SET THEORY
BirinderSingh,AssistantProfessor,PCTE
SET THEORY
 Set: A collection of well defined objects.
 Sets are usually denoted by capital letters A, B, C
etc. and their elements are denoted by a, b, c etc.
 Few examples:
 The collection of vowels in English alphabets. This
set contains five elements i.e. a,e,i,o,u.
 The set of 3 cycle companies of India. This set
contains 3 elements i.e. Hero, Avon, Suncross.
 The set of 4 rivers in India. This set contains 4
elements i.e. Ganga, Yamuna, Beas, Narmada,
Kaveri.
 The collection of good cricket players of India is
not a set
BirinderSingh,AssistantProfessor,PCTE
REPRESENTATION OF A SET
Roster
Form Set Buider
Form
BirinderSingh,AssistantProfessor,PCTE
ROSTER FORM
 This method is also called Tabular Method.
 In this, a set is described by listing elements,
separated by commas, within braces { }
 The collection of vowels in English alphabets. This
set contains five elements i.e. {a,e,i,o,u }
 If A is the set of even natural numbers, then
A = {2, 4, 6, …….. }
 If A is the set of all prime numbers less than 11, then
A = {2, 3, 5, 7}
 Note:
 The order of writing the elements of a set is
immaterial.
 An element of a set is not written more than once.
BirinderSingh,AssistantProfessor,PCTE
SET BUILDER FORM
 This form is also called Property Form.
 In this, a set is represented by stating all the
properties P(x) which are satisfied by the
elements x of the set and not by other element
outside the set.
 If A is the set of even natural numbers, then
A = {x: x ϵ N, x = 2n, n ϵ N}
A = {x: x is a natural number and x = 2n for n ϵ N}
 If A = {0, 1, 4, 9, ……}
A = {x2 : x ϵ N}
 If B = The set of all real numbers greater than -3 and
less than 3
B = {-3<x<3 : x ϵ R}
BirinderSingh,AssistantProfessor,PCTE
TYPES OF SETS
 Empty Set: A set is said to be empty or null or void
set if it has no element and it is denoted by φ.
 In Roster Method, it is denoted by { }
 Examples:
 A = {x: x ϵ N, 7 < x < 8} = φ
 B = {x ϵ R : x2 = -2} = φ
C = Any Indian company which is into Automobiles,
Clothing, Plastics, Paper, Processed Food
 Note:
 {φ} is not a null set, since it contains φ as an element.
 {0} is not a null set, since it contains 0 as an element.
BirinderSingh,AssistantProfessor,PCTE
TYPES OF SETS
 Singleton Set: A set is said to be a singleton set
as it contains only one element.
 Examples: {5}, {0}, {-15}, {Mukesh Ambani}
 Finite Set: A set whose elements can be listed
or counted.
 Examples: {1,2,3}, {5, 10, 15, 20}, {a, e, i, o, u}
 Infinite Set: A set whose elements can’t be
listed or counted.
 Examples: {1, 2, 3, ………}, All real numbers
BirinderSingh,AssistantProfessor,PCTE
TYPES OF SETS
 Equivalent Sets: Two finite sets A and B are
equivalent if their cardinal numbers are same.
i.e. n(A) = n(B).
 Example: {5, 10, 15, 20, 25}, & {a, e, i, o, u} are
equivalent.
 Equal Sets: Two sets A and B are said to be
equal if every element of A is a member of B and
every element of B is a member of A.
 Example: If A is the set of even natural numbers
B = {2, 4, 6, …….. }
BirinderSingh,AssistantProfessor,PCTE
SUBSETS
 In two sets A & B, if every element of A is an
element of B, then A is called subset of B.
 If A is a subset of B, we write A ⊆ B.
 Thus, A ⊆ B if a 𝜖 A implies a 𝜖 B.
 If A is a subset of B, then B is called Super Set of
A.
BirinderSingh,AssistantProfessor,PCTE
PROPERTIES OF SUBSETS
 The null set is subset of every set i.e. φ ⊆ A
 Every set is subset of every set i.e. A ⊆ A
 If A ⊆ B and B ⊆ C, then A ⊆ C.
 The total number of subsets of a finite set
containing n elements is 2n.
BirinderSingh,AssistantProfessor,PCTE
SUBSETS - TYPES
 Proper Subset: A set is said to be proper subset
of B, if A is a subset of B, but A is not equal to B.
