UNIT 1
Semiconductor Diode
1
Semiconductor
– Silicon  50 X 103 Ω–
cm
– germanium  50 Ω-cm
 A semiconductor is a material which has electrical
conductivity to a degree between that of a metal and that of
an insulator.
 Conductivity of
 Semiconductors are the foundation of modern
electronics including
• transistors,
• solar cells,
• light -emitting diodes (LEDs),
• quantum dots,
• digital and analog integrated circuits
Silicon Vs Germanium
Silicon
(14)
Germanium
(32)
Electrical conductivity
• The highest occupied energy
band is called the valence band.
• Most electrons remain bound to
the atoms in this band.
• The conduction band is the band
of orbitals that are high in
energy and are generally empty.
• It is the band that accepts the
electrons from the valence band
• The “leap” required for electrons
from the Valence Band to enter
the Conduction Band.
Energy band Diagram
Types of semiconductors
Intrinsic Semiconductor
A crystal of pure and regular lattice structure is called intrinsic
semiconductor.
 A pure form of Semiconductor
 The concentration of electrons (ni) in the conduction band = concentration of
holes (pi) in the valance band. (ni =pi)
 Conductivity is poor
 Eg. Pure Silicon, Pure Germanium
 each silicon atom has four valence
electrons
 two valence electrons from two
silicon atoms form the covalent
bond
 Be intact at sufficiently low
temperature
 Be broken at room temperature
Creation of Electron and hole in a semiconductor
CurrentConductioninsemiconductor
Free Electrons and Holes
Free electrons are
produced by thermal
ionization, which can
move freely in the
lattice structure.
Holes are empty
position in broken
covalent bond, which
can be filled by free
electron, positive
charge
Extrinsic Semiconductor
 A Impure form of Semiconductor
 To increase the conductivity of intrinsic semiconductor, a
small amount of impurity (Pentavalent or Trivalent) is
added.
 This process of adding impurity is known as Doping.
 1 or 2 atoms of impurity for 106 intrinsic atoms.
 Electron concentration ≠ Hole concentration
 One type of carrier will predominate in an extrinsic
Classification of Extrinsic Semiconductor
• N Type
Semiconductor
• P Type
Semiconductor
N Type Semiconductor
 A small amount of pentavalent impurities is added
 It is denoting one extra electron for conduction, so it is called donor impurity
(Donors)
 •+ve chargedIons
 Electron concentration > Hole Concentration
 Most commonly used dopants are
• Arsenic,
• Antimony and
• Phosphorus
P Type Semiconductor
 A small amount of trivalent impurities is added
 It accepts free electrons in the place of hole, so it is called Acceptor
impurity (Acceptors)
 - ve chargedIons
 Hole concentration > Electron Concentration
 Most commonly used dopants are
– Aluminum,
– Boron, and
– Gallium
Mass Action Law
• Under thermal equilibrium the product of the free
electron concentration and the free hole
concentration is equal to a constant equal to the
square of intrinsic carrier concentration.
np =
ni
2
Electrical Neutrality in Semiconductor
Positive Charge
Density
Negative Charge
Density
n  Electron Concentration
N  Concentration of Acceptor
ions
A
Total – ve charged density
p  Hole Concentration
N  Concentration of donor
ions D
Total + ve charged density
=
p + N =
n + 14
Charge Density in a Semiconductor
A
P Type Material N Type Material
NA > ND {ND ≈ 0} ND >
NA
{NA ≈ 0}
pp +
ND
= np + NA
pn + ND = nn + NA
N
NA
= pp – np { pp >> np}
= pp
ND
=
ND
=
Mass action Law:
nn – pn { nn >>
pn}
nn
nn pn =ni
2
2
Conductivity of Semiconductor
J  J p  Jn
J p  qpp E
Jn  qn(n E)
J  qpp E  qnn E
J  q( pp  nn )E
J   .E

 
1
The resistivity of a
semiconductor is
  qp p  qnn
The conductivity of a
semiconductor is
16
Conductivity of Semiconductor
1
 

The Resistivity of a
semiconductor is
  qp p  qnn
The Conductivity of a
semiconductor is
q = 1.6*10-19
coulomb
Problems
Fermi level in an Intrinsic Semiconductor
Fermi level in an Extrinsic Semiconductor
Problems
Current Flow in Semiconductors
There are two mechanisms by which holes and free electrons
move through a silicon crystal.
• Drift
• The carrier motion is generated by the electrical field across a piece of
silicon. This motion will produce drift current.
• Diffusion
• The carrier motion is generated by the different concentration of
carrier in a piece of silicon. The diffused motion, usually carriers diffuse
from high concentration to low concentration, will give rise to diffusion
current.
