํÉา ความต่างศักย์สูง ง. ความดันตํÉา ความต่างศักย์ตํÉา 
2. ข้อใดไม่ใช่แบบจำลองอะตอมของดอลตัน 
โดย อรณี หัสเสม : เรียบเรียง 9 
ก. อะตอมมีขนาดเล็กแบ่งแยกไม่ได้ ข. อะตอมของธาตุต่างชนิดมีมวลนิวตรอนเท่ากันได้ 
ค. อะตอมของธาตุชนิดเดียวกันมีสมบัติเหมือนกัน ง. ธาตุทำปฏิกิริยาด้วยอัตราส่วนเลขลงตัวน้อย ๆ 
3. รังสีแคโทดเกิดจากส่วนใด 
ก. ขัÊวแคโทด ค. ขัÊวแคโทดและแก๊สทÉีบรรจุภายใน 
ค. แก๊สทÉีบรรจุภายใน ง. ทัÊงขัÊวแคโทด ขัÊวแอโนด และแก๊สทÉีบรรจุภายใน 
4. ในการทดลองยิงอนุภาคแอลฟาไปยังแผ่นทองคำบาง ๆ ได้ผลดังนีÊ 
A. อนุภาคส่วนใหญ่ทะลุผ่านแผ่นทองคำไปในแนวเดิม โดยไม่เปลÉียนทิศทาง 
B. อนุภาคส่วนน้อยทะลุผ่านแผ่นทองคำและเบÉียงเบน จากแนวเดิมเล็กน้อย 
C. อนุภาคส่วนน้อยทÉีสุดสะท้อนกลับมาทาง แหล่งกำเนิดอนุภาค 
ถ้าเรียงลำดับอนุภาคแอลฟาทีÉวิÉงเข้าใกล้นิวเคลียสมากทีÉสุดไปห่างนิวเคลียสทีÉสุดจะเป็นไปตามข้อใด 
ก. A , B, C ข. C , A , B ค. B , C , A ง. C , B , A 
5. แบบจำลองอะตอมของทอมสันและแบบจำลองอะตอมของรัทเทอร์ฟอร์ดต่างกันอย่างไร 
ก. ชนิดของอนุภาคในอะตอม ข. ตำแหน่งของอนุภาคในอะตอม 
ค. จำนวนอนุภาคในอะตอม ง. ขนาดอนุภาคในอะตอม 
6. อนุภาคมูลฐานของอะตอม ได้แก่ 
ก. โปรตอน และ อิเล็กตรอน ข. โปรตอน และ นิวตรอน 
ค. โปรตอน นิวตรอน และอิเล็กตรอน ง. นิวตรอน และ อิเล็กตรอน 
7. อิเล็กตรอนมี e/m เท่าใด 
ก. 1.6 x 10–19 e/g ข. ř.şŞ x 108 e/g ค. 9.11 x 10–28 e/g ง. 1.675 x 109 e/g 
8. A และ B เป็นไอโซโทปซึÉงกันและกัน ถ้า A มีจำนวนนิวตรอนในนิวเคลียสเท่ากับ x และธาตุ B มีจำนวนอิเล็กตรอน 
เท่ากับ y และมีเลขมวลเท่ากับ z เลขมวลของธาตุ A และจำนวนนิวตรอนของธาตุ B มีค่าเท่าใด ตามลำดับ 
ก. x + y และ z – y ข. x + y และ y –z ค. x + y และ z + y ง. x – y และ y – z 
9. ข้อใดกล่าวได้ถูกต้อง 
ก. แบบจำลองอะตอมคือ มโนภาพทÉีสร้างขึÊนโดยอาศัยข้อมูลจากการทดลอง ซึÉงอาจถูกหรือผิดก็ได้ 
ข. นักวิทยาศาสตร์ทÉีเสนอแนวความคิดว่าอะตอมไม่เล็กทÉีสุด แต่ยังมีอิเล็กตรอนเล็กกว่า คือ ดอลตัน 
ค. แนวคิดของดอลตันทÉีว่าอะตอมของธาตุชนิดเดียวกัน จะมีสมบัติเหมือนกันปัจจุบันยังถูกต้อง 
ง. เมÉือดูอะตอมด้วยกล้องจุลทรรศน์สนามไอออน กำลังขยาย 750,000 เท่าจะมองเห็นอะตอมได้ชัดเจน 
10. รัทเทอร์ฟอร์ดเสนอแบบจำลองอะตอมโดยศึกษาจากอะไร 
ก. หลอดรังสีแคโทด ข. กลุ่มหมอกของอิเล็กตรอน 
ค. การเผาสารเพÉือดูสเปกตรัม ง. การยิงอนุภาคแอลฟาเข้าไปยังแผ่นทองคำบาง ๆ
โดย อรณี หัสเสม : เรียบเรียง 10 
 จากแบบจำลองอะตอมของรัทเทอร์ฟอร์ดทำให้ทราบถึงการจัดโครงสร้างของอนุภาคต่าง ๆ ในนิวเคลียส 
แต่ไม่ได้อธิบายว่าอิเล็กตรอนรอบนิวเคลียสอยู่ในลักษณะใด 
 นักวิทยาศาสตร์ในลำดับต่อมาได้หาวิธีทดลองเพÉือรวบรวมข้อมูลเกÉียวกับตำแหน่งของอิเล็กตรอนทÉีอยรู่อบนิวเคลียส 
วิธีหนึÉงก็คือ การศึกษาสมบัติและปรากฏการณ์ของคลÉืนและแสง แล้วนำมาสร้างเป็นแบบจำลอง 
นักวิทยาศาสตร์ผู้นัÊน คือ นีลล์ โบร์ 
 ดังนัÊนก่อนจะศึกษาแบบจำลองอะตอมของโบร์ นักเรียนควรเรียนรู้เกÉียวกับคลÉืนแม่เหล็กไฟฟ้าและพลังงานของคลÉืน 
แม่เหล็กไฟฟ้า 
คลนÉืแม่เหล็กไฟฟ้าและพลังงานของคลนÉืแม่เหล็กไฟฟ้า 
 แสงเป็นคลÉืนแม่เหล็กไฟฟ้า มีการเคลÉือนทÉีแบบคลÉืน ดังนัÊน คลÉืนแม่เหล็กไฟฟ้า จึงมีสิÉงต่อไปนีÊ 
1) ความยาวคลืÉน ( ) หมายถึง ระยะทางทีÉคลืÉนเคลืÉอนทีÉครบ 1 รอบ มีหน่วยเป็นเมตร (m) หรือนาโนเมตร (nm) 
ความยาวคลืÉน 
คลืÉน 1 รอบ 
2) ความถÉีของคลนÉื (v) หมายถึง จำนวนรอบของคลÉืนทÉีผ่านจุดใดจุดหนึÉงในเวลา 1 วินาที มีหน่วยเป็นรอบต่อวินาที (s-1) 
หรือ เฮิรตซ์ (Hz) 
คลืÉนแสงเป็นคลืÉนแม่เหล็กไฟฟ้าทีÉมีความถีÉและความยาวคลืÉนต่าง ๆ กัน ดังรูปต่อไปนีÊ 
ม่วง แดง 
 แสงทÉีประสาทตาคนรับได้เรียกว่า “แสงทÉีมองเห็นได้” (visible light) ซึÉงมีความยาวคลÉืนอยใู่นช่วง ŜŘŘ – şŘŘ nm 
 แสงในช่วงคลÉืนนีÊประกอบด้วยแสงสีต่าง ๆ กัน ตามปกติประสาทตาของคนสามารถสัมผัสแสงบางช่วงคลÉืนทÉีส่องมาจาก 
ดวงอาทิตย์ได้ แต่ไม่สามารถแยกเป็นสีต่าง ๆ จึงมองเห็นเป็นสีรวมกันซึÉงเรียกว่า “แสงขาว” 
 เรียงลำดับความยาวคลืÉน (มากไปน้อย) คือ 
คลืÉนวิทยุ > คลืÉนไมโครเวฟ > แสงอินฟราเรด > แสงขาว > แสง UV > รังสีเอกซ์ > รังสีแกมมา
สเปกตรัม (spectrum) โดย อรณี หัสเสม : เรียบเรียง 11 
คือ แถบสีหรือเส้นสีทีÉได้จากการผ่านคลืÉนแม่เหล็กไฟฟ้าผ่านตัวแยกความยาวคลืÉน 
เช่น เกรตติง อุปกรณ์ทีÉใช้ศึกษาเกีÉยวกับสเปกตรัม เรียกว่า สเปกโทรมิเตอร์ (spectrometer) 
 ถ้าให้แสงอาทิตย์ซึÉงเป็นแสงขาวส่องผ่านปริซึม แสงขาวจากดวงอาทิตย์จะแยกออกเป็นแสงสีรุ้งต่อเนÉืองกัน 
เรียกว่า “สเปกตรัมของแสงขาว” 
แดง 
ม่วง 
 สเปกตรัมของแสงขาวเกิดจากการทÉีเมÉือแสงซึÉงมีความยาวคลÉืนต่าง ๆ กันผ่านไปยังปริซึม แสงจะหักเหได้ไม่เท่ากัน เกิด 
เป็นแถบสีรุ้งต่อเนÉืองกัน โดยมีความยาวคลÉืนในช่วงต่าง ๆ ดังนีÊ 
ตารางแสดงสีต่าง ๆ ในแถบสเปกตรัมของแสงขาว 
สเปกตรัม ความยาวคลืÉน (nm) 
แสงสีม่วง ŜŘŘ – ŜŚŘ 
แสงสีคราม–นÊำเงิน ŜŚŘ – ŜšŘ 
แสงสีเขียว ŜšŘ – ŝŠŘ 
แสงสีเหลือง ŝŠŘ – ŝšŘ 
แสงสีแสด (ส้ม) ŝšŘ –ŞŝŘ 
แสงสีแดง ŞŝŘ – şŘŘ 
 คลืÉนแม่เหล็กไฟฟ้าทีÉมีความยาวคลืÉนในช่วงอืÉน ก็เกิดการหักเหได้ แต่ไม่สามารถมองเห็นได้ด้วยตาเปล่า 
 มักซ์ พลังค์ นักวิทยาศาสตร์ชาวเยอรมันได้ศึกษาพลังงานของคลืÉนแม่เหล็กไฟฟ้า และได้ข้อสรุปเกีÉยวกับสัมพันธ์ระหว่าง 
พลังงานของคลÉืนกับความถÉีของคลÉืน ดังนีÊ 
E = hV 
E คือ พลังงาน (หน่วยจูล, J) 
h คือ ค่าคงทีÉของพลังค์ มีค่า 6.626 x 10-34 จูลวินาที 
v คือ ความถีÉของคลืÉนแม่เหล็กไฟฟ้า (หน่วยเฮิรตซ์, Hz) 
v = c c คือ ความเร็วของคลืÉนแม่เหล็กไฟฟ้าในสุญญากาศ เท่ากับ 2.997 x 108เมตร/วินาที 
(อาจใช้ 3.0 x 108เมตร/วินาที) 
คือ ความยาวคลืÉน 
v คือ ความถีÉของคลืÉนแม่เหล็กไฟฟ้า (หน่วยเฮิรตซ์, Hz) 
ดังนัÊน ค่าพลังงานของคลÉืนแม่เหล็กไฟฟ้า จึงสามารถคำนวณได้จากความสัมพันธ์ ดังนÊี 
E = hV = hc
แบบฝึกหัดการคำนวณค่าพลังงานของคลืÉนแม่เหล็กไฟฟ้า 
1. เส้นสเปกตรัมสีแดงของโพแทสเซียมมีความถีÉ 3.91 x 1014 Hz จะมีความยาวคลืÉนเป็นเท่าใด 
2. เส้นสเปกตรัมเส้นหนึÉงของธาตุซีเซียมมีความยาวคลÉืน 456 nm ความถÉีของสเปกตรัมเส้นนีÊมีค่าเท่าใด และปรากฏเป็นสีใด 
3. คลืÉนแม่เหล็กไฟฟ้าทีÉมีความถีÉ 8.5 x 104 Hz จะมีพลังงานและความยาวคลืÉนเท่าใด 
โดย อรณี หัสเสม : เรียบเรียง 12
สเปกตรัมของธาตุ 
บท 
โดย อรณี หัสเสม : เรียบเรียง 13 
 โรเบิร์ต บุนเซน และ กุสตาฟ คีร์ชฮอฟฟ์ นักวิทยาศาสตร์ชาวเยอรมัน ได้ประดิษฐ์สเปกโทรสโคปซึÉงเป็นอุปกรณ์ทÉีใช้ใน 
การศึกษาสเปกตรัม ทีÉได้จากการเผาสารประกอบทีÉมีธาตุเป็นองค์ประกอบ 
 เพÉือนำสเปกตรัมทÉีได้มาระบุว่าสารประกอบนัÊนมีธาตุใดเป็นองค์ประกอบ 
สเปกตรัมของธาตุโลหะ 
เผา 
สารประกอบทÉีมีโลหะเป็นองค์ประกอบ จะเห็นเปลวไฟทÉีมีสีเฉพาะตัวของโลหะนัÊน ๆ 
ทีÉเป็นองค์ประกอบของสารประกอบ 
 สรุป สารประกอบของโลหะชนิดเดียวกันจะให้สีเปลวไฟสีเดียวกัน และได้เส้นสเปกตรัมซึÉงเป็นแบบเฉพาะ 
นันÉคือ มีสีและตำแหน่งของเส้นสเปกตรัมเหมือนกัน ดังตัวอย่างในตารางต่อไปนีÊ 
ตารางแสดงสีของเปลวทีÉเกิดจากการเผาสารประกอบ 
สารประกอบ สีของเปลวไฟ 
ลิเทียม (Li) สีแดง 
โซเดียม (Na) สีเหลือง 
โพแทสเซียม (K) สีม่วง 
ซีเซียม (Cs) สีฟ้า 
แคลเซียม (Ca) สีแดงอิฐ 
แบเรียม (Ba) สีเขียวแกมเหลือง 
ทองแดง (Cu) สีเขียว 
 สารประกอบต่างชนิดกัน แต่มีโลหะชนิดเดียวกันเป็นองค์ประกอบ จะให้สีเปลวไฟและเส้นสเปกตรัมเหมือนกัน 
เช่น NaCl CuCl2 
จะได้เปลวไฟสีเหลือง จะได้เปลวไฟสีเขียว 
Na2SO4 CuSO4 
 การทÉีสารประกอบของโลหะต่างชนิดกัน มีสีของสเปกตรัม และตำแหน่งของเส้นสเปกตรัมต่างกันเป็นแถบเฉพาะของ 
โลหะนัÊน ๆ 
 ดังนัÊน จึงสามารถใช้สีของเปลวไฟและเส้นสเปกตรัมในการวิเคราะห์องค์ประกอบของสารได้ 
 โดยนำสารประกอบนัÊนไปเผา แล้วนำสีของเปลวไฟและเส้นสเปกตรัมทÉีได้เปรียบเทียบกับผลการทดลองทÉี 
นักวิทยาศาสตร์ได้สรุปไว้แล้ว การวิเคราะห์สารวิธีนีÊเรียกว่า “Flame test” 
สเปกตรัมของธาตุอโลหะ 
 ในการเผาสารประกอบทีÉเป็นอโลหะจะให้สเปกตรัมในช่วงทีÉตาเรารับไม่ได้ จึงมองไม่เห็นเส้นสเปกตรัม 
สเปกตรัมของแก๊ส 
 ในการศึกษาสเปกตรัมของธาตุทÉีเป็นแก๊ส จะนำแก๊สไปบรรจุหลอดแก้วทÉีมีความดันตํÉา และผ่านกระแสไฟฟ้าศักย์สูงเข้า 
ไปแทนการเผาด้วยความร้อน เมÉือแก๊สได้รับพลังงานไฟฟ้าจะปล่อยแสงเป็นสเปกตรัมลักษณะเฉพาะของธาตุนัÊน ๆ 
และธาตุอโลหะบางชนิดก็ให้แสงทีÉตารับได้ เช่น He , Ne , Ar เป็นต้น
ตัวอย่าง เส้นสเปกตรัมของธาตุบางชนิด 
โดย อรณี หัสเสม : เรียบเรียง 14
การเกิดสเปกตรัมของธาตุ 
 สเปกตรัมเกิดได้อย่างไร 
สถานะพืÊน (ground state) 
หมายถึงอะตอมทÉีอิเล็กตรอนซึÉงเคลÉือนทÉีอยรู่อบ 
นิวเคลียสมีพลังงานเฉพาะตัวอยใู่นระดับพลังงานตํÉา อะตอม 
ในสถานะพืÊนจะมีความเสถียรเนÉืองจากมีพลังงานตํÉา 
สถานะกระตุ้น (excited state) 
หมายถึงอะตอมทÉีได้รับพลังงานเพิÉมขึÊน ทำให้ 
อิเล็กตรอนถูกกระตุ้นให้อยใู่นระดับพลังงานสูงขึÊน ทÉีสถานะ 
กระตุ้นอะตอมจะไม่เสถียร เนืÉองจากมีพลังงานสูง 
 การเกิดสเปกตรัมของธาตุสามารถอธิบายได้ ดังนีÊ 
เมืÉออะตอมได้รับพลังงาน เช่น จากการเผา หรือ จากกระแสไฟฟ้า 
อิเล็กตรอน (รอบนิวเคลียส) จะเปลÉียนจาก สถานะพืÊน ไปสู่สถานะกระตุ้น 
ทีÉสถานะกระตุ้น อะตอมไม่เสถียร จึงต้องคายพลังงานออกมา 
ซÉึงพลังงานทÉีคายออกมาอยู่ในรูปพลังงานแสง หรือคลÉืนแม่เหล็กไฟฟ้า 
เมืÉอส่องผ่านปริซึมหรือสเปกโทรสโคป จะแยกแสงออกมา 
เป็นเส้นสเปกตรัม 
การทีÉธาตุแต่ละชนิดให้เส้นสเปกตรัมหลายเส้น 
แสดงว่าอิเล็กตรอน(รอบนิวเคลียส) มีหลายระดับพลังงาน 
โดย อรณี หัสเสม : เรียบเรียง 15 
ระดับพลังงานใกล้นิวเคลียสมีพลังงานตํÉา ระดับพลังงานห่างนิวเคลียสมีพลังงานตํÉา 
(E2) 
(E1) 
= E2 - E1
 การศึกษาสเปกตรัมของธาตุไฮโดรเจน 
 นักวิทยาศาสตร์ได้ศึกษาสเปกตรัมของแก๊ส เพราะว่ามีอะตอมอยู่ห่างกัน 
 และเลือกใช้อะตอมไฮโดรเจนเนืÉองจากมี ř อิเล็กตรอน 
 พบว่า มีเส้นสเปกตรัมทีÉปรากฏในช่วงความยาวคลืÉนทีÉมองเห็นได้โดยมีความยาวคลืÉน ŜřŘ , ŜśŜ , ŜŠŞ และ ŞŝŞ nm 
 จากการทดลองหลายครัÊง พบว่า อะตอมของไฮโดรเจนให้เส้นสเปกตรัมได้หลายเส้นทÉีมีลักษณะเหมือนกันทุกครัÊง 
 จึงสรุปได้ว่า อิเล็กตรอนในอะตอมของไฮโดรเจนขึÊนไปอยใู่นสถานะกระตุ้นทÉีมีพลังงานแตกต่างกันได้หลายระดับ 
 ค่าพลังงานของเส้นสเปกตรัมแสดงให้เห็นถึงการเปลีÉยนระดับพลังงานของอิเล็กตรอนในอะตอมจากระดับพลังงานสูง 
มายังระดับพลังงานตํÉา 
ตารางแสดงความยาวคลืÉนและพลังงานของเส้นสเปกตรัมของธาตุไฮโดรเจน 
เส้นสเปกตรัม ความยาวคลÉืน พลังงาน (KJ) ผลต่างพลังงานของเส้นสเปกตรัมทÉีอยู่ถัดกัน 
สีม่วง ŜřŘ Ŝ.ŠŜ x 10–22 (ห่างนิวเคลียส) 
Ś.ş x 10–23 
สีนํÊาเงิน ŜśŜ Ŝ.ŝş x 10–22 
Ŝ.š x 10–23 
สีนํÊาทะเล ŜŠŞ Ŝ.ŘŠ x 10–22 
řŘ.Ş x 10–23 
สีแดง ŞŝŞ ś.ŘŚ x 10–22 (ใกล้นิวเคลียส) 
 จากข้อมูลในตาราง แสดงว่าอะตอมของไฮโดรเจนมีพลังงานหลายระดับ 
 และความแตกต่างระหว่างพลังงานของแต่ละระดับทีÉอยู่ถัดไปก็ไม่เท่ากัน ความแตกต่างของพลังงานจะมีค่าน้อยลง 
เมÉือระดับพลังงานสูงขึÊน จากเหตุผลทÉีอธิบายมานÊีช่วยให้สรุปได้ว่า 
1) 
2) 
3) 
เมืÉออิเล็กตรอนได้รับพลังงานในปริมาณทีÉเหมาะสม 
อิเล็กตรอนจะขึÊนไปอยใู่นระดับพลังงานทÉีสูงกว่าระดับพลังงานเดิม 
แต่จะอยใู่นระดับใดขึÊนกับปริมาณพลังงานทÉีได้รับ 
การทÉีอิเล็กตรอนขึÊนไปอยใู่นระดับพลังงานใหม่ทำให้อะตอมไม่เสถียร 
อิเล็กตรอนจะกลับมาอยใู่นระดับพลังงานทÉีตํÉากว่า 
ซึÉงในการเปลÉียนตำแหน่งนีÊอิเล็กตรอนจะคายพลังงานออกมา 
การเปลีÉยนระดับพลังงานของอิเล็กตรอนไม่จำเป็นต้องเปลีÉยน 
ไปยังระดับพลังงานทÉีอยตูิ่ดกันอาจมีการเปลÉียนข้ามระดับได้ 
แต่เมÉืออิเล็กตรอนรับพลังงานแล้วจะขึÊนไปอยรู่ะหว่างระดับพลังงานไม่ได้ 
จะต้องขึÊนไปอยใู่นระดับใดระดับหนึÉงเสมอ 
ผลต่างของพลังงานระหว่างระดับพลังงานตํÉาจะ มีค่ามากกว่า 
ผลต่างของพลังงานระหว่างระดับพลังงานทÉีสูงขึÊนไป 
โดย อรณี หัสเสม : เรียบเรียง 16
1.4 แบบจำลองอะตอมของโบร์ 
(นีลล์ โบร์ ได้ศึกษาและปรับปรุงแบบจำลองของรัทเทอร์ฟอร์ด โดยศึกษาสเปกตรัมของไฮโดรเจน) 
 จากความรู้เรืÉองการเปลีÉยนแปลงระดับพลังงานของอิเล็กตรอน และการเกิดสเปกตรัม 
 ช่วยให้ นีลส์ โบร์ นักวิทยาศาสตร์ชาวเดนมาร์ก สร้างแบบจำลองอะตอมเพืÉอใช้อธิบายพฤติกรรมของอิเล็กตรอน 
ในอะตอมได้ โดยกล่าวว่า 
1) อิเล็กตรอนจะเคลืÉอนทีÉรอบนิวเคลียสเป็นวง (คล้ายวงโคจรของดาวเคราะห์รอบดวงอาทิตย์) 
2) แต่ละวงจะมีระดับพลังงานเฉพาะตัว ระดับพลังงานของอิเล็กตรอนทีÉอยใู่กล้นิวเคลียสทÉีสุดซึÉงมีพลังงานตํÉาทÉีสุด 
เรียกว่าระดับ K และระดับพลังงานทÉีอยถูั่ดออกมาเรียกเป็น L , M , N , … ตามลำดับ 
3) ต่อมาได้มีการใช้ตัวเลขแสดงถึงระดับพลังงานของอิเล็กตรอน คือ n = 1 หมายถึงระดับพลังงานทÉี ř ซึÉงอยใู่กล้ 
กับนิวเคลียสทÉีสุด และชัÊนถัดมาเป็น n = 2 หมายถึงระดับพลังงานทÉี Ś ต่อจากนัÊน n = 3 , 4 , . . . หมายถึงระดับ 
พลังงานทÉี ś , Ŝ และสูงขึÊนไปตามลำดับ 
แบบจำลองอะตอมของโบร์ 
 แบบจำลองอะตอมของโบร์ พัฒนามาจากการค้นพบสเปกตรัมของอะตอมไฮโดรเจน ซึÉงเป็นอะตอมทÉีมี ř อิเล็กตรอน 
แต่ไม่สามารถใช้อธิบายอะตอมทีÉมีหลายอิเล็กตรอนได้ นักวิทยาศาสตร์จึงจำเป็นต้องศึกษาค้นคว้าเพิÉมเติมเพืÉอเสนอ 
แบบจำลองอะตอมใหม่ 
1.5 แบบจำลองอะตอมแบบกลุ่มหมอก 
 เนืÉองจากแบบจำลองอะตอมของโบร์ (Niels Bohr) มีข้อจำกัดทีÉไม่สามารถใช้อธิบายสเปกตรัมของอะตอมทีÉมีหลาย 
อิเล็กตรอน ได้ 
 จึงมีการศึกษาเพิÉมเติมจนได้ข้อมูลทÉีเชÉือว่า อิเล็กตรอนมีสมบัติเป็นทัÊงอนุภาคและคลÉืน โดยเคลÉือนทÉีรอบนิวเคลียสใน 
ลักษณะของคลืÉนนิÉง บริเวณทีÉพบอิเล็กตรอนได้พบได้หลายลักษณะเป็นรูปทรงต่าง ๆ ตามระดับพลังงานของอิเล็กตรอน 
 จากการใช้ความรู้ทางกลศาสตร์ควอนตัมสร้างสมการขึÊนเพÉือคำนวณหาโอกาสทÉีจะพบอิเล็กตรอนในระดับพลังงานต่าง ๆ 
พบว่า แบบจำลองนีÊอธิบายเส้นสเปกตรัมได้ดีกว่าแบบจำลองอะตอมของโบร์ มีลักษณะ ดังนีÊ 
1) อิเล็กตรอนมีขนาดเล็กมากและเคลÉือนทÉีอย่างรวดเร็วตลอดเวลาไปทัวÉทัÊงอะตอม จึงไม่สามารถบอกตำแหน่งทÉี 
แน่นอนของอะตอมได้ 
2) มีโอกาสทÉีจะพบอิเล็กตรอนรอบนิวเคลียสบางบริเวณเท่านัÊน ทำให้สร้างมโนภาพได้ว่าอะตอมประกอบด้วยกลุ่ม 
หมอกของอิเล็กตรอนรอบ ๆ นิวเคลียส 
3) บริเวณทีÉกลุ่มหมอกทึบแสดงว่าโอกาสทีÉจะพบอิเล็กตรอนได้มากกว่าบริเวณทีÉมีกลุ่มหมอกจาง” 
แบบจำลองอะตอมแบบกลุ่มหมอก 
โดย อรณี หัสเสม : เรียบเรียง 17
โดย อรณี หัสเสม : เรียบเรียง 18 
1.6 การจัดอิเล็กตรอนในอะตอม (Electronic configuration) 
 จากแบบจำลองอะตอม พบว่าโปรตอนและนิวตรอนอยู่รวมกันในนิวเคลียส และมีอิเล็กตรอนอยู่รอบ ๆ โดยอยู่ในระดับ 
พลังงานต่าง ๆ กัน 
 สามารถจัดอิเล็กตรอนในระดับพลังงานได้ ดังนีÊ 
1. การจัดอิเล็กตรอนในระดับพลังงานหลัก (shell) 
 จำนวนอิเล็กตรอนในแต่ละระดับพลังงานหลักมีจำนวนไม่เกิน 2n2 เมืÉอ n คือระดับพลังงานหลักทีÉ ř , Ś , ś , . . . 
