Conics
Conics
The locus of points whose distance from a fixed point (focus) is a
multiple, e, (eccentricity) of its distance from a fixed line (directrix)
Conics
The locus of points whose distance from a fixed point (focus) is a
multiple, e, (eccentricity) of its distance from a fixed line (directrix)
Conics
The locus of points whose distance from a fixed point (focus) is a
multiple, e, (eccentricity) of its distance from a fixed line (directrix)


   e=0           circle
Conics
The locus of points whose distance from a fixed point (focus) is a
multiple, e, (eccentricity) of its distance from a fixed line (directrix)


   e=0           circle


   e<1           ellipse
Conics
The locus of points whose distance from a fixed point (focus) is a
multiple, e, (eccentricity) of its distance from a fixed line (directrix)


   e=0           circle


   e<1           ellipse


   e=1           parabola
Conics
The locus of points whose distance from a fixed point (focus) is a
multiple, e, (eccentricity) of its distance from a fixed line (directrix)


   e=0           circle


   e<1           ellipse


   e=1           parabola


   e>1           hyperbola
Ellipse (e < 1)
     y

     b
A’         A
-a        a    x
     -b
Ellipse (e < 1)
     y

     b
A’             A
-a        S   a    Z x
     -b
Ellipse (e < 1)
           y

            b
  A’                   A
  -a             S    a       Z x
           -b

SA = eAZ   and   SA’ = eA’Z
Ellipse (e < 1)
                y

                 b
    A’                        A
    -a                   S   a       Z x
                -b

 SA = eAZ      and      SA’ = eA’Z
(1) SA’ + SA = 2a
(2) SA’ – SA = e(A’Z – AZ)
Ellipse (e < 1)
                y

                 b
    A’                        A
    -a                   S   a       Z x
                -b

 SA = eAZ      and      SA’ = eA’Z
(1) SA’ + SA = 2a
(2) SA’ – SA = e(A’Z – AZ)
            = e(AA’)
            = e(2a)
            = 2ae
b
             A’                      A
             -a                 S   a    Z x
                         -b

(1) + (2);   2SA’ = 2a(1 + e)
              SA’ = a(1 + e)
b
             A’                         A
             -a                 S      a     Z x
                         -b

(1) + (2);   2SA’ = 2a(1 + e)   (1) - (2);   2SA = 2a(1 - e)
              SA’ = a(1 + e)                  SA = a(1 - e)
b
              A’                         A
              -a                 S      a     Z x
                          -b

 (1) + (2);   2SA’ = 2a(1 + e)   (1) - (2);   2SA = 2a(1 - e)
               SA’ = a(1 + e)                  SA = a(1 - e)
Focus
OS = OA - SA
b
                A’                         A
                -a                 S      a     Z x
                            -b

 (1) + (2);     2SA’ = 2a(1 + e)   (1) - (2);   2SA = 2a(1 - e)
                 SA’ = a(1 + e)                  SA = a(1 - e)
Focus
OS = OA - SA
   = a – a(1 – e)
   = ae
 S  ae,0 
b
                A’                             A
                -a                     S       a    Z x
                            -b

 (1) + (2);     2SA’ = 2a(1 + e)       (1) - (2);   2SA = 2a(1 - e)
                 SA’ = a(1 + e)                      SA = a(1 - e)
Focus                              Directrix
OS = OA - SA                       OZ = OA + AZ
   = a – a(1 – e)
   = ae
 S  ae,0 
b
                A’                             A
                -a                     S       a    Z x
                            -b

 (1) + (2);     2SA’ = 2a(1 + e)       (1) - (2);   2SA = 2a(1 - e)
                 SA’ = a(1 + e)                      SA = a(1 - e)
Focus                              Directrix
OS = OA - SA                       OZ = OA + AZ
                                             SA
   = a – a(1 – e)                      OA             SA  eAZ 
   = ae                                       e
 S  ae,0 
b
                A’                              A
                -a                     S       a    Z x
                            -b