Drift Current Density
J p Drift  qpp E
Jn Drift  qnnE
A/cm2
A/cm2
The flow of electric current due to the motion of the charge carriers under
The influence of an external electric field is called Drift Current
JDrift  J p Drift  Jn Drift
JDrift  qpp E  qnn E
JDrift  q( pp  nn )E
JDrift  .E 39
Diffusion Current Density
 In a semiconductor material, the charge carriers have the tendency to
move from the region of the higher concentration to that of lower
concentration of the same type of charge carriers.
 This movement results in a current called Diffusion Current
Diffusion Current Density
Concentration
Gradients
Diffusion Coefficients
Total Current
Total Current in P type
semiconductor
Jp = Jp Drift + Jp Diffusion
Total Current in N type
semiconductor
Jn = Jn Drift + Jn Diffusion
PN Junction Diode
32
anode cathode
PN JUNCTION WITH NO APPLIED VOLTAGE OR OPEN
CIRCUIT CONDITION
 In a piece of sc, if one half is doped by p type impurity and the other half is doped by n type
impurity, a PN junction is formed.
 The plane dividing the two halves or zones is called PN junction.
 n type material has high concentration of free electrons, while p type material has high
concentration of holes.
 Therefore at the junction there is a tendency of free electrons to diffuse over to the P side and
the holes to the N side. This process is called diffusion.
 As the free electrons move across the junction from N type to P type, the donor
atoms become positively charged. Hence a positive charge is built on the N-side
of the junction.
 The free electrons that cross the junction uncover the negative acceptor ions by
filing the holes. Therefore a negative charge is developed on the p –side of the
junction.
 This net negative charge on the p side prevents further diffusion of electrons into
the p side. Similarly the net positive charge on the N side repels the hole crossing
from p side to N side.
 Thus a barrier is set up near the junction which prevents the further movement of
charge carriers i.e. electrons and holes.
 As a consequence of induced electric field across the depletion layer, an
electrostatic potential difference is established between P and N regions, which
are called the potential barrier, junction barrier, diffusion potential or contact
potential, Vo.
 The magnitude of the contact potential Vo varies with doping levels and
temperature.
 Vo is 0.3V for Ge and 0.72 V for Si.
FORWARD BIASED JUNCTION
DIODE
Negative voltage is applied to the N-type material and
Positive voltage is applied to the P-type material.
 If this external voltage becomes greater than the value of the potential
barrier, approx. 0.7 volts for silicon and 0.3 volts for germanium, the potential
barriers opposition will be overcome and current will start to flow.
depletion layer becoming very thin and narrow
PN JUNCTION UNDER REVERSE BIAS
CONDITION
Positive voltage is applied to the N-type material and
 Negative voltage is applied to the P-type material.
The positive voltage applied to the N-type material attracts electrons towards
the positive electrode and away from the junction, while the holes in the P-
type end are also attracted away from the junction towards the negative
electrode.
depletion layer grows wider
Diode VI Characteristics
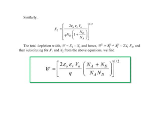
Calculation of Depletion Width
Calculation of Depletion Width
P N
P N
Built in Voltage
Characteristics of Ideal Diode
• Diode always conducts in one direction.
• Diodes always conduct current when “Forward Biased” ( Zero resistance)
• Diodes do not conduct when Reverse Biased
(Infinite resistance)
Energy band structure of Open Circuited PN
junction
 Consider that a PN junction has P-type and
N-type materials in close physical contact at
the junction on an atomic scale.
 Hence, the energy band diagrams of these
two regions undergo relative shift to
equalize the Fermi level.
 The Fermi level E should be constant
throughout the specimen at equilibrium.
 The distribution of electrons or holes in
allowed energy states is dependent on the
position of the Fermi level.
 If this is not so, electrons on one side of the junction would have an average energy higher than
those on the other side, and this causes transfer of electrons and energy until the Fermi levels on
the two sides get equalized.
 However, such a shift does not disturb the relative position of the conduction band, valence band
and Fermi level in any region.
Energy Band Diagram for PN junction (Open Circuited)
• The Fermi level Ef is closer to the
conduction band edge Ecn in the N-type
material while it is closer to the valence
band edge E in the P-type material.
• The conduction band edge Ecp in the P-
type material is higher than the
conduction band edge Ecn in the N-type
material.
• Similarly, the valence band edge Evp in
the P-type material is higher than the
valence band edge Evn in the N-type
material.
• E1, and E2, indicate the shifts in the Fermi
level from the intrinsic conditions in the P
and N materials respectively.