ระดับพลังงานหลัก n=1 มีอิเล็กตรอนไม่เกิน Ś อิเล็กตรอน 
ระดับพลังงานหลัก n=2 มีอิเล็กตรอนไม่เกิน Š อิเล็กตรอน 
ระดับพลังงานหลัก n=3 มีอิเล็กตรอนไม่เกิน řŠ อิเล็กตรอน 
ระดับพลังงานหลัก n=4 มีอิเล็กตรอนไม่เกิน śŚ อิเล็กตรอน 
 พลังงานชัÊนนอกสุด และมีพลังงานสูงสุด เรียกว่า เวเลนซ์อิเล็กตรอน (เวเลนซ์อิเล็กตรอน จะไม่เกิน 8) 
 ดังนัÊน ระดับพลังงานหลักชัÊนสุดท้าย จะไม่เกิน 8 เสมอ 
ต้องจำ เวเลนซ์อิเล็กตรอน บอกให้รู้ว่า ธาตุอยหู่มู่ใด 
จำนวนระดับพลังงาน บอกให้รู้ว่า ธาตุอยู่คาบใด 
ตารางแสดงการจัดอิเล็กตรอนในระดับพลังงานหลัก 
ธาตุ เลขอะตอม จำนวนอิเล็กตรอนในระดับพลังงาน แสดงการจัดในระดับ 
n=1 n=2 n=3 n=4 พลังงานหลัก 
H 1 1 ř 
He 2 2 Ś 
Li 3 2 1 Ś , ř 
Be 4 2 2 Ś , Ś 
B 5 2 3 Ś , ś 
C 6 2 4 Ś , Ŝ 
N 7 2 5 Ś , ŝ 
O 8 2 6 Ś , Ş 
F 9 2 7 Ś , ş 
Ne 10 2 8 Ś , Š 
Na 11 2 8 1 Ś , Š , ř 
Mg 12 2 8 2 Ś , Š , Ś 
Al 13 2 8 3 Ś , Š , ś 
Si 14 2 8 4 Ś , Š , Ŝ 
P 15 2 8 5 Ś , Š , ŝ 
S 16 2 8 6 Ś , Š , Ş 
Cl 17 2 8 7 Ś , Š , ş 
Ar 18 2 8 8 Ś , Š , Š 
K 19 2 8 8 1 Ś , Š , Š , ř 
Ca 20 2 8 8 2 Ś , Š , Š , Ś
เทคนิคทÉีควรรู้ในการจัดอิเล็กตรอนในระดับพลังงานหลัก 
 นักเรียนสามารถจัดอิเล็กตรอนในระดับพลังงานหลักของอะตอม โดยใช้สามเหลÉียมมหัศจรรย์ ดังนีÊ 
เลขอะตอม 
2 2 
2 2 4 
2 8 2 12 
2 8 8 2 20 
2 8 18 8 2 38 
2 8 18 18 8 2 56 
2 8 18 32 18 8 2 88 
2 8 18 32 32 18 8 2 120 
หมายเหตุ จากสามเหลÉียมมหัศจรรย์นีÊ นักเรียนอาจไม่จำเป็นต้องจำ แต่ต้องเข้าใจหลักในการเขียน 
ตัวอย่างทีÉ 1 จงจัดอิเล็กตรอนในระดับพลังงานหลักของ Ca 
วิธีทำ เปิดตารางธาตุดู เลขอะตอม Ca (เท่ากับ 20) 
ดังนัÊน Ca สามารถจัดอิเล็กตรอนในระดับพลังงานหลัก ดังนีÊ 2 8 8 2 
จะเห็นว่า Ca มีเวเลนซ์อิเล็กตรอนเท่ากับ 2 จึงอยู่ในหมู่ 2 
และ Ca มีจำนวนระดับพลังงานเท่ากับ 4 จึงอยู่ในคาบ 4 
ตัวอย่างทีÉ 2 จงจัดอิเล็กตรอนในระดับพลังงานหลักของ B 
วิธีทำ เปิดตารางธาตุดู เลขอะตอม B (เท่ากับ 5) 
ดังนัÊน B สามารถจัดอิเล็กตรอนในระดับพลังงานหลัก ดังนีÊ 2 3 
จะเห็นว่า B มีเวเลนซ์อิเล็กตรอนเท่ากับ 3 จึงอยู่ในหมู่ 3 
และ B มีจำนวนระดับพลังงานเท่ากับ 2 จึงอยู่ในคาบ 2 
ตัวอย่างทีÉ 3 จงจัดอิเล็กตรอนในระดับพลังงานหลักของ Cl 
วิธีทำ เปิดตารางธาตุดู เลขอะตอม Cl (เท่ากับ 17) 
ดังนัÊน Cl สามารถจัดอิเล็กตรอนในระดับพลังงานหลัก ดังนีÊ 2 8 7 
จะเห็นว่า Cl มีเวเลนซ์อิเล็กตรอนเท่ากับ 7 จึงอยู่ในหมู่ 7 
และ Cl มีจำนวนระดับพลังงานเท่ากับ 3 จึงอยู่ในคาบ 3 
โดย อรณี หัสเสม : เรียบเรียง 19
ตัวอย่างทีÉ 4 จงจัดอิเล็กตรอนในระดับพลังงานหลักของ Fe 
วิธีทำ เปิดตารางธาตุดู เลขอะตอม Fe (เท่ากับ 26) 
ดังนัÊน Fe สามารถจัดอิเล็กตรอนในระดับพลังงานหลัก ดังนีÊ 2 8 14 2 
ตัวอย่างทีÉ 5 จงจัดอิเล็กตรอนในระดับพลังงานหลักของ Br 
วิธีทำ เปิดตารางธาตุดู เลขอะตอม Br (เท่ากับ 35) 
ดังนัÊน Br สามารถจัดอิเล็กตรอนในระดับพลังงานหลัก ดังนีÊ 2 8 18 7 
ตัวอย่างทีÉ 6 จงจัดอิเล็กตรอนในระดับพลังงานหลักของธาตุทีÉมีเลขอะตอมเท่ากับ 23 
วิธีทำ ธาตุนีÊสามารถจัดอิเล็กตรอนในระดับพลังงานหลัก ดังนีÊ 2 8 11 2 
ตัวอย่างทีÉ 7 จงจัดอิเล็กตรอนในระดับพลังงานหลักของธาตุ Pt (แพลตทินัม) 
วิธีทำ เปิดตารางธาตุดู เลขอะตอม Pt (เท่ากับ 78) 
ดังนัÊน Pt สามารถจัดอิเล็กตรอนในระดับพลังงานหลัก ดังนีÊ 2 8 18 32 16 2 
ตัวอย่างทีÉ 8 จงจัดอิเล็กตรอนในระดับพลังงานหลักของธาตุ Po (โพโลเนียม) 
วิธีทำ เปิดตารางธาตุดู เลขอะตอม Pt (เท่ากับ 84) 
ดังนัÊน Po สามารถจัดอิเล็กตรอนในระดับพลังงานหลัก ดังนีÊ 2 8 18 32 18 6 
แบบฝึกหัด เรืÉอง การจัดเรียงอิเล็กตรอนในระดับพลังงานหลัก 
1. จงจัดอิเล็กตรอนในระดับพลังงานหลัก ของธาตุ S 
2. จงจัดอิเล็กตรอนในระดับพลังงานหลัก ของธาตุ Mn 
3. จงจัดอิเล็กตรอนในระดับพลังงานหลักของธาตุ As 
4. จงจัดอิเล็กตรอนในระดับพลังงานหลักของธาตุ Tc 
โดย อรณี หัสเสม : เรียบเรียง 20
2. การจัดอิเล็กตรอนในระดับพลังงานย่อย (sub-shell) 
โดย อรณี หัสเสม : เรียบเรียง 21 
 จากการศึกษาสมบัติทีÉเป็นคลืÉนของอิเล็กตรอน พบว่าอิเล็กตรอนอยู่ในระดับพลังงานหรือวง (shell) ต่าง ๆ กัน 
ซึÉงเรียกว่าระดับพลังงานหลัก และในระดับพลังงานเดียวกันยังมีระดับพลังงานย่อย (sub shell) ต่าง ๆ อีก 
คือระดับพลังงานย่อย s , p , d และ f โดยในแต่ละระดับพลังงานย่อยมีอิเล็กตรอนดังนีÊ 
ระดับพลังงานหลักทีÉ ř (n=1) มี ř ระดับพลังงานย่อยคือ s 
ระดับพลังงานหลักทีÉ Ś (n=2) มี 2 ระดับพลังงานย่อยคือ s , p 
ระดับพลังงานหลักทีÉ ś (n=3) มี 3 ระดับพลังงานย่อยคือ s , p , d 
ระดับพลังงานหลักทีÉ Ŝ (n=4) มี 4 ระดับพลังงานย่อยคือ s , p , d , f 
ตารางแสดงระดับพลังงานย่อย จำนวนอิเล็กตรอนสูงสุดในระดับพลังงานย่อย และในแต่ละระดับพลังงาน 
ระดับ 
ระดับ 
จำนวนออร์บิทัล จำนวนอิเล็กตรอนสูงสุด 
พลังงานหลัก 
พลังงานย่อย 
ในแต่ละระดับพลังงานย่อย 
จำนวนอิเล็กตรอนสูงสุด 
ในแต่ละระดับพลังงาน 
n = ř s 2 2 
n = 2 
s 2 
p 8 6 
n = 3 
s 2 
p 6 18 
d 10 
n = 4 
s 2 
32 
p 6 
d 10 
f 14 
ตารางแสดงจำนวนออร์บิทัล และจำนวนอิเล็กตรอนสูงสุดในแต่ละออร์บิทัล 
ระดับพลังงานย่อย จำนวนออร์บิทัล จำนวนอิเล็กตรอน 
แต่ละออร์บิทัล 
จำนวนอิเล็กตรอนรวม 
s 1 Ś Ś 
p 3 Ś Ş 
d 5 Ś řŘ 
f 7 Ś řŜ 
 อิเล็กตรอนมีการเคลÉือนทÉีอยตู่ลอดเวลา ความหนาแน่นของกลุ่มหมอกอิเล็กตรอนซึÉงวัดออกมาในรูปของโอกาสทÉีจะพบ 
อิเล็กตรอน ซึÉงเคลÉือนทÉีรอบนิวเคลียส จะมีรูปร่างเป็น ś มิติทÉีแตกต่างกันซึÉงเรียกว่า ออร์บิทัล (orbital)
ออร์บิทัล (orbital) 
โดย อรณี หัสเสม : เรียบเรียง 22 
 หมายถึงบริเวณทีÉมีโอกาสสูงทีÉจะพบอิเล็กตรอน หรือบริเวณทÉีอยขู่องอิเล็กตรอน ซึÉงมีรูปร่างเป็น ś มิติแตกต่างกัน ดังนีÊ 
1) S ออร์บิทัล มีความหนาแน่นของอิเล็กตรอนรอบนิวเคลียสเท่ากันทุกทิศทาง 
ทำให้มองเห็นว่าออร์บิทัลนีÊมีรูปร่างเป็นทรงกลมรอบนิวเคลียส (อิเล็กตรอนบรรจุได้มากสุด 2e-) ดังรูป 
2) P ออร์บิทัล มีความหนาแน่นของอิเล็กตรอนรอบนิวเคลียสอยู่ในบริเวณแกน x , y , z มี 3 แบบ ได้แก่ 
px–orbital , Pz–orbital ,Py–orbital โดยออร์บิทัลทัÊงสามมีรูปร่างคล้ายดรัมเบลล์ มีพลังงานเท่ากัน 
แต่มีทิศทางแตกต่างกัน (อิเล็กตรอนบรรจุได้มากสุด 6 e- ) ดังรูป 
orbital orbital orbital 
3) d ออร์บิทัล มีความซับซ้อนมากกว่า s-orbital และ p-orbital มี 5 แบบ ได้แก่ , , , 
และ (อิเล็กตรอนบรรจุได้มากสุด 10 e- ) ดังรูป 
4) f ออร์บิทัล มี 7 แบบ (อิเล็กตรอนบรรจุได้มากสุด 14 e- ) ในระดับนีÊอาจไม่จำเป็นต้องศึกษารายละเอียด f ออร์บิทัล 
มากนักก็ได้
หลักการจัดอิเล็กตรอนลงในระดับพลังงานย่อย (ออร์บิทัล) 
1) ให้ แทนออร์บิทัล อิเล็กตรอนเขียนด้วยลูกศร 
อิเล็กตรอนในออร์บิทัล จึงเขียนแทนได้เป็น หรือ 
ในกรณีทีÉมีอิเล็กตรอนเต็มออร์บิทัล สามารถเขียนเป็น ถ้าเขียนเป็น หรือ จะไม่สอดคล้องตามหลักการ 
2) ต้องบรรจุอิเล็กตรอนลงในออร์บิทัลทÉีมีพลังงานตํÉาสุด และ ว่างก่อนเสมอ คือ 1s 2s 2p 3s . . . ตามลำดับ 
เพราะจะทำให้พลังงานรวมทัÊงหมดมีค่าตํÉาสุดและมีความเสถียรทÉีสุด 
3) อะตอมของธาตุทีÉมีการบรรจุอิเล็กตรอนเต็มในทุก ๆ ออร์บิทัลทีÉมีพลังงานเท่ากัน เรียกว่า การบรรจุเต็ม (full filled) 
ถ้ามีอิเล็กตรอนบรรจุอยเู่พียงครึÉงเดียวเรียกว่า การบรรจุครึÉง (half filled) 
การบรรจุเต็มหรือบรรจุครึÉงจะทำให้อะตอมมีความเสถียรมากกว่าการบรรจุแบบอÉืน ๆ 
1s 2s 2p 
การบรรจุเต็ม 
การบรรจุครึÉง 
4) ในกรณีทÉีมีหลายอิเล็กตรอน การบรรจุอิเล็กตรอนลงในออร์บิทัลต่าง ๆ ตามลำดับพลังงานจากตํÉาไปสูงจะเป็นดังนีÊ 
ตารางแสดงการจัดอิเล็กตรอนเข้าในระดับพลังงานตามลำดับ 
ระดับ 
พลังงาน 
จำนวนระดับพลังงานย่อยหรือออร์บิทัลทอÉียู่ในแต่ละระดับพลังงาน 
n = 1 
n = 2 
n = 3 
n = 4 
n = 5 
n = 6 
n = 7 
โดย อรณี หัสเสม : เรียบเรียง 23
โดย อรณี หัสเสม : เรียบเรียง 24 
ตารางแสดงระดับพลังงานย่อย จำนวนอิเล็กตรอนสูงสุดในระดับพลังงานย่อย 
และในแต่ละระดับพลังงาน ของ ŚŘ ธาตุแรก 
เลข 
อะตอม ธาตุ 
แผนภาพการจัดอิเล็กตรอนในออร์บิทัล 
ระดับพลังงานย่อย 
1s 2s 2p 3s 3p 4s 3d 
1 H 1s1 
2 He 1s2 
3 Li 1s22s1 
4 Be 1s22s2 
5 B 1s22s22p1 
6 C 1s22s22p2 
7 N 1s22s22p3 
8 O 1s22s22p4 
9 F 1s22s22p5 
10 Ne 1s22s22p6 
11 Na 1s22s22p6 3s1 หรือ [Ne] 3s1 
12 Mg 1s22s22p6 3s2 หรือ [Ne] 3s2 
13 Al 1s22s22p63s23p1 
14 Si 1s22s22p63s23p2
ตารางแสดงระดับพลังงานย่อย จำนวนอิเล็กตรอนสูงสุดในระดับพลังงานย่อย 
และในแต่ละระดับพลังงาน ของ ŚŘ ธาตุแรก (ต่อ) 
เลข 
อะตอม ธาตุ 
แผนภาพการจัดอิเล็กตรอนในออร์บิทัล 
ระดับพลังงานย่อย 
1s 2s 2p 3s 3p 4s 3d 
15 P 1s22s22p63s23p3 
16 S 1s22s22p63s23p4 
17 Cl 1s22s22p63s23p5 
18 Ar 1s22s22p63s23p6 
19 K 1s22s22p63s23p64s13d0 
20 Ca 1s22s22p63s23p64s23d0 
 อิเล็กตรอนทีÉอยู่ในระดับพลังงานสูงสุดหรือชัÊนนอกสุดของอะตอม เรียกว่า เวเลนซ์อิเล็กตรอน (valence electron) 
ตัวอย่างทีÉ 1 จงจัดอิเล็กตรอนในระดับพลังงานย่อย ของธาตุ Cl 
วิธีทำ Cl มีเลขอะตอม 17 
Cl สามารถจัดอิเล็กตรอนในระดับพลังงานหลัก ดังนีÊ 2 8 7 
จะได้ว่า 
ระดับพลังงานหลัก n = 1 
2 
n = 2 
8 
n = 3 
7 
ระดับพลังงานย่อย 1s 
2s 2p 
3s 3p 3d 
ดังนัÊน Cl สามารถจัดอิเล็กตรอนในระดับพลังงานย่อยได้ ดังนีÊ 1s2 2s2 2p6 3s2 3p5 
ตัวอย่างทีÉ 2 จงจัดอิเล็กตรอนลงในระดับพลังงานย่อย ของธาตุ C (เลขอะตอม 6) 
ระดับพลังงานหลัก n = 1 
2 
n = 2 
4 
ระดับพลังงานย่อย 1s 
2s 2p 
ดังนัÊน C สามารถจัดอิเล็กตรอนในระดับพลังงานย่อย ได้ดังนีÊ 1s2 2s2 2p2 
โดย อรณี หัสเสม : เรียบเรียง 25
ตัวอย่างทีÉ 3 จงจัดอิเล็กตรอนในระดับพลังงานย่อย ของธาตุ P (เลขอะตอม 15) 
วิธีทำ 
ระดับพลังงานหลัก n = 1 
2 
n = 2 
8 
n = 3 
5 
ระดับพลังงานย่อย 1s 
2s 2p 
3s 3p 3d 
ดังนัÊน P สามารถจัดอิเล็กตรอนในระดับพลังงานได้ ดังนีÊ 1s22s22p63s23p3 
ตัวอย่างทีÉ 4 จงจัดอิเล็กตรอนในระดับพลังงานย่อยของธาตุ Ca (เลขอะตอม 20) 
ระดับ 
พลังงานหลัก 
n = 1 
2 
n = 2 
8 
n = 3 
8 
n = 4 
2 
ระดับ 
พลังงานย่อย 
1s 
2s 2p 
3s 3p 3d 
4s 4p 4d 4f 
แบบฝึกหัด เรืÉอง การจัดอิเล็กตรอนในระดับพลังงานย่อย 
1) จงจัดอิเล็กตรอนในระดับพลังงานย่อยของธาตุ N 
2) จงจัดอิเล็กตรอนในระดับพลังงานย่อยของธาตุ K 
3) จงจัดอิเล็กตรอนในระดับพลังงานย่อยของธาตุ Mg 
โดย อรณี หัสเสม : เรียบเรียง 26
4) ธาตุ A B C D มีการจัดอิเล็กตรอน ดังนีÊ 
ธาตุ A 1s22s22p6 
ธาตุ B 1s22s22p63s23p4 
ธาตุ C 1s22s22p63s23p64s13d0 
ธาตุ D 1s22s22p63s23p1 
4.1) ธาตุ A B C D มีเลขอะตอมเท่าใด 
วิธีคิด จาก ธาตุ A 1s22s22p6 
เลขอะตอมธาตุ A เท่ากับ 2 + 2 + 6 = 10 
ธาตุ B C D ให้นักเรียนทำด้วยตัวเอง 
ธาตุ B 
ธาตุ C 
ธาตุ D 
4.2) ธาตุ A B C มีอิเล็กตรอนอยู่ในระดับพลังงานใดบ้าง จำนวนเท่าใด 
วิธีคิด จากธาตุ A มีเลขอะตอมเท่ากับ 10 
มีอิเล็กตรอนในระดับพลังงานหลัก 2 8 
ธาตุ B C D ให้นักเรียนทำด้วยตัวเอง 
ธาตุ B 
ธาตุ C 
ธาตุ D 
โดย อรณี หัสเสม : เรียบเรียง 27
2. ตารางธาตุ 
โดย อรณี หัสเสม : เรียบเรียง 28 
 ปัจจุบันนักวิทยาศาสตร์ได้ค้นพบธาตุเป็นจำนวนมาก ธาตุเหล่านัÊนอาจมีสมบัติบางประการคล้ายกัน แต่ก็มีสมบัติบางประการ 
แตกต่างกัน จึงยากต่อการจดจำสมบัติต่าง ๆ ของแต่ละธาตุได้ทัÊงหมด 
 นักวิทยาศาสตร์จึงหากฎเกณฑ์ในการจัดธาตุทีÉมีสมบัติคล้ายกันให้อยู่ในกลุ่มเดียวกัน เพืÉอง่ายต่อการศึกษา โดยใช้ ตารางธาตุ 
 ตารางธาตุ หมายถึง ตารางทÉีนักวิทยาศาสตร์สร้างขึÊนมา เพÉือแบ่งธาตุทÉีมีสมบัติเหมือนกันออกเป็นหมวดหมู่ เพÉือให้ง่ายแก่ 
การศึกษา โดยแบ่งธาตุทัÊงหมดออกเป็นหมู่และคาบ ดังนีÊ 
 ธาตุทÉีอยใู่นแนวดิÉงเดียวกัน เรียกว่า อยใู่น หมู่ เดียวกัน 
 ธาตุทีÉอยู่ในแนวนอนเดียวกัน เรียกว่า อยู่ใน คาบ เดียวกัน 
2.1 วิวัฒนาการของตารางธาตุ 
1) ตารางธาตุของเดอเบอไรเนอร์ (ชุดสาม) 
 การจัดตารางธาตุนัÊนเริÉมขึÊนตัÊงแต่ปี พ.ศ. 2360 (ค.ศ. 1817) โดย โยฮันน์ เดอเบอไรเนอร์ (Johaun Dobereiner) 
นักเคมีชาวเยอรมัน ได้นำธาตุต่าง ๆ ทÉีพบในขณะนัÊนมาจัดเรียงเป็นตารางธาตุ 
 โดยนำธาตุต่าง ๆ ทีÉมีสมบัติคล้ายคลึงกันมาจัดไว้ในหมู่เดียวกัน หมู่ละ 3 ธาตุ เรียกว่า ชุดสาม 
 เรียงตามมวลอะตอมจากน้อยไปมากในแต่ละหมู่ 
 ธาตุกลางจะมีมวลอะตอมเป็นค่าเฉลีÉยของมวลอะตอมของธาตุทีÉเหลืออีก 2 อะตอม เรียกว่า กฎชุดสาม (law of 
triads) 
 เช่น Na เป็นธาตุกลางระหว่าง Li กับ K มีมวลอะตอม 23 (เป็นค่าเฉลÉียของมวลอะตอม Li ซึÉงมีมวลอะตอม 7 
กับธาตุ K มีมวลอะตอม 39) 
ตารางทÉี 1 มวลอะตอมเฉลÉียของธาตุบางกลุ่มตามกฎชุดสาม 
หมู่ 1 มวลอะตอม หมู่ 2 มวลอะตอม 
Li 7 Be 9 
Na 23 เฉลีÉย = 7 + 39 
Mg 24 
2 
K 39 Ca 40 
เฉลีÉย = 9 + 40 = 24.5 
2 
 เมืÉอนำกฎดังกล่าวไปใช้กับธาตุกลุ่มอืÉนทีÉมีสมบัติคล้ายคลึงกัน ปรากฏว่าบางธาตุ มวลอะตอมของธาตุกลางไม่ 
เท่ากับค่าเฉลีÉยของมวลอะตอมของธาตุทีÉเหลือ กฎชุดสามของเดอเบอไรเนอร์จึงไม่เป็นทีÉยอมรับกันในเวลาต่อมา
โดย อรณี หัสเสม : เรียบเรียง 29 
2) ตารางธาตุของนิวแลนด์ 
 ในปี พ.ศ. 2407 (ค.ศ. 1864) จอห์น นิวแลนด์ (John Newlands) นักเคมีชาวอังกฤษได้พบว่าเมืÉอนำธาตุต่าง ๆ มา 
เรียงลำดับตามมวลอะตอมจากน้อยไปหามาก ให้เป็นแถวตามแนวนอน สมบัติของธาตุจะมีลักษณะคล้ายกันเป็น 
ช่วง ๆ ซึÉงลักษณะดังกล่าวเกิดขึÊนทุก ๆ ของธาตุทÉี 8 (ธาตุทÉี 8 มีสมบัติคล้ายธาตุทÉี 1 
 เช่น ถ้าเริÉมต้นจากธาตุ Li แล้วเรียงลำดับมวลอะตอมไปถึงธาตุทÉี 8 จะตรงกับ Na ซึÉง Li และ Na มีสมบัติต่าง ๆ 
คล้ายคลึงกัน ดังตัวอย่างการจัดต่อไปนีÊ 
Li Be B C N O F 
Na Mg Al Si P S Cl 
K Ca 
 การจัดเรียงธาตุตามแนวคิดของนิวแลนด์ ใช้ได้ถึงธาตุแคลเซียมเท่านัÊน กฎนีÊจึงไม่สามารถอธิบายได้ว่า เพราะเหตุใด 
มวลอะตอมจึงเกÉียวข้องกับสมบัติทÉีคล้ายคลึงกันของธาตุ ทำให้ไม่เป็นทÉียอมรับในเวลาต่อมา 
John Alexander Reina Newlands 
3) ตารางธาตุของเมนเดเลเยฟ 
 ในระหว่างปี พ.ศ. 2412 - 2413 (ค.ศ. 1269 - 1270) ยูลิอุส ไมเออร์ (Julius Meyer) นักวิทยาศาสตร์ชาว 
เยอรมัน และดิมิทรี เมนเดเลเยฟ (Dimitri Mendelejev) ได้ศึกษารายละเอียดของธาตุต่าง ๆ มากขึÊน ทำให้มี 
ข้อสังเกตเช่นเดียวกันว่า 
ยูลิอุส โลทาร์ ไมเออร์ (นักเคมีชาวเยอรมัน) Dmitri Ivanovich Mendeleev 
 ถ้าเรียงธาตุตามมวลอะตอมจากน้อยไปมาก จะพบว่า ธาตุมีสมบัติคล้ายกันเป็นช่วง ๆ 
 การค้นพบสมบัตินีÊ เมเดเลเอฟจึงตัÊงเป็นกฎเรียกว่า “กฎพีริออดิก” โดยได้เสนอความคิดนีÊในปี พ.ศ. 