It is denoted by A ⊂ B. Ex: N ⊂ W ⊂ Z ⊂ Q ⊂ R
 Universal Set: It is the set which contains all
the sets under consideration i.e. it is a super set
of each of the given sets. It is denoted by U. Ex: R
 Power Set: The collection of all the subsets of a
given set is called the power set. It is denoted by
P(A).
Q1: Find the power set of A = 𝑎, 𝑏, 𝑐
Q2: If A = 1, 2 , find P(A)
BirinderSingh,AssistantProfessor,PCTE
PRACTICE PROBLEMS
Q3: Which of the following are set:
i. The collection of all the prime numbers between 23 and
37.
ii. Collection of all factors of 64 which are greater than 8.
iii. The collection of rich persons in India.
Q4: Describe the following sets in Roster Form:
i. A = 𝑥: 𝑥 𝑖𝑠 𝑎 𝑙𝑒𝑡𝑡𝑒𝑟 𝑏𝑒𝑓𝑜𝑟𝑒 𝑓 𝑖𝑛 𝑡𝑕𝑒 𝐸𝑛𝑔𝑙𝑖𝑠𝑕 𝑎𝑙𝑝𝑕𝑎𝑏𝑒𝑡
ii. B = 𝑥 ∈ 𝑁: 𝑥 = 3𝑛, 𝑛 ∈ 𝑁
iii. C = 𝑥 ∈ 𝑍: 𝑥2 + 5𝑥 + 6 = 0
iv. D = 𝑥 ∶ 𝑥 𝑖𝑠 𝑎 𝑝𝑒𝑟𝑓𝑒𝑐𝑡 𝑠𝑞𝑢𝑎𝑟𝑒, 𝑥 < 30
v. E = 𝑥 ∶ 𝑥 𝑖𝑠 𝑎 𝑝𝑜𝑠𝑖𝑡𝑖𝑣𝑒 𝑖𝑛𝑡𝑒𝑔𝑟𝑎𝑙 𝑑𝑖𝑣𝑖𝑠𝑜𝑟 𝑜𝑓 60
BirinderSingh,AssistantProfessor,PCTE
PRACTICE PROBLEMS
Q5: Describe the following sets in Set Builder Form:
i. A = 1 ,
1
2
,
1
3
,
1
4
,
1
5
, … …
ii. B = 0, 3, 8, 15, 24, 35
iii.C = 0
iv. D = 3, 5, 7, 9, … … . . , 47, 49
v. E = 0, 2, 6, 12, 20, 30
Q6: Which of the following are null sets:
i. A = 𝑥: 𝑥 𝑖𝑠 𝑎 𝑙𝑒𝑡𝑡𝑒𝑟 𝑏𝑒𝑓𝑜𝑟𝑒 𝑓 𝑖𝑛 𝑡𝑕𝑒 𝐸𝑛𝑔𝑙𝑖𝑠𝑕 𝑎𝑙𝑝𝑕𝑎𝑏𝑒𝑡
ii. B = 𝑥 ∈ 𝑁: 𝑥 = 3𝑛, 𝑛 ∈ 𝑁
iii.C = 𝑥 ∈ 𝑍: 𝑥2 + 5𝑥 + 6 = 0
iv. D = 𝑥 ∶ 𝑥 𝑖𝑠 𝑎 𝑝𝑒𝑟𝑓𝑒𝑐𝑡 𝑠𝑞𝑢𝑎𝑟𝑒, 𝑥 < 30
v. E = 𝑥 ∶ 𝑥 𝑖𝑠 𝑎 𝑝𝑜𝑠𝑖𝑡𝑖𝑣𝑒 𝑖𝑛𝑡𝑒𝑔𝑟𝑎𝑙 𝑑𝑖𝑣𝑖𝑠𝑜𝑟 𝑜𝑓 60
BirinderSingh,AssistantProfessor,PCTE
OPERATION ON SETS – SET UNION
 𝐴 ∪ 𝐵
 “A union B” is the set of all elements that are in
A, or B, or both.
 This is similar to the logical “or” operator.
COMBINING SETS – SET INTERSECTION
 𝐴 ∩ 𝐵
 “A intersect B” is the set of all elements that are
in both A and B.