• The total shift in the energy level Eo, is
given by
Contact difference of Potential
𝐸𝐹 − 𝐸𝑣𝑝 =
1
2
𝐸𝐺 − 𝐸1
𝐸𝑐𝑛 − 𝐸𝐹 =
1
2
𝐸𝐺 − 𝐸2
Combining the above equation,
𝐸0 = 𝐸1 + 𝐸2 = 𝐸𝐺 − 𝐸𝑐𝑛 − 𝐸𝐹 − 𝐸𝐹 − 𝐸𝑣𝑝
We know that, 𝑛𝑝 = 𝑁𝐶𝑁𝑉𝑒−
𝐸𝐺
𝑘𝑇
𝑛𝑝 = 𝑛𝑖
2
(Mass action law)
𝐸𝐺 = 𝑘𝑇 ln
𝑁𝐶𝑁𝑉
𝑛𝑖
2
We Know that for N type material, 𝐸𝐹 = 𝐸𝑐 −
𝑘𝑇 ln
𝑁𝐶
𝑁𝐷
𝐸𝑐𝑛- 𝐸𝐹 = 𝑘𝑇 ln
𝑁𝐶
𝑛𝑛
= 𝑘𝑇 ln
𝑁𝐶
𝑁𝐷
Similarly, for P type material, 𝐸𝐹 = 𝐸𝑉 + 𝑘𝑇 ln
𝑁 𝑉
𝑁𝐴
𝐸𝐹 − 𝐸𝑣𝑝 = 𝑘𝑇 ln
𝑁𝑉
𝑃𝑝
= 𝑘𝑇 ln
𝑁𝑉
𝑁𝐴
The contact between a PN junction creates a potential difference
Substituting the equation , we get
𝐸0 = 𝑘𝑇 ln
𝑁𝐶𝑁𝑉
𝑛𝑖
2 − ln
𝑁𝐶
𝑁𝐷
− ln
𝑁𝑉
𝑁𝐴
= 𝑘𝑇 ln
𝑁𝐶𝑁𝑉
𝑛𝑖
2 𝑥
𝑁𝐷
𝑁𝐶
𝑥
𝑁𝐴
𝑁𝑉
= 𝑘𝑇 ln
𝑁𝐷𝑁𝐴
𝑛𝑖
2
As 𝐸0 = q𝑉
𝑜
𝑽𝒐 =
𝒌𝑻
𝒒
𝒍𝒏
𝑵𝑫𝑵𝑨
𝒏𝒊
𝟐
𝐸0 depends upon the equilibrium concentrations and not on the charge
density in the transition region.
Also 𝐸0 may be obtained by substituting the equations of 𝑛𝑛 = 𝑁𝐷, 𝑃𝑝 =
𝑛𝑖
2
𝑁𝐷
,
𝑛𝑛𝑃𝑝= 𝑛𝑖
2
, 𝑃𝑝 = 𝑁𝐴, 𝑛𝑝 =
𝑛𝑖
2
𝑁𝐴
then
𝐸0 = 𝑘𝑇 ln
𝑃𝑝𝑜
𝑃𝑛𝑜
= 𝑘𝑇 ln
𝑛𝑛𝑜
𝑛𝑝𝑜
Where subscript “o” represents the thermal equilibrium condition
Diode Current Equation
 we have neglected carrier generation and recombination in the space-charge
region.
Such an assumption is valid for a germanium diode, but not for a silicon
device.
 If we consider the carrier generation and recombination in the space- charge
region, the general equation of the diode current is approximately given by
Where, For silicon η = 2 and for Germanium η=1.
VT=kT/q=T/11600, volt-equivalent of temperature, i.e., thermal voltage
K=Boltzmann’s constant ( 1.38 x10-3 J/K)
q=charge of the electron (1.602 x 10-19 C)
T=temperature of the diode junction (k) =(degree C +273)
At room temperature, (T=300k), VT =26mv
Problems
P1
Problems
P2
Problems
P3
DC or Static Resistance
• The resistance of the diode at the operating point can be found simply by finding the
corresponding levels of VD and ID
AC or Dynamic Resistance
 Change in voltage and current that can be used to determine the ac or
dynamic resistance
Problems
P4
61
Temperature Effects on Diode
• Temperature can have a marked effect on the characteristics of a silicon
semiconductor diode
• reverse saturation current Io will just doubles in magnitude for every 10°C increase in
temperature.
Problem
P5
DIODE EQUIVALENT CIRCUITS
• An equivalent circuit is a combination of elements properly chosen to best
represent the actual terminal characteristics of a device, system, or such in a
particular operating region.
Piecewise-Linear Equivalent Circuit
• One technique for obtaining an equivalent circuit for a diode is to approximate the
characteristics of the device by straight-line segments, as shown in Fig. 1.31.
• The resulting equivalent circuit is naturally called the piecewise-linear equivalent
circuit.
