Embed presentation
Downloaded 13 times








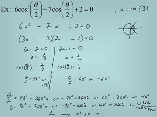
The document discusses steps for solving trigonometric equations: 1) isolate the trigonometric function, 2) use an inverse trig function to find one solution, 3) use the unit circle to find a second solution, and 4) use periodicity to state the general solution. It provides an example of applying these steps and notes that sometimes isolating the trig function can be more difficult for more complicated equations.







