Wide Complex Tachycardia
Dr. Tanvir Adnan
MD(Cardiology), Phase B
NHFH&RI
• Wide complex tachycardia (WCT) refers to a cardiac rhythm where
rate is more than 100 beats per minute with a QRS duration of 120
ms or more on the surface electrocardiogram (ECG)
• Widening of the QRS complex is related to slower spread of ventricular
depolarization, either due to disease of the His-Purkinje network and/or reliance
on slower, muscle-to-muscle spread of depolarization.
1. propagation of a supraventricular impulse (atrial premature depolarizations
[APDs] or supraventricular tachycardia [SVT]) with block (preexisting or rate-
related) in one or more parts of the His-Purkinje network;
2. depolarizations originating in the ventricles themselves (ventricular premature
beats [VPDs] or ventricular tachycardia [VT]);
3. slowed propagation of a supraventricular impulse because of intra-myocardial
scar/fibrosis/hypertrophy; or
4. conduction of a supraventricular impulse from atrium to ventricle over an
accessory pathway (bypass tract) – so called “pre-excited” tachycardia.
• A widened QRS (≥120 msec) occurs when ventricular activation is
abnormally slow
• Arrhythmia originates outside of the normal conduction system
(ventricular tachycardia)
• Abnormalities within the His-Purkinje system (supraventricular
tachycardia with aberrancy).
• Pre-excited tachycardias: supraventricular tachycardiaswith antegrade
conduction over an accessory pathway into the ventricular
myocardium.
Causes :
• Regular :
Ventricular tachycardia(80% of WCT)
Any SVT with aberrancy (2nd MC WCT)
Any SVT with BBB
Any SVT with delayed conduction due to drugs and electrolytes
Class IA,IC ; hyperkalemia.
Antidromic AVRT(1-5%)
Pacemaker mediated rhythm
Irregular :
• AF + BBB
• Atrial flutter with variable block + BBB
• AF + WPW
• MAT + BBB
• Polymorphic VT
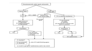
Importance of the Diagnosis
• It is a common misconception that a haemodynamically stable patient
with minimal symptoms during a WCT episode must have SVT
• Often adding to this assumption is a belief that termination by
adenosine or verapamil proves SVT
• Again, this assumption can lead to misdiagnosis as some VTs are
responsive to one or both of these agents
VT or SVT with aberration???
• History
• Physical Examination
• The Electrocardiogram
• Algorithms
• Electrophysiologic Testing
The likelihood of VT is also increased with:
• Age > 35 (positive predictive value of 85%)
• Structural heart disease
• Ischaemic heart disease
• Previous MI
• Congestive heart failure
• Cardiomyopathy
• Family history of sudden cardiac death (suggesting conditions such as
HOCM, congenital long QT syndrome, Brugada syndrome or
arrhythmogenic right ventricular dysplasia that are associated with
episodes of VT)
The likelihood of SVT with aberrancy is
increased if:
• Previous ECGs show a bundle branch block pattern with identical
morphology to the broad complex tachycardia.
• Previous ECGs show evidence of WPW (short PR < 120ms, broad QRS,
delta wave).
• The patient has a history of paroxysmal tachycardias that have been
successfully terminated with adenosine or vagal manoeuvres.
Physical Examination
Features for differentiation by ECG
1. QRS duration
2. QRS axis
3. Concordant pattern
4. Precordial RS duration.
5. Morphological criteria - RBBB , LBBB , ambiguous chest lead pattern
6. Q wave presence
7. AV dissociation
8. Baseline QRS prolongation – QRS duration , QRS configuration.
9. aVR changes.
10.Lead II R-wave-peak-time (RWPT) criterion .
QRS duration :
• > 160 ms with LBBB , >140 ms with RBBB - VT
• Wellens et al . Showed that 69% of VT had QRS duration of >140ms
and
Exceptions:
• Anti arrythmitic drugs non specifically prolong QRS duration.
