 Permanent Magnet Moving Coil Instrument
(PMMC)
 Moving Iron Instrument
 Electrodynamic Instruments
 HotWire Instruments
 Thermocouple Instruments
 InductionType Instruments
 Electrostatic Instruments
 RectifierType Instruments
 Working Principle : Refer to fig. (a) and (b), A
torque is exerted on a current carrying coil
placed in the field of a permanent magnet.
 The coil ‘C’ has a number of turns of thin
insulated wire wound on a rectangular
Aluminium former ‘F’. The former is carried
on a spindle S mounted in jewel bearings J1
and J2.
 Pointer PR is attached to the spindle to move
on the scale
Thus the scale of PMMC instruments are linear or Uniform
 Sensitivity is very high
 Very accurate and reliable
 Uniform scale up to 2700 or more
 Very effective damping
 Low power consumption
 Easily converted into multi range instrument
 Free from Hysterisis error and not affected by
external magnetic field because its
permanent magnet shield the coil from
external magnetic field.
 It can operate only on direct current because.
If the current reverses, deflection also
reverses. So for AC supply the deflection
alternates and remains at zero position.
 The moving system is very delicate and can
easily be damaged by rough handling.
 Very fine wire is used in coil so cannot
withstand overloading.
 PMMC instruments are costlier than moving
iron instruments
 DC Ammeter
 DC voltmeter
 Multimeter
 Flux meter
 DC Galvanometer
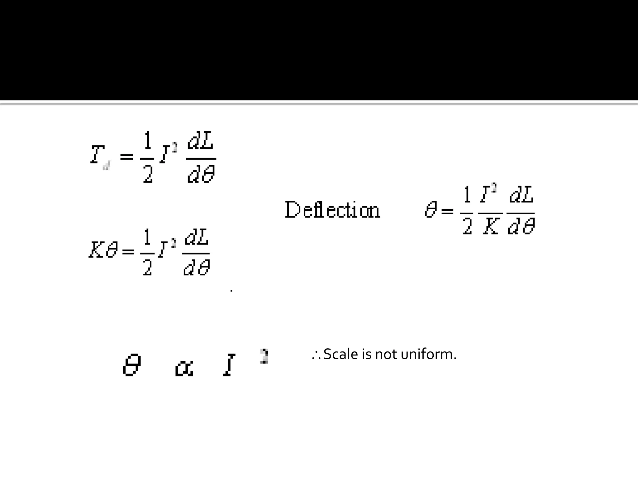
Scale is not uniform.
 Moving iron instruments are of two types
(a) Attraction type
(b) Repulsion type.
 The moving iron is a eccentrically mounted
soft iron piece. When the current flows
through the coil, a magnetic field is produced
 Moving iron moves from the weaker field
(out side the coil) to stronger field (inside the
coil. In other words, the coil attracts moving
iron.
 The controlling torque is provided by the
springs. The gravity control can be used for
panel type instruments, which are vertically
mounted. Generally air friction damping is
provided in these type of instruments.
 In the repulsion type, there are two vanes
inside the coil, one is fixed and other is
movable. These vanes are magnetized when
the current flows through the coil and there is
a force of repulsion between the two vanes
resulting in the movement of the moving
vane
 It can be used for both AC and DC
 Robust in construction and relatively cheap
 Can withstand overload momentarily
 Non uniform scale
 Affected by stray magnetic field
 It consumes large amount of power due to I2R
loss
 There is magnetic losses in the vanes, so
these instruments are not very sensitive
 Voltmeter,Ammeter, Power factor meter.
They are suitable for measurement of low
frequency high power circuits
 The Electrodynamic instrument has a moving
coil, but the magnetic field, in which the coil
moves is provided by two fixed coils ‘CC’
rather than by permanent magnets. The
current in fixed coil produce the uniform
magnetic field
Control:-The control torque is provided by two springs.
Moving System:-The moving coil mounted on an
Aluminum spindle.
Damping:- Air friction damping
Applications:-They are used in Ammeter,Voltmeter,
Wattmeter, Power factor meter etc.
 The electrical current flowing in the heating
element produces the heat at the junction.
The thermocouple produces an emf at its
output terminal. This emf can be measured
with the help of a PMMC instrument. The emf
produced is proportional to the temperature
and rms value of the current.
Hence the instrument shows a square law
response.These instruments can be used for
both AC and DC.
 Advantages:-
 These instruments indicate the rms value of
voltage and current.
 These instruments are not affected by stray
magnetic field.
 These instruments are free from frequency error
and can be used for large frequency range.
 Very high sensitivity.
 Disadvantages:-
 The instrument follow square law
 Low efficiency due to power loss in thermal
conversion
 When the current is passed through the fine
wire, it gets heated and expands.
 The sag of wire is magnified and the
expansion is taken by the spring.
 This causes the pulley to rotate the pointer to
deflect and indicate the value of current.
 The heating effect is proportional to square
of rms value of current.
 In this type of instruments the deflecting torque
is produced by electric field.They are very useful
for high voltage measurement in laboratories.
Two charged electrodes are used in the
instrument.
Linear MotionType:-
One plate ‘A’ is fixed and plate ‘B’ is movable.