 This is similar to the logical “and”
SET COMPLEMENT

 “A complement,” or “not A” is the set of all
elements not in A.
 The complement operator is similar to the logical
not, and is reflexive, that is,
A
A A
SET DIFFERENCE

 The set difference “A minus B” is the set of
elements that are in A, with those that are in B
subtracted out. Another way of putting it is, it is
the set of elements that are in A, and not in B, so
A B
A B A B  
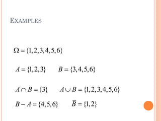
EXAMPLES
{1,2,3}A  {3,4,5,6}B 
{3}A B  {1,2,3,4,5,6}A B 
{1,2,3,4,5,6} 
{4,5,6}B A  {1,2}B 
VENN DIAGRAMS
 Venn Diagrams use topological areas to stand
for sets. I’ve done this one for you.
A B
A B
VENN DIAGRAMS
 Try this one!
A B
A B
VENN DIAGRAMS
 Here is another one
A B
A B
MUTUALLY EXCLUSIVE AND EXHAUSTIVE
SETS
 Definition. We say that a group of sets is
exhaustive of another set if their union is equal to
that set. For example, if
we say that A and B are exhaustive with respect
to C.
 Definition. We say that two sets A and B are
mutually exclusive if , that is, the sets
have no elements in common.
A B C 
A B  
VENN DIAGRAM
A – B B – A
BirinderSingh,AssistantProfessor,PCTE
A∩B
A∪B
SYMMETRIC DIFFERENCE OF TWO SETS
 It is defined as the union of sets A – B and B – A.
 It is denoted by AΔB.
 A Δ B = (A – B) U (B – A)
BirinderSingh,AssistantProfessor,PCTE
PRACTICE PROBLEMS
Q: Find 𝐴 ∪ 𝐵, 𝐴 ∩ 𝐵, 𝐴 − 𝐵, 𝐵 − 𝐴, 𝐴 ∆ 𝐵
i. A = ∅ , B = 1, 2, 3, 4
ii. A = 𝑥: 𝑥 = 3𝑛 + 1, 𝑛 ≤ 5, 𝑛 ∈ 𝑁 ,
B = 𝑥: 𝑥 = 4𝑛 − 5, 𝑛 ≤ 5, 𝑛 ∈ 𝑁
iii. A = 501, 502, 503 , B = 502, 504, 506
iv. A = 𝑥 ∶ 𝑥 𝑖𝑠 𝑎 𝑝𝑒𝑟𝑓𝑒𝑐𝑡 𝑠𝑞𝑢𝑎𝑟𝑒, 𝑥 < 30, 𝑥 ∈ 𝑁 ,
B = 𝑥 ∶ 𝑥 𝑖𝑠 𝑎 𝑝𝑜𝑠𝑖𝑡𝑖𝑣𝑒 𝑖𝑛𝑡𝑒𝑔𝑟𝑎𝑙 𝑑𝑖𝑣𝑖𝑠𝑜𝑟 𝑜𝑓 60
v. A = 𝑥: 𝑥 = 3𝑛, 𝑛 ≤ 3, 𝑛 ∈ 𝑁 , B = 3, 6, 9, 12, 15
vi. A = 13, 14, 15, 16 , B =
vii.A = 𝑎, 𝑐, 𝑒, 𝑔 , B = 𝑏, 𝑐, 𝑑
BirinderSingh,AssistantProfessor,PCTE
PROPERTIES OF A COMPLEMENT
 U′ = ∅ & ∅′ = 𝑈
 (A′)′ = A
 A U A′ = U
 A ∩ A′ = ∅
 If 𝐴 ⊆ B, then B′ ⊆ A′
Q: A = 1, 3, 5, 8, 9 , B = 5, 10, 11, 12 , U = 1, 2 , … , 12
Verify that A – B = A∩B′ = B′ – A′
BirinderSingh,AssistantProfessor,PCTE
FUNDAMENTAL LAWS OF ALGEBRA OF
SETS
 Idempotent Laws: 𝐴 ∪ 𝐴 = 𝐴 & 𝐴 ∩ 𝐴 = 𝐴
 Identity Laws: 𝐴 ∪ 𝜙 = 𝐴 & 𝐴 ∩ 𝑈 = 𝐴
 Commutative Laws: 𝐴 ∪ 𝐵 = 𝐵 ∪ 𝐴 & 𝐴 ∩ 𝐵 = B ∩ 𝐴
 Associative Laws: (𝐴 ∪ 𝐵) ∪ 𝐶 = 𝐴 ∪ (𝐵 ∪ 𝐶)
(𝐴 ∩ 𝐵) ∩ 𝐶 = 𝐴 ∩ (𝐵 ∩ 𝐶)
 Distributive Laws: (𝐴 ∪ 𝐵) ∩ 𝐶 = (𝐴 ∪ 𝐵) ∩ (𝐴 ∪ 𝐶)
(𝐴 ∩ 𝐵) ∪ 𝐶 = (𝐴 ∩ 𝐵) ∪ (𝐴 ∩ 𝐶)
 De Morgan’s Laws: 𝐴 ∪ 𝐵 ′ = 𝐴′ ∩ 𝐵′
𝐴 ∩ 𝐵 ′ = 𝐴′ ∪ 𝐵′
BirinderSingh,AssistantProfessor,PCTE
APPLICATION OF SETS
 𝑛(𝐴 ∪ 𝐵) = n(A) + n(B) if 𝐴 ∩ 𝐵 = 𝜙