• It should be obvious from Fig. that the straight-line segments do not result in an
exact duplication of the actual characteristics, especially in the knee region.
• However, the resulting segments are sufficiently close to the actual curve to
establish an equivalent circuit that will provide an excellent first approximation to
the actual behavior of the device.
Simplified Equivalent Circuit
• For most applications, the resistance rav is sufficiently small to be ignored in comparison to the
other elements of the network.
• The removal of rav from the equivalent circuit is the same as implying that the characteristics of the
diode appear as shown in Fig.
Ideal Equivalent Circuit
• Now that rav has been removed from the equivalent circuit let us take it a step further and
establish that a 0.7-V level can often be ignored in comparison to the applied voltage level.
• In this case the equivalent circuit will be reduced to that of an ideal diode as shown in Fig.
with its characteristics.
Problem
DC Load Line Analysis
In graphical analysis of nonlinear electronic circuits, a DC load line is a line
drawn on the characteristic curve, a graph of the current vs. the voltage in a
nonlinear device like a diode.
It represents the constraint put on the voltage and current in the nonlinear
device by the external circuit.
The load line, usually a straight line, represents the response of the linear part
of the circuit, connected to the nonlinear device in question.
The points where the characteristic curve and the load line intersect are the
possible operating point(s) (Q points) of the circuit; at these points the current
and voltage parameters of both parts of the circuit match.
Assume that the diode is forward biased, current will flow in the circuit as
shown and we can proceed.
 If ID is equal to zero, there is no drop across
R and VD=VS.
 This will define the horizontal axis intercept.
 If VD is equal to zero, the entire source
voltage will be dropped across R and
ID=VS/R.
 This will define the vertical axis intercept.
 The resulting load line will be a straight line
with a slope of –1/R.
 The diode curve (in red) is the plot of the forward biased diode equation and the load line (in
blue) is the result of the above analysis.
 The Q-point (aka quiescent point or operating point) is the intersection of the two curves and
defines the operational parameters ID and VD.
Switching Characteristics
70
• Recovery time
–Forward Recovery Time
–Reverse Recover Time
Switching Characteristics
71
VF/R
L
VR/R
L
IO
Switching Characteristics
72
• When the applied voltage to
the PN junction diode is
suddenly reversed in the
opposite direction, the diode
response reaches a steady
state after an interval of time.
• This is called recover time.
• The forward recovery time tfr, is
defined as the time required for
forward voltage or current to
reach a specified value after
switching diode from its reverse
to forward biased state
• Forward recovery time
posses no serious
problem
Switching Characteristics
73
• When the PN junction diode
is forward biased, the
minority electron
concentration in the P region
is approximately linear.
• If the junction is suddenly
reverse biased, at t1, then
because of this stored
electronic charge, the reverse
current IR is initially of the same
magnitude as the forward
current
• The injected minority carrier have
remained stored and have to reach
the equilibrium state, this is called
storage time (ts)
• The time required for the diode
for nominal recovery to reach its
steady state is called transition
Switching Characteristics
74
• For commercial switching type diodes the reverse recovery time trr
ranges from less than 1 ns to as high as 1 µs.
• The operating frequency should be a minimum of
approximately 10 times trr.
• If a diode has trr of 2ns, the maximum operating
frequency is
fmax = 1/T  1/(10*2*10-9)  50 MHz
Break down in PN Junction Diodes
75
Avalanche Break Down
76
• Thermally generated minority carriers cross the depletion region and
acquire sufficient kinetic energy from the applied potential to
produce new carrier by removing valence electrons from their
bonds.
• These new carrier will in turn collide with other atoms and will
increase the number of electrons and holes available for conduction.
• The multiplication effect of free carrier may represented
by
Zener Break down
77
• Zener breakdown occurs in highly doped PN junction
through tunneling mechanism
• In a highly doped junction, the conduction and valance bands on
opposite sides of the junction are sufficiently close during reverse
bias
• Electrons may tunnel directly from the valence band of the P
side into the conduction band on the n side
Diode Ratings
• Maximum Forward Current
– Highest instantaneous current under forward bias condition that
can flow through the junction.
• Peak Inverse Voltage (PIV)
– Maximum reverse voltage that can be applied to the PN junction
– If the voltage across the junction exceeds PIV, under
reverse bias condition, the junction gets damaged. (1000
V)
• Maximum Power Rating
– Maximum power that can be dissipated at the junction
without damaging the junction.
– It is the product of voltage across the junction and current
junction 68
Diode Ratings
• Maximum Average Forward Current
– Maximum amount of average current that can be permitted to flow in
the forward direction at a special temperature (25o C)
• Repetitive Peak Forward Current
– Maximum peak current that can be permitted to flow in the forward
direction in the form of recurring pulses.