• Pts with structurally normal heart may have VT with QRS duration of
120-140ms.(<140ms in12% , < 120 ms in 4%)
• QRS duration also depend site of origin of VT , septal VT none of SVT-
A showed QRS duration of >140ms
QRS axis :
• Frontal plane axis of -90 to +180 --- VT
• Shift in QRS axis of more than 40 from baseline --- VT(less specific)
• RBBB with LAD, LBBB with RAD --- VT.
• LAFB (-30 to -90) , LPFB (+110 to150) and RBBB (normal axis).
Concordant QRS in chest leads:
• Concordant QRS in chest leads is diagnostic of VT uncommon in SVT-
A.
Exceptions:
• Positive concordance (ventricular activation begins left posteriorly)
seen in VT originating in Lt post wall or SVT using a left posterior
accessory pathway for AV conduction. If no additional criteria for
WPW are absent don’t consider it because of low incidence(<6%)
• Specificity of 90%, Sensitivity of 20%
Concordant QRS in limb leads :
• The presence of predominantly negative QRS complexes in leads
1,2,3 is suggestive of VT
• This is another way to describe right superior axis
• Similar to RS axis it is considered as highly specific for VT
AV dissociation :
• The most specific ECG finding for VT
Clues for AV dissociation:
1. Clinically by cannon A waves , variable intensity of S1 , Variation in
SBP unrelated to respiration.
2. AV dissociation
3. AV ratio of less than 1
4. 2:1 VA block(d/t retrograde conduction)
5. Variation in QRS amplitude during WCT
6. Fusion & capture beats
7. Recording separate atrial electro gram(oesophageal/transvenous)
8. Echo (evaluating RA contraction in relation to ventricular)
• Fusion Beats- Ventricular fusion occurs when a ventricular ectopic
beat and a supraventricular beat (conducted via the AVN and HPS)
simultaneously activate the ventricular myocardium.
• The resulting QRS complex has a morphology intermediate between
the appearance of a sinus QRS complex and that of a purely
ventricular complex.
• Capture beat- is a normal QRS complex identical to the sinus QRS
complex, occurring during the VT indicates that the normal
conduction system has momentarily captured control of ventricular
activation from the VT focus.
Diagnostic approach/algorithms
• Sandler and Marriott Criteria (1965)
• Wellens(1978) ,
• Akhtar(1988) ,
• Brugada(1991)
• Griffith(1994)
• Bayesian(1995)
• aVR algorithms(2007)
• lead II R-wave-peak-time (RWPT) criterion(2010)
Step 1- RS complex in precordial leads
Step 2- r to nadir of s (brugada sign)
step 3- a-v dissociation
In RBBB pattern first “rabbit ear” is taller in VT while second “rabbit ear” is taller
in SVT.
In LBBB pattern the time from R-wave start to S-wave nadir is short in SVT and
long in VT.
Brugada & Josephen’s sign
Ultrasimple Brugada criterion: RW
to peak Time (RWPT)
• In 2010 Joseph Brugada et al. published a new criterion to
differentiate VT from SVT in wide complex tachycardias: the R wave
peak time in Lead II .
• They suggest measuring the duration of onset of the QRS to the first
change in polarity (either nadir Q or peak R) in lead II. If the RWPT is ≥
50ms the likelihood of a VT very high (positive likelihood ratio 34.8).
WELLEN’S CRITERIA
• AV DISSOCIATION
• LEFT AXIS DEVIATION
• CAPTURE OR FUSION BEATS
• QRS ≥ 140 msec
• PRECORDIAL QRS CONCORDANCE
• RSR’ IN V1, MONO OR BIPHASIC QRS IN V1,OR
• MONOPHASIC QS IN V6
KINDWALL’S CRITERIA FOR VT IN
LBBB
• R wave in V1 or V2 >30 ms.
• Any Q wave in V6.
• Onset of QRS to nadir of S wave in V1 or V2 >60 ms.
• Notching on the downstroke of the S wave in V1 or V2.