Plates have opposite charges and restrained by a
spring, connected with movable plate.
 These instruments are used for measurement
of AC voltage and current after converting it
into DC.
 Rectifier is used to convert AC into DC. In
these instruments a Permanent Magnet
Moving Coil instrument is used as indicating
device because they have very high
sensitivity.
 The operation of these instruments is based
on the production of torque due to reaction
between flux produced by electromagnet and
eddy current induced in a metallic disc.

Types of instruments

  • 1.
     Permanent MagnetMoving Coil Instrument (PMMC)  Moving Iron Instrument  Electrodynamic Instruments  HotWire Instruments  Thermocouple Instruments  InductionType Instruments  Electrostatic Instruments  RectifierType Instruments
  • 4.
     Working Principle: Refer to fig. (a) and (b), A torque is exerted on a current carrying coil placed in the field of a permanent magnet.  The coil ‘C’ has a number of turns of thin insulated wire wound on a rectangular Aluminium former ‘F’. The former is carried on a spindle S mounted in jewel bearings J1 and J2.  Pointer PR is attached to the spindle to move on the scale
  • 6.
    Thus the scaleof PMMC instruments are linear or Uniform
  • 7.
     Sensitivity isvery high  Very accurate and reliable  Uniform scale up to 2700 or more  Very effective damping  Low power consumption  Easily converted into multi range instrument  Free from Hysterisis error and not affected by external magnetic field because its permanent magnet shield the coil from external magnetic field.
  • 8.
     It canoperate only on direct current because. If the current reverses, deflection also reverses. So for AC supply the deflection alternates and remains at zero position.  The moving system is very delicate and can easily be damaged by rough handling.  Very fine wire is used in coil so cannot withstand overloading.  PMMC instruments are costlier than moving iron instruments
  • 9.
     DC Ammeter DC voltmeter  Multimeter  Flux meter  DC Galvanometer
  • 11.
  • 12.
     Moving ironinstruments are of two types (a) Attraction type (b) Repulsion type.
  • 14.
     The movingiron is a eccentrically mounted soft iron piece. When the current flows through the coil, a magnetic field is produced  Moving iron moves from the weaker field (out side the coil) to stronger field (inside the coil. In other words, the coil attracts moving iron.
  • 15.
     The controllingtorque is provided by the springs. The gravity control can be used for panel type instruments, which are vertically mounted. Generally air friction damping is provided in these type of instruments.
  • 17.
     In therepulsion type, there are two vanes inside the coil, one is fixed and other is movable. These vanes are magnetized when the current flows through the coil and there is a force of repulsion between the two vanes resulting in the movement of the moving vane
  • 18.
     It canbe used for both AC and DC  Robust in construction and relatively cheap  Can withstand overload momentarily
  • 19.
     Non uniformscale  Affected by stray magnetic field  It consumes large amount of power due to I2R loss  There is magnetic losses in the vanes, so these instruments are not very sensitive
  • 20.
     Voltmeter,Ammeter, Powerfactor meter. They are suitable for measurement of low frequency high power circuits
  • 22.
     The Electrodynamicinstrument has a moving coil, but the magnetic field, in which the coil moves is provided by two fixed coils ‘CC’ rather than by permanent magnets. The current in fixed coil produce the uniform magnetic field
  • 23.
    Control:-The control torqueis provided by two springs. Moving System:-The moving coil mounted on an Aluminum spindle. Damping:- Air friction damping Applications:-They are used in Ammeter,Voltmeter, Wattmeter, Power factor meter etc.
  • 25.
     The electricalcurrent flowing in the heating element produces the heat at the junction. The thermocouple produces an emf at its output terminal. This emf can be measured with the help of a PMMC instrument. The emf produced is proportional to the temperature and rms value of the current.
  • 26.
    Hence the instrumentshows a square law response.These instruments can be used for both AC and DC.
  • 27.
     Advantages:-  Theseinstruments indicate the rms value of voltage and current.  These instruments are not affected by stray magnetic field.  These instruments are free from frequency error and can be used for large frequency range.  Very high sensitivity.  Disadvantages:-  The instrument follow square law  Low efficiency due to power loss in thermal conversion
  • 29.
     When thecurrent is passed through the fine wire, it gets heated and expands.  The sag of wire is magnified and the expansion is taken by the spring.  This causes the pulley to rotate the pointer to deflect and indicate the value of current.  The heating effect is proportional to square of rms value of current.
  • 31.
     In thistype of instruments the deflecting torque is produced by electric field.They are very useful for high voltage measurement in laboratories. Two charged electrodes are used in the instrument. Linear MotionType:- One plate ‘A’ is fixed and plate ‘B’ is movable. Plates have opposite charges and restrained by a spring, connected with movable plate.
  • 33.
     These instrumentsare used for measurement of AC voltage and current after converting it into DC.  Rectifier is used to convert AC into DC. In these instruments a Permanent Magnet Moving Coil instrument is used as indicating device because they have very high sensitivity.
  • 35.
     The operationof these instruments is based on the production of torque due to reaction between flux produced by electromagnet and eddy current induced in a metallic disc.