 (1) + (2);     2SA’ = 2a(1 + e)       (1) - (2);   2SA = 2a(1 - e)
                 SA’ = a(1 + e)                      SA = a(1 - e)
Focus                              Directrix
OS = OA - SA                       OZ = OA + AZ
                                             SA
   = a – a(1 – e)                      OA           SA  eAZ 
   = ae                                       e
                                        ae a1  e 
 S  ae,0                           
                                         e      e                     a
                                        a          directrices x  
                                                                     e
                                        e
S ae,0 
                  b        P
P  x, y 
                                    N
             A’                 A
             -a                a
N , y
   a                   S            Z x
     
 e              -b
S ae,0 
                        b        P
P  x, y 
                                          N
                 A’                   A
                 -a                  a
N , y
   a                         S            Z x
     
 e                    -b
             SP  ePN
S ae,0 
                                         b             P
P  x, y 
                                                               N
                        A’                                 A
                        -a                                 a
N , y
   a                                               S           Z x
     
 e                                     -b
                  SP  ePN
                                     2

 x  ae 2   y  02  e  x     y  y 2
                                 a
                                  
                               e
                                   2
                        2    a
       x  ae   y  e  x  
                2   2

                             e
S ae,0 
                                                     b        P
   P  x, y 
                                                                       N
                                 A’                                A
                                 -a                               a
  N , y
     a                                                    S            Z x
       
   e                                               -b
                        SP  ePN
                                                 2

   x  ae 2   y  02  e  x     y  y 2
                                   a
                                    
                                          e
                                                 2
                              2       a
         x  ae   y  e  x  
                  2     2

                                      e
x 2  2aex  a 2 e 2  y 2  e 2 x 2  2aex  a 2
         x 2 1  e 2   y 2  a 2 1  e 2 
S ae,0 
                                                     b        P
   P  x, y 
                                                                      N
                                 A’                               A
                                 -a                               a
  N , y
     a                                                    S           Z x
       
   e                                               -b
                        SP  ePN
                                                 2

   x  ae 2   y  02  e  x     y  y 2
                                   a
                                    
                                          e
                                                 2
                              2       a
         x  ae   y  e  x  
                  2     2

                                      e
x 2  2aex  a 2 e 2  y 2  e 2 x 2  2aex  a 2
         x 2 1  e 2   y 2  a 2 1  e 2 

                 x2     y2
                     2       1
                 a a 1  e 
                  2        2
b2
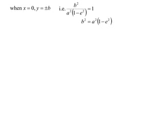
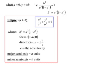
when x  0, y  b                  1
                         a 1  e 
                     i.e. 2      2


                               b 2  a 2 1  e 2 
b2
when x  0, y  b                      1
                             a 1  e 
                         i.e. 2      2


                                     b 2  a 2 1  e 2 

 Ellipse: (a > b)              x2 y2
                                2
                                   2 1
                               a b

 where; b 2  a 2 1  e 2 
           focus :  ae,0 
                              a
           directrices : x  
                              e
            e is the eccentricity
 major semi-axis = a units
 minor semi-axis = b units
b2
when x  0, y  b                     1
                            a 1  e 
                        i.e. 2      2


                                      b 2  a 2 1  e 2 

 Ellipse: (a > b)               x2 y2                  Note: If b > a
                                 2
                                    2 1
                                a b                    foci on the y axis

 where; b  a 1  e
            2       2   2
                                                       a 2  b 2 1  e 2 

          focus :  ae,0                             focus : 0,be 
                              a                                            b
          directrices : x                            directrices : y  
                              e                                            e
           e is the eccentricity
 major semi-axis = a units
 minor semi-axis = b units
b2
when x  0, y  b                     1
                            a 1  e 
                        i.e. 2      2


                                      b 2  a 2 1  e 2 

 Ellipse: (a > b)               x2 y2                  Note: If b > a
                                 2
                                    2 1
                                a b                    foci on the y axis

 where; b  a 1  e
            2       2   2
                                                       a 2  b 2 1  e 2 

          focus :  ae,0                             focus : 0,be 
                              a                                            b
          directrices : x                            directrices : y  
                              e                                            e
           e is the eccentricity
 major semi-axis = a units                                   Area  ab
 minor semi-axis = b units
e.g. Find the eccentricity, foci and directrices of the ellipse
     x2 y2
             1 and sketch the ellipse showing all of the important
      9 5
     features.
e.g. Find the eccentricity, foci and directrices of the ellipse
     x2 y2
             1 and sketch the ellipse showing all of the important
      9 5
     features.
      x2 y2
           1
      9 5

       a2  9
        a3
e.g. Find the eccentricity, foci and directrices of the ellipse
     x2 y2
             1 and sketch the ellipse showing all of the important
      9 5
     features.
      x2 y2
           1             b2  5
      9 5
                      a 2 1  e 2   5
       a2  9
        a3
e.g. Find the eccentricity, foci and directrices of the ellipse
     x2 y2
             1 and sketch the ellipse showing all of the important
      9 5
     features.
      x2 y2
           1             b2  5
      9 5
                      a 2 1  e 2   5
                       91  e 2   5
       a2  9
        a3
                                     5
                          1 e 2