Verecki algorithm
Management
• If the patient is hemodynamically unstable, the first-choice therapy
for ventricular tachycardia (VT) is synchronized direct-current (DC)
cardioversion with 50 – 100 J
• If the patient is suffering from monomorphic VT and has a preserved
heart function, the first-line treatment is lidocaine. Alternatives
include either amiodarone or procainamide
• If the patient has polymorphic VT with a normal baseline QT interval,
AHA guidelines state that the first steps are to treat ischemia and
correct any electrolyte imbalance.
• If cardiac function is impaired, use amiodarone or lidocaine, followed
by synchronized DC cardioversion
• If the patient has polymorphic VT with a prolonged baseline QT
interval, ACLS guidelines state that any electrolyte imbalance should
be corrected. Following this, any one of these treatments can be
administered: magnesium sulfate, overdrive pacing, or lidocaine
• Long-term treatment of sustained ventricular arrhythmias includes
placement of an implantable cardioverter-defibrillator (ICD) and
possible adjunctive therapy with amiodarone or sotalol in certain
subsets of patients. Patients should be under the care of a
cardiologist or electrophysiologist
Ventricular tachycardia
• Cardiac arrhythmia of ≥3 consecutive complexes originating in the
ventricles at a rate >100 bpm (cycle length: <600 ms).
Types of VT
• Sustained: VT >30 s or requiring termination due to hemodynamic
compromise in <30 s.
• Nonsustained / unsustained: ≥3 beats, terminating spontaneously.
• Monomorphic: Stable single QRS morphology from beat to beat.
• Polymorphic: Changing or multiform QRS morphology from beat to
beat.
• Bidirectional: VT with a beat-to-beat alternation in the QRS frontal
plane axis, often seen in the setting of digitalis toxicity or
catecholaminergic polymorphic VT
• VT/VF storm: VT/VF storm (electrical storm or arrhythmic storm)
refers to a state of cardiac electrical instability that is defined by ≥3
episodes of sustained VT, VF, or appropriate shocks from an ICD
within 24h.
• Ventricular flutter: A regular VA ≈300 bpm (cycle length: 200 ms) with
a sinusoidal, monomorphic appearance; no isoelectric interval
between successive QRS complexes.
• Ventricular fibrillation:Rapid, grossly irregular electrical activity with
marked variability in electrocardiographic waveform, ventricular rate
usually >300 bpm (cycle length: <200 ms).
Mechanisms of VT
• VT arises distal to the bifurcation of the His bundle in the specialized
conduction system, ventricular muscle, or combinations of both
• Disorders of impulse formation
Enhanced automaticity
Triggered activity
• Disorders of impulse conduction
Re-entry (circus movements)
Clinical Presentation
• Symptoms/events related to arrhythmia:Palpitations,lightheadedness,
syncope, dyspnea, chest pain, cardiac arrest
• Symptoms related to underlying heart disease: Dyspnea at rest or on
exertion, orthopnea, paroxysmal nocturnal dyspnea, chest pain,
edema
• Precipitating factors: Exercise, emotional stress
• Known heart disease: Coronary, valvular (e.g., mitral valve prolapse),
congenital heart disease, other
• Risk factors for heart disease: Hypertension, diabetes mellitus,
hyperlipidemia, and smoking
• Hypotension
• Tachypnea
• Diminished level of consciousness
• Pallor
• Diaphoresis
• Jugular venous pressure may be high, and cannon A wave
• First heart sound (S1) may vary in intensity
• Noninvasive Evaluation:
12-lead ECG and Exercise Testing
Ambulatory Electrocardiography
Implanted Cardiac Monitors
Noninvasive Cardiac Imaging
Biomarkers
Genetic Considerations in Arrhythmia Syndromes
• Invasive Testing:
Invasive Cardiac Imaging: Cardiac Catheterization or CT Angiography
Electrophysiological Study
Acute Management of VA
Catheter Ablation
• The ablation strategy, risks and outcomes are related to the mechanism
and location of the VA.
• Most VA originate close to the subendocardium and are approached
through a transvenous (for the right ventricle) or transaortic/transeptal (for
the left ventricle) catheterization.