2412 ก่อนทÉีไมเออร์จะเสนอผลงานเพียงหนึÉงปี 
 เพÉือเป็นเกียรติแก่เมเดเลเอฟ จึงเรียกตารางนีÊว่า ตารางพีริออดิกของเมเดเลเอฟ
 เกณฑ์ทีÉสำคัญทีÉเมนเดเลเอฟใช้คือ 
 จัดธาตุทีÉมีสมบัติคล้ายคลึงกันทÉีปรากฏซÊำกันเป็นช่วง ๆ ให้อยใู่นหมู่หรือในแนวตัÊงเดียวกัน 
 และพยายามเรียงลำดับมวลอะตอมจากน้อยไปหามาก 
 ในกรณีทีÉเรียงตามมวลอะตอมแล้วสมบัติของธาตุไม่สอดคล้องกัน ก็พยายามจัดให้เข้าหมู่โดยปล่อยให้ช่อง 
ว่างเว้นไว้ในตาราง 
 เมนเดเลเอฟคิดว่า ช่องว่างเหล่านัÊนน่าจะเป็นตำแหน่งของธาตุซึÉงยังไม่มีการค้นพบในขณะนัÊน 
จึงได้ทำนายสมบัติของธาตุทÉียังไม่มีการค้นพบไว้ 3 ธาตุ โดยให้ชÉือว่า เอคา–โบรอน , เอคา–อะลูมินัม , เอ 
คา–ซิลิคอน ซึÉงในเวลาต่อมาได้มีผู้ค้นพบธาตุทÉีเมเดเลเอฟได้ทำนายไว้ ซึÉงก็คือธาตุสแกนเดียม 
(Sc) แกลเลียม (Ga) และเจอร์มเเนียม (Ge) ตามลำดับ 
ตารางเปรียบเทียบสมบัติของเอทา-ซิลิคอน กับ เจอร์เมเนียม 
สมบัติ เอคา-ซิลิคิน 
ทำนายเมืÉอ พ.ศ. ŚŜřŜ 
เจอร์เมเนียม 
ทำนายเมืÉอ พ.ศ. ŚŜŚš 
มวลอะตอม 72 72.6 
ความหนาแน่น (g/cm3) 5.5 5.47 
สี เทาเข้ม เทาขาว 
ความหนาแน่นของออกไซด์ (g/cm3) EsO2 = 4.7 GeO2 = 4.7 
ความหนาแน่นของคลอไรด์(g/cm3) EsCl4 = 1.9 GeCl4 = 1.89 
จุดเดือดสารประกอบของคลอไรด์ < 100 oC 86 oC 
 ในการจัดตารางธาตุนอกจากจะใช้มวลอะตอมแล้ว ยังใช้สมบัติทางเคมีและทางกายภาพของสารประกอบ 
อืÉน ๆ นอกเหนือจากสารประกอบคลอไรด์ และออกไซด์มาประกอบการพิจารณาด้วย 
 อย่างไรก็ตามเมนเดเลเอฟไม่สามารถอธิบายได้ว่า เพราะเหตุใดจึงต้องจัดเรียงธาตุตามมวลอะตอม เนืÉองจากสมัย 
นัÊนนักวิทยาศาสตร์ยังศึกษาโครงสร้างของอะตอมและไอโซโทปได้ไม่ ชัดเจน 
รูปแสดง ตารางธาตุของเมนเดเลเยฟ 
โดย อรณี หัสเสม : เรียบเรียง 30
 นักวิทยาศาสตร์รุ่นต่อมาเกิดแนวความคิดว่า ตำแหน่งของธาตุในตารางธาตุไม่น่าจะขึÊนอยกูั่บมวลอะตอมของ 
ธาตุ แต่น่าจะขึÊนอยกูั่บสมบัติอÉืนทÉีมีความสัมพันธ์กับมวลอะตอม 
 เฮนรี โมสลีย์ นักวิทยาศาสตร์ชาวอังกฤษ ได้เสนอให้จัดธาตุเรียงตามเลขอะตอม เนÉืองจากสมบัติต่างๆ ของธาตุ 
มีความสัมพันธ์กับประจุบวกในนิวเคลียสหรือเลขอะตอมมากกว่ามวลอะตอม 
 ตารางธาตุในปัจจุบันจึงได้จัดเรียงธาตุตามเลขอะตอมจากน้อยไปมากซึÉงสอดคล้อง กับกฎพิริออดิกทÉีได้กล่าว 
มาแล้ว 
4) ตารางธาตุของเฮนรี โมสลีย์ 
 เฮนรี โมสลีย์ (Henry Moseley) นักวิทยาศาสตร์ชาวอังกฤษ ได้แก้ไขตารางธาตุของเมนเดเลเอฟให้ถูกต้องขึÊน 
โดยพบว่าเลขอะตอม หรือจำนวนโปรตอนในนิวเคลียสของธาตุ มีความสัมพันธ์กับสมบัติของธาตุมากกว่ามวล 
อะตอม 
 ทำให้สอดคล้องกับกฎพีริออดิกมากกว่า จึงสามารถสร้างตารางธาตุได้โดยไม่ต้องสลับทÉีธาตุบางธาตุเหมือนกรณี 
การจัดเรียงตามมวลอะตอม 
 ประมาณปี พ.ศ. 2456 (ค.ศ. 1913) โมสลีย์จึงเสนอตารางธาตุใหม่ 
 โดยเรียงตามเลขอะตอมจากน้อยไปหามาก 
 และจัดธาตุทีÉมีสมบัติคล้ายคลึงกันให้อยู่ในหมู่เดียวกัน 
 และกำหนดกฎตารางธาตุขึÊนใหม่เป็น “สมบัติต่าง ๆ ของธาตุในตารางธาตุขึÊนอยกูั่บเลขอะตอมของธาตุ” 
5) ตารางธาตุในปัจจุบัน 
 เนืÉองจากปัจจุบันนักเคมีพบว่า การจัดเรียงตัวของอิเล็กตรอนในอะตอมของธาตุมีส่วนสัมพันธ์กับสมบัติต่าง ๆ ของ 
ธาตุ 
 กล่าวคือ ถ้าเรียงลำดับธาตุตามเลขอะตอมจากน้อยไปหามาก จะพบว่าธาตุทÉีมีสมบัติคล้ายคลึงกันเป็นช่วง ๆ ตาม 
ลักษณะของการจัดเรียงอิเล็กตรอนในอะตอมของธาตุนัÊน 
 ดังนัÊนในปัจจุบันจึงจัดตารางธาตุโดยเรียงตามเลขอะตอมจากน้อยไปมาก ดังรูป 
รูปแสดงตารางธาตุในปัจจุบัน 
โดย อรณี หัสเสม : เรียบเรียง 31
 จากตารางธาตุในรูปข้างต้น เป็นแบบทÉีใช้กันอยู่มากในปัจจุบัน แบ่งธาตุเป็น 
โดย อรณี หัสเสม : เรียบเรียง 32 
แนวตัÊง หรือ หมู่ (group) มี 18 แถว หรือ 18 หมู่ แบ่งเป็น 2 กลุ่มใหญ่ ๆ ได้แก่ 
 กลุ่ม A มี 8 หมู่ คือ หมู่ IA ถึง VIIIA 
ธาตุในแต่ละหมู่ ของกลุ่ม A ถ้ามีสมบัติคล้ายกันจะมีชÉือเรียกเฉพาะหมู่ 
 ธาตุหมู่ IA เรียกว่า โลหะอัลคาไล (alkali metal) 
ได้แก่ Li , Na , K , Rb , Cs , Fr 
 ธาตุหมู่ IIA เรียกว่า โลหะอัลคาไลน์เอิร์ท (alkaline earth) 
ได้แก่ Be Mg Ca Sr Ba Ra 
 ธาตุหมู่ VIIA เรียกว่า ธาตุเฮโลเจน (halogen) 
ได้แก่ F Cl Br I At 
 ธาตุหมู่ทีÉ VIIIA เรียกว่า ก๊าซเฉืÉอย (Inert gas) 
ได้แก่ He Ne Ar Kr Xe Rn 
 กลุ่ม B มี Š หมู่ คือ หมู่ IB ถึง VIIIB (อยู่ระหว่างหมู่ IIA และ IIIA) 
เรียกธาตุกลุ่ม B ว่า ธาตุแทรนซิชัน ( Š หมู่ แต่มี řŘ แนวตัÊง) 
แนวนอน หรือ คาบ (period) มี ş คาบ ซึÉงแต่ละคาบอาจมีจำนวนธาตุไม่เท่ากัน เช่น 
 คาบทีÉ 1 มี 2 ธาตุ คือ H , He 
 คาบทÉี 2 มี 8 ธาตุ คือ ตัÊงแต่ Li ถึง Ne 
 คาบทÉี 3 มี 8 ธาตุ คือ ตัÊงแต่ Na ถึง Ar 
 คาบทÉี 4 มี 18 ธาตุ คือ ตัÊงแต่ K ถึง Kr 
 คาบทÉี 5 มี 18 ธาตุ คือ ตัÊงแต่ Rb ถึง Xe 
 คาบทÉี 6 มี 32 ธาตุ คือ ตัÊงแต่ Cs ถึง Rn 
 คาบทÉี 7 มี 19 ธาตุ คือ ตัÊงแต่ Fr ถึง Ha 
 สำหรับ 2 แถวล่าง เป็นธาตุกลุ่มย่อยทÉีแยกมาจากหมู่ IIIB ในคาบทÉี 6 และ 7 เรียกธาตุในกลุ่มย่อยนÊีรวม ๆ ว่า 
 กลุ่มธาตุแลนทาไนด์ (เลขอะตอม 58 - 71 ) 
 กลุ่มธาตุแอกทิไนด์ (เลขอะตอม 90 - 103 ) 
 นอกจากนÊีเมÉือพิจารณาธาตุหมู่ IIIA ไปทางขวามือ จะพบเส้นหนักหรือเส้นทึบเป็นแบบขัÊนบันได เส้นหนักนÊีจะเป็นเส้น 
แบ่งกลุ่มธาตุโลหะและอโลหะ กล่าวคือ 
 ธาตุทางขวาของเส้นขัÊนบันไดจะเป็น อโลหะ 
 ธาตุทางซ้ายของเส้นขัÊนบันไดจะเป็น โลหะ 
 ธาตุทÉีอยชูิ่ดกับเส้นขัÊนบันได เป็นธาตุกÉึงโลหะ ซึÉงมีทัÊงสมบัติของโลหะและอโลหะ เช่น ธาตุ B , Si ,Ge ,As , Sb , Te 
 การตัÊงชÉือธาตุทÉีค้นพบใหม่ 
 จากตารางธาตุในรูป จะพบว่ามีธาตุอยู่ 109 ธาตุ ซึÉงยังมีการค้นพบธาตุใหม่ ๆ เพิÉมขึÊนอีกหลายธาตุ แต่ยังไม่ได้ 
กำหนดสัญลักษณ์ทÉีแน่นอนไว้ในตารางธาตุ 
 ธาตุบางธาตุถูกค้นพบโดยนักวิทยาศาสตร์หลายคณะ ทำให้มีชÉือเรียกและสัญลักษณ์ต่างกัน
 ตัวอย่างการตัÊงชÉือธาตุทÉีค้นพบใหม่ 
ยังไม่มีการตัÊงหลักเกณฑ์ 
โดย อรณี หัสเสม : เรียบเรียง 33 
ธาตุทีÉ 104 ค้นพบโดยคณะนักวิทยาศาสตร์ 2 คณะ คือ 
คณะของนักวิทยาศาสตร์สหรัฐอเมริกา ซึÉงเรียกชÉือว่า รัทเทอร์ฟอร์เดียม (Ratherfordium) และใช้สัญลักษณ์ Rf 
ในขณะทีÉคณะนักวิทยาศาสตร์สหภาพโซเวียตเรียกชืÉอว่าเคอร์ซาโตเวียม (Kurchatovium) ใช้สัญลักษณ์ Ku 
ธาตุทีÉ 105 ค้นพบโดยคณะนักวิทยาศาสตร์ 2 คณะเช่นเดียวกัน คือ 
คณะนักวิทยาศาสตร์สหรัฐอเมริกาเรียกชืÉอว่า ฮาห์เนียม (Hahnium) และใช้สัญลักษณ์ Ha 
ในขณะทีÉนักวิทยาศาสตร์สหภาพโซเวียตใช้ชืÉอว่า นิลส์บอห์เรียม (Neilbohrium) และใช้สัญลักษณ์เป็น Ns 
การทÉีคณะนักวิทยาศาสตร์ต่างคณะตัÊงชÉือแตกต่างกัน ทำให้เกิดความสับสน 
มีการตัÊงหลักเกณฑ์ 
International Union of Pure and Applied Chemistry (IUPAC) ได้กำหนดระบบการตัÊงชÉือขึÊนใหม่ โดย 
 ใช้กับชÉือธาตุทÉีมีเลขอะตอมเกิน 100 ขึÊนไป 
 ทัÊงนีÊให้ตัÊงชÉือธาตุโดยระบุเลขอะตอมเป็นภาษาละติน แล้วลงท้ายด้วย ium 
 ระบบการนับเลขในภาษาละติน เป็นดังนีÊ 
0 nil (นิล) 5 pent (เพนท์) 
1 un (อุน) 6 hex (เฮกซ์) 
2 bi (ไบ) 7 sept (เซปท์) 
3 tri (ไตร) 8 oct (ออกตฺ) 
4 quad (ควอด) 9 enn (เอนน์) 
 ตัวอย่างเช่น 
ธาตุทีÉ 104 ตามระบบ IUPAC อ่านว่า อุนนิลควอเดียม (Unnilquadium) สัญลักษณ์ Unq 
ธาตุทีÉ 105 ตามระบบ IUPAC อ่านว่า อุนนิลเพนเทียม (Unnilpentium) สัญลักษณ์ Unp 
ธาตุทีÉ 114 ตามระบบ IUPAC อ่านว่า อุนอุนควอเดียม (Ununhexium) สัญลักษณ์ Uuq 
ธาตุทีÉ 115 ตามระบบ IUPAC อ่านว่า อุนอุนเพนเทียม (Unnilpentium) สัญลักษณ์ Uup 
 การจัดตารางธาตุเป็นหมู่เป็นคาบ ทำให้ศึกษาสมบัติต่าง ๆ ของธาตุได้ง่ายขึÊน 
 สามารถทำนายสมบัติบางประการของธาตุบางธาตุได้ กล่าวคือ 
 ธาตุทีÉอยู่ในหมู่เดียวกันจะมีสมบัติต่าง ๆ คล้าย ๆ กัน 
 และธาตุทีÉอยู่ในคาบเดียวกัน จะมีแนวโน้มของการเปลีÉยนแปลงสมบัติต่าง ๆ ต่อเนืÉองกันไป 
 ซึÉงจะกล่าวถึงรายละเอียดต่อไป
โดย อรณี หัสเสม : เรียบเรียง 34 
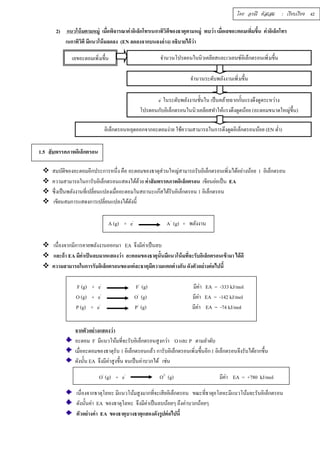
2.2 สมบัติของธาตุตามหมู่และตามคาบ 
 จากการศึกษาการจัดเรียงธาตุในตารางธาตุ ช่วยให้ทราบว่าตารางธาตุในปัจจุบันจัดธาตุเป็นหมู่และเป็นคาบ โดยอาศัย 
สมบัติ บางประการทีÉคล้ายกัน 
 สมบัติของธาตุตามหมู่และตามคาบซึÉงได้แก่ ขนาดอะตอม รัศมีไอออน พลังงาน ไอออไนเซชัน อิเล็กโทรเนกาติวิตี 
สัมพรรคภาพอิเล็กตรอน จุดหลอมเหลวและจุดเดือด และเลขออกซิเดชัน 
สมบัติดังกล่าวนีÊจะมีแนวโน้มเป็นอย่างไรศึกษาได้ดังนีÊ 
1) ขนาดอะตอม 
 ตามแบบจำลองอะตอมแบบกลุ่มหมอก อิเล็กตรอนทีÉอยู่รอบนิวเคลียสจะเคลืÉอนทีÉตลอดเวลาด้วยความเร็วสูงและไม่ 
สามารถบอกตำแหน่งทÉีแน่นอนรวมทัÊงไม่สามารถกำหนดขอบเขตทÉีแน่นอนของ อิเล็กตรอนได้ 
 นอกจากนีÊอะตอมโดยทัวÉไปไม่อยเู่ป็นอะตอมเดÉียวแต่จะมีแรงยึดเหนÉียวระหว่าง อะตอมไว้ด้วยกัน จึงเป็นเรÉืองยากทÉี 
จะวัดขนาดของอะตอมทีÉอยู่ในภาวะอิสระหรือเป็นอะตอม เดีÉยว 
 ในทางปฏิบัติจึงบอกขนาดอะตอมด้วยรัศมีอะตอม ซึÉงมีค่าเท่ากับครึÉงหนึÉงของระยะหว่างนิวเคลียสของอะตอมทัÊง 
สองทีÉมีแรง ยึดเหนีÉยวระหว่างอะตอมไว้ด้วยกันหรือทีÉอยู่ชิดกัน 
 รัศมีอะตอมมีหลายแบบซึÉง ขึÊนอยกูั่บชนิดของแรงทÉียึดเหนÉียวระหว่างอะตอม ดังตัวอย่าง 
 รัศมีโคเวเลนต์ คือระยะทางครึÉงหนึÉงของความยาวพันธะโคเวเลนต์* ระหว่างอะตอมชนิดเดียวกัน 
ตัวอย่างรัศมีโคเวเลนต์ ของไฮโดรเจนและคลอรีนแสดงได้ดังนีÊ 
ความยาวพันธะ H - H = 74 pm 
รัศมีโคเวเลนต์ของ H = = 37 pm 
ความยาวพันธะ Cl - Cl = 198 pm 
รัศมีโคเวเลนต์ของ Cl = = 99 pm 
รูปแสดงรัศมีอะตอมของไฮโดรเจนและคลอรีน 
 ในกรณีทÉีเป็นพันธะโคเวเลนต์ระหว่างอะตอมต่างชนิดกันเช่น CCl4 อาจหารัศมีอะตอมของธาตุทัÊงสอง 
 ในทีÉนีÊคือคาร์บอนกับคลอรีนและทราบรัศมีอะตอมของธาตุคลอรีนดังตัวอย่าง 
จากข้อมูลทราบว่า ความยาวพันธะ C-CI = 176 pm 
รัศมีอะตอมของ CI = 99 pm 
ดังนัÊน รัศมีอะตอมของ C = (176-99) 
= 77 pm 
C Cl 
176 pm 
รัศมี Cl = 99 pm 
รัศมี C
 รัศมีแวนเดอร์วาลส์ คือระยะทางครึÉงหนึÉงของระยะระหว่างนิวเคลียสของอะตอมทÉีอยใู่กล้ทÉีสุด 
ตัวอย่างรัศมีแวนเดอร์วาลส์ซึÉงหาจากอะตอมของแก๊สเฉÉือย 
เช่น รัศมีอะตอมของธาตุคริปทอน หรือหาจากโมเลกุลโคเวเลนต์ 2 โมเลกุลทีÉสัมผัสกัน เช่น โมเลกุลของแก๊ส 
ไฮโดรเจน 2 โมเลกุล ดังตัวอย่าง 
รูปแสดงรัศมีแวนเดอร์วาลส์ของคริปทอนและไฮโดรเจน 
คำถามชวนคิด 
รัศมีโคเวเลนต์กับรัศมีแวนเดอร์วาลส์แตกต่างกันอย่างไร 
ขนาดอะตอมของ H ทีÉเป็นรัศมีโคเวเลนต์กับรัศมีแวนเดอร์วาลส์มีค่าแตกต่างกันหรือไม่ อย่างไร 
 รัศมีโลหะ ระยะทางครึÉงหนึÉงของระยะระหว่างนิวเคลียสของอะตอมโลหะทÉีอยใู่กล้กัน มากทÉีสุด 
เช่น ธาตุแมกนีเซียม มีระยะระหว่างนิวเคลียสของอะตอมสองอะตอมอยู่ใกล้กันทีÉสุดเท่ากับ 320 พิโกเมตร 
รัศมีอะตอมของโลหะแมกนีเซียมจึงมีค่าเท่ากับ ซึÉงเท่ากับ 160 พิโกเมตร 
 การศึกษารัศมีอะตอมของธาตุ ทำให้ทราบขนาดอะตอมของธาตุ 
 และสามารถเปรียบเทียบขนาดอะตอมของธาตุทีÉอยู่ใน คาบเดียวกันหรือหมู่เดียวกันได้ 
 ตัวอย่างรัศมีอะตอมของธาตุในตารางธาตุ แสดงดังรูปต่อไปนีÊ 
โดย อรณี หัสเสม : เรียบเรียง 35
รูปแสดง รัศมีอะตอม (พิโกเมตร) ของธาตุในตารางธาตุ 
โดย อรณี หัสเสม : เรียบเรียง 36 
 จากรูปแสดงรัศมีอะตอมของธาตุในตารางธาตุ สามารถสรุปแนวโน้มขนาดอะตอม ดังนีÊ 
1) ธาตุโลหะแสดงด้วยค่ารัศมีโลหะ ธาตุอโลหะแสดงด้วยค่ารัศมีโคเวแลนต์ ส่วนธาตุหมู่ VIIA เป็นรัศมีแวนเดอร์วาลส์ 
2) แนวโน้มตามคาบ 
 เมÉือพิจารณาขนาดอะตอมของธาตุทÉีอยู่ในคาบเดียวกัน พบว่า เมÉือเลขอะตอมเพÉิมขÊึน ขนาดอะตอมมีแนวโน้ม 
เล็กลง (เล็กลงจากซ้ายไปขวา )อธิบายได้ว่า 
เลขอะตอมเพิÉมขึÊน จำนวนโปรตอนในนิวเคลียส และ เวเลนซ์ e- เพิÉม 
3) แนวโน้มตามหมู่ 
เวเลนซ์ e- จะดึงดูดกับโปรตอนด้วยแรงดึงดูดสูง 
เวเลนซ์ e- จะเข้าใกล้นิวเคลียสมาก 
อะตอมจึงมีขนาดเล็ก 
 เมÉือพิจารณาขนาดอะตอมของธาตุทÉีอยู่ในหมู่เดียวกัน พบว่า เมÉือเลขอะตอมเพÉิมขÊึน ขนาดอะตอมมีแนวโน้ม 
ใหญ่ขึÊน (ใหญ่ขึÊนจากบนลงล่าง) อธิบายได้ว่า 
เลขอะตอมเพิÉมขึÊน จำนวนโปรตอนในนิวเคลียส และ เวเลนซ์ e- เพิÉม 
จำนวนระดับพลังงานเพิÉม 
e- ในระดับพลังงานชัÊนใน เป็นคล้ายฉากกัÊนแรงดึงดูดระหว่าง 
โปรตอนกับอิเล็กตรอนในนิวเคลียสทำให้แรงดึงดูดน้อย 
เวเลนซ์ e- จะอยู่ห่างจากนิวเคลียส 
อะตอมจึงมีขนาดใหญ่ 
ขนาดอะตอม 
ขนาดอะตอม 
ใหญ่สุด 
เล็กสุด
โดย อรณี หัสเสม : เรียบเรียง 37 
1.2) รัศมีไอออน 
 อะตอมซึÉงมีจำนวนโปรตอนเท่ากับอิเล็กตรอน เมÉือรับอิเล็กตรอนเพิÉมเข้ามาหรือเสียอิเล็กตรอนออกไป อะตอมจะ 
กลายเป็นไอออน 
นักเรียนคิดว่าขนาดของไอออนกับขนาดอะตอมของธาตุเดียวกันจะแตกต่างกันหรือไม่ 
 การบอกขนาดของไอออนทำได้เช่นเดียวกับการบอกขนาดอะตอม กล่าวคือจะบอกเป็นค่ารัศมีไอออน 
 ซึÉงพิจารณาจากระยะระหว่างนิวเคลียสของไอออนคู่หนึÉงๆ ทÉีมีแรงยึดเหนÉียวซึÉงกันและกันในโครงผลึก 
 ตัวอย่างรัศมีไอออนของ Mg2+ และ O2- ในสารประกอบ MgO แสดงดังรูปต่อไปนีÊ 
รูปแสดง การเปรียบเทียบขนาดอะตอมกับไอออน 
 เมืÉอโลหะทำปฏิกิริยากับอโลหะ ขนาดของ Mg กับ Mg2+ และ O กับ O2- แตกต่างกันอย่างไร เพราะเหตุใด 
โลหะ (เสีย e- ง่าย) 
 โลหะจะเสียเวเลนซ์อิเล็กตรอนกลายเป็นไอออนบวก 
 จำนวนอิเล็กตรอนในอะตอมจึงลดลง ทำให้แรงผลักระหว่างอิเล็กตรอนลดลงด้วย (แรงดึงดูดมาก) 
 หรือกล่าวอีกนัยหนึÉงได้ว่าแรงดึงดูดระหว่างประจุในนิวเคลียสกับอิเล็กตรอนจะเพิÉมมากขึÊน 
 ไอออนบวกจึงมีขนาดเล็กกว่าอะตอมเดิม 
อโลหะ (รับ e-) 
 อโลหะจะรับอิเล็กตรอนเพิÉมเข้ามาและเกิดเป็นไอออนลบ 
 จำนวนอิเล็กตรอนในอะตอมจึงมากขึÊน ทำให้แรงผลักระหว่างอิเล็กตรอนมากขึÊนด้วย (แรงดูดน้อย) 
 ขอบเขตของกลุ่มหมอกอิเล็กตรอนจะขยายออกไปจากเดิม 
 ไอออนลบจึงมีมีขนาดใหญ่กว่าอะตอมเดิม
รูปแสดง รัศมีอะตอมและรัศมีไอออน (พิโกเมตร) ของธาตุบางชนิด 
 จากรูป สามารถสรุปแนวโน้มรัศมีไอออนได้ ดังนีÊ 
โดย อรณี หัสเสม : เรียบเรียง 38 
หมู่ IA IIA IIIA และ VIIA มีแนวโน้มเช่นเดียวกัน คือ อะตอมและไอออนมีขนาดเพิÉมขึÊนจากบนลงล่าง 
รัศมีไอออนบวกจะมีค่าน้อยกว่ารัศมีอะตอม แต่รัศมีไอออนลบจะมีค่ามากกว่ารัศมีอะตอม 
การเปรียบเทียบขนาดไอออนทีÉมีความหมาย จะเปรียบเทียบระหว่างไอออนทีÉมีการจัดอิเล็กตรอนเหมือนกัน 
หรือมีจำนวน อิเล็กตรอนเท่ากัน 
เช่น Na+ กับ F- ซึÉงมี 10 อิเล็กตรอนเท่ากันและจัดอิเล็กตรอนเหมือนกัน พบว่า 
 Na+ มีขนาดไอออนเล็กกว่า F- 
เพราะ Na+ มีประจุบวกในนิวเคลียสมากกว่า F- จะเกิดแรงดึงดูดเวเลนซ์ e- ให้เข้าใกล้นิวเคลียสมาก 
ไอออนจึงมีขนาดเล็ก 
เพราะ F- มีประจุลบในนิวเคลียสมากกว่า Na+ จะเกิดแรงผลักระหว่างเอิเล็กตรอนในนิวเคลียสกับ 
เวเลนซ์ e- ทำให้ไอออนมีขนาดใหญ่ขึÊน 
ไอออนบวกทีÉจัดอิเล็กตรอนเหมือนกัน ไอออนบวกทีÉมีประจุมากจะมีขนาดเล็กกว่าไอออนบวกทีÉมีประจุน้อย 
ขณะทีÉไอออนลบทีÉจัดอิเล็กตรอนเหมือนกัน ไอออนลบทีÉมีประจุมากจะมีขนาดใหญ่กว่าไอออนบวกทีÉมีประจุ 
น้อย 
นัÉนคือ ขนาดไอออนบวก (ใหญ่ไปเล็ก) 1+ > 2+ > 3+ (+ มากเล็กสุด ) 
ขณะทีÉ ขนาดไอออนลบ (ใหญ่ไปเล็ก) 3- > 2- > 1- (- มาก ใหญ่สุด)
โดย อรณี หัสเสม : เรียบเรียง 39 
1.3) พลังงานไอออไนเซชัน (Ionization energy ; IE) 
 เมืÉอให้พลังงานแก่อะตอมของธาตุในสถานะของเหลวหรือของแข็งในปริมาณทÉีมากพอ จะทำให้อะตอมเปลÉียนสถานะ 
เป็นแก๊สได้ 
 และถ้าให้พลังงานต่อไปอีกจนสูงเพียงพอ ก็จะทำให้อิเล็กตรอนหลุดออกจากอะตอมกลายเป็นไอออน 
 พลังงานปริมาณน้อยทÉีสุดทÉีทำให้อิเล็กตรอนหลุดจากอะตอมในสถานะแก๊สเรียกว่า พลังงานไอออไนเซชัน (IE) 
ตัวอย่างเช่น การทำให้ไฮโดรเจนอะตอมในสถานะแก๊สกลายเป็นไฮโดรเจนไอออนในสถานะแก๊สเขียน ดังนีÊ 
H (g) H+ (g) + e- 
การทำให้อิเล็กตรอนหลุดออกจากอะตอมของไฮโดรเจนจะต้องใช้พลังงานอย่างน้อยทีÉสุด Ś.Řš x 10-18 จูลต่ออะตอม 
หรือ 1318 กิโลจูลต่อโมล* นัÉนคือพลังงานไอออไนเซชันของไฮโดรเจนอะตอมเท่ากับ 1318 กิโลจูลต่อโมล 
ธาตุไฮโดรเจนมี 1 อิเล็กตรอน จึงมีค่าพลังงานไอออไนเซชันเพียงค่าเดียว 
ถ้าเป็นธาตุทีÉมีหลายอิเล็กตรอนก็จะมีพลังงานไอออไนเซชันหลายค่า 
 พลังงานน้อยทÉีสุดทÉีทำให้อิเล็กตรอนตัวแรกหลุดออกจากอะตอมทÉีอยใู่นสถานะแกส๊ เรียกว่า พลังงานไอออไนเซชัน 
ลำดับทÉีหนึÉง เขียนย่อเป็น IE1 
 พลังงานทÉีทำให้อิเล็กตรอนในลำดับต่อๆ มาหลุดออกจากอะตอมก็จะเรียกว่าพลังงานไอออไนเซชันลำดับทÉี 2 3 4 … 
เขียนย่อเป็น IE2 IE3 IE4…. 
ตัวอย่างเช่น ธาตุโบรอน (B) มี 5 อิเล็กตรอน จึงมีพลังงานไอออไนเซชัน 5 ค่า เขียนแสดงได้ดังนีÊ 
B (g) B+ (g) + e- ; IE1 = 807 kJ/mol 
B+ (g) B2+ (g) + e- ; IE2 = 2433 kJ/mol 
B2+ (g) B3+ (g) + e- ; IE3 = 3666 kJ/mol 
B3+ (g) B4+ (g) + e- ; IE4 = 25033 kJ/mol 
B4+ (g) B5+ (g) + e- ; IE3 = 32834 kJ/mol 
 สำหรับพลังงานไอออไนเซชันของธาตุ 20 ธาตุแรกเรียงตามเลขอะตอมแสดงไว้ในตารางต่อไปนีÊ
โดย อรณี หัสเสม : เรียบเรียง 40 
 จากรูปข้างต้น 
1) G.H.Aylward. T.J.V. Findlay, S.I Chemical : Data (5th edition. 1994) p. 126 John Wiley & Sons Australia, Ltd. 