– Limiting value of the current is 450 mA
• Maximum Surge Current
– Maximum current permitted to flow in the forward direction in the form
of nonrecurring pulses.
– It should not be more that a few
milliseconds.
(30 A for 8.3
ms)
69

UNIT 1- Semiconductor diodes (3).pptx

  • 1.
  • 2.
    Semiconductor – Silicon 50 X 103 Ω– cm – germanium  50 Ω-cm  A semiconductor is a material which has electrical conductivity to a degree between that of a metal and that of an insulator.  Conductivity of  Semiconductors are the foundation of modern electronics including • transistors, • solar cells, • light -emitting diodes (LEDs), • quantum dots, • digital and analog integrated circuits
  • 3.
  • 4.
    Electrical conductivity • Thehighest occupied energy band is called the valence band. • Most electrons remain bound to the atoms in this band. • The conduction band is the band of orbitals that are high in energy and are generally empty. • It is the band that accepts the electrons from the valence band • The “leap” required for electrons from the Valence Band to enter the Conduction Band.
  • 5.
  • 6.
  • 7.
    Intrinsic Semiconductor A crystalof pure and regular lattice structure is called intrinsic semiconductor.  A pure form of Semiconductor  The concentration of electrons (ni) in the conduction band = concentration of holes (pi) in the valance band. (ni =pi)  Conductivity is poor  Eg. Pure Silicon, Pure Germanium  each silicon atom has four valence electrons  two valence electrons from two silicon atoms form the covalent bond  Be intact at sufficiently low temperature  Be broken at room temperature
  • 8.
    Creation of Electronand hole in a semiconductor CurrentConductioninsemiconductor
  • 9.
    Free Electrons andHoles Free electrons are produced by thermal ionization, which can move freely in the lattice structure. Holes are empty position in broken covalent bond, which can be filled by free electron, positive charge
  • 10.
    Extrinsic Semiconductor  AImpure form of Semiconductor  To increase the conductivity of intrinsic semiconductor, a small amount of impurity (Pentavalent or Trivalent) is added.  This process of adding impurity is known as Doping.  1 or 2 atoms of impurity for 106 intrinsic atoms.  Electron concentration ≠ Hole concentration  One type of carrier will predominate in an extrinsic
  • 11.
    Classification of ExtrinsicSemiconductor • N Type Semiconductor • P Type Semiconductor
  • 12.
    N Type Semiconductor A small amount of pentavalent impurities is added  It is denoting one extra electron for conduction, so it is called donor impurity (Donors)  •+ve chargedIons  Electron concentration > Hole Concentration  Most commonly used dopants are • Arsenic, • Antimony and • Phosphorus
  • 13.
    P Type Semiconductor A small amount of trivalent impurities is added  It accepts free electrons in the place of hole, so it is called Acceptor impurity (Acceptors)  - ve chargedIons  Hole concentration > Electron Concentration  Most commonly used dopants are – Aluminum, – Boron, and – Gallium
  • 14.
    Mass Action Law •Under thermal equilibrium the product of the free electron concentration and the free hole concentration is equal to a constant equal to the square of intrinsic carrier concentration. np = ni 2
  • 15.
    Electrical Neutrality inSemiconductor Positive Charge Density Negative Charge Density n  Electron Concentration N  Concentration of Acceptor ions A Total – ve charged density p  Hole Concentration N  Concentration of donor ions D Total + ve charged density = p + N = n + 14
  • 16.
    Charge Density ina Semiconductor A P Type Material N Type Material NA > ND {ND ≈ 0} ND > NA {NA ≈ 0} pp + ND = np + NA pn + ND = nn + NA N NA = pp – np { pp >> np} = pp ND = ND = Mass action Law: nn – pn { nn >> pn} nn nn pn =ni 2 2
  • 17.
    Conductivity of Semiconductor J J p  Jn J p  qpp E Jn  qn(n E) J  qpp E  qnn E J  q( pp  nn )E J   .E    1 The resistivity of a semiconductor is   qp p  qnn The conductivity of a semiconductor is 16
  • 18.
    Conductivity of Semiconductor 1   The Resistivity of a semiconductor is   qp p  qnn The Conductivity of a semiconductor is q = 1.6*10-19 coulomb
  • 19.
  • 22.
    Fermi level inan Intrinsic Semiconductor
  • 23.
    Fermi level inan Extrinsic Semiconductor
  • 24.
  • 27.
    Current Flow inSemiconductors There are two mechanisms by which holes and free electrons move through a silicon crystal. • Drift • The carrier motion is generated by the electrical field across a piece of silicon. This motion will produce drift current. • Diffusion • The carrier motion is generated by the different concentration of carrier in a piece of silicon. The diffused motion, usually carriers diffuse from high concentration to low concentration, will give rise to diffusion current.