• Consider catheter ablation in patients without structural heart disease:
- Symptomatic sustained monomorphic VT in patient unresponsive to
antiarrhythmics or when antiarrhythmics are not tolerated or not desired by
the patient
- When a monomorphic PVC trigger of PMVT or VF is present and refractory
to antiarrhythmic
• Consider catheter ablation in patients with structural heart disease:
- Symptomatic sustained VT (with or without ICD therapy) despite
antiarrhythmic therapy or when antiarrhythmic therapy is not tolerated
or desired
- VT storm without reversible cause
- For PVCs/NSVT/VT thought to be the cause ventricular dysfunction
- Bundle branch reentry VT or interfascicular VT
- When a monomorphic PVC trigger of PMVT or VF is present and
refractory to antiarrhythmics
ICD Indications
Class I Indications
• ICD therapy is recommended for or secondary prevention of SCD in patients who
are survivors of cardiac arrest due to ventricular fibrillation or hemodynamlcally
unstable sustained VT after evaluation to define the cause of the event and to
exclude any completely reversible causes.
• ICD therapy is indicated in patients with structural heart disease and spontaneous
sustained VT whether hemodynamically stable or unstable.
• ICD therapy is indicated in patients with syncope of undetermined origin with
clinically relevant, hemodynamically significant sustained VT or ventricular
fibriation induced at electrophysiologic study.
• ICD therapy is recommended in patients with LVEF < 35% due to prior myocardial
infarction who are at least 40 days post–myocardial infarction and are in NYHA
functional class II or III
• ICD therapy is recommended in patients with nonischemic dilated
cardiomyopathy who have an LVEF ≤ 35% and who are in NYHA
functional class II or III.
• ICD therapy is indicated in patients with LV dysfunction due to prior
myocardial infarction who are at least 40 days post–myocardial
infarction, have an LVEF < 30%, and are in NYHA functional class I.
• ICD therapy is indicated in patients with nonsustained VT due to prior
myocardial infarction, LVEF < 40% and inducible ventricular fibrillation
or sustained VT at electrophysiologic study.
Take Home Message
• Wide complex tachycardias should be presumed to be VT until proven
otherwise
• Obtain a 12-lead ECG before and after treatment to help aid in the
diagnosis
• Unstable WCT requires immediate synchronized cardioversion (when
the symptoms are believed to be due to the heart rhythm)
• Consider adenosine as an initial therapy for an undifferentiated wide
complex tachycardia
• Aberrancy, aberrant conduction and aberration are all terms used to
describe an abnormal conduction of electrical impulses through the heart.
• these waywardly conducted signals of SVT take longer to transmit through
the myocardium, and consequently produce a wide QRS complex in an
ECG.
• This aberrant conduction may be distinguished from a bundle branch block
(BBB), which it resembles, though the distinction is nearly impossible to
make in the field. BBBs are physiological blockages of the bundle branches
that cause part of the wave of depolarization to travel outside of the
normal cardiac conduction system, thus taking more time and widening the
QRS.
• Aberrancy's abnormal mechanism of conduction is caused by a
difference in refractory periods between the right and left bundle
branches, not a permanent physiological blockage
• Many SVTs with aberrancy are the result of increased atrial activity
(atrial fibrillation, multifocal atrial tachycardia, atrial flutter, etc.),
coupled with an increase in automaticity of the AV node.
• The premature signals caused by the atrial delinquency provide the
perfect environment for aberrancy to thrive.
• Which lead we should look for measuring the width of qrs ?
• Should we take the narrowest qrs or widest qrs or should we take the average ?
• Should we calculate how much the tachycardia has widened the qrs from the
baseline width of a given patient ? Is it not possible , what is wide for some may
be normal for another !
• If there is no isoelectric line and ST segment blends with qrs complex how to
mark end of qrs ?
• If limb leads show a narrow qrs and chest leads shows wide qrs what is the
significance ?
• In precordial leads if one lead alone shows a narrow qrs ,what is the significance
• Can a narrow qrs VT conduct with aberrancy and making it really wide ?

Wide complex tachycardia

  • 1.
    Wide Complex Tachycardia Dr.Tanvir Adnan MD(Cardiology), Phase B NHFH&RI
  • 2.