 𝑛(𝐴 ∪ 𝐵) = n(A) + n(B) – n 𝐴 ∩ 𝐵 if 𝐴 ∩ 𝐵 ≠ 𝜙
 𝑛(𝐴 ∪ 𝐵) = n(A – B) + n(B – A) + n 𝐴 ∩ 𝐵
 𝑛(𝐴 ∪ 𝐵 ∪ 𝐶) = n(A) + n(B) + n(C) – n 𝐵 ∩ 𝐶 –
n 𝐶 ∩ 𝐴 + n 𝐴 ∩ 𝐵 ∩ 𝐶
 𝑛(𝐴) = n(A – B) + n 𝐴 ∩ 𝐵
 𝑛(𝐵) = (B – A) + n 𝐴 ∩ 𝐵
BirinderSingh,AssistantProfessor,PCTE
PRACTICE PROBLEMS – APPLICATIONS OF
SETS
Q1: In a class of 25 students, 12 have taken
economics, 8 have taken economics but not politics.
Find the number of students who have taken:
i. Politics
ii. Politics but not economics
iii. Both politics & economics
Q2: In a class of 60 boys, there are 45 boys who play
cards & 30 boys who play carom. How many play:
i. Both the games
ii. Cards only
iii. Carom only
BirinderSingh,AssistantProfessor,PCTE
PRACTICE PROBLEMS – APPLICATIONS OF
SETS
Q3: In a group of 52 persons, 16 take tea but not coffee &
33 drink tea. Find the number of persons who take:
i. Both tea & coffee
ii. Take coffee but not tea
Q4: For a certain test, a candidate could offer English or
Hindi or both. Total no. of students were 500, from whom
350 appeared in English & 90 appeared in both the
subjects. Find how many:
i. Appeared in English only
ii. Appeared in Hindi
iii. Appeared in Hindi only
BirinderSingh,AssistantProfessor,PCTE
PRACTICE PROBLEMS – APPLICATIONS OF
SETS
Q5: A town has a total population of 60000. Out of it,
32000 read HT, 35000 read TOI & 7500 read both
newspapers. Find how many read neither HT not
TOI.
Q6: In a joint family of 12 persons, 7 take tea, 6 take
milk and two take neither. How many members take
both tea & milk?
Q7: In a survey of 60 people, it was found that 25
read Magazine A, 26 read B & 26 read C. 9 read both
A & C, 11 read both A & B, 8 read both B & C and 8
read no magazine at all. Find the number of people:
i. Who read all three magazines
ii. Who read exactly one magazine
BirinderSingh,AssistantProfessor,PCTE
BirinderSingh,AssistantProfessor,PCTE

Set Theory

  • 1.
  • 2.
    SET THEORY  Set:A collection of well defined objects.  Sets are usually denoted by capital letters A, B, C etc. and their elements are denoted by a, b, c etc.  Few examples:  The collection of vowels in English alphabets. This set contains five elements i.e. a,e,i,o,u.  The set of 3 cycle companies of India. This set contains 3 elements i.e. Hero, Avon, Suncross.  The set of 4 rivers in India. This set contains 4 elements i.e. Ganga, Yamuna, Beas, Narmada, Kaveri.  The collection of good cricket players of India is not a set BirinderSingh,AssistantProfessor,PCTE
  • 3.