  • 28.
    Drift Current Density Jp Drift  qpp E Jn Drift  qnnE A/cm2 A/cm2 The flow of electric current due to the motion of the charge carriers under The influence of an external electric field is called Drift Current JDrift  J p Drift  Jn Drift JDrift  qpp E  qnn E JDrift  q( pp  nn )E JDrift  .E 39
  • 29.
    Diffusion Current Density In a semiconductor material, the charge carriers have the tendency to move from the region of the higher concentration to that of lower concentration of the same type of charge carriers.  This movement results in a current called Diffusion Current
  • 30.
  • 31.
    Total Current Total Currentin P type semiconductor Jp = Jp Drift + Jp Diffusion Total Current in N type semiconductor Jn = Jn Drift + Jn Diffusion
  • 32.
  • 33.
    PN JUNCTION WITHNO APPLIED VOLTAGE OR OPEN CIRCUIT CONDITION  In a piece of sc, if one half is doped by p type impurity and the other half is doped by n type impurity, a PN junction is formed.  The plane dividing the two halves or zones is called PN junction.  n type material has high concentration of free electrons, while p type material has high concentration of holes.  Therefore at the junction there is a tendency of free electrons to diffuse over to the P side and the holes to the N side. This process is called diffusion.
  • 34.
     As thefree electrons move across the junction from N type to P type, the donor atoms become positively charged. Hence a positive charge is built on the N-side of the junction.  The free electrons that cross the junction uncover the negative acceptor ions by filing the holes. Therefore a negative charge is developed on the p –side of the junction.  This net negative charge on the p side prevents further diffusion of electrons into the p side. Similarly the net positive charge on the N side repels the hole crossing from p side to N side.  Thus a barrier is set up near the junction which prevents the further movement of charge carriers i.e. electrons and holes.  As a consequence of induced electric field across the depletion layer, an electrostatic potential difference is established between P and N regions, which are called the potential barrier, junction barrier, diffusion potential or contact potential, Vo.  The magnitude of the contact potential Vo varies with doping levels and temperature.  Vo is 0.3V for Ge and 0.72 V for Si.
  • 35.
    FORWARD BIASED JUNCTION DIODE Negativevoltage is applied to the N-type material and Positive voltage is applied to the P-type material.  If this external voltage becomes greater than the value of the potential barrier, approx. 0.7 volts for silicon and 0.3 volts for germanium, the potential barriers opposition will be overcome and current will start to flow. depletion layer becoming very thin and narrow
  • 36.
    PN JUNCTION UNDERREVERSE BIAS CONDITION Positive voltage is applied to the N-type material and  Negative voltage is applied to the P-type material. The positive voltage applied to the N-type material attracts electrons towards the positive electrode and away from the junction, while the holes in the P- type end are also attracted away from the junction towards the negative electrode. depletion layer grows wider
  • 37.
  • 38.
  • 39.
  • 40.
  • 43.
  • 45.
    Characteristics of IdealDiode • Diode always conducts in one direction. • Diodes always conduct current when “Forward Biased” ( Zero resistance) • Diodes do not conduct when Reverse Biased (Infinite resistance)
  • 46.
    Energy band structureof Open Circuited PN junction  Consider that a PN junction has P-type and N-type materials in close physical contact at the junction on an atomic scale.  Hence, the energy band diagrams of these two regions undergo relative shift to equalize the Fermi level.  The Fermi level E should be constant throughout the specimen at equilibrium.  The distribution of electrons or holes in allowed energy states is dependent on the position of the Fermi level.  If this is not so, electrons on one side of the junction would have an average energy higher than those on the other side, and this causes transfer of electrons and energy until the Fermi levels on the two sides get equalized.  However, such a shift does not disturb the relative position of the conduction band, valence band and Fermi level in any region.
  • 47.
    Energy Band Diagramfor PN junction (Open Circuited) • The Fermi level Ef is closer to the conduction band edge Ecn in the N-type material while it is closer to the valence band edge E in the P-type material. • The conduction band edge Ecp in the P- type material is higher than the conduction band edge Ecn in the N-type material. • Similarly, the valence band edge Evp in the P-type material is higher than the valence band edge Evn in the N-type material. • E1, and E2, indicate the shifts in the Fermi level from the intrinsic conditions in the P and N materials respectively. • The total shift in the energy level Eo, is given by
  • 48.