    • Wide complextachycardia (WCT) refers to a cardiac rhythm where rate is more than 100 beats per minute with a QRS duration of 120 ms or more on the surface electrocardiogram (ECG)
  • 3.
    • Widening ofthe QRS complex is related to slower spread of ventricular depolarization, either due to disease of the His-Purkinje network and/or reliance on slower, muscle-to-muscle spread of depolarization. 1. propagation of a supraventricular impulse (atrial premature depolarizations [APDs] or supraventricular tachycardia [SVT]) with block (preexisting or rate- related) in one or more parts of the His-Purkinje network; 2. depolarizations originating in the ventricles themselves (ventricular premature beats [VPDs] or ventricular tachycardia [VT]); 3. slowed propagation of a supraventricular impulse because of intra-myocardial scar/fibrosis/hypertrophy; or 4. conduction of a supraventricular impulse from atrium to ventricle over an accessory pathway (bypass tract) – so called “pre-excited” tachycardia.
  • 4.
    • A widenedQRS (≥120 msec) occurs when ventricular activation is abnormally slow • Arrhythmia originates outside of the normal conduction system (ventricular tachycardia) • Abnormalities within the His-Purkinje system (supraventricular tachycardia with aberrancy). • Pre-excited tachycardias: supraventricular tachycardiaswith antegrade conduction over an accessory pathway into the ventricular myocardium.
  • 5.
    Causes : • Regular: Ventricular tachycardia(80% of WCT) Any SVT with aberrancy (2nd MC WCT) Any SVT with BBB Any SVT with delayed conduction due to drugs and electrolytes Class IA,IC ; hyperkalemia. Antidromic AVRT(1-5%) Pacemaker mediated rhythm
  • 6.
    Irregular : • AF+ BBB • Atrial flutter with variable block + BBB • AF + WPW • MAT + BBB • Polymorphic VT
  • 7.
    Importance of theDiagnosis • It is a common misconception that a haemodynamically stable patient with minimal symptoms during a WCT episode must have SVT • Often adding to this assumption is a belief that termination by adenosine or verapamil proves SVT • Again, this assumption can lead to misdiagnosis as some VTs are responsive to one or both of these agents
  • 8.
    VT or SVTwith aberration??? • History • Physical Examination • The Electrocardiogram • Algorithms • Electrophysiologic Testing
  • 9.
    The likelihood ofVT is also increased with: • Age > 35 (positive predictive value of 85%) • Structural heart disease • Ischaemic heart disease • Previous MI • Congestive heart failure • Cardiomyopathy • Family history of sudden cardiac death (suggesting conditions such as HOCM, congenital long QT syndrome, Brugada syndrome or arrhythmogenic right ventricular dysplasia that are associated with episodes of VT)
  • 10.
    The likelihood ofSVT with aberrancy is increased if: • Previous ECGs show a bundle branch block pattern with identical morphology to the broad complex tachycardia. • Previous ECGs show evidence of WPW (short PR < 120ms, broad QRS, delta wave). • The patient has a history of paroxysmal tachycardias that have been successfully terminated with adenosine or vagal manoeuvres.
  • 11.
  • 12.
    Features for differentiationby ECG 1. QRS duration 2. QRS axis 3. Concordant pattern 4. Precordial RS duration. 5. Morphological criteria - RBBB , LBBB , ambiguous chest lead pattern 6. Q wave presence 7. AV dissociation 8. Baseline QRS prolongation – QRS duration , QRS configuration. 9. aVR changes. 10.Lead II R-wave-peak-time (RWPT) criterion .
  • 14.
    QRS duration : •> 160 ms with LBBB , >140 ms with RBBB - VT • Wellens et al . Showed that 69% of VT had QRS duration of >140ms and Exceptions: • Anti arrythmitic drugs non specifically prolong QRS duration. • Pts with structurally normal heart may have VT with QRS duration of 120-140ms.(<140ms in12% , < 120 ms in 4%) • QRS duration also depend site of origin of VT , septal VT none of SVT- A showed QRS duration of >140ms
  • 15.
