Temporal-difference Learning
Jie-Han Chen
NetDB, National Cheng Kung University
5/15, 2018 @ National Cheng Kung University, Taiwan
1
The content and images in this slides were borrowed from:
1. Rich Sutton’s textbook
2. David Silver’s Reinforcement Learning class in UCL
3. Künstliche Intelligenz’s slides
2
Disclaimer
Outline
● Recap DP, MC method
● TD learning
● Sarsa, Q-learning
● N-step bootstrapping
● TD (lambda)
3
Value-based method
Generalized policy iteration (GPI) plays the most
important part in reinforcement learning. All we
need is to find how to update the value function.
4
Dynamic Programming
Figure source: David Silver’s slides
5
Monte Carlo Method
Figure source: David Silver’s slides
6
Dynamic Programming & Monte Carlo method
Dynamic Programming
● update per step, using bootstrapping
● need model
● computation cost
Monte Carlo Method
● update per episode
● model-free
● hard to be applied to continuing task
7
Can we combine the advantage of Dynamic
Programming and Monte Carlo method?
8
Temporal-difference learning
9
Different from MC method, each sample of TD learning is just a few steps, not the
whole trajectory. TD learning bases its update in part on an existing estimate, so it’s
also a bootstrapping method.
TD method is an policy evaluation method (without control),
which is used to predict the value of fixed policy.
Temporal-difference learning
10
backup diagram of TD(0)
Temporal-difference learning
We want to improve our estimate of V by computing these averages:
11
Temporal-difference learning
We want to improve our estimate of V by computing these averages:
sample 1:
12
Temporal-difference learning
We want to improve our estimate of V by computing these averages:
sample 1:
sample 2:
13
Temporal-difference learning
We want to improve our estimate of V by computing these averages:
sample 1:
sample 2:
sample 3:
14
Temporal-difference learning
In model-free RL, we use samples to estimate the expectation of future total
rewards.
sample 1:
sample 2:
…
sample n:
15
Temporal-difference learning
sample 1:
sample 2:
sample n:
16
Temporal-difference learning
sample 1:
sample 2:
sample n:
17
But, we cannot rewind time to get
sample after sample from St !
Temporal-difference learning
We can use weighted format to update the new value function:
which is equal to
The can be a kind of learning rate.
18
Exponential Moving Average
● The running interpolation update:
● Makes recent samples more important:
● Forgets about the past, is its forget rate.
19
Temporal-difference learning
TD update, one-step TD/TD(0):
The quantity in the brackets is a sort of error, called TD error.
The target of TD method
20
Temporal-difference learning
● Model-free
● Online learning (fully incremental method)
○ Can be applied to continuing task
● Better convergence time
○ In practice, converge faster than Monte Carlo method
21
How to choose ?
Stochastic approximation theory (Robbins-Monro sequence) tells us there are two
constraints to make previous exponential moving average converge stably.
1.
2.
22
How to choose ?
Stochastic approximation theory (Robbins-Monro sequence) tells us there are two
conditions to make previous exponential moving average converge stably.
1.
2.
23
P-series could be a choice to satisfy these two
conditions. But the learning rate with these
conditions will learn slow to converge.
The works well in most case.
Temporal-difference learning with Control
In the previous slides, we introduce TD learning which is used to predict the value
function by one-step sample.
Now, we’ll introduce two classic methods in TD control:
● Sarsa
● Q-learning
24
Sarsa
● Inspired by policy iteration
● Replace value function by action-value function
25
Sarsa
● Inspired by policy iteration
● Replace value function by action-value function
26
Sarsa
● Inspired by policy iteration
● Replace value function by action-value function
27
Sarsa
● Inspired by policy iteration
● The behavior policy and target policy is same
28
Sarsa
● Inspired by policy iteration
● The behavior policy and target policy is same
29
Sarsa
● Inspired by policy iteration
● The behavior policy and target policy is same
30
In model-free method, we don’t know the transition
probability. All we need to do is to use a lot of
experience sample to estimate value.
The experience sample in Sarsa is (s, a, r, s’, a’)
Sarsa
● Inspired by policy iteration
● Sarsa update:
31
Sarsa
● Inspired by policy iteration
● Sarsa update:
32
Sarsa
33
Sarsa
34
On-policy!