                                     9
                                     4
                              e 
                                2

                                     9
                                     2
                                e
                                     3
e.g. Find the eccentricity, foci and directrices of the ellipse
     x2 y2
             1 and sketch the ellipse showing all of the important
      9 5
     features.
      x2 y2
           1             b2  5
      9 5
                      a 2 1  e 2   5
                       91  e 2   5
       a2  9
                                                            2
        a3                                 eccentricity 
                                     5                      3
                          1 e 2

                                     9         foci :  2,0 
                                     4
                              e 
                                2
                                                                    3
                                     9       directrices : x  3 
                                                                    2
                                     2
                                e                              9
                                     3                    x
                                                                2
y

         Auxiliary circle




-3                 3        x
b    5
     y                      a  3 
                                  
         Auxiliary circle




-3                 3             x
b    5
      y                          a  3 
                                       
              Auxiliary circle
          5




-3                      3             x



      5
b    5
      y                          a  3 
                                       
              Auxiliary circle
          5




-3                      3             x



      5
b    5
      y                          a  3 
                                       
              Auxiliary circle
          5




-3                      3             x



      5
b    5
      y                          a  3 
                                       
              Auxiliary circle
          5




-3                      3             x



      5
b    5
      y                          a  3 
                                       
              Auxiliary circle
          5




-3                      3             x



      5
b    5
      y                          a  3 
                                       
              Auxiliary circle
          5




-3                      3             x



      5
b    5
      y                          a  3 
                                       
              Auxiliary circle
          5




-3                      3             x



      5
b    5
                y                          a  3 
                                                 
                        Auxiliary circle
                    5




-3   S’(-2,0)            S(2,0)   3             x



             5
b    5
                    y                             a  3 
                                                        
                            Auxiliary circle
                        5




    -3   S’(-2,0)            S(2,0)   3                x



                 5
    9                                             9
x                                            x
    2                                             2
b    5
                        y                                 a  3 
                                                                
                                Auxiliary circle
                            5




       -3   S’(-2,0)             S(2,0)   3                    x



                        5
     9                                                9
 x                                               x
     2                                                2
Major axis = 6 units             Minor axis  2 5 units
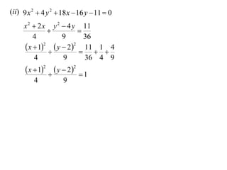
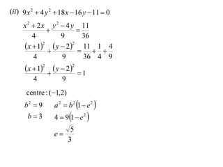
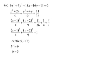
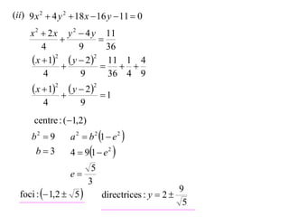
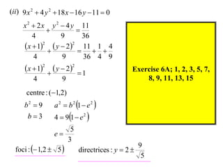
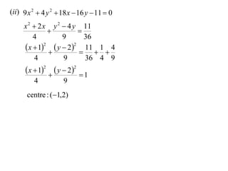
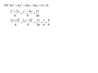
(ii) 9 x 2  4 y 2  18 x  16 y  11  0
(ii) 9 x 2  4 y 2  18 x  16 y  11  0
     x 2  2 x y 2  4 y 11
                       
         4         9      36
(ii) 9 x 2  4 y 2  18 x  16 y  11  0
     x 2  2 x y 2  4 y 11
                       
         4         9      36
      x  12  y  22 11 1 4
                         
          4        9      36 4 9
(ii) 9 x 2  4 y 2  18 x  16 y  11  0
     x 2  2 x y 2  4 y 11
                       
         4         9      36
      x  12  y  22 11 1 4
                         
          4        9      36 4 9
       x  12  y  22
                           1
         4           9
(ii) 9 x 2  4 y 2  18 x  16 y  11  0
     x 2  2 x y 2  4 y 11
                       
         4         9      36
      x  12  y  22 11 1 4
                         
          4        9      36 4 9
       x  12  y  22
                           1
         4           9
      centre : (1,2)
(ii) 9 x 2  4 y 2  18 x  16 y  11  0
     x 2  2 x y 2  4 y 11
                       