    QRS axis : •Frontal plane axis of -90 to +180 --- VT • Shift in QRS axis of more than 40 from baseline --- VT(less specific) • RBBB with LAD, LBBB with RAD --- VT. • LAFB (-30 to -90) , LPFB (+110 to150) and RBBB (normal axis).
  • 16.
    Concordant QRS inchest leads: • Concordant QRS in chest leads is diagnostic of VT uncommon in SVT- A. Exceptions: • Positive concordance (ventricular activation begins left posteriorly) seen in VT originating in Lt post wall or SVT using a left posterior accessory pathway for AV conduction. If no additional criteria for WPW are absent don’t consider it because of low incidence(<6%) • Specificity of 90%, Sensitivity of 20%
  • 17.
    Concordant QRS inlimb leads : • The presence of predominantly negative QRS complexes in leads 1,2,3 is suggestive of VT • This is another way to describe right superior axis • Similar to RS axis it is considered as highly specific for VT
  • 18.
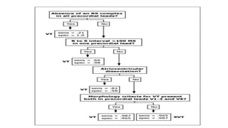
    AV dissociation : •The most specific ECG finding for VT Clues for AV dissociation: 1. Clinically by cannon A waves , variable intensity of S1 , Variation in SBP unrelated to respiration. 2. AV dissociation 3. AV ratio of less than 1
  • 19.
    4. 2:1 VAblock(d/t retrograde conduction) 5. Variation in QRS amplitude during WCT 6. Fusion & capture beats 7. Recording separate atrial electro gram(oesophageal/transvenous) 8. Echo (evaluating RA contraction in relation to ventricular)
  • 20.
    • Fusion Beats-Ventricular fusion occurs when a ventricular ectopic beat and a supraventricular beat (conducted via the AVN and HPS) simultaneously activate the ventricular myocardium. • The resulting QRS complex has a morphology intermediate between the appearance of a sinus QRS complex and that of a purely ventricular complex. • Capture beat- is a normal QRS complex identical to the sinus QRS complex, occurring during the VT indicates that the normal conduction system has momentarily captured control of ventricular activation from the VT focus.
  • 22.
    Diagnostic approach/algorithms • Sandlerand Marriott Criteria (1965) • Wellens(1978) , • Akhtar(1988) , • Brugada(1991) • Griffith(1994) • Bayesian(1995) • aVR algorithms(2007) • lead II R-wave-peak-time (RWPT) criterion(2010)
  • 24.
    Step 1- RScomplex in precordial leads
  • 25.
    Step 2- rto nadir of s (brugada sign)
  • 26.
    step 3- a-vdissociation
  • 27.
    In RBBB patternfirst “rabbit ear” is taller in VT while second “rabbit ear” is taller in SVT. In LBBB pattern the time from R-wave start to S-wave nadir is short in SVT and long in VT.
  • 28.
  • 29.
    Ultrasimple Brugada criterion:RW to peak Time (RWPT) • In 2010 Joseph Brugada et al. published a new criterion to differentiate VT from SVT in wide complex tachycardias: the R wave peak time in Lead II . • They suggest measuring the duration of onset of the QRS to the first change in polarity (either nadir Q or peak R) in lead II. If the RWPT is ≥ 50ms the likelihood of a VT very high (positive likelihood ratio 34.8).
  • 30.
    WELLEN’S CRITERIA • AVDISSOCIATION • LEFT AXIS DEVIATION • CAPTURE OR FUSION BEATS • QRS ≥ 140 msec • PRECORDIAL QRS CONCORDANCE • RSR’ IN V1, MONO OR BIPHASIC QRS IN V1,OR • MONOPHASIC QS IN V6
  • 32.
    KINDWALL’S CRITERIA FORVT IN LBBB • R wave in V1 or V2 >30 ms. • Any Q wave in V6. • Onset of QRS to nadir of S wave in V1 or V2 >60 ms. • Notching on the downstroke of the S wave in V1 or V2.
  • 33.
  • 34.