Q-learning
● Inspired from value iteration
35
Q-learning
● Inspired from value iteration
36
Q-learning
● Inspired from value iteration
37
Q-learning
● Inspired from value iteration
38
Q-learning
● Inspired from value iteration
● Q-learning update:
39
Q-learning
40
SARSA V.S. Q-Learning
● On-policy: The sample policy is as same as learning policy (target policy)
eg: Sarsa, Policy Gradient
● Off-policy: The sample policy is different from learning policy (target policy)
eg. Q-learning, Deep Q Network
41
SARSA V.S. Q-Learning: The Cliff walk
42
Additional infomation:
https://studywolf.wordpress.com/2013/07/01/reinforcement-learning-sarsa-vs-q-learning/
TD learning
43
Monte Carlo Method
Figure source: David Silver’s slides
44
Monte Carlo method
Monte Carlo update:
45
Monte Carlo return:
sum of all rewards behind this
step
Monte Carlo method
Monte Carlo update:
● Unbiased
○ The target is true return of the sample.
● High variance
○ The targets among samples are very different
because they are depend on whole trajectory.
46
TD method
TD update:
47
TD return:
just need to add immediate reward
and the estimated value of next state.
TD method
TD update:
● biased
○ The target is also an estimated value (because
of V(s))
● low variance
○ The targets are slightly different, because it just
take one-step.
48
Can we evaluate policy steps less than
Monte Carlo but more than one-step TD?
49
n-step bootstrapping
● One-step TD learning:
○ target of TD:
○ bellman equation:
● Monte Carlo method:
○ target of MC:
○ bellman equation:
50
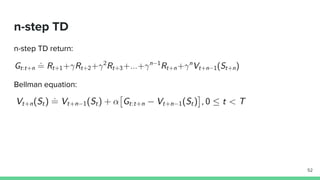
n-step TD
51
n-step TD
n-step TD return:
Bellman equation:
52
53
Performance of n-step TD: Random walk
● 2 terminal states
● with 19 states instead of 5
54
-1
Performance of n-step TD: Random walk
55
n-step Sarsa
56
n-step Sarsa
n-step Sarsa return:
Bellman equation:
57
58
n-step Sarsa
59
In the previous slides, we have seen TD(0) before. What does the 0 mean?
one-step TD/TD(0) update:
60
We have already introduce n-step TD learning, like:
1-step, 3-step, 8-step etc. Maybe 4-step TD return is best
for learning.
Can we combine them together to get better
performance?
61
2-step TD & 4-step TD
Recap: Performance of n-step TD: Random walk
62
A simple way to combine n-step TD returns is to average n-step
return as long as the weights on component returns are positive and
sum to 1.
63
A simple way to combine n-step TD returns is to average n-step
return as long as the weights on component returns are positive and
sum to 1.
64
This is called compound return
The is one particular way of
averaging n-step updates.
This average contains all the n-step
updates, each weighted proportional to
lam
Besides, each term of n-step returns are
normalized by a factor of to
ensure that the weights sum to 1.
65
The return of is defined as
following:
We called it
66
Another form is to separate
post-termination terms from the main
sum.
67
68
/ one-step TD
/ Monte Carlo
● Where
n-step backups
● Backup (on-line or off-line):
● Off-line: the increments are accumulated "on the side" and are not used to
change value estimates until the end of the episode.
● On-line: the updates are done during the episode, as soon as the increment is
computed.
69
● Update value function towards the
● Foward view looks into the future to compute
● Like MC, can only be computed from complete episodes (Off-line learning)
70
Forward
Forward
71
In forward view, after looking forward from and updating one state, we
move on to the next and never have to work with the preceding state
agein.
vs N-step TD: 19-state random walk
72
Backward
● Forward view provides theory
● Backward view provides mechanism
● Shout backward over time
● The strength of your voice decreases with temporal distance by
73
Backward
Eligibility trace denoted by , which keeps track the weights of updating value
function for every state.
74
Eligibility Trace
75
Accumulating eligibility trace for certain state S
Visit stateS
From David’s slides
Backward
● Keep an eligibility trace for every state s
● Update value V(s) for every state s in the single step
● In proportion to TD-error and eligibility trace
76
From David’s slides
● When , only the current state is updated
● This exactly equivalent to TD(0) update
77
Telescoping in TD(1)
78
Online Tabular
79
Online Tabular
80
Backward part!