         4         9      36
      x  12  y  22 11 1 4
                         
          4        9      36 4 9
       x  12  y  22
                           1
         4           9
      centre : (1,2)
      b2  9
       b3
(ii) 9 x 2  4 y 2  18 x  16 y  11  0
     x 2  2 x y 2  4 y 11
                       
         4         9      36
      x  12  y  22 11 1 4
                         
          4        9      36 4 9
       x  12  y  22
                            1
         4            9
      centre : (1,2)
      b2  9       a 2  b 2 1  e 2 
       b3         4  91  e 2 
                       5
                   e
                      3
(ii) 9 x 2  4 y 2  18 x  16 y  11  0
     x 2  2 x y 2  4 y 11
                       
         4         9      36
      x  12  y  22 11 1 4
                         
          4        9      36 4 9
       x  12  y  22
                            1
         4            9
      centre : (1,2)
      b2  9       a 2  b 2 1  e 2 
       b3         4  91  e 2 
                       5
                 e
                      3
  foci :  1,2  5 
                                               9
                         directrices : y  2 
                                                5
(ii) 9 x 2  4 y 2  18 x  16 y  11  0
     x 2  2 x y 2  4 y 11
                       
         4         9      36
      x  12  y  22 11 1 4
                         
          4        9      36 4 9
       x  12  y  22                   Exercise 6A; 1, 2, 3, 5, 7,
                            1
         4            9                         8, 9, 11, 13, 15
      centre : (1,2)
      b2  9       a 2  b 2 1  e 2 
       b3         4  91  e 2 
                       5
                 e
                      3
  foci :  1,2  5 
                                               9
                         directrices : y  2 
                                                5

X2 t03 01 ellipse (2012)