2) ตัวเลขทางด้านขวาของขัÊนบันได เป็นค่า IE ของการทำให้อิเล็กตรอนวงในหลุดออกจากอะตอม 
 การเปรียบเทียบพลังงานไอออไนเซชันของธาตุจะใช้เฉพาะค่า ซึÉงเมืÉอนำค่าพลังงานไอออไนเซชันลำดับทีÉ 1 ของธาตุบาง 
ธาตุในตารางธาตุมาแสดงจะได้ดังนีÊ 
 จากรูป สามารถสรุปแนวโน้มค่า ของธาตุตามหมู่และตามคาบได้ ดังนÊี 
1) แนวโน้มตามคาบ เมืÉอพิจารณาพลังงานไอออไนเซชันลำดับทีÉ 1 ของธาตุตามคาบ พบว่า เมืÉอเลขอะตอมเพิÉมขึÊน 
พลังงานไอออไนเซชันจะมีแนวโน้มเพิÉมขึÊน (IE เพิÉมขึÊนจากซ้ายไปขวา) อธิบายได้ว่า 
เลขอะตอมเพิÉมขึÊน จำนวนโปรตอนในนิวเคลียสและเวเลนซ์อิเล็กตรอนเพิÉมขึÊน 
แรงดึงดูดระหว่างนิวเคลียสกับเวเลนซ์อิเล็กตรอนเพิÉมมากขึÊน (อะตอมขนาดเล็กลง) 
อิเล็กตรอนหลุดออกจากอะตอมยาก ต้องใช้พลังงานในการดึงอิเล็กตรอนให้หลุดมาก (IE สูง) 
2) แนวโน้มตามหมู่ เมÉือพิจารณาพลังงานไอออไนเซชันลำดับทÉี 1 ของธาตุตามหมู่ พบว่า เมÉือเลขอะตอมเพÉิมขÊึน พลังงาน 
ไอออไนเซชันมีแนวโน้มลดลง (IE ลดลงจากบนลงล่าง) อธิบายได้ว่า 
เลขอะตอมเพิÉมขึÊน จำนวนโปรตอนในนิวเคลียสและเวเลนซ์อิเล็กตรอนเพิÉมขึÊน 
จำนวนระดับพลังงานเพิÉมขึÊน 
e- ในระดับพลังงานชัÊนใน เป็นคล้ายฉากกัÊนแรงดึงดูดระหว่าง 
โปรตอนกับอิเล็กตรอนในนิวเคลียสทำให้แรงดึงดูดน้อย (อะตอมขนาดใหญ่ขึÊน) 
อิเล็กตรอนหลุดออกจากอะตอมง่าย ใช้พลังงานในการดึงอิเล็กตรอนให้หลุดออกน้อย (IE ตํÉา)
โดย อรณี หัสเสม : เรียบเรียง 41 
1.4) อิล็กโทรเนกาทิวิตื (Electronegativity ; EN) 
 เมืÉออะตอมของธาตุต่างชนิดรวมตัวเป็นโมเลกุลโดยใช้อิเล็กตรอนคู่ร่วมกัน นิวเคลียสของอะตอมทัÊงสองจะดึงดูด 
อิเล็กตรอนคู่ทีÉใช้ร่วมกันด้วยแรงทีÉต่างกัน 
 ทำให้อะตอมทÉีสามารถดึงดูดอิเล็กตรอนได้ดีกว่าเกิดสภาพอำนาจไฟฟ้าค่อนข้างเป็นลบ ส่วนอะตอมทÉีดึงดูดอิเล็กตรอน 
ได้น้อยกว่าจะเกิดสภาพอำนาจไฟฟ้าค่อนข้างเป็นบวก 
 ความสามารถของอะตอมในการดึงดูดอิเล็กตรอนในโมเลกุลของสารเรียกว่า อิเล็กโทรเนกาติวิตี เขียนย่อ EN เช่น 
โมเลกุล HCI 
 เนÉืองจาก CI ดึงดูดอิเล็กตรอนได้ดีกว่า H ดังนัÊน CI จึงมีค่าอิเล็กโทรเนกาติวิตีสูงกว่า H ในโมเลกุล 
โมเลกุล OF2 
 เนÉืองจาก F ดึงดูดอิเล็กตรอนได้ดีกว่า O ดังนัÊน F จึงมีค่าอิเล็กโทรเนกาวิตีสูงกว่า O ในโมเลกุล 
 แนวโน้มค่าอิเล็กโทรเนกาติวิตีของธาตุในตารางธาตุเป็นดังนีÊ 
รูปแสดง ค่าอิเล็กโทรเนกาติวิตีของธาตุในตารางธาตุ 
 จากรูป สามารถสรุปแนวโน้มค่าอิเล็กโทรเนกาทิวิตีตามคาบและหมู่ ดังน Êี 
1) แนวโน้มตามคาบ เมืÉอพิจารณาค่าอิเล็กโทรเนกาทิวิตีของธาตุตามคาบ พบว่า เมืÉอเลขอะตอมเพิÉมขึÊน ค่าอิเล็กโทรเน 
กาทิวิตี มีแนวโน้มเพิÉมขึÊน (EN เพิÉมขึÊนจากซ้ายไปขวา) อธิบายได้ว่า 
เลขอะตอมเพิÉมขึÊน โปรตอนในนิวเคลียสและเวเลนซ์ e-เพิÉมขึÊน แรงดึงดูดในนิวเคลียสจึงเพิÉมขึÊน (อะตอมเล็กลง) 
แรงดึงดูดสูงจึงทำให้อิเล็กตรอนหลุดออกจากอะตอมยาก 
จึงต้องใช้ความสามารถในการดึงดูดอิเล็กตรอนมาก (EN สูง)
โดย อรณี หัสเสม : เรียบเรียง 42 
2) แนวโน้มตามหมู่ เมÉือพิจารณาค่าอิเล็กโทรเนกาทิวิตีของธาตุตามหมู่ พบว่า เมÉือเลขอะตอมเพÉิมขÊึน ค่าอิเล็กโทร 
เนกาทิวิตี มีแนวโน้มลดลง (EN ลดลงจากบนลงล่าง) อธิบายได้ว่า 
เลขอะตอมเพิÉมขึÊน จำนวนโปรตอนในนิวเคลียสและเวเลนซ์อิเล็กตรอนเพิÉมขึÊน 
1.5 สัมพรรคภาพอิเล็กตรอน 
จำนวนระดับพลังงานเพิÉมขึÊน 
e- ในระดับพลังงานชัÊนใน เป็นคล้ายฉากกัÊนแรงดึงดูดระหว่าง 
โปรตอนกับอิเล็กตรอนในนิวเคลียสทำให้แรงดึงดูดน้อย (อะตอมขนาดใหญ่ขึÊน) 
อิเล็กตรอนหลุดออกจากอะตอมง่าย ใช้ความสามารถในการดึงดูดอิเล็กตรอนน้อย (EN ตํÉา) 
 สมบัติของอะตอมอีกประการหนึÉง คือ อะตอมของธาตุส่วนใหญ่สามารถรับอิเล็กตรอนเพิÉมได้อย่างน้อย 1 อิเล็กตรอน 
 ความสามารถในการับอิเล็กตรอนแสดงได้ด้วย ค่าสัมพรรคภาพอิเล็กตรอน เขียนย่อเป็น EA 
 ซึÉงเป็นพลังงานทÉีเปลÉียนแปลงเมÉืออะตอมในสถานะแก๊สได้รับอิเล็กตรอน 1 อิเล็กตรอน 
 เขียนสมการแสดงการเปลÉียนแปลงได้ดังนีÊ 
A (g) + e- A- (g) + พลังงาน 
 เนืÉองจากมีการคายพลังงานออกมา EA จึงมีค่าเป็นลบ 
 และถ้า EA มีค่าเป็นลบมากแสดงว่า อะตอมของธาตุนัÊนมีแนวโน้มทÉีจะรับอิเล็กตรอนเข้ามา ได้ดี 
 ความสามารถในการรับอิเล็กตรอนของแต่ละธาตุมีความแตกต่างกัน ดังตัวอย่างต่อไปนีÊ 
F (g) + e- F- (g) มีค่า EA = -333 kJ/mol 
O (g) + e- O- (g) มีค่า EA = -142 kJ/mol 
P (g) + e- P- (g) มีค่า EA = -74 kJ/mol 
จากตัวอย่างแสดงว่า 
อะตอม F มีแนวโน้มทีÉจะรับอิเล็กตรอนสูงกว่า O และ P ตามลำดับ 
เมÉืออะตอมของธาตุรับ 1 อิเล็กตรอนแล้ว การับอิเล็กตรอนเพิÉมขึÊนอีก 1 อิเล็กตรอนจึงรับได้ยากขึÊน 
ดังนัÊน EA จึงมีค่าสูงขึÊน จนเป็นค่าบวกได้ เช่น 
O- (g) + e- O2- (g) มีค่า EA = +780 kJ/mol 
เนืÉองจากธาตุโลหะ มีแนวโน้มสูงมากทีÉจะเสียอิเล็กตรอน ขณะทีÉธาตุอโลหะมีแนวโน้มจะรับอิเล็กตรอน 
ดังนัÊนค่า EA ของธาตุโลหะ จึงมีค่าเป็นลบน้อยๆ ถึงค่าบวกน้อยๆ 
ตัวอย่างค่า EA ของธาตุบางธาตุแสดงดังรูปต่อไปนีÊ
โดย อรณี หัสเสม : เรียบเรียง 43 
รูปแสดงค่าสัมพรรคภาพอิเล็กตรอนของธาตุในตารางธาตุ 
จากรูป สามารถสรุปแนวโน้มค่าสัมพรรคภาพอิเล็กตรอนได้ดังนีÊ 
 ค่าสัมพรรคภาพอิเล็กตรอน (EA) ของธาตุในหมู่ IA IIA และ IIIA มีค่าเป็นลบน้อยกว่าธาตุ 
ทีÉอยู่ทางขวามือ 
 ซึÉงแปลความหมายได้ว่า ธาตุในหมู่ดังกล่าวมีแนวโน้มทÉีจะรับอิเล็กตรอนน้อย มาก โดยเฉพาะธาตุในหมู่ 
IIA ซึÉงมีค่านีÊสูงทÉีสุด แสดงว่ารับอิเล็กตรอนยากทÉีสุด 
 ส่วนธาตุหมู่ IVA VA VIA และ VIIA มีแนวโน้มสูงทÉีจะรับอิเล็กตรอน โดยเฉพาะหมู่ VIIA ซึÉงชอบรับ 
อิเล็กตรอนสูงทีÉสุด 
 การรับ 1 อิเล็กตรอนของธาตุในหมู่ VIIA นีÊ จะทำให้อะตอมมีการจัดเรียงอิเล็กตรอนเหมือนแก๊ส เฉÉือยทÉี 
อยหู่มู่ถัดไปซึÉงมีความเสถียรมาก EA จึงมีค่าเป็นลบมาก 
1.6 จุดหลอมเหลวและจุดเดือด 
 อนุภาคของสารทีÉอยู่รวมกันจะมีแรงยึดเหนีÉยวระหว่างกัน 
 การแยกอนุภาคของสารออกจากกันอาจใช้วิธีให้ความร้อนแก่สารจนมีอุณหภูมิสูงถึง จุดหลอมเหลวหรือจุดเดือด 
 พลังงานความร้อนทÉีใช้จะมากหรือน้อยขึÊนอยกูั่บขนาด (หรือความแข็งแรง) ของแรงยึดเหนÉียวระหว่างอนุภาคในสารนัÊน 
 สารทีÉมีแรงยึดเหนีÉยวระหว่างอนุภาคมากจะมีจุดหลอมเหลวและจุดเดือดสูงด้วย
 ตัวอย่างจุดหลอมเหลวและจุดเดือดของธาตุหมู่ IA-VIIA แสดงดังต่อไปนÊี 
รูปแสดง จุดหลอมเหลวและจุดเดือดของธาตุในตารางธาตุ 
 จากรูป สามารถสรุปแนวโน้มจุดเดือดและจุดหลอมเหลวได้ ดังนีÊ 
1) แนวโน้มตามคาบของจุดเดือดและจุดหลอมเหลว 
โดย อรณี หัสเสม : เรียบเรียง 44 
ธาตุในหมู่ IA IIA IIIA และ IVA มีแนวโน้มสูงขึÊนตามลำดับ โดยเฉพาะหมู่ IVA จะมีจุดหลอมเหลวและ 
จุดเดือดสูงทีÉสุด สามารถอธิบายได้ว่า 
 อธิบายได้ว่า เมÉือเลขอะตอมเพิÉมขึÊนอะตอมจะมีจำนวนเวเลนซ์อิเล็กตรอนมากขึÊน รวมทัÊงมีแรงยึดเหนÉียว 
ระหว่างนิวเคลียสกับเวเลนซ์อิเล็กตรอนทÉีเคลÉือนท Éีอิสระแข็งแรงขึÊน จุดเดือดจุดหลอมเหลวจึงสูง 
 ส่วนธาตุหมู่ IVA บางธาตุมีโครงสร้างเป็นโครงผลึกร่างตาข่ายจึงทำให้จุดหลอมเหลวและจุดเดือดมีค่า 
สูงขึÊน 
ส่วนหมู่ VA VIA VIIA และ VIIIA มีจุดหลอมเหลวและจุดเดือดตํÉา และมีค่าใกล้เคียงกัน 
 อธิบายได้ว่า แรงยึดเหนÉียวระหว่างโมเลกุลของธาตุกลุ่มนีÊมีค่าตํÉามาก จุดหลอมเหลวและจุดเดือดจึงตํÉา 
2) แนวโน้มตามหมู่ของจุดเดือดและจุดหลอมเหลว 
ธาตุหมู่ IA IIA และ IIIA ส่วนใหญ่มีค่าลดลงเมÉือเลขอะตอมเพิÉมขึÊน 
ธาตุหมู่ VA VIA VIIA และ VIIIA มีจุดหลอมเหลวและจุดเดือดเพิÉมขึนÊตามเลขอะตอม 
สำหรับจุดหลอมเหลวและจุดเดือดของธาตุหมู่ IVA มีแนวโน้มทÉีไม่ชัดเจน เนÉืองจากธาตุในหมู่นีÊมีโครงสร้างและ 
แรงยึดเหนีÉยวระหว่างอะตอมแตกต่างกัน จึงไม่สามารถสรุปเป็นแนวโน้มได้
โดย อรณี หัสเสม : เรียบเรียง 45 
1.7 เลขออกซิเดชัน 
 นักเรียนได้ศึกษามาแล้วว่า สารประกอบเกิดจากการรวมตัวของธาตุตัÊงแต่ 2 ธาตุขึÊนไป 
 สำหรับธาตุทีÉมีพลังงานไอออไนเซชันแตกต่างกันมาก อะตอมของธาตุจะมีการให้และ รับอิเล็กตรอนกลายเป็นไอออน 
บวกกับลบยึดเหนีÉยวกันไว้ ใน 
 กรณีทÉีธาตุทัÊงคู่มีค่าพลังงานไอออไนเซชันสูงมาก และธาตุหนึÉงมีค่าอิเล็กโทรเนกาติวิตีสูงกว่าอีกธาตุหนึÉง อะตอมของ 
ธาตุทัÊงสองจะใช้อิเล็กตรอนร่วมกันและเกิดอำนาจไฟฟ้าบวกกับลบได้ 
 นักเคมีได้กำหนดเลขออกซิเดชันขึÊนเพÉือแสดงถึงค่าประจุไฟฟ้าหรือประจุไฟฟ้าสมมติของไอออนหรืออะตอมของธาตุขึÊน 
ดังนัÊน ค่าออกซิเดชัน คือ ค่าประจุไฟฟ้าหรือประจุไฟฟ้าสมมติของไอออนหรืออะตอมของธาตุ 
ตัวอย่างเช่น 
โซเดียมคลอไรด์ (NaCl) ประกอบด้วยโซเดียมไอออน (Na+) ทีÉมีประจุไฟฟ้า +1 และคลอไรด์ไอออน (Cl-) ทีÉมีประจุ 
ไฟฟ้า -1 จึงกำหนดให้โซเดียมมีเลขออกซิเดชัน +1 และคลอรีนมีเลขออกซิเดชัน -1 
แก๊สไฮโดรเจนคลอไรด์ (HCI) ประกอบด้วยไฮโดรเจน 1 อะตอมกับคลอรีน 1 อะตอมใช้อิเล็กตรอนร่วมกัน 1 คู่ 
แต่เนืÉองจากคลอรีนมีอิเล็กโทรเนกาติวิตีสูงกว่าไฮโดรเจน อิเล็กตรอนคู่ทีÉใช้ร่วมกันจึงถูกดึงดูดเข้าใกล้นิวเคลียสของ 
คลอรีนทำให้ คลอรีนแสดงอำนาจไฟฟ้าลบ ส่วนไฮโดรเจนแสดงอำนาจไฟฟ้าบวก จึงกำหนดเลขออกซิเดชันของคลอรีน 
ให้มีค่าเท่ากับ -1 และไฮโดรเจนเท่ากับ +1 
 การกำหนดว่าธาตุต่างๆ จะมีเลขออกซิเดชันเป็นเท่าใด ให้เป็นไปตามเกณฑ์การกำหนดเลขออกซิเดชันของธาตุดังนีÊ 
1) ธาตุอิสระทุกชนิดทÉีอยู่ในรูปอะตอมหรือโมเลกุล มีเลขออกซิเดชันเท่ากับศูนย์ เช่น Ca Na Zn He O2 P4 
และ S8 เป็นต้น 
2) ออกซิเจนในสารประกอบทÉัวไปมีเลขออกซิเดชัน -2 ยกเว้น 
สารประกอบเปอร์ออกไซด์ เช่น H2O2 , BaO2 ออกซิเจนมีเลขออกซิเดชัน -1 
สารประกอบซูเปอร์ออกไซด์ เช่น KO2 ออกซิเจนมีเลขออกซิเดชัน -1/2 
สารประกอบ OF2 ออกซิเจนมีเลขออกซิเดชัน +2 
3) ไฮโดรเจนในสารประกอบทÉัวไปมีเลขออกซิเดชัน +1 ยกเว้น 
สารประกอบไฮโดรด์ของโลหะ เช่น NaH หรือ CaH2 ไฮโดรเจนมีเลขออกซิเดชัน -1 
4) ไอออนของธาตุมีเลขออกซิเดชันเท่ากับประจุของไอออนนัÊน ตัวอย่างเช่น 
H+ มีเลขออกซิเดชัน +1 
Mg2+ มีเลขออกซิเดชัน +2 
Cl- มีเลขออกซิเดชัน -1 
5) ไอออนทีÉประกอบด้วยอะตอมมากกว่าหนึÉงชนิด ผลรวมของเลขออกซิเดชันของทุกอะตอมจะเท่ากับประจุของไอออน 
นัÊน ตัวอย่างเช่น 
SO4 
2- มีประจุ -2 ผลรวมของเลขออกซิเดชัน ของ จึงเท่ากับ -2 
MnO4 
- มีประจุ -1 ผลรวมของเลขออกซิเดชัน ของ จึงเท่ากับ -1 
6) สารประกอบใดๆ ผลรวมของเลขออกซิเดชัน จะเท่ากับศูนย์ ตัวอย่างเช่น 
สารประกอบ MgO เลขออกซิเดชันของแมกนีเซียมเท่ากับ +2 และออกซิเจน เท่ากับ -2 ผลรวมของเลข 
ออกซิเดชันจึงมีค่าเท่ากับศูนย์ 
H2SO4 ผลรวมของเลขออกซิเดชันมีค่าเท่ากับศูนย์ 
K2SO4 ผลรวมของเลขออกซิเดชันมีค่าเท่ากับศูนย์ 
SO4 ผลรวมของเลขออกซิเดชันมีค่าเท่ากับศูนย์
ตัวอย่างเลขออกซิเดชันต่าง ๆ ของธาตุ 
 จากตารางดังกล่าว จะพบว่า 
โดย อรณี หัสเสม : เรียบเรียง 46 
ธาตุหมู่ IA IIA และ IIIA มีเลขออกซิเดชันเพียงค่าเดียวคือ +1 +2 และ +3 ตามลำดับ 
ส่วนธาตุหมู่ IVA VA VIA และ VIIA บางชนิดมีเลขออกซิเดชันหลายค่า เช่น คาร์บอนมีเลขออกซิเดชัน 
-4 +2 และ +4 ไนโตรเจนมีเลขออกซิเดชัน -3 +1 +2 +3 +4 และ +5 คลอรีนมีเลขออกซิเดชัน 
-1 +1 +3 +5 และ +7 
อย่างไรก็ตามมีสิÉงเหมือนกันประการหนึÉงคือ ธาตุเหล่านัÊน (ยกเว้นฟลูออรีน) มีเลขออกซิเดชันค่าสูงสุดได้เท่ากับ 
เลขหมู่หรือเท่ากับจำนวนเวเลนซ์ อิเล็กตรอน
โดย อรณี หัสเสม : เรียบเรียง 47 
 จากตารางและเกณฑ์ทีÉกำหนด สามารถนำมาใช้ในการคำนวณหาเลขออกซิเดชันของธาตุได้ดังตัวอย่างต่อไปนีÊ 
ตัวอย่าง 1 จงหาเลขออกซิเดชันของ Mn ในเปอร์แมงกาเนตไอออน (MnO4 
- ) 
สมมติให้เลขออกซิเดชันของ Mn = Mn 
เลขออกซิเดชันของ O (จากเกณฑ์) = - 2 
ผลรวมของเลขออกซิเดชันของอะตอมทัÊงหมดใน MnO4 
- = ประจุของไอออน 
ดังนัÊน Mn + (-2 x 4) = -1 
Mn - 8 = -1 
Mn = -1 + 8 = +7 
ตอบ เลขออกซิเดชันของ Mn ใน มีค่า +7 
ตัวอย่าง 2 จงหาเลขออกซิเดชันของ S ในสารประกอบ K2SO4 SO2 และ H2S 
สารประกอบ K2SO4 ประกอบด้วย K 2 อะตอ ม S 1 อะตอม และ O 4 อะตอม 
สมมติให้เลขออกซิเดชันของ S = S 
เลขออกซิเดชันของ K (หมู่ IA) = +1 
เลขออกซิเดชันของ O (จากเกณฑ์) = - 2 
ผลรวมของเลขออกซิเดชันของ K2SO4 = 0 
ดังนัÊน (+1 x 2) + S + (-2 x 4) = 0 
2 + S - 8 = 0 
S - 6 = 0 
S = +6 (ตอบ เลขออกซิเดชันของ S ใน K2SO4 คือ +6) 
สารประกอบ SO2 ประกอบด้วย S 1 อะตอม และ O 2 อะตอม 
สมมติให้เลขออกซิเดชันของ S = S 
เลขออกซิเดชันของ O (จากเกณฑ์) = - 2 
ผลรวมของเลขออกซิเดชันของ SO2 = 0 
ดังนัÊน S + (-2 x 2) = 0 
S - 4 = 0 
S = +4 (ตอบ เลขออกซิเดชันของ S ใน SO2 คือ +4) 
สารประกอบ H2S ประกอบด้วย H 2 อะตอม และ S 1 อะตอม 
สมมติให้เลขออกซิเดชันของ S = S 
เลขออกซิเดชันของ H (จากเกณฑ์) = +1 
ผลรวมของเลขออกซิเดชันของ H2S = 0 
ดังนัÊน (+1 x 2) + S = 0 
+2 + S = 0 
S = - 2 (ตอบ เลขออกซิเดชันของ S ใน H2S คือ -2) 
 จากตัวอย่าง นักเรียนจะพบว่าธาตุกำมะถัน (S) ในสารประกอบต่างชนิดกันอาจมีเลขออกซิเดนชันแตกต่างกันได้ 
 แสดงว่าธาตุกำมะถันมีเลขออกซิเดชันได้หลายค่า 
 นักเรียนจะเห็นว่ายังมีธาตุอÉืนอีก ทÉีมีเลขออกซิเดชันได้หลายค่า ดังตารางทÉีได้ศึกษามาแล้ว
2- 
ตัวอย่าง 3 จงหาเลขออกซิเดชันของ Cr ในสารประกอบ Cr2O7 
สมมติให้เลขออกซิเดชันของ Cr = Cr 
เลขออกซิเดชันของ O (จากเกณฑ์) = - 2 
ผลรวมของเลขออกซิเดชันของ Cr2O7 
2- = -2 
ดังนัÊน (Cr x 2) + (-2 x 7) = -2 
2Cr - 14 = -2 
2Cr = -2 + 14 = +12 
Cr = +12/2 = +6 
2- คือ +6 
ตอบ เลขออกซิเดชันของ Cr ในสารประกอบ Cr2O7 
ตัวอย่าง 4 จงหาเลขออกซิเดชันของ Mn ในสารประกอบ KMnO4 
- 
สมมติให้เลขออกซิเดชันของ Mn = Mn 
เลขออกซิเดชันของ K (หมู่ IA) = +1 
เลขออกซิเดชันของ O (จากเกณฑ์) = - 2 
ผลรวมของเลขออกซิเดชันของ KMnO4 
- = -1 
ดังนัÊน (+1 x 1) + Mn + (-2 x 4) = -1 
+1 + Mn - 8 = -1 
Mn - 7 = -1 
Mn = -1 + 7 = +6 
ตอบ เลขออกซิเดชันของ Mn ในสารประกอบ KMnO4 
- คือ +6 
ตัวอย่าง 5 จงหาเลขออกซิเดชันของ C ในสารประกอบ Ca(CO3) 
สมมติให้เลขออกซิเดชันของ C = C 
เลขออกซิเดชันของ Ca (หมู่ IIA) = +2 
เลขออกซิเดชันของ O (จากเกณฑ์) = - 2 
ผลรวมของเลขออกซิเดชันของ Ca(CO3) = 0 
ดังนัÊน (+2 x 1) + [ (C x 1) + (-2 x 3)] = 0 
+2 + [ C - 6 ] = 0 
+2 + C - 6 = 0 
C - 4 = 0 
C = +4 
ตอบ เลขออกซิเดชันของ Ca ในสารประกอบ Ca(CO3) คือ +4 
โดย อรณี หัสเสม : เรียบเรียง 48 
หมายเหตุ : เลขออกซิเดชันของธาตุ สามารถดูได้จากตารางและหลักเกณฑ์ดังกล่าวข้างต้น 
 สมบัติต่างๆ ของธาตุในตารางธาตุทÉีได้ศึกษามาแล้ว จะพบว่าส่วนใหญ่มีการเปลÉียนแปลงค่อนข้างสมํÉาเสมอ 
 ทำให้สามารถทำนายแนวโน้มสมบัติของธาตุในตารางธาตุได้นอกจากนีÊ ยังมีสมบัติอÉืนๆ ของธาตุอีกหลายประการซึÉงต้อง 
พิจารณาจากการเกิดสารประกอบ สมบัติดังกล่าวนัÊนจะได้ศึกษารายละเอียดในบทต่อไป
แบบฝึกหัด เรืÉอง การหาเลขออกซิเดชัน 
จงหาเลขออกซิเดชันของธาตุในสารประกอบต่อไปนีÊ 
1. C ใน C2O4 
2- 
2. S ใน CaS2 
3. S ใน BaSO3 
4. P ใน PH4 
+ 
5. O ใน O2F2 
6. Sb ใน NaSbO2 
7. N ใน Al(NO3)3 
8. P ใน K2HPO3 
โดย อรณี หัสเสม : เรียบเรียง 49

บทที่ 1 อะตอมและตารางธาตุ

  • 1.
    เนืÊอหาทีÉจะต้องเรียนในบททีÉ 1 อะตอมและตารางธาตุ บททีÉ ř อะตอมและตารางธาตุ 1.1 แบบจำลองอะตอม 1.1.1 แบบจำลองอะตอมของดอลตัน 1.1.2 แบบจำลองอะตอมของทอมสัน 1.1.3 แบบจำลองอะตอมของรัทเทอร์ฟอร์ด 1.1.4 แบบจำลองอะตอมของโบร์ 1.1.5 แบบจำลองอะตอมของกลุ่มหมอก 1.1.6 การจัดอิเล็กตรอนในอะตอม 1.2 ตารางธาตุ 1.2.1 วิวัฒนาการของการสร้างตารางธาตุ 1.2.2 สมบัติของธาตุตามหมู่และตามคาบ 1) ขนาดอะตอม 2) รัศมีไอออน 3) พลังงานไอออไนเซชัน 4) อิเล็กโทรเนกาติวิตี 5) สัมพรรคภาพอิเล็กตรอน 6) จุดหลอมเหลวและจุดเดือด 7) เลขออกซิเดชัน โดย อรณี หัสเสม : เรียบเรียง 1 อนุภาคมูลฐานของอะตอม เลขอะตอม เลขมวล ไอโซโทป ไอโซโทน ไอโซบาร์
  • 2.
    บททีÉ ř อะตอมและตารางธาตุ 1. แบบจำลองอะตอม โดย อรณี หัสเสม : เรียบเรียง 2  ในสมัยโบราณมีนักปราชญ์ชาวกรีก ชÉือ ดิโมคริตุส (Democritus) เชÉือว่า เมÉือย่อยสารลงเรÉือย ๆ จะได้ส่วนทÉีเล็ก ทÉีสุดซึÉงไม่สามารถทำให้เล็กลงกว่าเดิมได้อีก และเรียกอนุภาคขนาดเล็กทÉีสุดว่า อะตอม ซึÉงคำว่า "อะตอม" (atom) เป็นคำซึÉงมาจากภาษากรีกว่า (atomas) แปลว่า แบ่งแยกอีกไม่ได้  สสารทัÊงหลายประกอบด้วยอนุภาค ทÉีเล็กทÉีสุด (สสารเกิดจากอะตอมรวมตัวกันขึÊนนันÉเอง)  ในสมัยนัÊนก็ยังไม่มีเครÉืองมือทÉีสามารถพิสูจน์และสนับสนุนแนวความคิดทÉีแน่นอนได้ จึงทำให้ไม่ทราบว่า อะตอมมีโครงสร้างเป็นอย่างไร จึงมีการเสนอให้มีแบบจำลองอะตอมขึÊน  แบบจำลองอะตอม (Atomic model) คือ ภาพทางความคิดทีÉแสดงให้เห็น รายละเอียดของโครงสร้างอะตอม ทีÉ สอดคล้องกับผลการทดลองต่าง ๆ ซึÉงได้แก่ 1.1 แบบจำลองอะตอมของดอลตัน โดย จอห์น ดอลตัน สาระสำคัญ  ธาตุประกอบด้วยอนุภาคเล็ก ๆ หลายอนุภาค อนุภาคเล็ก ๆ นีÊ เรียกว่า อะตอม ซึÉงแบ่งแยกไม่ได้ และทำให้ สูญหายไม่ได้  อะตอมของธาตุชนิดเดียวกันจะมีสมบัติเหมือนกัน เช่น มีมวลเท่ากัน แต่มีสมบัติต่างจากอะตอมของธาตุอÉืน  สารประกอบเกิดจากอะตอมของธาตุมากกว่าหนึÉงชนิด ทำปฏิกิริยาเคมีในอัตราส่วนทÉีเป็นลงตัวน้อย ๆ ลักษณะของแบบจำลองอะตอมของดอลตัน  อะตอมมีขนาดเล็กมาก เป็น ทรงกลมตัน ซึÉงเขียนเป็นรูปได้ ดังนีÊ แบบจำลองอะตอมของดอลตัน  แต่ต่อมา มีการศึกษาเกÉียวกับอะตอมเพิÉมขึÊน และค้นพบข้อมูลบางประการทÉีไม่สนับสนุนแนวคิดของ จอหน์ ดอลตัน เช่น อะตอมของธาตุชนิดเดียวกัน อาจมีมวลไม่เท่ากันก็ได้ และอะตอมสามารถแบ่งแยกได้ เป็นต้น  นักวิทยาศาสตร์รุ่นต่อมา ได้ศึกษาเพิÉมเติม และสร้างแบบจำลองอะตอมขึÊนใหม่ คือ เซอร์โซเซฟ จอห์น ทอมสัน
  • 3.
    โดย อรณี หัสเสม: เรียบเรียง 3 1.2 แบบจำลองอะตอมของทอมสัน โดย เซอร์โจเซฟ จอห์น ทอมสัน ศึกษาการนำไฟฟ้าของแก๊ส การนำไฟฟ้าของแก๊ส  ปกติแก๊สเป็นตัวนำไฟฟ้าทีÉไม่ดี แต่ก็นำไฟฟ้าได้ ปรากฏการณ์ทÉียืนยันได้ว่าแก๊สนำไฟฟ้าได้ก็คือ การเกิดฟ้าแลบ ฟ้าผ่า  แก๊สนำไฟฟ้าได้ดีขึÊน เมÉือแก๊สมีความดันตํÉา ๆ และมีความต่างศักย์ของขัÊวไฟฟ้าสูง ๆ  แก๊สนำไฟฟ้าได้ เพราะแก๊สสามารถแตกตัวเป็นไอออนบวก (โปรตอน) และไอออนลบ (อิเล็กตรอน) เมืÉออยู่ใน สนามไฟฟ้าศักย์สูง ๆ  เซอร์ โจเซฟ จอห์น ทอมสัน (J.J Thomson) นักวิทยาศาสตร์ชาวอังกฤษได้สนใจปรากฏการณ์ทÉีเกิดขึÊนใน หลอดรังสีแคโทด (มีลักษณะ ดังรูป)  ซึÉงได้ทำการทดลองเกÉียวกับการนำไฟฟ้าของแก๊สขึÊนในปี พ.ศ. ŚŜŜŘ (ค.ศ. řŠšş) ซึÉงทำการทดลอง 3 การทดลอง สรุปผลได้ดังต่อไปนีÊ การทดลองทีÉ ř ทดลองการนำไฟฟ้าของแก๊ส (โดยใช้หลอดรังสีแคโทด) (ขัÊวลบ ) (ขัÊวบวก) วิธีทดลอง  บรรจุแก๊ส (แก๊ส ประกอบด้วยอะตอมของธาตุ) ในหลอดรังสีแคโทด ทีÉสูบอากาศออกจนหมด (เป็นสุญญากาศ)  เจาะรูทÉีขัÊวบวก (แอโนด) และ นำฉากเรืองแสงวางขวางหลอด จากนัÊนต่อขัÊวไฟฟ้าเข้าเครÉืองกำเนิดไฟฟ้าศักย์สูง ดังรูป ผลทีÉเกิดขึÊน เห็นจุดสว่างบนฉากเรืองแสง สรุปผลการทดลอง  รังสีเดินทางเป็นเส้นตรงจากขัÊวแคโทด (ขัÊวบวก) ไปยังขัÊวแอโนด (ขัÊวลบ)  รังสีมีการทะลุผ่านอนุภาคของแก๊ส (ทะลุอะตอมของแก๊สนัÉนเอง) ไปปรากฏทีÉฉากเรืองแสง ดังนัÊน แก๊สสามารถนำไฟฟ้าได้ทÉีความต่างศักย์ไฟฟ้าสูง  แสดงว่า อะตอมไม่ได้มีลักษณะเป็นทรงกลมตันอย่างทีÉ จอห์น ดอลตัน เสนอแนวคิดไว้ ข้อสังเกต รังสีทÉีเกิดขึÊน เกิดจากโลหะทÉีทำแคโทด และจากแก๊สทÉีบรรจุในหลอดรังสีแคโทด
  • 4.