    Management • If thepatient is hemodynamically unstable, the first-choice therapy for ventricular tachycardia (VT) is synchronized direct-current (DC) cardioversion with 50 – 100 J • If the patient is suffering from monomorphic VT and has a preserved heart function, the first-line treatment is lidocaine. Alternatives include either amiodarone or procainamide • If the patient has polymorphic VT with a normal baseline QT interval, AHA guidelines state that the first steps are to treat ischemia and correct any electrolyte imbalance.
  • 35.
    • If cardiacfunction is impaired, use amiodarone or lidocaine, followed by synchronized DC cardioversion • If the patient has polymorphic VT with a prolonged baseline QT interval, ACLS guidelines state that any electrolyte imbalance should be corrected. Following this, any one of these treatments can be administered: magnesium sulfate, overdrive pacing, or lidocaine • Long-term treatment of sustained ventricular arrhythmias includes placement of an implantable cardioverter-defibrillator (ICD) and possible adjunctive therapy with amiodarone or sotalol in certain subsets of patients. Patients should be under the care of a cardiologist or electrophysiologist
  • 38.
    Ventricular tachycardia • Cardiacarrhythmia of ≥3 consecutive complexes originating in the ventricles at a rate >100 bpm (cycle length: <600 ms).
  • 39.
    Types of VT •Sustained: VT >30 s or requiring termination due to hemodynamic compromise in <30 s. • Nonsustained / unsustained: ≥3 beats, terminating spontaneously. • Monomorphic: Stable single QRS morphology from beat to beat. • Polymorphic: Changing or multiform QRS morphology from beat to beat. • Bidirectional: VT with a beat-to-beat alternation in the QRS frontal plane axis, often seen in the setting of digitalis toxicity or catecholaminergic polymorphic VT
  • 40.
    • VT/VF storm:VT/VF storm (electrical storm or arrhythmic storm) refers to a state of cardiac electrical instability that is defined by ≥3 episodes of sustained VT, VF, or appropriate shocks from an ICD within 24h. • Ventricular flutter: A regular VA ≈300 bpm (cycle length: 200 ms) with a sinusoidal, monomorphic appearance; no isoelectric interval between successive QRS complexes. • Ventricular fibrillation:Rapid, grossly irregular electrical activity with marked variability in electrocardiographic waveform, ventricular rate usually >300 bpm (cycle length: <200 ms).
  • 41.
    Mechanisms of VT •VT arises distal to the bifurcation of the His bundle in the specialized conduction system, ventricular muscle, or combinations of both • Disorders of impulse formation Enhanced automaticity Triggered activity • Disorders of impulse conduction Re-entry (circus movements)
  • 42.
    Clinical Presentation • Symptoms/eventsrelated to arrhythmia:Palpitations,lightheadedness, syncope, dyspnea, chest pain, cardiac arrest • Symptoms related to underlying heart disease: Dyspnea at rest or on exertion, orthopnea, paroxysmal nocturnal dyspnea, chest pain, edema • Precipitating factors: Exercise, emotional stress • Known heart disease: Coronary, valvular (e.g., mitral valve prolapse), congenital heart disease, other • Risk factors for heart disease: Hypertension, diabetes mellitus, hyperlipidemia, and smoking
  • 43.
    • Hypotension • Tachypnea •Diminished level of consciousness • Pallor • Diaphoresis • Jugular venous pressure may be high, and cannon A wave • First heart sound (S1) may vary in intensity
  • 44.
    • Noninvasive Evaluation: 12-leadECG and Exercise Testing Ambulatory Electrocardiography Implanted Cardiac Monitors Noninvasive Cardiac Imaging Biomarkers Genetic Considerations in Arrhythmia Syndromes
  • 45.
    • Invasive Testing: InvasiveCardiac Imaging: Cardiac Catheterization or CT Angiography Electrophysiological Study
  • 46.
  • 47.