81
82
83
From David’s slides
Off-line update VS On-line update
Off-line updates
● updates are accumulated within episode
● but applied in batch at the end of episode
On-line updates
● updates are applied online at each step within episode
● can be applied in continuing task
84
Cons of Tabular method
In the previous method, we use a large table to store the value of each state or
state-action pair which is called tabular method.
In real scene, there are too many state-action pairs to store. Besides, the state
/observation would also be much complicated, for example: an image with high
resolution. It causes curse of dimensionality.
85
Cons of Tabular method
In the previous method, we use a large table to store the value of each state or
state-action pair which is called tabular method.
In real scene, there are too many state-action pairs to store. Besides, the state
/observation would also be much complicated, for example: an image with high
resolution. It causes curse of dimensionality.
86
We can use function approximator to estimate the value
function, and it has generalizability!
Relationship between DP and TD
87
From David’s slides
On-policy & Off-policy 補充
On-policy methods attempt to evaluate or improve the policy that is used to make decisions, whereas
off-policy methods evaluate or improve a policy different from that used to generate the data.
88
Recommended Papers
1. John et al., High-Dimensional Continuous Control Using Generalized
Advantage Estimation (ICLR 2016)
2. Kristopher et al., Multi-step Reinforcement Learning: A Unifying Algorithm
(AAAI 2018)
89
Reference
1. Sutton’s textbook Chapter 6, 7, 12
2. Reinforcement Learning Lecture4 from UCL
3. Künstliche Intelligenz’s slides:
https://www.tu-chemnitz.de/informatik/KI/scripts/ws0910/ml09_7.pdf
90

Temporal difference learning

  • 1.
    Temporal-difference Learning Jie-Han Chen NetDB,National Cheng Kung University 5/15, 2018 @ National Cheng Kung University, Taiwan 1
  • 2.
    The content andimages in this slides were borrowed from: 1. Rich Sutton’s textbook 2. David Silver’s Reinforcement Learning class in UCL 3. Künstliche Intelligenz’s slides 2 Disclaimer
  • 3.
    Outline ● Recap DP,MC method ● TD learning ● Sarsa, Q-learning ● N-step bootstrapping ● TD (lambda) 3
  • 4.
    Value-based method Generalized policyiteration (GPI) plays the most important part in reinforcement learning. All we need is to find how to update the value function. 4
  • 5.
    Dynamic Programming Figure source:David Silver’s slides 5
  • 6.
    Monte Carlo Method Figuresource: David Silver’s slides 6
  • 7.
    Dynamic Programming &Monte Carlo method Dynamic Programming ● update per step, using bootstrapping ● need model ● computation cost Monte Carlo Method ● update per episode ● model-free ● hard to be applied to continuing task 7
  • 8.
    Can we combinethe advantage of Dynamic Programming and Monte Carlo method? 8
  • 9.
  • 10.
    Different from MCmethod, each sample of TD learning is just a few steps, not the whole trajectory. TD learning bases its update in part on an existing estimate, so it’s also a bootstrapping method. TD method is an policy evaluation method (without control), which is used to predict the value of fixed policy. Temporal-difference learning 10 backup diagram of TD(0)
  • 11.
    Temporal-difference learning We wantto improve our estimate of V by computing these averages: 11
  • 12.
    Temporal-difference learning We wantto improve our estimate of V by computing these averages: sample 1: 12
  • 13.
    Temporal-difference learning We wantto improve our estimate of V by computing these averages: sample 1: sample 2: 13
  • 14.
    Temporal-difference learning We wantto improve our estimate of V by computing these averages: sample 1: sample 2: sample 3: 14
  • 15.
    Temporal-difference learning In model-freeRL, we use samples to estimate the expectation of future total rewards. sample 1: sample 2: … sample n: 15
  • 16.
  • 17.
    Temporal-difference learning sample 1: sample2: sample n: 17 But, we cannot rewind time to get sample after sample from St !
  • 18.
    Temporal-difference learning We canuse weighted format to update the new value function: which is equal to The can be a kind of learning rate. 18
  • 19.
    Exponential Moving Average ●The running interpolation update: ● Makes recent samples more important: ● Forgets about the past, is its forget rate. 19
  • 20.