    Contact difference ofPotential 𝐸𝐹 − 𝐸𝑣𝑝 = 1 2 𝐸𝐺 − 𝐸1 𝐸𝑐𝑛 − 𝐸𝐹 = 1 2 𝐸𝐺 − 𝐸2 Combining the above equation, 𝐸0 = 𝐸1 + 𝐸2 = 𝐸𝐺 − 𝐸𝑐𝑛 − 𝐸𝐹 − 𝐸𝐹 − 𝐸𝑣𝑝 We know that, 𝑛𝑝 = 𝑁𝐶𝑁𝑉𝑒− 𝐸𝐺 𝑘𝑇 𝑛𝑝 = 𝑛𝑖 2 (Mass action law) 𝐸𝐺 = 𝑘𝑇 ln 𝑁𝐶𝑁𝑉 𝑛𝑖 2 We Know that for N type material, 𝐸𝐹 = 𝐸𝑐 − 𝑘𝑇 ln 𝑁𝐶 𝑁𝐷 𝐸𝑐𝑛- 𝐸𝐹 = 𝑘𝑇 ln 𝑁𝐶 𝑛𝑛 = 𝑘𝑇 ln 𝑁𝐶 𝑁𝐷 Similarly, for P type material, 𝐸𝐹 = 𝐸𝑉 + 𝑘𝑇 ln 𝑁 𝑉 𝑁𝐴 𝐸𝐹 − 𝐸𝑣𝑝 = 𝑘𝑇 ln 𝑁𝑉 𝑃𝑝 = 𝑘𝑇 ln 𝑁𝑉 𝑁𝐴 The contact between a PN junction creates a potential difference
  • 49.
    Substituting the equation, we get 𝐸0 = 𝑘𝑇 ln 𝑁𝐶𝑁𝑉 𝑛𝑖 2 − ln 𝑁𝐶 𝑁𝐷 − ln 𝑁𝑉 𝑁𝐴 = 𝑘𝑇 ln 𝑁𝐶𝑁𝑉 𝑛𝑖 2 𝑥 𝑁𝐷 𝑁𝐶 𝑥 𝑁𝐴 𝑁𝑉 = 𝑘𝑇 ln 𝑁𝐷𝑁𝐴 𝑛𝑖 2 As 𝐸0 = q𝑉 𝑜 𝑽𝒐 = 𝒌𝑻 𝒒 𝒍𝒏 𝑵𝑫𝑵𝑨 𝒏𝒊 𝟐 𝐸0 depends upon the equilibrium concentrations and not on the charge density in the transition region. Also 𝐸0 may be obtained by substituting the equations of 𝑛𝑛 = 𝑁𝐷, 𝑃𝑝 = 𝑛𝑖 2 𝑁𝐷 , 𝑛𝑛𝑃𝑝= 𝑛𝑖 2 , 𝑃𝑝 = 𝑁𝐴, 𝑛𝑝 = 𝑛𝑖 2 𝑁𝐴 then 𝐸0 = 𝑘𝑇 ln 𝑃𝑝𝑜 𝑃𝑛𝑜 = 𝑘𝑇 ln 𝑛𝑛𝑜 𝑛𝑝𝑜 Where subscript “o” represents the thermal equilibrium condition
  • 50.
  • 54.
     we haveneglected carrier generation and recombination in the space-charge region. Such an assumption is valid for a germanium diode, but not for a silicon device.  If we consider the carrier generation and recombination in the space- charge region, the general equation of the diode current is approximately given by Where, For silicon η = 2 and for Germanium η=1. VT=kT/q=T/11600, volt-equivalent of temperature, i.e., thermal voltage K=Boltzmann’s constant ( 1.38 x10-3 J/K) q=charge of the electron (1.602 x 10-19 C) T=temperature of the diode junction (k) =(degree C +273) At room temperature, (T=300k), VT =26mv
  • 55.
  • 56.
  • 57.
  • 58.
    DC or StaticResistance • The resistance of the diode at the operating point can be found simply by finding the corresponding levels of VD and ID
  • 59.
    AC or DynamicResistance  Change in voltage and current that can be used to determine the ac or dynamic resistance
  • 60.
  • 61.
  • 63.
    Temperature Effects onDiode • Temperature can have a marked effect on the characteristics of a silicon semiconductor diode • reverse saturation current Io will just doubles in magnitude for every 10°C increase in temperature.
  • 64.
  • 65.
    DIODE EQUIVALENT CIRCUITS •An equivalent circuit is a combination of elements properly chosen to best represent the actual terminal characteristics of a device, system, or such in a particular operating region. Piecewise-Linear Equivalent Circuit • One technique for obtaining an equivalent circuit for a diode is to approximate the characteristics of the device by straight-line segments, as shown in Fig. 1.31. • The resulting equivalent circuit is naturally called the piecewise-linear equivalent circuit. • It should be obvious from Fig. that the straight-line segments do not result in an exact duplication of the actual characteristics, especially in the knee region. • However, the resulting segments are sufficiently close to the actual curve to establish an equivalent circuit that will provide an excellent first approximation to the actual behavior of the device.