    Catheter Ablation • Theablation strategy, risks and outcomes are related to the mechanism and location of the VA. • Most VA originate close to the subendocardium and are approached through a transvenous (for the right ventricle) or transaortic/transeptal (for the left ventricle) catheterization. • Consider catheter ablation in patients without structural heart disease: - Symptomatic sustained monomorphic VT in patient unresponsive to antiarrhythmics or when antiarrhythmics are not tolerated or not desired by the patient - When a monomorphic PVC trigger of PMVT or VF is present and refractory to antiarrhythmic
  • 48.
    • Consider catheterablation in patients with structural heart disease: - Symptomatic sustained VT (with or without ICD therapy) despite antiarrhythmic therapy or when antiarrhythmic therapy is not tolerated or desired - VT storm without reversible cause - For PVCs/NSVT/VT thought to be the cause ventricular dysfunction - Bundle branch reentry VT or interfascicular VT - When a monomorphic PVC trigger of PMVT or VF is present and refractory to antiarrhythmics
  • 49.
    ICD Indications Class IIndications • ICD therapy is recommended for or secondary prevention of SCD in patients who are survivors of cardiac arrest due to ventricular fibrillation or hemodynamlcally unstable sustained VT after evaluation to define the cause of the event and to exclude any completely reversible causes. • ICD therapy is indicated in patients with structural heart disease and spontaneous sustained VT whether hemodynamically stable or unstable. • ICD therapy is indicated in patients with syncope of undetermined origin with clinically relevant, hemodynamically significant sustained VT or ventricular fibriation induced at electrophysiologic study. • ICD therapy is recommended in patients with LVEF < 35% due to prior myocardial infarction who are at least 40 days post–myocardial infarction and are in NYHA functional class II or III
  • 50.
    • ICD therapyis recommended in patients with nonischemic dilated cardiomyopathy who have an LVEF ≤ 35% and who are in NYHA functional class II or III. • ICD therapy is indicated in patients with LV dysfunction due to prior myocardial infarction who are at least 40 days post–myocardial infarction, have an LVEF < 30%, and are in NYHA functional class I. • ICD therapy is indicated in patients with nonsustained VT due to prior myocardial infarction, LVEF < 40% and inducible ventricular fibrillation or sustained VT at electrophysiologic study.
  • 52.
    Take Home Message •Wide complex tachycardias should be presumed to be VT until proven otherwise • Obtain a 12-lead ECG before and after treatment to help aid in the diagnosis • Unstable WCT requires immediate synchronized cardioversion (when the symptoms are believed to be due to the heart rhythm) • Consider adenosine as an initial therapy for an undifferentiated wide complex tachycardia
  • 53.
    • Aberrancy, aberrantconduction and aberration are all terms used to describe an abnormal conduction of electrical impulses through the heart. • these waywardly conducted signals of SVT take longer to transmit through the myocardium, and consequently produce a wide QRS complex in an ECG. • This aberrant conduction may be distinguished from a bundle branch block (BBB), which it resembles, though the distinction is nearly impossible to make in the field. BBBs are physiological blockages of the bundle branches that cause part of the wave of depolarization to travel outside of the normal cardiac conduction system, thus taking more time and widening the QRS.
  • 54.
    • Aberrancy's abnormalmechanism of conduction is caused by a difference in refractory periods between the right and left bundle branches, not a permanent physiological blockage • Many SVTs with aberrancy are the result of increased atrial activity (atrial fibrillation, multifocal atrial tachycardia, atrial flutter, etc.), coupled with an increase in automaticity of the AV node. • The premature signals caused by the atrial delinquency provide the perfect environment for aberrancy to thrive.
  • 55.
    • Which leadwe should look for measuring the width of qrs ? • Should we take the narrowest qrs or widest qrs or should we take the average ? • Should we calculate how much the tachycardia has widened the qrs from the baseline width of a given patient ? Is it not possible , what is wide for some may be normal for another ! • If there is no isoelectric line and ST segment blends with qrs complex how to mark end of qrs ? • If limb leads show a narrow qrs and chest leads shows wide qrs what is the significance ? • In precordial leads if one lead alone shows a narrow qrs ,what is the significance • Can a narrow qrs VT conduct with aberrancy and making it really wide ?