    Temporal-difference learning TD update,one-step TD/TD(0): The quantity in the brackets is a sort of error, called TD error. The target of TD method 20
  • 21.
    Temporal-difference learning ● Model-free ●Online learning (fully incremental method) ○ Can be applied to continuing task ● Better convergence time ○ In practice, converge faster than Monte Carlo method 21
  • 22.
    How to choose? Stochastic approximation theory (Robbins-Monro sequence) tells us there are two constraints to make previous exponential moving average converge stably. 1. 2. 22
  • 23.
    How to choose? Stochastic approximation theory (Robbins-Monro sequence) tells us there are two conditions to make previous exponential moving average converge stably. 1. 2. 23 P-series could be a choice to satisfy these two conditions. But the learning rate with these conditions will learn slow to converge. The works well in most case.
  • 24.
    Temporal-difference learning withControl In the previous slides, we introduce TD learning which is used to predict the value function by one-step sample. Now, we’ll introduce two classic methods in TD control: ● Sarsa ● Q-learning 24
  • 25.
    Sarsa ● Inspired bypolicy iteration ● Replace value function by action-value function 25
  • 26.
    Sarsa ● Inspired bypolicy iteration ● Replace value function by action-value function 26
  • 27.
    Sarsa ● Inspired bypolicy iteration ● Replace value function by action-value function 27
  • 28.
    Sarsa ● Inspired bypolicy iteration ● The behavior policy and target policy is same 28
  • 29.
    Sarsa ● Inspired bypolicy iteration ● The behavior policy and target policy is same 29
  • 30.
    Sarsa ● Inspired bypolicy iteration ● The behavior policy and target policy is same 30 In model-free method, we don’t know the transition probability. All we need to do is to use a lot of experience sample to estimate value. The experience sample in Sarsa is (s, a, r, s’, a’)
  • 31.
    Sarsa ● Inspired bypolicy iteration ● Sarsa update: 31
  • 32.
    Sarsa ● Inspired bypolicy iteration ● Sarsa update: 32
  • 33.
  • 34.
  • 35.
    Q-learning ● Inspired fromvalue iteration 35
  • 36.
    Q-learning ● Inspired fromvalue iteration 36
  • 37.
    Q-learning ● Inspired fromvalue iteration 37
  • 38.
    Q-learning ● Inspired fromvalue iteration 38
  • 39.
    Q-learning ● Inspired fromvalue iteration ● Q-learning update: 39
  • 40.
  • 41.
    SARSA V.S. Q-Learning ●On-policy: The sample policy is as same as learning policy (target policy) eg: Sarsa, Policy Gradient ● Off-policy: The sample policy is different from learning policy (target policy) eg. Q-learning, Deep Q Network 41
  • 42.
    SARSA V.S. Q-Learning:The Cliff walk 42 Additional infomation: https://studywolf.wordpress.com/2013/07/01/reinforcement-learning-sarsa-vs-q-learning/
  • 43.
  • 44.
    Monte Carlo Method Figuresource: David Silver’s slides 44
  • 45.
    Monte Carlo method MonteCarlo update: 45 Monte Carlo return: sum of all rewards behind this step
  • 46.
    Monte Carlo method MonteCarlo update: ● Unbiased ○ The target is true return of the sample. ● High variance ○ The targets among samples are very different because they are depend on whole trajectory. 46
  • 47.
    TD method TD update: 47 TDreturn: just need to add immediate reward and the estimated value of next state.
  • 48.
    TD method TD update: ●biased ○ The target is also an estimated value (because of V(s)) ● low variance ○ The targets are slightly different, because it just take one-step. 48
  • 49.
    Can we evaluatepolicy steps less than Monte Carlo but more than one-step TD? 49
  • 50.
    n-step bootstrapping ● One-stepTD learning: ○ target of TD: ○ bellman equation: ● Monte Carlo method: ○ target of MC: ○ bellman equation: 50
  • 51.
  • 52.
    n-step TD n-step TDreturn: Bellman equation: 52
  • 53.
  • 54.
    Performance of n-stepTD: Random walk ● 2 terminal states ● with 19 states instead of 5 54 -1
  • 55.
    Performance of n-stepTD: Random walk 55
  • 56.