     การทดลองทีÉ Śการค้นพบอิเล็กตรอน (ประจุลบ) + - (ขัÊวลบ ) (ขัÊวบวก) โดย อรณี หัสเสม : เรียบเรียง 4 วิธีทดลอง  เตรียมหลอดรังสีแคโทดเหมือนการทดลองทีÉ 1  เจาะรูทÉีขัÊวบวก (แอโนด) และ นำฉากเรืองแสงวางขวางหลอด แต่การทดลองนีÊจะ นำสนามไฟฟ้า วางในแนวตัÊง ระหว่าง ขัÊวแอโนดกับฉากเรืองแสง จากนัÊนต่อขัÊวไฟฟ้าเข้าเครÉืองกำเนิดไฟฟ้าศักย์สูง ดังรูป ผลทÉีเกิดขÊึน เกิดจุดสว่างบนฉากเรืองแสงในทิศเข้าหาขัÊวบวก ของสนามไฟฟ้า สรุปผลการทดลอง  รังสีเดินทางเป็นเส้นตรงจากขัÊวแคโทด (ขัÊวบวก) ไปยังขัÊวแอโนด (ขัÊวลบ) และเบนเข้าหาขัÊวบวกของสนามไฟฟ้า ไปปรากฏบนฉากเรืองแสง ดังรูป  แสดงว่า รังสีทÉีเกิดขึÊน ประกอบด้วยอนุภาคลบ เรียกรังสีนีÊว่า รังสีแคโทด  ดังนัÊน อะตอมทุกชนิดจะมีประจุลบ เป็นองค์ประกอบ และเรียกอนุภาคนีÊว่า อิเล็กตรอน  และยังได้หาค่าอัตราส่วนประจุต่อมวล (e/m) ของอิเล็กตรอนโดยใช้สนามแม่เหล็กและสนามไฟฟ้าช่วยในการ หา ซึÉงได้ค่าประจุต่อมวลของอิเล็กตรอนเท่ากับ ř.şŞ x 108 คูลอมบ์ ต่อ กรัม  การทดลองทีÉ ś การค้นพบโปรตอน (ประจุบวก) วิธีทดลอง  เตรียมหลอดรังสีแคโทดเหมือนการทดลองทÉี 1 และ 2 แต่เจาะรูทัÊงขัÊวแคโทด และ แอโนด  จากนัÊนนำฉากเรืองแสงวางขวางหลอดทัÊงสองด้าน และต่อขัÊวไฟฟ้าเข้าเครÉืองกำเนิดไฟฟ้าศักย์สูง ดังรูป ผลทÉีเกิดขÊึน เกิดจุดสว่างบนฉากเรืองแสงทัÊงสองด้าน สรุปผลการทดลอง  เมÉือผ่านกระแสไฟฟ้าเข้าไปในหลอดรังสีแคโทดจะมีอนุภาคชนิดหนึÉงเคลÉือนทÉีเป็นเส้นตรงไปในทิศทางตรงกันข้าม กับการเคลÉือนทÉีของรังสีแคโทดผ่านรูของ ขัÊวแคโทด และทำให้ฉากด้านหลังขัÊวแคโทดเรืองแสงได้  แสดงว่า รังสีทÉีเกิดขึÊน ประกอบด้วยอนุภาคบวก  ดังนัÊน อะตอมทุกชนิดจะมีประจุบวก เป็นองค์ประกอบ และเรียกอนุภาคนีÊว่า โปรตอน
  • 5.
    โดย อรณี หัสเสม: เรียบเรียง 5  จากการทดลอง 3 การทดลองของทอมสัน สามารถสรุป แบบจำลองอะตอมของทอมสัน ดังนีÊ 1. อะตอมมีลักษณะกลวง (ไม่ได้ ตัน เหมือนทีÉดอลตันบอก) 2. อะตอมประกอบด้วยอนุภาคโปรตอน (ประจุบวก) และอนุภาคลบ (ประจุลบ) กระจายอยทูั่วÉไปอย่างสมํÉาเสมอ และอะตอมทีÉเป็นกลางทางไฟฟ้า จะมีจำนวนประจุบวก กับประจุลบเท่ากัน ดังรูป แบบจำลองอะตอมของทอมสัน 1.3 แบบจำลองอะตอมของรัทเทอร์ฟอร์ด โดย เซอร์ เออร์เนสต์ รัทเทอร์ฟอร์ด  ศึกษาแบบจำลองอะตอมของทอมสัน และเกิดความสงสัยว่าอะตอมจะมีโครงสร้างตามแบบจำลองของทอมสันจริง หรือไม่ โดยตัÊงสมมติฐานว่า “ถ้าอะตอมมีโครงสร้างตามแบบจำลองของทอมสันจริง ดังนัÊน เมืÉอยิงอนุภาคแอลฟาซึÉงมีประจุไฟฟ้าเป็นบวก เข้าไปในอะตอม แอลฟาทุกอนุภาคจะทะลุผ่านเป็นเส้นตรงทัÊงหมด เนืÉองจากอะตอมมีความหนาแน่นของประจุบวก และประจุลบสมํÉาเสมอเหมือนกันหมดทัÊงอะตอม”  เพÉือพิสูจน์สมมติฐานนีÊ รัทเทอร์ฟอร์ดได้ทำการทดลองยิงอนุภาคแอลฟาไปยังแผ่นทองคำบาง ๆ โดยมีความหนาไม่เกิน řŘ–Ŝ cm โดยมีฉากสารเรืองแสงรองรับ ดังรูป  ปรากฏผลการทดลอง ดังนีÊ 1. อนุภาคส่วนมากเคลÉือนทÉีทะลุผ่านแผ่นทองคำเป็นเส้นตรง 2. อนุภาคส่วนน้อยเบีÉยงเบนไปจากเส้นตรง 3. อนุภาคส่วนน้อยมากสะท้อนกลับมาด้านหน้าของแผ่นทองคำ  ถ้าแบบจำลองอะตอมของทอมสันถูกต้อง เมÉือยิงอนุภาคแอลฟาไปยังแผ่นทองคำบาง ๆ นีÊ อนุภาคแอลฟาควรพุ่งทะลุผ่าน เป็นเส้นตรงทัÊงหมดหรือเบÉียงเบนเพียงเล็กน้อย เพราะอนุภาคแอลฟามีประจุบวกจะเบÉียงเบนเมÉือกระทบกับประจุบวกทÉี กระจายอยู่ในอะตอม  แต่แบบจำลองอะตอมของทอมสันอธิบายผลการทดลองของรัทเทอร์ฟอร์ดไม่ได้ รัทเทอร์ฟอร์ดจึงเสนอแบบจำลอง อะตอมขึÊนมาใหม่
  • 6.
     สรุปแบบจำลองอะตอมของรัทเทอร์ฟอร์ด ดังนีÊ โดย อรณี หัสเสม : เรียบเรียง 6 “อะตอมประกอบด้วยนิวเคลียสทีÉมีโปรตอนรวมกันอยู่ตรงกลาง นิวเคลียสมีขนาดเล็กแต่มีมวลมาก และมีประจุ บวก ส่วนอิเล็กตรอนซึÉงมีประจุลบและมีมวลน้อยมากวิÉงอยรู่อบ ๆ นิวเคลียส” เกิดเป็นแบบจำลองอะตอมของรัทเทอร์ฟอร์ด ดังนีÊ แบบจำลองอะตอมของรัทเทอร์ฟอร์ด  ในการทดลองของรัทเทอร์ฟอร์ดสรุปว่าอะตอมมีโปรตอนและอิเล็กตรอนเป็นองค์ประกอบ ดังนัÊน การคิดมวลอะตอมควรคิด จากมวลโปรตอนรวมกับมวลของอิเล็กตรอน แต่มวลของอิเล็กตรอนน้อยมาก การคิดมวลอะตอมจึงคิดจากมวลโปรตอน  พบว่ามวลโปรตอน ř โปรตอนเท่ากับ ř.ş x 10–24 กรัม หรือคิดเป็น ř หน่วยมวลอะตอม (ř amu = 1 atomic mass unit)  ดังนัÊนมวลอะตอมควรมีค่าเท่ากับหรือใกล้เคียงกับจำนวนโปรตอน  แต่จากการทดลองกลับพบว่ามวลอะตอมจริง ๆ มีค่าเป็น Ś เท่าหรือมากกว่า Ś เท่าของจำนวนโปรตอน  ในปี พ.ศ. ŚŜŞś (หรือค.ศ.řšŚŘ) รัทเทอร์ฟอร์ดได้เสนอความเห็นว่าน่าจะมีอนุภาคอีกชนิดหนึÉงทÉีเป็นกลางทางไฟฟ้าซึÉงมีมวล ใกล้เคียงกับมวลโปรตอน  ต่อมาในปี พ.ศ. ŚŜşŝ (ค.ศ. řšśŚ) เจมส์ แชดวิก (James Chadwick) ได้ค้นพบอนุภาคอีกชนิดหนึÉง ไม่มีประจุไฟฟ้า และตัÊงชÉือ ว่า “นิวตรอน” (neutron) นิวตรอนมีมวลน้อยกว่าโปรตอนเล็กน้อย โดยมีมวลเท่ากับ ř.Şşŝ x 10–24 กรัม  และรัทเทอร์ฟอร์ดได้เสนอว่านิวตรอนเป็นอนุภาคทีÉอยู่ในนิวเคลียสของอะตอม  ปัจจุบันนักวิทยาศาสตร์พบว่าโปรตอนและนิวตรอนอัดกันแน่นอยใู่นนิวเคลียสยึดเหนÉียวกันด้วยแรงนิวเคลียร์ (nuclear force) และอนุภาคทีÉประกอบเป็นนิวเคลียสเรียกว่า “นิวคลีออน” (nucleon)
  • 7.
     อนุภาคมูลฐานของอะตอม ประกอบด้วย 1. ประจุลบ (อิเล็กตรอน , e- ) 2. ประจุบวก (โปรตอน , p) 3. ประจุทีÉเป็นกลาง (นิวตรอน , n )  มวลของอะตอม = มวลของนิวเคลียส = มวลของโปรตอน (p) + มวลของนิวตรอน (n) เลขอะตอม = จำนวนโปรตอน (p) เลขมวล = จำนวนโปรตอน (p) + จำนวนนิวตรอน (n) จำนวนโปรตอน (p) = จำนวนอิเล็กตรอน (e-) ตารางแสดงรายละเอียดอนุภาคมูลฐานของอะตอม อนุภาค สัญลักษณ์ มวล (กรัม) ประจุไฟฟ้า (คูลอมบ์) ชนิดประจุไฟฟ้า อิเล็กตรอน e- 9.109 x 10-28 1.602 x 10-19 -1 โปรตอน p 1.673 x 10-24 1.602 x 10-19 +1 นิวตรอน n 1.675 x 10-24 0 0  สัญลักษณ์นิวเคลียร์ คือ สัญลักษณ์ของธาตุทีÉแสดงรายละเอียดของอนุภาคมูลฐานของอะตอมไว้ โดยแสดงเลขมวลไว้มุมบนซ้าย และแสดงเลขอะตอมไว้มุมล่างซ้าย ดังนีÊ จากสัญลักษณ์นิวเคลียร์ จะทำให้ทราบจำนวนอนุภาคมูลฐานได้ ตัวอย่างทีÉ 1 จงหาจำนวนอนุภาคมูลฐานของ จากสัญลักษณ์นิวเคลียร์ เลขอะตอม = จำนวน p 20 = จำนวน p เลขมวล = จำนวนโปรตอน (p) + จำนวนนิวตรอน (n) 40 = 20 + จำนวนนิวตรอน (n) จำนวนนิวตรอน (n) = 40 - 20 = 20 ดังนัÊน อนุภาคมูลฐานได้แก่ 1) จำนวนโปรตอน เท่ากับ 20 โปรตอน 2) จำนวนอิเล็กตรอน เท่ากับ 20 อิเล็กตรอน 3) จำนวนนิวตรอน เท่ากับ 20 นิวตรอน อนุภาคมูลฐานของอะตอม จำนะจ้า… เลขอะตอม เลขมวล สัญลักษณ์นิวเคลียร์ ไอโซโทป ไอโซโทน ไอโซบาร์ เลขมวล (p + n) A เลขอะตอม (p) Z X 40Ca 20 โดย อรณี หัสเสม : เรียบเรียง 7
  • 8.
    ตัวอย่างทีÉ 2 จงหาอนุภาคมูลฐานของ ตัวอย่างทีÉ 3 จงหาอนุภาคมูลฐานของ  ไอโซโทป (Isotope) 23Na 11 235U 11 โดย อรณี หัสเสม : เรียบเรียง 8  ธาตุชนิดเดียวกัน มีเลขอะตอม (จำนวน p ) เท่ากัน แต่ เลขมวล (จำนวน p + n) ต่างกัน  เช่น ธาตุ H มี 3 ไอโซโทป ดังนีÊ 12C 6 13C 6 14C 6  บางกรณีจะเขียนธาตุทÉีเป็นไอโซโทปกัน ดังนีÊ C-12 , C-13 และ C -14  ไอโซโทน (Isotone)  ธาตุต่างชนิดกัน มีเลขอะตอม (จำนวน p) และเลขมวล (จำนวน p+ n) ต่างกัน แต่มีจำนวนนิวตรอน (n) เท่ากัน  เช่น เป็นไอโซโทนกับ 13C 6 14N 7 จำนวน n = 7 จำนวน n = 7  ไอโซบาร์ (Isobar)  ธาตุต่างชนิดกัน มีเลขมวล (จำนวน p + n) เท่ากัน แต่ เลขเลขอะตอม (จำนวน p) ต่างกัน  เช่น เป็นไอโซบาร์กับ 13N 7 แบบฝึกหัด 13C 6 จงจับคู่คำตอบต่อไปนÊีให้ถูกต้อง 18A 9 19A 9 19B 10 20B 10 20C 11 21C 11 21D 12 23D 12 1) ไอโซโทป ………………………………………………………………………………………………….( 4 คู่) 2) ไอโซโทน……………………………………………………………………………………………………..(9 คู่) ………………………………………………………………………………………………………………… ………………………………………………………………………………………………………………… 3) ไอโซบาร์………………………………………………………………………………………………………(3คู่)
  • 9.
    แบบทดสอบชุดทีÉ 1 เรืÉองแบบจำลองอะตอมของดอลตัน ทอมสัน และรัทเทอร์ฟอร์ด คำชีÊแจง ให้นักเรียนเลือกคำตอบทÉีถูกต้องทÉีสุด 1. แก๊สนำไฟฟ้าได้ดีในสภาวะใด ก. ความดันสูง ความต่างศักย์ตํÉา ข. ความดันสูง ความต่างศักย์สูง ค. ความดันตํÉา ความต่างศักย์สูง ง. ความดันตํÉา ความต่างศักย์ตํÉา 2. ข้อใดไม่ใช่แบบจำลองอะตอมของดอลตัน โดย อรณี หัสเสม : เรียบเรียง 9 ก. อะตอมมีขนาดเล็กแบ่งแยกไม่ได้ ข. อะตอมของธาตุต่างชนิดมีมวลนิวตรอนเท่ากันได้ ค. อะตอมของธาตุชนิดเดียวกันมีสมบัติเหมือนกัน ง. ธาตุทำปฏิกิริยาด้วยอัตราส่วนเลขลงตัวน้อย ๆ 3. รังสีแคโทดเกิดจากส่วนใด ก. ขัÊวแคโทด ค. ขัÊวแคโทดและแก๊สทÉีบรรจุภายใน ค. แก๊สทÉีบรรจุภายใน ง. ทัÊงขัÊวแคโทด ขัÊวแอโนด และแก๊สทÉีบรรจุภายใน 4. ในการทดลองยิงอนุภาคแอลฟาไปยังแผ่นทองคำบาง ๆ ได้ผลดังนีÊ A. อนุภาคส่วนใหญ่ทะลุผ่านแผ่นทองคำไปในแนวเดิม โดยไม่เปลÉียนทิศทาง B. อนุภาคส่วนน้อยทะลุผ่านแผ่นทองคำและเบÉียงเบน จากแนวเดิมเล็กน้อย C. อนุภาคส่วนน้อยทÉีสุดสะท้อนกลับมาทาง แหล่งกำเนิดอนุภาค ถ้าเรียงลำดับอนุภาคแอลฟาทีÉวิÉงเข้าใกล้นิวเคลียสมากทีÉสุดไปห่างนิวเคลียสทีÉสุดจะเป็นไปตามข้อใด ก. A , B, C ข. C , A , B ค. B , C , A ง. C , B , A 5. แบบจำลองอะตอมของทอมสันและแบบจำลองอะตอมของรัทเทอร์ฟอร์ดต่างกันอย่างไร ก. ชนิดของอนุภาคในอะตอม ข. ตำแหน่งของอนุภาคในอะตอม ค. จำนวนอนุภาคในอะตอม ง. ขนาดอนุภาคในอะตอม 6. อนุภาคมูลฐานของอะตอม ได้แก่ ก. โปรตอน และ อิเล็กตรอน ข. โปรตอน และ นิวตรอน ค. โปรตอน นิวตรอน และอิเล็กตรอน ง. นิวตรอน และ อิเล็กตรอน 7. อิเล็กตรอนมี e/m เท่าใด ก. 1.6 x 10–19 e/g ข. ř.şŞ x 108 e/g ค. 9.11 x 10–28 e/g ง. 1.675 x 109 e/g 8. A และ B เป็นไอโซโทปซึÉงกันและกัน ถ้า A มีจำนวนนิวตรอนในนิวเคลียสเท่ากับ x และธาตุ B มีจำนวนอิเล็กตรอน เท่ากับ y และมีเลขมวลเท่ากับ z เลขมวลของธาตุ A และจำนวนนิวตรอนของธาตุ B มีค่าเท่าใด ตามลำดับ ก. x + y และ z – y ข. x + y และ y –z ค. x + y และ z + y ง. x – y และ y – z 9. ข้อใดกล่าวได้ถูกต้อง ก. แบบจำลองอะตอมคือ มโนภาพทÉีสร้างขึÊนโดยอาศัยข้อมูลจากการทดลอง ซึÉงอาจถูกหรือผิดก็ได้ ข. นักวิทยาศาสตร์ทÉีเสนอแนวความคิดว่าอะตอมไม่เล็กทÉีสุด แต่ยังมีอิเล็กตรอนเล็กกว่า คือ ดอลตัน ค. แนวคิดของดอลตันทÉีว่าอะตอมของธาตุชนิดเดียวกัน จะมีสมบัติเหมือนกันปัจจุบันยังถูกต้อง ง. เมÉือดูอะตอมด้วยกล้องจุลทรรศน์สนามไอออน กำลังขยาย 750,000 เท่าจะมองเห็นอะตอมได้ชัดเจน 10. รัทเทอร์ฟอร์ดเสนอแบบจำลองอะตอมโดยศึกษาจากอะไร ก. หลอดรังสีแคโทด ข. กลุ่มหมอกของอิเล็กตรอน ค. การเผาสารเพÉือดูสเปกตรัม ง. การยิงอนุภาคแอลฟาเข้าไปยังแผ่นทองคำบาง ๆ
  • 10.
    โดย อรณี หัสเสม: เรียบเรียง 10  จากแบบจำลองอะตอมของรัทเทอร์ฟอร์ดทำให้ทราบถึงการจัดโครงสร้างของอนุภาคต่าง ๆ ในนิวเคลียส แต่ไม่ได้อธิบายว่าอิเล็กตรอนรอบนิวเคลียสอยู่ในลักษณะใด  นักวิทยาศาสตร์ในลำดับต่อมาได้หาวิธีทดลองเพÉือรวบรวมข้อมูลเกÉียวกับตำแหน่งของอิเล็กตรอนทÉีอยรู่อบนิวเคลียส วิธีหนึÉงก็คือ การศึกษาสมบัติและปรากฏการณ์ของคลÉืนและแสง แล้วนำมาสร้างเป็นแบบจำลอง นักวิทยาศาสตร์ผู้นัÊน คือ นีลล์ โบร์  ดังนัÊนก่อนจะศึกษาแบบจำลองอะตอมของโบร์ นักเรียนควรเรียนรู้เกÉียวกับคลÉืนแม่เหล็กไฟฟ้าและพลังงานของคลÉืน แม่เหล็กไฟฟ้า คลนÉืแม่เหล็กไฟฟ้าและพลังงานของคลนÉืแม่เหล็กไฟฟ้า  แสงเป็นคลÉืนแม่เหล็กไฟฟ้า มีการเคลÉือนทÉีแบบคลÉืน ดังนัÊน คลÉืนแม่เหล็กไฟฟ้า จึงมีสิÉงต่อไปนีÊ 1) ความยาวคลืÉน ( ) หมายถึง ระยะทางทีÉคลืÉนเคลืÉอนทีÉครบ 1 รอบ มีหน่วยเป็นเมตร (m) หรือนาโนเมตร (nm) ความยาวคลืÉน คลืÉน 1 รอบ 2) ความถÉีของคลนÉื (v) หมายถึง จำนวนรอบของคลÉืนทÉีผ่านจุดใดจุดหนึÉงในเวลา 1 วินาที มีหน่วยเป็นรอบต่อวินาที (s-1) หรือ เฮิรตซ์ (Hz) คลืÉนแสงเป็นคลืÉนแม่เหล็กไฟฟ้าทีÉมีความถีÉและความยาวคลืÉนต่าง ๆ กัน ดังรูปต่อไปนีÊ ม่วง แดง  แสงทÉีประสาทตาคนรับได้เรียกว่า “แสงทÉีมองเห็นได้” (visible light) ซึÉงมีความยาวคลÉืนอยใู่นช่วง ŜŘŘ – şŘŘ nm  แสงในช่วงคลÉืนนีÊประกอบด้วยแสงสีต่าง ๆ กัน ตามปกติประสาทตาของคนสามารถสัมผัสแสงบางช่วงคลÉืนทÉีส่องมาจาก ดวงอาทิตย์ได้ แต่ไม่สามารถแยกเป็นสีต่าง ๆ จึงมองเห็นเป็นสีรวมกันซึÉงเรียกว่า “แสงขาว”  เรียงลำดับความยาวคลืÉน (มากไปน้อย) คือ คลืÉนวิทยุ > คลืÉนไมโครเวฟ > แสงอินฟราเรด > แสงขาว > แสง UV > รังสีเอกซ์ > รังสีแกมมา
  • 11.
    สเปกตรัม (spectrum) โดยอรณี หัสเสม : เรียบเรียง 11 คือ แถบสีหรือเส้นสีทีÉได้จากการผ่านคลืÉนแม่เหล็กไฟฟ้าผ่านตัวแยกความยาวคลืÉน เช่น เกรตติง อุปกรณ์ทีÉใช้ศึกษาเกีÉยวกับสเปกตรัม เรียกว่า สเปกโทรมิเตอร์ (spectrometer)  ถ้าให้แสงอาทิตย์ซึÉงเป็นแสงขาวส่องผ่านปริซึม แสงขาวจากดวงอาทิตย์จะแยกออกเป็นแสงสีรุ้งต่อเนÉืองกัน เรียกว่า “สเปกตรัมของแสงขาว” แดง ม่วง  สเปกตรัมของแสงขาวเกิดจากการทÉีเมÉือแสงซึÉงมีความยาวคลÉืนต่าง ๆ กันผ่านไปยังปริซึม แสงจะหักเหได้ไม่เท่ากัน เกิด เป็นแถบสีรุ้งต่อเนÉืองกัน โดยมีความยาวคลÉืนในช่วงต่าง ๆ ดังนีÊ ตารางแสดงสีต่าง ๆ ในแถบสเปกตรัมของแสงขาว สเปกตรัม ความยาวคลืÉน (nm) แสงสีม่วง ŜŘŘ – ŜŚŘ แสงสีคราม–นÊำเงิน ŜŚŘ – ŜšŘ แสงสีเขียว ŜšŘ – ŝŠŘ แสงสีเหลือง ŝŠŘ – ŝšŘ แสงสีแสด (ส้ม) ŝšŘ –ŞŝŘ แสงสีแดง ŞŝŘ – şŘŘ  คลืÉนแม่เหล็กไฟฟ้าทีÉมีความยาวคลืÉนในช่วงอืÉน ก็เกิดการหักเหได้ แต่ไม่สามารถมองเห็นได้ด้วยตาเปล่า  มักซ์ พลังค์ นักวิทยาศาสตร์ชาวเยอรมันได้ศึกษาพลังงานของคลืÉนแม่เหล็กไฟฟ้า และได้ข้อสรุปเกีÉยวกับสัมพันธ์ระหว่าง พลังงานของคลÉืนกับความถÉีของคลÉืน ดังนีÊ E = hV E คือ พลังงาน (หน่วยจูล, J) h คือ ค่าคงทีÉของพลังค์ มีค่า 6.626 x 10-34 จูลวินาที v คือ ความถีÉของคลืÉนแม่เหล็กไฟฟ้า (หน่วยเฮิรตซ์, Hz) v = c c คือ ความเร็วของคลืÉนแม่เหล็กไฟฟ้าในสุญญากาศ เท่ากับ 2.997 x 108เมตร/วินาที (อาจใช้ 3.0 x 108เมตร/วินาที) คือ ความยาวคลืÉน v คือ ความถีÉของคลืÉนแม่เหล็กไฟฟ้า (หน่วยเฮิรตซ์, Hz) ดังนัÊน ค่าพลังงานของคลÉืนแม่เหล็กไฟฟ้า จึงสามารถคำนวณได้จากความสัมพันธ์ ดังนÊี E = hV = hc
  • 12.
    แบบฝึกหัดการคำนวณค่าพลังงานของคลืÉนแม่เหล็กไฟฟ้า 1. เส้นสเปกตรัมสีแดงของโพแทสเซียมมีความถีÉ3.91 x 1014 Hz จะมีความยาวคลืÉนเป็นเท่าใด 2. เส้นสเปกตรัมเส้นหนึÉงของธาตุซีเซียมมีความยาวคลÉืน 456 nm ความถÉีของสเปกตรัมเส้นนีÊมีค่าเท่าใด และปรากฏเป็นสีใด 3. คลืÉนแม่เหล็กไฟฟ้าทีÉมีความถีÉ 8.5 x 104 Hz จะมีพลังงานและความยาวคลืÉนเท่าใด โดย อรณี หัสเสม : เรียบเรียง 12
  • 13.
    สเปกตรัมของธาตุ บท โดยอรณี หัสเสม : เรียบเรียง 13  โรเบิร์ต บุนเซน และ กุสตาฟ คีร์ชฮอฟฟ์ นักวิทยาศาสตร์ชาวเยอรมัน ได้ประดิษฐ์สเปกโทรสโคปซึÉงเป็นอุปกรณ์ทÉีใช้ใน การศึกษาสเปกตรัม ทีÉได้จากการเผาสารประกอบทีÉมีธาตุเป็นองค์ประกอบ  เพÉือนำสเปกตรัมทÉีได้มาระบุว่าสารประกอบนัÊนมีธาตุใดเป็นองค์ประกอบ สเปกตรัมของธาตุโลหะ เผา สารประกอบทÉีมีโลหะเป็นองค์ประกอบ จะเห็นเปลวไฟทÉีมีสีเฉพาะตัวของโลหะนัÊน ๆ ทีÉเป็นองค์ประกอบของสารประกอบ  สรุป สารประกอบของโลหะชนิดเดียวกันจะให้สีเปลวไฟสีเดียวกัน และได้เส้นสเปกตรัมซึÉงเป็นแบบเฉพาะ นันÉคือ มีสีและตำแหน่งของเส้นสเปกตรัมเหมือนกัน ดังตัวอย่างในตารางต่อไปนีÊ ตารางแสดงสีของเปลวทีÉเกิดจากการเผาสารประกอบ สารประกอบ สีของเปลวไฟ ลิเทียม (Li) สีแดง โซเดียม (Na) สีเหลือง โพแทสเซียม (K) สีม่วง ซีเซียม (Cs) สีฟ้า แคลเซียม (Ca) สีแดงอิฐ แบเรียม (Ba) สีเขียวแกมเหลือง ทองแดง (Cu) สีเขียว  สารประกอบต่างชนิดกัน แต่มีโลหะชนิดเดียวกันเป็นองค์ประกอบ จะให้สีเปลวไฟและเส้นสเปกตรัมเหมือนกัน เช่น NaCl CuCl2 จะได้เปลวไฟสีเหลือง จะได้เปลวไฟสีเขียว Na2SO4 CuSO4  การทÉีสารประกอบของโลหะต่างชนิดกัน มีสีของสเปกตรัม และตำแหน่งของเส้นสเปกตรัมต่างกันเป็นแถบเฉพาะของ โลหะนัÊน ๆ  ดังนัÊน จึงสามารถใช้สีของเปลวไฟและเส้นสเปกตรัมในการวิเคราะห์องค์ประกอบของสารได้  โดยนำสารประกอบนัÊนไปเผา แล้วนำสีของเปลวไฟและเส้นสเปกตรัมทÉีได้เปรียบเทียบกับผลการทดลองทÉี นักวิทยาศาสตร์ได้สรุปไว้แล้ว การวิเคราะห์สารวิธีนีÊเรียกว่า “Flame test” สเปกตรัมของธาตุอโลหะ  ในการเผาสารประกอบทีÉเป็นอโลหะจะให้สเปกตรัมในช่วงทีÉตาเรารับไม่ได้ จึงมองไม่เห็นเส้นสเปกตรัม สเปกตรัมของแก๊ส  ในการศึกษาสเปกตรัมของธาตุทÉีเป็นแก๊ส จะนำแก๊สไปบรรจุหลอดแก้วทÉีมีความดันตํÉา และผ่านกระแสไฟฟ้าศักย์สูงเข้า ไปแทนการเผาด้วยความร้อน เมÉือแก๊สได้รับพลังงานไฟฟ้าจะปล่อยแสงเป็นสเปกตรัมลักษณะเฉพาะของธาตุนัÊน ๆ และธาตุอโลหะบางชนิดก็ให้แสงทีÉตารับได้ เช่น He , Ne , Ar เป็นต้น
  • 14.
  • 15.
    การเกิดสเปกตรัมของธาตุ  สเปกตรัมเกิดได้อย่างไร สถานะพืÊน (ground state) หมายถึงอะตอมทÉีอิเล็กตรอนซึÉงเคลÉือนทÉีอยรู่อบ นิวเคลียสมีพลังงานเฉพาะตัวอยใู่นระดับพลังงานตํÉา อะตอม ในสถานะพืÊนจะมีความเสถียรเนÉืองจากมีพลังงานตํÉา สถานะกระตุ้น (excited state) หมายถึงอะตอมทÉีได้รับพลังงานเพิÉมขึÊน ทำให้ อิเล็กตรอนถูกกระตุ้นให้อยใู่นระดับพลังงานสูงขึÊน ทÉีสถานะ กระตุ้นอะตอมจะไม่เสถียร เนืÉองจากมีพลังงานสูง  การเกิดสเปกตรัมของธาตุสามารถอธิบายได้ ดังนีÊ เมืÉออะตอมได้รับพลังงาน เช่น จากการเผา หรือ จากกระแสไฟฟ้า อิเล็กตรอน (รอบนิวเคลียส) จะเปลÉียนจาก สถานะพืÊน ไปสู่สถานะกระตุ้น ทีÉสถานะกระตุ้น อะตอมไม่เสถียร จึงต้องคายพลังงานออกมา ซÉึงพลังงานทÉีคายออกมาอยู่ในรูปพลังงานแสง หรือคลÉืนแม่เหล็กไฟฟ้า เมืÉอส่องผ่านปริซึมหรือสเปกโทรสโคป จะแยกแสงออกมา เป็นเส้นสเปกตรัม การทีÉธาตุแต่ละชนิดให้เส้นสเปกตรัมหลายเส้น แสดงว่าอิเล็กตรอน(รอบนิวเคลียส) มีหลายระดับพลังงาน โดย อรณี หัสเสม : เรียบเรียง 15 ระดับพลังงานใกล้นิวเคลียสมีพลังงานตํÉา ระดับพลังงานห่างนิวเคลียสมีพลังงานตํÉา (E2) (E1) = E2 - E1
  • 16.