  • 66.
    Simplified Equivalent Circuit •For most applications, the resistance rav is sufficiently small to be ignored in comparison to the other elements of the network. • The removal of rav from the equivalent circuit is the same as implying that the characteristics of the diode appear as shown in Fig. Ideal Equivalent Circuit • Now that rav has been removed from the equivalent circuit let us take it a step further and establish that a 0.7-V level can often be ignored in comparison to the applied voltage level. • In this case the equivalent circuit will be reduced to that of an ideal diode as shown in Fig. with its characteristics.
  • 67.
  • 68.
    DC Load LineAnalysis In graphical analysis of nonlinear electronic circuits, a DC load line is a line drawn on the characteristic curve, a graph of the current vs. the voltage in a nonlinear device like a diode. It represents the constraint put on the voltage and current in the nonlinear device by the external circuit. The load line, usually a straight line, represents the response of the linear part of the circuit, connected to the nonlinear device in question. The points where the characteristic curve and the load line intersect are the possible operating point(s) (Q points) of the circuit; at these points the current and voltage parameters of both parts of the circuit match. Assume that the diode is forward biased, current will flow in the circuit as shown and we can proceed.
  • 69.
     If IDis equal to zero, there is no drop across R and VD=VS.  This will define the horizontal axis intercept.  If VD is equal to zero, the entire source voltage will be dropped across R and ID=VS/R.  This will define the vertical axis intercept.  The resulting load line will be a straight line with a slope of –1/R.  The diode curve (in red) is the plot of the forward biased diode equation and the load line (in blue) is the result of the above analysis.  The Q-point (aka quiescent point or operating point) is the intersection of the two curves and defines the operational parameters ID and VD.
  • 70.
    Switching Characteristics 70 • Recoverytime –Forward Recovery Time –Reverse Recover Time
  • 71.
  • 72.
    Switching Characteristics 72 • Whenthe applied voltage to the PN junction diode is suddenly reversed in the opposite direction, the diode response reaches a steady state after an interval of time. • This is called recover time. • The forward recovery time tfr, is defined as the time required for forward voltage or current to reach a specified value after switching diode from its reverse to forward biased state • Forward recovery time posses no serious problem
  • 73.
    Switching Characteristics 73 • Whenthe PN junction diode is forward biased, the minority electron concentration in the P region is approximately linear. • If the junction is suddenly reverse biased, at t1, then because of this stored electronic charge, the reverse current IR is initially of the same magnitude as the forward current • The injected minority carrier have remained stored and have to reach the equilibrium state, this is called storage time (ts) • The time required for the diode for nominal recovery to reach its steady state is called transition
  • 74.
    Switching Characteristics 74 • Forcommercial switching type diodes the reverse recovery time trr ranges from less than 1 ns to as high as 1 µs. • The operating frequency should be a minimum of approximately 10 times trr. • If a diode has trr of 2ns, the maximum operating frequency is fmax = 1/T  1/(10*2*10-9)  50 MHz
  • 75.
    Break down inPN Junction Diodes 75
  • 76.
    Avalanche Break Down 76 •Thermally generated minority carriers cross the depletion region and acquire sufficient kinetic energy from the applied potential to produce new carrier by removing valence electrons from their bonds. • These new carrier will in turn collide with other atoms and will increase the number of electrons and holes available for conduction. • The multiplication effect of free carrier may represented by
  • 77.
    Zener Break down 77 •Zener breakdown occurs in highly doped PN junction through tunneling mechanism • In a highly doped junction, the conduction and valance bands on opposite sides of the junction are sufficiently close during reverse bias • Electrons may tunnel directly from the valence band of the P side into the conduction band on the n side
  • 78.
    Diode Ratings • MaximumForward Current – Highest instantaneous current under forward bias condition that can flow through the junction. • Peak Inverse Voltage (PIV) – Maximum reverse voltage that can be applied to the PN junction – If the voltage across the junction exceeds PIV, under reverse bias condition, the junction gets damaged. (1000 V) • Maximum Power Rating – Maximum power that can be dissipated at the junction without damaging the junction. – It is the product of voltage across the junction and current junction 68
  • 79.
    Diode Ratings • MaximumAverage Forward Current – Maximum amount of average current that can be permitted to flow in the forward direction at a special temperature (25o C) • Repetitive Peak Forward Current – Maximum peak current that can be permitted to flow in the forward direction in the form of recurring pulses. – Limiting value of the current is 450 mA • Maximum Surge Current – Maximum current permitted to flow in the forward direction in the form of nonrecurring pulses. – It should not be more that a few milliseconds. (30 A for 8.3 ms) 69