  • 1.
  • 2.
    Conics The locus ofpoints whose distance from a fixed point (focus) is a multiple, e, (eccentricity) of its distance from a fixed line (directrix)
  • 3.
    Conics The locus ofpoints whose distance from a fixed point (focus) is a multiple, e, (eccentricity) of its distance from a fixed line (directrix)
  • 4.
    Conics The locus ofpoints whose distance from a fixed point (focus) is a multiple, e, (eccentricity) of its distance from a fixed line (directrix) e=0 circle
  • 5.
    Conics The locus ofpoints whose distance from a fixed point (focus) is a multiple, e, (eccentricity) of its distance from a fixed line (directrix) e=0 circle e<1 ellipse
  • 6.
    Conics The locus ofpoints whose distance from a fixed point (focus) is a multiple, e, (eccentricity) of its distance from a fixed line (directrix) e=0 circle e<1 ellipse e=1 parabola
  • 7.
    Conics The locus ofpoints whose distance from a fixed point (focus) is a multiple, e, (eccentricity) of its distance from a fixed line (directrix) e=0 circle e<1 ellipse e=1 parabola e>1 hyperbola
  • 8.
    Ellipse (e <1) y b A’ A -a a x -b
  • 9.
    Ellipse (e <1) y b A’ A -a S a Z x -b
  • 10.
    Ellipse (e <1) y b A’ A -a S a Z x -b SA = eAZ and SA’ = eA’Z
  • 11.
    Ellipse (e <1) y b A’ A -a S a Z x -b SA = eAZ and SA’ = eA’Z (1) SA’ + SA = 2a (2) SA’ – SA = e(A’Z – AZ)
  • 12.
    Ellipse (e <1) y b A’ A -a S a Z x -b SA = eAZ and SA’ = eA’Z (1) SA’ + SA = 2a (2) SA’ – SA = e(A’Z – AZ) = e(AA’) = e(2a) = 2ae
  • 13.
    b A’ A -a S a Z x -b (1) + (2); 2SA’ = 2a(1 + e) SA’ = a(1 + e)
  • 14.
    b A’ A -a S a Z x -b (1) + (2); 2SA’ = 2a(1 + e) (1) - (2); 2SA = 2a(1 - e) SA’ = a(1 + e) SA = a(1 - e)
  • 15.
    b A’ A -a S a Z x -b (1) + (2); 2SA’ = 2a(1 + e) (1) - (2); 2SA = 2a(1 - e) SA’ = a(1 + e) SA = a(1 - e) Focus OS = OA - SA
  • 16.
    b A’ A -a S a Z x -b (1) + (2); 2SA’ = 2a(1 + e) (1) - (2); 2SA = 2a(1 - e) SA’ = a(1 + e) SA = a(1 - e) Focus OS = OA - SA = a – a(1 – e) = ae  S  ae,0 
  • 17.
    b A’ A -a S a Z x -b (1) + (2); 2SA’ = 2a(1 + e) (1) - (2); 2SA = 2a(1 - e) SA’ = a(1 + e) SA = a(1 - e) Focus Directrix OS = OA - SA OZ = OA + AZ = a – a(1 – e) = ae  S  ae,0 
  • 18.
    b A’ A -a S a Z x -b (1) + (2); 2SA’ = 2a(1 + e) (1) - (2); 2SA = 2a(1 - e) SA’ = a(1 + e) SA = a(1 - e) Focus Directrix OS = OA - SA OZ = OA + AZ SA = a – a(1 – e)  OA   SA  eAZ  = ae e  S  ae,0 
  • 19.
    b A’ A -a S a Z x -b (1) + (2); 2SA’ = 2a(1 + e) (1) - (2); 2SA = 2a(1 - e) SA’ = a(1 + e) SA = a(1 - e) Focus Directrix OS = OA - SA OZ = OA + AZ SA = a – a(1 – e)  OA   SA  eAZ  = ae e ae a1  e   S  ae,0    e e a a  directrices x    e e
  • 20.
    S ae,0  b P P  x, y  N A’ A -a a N , y a S Z x   e  -b
  • 21.
    S ae,0  b P P  x, y  N A’ A -a a N , y a S Z x   e  -b SP  ePN
  • 22.
    S ae,0  b P P  x, y  N A’ A -a a N , y a S Z x   e  -b SP  ePN 2  x  ae 2   y  02  e  x     y  y 2 a    e 2 2 a  x  ae   y  e  x   2 2  e
  • 23.
    S ae,0  b P P  x, y  N A’ A -a a N , y a S Z x   e  -b SP  ePN 2  x  ae 2   y  02  e  x     y  y 2 a    e 2 2 a  x  ae   y  e  x   2 2  e x 2  2aex  a 2 e 2  y 2  e 2 x 2  2aex  a 2 x 2 1  e 2   y 2  a 2 1  e 2 
  • 24.
    S ae,0  b P P  x, y  N A’ A -a a N , y a S Z x   e  -b SP  ePN 2  x  ae 2   y  02  e  x     y  y 2 a    e 2 2 a  x  ae   y  e  x   2 2  e x 2  2aex  a 2 e 2  y 2  e 2 x 2  2aex  a 2 x 2 1  e 2   y 2  a 2 1  e 2  x2 y2  2 1 a a 1  e  2 2
  • 25.
    b2 when x 0, y  b 1 a 1  e  i.e. 2 2 b 2  a 2 1  e 2 
  • 26.
    b2 when x 0, y  b 1 a 1  e  i.e. 2 2 b 2  a 2 1  e 2  Ellipse: (a > b) x2 y2 2  2 1 a b where; b 2  a 2 1  e 2  focus :  ae,0  a directrices : x   e e is the eccentricity major semi-axis = a units minor semi-axis = b units
  • 27.