     การศึกษาสเปกตรัมของธาตุไฮโดรเจน นักวิทยาศาสตร์ได้ศึกษาสเปกตรัมของแก๊ส เพราะว่ามีอะตอมอยู่ห่างกัน  และเลือกใช้อะตอมไฮโดรเจนเนืÉองจากมี ř อิเล็กตรอน  พบว่า มีเส้นสเปกตรัมทีÉปรากฏในช่วงความยาวคลืÉนทีÉมองเห็นได้โดยมีความยาวคลืÉน ŜřŘ , ŜśŜ , ŜŠŞ และ ŞŝŞ nm  จากการทดลองหลายครัÊง พบว่า อะตอมของไฮโดรเจนให้เส้นสเปกตรัมได้หลายเส้นทÉีมีลักษณะเหมือนกันทุกครัÊง  จึงสรุปได้ว่า อิเล็กตรอนในอะตอมของไฮโดรเจนขึÊนไปอยใู่นสถานะกระตุ้นทÉีมีพลังงานแตกต่างกันได้หลายระดับ  ค่าพลังงานของเส้นสเปกตรัมแสดงให้เห็นถึงการเปลีÉยนระดับพลังงานของอิเล็กตรอนในอะตอมจากระดับพลังงานสูง มายังระดับพลังงานตํÉา ตารางแสดงความยาวคลืÉนและพลังงานของเส้นสเปกตรัมของธาตุไฮโดรเจน เส้นสเปกตรัม ความยาวคลÉืน พลังงาน (KJ) ผลต่างพลังงานของเส้นสเปกตรัมทÉีอยู่ถัดกัน สีม่วง ŜřŘ Ŝ.ŠŜ x 10–22 (ห่างนิวเคลียส) Ś.ş x 10–23 สีนํÊาเงิน ŜśŜ Ŝ.ŝş x 10–22 Ŝ.š x 10–23 สีนํÊาทะเล ŜŠŞ Ŝ.ŘŠ x 10–22 řŘ.Ş x 10–23 สีแดง ŞŝŞ ś.ŘŚ x 10–22 (ใกล้นิวเคลียส)  จากข้อมูลในตาราง แสดงว่าอะตอมของไฮโดรเจนมีพลังงานหลายระดับ  และความแตกต่างระหว่างพลังงานของแต่ละระดับทีÉอยู่ถัดไปก็ไม่เท่ากัน ความแตกต่างของพลังงานจะมีค่าน้อยลง เมÉือระดับพลังงานสูงขึÊน จากเหตุผลทÉีอธิบายมานÊีช่วยให้สรุปได้ว่า 1) 2) 3) เมืÉออิเล็กตรอนได้รับพลังงานในปริมาณทีÉเหมาะสม อิเล็กตรอนจะขึÊนไปอยใู่นระดับพลังงานทÉีสูงกว่าระดับพลังงานเดิม แต่จะอยใู่นระดับใดขึÊนกับปริมาณพลังงานทÉีได้รับ การทÉีอิเล็กตรอนขึÊนไปอยใู่นระดับพลังงานใหม่ทำให้อะตอมไม่เสถียร อิเล็กตรอนจะกลับมาอยใู่นระดับพลังงานทÉีตํÉากว่า ซึÉงในการเปลÉียนตำแหน่งนีÊอิเล็กตรอนจะคายพลังงานออกมา การเปลีÉยนระดับพลังงานของอิเล็กตรอนไม่จำเป็นต้องเปลีÉยน ไปยังระดับพลังงานทÉีอยตูิ่ดกันอาจมีการเปลÉียนข้ามระดับได้ แต่เมÉืออิเล็กตรอนรับพลังงานแล้วจะขึÊนไปอยรู่ะหว่างระดับพลังงานไม่ได้ จะต้องขึÊนไปอยใู่นระดับใดระดับหนึÉงเสมอ ผลต่างของพลังงานระหว่างระดับพลังงานตํÉาจะ มีค่ามากกว่า ผลต่างของพลังงานระหว่างระดับพลังงานทÉีสูงขึÊนไป โดย อรณี หัสเสม : เรียบเรียง 16
  • 17.
    1.4 แบบจำลองอะตอมของโบร์ (นีลล์โบร์ ได้ศึกษาและปรับปรุงแบบจำลองของรัทเทอร์ฟอร์ด โดยศึกษาสเปกตรัมของไฮโดรเจน)  จากความรู้เรืÉองการเปลีÉยนแปลงระดับพลังงานของอิเล็กตรอน และการเกิดสเปกตรัม  ช่วยให้ นีลส์ โบร์ นักวิทยาศาสตร์ชาวเดนมาร์ก สร้างแบบจำลองอะตอมเพืÉอใช้อธิบายพฤติกรรมของอิเล็กตรอน ในอะตอมได้ โดยกล่าวว่า 1) อิเล็กตรอนจะเคลืÉอนทีÉรอบนิวเคลียสเป็นวง (คล้ายวงโคจรของดาวเคราะห์รอบดวงอาทิตย์) 2) แต่ละวงจะมีระดับพลังงานเฉพาะตัว ระดับพลังงานของอิเล็กตรอนทีÉอยใู่กล้นิวเคลียสทÉีสุดซึÉงมีพลังงานตํÉาทÉีสุด เรียกว่าระดับ K และระดับพลังงานทÉีอยถูั่ดออกมาเรียกเป็น L , M , N , … ตามลำดับ 3) ต่อมาได้มีการใช้ตัวเลขแสดงถึงระดับพลังงานของอิเล็กตรอน คือ n = 1 หมายถึงระดับพลังงานทÉี ř ซึÉงอยใู่กล้ กับนิวเคลียสทÉีสุด และชัÊนถัดมาเป็น n = 2 หมายถึงระดับพลังงานทÉี Ś ต่อจากนัÊน n = 3 , 4 , . . . หมายถึงระดับ พลังงานทÉี ś , Ŝ และสูงขึÊนไปตามลำดับ แบบจำลองอะตอมของโบร์  แบบจำลองอะตอมของโบร์ พัฒนามาจากการค้นพบสเปกตรัมของอะตอมไฮโดรเจน ซึÉงเป็นอะตอมทÉีมี ř อิเล็กตรอน แต่ไม่สามารถใช้อธิบายอะตอมทีÉมีหลายอิเล็กตรอนได้ นักวิทยาศาสตร์จึงจำเป็นต้องศึกษาค้นคว้าเพิÉมเติมเพืÉอเสนอ แบบจำลองอะตอมใหม่ 1.5 แบบจำลองอะตอมแบบกลุ่มหมอก  เนืÉองจากแบบจำลองอะตอมของโบร์ (Niels Bohr) มีข้อจำกัดทีÉไม่สามารถใช้อธิบายสเปกตรัมของอะตอมทีÉมีหลาย อิเล็กตรอน ได้  จึงมีการศึกษาเพิÉมเติมจนได้ข้อมูลทÉีเชÉือว่า อิเล็กตรอนมีสมบัติเป็นทัÊงอนุภาคและคลÉืน โดยเคลÉือนทÉีรอบนิวเคลียสใน ลักษณะของคลืÉนนิÉง บริเวณทีÉพบอิเล็กตรอนได้พบได้หลายลักษณะเป็นรูปทรงต่าง ๆ ตามระดับพลังงานของอิเล็กตรอน  จากการใช้ความรู้ทางกลศาสตร์ควอนตัมสร้างสมการขึÊนเพÉือคำนวณหาโอกาสทÉีจะพบอิเล็กตรอนในระดับพลังงานต่าง ๆ พบว่า แบบจำลองนีÊอธิบายเส้นสเปกตรัมได้ดีกว่าแบบจำลองอะตอมของโบร์ มีลักษณะ ดังนีÊ 1) อิเล็กตรอนมีขนาดเล็กมากและเคลÉือนทÉีอย่างรวดเร็วตลอดเวลาไปทัวÉทัÊงอะตอม จึงไม่สามารถบอกตำแหน่งทÉี แน่นอนของอะตอมได้ 2) มีโอกาสทÉีจะพบอิเล็กตรอนรอบนิวเคลียสบางบริเวณเท่านัÊน ทำให้สร้างมโนภาพได้ว่าอะตอมประกอบด้วยกลุ่ม หมอกของอิเล็กตรอนรอบ ๆ นิวเคลียส 3) บริเวณทีÉกลุ่มหมอกทึบแสดงว่าโอกาสทีÉจะพบอิเล็กตรอนได้มากกว่าบริเวณทีÉมีกลุ่มหมอกจาง” แบบจำลองอะตอมแบบกลุ่มหมอก โดย อรณี หัสเสม : เรียบเรียง 17
  • 18.
    โดย อรณี หัสเสม: เรียบเรียง 18 1.6 การจัดอิเล็กตรอนในอะตอม (Electronic configuration)  จากแบบจำลองอะตอม พบว่าโปรตอนและนิวตรอนอยู่รวมกันในนิวเคลียส และมีอิเล็กตรอนอยู่รอบ ๆ โดยอยู่ในระดับ พลังงานต่าง ๆ กัน  สามารถจัดอิเล็กตรอนในระดับพลังงานได้ ดังนีÊ 1. การจัดอิเล็กตรอนในระดับพลังงานหลัก (shell)  จำนวนอิเล็กตรอนในแต่ละระดับพลังงานหลักมีจำนวนไม่เกิน 2n2 เมืÉอ n คือระดับพลังงานหลักทีÉ ř , Ś , ś , . . . ระดับพลังงานหลัก n=1 มีอิเล็กตรอนไม่เกิน Ś อิเล็กตรอน ระดับพลังงานหลัก n=2 มีอิเล็กตรอนไม่เกิน Š อิเล็กตรอน ระดับพลังงานหลัก n=3 มีอิเล็กตรอนไม่เกิน řŠ อิเล็กตรอน ระดับพลังงานหลัก n=4 มีอิเล็กตรอนไม่เกิน śŚ อิเล็กตรอน  พลังงานชัÊนนอกสุด และมีพลังงานสูงสุด เรียกว่า เวเลนซ์อิเล็กตรอน (เวเลนซ์อิเล็กตรอน จะไม่เกิน 8)  ดังนัÊน ระดับพลังงานหลักชัÊนสุดท้าย จะไม่เกิน 8 เสมอ ต้องจำ เวเลนซ์อิเล็กตรอน บอกให้รู้ว่า ธาตุอยหู่มู่ใด จำนวนระดับพลังงาน บอกให้รู้ว่า ธาตุอยู่คาบใด ตารางแสดงการจัดอิเล็กตรอนในระดับพลังงานหลัก ธาตุ เลขอะตอม จำนวนอิเล็กตรอนในระดับพลังงาน แสดงการจัดในระดับ n=1 n=2 n=3 n=4 พลังงานหลัก H 1 1 ř He 2 2 Ś Li 3 2 1 Ś , ř Be 4 2 2 Ś , Ś B 5 2 3 Ś , ś C 6 2 4 Ś , Ŝ N 7 2 5 Ś , ŝ O 8 2 6 Ś , Ş F 9 2 7 Ś , ş Ne 10 2 8 Ś , Š Na 11 2 8 1 Ś , Š , ř Mg 12 2 8 2 Ś , Š , Ś Al 13 2 8 3 Ś , Š , ś Si 14 2 8 4 Ś , Š , Ŝ P 15 2 8 5 Ś , Š , ŝ S 16 2 8 6 Ś , Š , Ş Cl 17 2 8 7 Ś , Š , ş Ar 18 2 8 8 Ś , Š , Š K 19 2 8 8 1 Ś , Š , Š , ř Ca 20 2 8 8 2 Ś , Š , Š , Ś
  • 19.
    เทคนิคทÉีควรรู้ในการจัดอิเล็กตรอนในระดับพลังงานหลัก  นักเรียนสามารถจัดอิเล็กตรอนในระดับพลังงานหลักของอะตอมโดยใช้สามเหลÉียมมหัศจรรย์ ดังนีÊ เลขอะตอม 2 2 2 2 4 2 8 2 12 2 8 8 2 20 2 8 18 8 2 38 2 8 18 18 8 2 56 2 8 18 32 18 8 2 88 2 8 18 32 32 18 8 2 120 หมายเหตุ จากสามเหลÉียมมหัศจรรย์นีÊ นักเรียนอาจไม่จำเป็นต้องจำ แต่ต้องเข้าใจหลักในการเขียน ตัวอย่างทีÉ 1 จงจัดอิเล็กตรอนในระดับพลังงานหลักของ Ca วิธีทำ เปิดตารางธาตุดู เลขอะตอม Ca (เท่ากับ 20) ดังนัÊน Ca สามารถจัดอิเล็กตรอนในระดับพลังงานหลัก ดังนีÊ 2 8 8 2 จะเห็นว่า Ca มีเวเลนซ์อิเล็กตรอนเท่ากับ 2 จึงอยู่ในหมู่ 2 และ Ca มีจำนวนระดับพลังงานเท่ากับ 4 จึงอยู่ในคาบ 4 ตัวอย่างทีÉ 2 จงจัดอิเล็กตรอนในระดับพลังงานหลักของ B วิธีทำ เปิดตารางธาตุดู เลขอะตอม B (เท่ากับ 5) ดังนัÊน B สามารถจัดอิเล็กตรอนในระดับพลังงานหลัก ดังนีÊ 2 3 จะเห็นว่า B มีเวเลนซ์อิเล็กตรอนเท่ากับ 3 จึงอยู่ในหมู่ 3 และ B มีจำนวนระดับพลังงานเท่ากับ 2 จึงอยู่ในคาบ 2 ตัวอย่างทีÉ 3 จงจัดอิเล็กตรอนในระดับพลังงานหลักของ Cl วิธีทำ เปิดตารางธาตุดู เลขอะตอม Cl (เท่ากับ 17) ดังนัÊน Cl สามารถจัดอิเล็กตรอนในระดับพลังงานหลัก ดังนีÊ 2 8 7 จะเห็นว่า Cl มีเวเลนซ์อิเล็กตรอนเท่ากับ 7 จึงอยู่ในหมู่ 7 และ Cl มีจำนวนระดับพลังงานเท่ากับ 3 จึงอยู่ในคาบ 3 โดย อรณี หัสเสม : เรียบเรียง 19
  • 20.
    ตัวอย่างทีÉ 4 จงจัดอิเล็กตรอนในระดับพลังงานหลักของFe วิธีทำ เปิดตารางธาตุดู เลขอะตอม Fe (เท่ากับ 26) ดังนัÊน Fe สามารถจัดอิเล็กตรอนในระดับพลังงานหลัก ดังนีÊ 2 8 14 2 ตัวอย่างทีÉ 5 จงจัดอิเล็กตรอนในระดับพลังงานหลักของ Br วิธีทำ เปิดตารางธาตุดู เลขอะตอม Br (เท่ากับ 35) ดังนัÊน Br สามารถจัดอิเล็กตรอนในระดับพลังงานหลัก ดังนีÊ 2 8 18 7 ตัวอย่างทีÉ 6 จงจัดอิเล็กตรอนในระดับพลังงานหลักของธาตุทีÉมีเลขอะตอมเท่ากับ 23 วิธีทำ ธาตุนีÊสามารถจัดอิเล็กตรอนในระดับพลังงานหลัก ดังนีÊ 2 8 11 2 ตัวอย่างทีÉ 7 จงจัดอิเล็กตรอนในระดับพลังงานหลักของธาตุ Pt (แพลตทินัม) วิธีทำ เปิดตารางธาตุดู เลขอะตอม Pt (เท่ากับ 78) ดังนัÊน Pt สามารถจัดอิเล็กตรอนในระดับพลังงานหลัก ดังนีÊ 2 8 18 32 16 2 ตัวอย่างทีÉ 8 จงจัดอิเล็กตรอนในระดับพลังงานหลักของธาตุ Po (โพโลเนียม) วิธีทำ เปิดตารางธาตุดู เลขอะตอม Pt (เท่ากับ 84) ดังนัÊน Po สามารถจัดอิเล็กตรอนในระดับพลังงานหลัก ดังนีÊ 2 8 18 32 18 6 แบบฝึกหัด เรืÉอง การจัดเรียงอิเล็กตรอนในระดับพลังงานหลัก 1. จงจัดอิเล็กตรอนในระดับพลังงานหลัก ของธาตุ S 2. จงจัดอิเล็กตรอนในระดับพลังงานหลัก ของธาตุ Mn 3. จงจัดอิเล็กตรอนในระดับพลังงานหลักของธาตุ As 4. จงจัดอิเล็กตรอนในระดับพลังงานหลักของธาตุ Tc โดย อรณี หัสเสม : เรียบเรียง 20
  • 21.
    2. การจัดอิเล็กตรอนในระดับพลังงานย่อย (sub-shell) โดย อรณี หัสเสม : เรียบเรียง 21  จากการศึกษาสมบัติทีÉเป็นคลืÉนของอิเล็กตรอน พบว่าอิเล็กตรอนอยู่ในระดับพลังงานหรือวง (shell) ต่าง ๆ กัน ซึÉงเรียกว่าระดับพลังงานหลัก และในระดับพลังงานเดียวกันยังมีระดับพลังงานย่อย (sub shell) ต่าง ๆ อีก คือระดับพลังงานย่อย s , p , d และ f โดยในแต่ละระดับพลังงานย่อยมีอิเล็กตรอนดังนีÊ ระดับพลังงานหลักทีÉ ř (n=1) มี ř ระดับพลังงานย่อยคือ s ระดับพลังงานหลักทีÉ Ś (n=2) มี 2 ระดับพลังงานย่อยคือ s , p ระดับพลังงานหลักทีÉ ś (n=3) มี 3 ระดับพลังงานย่อยคือ s , p , d ระดับพลังงานหลักทีÉ Ŝ (n=4) มี 4 ระดับพลังงานย่อยคือ s , p , d , f ตารางแสดงระดับพลังงานย่อย จำนวนอิเล็กตรอนสูงสุดในระดับพลังงานย่อย และในแต่ละระดับพลังงาน ระดับ ระดับ จำนวนออร์บิทัล จำนวนอิเล็กตรอนสูงสุด พลังงานหลัก พลังงานย่อย ในแต่ละระดับพลังงานย่อย จำนวนอิเล็กตรอนสูงสุด ในแต่ละระดับพลังงาน n = ř s 2 2 n = 2 s 2 p 8 6 n = 3 s 2 p 6 18 d 10 n = 4 s 2 32 p 6 d 10 f 14 ตารางแสดงจำนวนออร์บิทัล และจำนวนอิเล็กตรอนสูงสุดในแต่ละออร์บิทัล ระดับพลังงานย่อย จำนวนออร์บิทัล จำนวนอิเล็กตรอน แต่ละออร์บิทัล จำนวนอิเล็กตรอนรวม s 1 Ś Ś p 3 Ś Ş d 5 Ś řŘ f 7 Ś řŜ  อิเล็กตรอนมีการเคลÉือนทÉีอยตู่ลอดเวลา ความหนาแน่นของกลุ่มหมอกอิเล็กตรอนซึÉงวัดออกมาในรูปของโอกาสทÉีจะพบ อิเล็กตรอน ซึÉงเคลÉือนทÉีรอบนิวเคลียส จะมีรูปร่างเป็น ś มิติทÉีแตกต่างกันซึÉงเรียกว่า ออร์บิทัล (orbital)
  • 22.
    ออร์บิทัล (orbital) โดยอรณี หัสเสม : เรียบเรียง 22  หมายถึงบริเวณทีÉมีโอกาสสูงทีÉจะพบอิเล็กตรอน หรือบริเวณทÉีอยขู่องอิเล็กตรอน ซึÉงมีรูปร่างเป็น ś มิติแตกต่างกัน ดังนีÊ 1) S ออร์บิทัล มีความหนาแน่นของอิเล็กตรอนรอบนิวเคลียสเท่ากันทุกทิศทาง ทำให้มองเห็นว่าออร์บิทัลนีÊมีรูปร่างเป็นทรงกลมรอบนิวเคลียส (อิเล็กตรอนบรรจุได้มากสุด 2e-) ดังรูป 2) P ออร์บิทัล มีความหนาแน่นของอิเล็กตรอนรอบนิวเคลียสอยู่ในบริเวณแกน x , y , z มี 3 แบบ ได้แก่ px–orbital , Pz–orbital ,Py–orbital โดยออร์บิทัลทัÊงสามมีรูปร่างคล้ายดรัมเบลล์ มีพลังงานเท่ากัน แต่มีทิศทางแตกต่างกัน (อิเล็กตรอนบรรจุได้มากสุด 6 e- ) ดังรูป orbital orbital orbital 3) d ออร์บิทัล มีความซับซ้อนมากกว่า s-orbital และ p-orbital มี 5 แบบ ได้แก่ , , , และ (อิเล็กตรอนบรรจุได้มากสุด 10 e- ) ดังรูป 4) f ออร์บิทัล มี 7 แบบ (อิเล็กตรอนบรรจุได้มากสุด 14 e- ) ในระดับนีÊอาจไม่จำเป็นต้องศึกษารายละเอียด f ออร์บิทัล มากนักก็ได้
  • 23.
    หลักการจัดอิเล็กตรอนลงในระดับพลังงานย่อย (ออร์บิทัล) 1)ให้ แทนออร์บิทัล อิเล็กตรอนเขียนด้วยลูกศร อิเล็กตรอนในออร์บิทัล จึงเขียนแทนได้เป็น หรือ ในกรณีทีÉมีอิเล็กตรอนเต็มออร์บิทัล สามารถเขียนเป็น ถ้าเขียนเป็น หรือ จะไม่สอดคล้องตามหลักการ 2) ต้องบรรจุอิเล็กตรอนลงในออร์บิทัลทÉีมีพลังงานตํÉาสุด และ ว่างก่อนเสมอ คือ 1s 2s 2p 3s . . . ตามลำดับ เพราะจะทำให้พลังงานรวมทัÊงหมดมีค่าตํÉาสุดและมีความเสถียรทÉีสุด 3) อะตอมของธาตุทีÉมีการบรรจุอิเล็กตรอนเต็มในทุก ๆ ออร์บิทัลทีÉมีพลังงานเท่ากัน เรียกว่า การบรรจุเต็ม (full filled) ถ้ามีอิเล็กตรอนบรรจุอยเู่พียงครึÉงเดียวเรียกว่า การบรรจุครึÉง (half filled) การบรรจุเต็มหรือบรรจุครึÉงจะทำให้อะตอมมีความเสถียรมากกว่าการบรรจุแบบอÉืน ๆ 1s 2s 2p การบรรจุเต็ม การบรรจุครึÉง 4) ในกรณีทÉีมีหลายอิเล็กตรอน การบรรจุอิเล็กตรอนลงในออร์บิทัลต่าง ๆ ตามลำดับพลังงานจากตํÉาไปสูงจะเป็นดังนีÊ ตารางแสดงการจัดอิเล็กตรอนเข้าในระดับพลังงานตามลำดับ ระดับ พลังงาน จำนวนระดับพลังงานย่อยหรือออร์บิทัลทอÉียู่ในแต่ละระดับพลังงาน n = 1 n = 2 n = 3 n = 4 n = 5 n = 6 n = 7 โดย อรณี หัสเสม : เรียบเรียง 23
  • 24.
    โดย อรณี หัสเสม: เรียบเรียง 24 ตารางแสดงระดับพลังงานย่อย จำนวนอิเล็กตรอนสูงสุดในระดับพลังงานย่อย และในแต่ละระดับพลังงาน ของ ŚŘ ธาตุแรก เลข อะตอม ธาตุ แผนภาพการจัดอิเล็กตรอนในออร์บิทัล ระดับพลังงานย่อย 1s 2s 2p 3s 3p 4s 3d 1 H 1s1 2 He 1s2 3 Li 1s22s1 4 Be 1s22s2 5 B 1s22s22p1 6 C 1s22s22p2 7 N 1s22s22p3 8 O 1s22s22p4 9 F 1s22s22p5 10 Ne 1s22s22p6 11 Na 1s22s22p6 3s1 หรือ [Ne] 3s1 12 Mg 1s22s22p6 3s2 หรือ [Ne] 3s2 13 Al 1s22s22p63s23p1 14 Si 1s22s22p63s23p2
  • 25.
    ตารางแสดงระดับพลังงานย่อย จำนวนอิเล็กตรอนสูงสุดในระดับพลังงานย่อย และในแต่ละระดับพลังงานของ ŚŘ ธาตุแรก (ต่อ) เลข อะตอม ธาตุ แผนภาพการจัดอิเล็กตรอนในออร์บิทัล ระดับพลังงานย่อย 1s 2s 2p 3s 3p 4s 3d 15 P 1s22s22p63s23p3 16 S 1s22s22p63s23p4 17 Cl 1s22s22p63s23p5 18 Ar 1s22s22p63s23p6 19 K 1s22s22p63s23p64s13d0 20 Ca 1s22s22p63s23p64s23d0  อิเล็กตรอนทีÉอยู่ในระดับพลังงานสูงสุดหรือชัÊนนอกสุดของอะตอม เรียกว่า เวเลนซ์อิเล็กตรอน (valence electron) ตัวอย่างทีÉ 1 จงจัดอิเล็กตรอนในระดับพลังงานย่อย ของธาตุ Cl วิธีทำ Cl มีเลขอะตอม 17 Cl สามารถจัดอิเล็กตรอนในระดับพลังงานหลัก ดังนีÊ 2 8 7 จะได้ว่า ระดับพลังงานหลัก n = 1 2 n = 2 8 n = 3 7 ระดับพลังงานย่อย 1s 2s 2p 3s 3p 3d ดังนัÊน Cl สามารถจัดอิเล็กตรอนในระดับพลังงานย่อยได้ ดังนีÊ 1s2 2s2 2p6 3s2 3p5 ตัวอย่างทีÉ 2 จงจัดอิเล็กตรอนลงในระดับพลังงานย่อย ของธาตุ C (เลขอะตอม 6) ระดับพลังงานหลัก n = 1 2 n = 2 4 ระดับพลังงานย่อย 1s 2s 2p ดังนัÊน C สามารถจัดอิเล็กตรอนในระดับพลังงานย่อย ได้ดังนีÊ 1s2 2s2 2p2 โดย อรณี หัสเสม : เรียบเรียง 25
  • 26.
    ตัวอย่างทีÉ 3 จงจัดอิเล็กตรอนในระดับพลังงานย่อยของธาตุ P (เลขอะตอม 15) วิธีทำ ระดับพลังงานหลัก n = 1 2 n = 2 8 n = 3 5 ระดับพลังงานย่อย 1s 2s 2p 3s 3p 3d ดังนัÊน P สามารถจัดอิเล็กตรอนในระดับพลังงานได้ ดังนีÊ 1s22s22p63s23p3 ตัวอย่างทีÉ 4 จงจัดอิเล็กตรอนในระดับพลังงานย่อยของธาตุ Ca (เลขอะตอม 20) ระดับ พลังงานหลัก n = 1 2 n = 2 8 n = 3 8 n = 4 2 ระดับ พลังงานย่อย 1s 2s 2p 3s 3p 3d 4s 4p 4d 4f แบบฝึกหัด เรืÉอง การจัดอิเล็กตรอนในระดับพลังงานย่อย 1) จงจัดอิเล็กตรอนในระดับพลังงานย่อยของธาตุ N 2) จงจัดอิเล็กตรอนในระดับพลังงานย่อยของธาตุ K 3) จงจัดอิเล็กตรอนในระดับพลังงานย่อยของธาตุ Mg โดย อรณี หัสเสม : เรียบเรียง 26
  • 27.
    4) ธาตุ AB C D มีการจัดอิเล็กตรอน ดังนีÊ ธาตุ A 1s22s22p6 ธาตุ B 1s22s22p63s23p4 ธาตุ C 1s22s22p63s23p64s13d0 ธาตุ D 1s22s22p63s23p1 4.1) ธาตุ A B C D มีเลขอะตอมเท่าใด วิธีคิด จาก ธาตุ A 1s22s22p6 เลขอะตอมธาตุ A เท่ากับ 2 + 2 + 6 = 10 ธาตุ B C D ให้นักเรียนทำด้วยตัวเอง ธาตุ B ธาตุ C ธาตุ D 4.2) ธาตุ A B C มีอิเล็กตรอนอยู่ในระดับพลังงานใดบ้าง จำนวนเท่าใด วิธีคิด จากธาตุ A มีเลขอะตอมเท่ากับ 10 มีอิเล็กตรอนในระดับพลังงานหลัก 2 8 ธาตุ B C D ให้นักเรียนทำด้วยตัวเอง ธาตุ B ธาตุ C ธาตุ D โดย อรณี หัสเสม : เรียบเรียง 27
  • 28.
    2. ตารางธาตุ โดยอรณี หัสเสม : เรียบเรียง 28  ปัจจุบันนักวิทยาศาสตร์ได้ค้นพบธาตุเป็นจำนวนมาก ธาตุเหล่านัÊนอาจมีสมบัติบางประการคล้ายกัน แต่ก็มีสมบัติบางประการ แตกต่างกัน จึงยากต่อการจดจำสมบัติต่าง ๆ ของแต่ละธาตุได้ทัÊงหมด  นักวิทยาศาสตร์จึงหากฎเกณฑ์ในการจัดธาตุทีÉมีสมบัติคล้ายกันให้อยู่ในกลุ่มเดียวกัน เพืÉอง่ายต่อการศึกษา โดยใช้ ตารางธาตุ  ตารางธาตุ หมายถึง ตารางทÉีนักวิทยาศาสตร์สร้างขึÊนมา เพÉือแบ่งธาตุทÉีมีสมบัติเหมือนกันออกเป็นหมวดหมู่ เพÉือให้ง่ายแก่ การศึกษา โดยแบ่งธาตุทัÊงหมดออกเป็นหมู่และคาบ ดังนีÊ  ธาตุทÉีอยใู่นแนวดิÉงเดียวกัน เรียกว่า อยใู่น หมู่ เดียวกัน  ธาตุทีÉอยู่ในแนวนอนเดียวกัน เรียกว่า อยู่ใน คาบ เดียวกัน 2.1 วิวัฒนาการของตารางธาตุ 1) ตารางธาตุของเดอเบอไรเนอร์ (ชุดสาม)  การจัดตารางธาตุนัÊนเริÉมขึÊนตัÊงแต่ปี พ.ศ. 2360 (ค.ศ. 1817) โดย โยฮันน์ เดอเบอไรเนอร์ (Johaun Dobereiner) นักเคมีชาวเยอรมัน ได้นำธาตุต่าง ๆ ทÉีพบในขณะนัÊนมาจัดเรียงเป็นตารางธาตุ  โดยนำธาตุต่าง ๆ ทีÉมีสมบัติคล้ายคลึงกันมาจัดไว้ในหมู่เดียวกัน หมู่ละ 3 ธาตุ เรียกว่า ชุดสาม  เรียงตามมวลอะตอมจากน้อยไปมากในแต่ละหมู่  ธาตุกลางจะมีมวลอะตอมเป็นค่าเฉลีÉยของมวลอะตอมของธาตุทีÉเหลืออีก 2 อะตอม เรียกว่า กฎชุดสาม (law of triads)  เช่น Na เป็นธาตุกลางระหว่าง Li กับ K มีมวลอะตอม 23 (เป็นค่าเฉลÉียของมวลอะตอม Li ซึÉงมีมวลอะตอม 7 กับธาตุ K มีมวลอะตอม 39) ตารางทÉี 1 มวลอะตอมเฉลÉียของธาตุบางกลุ่มตามกฎชุดสาม หมู่ 1 มวลอะตอม หมู่ 2 มวลอะตอม Li 7 Be 9 Na 23 เฉลีÉย = 7 + 39 Mg 24 2 K 39 Ca 40 เฉลีÉย = 9 + 40 = 24.5 2  เมืÉอนำกฎดังกล่าวไปใช้กับธาตุกลุ่มอืÉนทีÉมีสมบัติคล้ายคลึงกัน ปรากฏว่าบางธาตุ มวลอะตอมของธาตุกลางไม่ เท่ากับค่าเฉลีÉยของมวลอะตอมของธาตุทีÉเหลือ กฎชุดสามของเดอเบอไรเนอร์จึงไม่เป็นทีÉยอมรับกันในเวลาต่อมา
  • 29.