  • 57.
    n-step Sarsa n-step Sarsareturn: Bellman equation: 57
  • 58.
  • 59.
  • 60.
    In the previousslides, we have seen TD(0) before. What does the 0 mean? one-step TD/TD(0) update: 60
  • 61.
    We have alreadyintroduce n-step TD learning, like: 1-step, 3-step, 8-step etc. Maybe 4-step TD return is best for learning. Can we combine them together to get better performance? 61 2-step TD & 4-step TD
  • 62.
    Recap: Performance ofn-step TD: Random walk 62
  • 63.
    A simple wayto combine n-step TD returns is to average n-step return as long as the weights on component returns are positive and sum to 1. 63
  • 64.
    A simple wayto combine n-step TD returns is to average n-step return as long as the weights on component returns are positive and sum to 1. 64 This is called compound return
  • 65.
    The is oneparticular way of averaging n-step updates. This average contains all the n-step updates, each weighted proportional to lam Besides, each term of n-step returns are normalized by a factor of to ensure that the weights sum to 1. 65
  • 66.
    The return ofis defined as following: We called it 66
  • 67.
    Another form isto separate post-termination terms from the main sum. 67
  • 68.
    68 / one-step TD /Monte Carlo ● Where
  • 69.
    n-step backups ● Backup(on-line or off-line): ● Off-line: the increments are accumulated "on the side" and are not used to change value estimates until the end of the episode. ● On-line: the updates are done during the episode, as soon as the increment is computed. 69
  • 70.
    ● Update valuefunction towards the ● Foward view looks into the future to compute ● Like MC, can only be computed from complete episodes (Off-line learning) 70 Forward
  • 71.
    Forward 71 In forward view,after looking forward from and updating one state, we move on to the next and never have to work with the preceding state agein.
  • 72.
    vs N-step TD:19-state random walk 72
  • 73.
    Backward ● Forward viewprovides theory ● Backward view provides mechanism ● Shout backward over time ● The strength of your voice decreases with temporal distance by 73
  • 74.
    Backward Eligibility trace denotedby , which keeps track the weights of updating value function for every state. 74
  • 75.
    Eligibility Trace 75 Accumulating eligibilitytrace for certain state S Visit stateS From David’s slides
  • 76.
    Backward ● Keep aneligibility trace for every state s ● Update value V(s) for every state s in the single step ● In proportion to TD-error and eligibility trace 76 From David’s slides
  • 77.
    ● When ,only the current state is updated ● This exactly equivalent to TD(0) update 77
  • 78.
  • 79.
  • 80.
  • 81.
  • 82.
  • 83.
  • 84.
    Off-line update VSOn-line update Off-line updates ● updates are accumulated within episode ● but applied in batch at the end of episode On-line updates ● updates are applied online at each step within episode ● can be applied in continuing task 84
  • 85.
    Cons of Tabularmethod In the previous method, we use a large table to store the value of each state or state-action pair which is called tabular method. In real scene, there are too many state-action pairs to store. Besides, the state /observation would also be much complicated, for example: an image with high resolution. It causes curse of dimensionality. 85
  • 86.
    Cons of Tabularmethod In the previous method, we use a large table to store the value of each state or state-action pair which is called tabular method. In real scene, there are too many state-action pairs to store. Besides, the state /observation would also be much complicated, for example: an image with high resolution. It causes curse of dimensionality. 86 We can use function approximator to estimate the value function, and it has generalizability!
  • 87.
    Relationship between DPand TD 87 From David’s slides
  • 88.
    On-policy & Off-policy補充 On-policy methods attempt to evaluate or improve the policy that is used to make decisions, whereas off-policy methods evaluate or improve a policy different from that used to generate the data. 88
  • 89.
    Recommended Papers 1. Johnet al., High-Dimensional Continuous Control Using Generalized Advantage Estimation (ICLR 2016) 2. Kristopher et al., Multi-step Reinforcement Learning: A Unifying Algorithm (AAAI 2018) 89
  • 90.
    Reference 1. Sutton’s textbookChapter 6, 7, 12 2. Reinforcement Learning Lecture4 from UCL 3. Künstliche Intelligenz’s slides: https://www.tu-chemnitz.de/informatik/KI/scripts/ws0910/ml09_7.pdf 90