    b2 when x 0, y  b 1 a 1  e  i.e. 2 2 b 2  a 2 1  e 2  Ellipse: (a > b) x2 y2 Note: If b > a 2  2 1 a b foci on the y axis where; b  a 1  e 2 2 2  a 2  b 2 1  e 2  focus :  ae,0  focus : 0,be  a b directrices : x   directrices : y   e e e is the eccentricity major semi-axis = a units minor semi-axis = b units
  • 28.
    b2 when x 0, y  b 1 a 1  e  i.e. 2 2 b 2  a 2 1  e 2  Ellipse: (a > b) x2 y2 Note: If b > a 2  2 1 a b foci on the y axis where; b  a 1  e 2 2 2  a 2  b 2 1  e 2  focus :  ae,0  focus : 0,be  a b directrices : x   directrices : y   e e e is the eccentricity major semi-axis = a units Area  ab minor semi-axis = b units
  • 29.
    e.g. Find theeccentricity, foci and directrices of the ellipse x2 y2   1 and sketch the ellipse showing all of the important 9 5 features.
  • 30.
    e.g. Find theeccentricity, foci and directrices of the ellipse x2 y2   1 and sketch the ellipse showing all of the important 9 5 features. x2 y2  1 9 5 a2  9 a3
  • 31.
    e.g. Find theeccentricity, foci and directrices of the ellipse x2 y2   1 and sketch the ellipse showing all of the important 9 5 features. x2 y2  1 b2  5 9 5 a 2 1  e 2   5 a2  9 a3
  • 32.
    e.g. Find theeccentricity, foci and directrices of the ellipse x2 y2   1 and sketch the ellipse showing all of the important 9 5 features. x2 y2  1 b2  5 9 5 a 2 1  e 2   5 91  e 2   5 a2  9 a3 5 1 e 2 9 4 e  2 9 2 e 3
  • 33.
    e.g. Find theeccentricity, foci and directrices of the ellipse x2 y2   1 and sketch the ellipse showing all of the important 9 5 features. x2 y2  1 b2  5 9 5 a 2 1  e 2   5 91  e 2   5 a2  9 2 a3  eccentricity  5 3 1 e 2 9 foci :  2,0  4 e  2 3 9 directrices : x  3  2 2 e 9 3 x 2
  • 34.
    y Auxiliary circle -3 3 x
  • 35.
    b 5 y a  3    Auxiliary circle -3 3 x
  • 36.
    b 5 y a  3    Auxiliary circle 5 -3 3 x  5
  • 37.
    b 5 y a  3    Auxiliary circle 5 -3 3 x  5
  • 38.
    b 5 y a  3    Auxiliary circle 5 -3 3 x  5
  • 39.
    b 5 y a  3    Auxiliary circle 5 -3 3 x  5
  • 40.
    b 5 y a  3    Auxiliary circle 5 -3 3 x  5
  • 41.
    b 5 y a  3    Auxiliary circle 5 -3 3 x  5
  • 42.
    b 5 y a  3    Auxiliary circle 5 -3 3 x  5
  • 43.
    b 5 y a  3    Auxiliary circle 5 -3 S’(-2,0) S(2,0) 3 x  5
  • 44.
    b 5 y a  3    Auxiliary circle 5 -3 S’(-2,0) S(2,0) 3 x  5 9 9 x x 2 2
  • 45.
    b 5 y a  3    Auxiliary circle 5 -3 S’(-2,0) S(2,0) 3 x  5 9 9 x x 2 2 Major axis = 6 units Minor axis  2 5 units
  • 46.
    (ii) 9 x2  4 y 2  18 x  16 y  11  0
  • 47.
    (ii) 9 x2  4 y 2  18 x  16 y  11  0 x 2  2 x y 2  4 y 11   4 9 36
  • 48.
    (ii) 9 x2  4 y 2  18 x  16 y  11  0 x 2  2 x y 2  4 y 11   4 9 36  x  12  y  22 11 1 4     4 9 36 4 9
  • 49.
    (ii) 9 x2  4 y 2  18 x  16 y  11  0 x 2  2 x y 2  4 y 11   4 9 36  x  12  y  22 11 1 4     4 9 36 4 9  x  12  y  22  1 4 9
  • 50.
    (ii) 9 x2  4 y 2  18 x  16 y  11  0 x 2  2 x y 2  4 y 11   4 9 36  x  12  y  22 11 1 4     4 9 36 4 9  x  12  y  22  1 4 9 centre : (1,2)
  • 51.
    (ii) 9 x2  4 y 2  18 x  16 y  11  0 x 2  2 x y 2  4 y 11   4 9 36  x  12  y  22 11 1 4     4 9 36 4 9  x  12  y  22  1 4 9 centre : (1,2) b2  9 b3
  • 52.
    (ii) 9 x2  4 y 2  18 x  16 y  11  0 x 2  2 x y 2  4 y 11   4 9 36  x  12  y  22 11 1 4     4 9 36 4 9  x  12  y  22  1 4 9 centre : (1,2) b2  9 a 2  b 2 1  e 2  b3 4  91  e 2  5 e 3
  • 53.
    (ii) 9 x2  4 y 2  18 x  16 y  11  0 x 2  2 x y 2  4 y 11   4 9 36  x  12  y  22 11 1 4     4 9 36 4 9  x  12  y  22  1 4 9 centre : (1,2) b2  9 a 2  b 2 1  e 2  b3 4  91  e 2  5 e 3 foci :  1,2  5  9 directrices : y  2  5
  • 54.
    (ii) 9 x2  4 y 2  18 x  16 y  11  0 x 2  2 x y 2  4 y 11   4 9 36  x  12  y  22 11 1 4     4 9 36 4 9  x  12  y  22 Exercise 6A; 1, 2, 3, 5, 7,  1 4 9 8, 9, 11, 13, 15 centre : (1,2) b2  9 a 2  b 2 1  e 2  b3 4  91  e 2  5 e 3 foci :  1,2  5  9 directrices : y  2  5