    โดย อรณี หัสเสม: เรียบเรียง 29 2) ตารางธาตุของนิวแลนด์  ในปี พ.ศ. 2407 (ค.ศ. 1864) จอห์น นิวแลนด์ (John Newlands) นักเคมีชาวอังกฤษได้พบว่าเมืÉอนำธาตุต่าง ๆ มา เรียงลำดับตามมวลอะตอมจากน้อยไปหามาก ให้เป็นแถวตามแนวนอน สมบัติของธาตุจะมีลักษณะคล้ายกันเป็น ช่วง ๆ ซึÉงลักษณะดังกล่าวเกิดขึÊนทุก ๆ ของธาตุทÉี 8 (ธาตุทÉี 8 มีสมบัติคล้ายธาตุทÉี 1  เช่น ถ้าเริÉมต้นจากธาตุ Li แล้วเรียงลำดับมวลอะตอมไปถึงธาตุทÉี 8 จะตรงกับ Na ซึÉง Li และ Na มีสมบัติต่าง ๆ คล้ายคลึงกัน ดังตัวอย่างการจัดต่อไปนีÊ Li Be B C N O F Na Mg Al Si P S Cl K Ca  การจัดเรียงธาตุตามแนวคิดของนิวแลนด์ ใช้ได้ถึงธาตุแคลเซียมเท่านัÊน กฎนีÊจึงไม่สามารถอธิบายได้ว่า เพราะเหตุใด มวลอะตอมจึงเกÉียวข้องกับสมบัติทÉีคล้ายคลึงกันของธาตุ ทำให้ไม่เป็นทÉียอมรับในเวลาต่อมา John Alexander Reina Newlands 3) ตารางธาตุของเมนเดเลเยฟ  ในระหว่างปี พ.ศ. 2412 - 2413 (ค.ศ. 1269 - 1270) ยูลิอุส ไมเออร์ (Julius Meyer) นักวิทยาศาสตร์ชาว เยอรมัน และดิมิทรี เมนเดเลเยฟ (Dimitri Mendelejev) ได้ศึกษารายละเอียดของธาตุต่าง ๆ มากขึÊน ทำให้มี ข้อสังเกตเช่นเดียวกันว่า ยูลิอุส โลทาร์ ไมเออร์ (นักเคมีชาวเยอรมัน) Dmitri Ivanovich Mendeleev  ถ้าเรียงธาตุตามมวลอะตอมจากน้อยไปมาก จะพบว่า ธาตุมีสมบัติคล้ายกันเป็นช่วง ๆ  การค้นพบสมบัตินีÊ เมเดเลเอฟจึงตัÊงเป็นกฎเรียกว่า “กฎพีริออดิก” โดยได้เสนอความคิดนีÊในปี พ.ศ. 2412 ก่อนทÉีไมเออร์จะเสนอผลงานเพียงหนึÉงปี  เพÉือเป็นเกียรติแก่เมเดเลเอฟ จึงเรียกตารางนีÊว่า ตารางพีริออดิกของเมเดเลเอฟ
  • 30.
     เกณฑ์ทีÉสำคัญทีÉเมนเดเลเอฟใช้คือ จัดธาตุทีÉมีสมบัติคล้ายคลึงกันทÉีปรากฏซÊำกันเป็นช่วง ๆ ให้อยใู่นหมู่หรือในแนวตัÊงเดียวกัน  และพยายามเรียงลำดับมวลอะตอมจากน้อยไปหามาก  ในกรณีทีÉเรียงตามมวลอะตอมแล้วสมบัติของธาตุไม่สอดคล้องกัน ก็พยายามจัดให้เข้าหมู่โดยปล่อยให้ช่อง ว่างเว้นไว้ในตาราง  เมนเดเลเอฟคิดว่า ช่องว่างเหล่านัÊนน่าจะเป็นตำแหน่งของธาตุซึÉงยังไม่มีการค้นพบในขณะนัÊน จึงได้ทำนายสมบัติของธาตุทÉียังไม่มีการค้นพบไว้ 3 ธาตุ โดยให้ชÉือว่า เอคา–โบรอน , เอคา–อะลูมินัม , เอ คา–ซิลิคอน ซึÉงในเวลาต่อมาได้มีผู้ค้นพบธาตุทÉีเมเดเลเอฟได้ทำนายไว้ ซึÉงก็คือธาตุสแกนเดียม (Sc) แกลเลียม (Ga) และเจอร์มเเนียม (Ge) ตามลำดับ ตารางเปรียบเทียบสมบัติของเอทา-ซิลิคอน กับ เจอร์เมเนียม สมบัติ เอคา-ซิลิคิน ทำนายเมืÉอ พ.ศ. ŚŜřŜ เจอร์เมเนียม ทำนายเมืÉอ พ.ศ. ŚŜŚš มวลอะตอม 72 72.6 ความหนาแน่น (g/cm3) 5.5 5.47 สี เทาเข้ม เทาขาว ความหนาแน่นของออกไซด์ (g/cm3) EsO2 = 4.7 GeO2 = 4.7 ความหนาแน่นของคลอไรด์(g/cm3) EsCl4 = 1.9 GeCl4 = 1.89 จุดเดือดสารประกอบของคลอไรด์ < 100 oC 86 oC  ในการจัดตารางธาตุนอกจากจะใช้มวลอะตอมแล้ว ยังใช้สมบัติทางเคมีและทางกายภาพของสารประกอบ อืÉน ๆ นอกเหนือจากสารประกอบคลอไรด์ และออกไซด์มาประกอบการพิจารณาด้วย  อย่างไรก็ตามเมนเดเลเอฟไม่สามารถอธิบายได้ว่า เพราะเหตุใดจึงต้องจัดเรียงธาตุตามมวลอะตอม เนืÉองจากสมัย นัÊนนักวิทยาศาสตร์ยังศึกษาโครงสร้างของอะตอมและไอโซโทปได้ไม่ ชัดเจน รูปแสดง ตารางธาตุของเมนเดเลเยฟ โดย อรณี หัสเสม : เรียบเรียง 30
  • 31.
     นักวิทยาศาสตร์รุ่นต่อมาเกิดแนวความคิดว่า ตำแหน่งของธาตุในตารางธาตุไม่น่าจะขึÊนอยกูั่บมวลอะตอมของ ธาตุ แต่น่าจะขึÊนอยกูั่บสมบัติอÉืนทÉีมีความสัมพันธ์กับมวลอะตอม  เฮนรี โมสลีย์ นักวิทยาศาสตร์ชาวอังกฤษ ได้เสนอให้จัดธาตุเรียงตามเลขอะตอม เนÉืองจากสมบัติต่างๆ ของธาตุ มีความสัมพันธ์กับประจุบวกในนิวเคลียสหรือเลขอะตอมมากกว่ามวลอะตอม  ตารางธาตุในปัจจุบันจึงได้จัดเรียงธาตุตามเลขอะตอมจากน้อยไปมากซึÉงสอดคล้อง กับกฎพิริออดิกทÉีได้กล่าว มาแล้ว 4) ตารางธาตุของเฮนรี โมสลีย์  เฮนรี โมสลีย์ (Henry Moseley) นักวิทยาศาสตร์ชาวอังกฤษ ได้แก้ไขตารางธาตุของเมนเดเลเอฟให้ถูกต้องขึÊน โดยพบว่าเลขอะตอม หรือจำนวนโปรตอนในนิวเคลียสของธาตุ มีความสัมพันธ์กับสมบัติของธาตุมากกว่ามวล อะตอม  ทำให้สอดคล้องกับกฎพีริออดิกมากกว่า จึงสามารถสร้างตารางธาตุได้โดยไม่ต้องสลับทÉีธาตุบางธาตุเหมือนกรณี การจัดเรียงตามมวลอะตอม  ประมาณปี พ.ศ. 2456 (ค.ศ. 1913) โมสลีย์จึงเสนอตารางธาตุใหม่  โดยเรียงตามเลขอะตอมจากน้อยไปหามาก  และจัดธาตุทีÉมีสมบัติคล้ายคลึงกันให้อยู่ในหมู่เดียวกัน  และกำหนดกฎตารางธาตุขึÊนใหม่เป็น “สมบัติต่าง ๆ ของธาตุในตารางธาตุขึÊนอยกูั่บเลขอะตอมของธาตุ” 5) ตารางธาตุในปัจจุบัน  เนืÉองจากปัจจุบันนักเคมีพบว่า การจัดเรียงตัวของอิเล็กตรอนในอะตอมของธาตุมีส่วนสัมพันธ์กับสมบัติต่าง ๆ ของ ธาตุ  กล่าวคือ ถ้าเรียงลำดับธาตุตามเลขอะตอมจากน้อยไปหามาก จะพบว่าธาตุทÉีมีสมบัติคล้ายคลึงกันเป็นช่วง ๆ ตาม ลักษณะของการจัดเรียงอิเล็กตรอนในอะตอมของธาตุนัÊน  ดังนัÊนในปัจจุบันจึงจัดตารางธาตุโดยเรียงตามเลขอะตอมจากน้อยไปมาก ดังรูป รูปแสดงตารางธาตุในปัจจุบัน โดย อรณี หัสเสม : เรียบเรียง 31
  • 32.
     จากตารางธาตุในรูปข้างต้น เป็นแบบทÉีใช้กันอยู่มากในปัจจุบันแบ่งธาตุเป็น โดย อรณี หัสเสม : เรียบเรียง 32 แนวตัÊง หรือ หมู่ (group) มี 18 แถว หรือ 18 หมู่ แบ่งเป็น 2 กลุ่มใหญ่ ๆ ได้แก่  กลุ่ม A มี 8 หมู่ คือ หมู่ IA ถึง VIIIA ธาตุในแต่ละหมู่ ของกลุ่ม A ถ้ามีสมบัติคล้ายกันจะมีชÉือเรียกเฉพาะหมู่  ธาตุหมู่ IA เรียกว่า โลหะอัลคาไล (alkali metal) ได้แก่ Li , Na , K , Rb , Cs , Fr  ธาตุหมู่ IIA เรียกว่า โลหะอัลคาไลน์เอิร์ท (alkaline earth) ได้แก่ Be Mg Ca Sr Ba Ra  ธาตุหมู่ VIIA เรียกว่า ธาตุเฮโลเจน (halogen) ได้แก่ F Cl Br I At  ธาตุหมู่ทีÉ VIIIA เรียกว่า ก๊าซเฉืÉอย (Inert gas) ได้แก่ He Ne Ar Kr Xe Rn  กลุ่ม B มี Š หมู่ คือ หมู่ IB ถึง VIIIB (อยู่ระหว่างหมู่ IIA และ IIIA) เรียกธาตุกลุ่ม B ว่า ธาตุแทรนซิชัน ( Š หมู่ แต่มี řŘ แนวตัÊง) แนวนอน หรือ คาบ (period) มี ş คาบ ซึÉงแต่ละคาบอาจมีจำนวนธาตุไม่เท่ากัน เช่น  คาบทีÉ 1 มี 2 ธาตุ คือ H , He  คาบทÉี 2 มี 8 ธาตุ คือ ตัÊงแต่ Li ถึง Ne  คาบทÉี 3 มี 8 ธาตุ คือ ตัÊงแต่ Na ถึง Ar  คาบทÉี 4 มี 18 ธาตุ คือ ตัÊงแต่ K ถึง Kr  คาบทÉี 5 มี 18 ธาตุ คือ ตัÊงแต่ Rb ถึง Xe  คาบทÉี 6 มี 32 ธาตุ คือ ตัÊงแต่ Cs ถึง Rn  คาบทÉี 7 มี 19 ธาตุ คือ ตัÊงแต่ Fr ถึง Ha  สำหรับ 2 แถวล่าง เป็นธาตุกลุ่มย่อยทÉีแยกมาจากหมู่ IIIB ในคาบทÉี 6 และ 7 เรียกธาตุในกลุ่มย่อยนÊีรวม ๆ ว่า  กลุ่มธาตุแลนทาไนด์ (เลขอะตอม 58 - 71 )  กลุ่มธาตุแอกทิไนด์ (เลขอะตอม 90 - 103 )  นอกจากนÊีเมÉือพิจารณาธาตุหมู่ IIIA ไปทางขวามือ จะพบเส้นหนักหรือเส้นทึบเป็นแบบขัÊนบันได เส้นหนักนÊีจะเป็นเส้น แบ่งกลุ่มธาตุโลหะและอโลหะ กล่าวคือ  ธาตุทางขวาของเส้นขัÊนบันไดจะเป็น อโลหะ  ธาตุทางซ้ายของเส้นขัÊนบันไดจะเป็น โลหะ  ธาตุทÉีอยชูิ่ดกับเส้นขัÊนบันได เป็นธาตุกÉึงโลหะ ซึÉงมีทัÊงสมบัติของโลหะและอโลหะ เช่น ธาตุ B , Si ,Ge ,As , Sb , Te  การตัÊงชÉือธาตุทÉีค้นพบใหม่  จากตารางธาตุในรูป จะพบว่ามีธาตุอยู่ 109 ธาตุ ซึÉงยังมีการค้นพบธาตุใหม่ ๆ เพิÉมขึÊนอีกหลายธาตุ แต่ยังไม่ได้ กำหนดสัญลักษณ์ทÉีแน่นอนไว้ในตารางธาตุ  ธาตุบางธาตุถูกค้นพบโดยนักวิทยาศาสตร์หลายคณะ ทำให้มีชÉือเรียกและสัญลักษณ์ต่างกัน
  • 33.
     ตัวอย่างการตัÊงชÉือธาตุทÉีค้นพบใหม่ ยังไม่มีการตัÊงหลักเกณฑ์ โดย อรณี หัสเสม : เรียบเรียง 33 ธาตุทีÉ 104 ค้นพบโดยคณะนักวิทยาศาสตร์ 2 คณะ คือ คณะของนักวิทยาศาสตร์สหรัฐอเมริกา ซึÉงเรียกชÉือว่า รัทเทอร์ฟอร์เดียม (Ratherfordium) และใช้สัญลักษณ์ Rf ในขณะทีÉคณะนักวิทยาศาสตร์สหภาพโซเวียตเรียกชืÉอว่าเคอร์ซาโตเวียม (Kurchatovium) ใช้สัญลักษณ์ Ku ธาตุทีÉ 105 ค้นพบโดยคณะนักวิทยาศาสตร์ 2 คณะเช่นเดียวกัน คือ คณะนักวิทยาศาสตร์สหรัฐอเมริกาเรียกชืÉอว่า ฮาห์เนียม (Hahnium) และใช้สัญลักษณ์ Ha ในขณะทีÉนักวิทยาศาสตร์สหภาพโซเวียตใช้ชืÉอว่า นิลส์บอห์เรียม (Neilbohrium) และใช้สัญลักษณ์เป็น Ns การทÉีคณะนักวิทยาศาสตร์ต่างคณะตัÊงชÉือแตกต่างกัน ทำให้เกิดความสับสน มีการตัÊงหลักเกณฑ์ International Union of Pure and Applied Chemistry (IUPAC) ได้กำหนดระบบการตัÊงชÉือขึÊนใหม่ โดย  ใช้กับชÉือธาตุทÉีมีเลขอะตอมเกิน 100 ขึÊนไป  ทัÊงนีÊให้ตัÊงชÉือธาตุโดยระบุเลขอะตอมเป็นภาษาละติน แล้วลงท้ายด้วย ium  ระบบการนับเลขในภาษาละติน เป็นดังนีÊ 0 nil (นิล) 5 pent (เพนท์) 1 un (อุน) 6 hex (เฮกซ์) 2 bi (ไบ) 7 sept (เซปท์) 3 tri (ไตร) 8 oct (ออกตฺ) 4 quad (ควอด) 9 enn (เอนน์)  ตัวอย่างเช่น ธาตุทีÉ 104 ตามระบบ IUPAC อ่านว่า อุนนิลควอเดียม (Unnilquadium) สัญลักษณ์ Unq ธาตุทีÉ 105 ตามระบบ IUPAC อ่านว่า อุนนิลเพนเทียม (Unnilpentium) สัญลักษณ์ Unp ธาตุทีÉ 114 ตามระบบ IUPAC อ่านว่า อุนอุนควอเดียม (Ununhexium) สัญลักษณ์ Uuq ธาตุทีÉ 115 ตามระบบ IUPAC อ่านว่า อุนอุนเพนเทียม (Unnilpentium) สัญลักษณ์ Uup  การจัดตารางธาตุเป็นหมู่เป็นคาบ ทำให้ศึกษาสมบัติต่าง ๆ ของธาตุได้ง่ายขึÊน  สามารถทำนายสมบัติบางประการของธาตุบางธาตุได้ กล่าวคือ  ธาตุทีÉอยู่ในหมู่เดียวกันจะมีสมบัติต่าง ๆ คล้าย ๆ กัน  และธาตุทีÉอยู่ในคาบเดียวกัน จะมีแนวโน้มของการเปลีÉยนแปลงสมบัติต่าง ๆ ต่อเนืÉองกันไป  ซึÉงจะกล่าวถึงรายละเอียดต่อไป
  • 34.
    โดย อรณี หัสเสม: เรียบเรียง 34 2.2 สมบัติของธาตุตามหมู่และตามคาบ  จากการศึกษาการจัดเรียงธาตุในตารางธาตุ ช่วยให้ทราบว่าตารางธาตุในปัจจุบันจัดธาตุเป็นหมู่และเป็นคาบ โดยอาศัย สมบัติ บางประการทีÉคล้ายกัน  สมบัติของธาตุตามหมู่และตามคาบซึÉงได้แก่ ขนาดอะตอม รัศมีไอออน พลังงาน ไอออไนเซชัน อิเล็กโทรเนกาติวิตี สัมพรรคภาพอิเล็กตรอน จุดหลอมเหลวและจุดเดือด และเลขออกซิเดชัน สมบัติดังกล่าวนีÊจะมีแนวโน้มเป็นอย่างไรศึกษาได้ดังนีÊ 1) ขนาดอะตอม  ตามแบบจำลองอะตอมแบบกลุ่มหมอก อิเล็กตรอนทีÉอยู่รอบนิวเคลียสจะเคลืÉอนทีÉตลอดเวลาด้วยความเร็วสูงและไม่ สามารถบอกตำแหน่งทÉีแน่นอนรวมทัÊงไม่สามารถกำหนดขอบเขตทÉีแน่นอนของ อิเล็กตรอนได้  นอกจากนีÊอะตอมโดยทัวÉไปไม่อยเู่ป็นอะตอมเดÉียวแต่จะมีแรงยึดเหนÉียวระหว่าง อะตอมไว้ด้วยกัน จึงเป็นเรÉืองยากทÉี จะวัดขนาดของอะตอมทีÉอยู่ในภาวะอิสระหรือเป็นอะตอม เดีÉยว  ในทางปฏิบัติจึงบอกขนาดอะตอมด้วยรัศมีอะตอม ซึÉงมีค่าเท่ากับครึÉงหนึÉงของระยะหว่างนิวเคลียสของอะตอมทัÊง สองทีÉมีแรง ยึดเหนีÉยวระหว่างอะตอมไว้ด้วยกันหรือทีÉอยู่ชิดกัน  รัศมีอะตอมมีหลายแบบซึÉง ขึÊนอยกูั่บชนิดของแรงทÉียึดเหนÉียวระหว่างอะตอม ดังตัวอย่าง  รัศมีโคเวเลนต์ คือระยะทางครึÉงหนึÉงของความยาวพันธะโคเวเลนต์* ระหว่างอะตอมชนิดเดียวกัน ตัวอย่างรัศมีโคเวเลนต์ ของไฮโดรเจนและคลอรีนแสดงได้ดังนีÊ ความยาวพันธะ H - H = 74 pm รัศมีโคเวเลนต์ของ H = = 37 pm ความยาวพันธะ Cl - Cl = 198 pm รัศมีโคเวเลนต์ของ Cl = = 99 pm รูปแสดงรัศมีอะตอมของไฮโดรเจนและคลอรีน  ในกรณีทÉีเป็นพันธะโคเวเลนต์ระหว่างอะตอมต่างชนิดกันเช่น CCl4 อาจหารัศมีอะตอมของธาตุทัÊงสอง  ในทีÉนีÊคือคาร์บอนกับคลอรีนและทราบรัศมีอะตอมของธาตุคลอรีนดังตัวอย่าง จากข้อมูลทราบว่า ความยาวพันธะ C-CI = 176 pm รัศมีอะตอมของ CI = 99 pm ดังนัÊน รัศมีอะตอมของ C = (176-99) = 77 pm C Cl 176 pm รัศมี Cl = 99 pm รัศมี C
  • 35.
     รัศมีแวนเดอร์วาลส์ คือระยะทางครึÉงหนึÉงของระยะระหว่างนิวเคลียสของอะตอมทÉีอยใู่กล้ทÉีสุด ตัวอย่างรัศมีแวนเดอร์วาลส์ซึÉงหาจากอะตอมของแก๊สเฉÉือย เช่น รัศมีอะตอมของธาตุคริปทอน หรือหาจากโมเลกุลโคเวเลนต์ 2 โมเลกุลทีÉสัมผัสกัน เช่น โมเลกุลของแก๊ส ไฮโดรเจน 2 โมเลกุล ดังตัวอย่าง รูปแสดงรัศมีแวนเดอร์วาลส์ของคริปทอนและไฮโดรเจน คำถามชวนคิด รัศมีโคเวเลนต์กับรัศมีแวนเดอร์วาลส์แตกต่างกันอย่างไร ขนาดอะตอมของ H ทีÉเป็นรัศมีโคเวเลนต์กับรัศมีแวนเดอร์วาลส์มีค่าแตกต่างกันหรือไม่ อย่างไร  รัศมีโลหะ ระยะทางครึÉงหนึÉงของระยะระหว่างนิวเคลียสของอะตอมโลหะทÉีอยใู่กล้กัน มากทÉีสุด เช่น ธาตุแมกนีเซียม มีระยะระหว่างนิวเคลียสของอะตอมสองอะตอมอยู่ใกล้กันทีÉสุดเท่ากับ 320 พิโกเมตร รัศมีอะตอมของโลหะแมกนีเซียมจึงมีค่าเท่ากับ ซึÉงเท่ากับ 160 พิโกเมตร  การศึกษารัศมีอะตอมของธาตุ ทำให้ทราบขนาดอะตอมของธาตุ  และสามารถเปรียบเทียบขนาดอะตอมของธาตุทีÉอยู่ใน คาบเดียวกันหรือหมู่เดียวกันได้  ตัวอย่างรัศมีอะตอมของธาตุในตารางธาตุ แสดงดังรูปต่อไปนีÊ โดย อรณี หัสเสม : เรียบเรียง 35
  • 36.
    รูปแสดง รัศมีอะตอม (พิโกเมตร)ของธาตุในตารางธาตุ โดย อรณี หัสเสม : เรียบเรียง 36  จากรูปแสดงรัศมีอะตอมของธาตุในตารางธาตุ สามารถสรุปแนวโน้มขนาดอะตอม ดังนีÊ 1) ธาตุโลหะแสดงด้วยค่ารัศมีโลหะ ธาตุอโลหะแสดงด้วยค่ารัศมีโคเวแลนต์ ส่วนธาตุหมู่ VIIA เป็นรัศมีแวนเดอร์วาลส์ 2) แนวโน้มตามคาบ  เมÉือพิจารณาขนาดอะตอมของธาตุทÉีอยู่ในคาบเดียวกัน พบว่า เมÉือเลขอะตอมเพÉิมขÊึน ขนาดอะตอมมีแนวโน้ม เล็กลง (เล็กลงจากซ้ายไปขวา )อธิบายได้ว่า เลขอะตอมเพิÉมขึÊน จำนวนโปรตอนในนิวเคลียส และ เวเลนซ์ e- เพิÉม 3) แนวโน้มตามหมู่ เวเลนซ์ e- จะดึงดูดกับโปรตอนด้วยแรงดึงดูดสูง เวเลนซ์ e- จะเข้าใกล้นิวเคลียสมาก อะตอมจึงมีขนาดเล็ก  เมÉือพิจารณาขนาดอะตอมของธาตุทÉีอยู่ในหมู่เดียวกัน พบว่า เมÉือเลขอะตอมเพÉิมขÊึน ขนาดอะตอมมีแนวโน้ม ใหญ่ขึÊน (ใหญ่ขึÊนจากบนลงล่าง) อธิบายได้ว่า เลขอะตอมเพิÉมขึÊน จำนวนโปรตอนในนิวเคลียส และ เวเลนซ์ e- เพิÉม จำนวนระดับพลังงานเพิÉม e- ในระดับพลังงานชัÊนใน เป็นคล้ายฉากกัÊนแรงดึงดูดระหว่าง โปรตอนกับอิเล็กตรอนในนิวเคลียสทำให้แรงดึงดูดน้อย เวเลนซ์ e- จะอยู่ห่างจากนิวเคลียส อะตอมจึงมีขนาดใหญ่ ขนาดอะตอม ขนาดอะตอม ใหญ่สุด เล็กสุด
  • 37.
    โดย อรณี หัสเสม: เรียบเรียง 37 1.2) รัศมีไอออน  อะตอมซึÉงมีจำนวนโปรตอนเท่ากับอิเล็กตรอน เมÉือรับอิเล็กตรอนเพิÉมเข้ามาหรือเสียอิเล็กตรอนออกไป อะตอมจะ กลายเป็นไอออน นักเรียนคิดว่าขนาดของไอออนกับขนาดอะตอมของธาตุเดียวกันจะแตกต่างกันหรือไม่  การบอกขนาดของไอออนทำได้เช่นเดียวกับการบอกขนาดอะตอม กล่าวคือจะบอกเป็นค่ารัศมีไอออน  ซึÉงพิจารณาจากระยะระหว่างนิวเคลียสของไอออนคู่หนึÉงๆ ทÉีมีแรงยึดเหนÉียวซึÉงกันและกันในโครงผลึก  ตัวอย่างรัศมีไอออนของ Mg2+ และ O2- ในสารประกอบ MgO แสดงดังรูปต่อไปนีÊ รูปแสดง การเปรียบเทียบขนาดอะตอมกับไอออน  เมืÉอโลหะทำปฏิกิริยากับอโลหะ ขนาดของ Mg กับ Mg2+ และ O กับ O2- แตกต่างกันอย่างไร เพราะเหตุใด โลหะ (เสีย e- ง่าย)  โลหะจะเสียเวเลนซ์อิเล็กตรอนกลายเป็นไอออนบวก  จำนวนอิเล็กตรอนในอะตอมจึงลดลง ทำให้แรงผลักระหว่างอิเล็กตรอนลดลงด้วย (แรงดึงดูดมาก)  หรือกล่าวอีกนัยหนึÉงได้ว่าแรงดึงดูดระหว่างประจุในนิวเคลียสกับอิเล็กตรอนจะเพิÉมมากขึÊน  ไอออนบวกจึงมีขนาดเล็กกว่าอะตอมเดิม อโลหะ (รับ e-)  อโลหะจะรับอิเล็กตรอนเพิÉมเข้ามาและเกิดเป็นไอออนลบ  จำนวนอิเล็กตรอนในอะตอมจึงมากขึÊน ทำให้แรงผลักระหว่างอิเล็กตรอนมากขึÊนด้วย (แรงดูดน้อย)  ขอบเขตของกลุ่มหมอกอิเล็กตรอนจะขยายออกไปจากเดิม  ไอออนลบจึงมีมีขนาดใหญ่กว่าอะตอมเดิม
  • 38.
    รูปแสดง รัศมีอะตอมและรัศมีไอออน (พิโกเมตร)ของธาตุบางชนิด  จากรูป สามารถสรุปแนวโน้มรัศมีไอออนได้ ดังนีÊ โดย อรณี หัสเสม : เรียบเรียง 38 หมู่ IA IIA IIIA และ VIIA มีแนวโน้มเช่นเดียวกัน คือ อะตอมและไอออนมีขนาดเพิÉมขึÊนจากบนลงล่าง รัศมีไอออนบวกจะมีค่าน้อยกว่ารัศมีอะตอม แต่รัศมีไอออนลบจะมีค่ามากกว่ารัศมีอะตอม การเปรียบเทียบขนาดไอออนทีÉมีความหมาย จะเปรียบเทียบระหว่างไอออนทีÉมีการจัดอิเล็กตรอนเหมือนกัน หรือมีจำนวน อิเล็กตรอนเท่ากัน เช่น Na+ กับ F- ซึÉงมี 10 อิเล็กตรอนเท่ากันและจัดอิเล็กตรอนเหมือนกัน พบว่า  Na+ มีขนาดไอออนเล็กกว่า F- เพราะ Na+ มีประจุบวกในนิวเคลียสมากกว่า F- จะเกิดแรงดึงดูดเวเลนซ์ e- ให้เข้าใกล้นิวเคลียสมาก ไอออนจึงมีขนาดเล็ก เพราะ F- มีประจุลบในนิวเคลียสมากกว่า Na+ จะเกิดแรงผลักระหว่างเอิเล็กตรอนในนิวเคลียสกับ เวเลนซ์ e- ทำให้ไอออนมีขนาดใหญ่ขึÊน ไอออนบวกทีÉจัดอิเล็กตรอนเหมือนกัน ไอออนบวกทีÉมีประจุมากจะมีขนาดเล็กกว่าไอออนบวกทีÉมีประจุน้อย ขณะทีÉไอออนลบทีÉจัดอิเล็กตรอนเหมือนกัน ไอออนลบทีÉมีประจุมากจะมีขนาดใหญ่กว่าไอออนบวกทีÉมีประจุ น้อย นัÉนคือ ขนาดไอออนบวก (ใหญ่ไปเล็ก) 1+ > 2+ > 3+ (+ มากเล็กสุด ) ขณะทีÉ ขนาดไอออนลบ (ใหญ่ไปเล็ก) 3- > 2- > 1- (- มาก ใหญ่สุด)
  • 39.
    โดย อรณี หัสเสม: เรียบเรียง 39 1.3) พลังงานไอออไนเซชัน (Ionization energy ; IE)  เมืÉอให้พลังงานแก่อะตอมของธาตุในสถานะของเหลวหรือของแข็งในปริมาณทÉีมากพอ จะทำให้อะตอมเปลÉียนสถานะ เป็นแก๊สได้  และถ้าให้พลังงานต่อไปอีกจนสูงเพียงพอ ก็จะทำให้อิเล็กตรอนหลุดออกจากอะตอมกลายเป็นไอออน  พลังงานปริมาณน้อยทÉีสุดทÉีทำให้อิเล็กตรอนหลุดจากอะตอมในสถานะแก๊สเรียกว่า พลังงานไอออไนเซชัน (IE) ตัวอย่างเช่น การทำให้ไฮโดรเจนอะตอมในสถานะแก๊สกลายเป็นไฮโดรเจนไอออนในสถานะแก๊สเขียน ดังนีÊ H (g) H+ (g) + e- การทำให้อิเล็กตรอนหลุดออกจากอะตอมของไฮโดรเจนจะต้องใช้พลังงานอย่างน้อยทีÉสุด Ś.Řš x 10-18 จูลต่ออะตอม หรือ 1318 กิโลจูลต่อโมล* นัÉนคือพลังงานไอออไนเซชันของไฮโดรเจนอะตอมเท่ากับ 1318 กิโลจูลต่อโมล ธาตุไฮโดรเจนมี 1 อิเล็กตรอน จึงมีค่าพลังงานไอออไนเซชันเพียงค่าเดียว ถ้าเป็นธาตุทีÉมีหลายอิเล็กตรอนก็จะมีพลังงานไอออไนเซชันหลายค่า  พลังงานน้อยทÉีสุดทÉีทำให้อิเล็กตรอนตัวแรกหลุดออกจากอะตอมทÉีอยใู่นสถานะแกส๊ เรียกว่า พลังงานไอออไนเซชัน ลำดับทÉีหนึÉง เขียนย่อเป็น IE1  พลังงานทÉีทำให้อิเล็กตรอนในลำดับต่อๆ มาหลุดออกจากอะตอมก็จะเรียกว่าพลังงานไอออไนเซชันลำดับทÉี 2 3 4 … เขียนย่อเป็น IE2 IE3 IE4…. ตัวอย่างเช่น ธาตุโบรอน (B) มี 5 อิเล็กตรอน จึงมีพลังงานไอออไนเซชัน 5 ค่า เขียนแสดงได้ดังนีÊ B (g) B+ (g) + e- ; IE1 = 807 kJ/mol B+ (g) B2+ (g) + e- ; IE2 = 2433 kJ/mol B2+ (g) B3+ (g) + e- ; IE3 = 3666 kJ/mol B3+ (g) B4+ (g) + e- ; IE4 = 25033 kJ/mol B4+ (g) B5+ (g) + e- ; IE3 = 32834 kJ/mol  สำหรับพลังงานไอออไนเซชันของธาตุ 20 ธาตุแรกเรียงตามเลขอะตอมแสดงไว้ในตารางต่อไปนีÊ
  • 40.
    โดย อรณี หัสเสม: เรียบเรียง 40  จากรูปข้างต้น 1) G.H.Aylward. T.J.V. Findlay, S.I Chemical : Data (5th edition. 1994) p. 126 John Wiley & Sons Australia, Ltd. 2) ตัวเลขทางด้านขวาของขัÊนบันได เป็นค่า IE ของการทำให้อิเล็กตรอนวงในหลุดออกจากอะตอม  การเปรียบเทียบพลังงานไอออไนเซชันของธาตุจะใช้เฉพาะค่า ซึÉงเมืÉอนำค่าพลังงานไอออไนเซชันลำดับทีÉ 1 ของธาตุบาง ธาตุในตารางธาตุมาแสดงจะได้ดังนีÊ  จากรูป สามารถสรุปแนวโน้มค่า ของธาตุตามหมู่และตามคาบได้ ดังนÊี 1) แนวโน้มตามคาบ เมืÉอพิจารณาพลังงานไอออไนเซชันลำดับทีÉ 1 ของธาตุตามคาบ พบว่า เมืÉอเลขอะตอมเพิÉมขึÊน พลังงานไอออไนเซชันจะมีแนวโน้มเพิÉมขึÊน (IE เพิÉมขึÊนจากซ้ายไปขวา) อธิบายได้ว่า เลขอะตอมเพิÉมขึÊน จำนวนโปรตอนในนิวเคลียสและเวเลนซ์อิเล็กตรอนเพิÉมขึÊน แรงดึงดูดระหว่างนิวเคลียสกับเวเลนซ์อิเล็กตรอนเพิÉมมากขึÊน (อะตอมขนาดเล็กลง) อิเล็กตรอนหลุดออกจากอะตอมยาก ต้องใช้พลังงานในการดึงอิเล็กตรอนให้หลุดมาก (IE สูง) 2) แนวโน้มตามหมู่ เมÉือพิจารณาพลังงานไอออไนเซชันลำดับทÉี 1 ของธาตุตามหมู่ พบว่า เมÉือเลขอะตอมเพÉิมขÊึน พลังงาน ไอออไนเซชันมีแนวโน้มลดลง (IE ลดลงจากบนลงล่าง) อธิบายได้ว่า เลขอะตอมเพิÉมขึÊน จำนวนโปรตอนในนิวเคลียสและเวเลนซ์อิเล็กตรอนเพิÉมขึÊน จำนวนระดับพลังงานเพิÉมขึÊน e- ในระดับพลังงานชัÊนใน เป็นคล้ายฉากกัÊนแรงดึงดูดระหว่าง โปรตอนกับอิเล็กตรอนในนิวเคลียสทำให้แรงดึงดูดน้อย (อะตอมขนาดใหญ่ขึÊน) อิเล็กตรอนหลุดออกจากอะตอมง่าย ใช้พลังงานในการดึงอิเล็กตรอนให้หลุดออกน้อย (IE ตํÉา)
  • 41.
    โดย อรณี หัสเสม: เรียบเรียง 41 1.4) อิล็กโทรเนกาทิวิตื (Electronegativity ; EN)  เมืÉออะตอมของธาตุต่างชนิดรวมตัวเป็นโมเลกุลโดยใช้อิเล็กตรอนคู่ร่วมกัน นิวเคลียสของอะตอมทัÊงสองจะดึงดูด อิเล็กตรอนคู่ทีÉใช้ร่วมกันด้วยแรงทีÉต่างกัน  ทำให้อะตอมทÉีสามารถดึงดูดอิเล็กตรอนได้ดีกว่าเกิดสภาพอำนาจไฟฟ้าค่อนข้างเป็นลบ ส่วนอะตอมทÉีดึงดูดอิเล็กตรอน ได้น้อยกว่าจะเกิดสภาพอำนาจไฟฟ้าค่อนข้างเป็นบวก  ความสามารถของอะตอมในการดึงดูดอิเล็กตรอนในโมเลกุลของสารเรียกว่า อิเล็กโทรเนกาติวิตี เขียนย่อ EN เช่น โมเลกุล HCI  เนÉืองจาก CI ดึงดูดอิเล็กตรอนได้ดีกว่า H ดังนัÊน CI จึงมีค่าอิเล็กโทรเนกาติวิตีสูงกว่า H ในโมเลกุล โมเลกุล OF2  เนÉืองจาก F ดึงดูดอิเล็กตรอนได้ดีกว่า O ดังนัÊน F จึงมีค่าอิเล็กโทรเนกาวิตีสูงกว่า O ในโมเลกุล  แนวโน้มค่าอิเล็กโทรเนกาติวิตีของธาตุในตารางธาตุเป็นดังนีÊ รูปแสดง ค่าอิเล็กโทรเนกาติวิตีของธาตุในตารางธาตุ  จากรูป สามารถสรุปแนวโน้มค่าอิเล็กโทรเนกาทิวิตีตามคาบและหมู่ ดังน Êี 1) แนวโน้มตามคาบ เมืÉอพิจารณาค่าอิเล็กโทรเนกาทิวิตีของธาตุตามคาบ พบว่า เมืÉอเลขอะตอมเพิÉมขึÊน ค่าอิเล็กโทรเน กาทิวิตี มีแนวโน้มเพิÉมขึÊน (EN เพิÉมขึÊนจากซ้ายไปขวา) อธิบายได้ว่า เลขอะตอมเพิÉมขึÊน โปรตอนในนิวเคลียสและเวเลนซ์ e-เพิÉมขึÊน แรงดึงดูดในนิวเคลียสจึงเพิÉมขึÊน (อะตอมเล็กลง) แรงดึงดูดสูงจึงทำให้อิเล็กตรอนหลุดออกจากอะตอมยาก จึงต้องใช้ความสามารถในการดึงดูดอิเล็กตรอนมาก (EN สูง)
  • 42.
    โดย อรณี หัสเสม: เรียบเรียง 42 2) แนวโน้มตามหมู่ เมÉือพิจารณาค่าอิเล็กโทรเนกาทิวิตีของธาตุตามหมู่ พบว่า เมÉือเลขอะตอมเพÉิมขÊึน ค่าอิเล็กโทร เนกาทิวิตี มีแนวโน้มลดลง (EN ลดลงจากบนลงล่าง) อธิบายได้ว่า เลขอะตอมเพิÉมขึÊน จำนวนโปรตอนในนิวเคลียสและเวเลนซ์อิเล็กตรอนเพิÉมขึÊน 1.5 สัมพรรคภาพอิเล็กตรอน จำนวนระดับพลังงานเพิÉมขึÊน e- ในระดับพลังงานชัÊนใน เป็นคล้ายฉากกัÊนแรงดึงดูดระหว่าง โปรตอนกับอิเล็กตรอนในนิวเคลียสทำให้แรงดึงดูดน้อย (อะตอมขนาดใหญ่ขึÊน) อิเล็กตรอนหลุดออกจากอะตอมง่าย ใช้ความสามารถในการดึงดูดอิเล็กตรอนน้อย (EN ตํÉา)  สมบัติของอะตอมอีกประการหนึÉง คือ อะตอมของธาตุส่วนใหญ่สามารถรับอิเล็กตรอนเพิÉมได้อย่างน้อย 1 อิเล็กตรอน  ความสามารถในการับอิเล็กตรอนแสดงได้ด้วย ค่าสัมพรรคภาพอิเล็กตรอน เขียนย่อเป็น EA  ซึÉงเป็นพลังงานทÉีเปลÉียนแปลงเมÉืออะตอมในสถานะแก๊สได้รับอิเล็กตรอน 1 อิเล็กตรอน  เขียนสมการแสดงการเปลÉียนแปลงได้ดังนีÊ A (g) + e- A- (g) + พลังงาน  เนืÉองจากมีการคายพลังงานออกมา EA จึงมีค่าเป็นลบ  และถ้า EA มีค่าเป็นลบมากแสดงว่า อะตอมของธาตุนัÊนมีแนวโน้มทÉีจะรับอิเล็กตรอนเข้ามา ได้ดี  ความสามารถในการรับอิเล็กตรอนของแต่ละธาตุมีความแตกต่างกัน ดังตัวอย่างต่อไปนีÊ F (g) + e- F- (g) มีค่า EA = -333 kJ/mol O (g) + e- O- (g) มีค่า EA = -142 kJ/mol P (g) + e- P- (g) มีค่า EA = -74 kJ/mol จากตัวอย่างแสดงว่า อะตอม F มีแนวโน้มทีÉจะรับอิเล็กตรอนสูงกว่า O และ P ตามลำดับ เมÉืออะตอมของธาตุรับ 1 อิเล็กตรอนแล้ว การับอิเล็กตรอนเพิÉมขึÊนอีก 1 อิเล็กตรอนจึงรับได้ยากขึÊน ดังนัÊน EA จึงมีค่าสูงขึÊน จนเป็นค่าบวกได้ เช่น O- (g) + e- O2- (g) มีค่า EA = +780 kJ/mol เนืÉองจากธาตุโลหะ มีแนวโน้มสูงมากทีÉจะเสียอิเล็กตรอน ขณะทีÉธาตุอโลหะมีแนวโน้มจะรับอิเล็กตรอน ดังนัÊนค่า EA ของธาตุโลหะ จึงมีค่าเป็นลบน้อยๆ ถึงค่าบวกน้อยๆ ตัวอย่างค่า EA ของธาตุบางธาตุแสดงดังรูปต่อไปนีÊ
  • 43.
    โดย อรณี หัสเสม: เรียบเรียง 43 รูปแสดงค่าสัมพรรคภาพอิเล็กตรอนของธาตุในตารางธาตุ จากรูป สามารถสรุปแนวโน้มค่าสัมพรรคภาพอิเล็กตรอนได้ดังนีÊ  ค่าสัมพรรคภาพอิเล็กตรอน (EA) ของธาตุในหมู่ IA IIA และ IIIA มีค่าเป็นลบน้อยกว่าธาตุ ทีÉอยู่ทางขวามือ  ซึÉงแปลความหมายได้ว่า ธาตุในหมู่ดังกล่าวมีแนวโน้มทÉีจะรับอิเล็กตรอนน้อย มาก โดยเฉพาะธาตุในหมู่ IIA ซึÉงมีค่านีÊสูงทÉีสุด แสดงว่ารับอิเล็กตรอนยากทÉีสุด  ส่วนธาตุหมู่ IVA VA VIA และ VIIA มีแนวโน้มสูงทÉีจะรับอิเล็กตรอน โดยเฉพาะหมู่ VIIA ซึÉงชอบรับ อิเล็กตรอนสูงทีÉสุด  การรับ 1 อิเล็กตรอนของธาตุในหมู่ VIIA นีÊ จะทำให้อะตอมมีการจัดเรียงอิเล็กตรอนเหมือนแก๊ส เฉÉือยทÉี อยหู่มู่ถัดไปซึÉงมีความเสถียรมาก EA จึงมีค่าเป็นลบมาก 1.6 จุดหลอมเหลวและจุดเดือด  อนุภาคของสารทีÉอยู่รวมกันจะมีแรงยึดเหนีÉยวระหว่างกัน  การแยกอนุภาคของสารออกจากกันอาจใช้วิธีให้ความร้อนแก่สารจนมีอุณหภูมิสูงถึง จุดหลอมเหลวหรือจุดเดือด  พลังงานความร้อนทÉีใช้จะมากหรือน้อยขึÊนอยกูั่บขนาด (หรือความแข็งแรง) ของแรงยึดเหนÉียวระหว่างอนุภาคในสารนัÊน  สารทีÉมีแรงยึดเหนีÉยวระหว่างอนุภาคมากจะมีจุดหลอมเหลวและจุดเดือดสูงด้วย
  • 44.
     ตัวอย่างจุดหลอมเหลวและจุดเดือดของธาตุหมู่ IA-VIIAแสดงดังต่อไปนÊี รูปแสดง จุดหลอมเหลวและจุดเดือดของธาตุในตารางธาตุ  จากรูป สามารถสรุปแนวโน้มจุดเดือดและจุดหลอมเหลวได้ ดังนีÊ 1) แนวโน้มตามคาบของจุดเดือดและจุดหลอมเหลว โดย อรณี หัสเสม : เรียบเรียง 44 ธาตุในหมู่ IA IIA IIIA และ IVA มีแนวโน้มสูงขึÊนตามลำดับ โดยเฉพาะหมู่ IVA จะมีจุดหลอมเหลวและ จุดเดือดสูงทีÉสุด สามารถอธิบายได้ว่า  อธิบายได้ว่า เมÉือเลขอะตอมเพิÉมขึÊนอะตอมจะมีจำนวนเวเลนซ์อิเล็กตรอนมากขึÊน รวมทัÊงมีแรงยึดเหนÉียว ระหว่างนิวเคลียสกับเวเลนซ์อิเล็กตรอนทÉีเคลÉือนท Éีอิสระแข็งแรงขึÊน จุดเดือดจุดหลอมเหลวจึงสูง  ส่วนธาตุหมู่ IVA บางธาตุมีโครงสร้างเป็นโครงผลึกร่างตาข่ายจึงทำให้จุดหลอมเหลวและจุดเดือดมีค่า สูงขึÊน ส่วนหมู่ VA VIA VIIA และ VIIIA มีจุดหลอมเหลวและจุดเดือดตํÉา และมีค่าใกล้เคียงกัน  อธิบายได้ว่า แรงยึดเหนÉียวระหว่างโมเลกุลของธาตุกลุ่มนีÊมีค่าตํÉามาก จุดหลอมเหลวและจุดเดือดจึงตํÉา 2) แนวโน้มตามหมู่ของจุดเดือดและจุดหลอมเหลว ธาตุหมู่ IA IIA และ IIIA ส่วนใหญ่มีค่าลดลงเมÉือเลขอะตอมเพิÉมขึÊน ธาตุหมู่ VA VIA VIIA และ VIIIA มีจุดหลอมเหลวและจุดเดือดเพิÉมขึนÊตามเลขอะตอม สำหรับจุดหลอมเหลวและจุดเดือดของธาตุหมู่ IVA มีแนวโน้มทÉีไม่ชัดเจน เนÉืองจากธาตุในหมู่นีÊมีโครงสร้างและ แรงยึดเหนีÉยวระหว่างอะตอมแตกต่างกัน จึงไม่สามารถสรุปเป็นแนวโน้มได้
  • 45.
    โดย อรณี หัสเสม: เรียบเรียง 45 1.7 เลขออกซิเดชัน  นักเรียนได้ศึกษามาแล้วว่า สารประกอบเกิดจากการรวมตัวของธาตุตัÊงแต่ 2 ธาตุขึÊนไป  สำหรับธาตุทีÉมีพลังงานไอออไนเซชันแตกต่างกันมาก อะตอมของธาตุจะมีการให้และ รับอิเล็กตรอนกลายเป็นไอออน บวกกับลบยึดเหนีÉยวกันไว้ ใน  กรณีทÉีธาตุทัÊงคู่มีค่าพลังงานไอออไนเซชันสูงมาก และธาตุหนึÉงมีค่าอิเล็กโทรเนกาติวิตีสูงกว่าอีกธาตุหนึÉง อะตอมของ ธาตุทัÊงสองจะใช้อิเล็กตรอนร่วมกันและเกิดอำนาจไฟฟ้าบวกกับลบได้  นักเคมีได้กำหนดเลขออกซิเดชันขึÊนเพÉือแสดงถึงค่าประจุไฟฟ้าหรือประจุไฟฟ้าสมมติของไอออนหรืออะตอมของธาตุขึÊน ดังนัÊน ค่าออกซิเดชัน คือ ค่าประจุไฟฟ้าหรือประจุไฟฟ้าสมมติของไอออนหรืออะตอมของธาตุ ตัวอย่างเช่น โซเดียมคลอไรด์ (NaCl) ประกอบด้วยโซเดียมไอออน (Na+) ทีÉมีประจุไฟฟ้า +1 และคลอไรด์ไอออน (Cl-) ทีÉมีประจุ ไฟฟ้า -1 จึงกำหนดให้โซเดียมมีเลขออกซิเดชัน +1 และคลอรีนมีเลขออกซิเดชัน -1 แก๊สไฮโดรเจนคลอไรด์ (HCI) ประกอบด้วยไฮโดรเจน 1 อะตอมกับคลอรีน 1 อะตอมใช้อิเล็กตรอนร่วมกัน 1 คู่ แต่เนืÉองจากคลอรีนมีอิเล็กโทรเนกาติวิตีสูงกว่าไฮโดรเจน อิเล็กตรอนคู่ทีÉใช้ร่วมกันจึงถูกดึงดูดเข้าใกล้นิวเคลียสของ คลอรีนทำให้ คลอรีนแสดงอำนาจไฟฟ้าลบ ส่วนไฮโดรเจนแสดงอำนาจไฟฟ้าบวก จึงกำหนดเลขออกซิเดชันของคลอรีน ให้มีค่าเท่ากับ -1 และไฮโดรเจนเท่ากับ +1  การกำหนดว่าธาตุต่างๆ จะมีเลขออกซิเดชันเป็นเท่าใด ให้เป็นไปตามเกณฑ์การกำหนดเลขออกซิเดชันของธาตุดังนีÊ 1) ธาตุอิสระทุกชนิดทÉีอยู่ในรูปอะตอมหรือโมเลกุล มีเลขออกซิเดชันเท่ากับศูนย์ เช่น Ca Na Zn He O2 P4 และ S8 เป็นต้น 2) ออกซิเจนในสารประกอบทÉัวไปมีเลขออกซิเดชัน -2 ยกเว้น สารประกอบเปอร์ออกไซด์ เช่น H2O2 , BaO2 ออกซิเจนมีเลขออกซิเดชัน -1 สารประกอบซูเปอร์ออกไซด์ เช่น KO2 ออกซิเจนมีเลขออกซิเดชัน -1/2 สารประกอบ OF2 ออกซิเจนมีเลขออกซิเดชัน +2 3) ไฮโดรเจนในสารประกอบทÉัวไปมีเลขออกซิเดชัน +1 ยกเว้น สารประกอบไฮโดรด์ของโลหะ เช่น NaH หรือ CaH2 ไฮโดรเจนมีเลขออกซิเดชัน -1 4) ไอออนของธาตุมีเลขออกซิเดชันเท่ากับประจุของไอออนนัÊน ตัวอย่างเช่น H+ มีเลขออกซิเดชัน +1 Mg2+ มีเลขออกซิเดชัน +2 Cl- มีเลขออกซิเดชัน -1 5) ไอออนทีÉประกอบด้วยอะตอมมากกว่าหนึÉงชนิด ผลรวมของเลขออกซิเดชันของทุกอะตอมจะเท่ากับประจุของไอออน นัÊน ตัวอย่างเช่น SO4 2- มีประจุ -2 ผลรวมของเลขออกซิเดชัน ของ จึงเท่ากับ -2 MnO4 - มีประจุ -1 ผลรวมของเลขออกซิเดชัน ของ จึงเท่ากับ -1 6) สารประกอบใดๆ ผลรวมของเลขออกซิเดชัน จะเท่ากับศูนย์ ตัวอย่างเช่น สารประกอบ MgO เลขออกซิเดชันของแมกนีเซียมเท่ากับ +2 และออกซิเจน เท่ากับ -2 ผลรวมของเลข ออกซิเดชันจึงมีค่าเท่ากับศูนย์ H2SO4 ผลรวมของเลขออกซิเดชันมีค่าเท่ากับศูนย์ K2SO4 ผลรวมของเลขออกซิเดชันมีค่าเท่ากับศูนย์ SO4 ผลรวมของเลขออกซิเดชันมีค่าเท่ากับศูนย์
  • 46.
    ตัวอย่างเลขออกซิเดชันต่าง ๆ ของธาตุ  จากตารางดังกล่าว จะพบว่า โดย อรณี หัสเสม : เรียบเรียง 46 ธาตุหมู่ IA IIA และ IIIA มีเลขออกซิเดชันเพียงค่าเดียวคือ +1 +2 และ +3 ตามลำดับ ส่วนธาตุหมู่ IVA VA VIA และ VIIA บางชนิดมีเลขออกซิเดชันหลายค่า เช่น คาร์บอนมีเลขออกซิเดชัน -4 +2 และ +4 ไนโตรเจนมีเลขออกซิเดชัน -3 +1 +2 +3 +4 และ +5 คลอรีนมีเลขออกซิเดชัน -1 +1 +3 +5 และ +7 อย่างไรก็ตามมีสิÉงเหมือนกันประการหนึÉงคือ ธาตุเหล่านัÊน (ยกเว้นฟลูออรีน) มีเลขออกซิเดชันค่าสูงสุดได้เท่ากับ เลขหมู่หรือเท่ากับจำนวนเวเลนซ์ อิเล็กตรอน
  • 47.
    โดย อรณี หัสเสม: เรียบเรียง 47  จากตารางและเกณฑ์ทีÉกำหนด สามารถนำมาใช้ในการคำนวณหาเลขออกซิเดชันของธาตุได้ดังตัวอย่างต่อไปนีÊ ตัวอย่าง 1 จงหาเลขออกซิเดชันของ Mn ในเปอร์แมงกาเนตไอออน (MnO4 - ) สมมติให้เลขออกซิเดชันของ Mn = Mn เลขออกซิเดชันของ O (จากเกณฑ์) = - 2 ผลรวมของเลขออกซิเดชันของอะตอมทัÊงหมดใน MnO4 - = ประจุของไอออน ดังนัÊน Mn + (-2 x 4) = -1 Mn - 8 = -1 Mn = -1 + 8 = +7 ตอบ เลขออกซิเดชันของ Mn ใน มีค่า +7 ตัวอย่าง 2 จงหาเลขออกซิเดชันของ S ในสารประกอบ K2SO4 SO2 และ H2S สารประกอบ K2SO4 ประกอบด้วย K 2 อะตอ ม S 1 อะตอม และ O 4 อะตอม สมมติให้เลขออกซิเดชันของ S = S เลขออกซิเดชันของ K (หมู่ IA) = +1 เลขออกซิเดชันของ O (จากเกณฑ์) = - 2 ผลรวมของเลขออกซิเดชันของ K2SO4 = 0 ดังนัÊน (+1 x 2) + S + (-2 x 4) = 0 2 + S - 8 = 0 S - 6 = 0 S = +6 (ตอบ เลขออกซิเดชันของ S ใน K2SO4 คือ +6) สารประกอบ SO2 ประกอบด้วย S 1 อะตอม และ O 2 อะตอม สมมติให้เลขออกซิเดชันของ S = S เลขออกซิเดชันของ O (จากเกณฑ์) = - 2 ผลรวมของเลขออกซิเดชันของ SO2 = 0 ดังนัÊน S + (-2 x 2) = 0 S - 4 = 0 S = +4 (ตอบ เลขออกซิเดชันของ S ใน SO2 คือ +4) สารประกอบ H2S ประกอบด้วย H 2 อะตอม และ S 1 อะตอม สมมติให้เลขออกซิเดชันของ S = S เลขออกซิเดชันของ H (จากเกณฑ์) = +1 ผลรวมของเลขออกซิเดชันของ H2S = 0 ดังนัÊน (+1 x 2) + S = 0 +2 + S = 0 S = - 2 (ตอบ เลขออกซิเดชันของ S ใน H2S คือ -2)  จากตัวอย่าง นักเรียนจะพบว่าธาตุกำมะถัน (S) ในสารประกอบต่างชนิดกันอาจมีเลขออกซิเดนชันแตกต่างกันได้  แสดงว่าธาตุกำมะถันมีเลขออกซิเดชันได้หลายค่า  นักเรียนจะเห็นว่ายังมีธาตุอÉืนอีก ทÉีมีเลขออกซิเดชันได้หลายค่า ดังตารางทÉีได้ศึกษามาแล้ว
  • 48.
    2- ตัวอย่าง 3จงหาเลขออกซิเดชันของ Cr ในสารประกอบ Cr2O7 สมมติให้เลขออกซิเดชันของ Cr = Cr เลขออกซิเดชันของ O (จากเกณฑ์) = - 2 ผลรวมของเลขออกซิเดชันของ Cr2O7 2- = -2 ดังนัÊน (Cr x 2) + (-2 x 7) = -2 2Cr - 14 = -2 2Cr = -2 + 14 = +12 Cr = +12/2 = +6 2- คือ +6 ตอบ เลขออกซิเดชันของ Cr ในสารประกอบ Cr2O7 ตัวอย่าง 4 จงหาเลขออกซิเดชันของ Mn ในสารประกอบ KMnO4 - สมมติให้เลขออกซิเดชันของ Mn = Mn เลขออกซิเดชันของ K (หมู่ IA) = +1 เลขออกซิเดชันของ O (จากเกณฑ์) = - 2 ผลรวมของเลขออกซิเดชันของ KMnO4 - = -1 ดังนัÊน (+1 x 1) + Mn + (-2 x 4) = -1 +1 + Mn - 8 = -1 Mn - 7 = -1 Mn = -1 + 7 = +6 ตอบ เลขออกซิเดชันของ Mn ในสารประกอบ KMnO4 - คือ +6 ตัวอย่าง 5 จงหาเลขออกซิเดชันของ C ในสารประกอบ Ca(CO3) สมมติให้เลขออกซิเดชันของ C = C เลขออกซิเดชันของ Ca (หมู่ IIA) = +2 เลขออกซิเดชันของ O (จากเกณฑ์) = - 2 ผลรวมของเลขออกซิเดชันของ Ca(CO3) = 0 ดังนัÊน (+2 x 1) + [ (C x 1) + (-2 x 3)] = 0 +2 + [ C - 6 ] = 0 +2 + C - 6 = 0 C - 4 = 0 C = +4 ตอบ เลขออกซิเดชันของ Ca ในสารประกอบ Ca(CO3) คือ +4 โดย อรณี หัสเสม : เรียบเรียง 48 หมายเหตุ : เลขออกซิเดชันของธาตุ สามารถดูได้จากตารางและหลักเกณฑ์ดังกล่าวข้างต้น  สมบัติต่างๆ ของธาตุในตารางธาตุทÉีได้ศึกษามาแล้ว จะพบว่าส่วนใหญ่มีการเปลÉียนแปลงค่อนข้างสมํÉาเสมอ  ทำให้สามารถทำนายแนวโน้มสมบัติของธาตุในตารางธาตุได้นอกจากนีÊ ยังมีสมบัติอÉืนๆ ของธาตุอีกหลายประการซึÉงต้อง พิจารณาจากการเกิดสารประกอบ สมบัติดังกล่าวนัÊนจะได้ศึกษารายละเอียดในบทต่อไป
  • 49.
    แบบฝึกหัด เรืÉอง การหาเลขออกซิเดชัน จงหาเลขออกซิเดชันของธาตุในสารประกอบต่อไปนีÊ 1. C ใน C2O4 2- 2. S ใน CaS2 3. S ใน BaSO3 4. P ใน PH4 + 5. O ใน O2F2 6. Sb ใน NaSbO2 7. N ใน Al(NO3)3 8. P ใน K2HPO3 โดย อรณี หัสเสม : เรียบเรียง 49