    REPRESENTATION OF ASET Roster Form Set Buider Form BirinderSingh,AssistantProfessor,PCTE
  • 4.
    ROSTER FORM  Thismethod is also called Tabular Method.  In this, a set is described by listing elements, separated by commas, within braces { }  The collection of vowels in English alphabets. This set contains five elements i.e. {a,e,i,o,u }  If A is the set of even natural numbers, then A = {2, 4, 6, …….. }  If A is the set of all prime numbers less than 11, then A = {2, 3, 5, 7}  Note:  The order of writing the elements of a set is immaterial.  An element of a set is not written more than once. BirinderSingh,AssistantProfessor,PCTE
  • 5.
    SET BUILDER FORM This form is also called Property Form.  In this, a set is represented by stating all the properties P(x) which are satisfied by the elements x of the set and not by other element outside the set.  If A is the set of even natural numbers, then A = {x: x ϵ N, x = 2n, n ϵ N} A = {x: x is a natural number and x = 2n for n ϵ N}  If A = {0, 1, 4, 9, ……} A = {x2 : x ϵ N}  If B = The set of all real numbers greater than -3 and less than 3 B = {-3<x<3 : x ϵ R} BirinderSingh,AssistantProfessor,PCTE
  • 6.
    TYPES OF SETS Empty Set: A set is said to be empty or null or void set if it has no element and it is denoted by φ.  In Roster Method, it is denoted by { }  Examples:  A = {x: x ϵ N, 7 < x < 8} = φ  B = {x ϵ R : x2 = -2} = φ C = Any Indian company which is into Automobiles, Clothing, Plastics, Paper, Processed Food  Note:  {φ} is not a null set, since it contains φ as an element.  {0} is not a null set, since it contains 0 as an element. BirinderSingh,AssistantProfessor,PCTE
  • 7.
    TYPES OF SETS Singleton Set: A set is said to be a singleton set as it contains only one element.  Examples: {5}, {0}, {-15}, {Mukesh Ambani}  Finite Set: A set whose elements can be listed or counted.  Examples: {1,2,3}, {5, 10, 15, 20}, {a, e, i, o, u}  Infinite Set: A set whose elements can’t be listed or counted.  Examples: {1, 2, 3, ………}, All real numbers BirinderSingh,AssistantProfessor,PCTE
  • 8.
    TYPES OF SETS Equivalent Sets: Two finite sets A and B are equivalent if their cardinal numbers are same. i.e. n(A) = n(B).  Example: {5, 10, 15, 20, 25}, & {a, e, i, o, u} are equivalent.  Equal Sets: Two sets A and B are said to be equal if every element of A is a member of B and every element of B is a member of A.  Example: If A is the set of even natural numbers B = {2, 4, 6, …….. } BirinderSingh,AssistantProfessor,PCTE
  • 9.
    SUBSETS  In twosets A & B, if every element of A is an element of B, then A is called subset of B.  If A is a subset of B, we write A ⊆ B.  Thus, A ⊆ B if a 𝜖 A implies a 𝜖 B.  If A is a subset of B, then B is called Super Set of A. BirinderSingh,AssistantProfessor,PCTE
  • 10.
    PROPERTIES OF SUBSETS The null set is subset of every set i.e. φ ⊆ A  Every set is subset of every set i.e. A ⊆ A  If A ⊆ B and B ⊆ C, then A ⊆ C.  The total number of subsets of a finite set containing n elements is 2n. BirinderSingh,AssistantProfessor,PCTE
  • 11.
    SUBSETS - TYPES Proper Subset: A set is said to be proper subset of B, if A is a subset of B, but A is not equal to B. It is denoted by A ⊂ B. Ex: N ⊂ W ⊂ Z ⊂ Q ⊂ R  Universal Set: It is the set which contains all the sets under consideration i.e. it is a super set of each of the given sets. It is denoted by U. Ex: R  Power Set: The collection of all the subsets of a given set is called the power set. It is denoted by P(A). Q1: Find the power set of A = 𝑎, 𝑏, 𝑐 Q2: If A = 1, 2 , find P(A) BirinderSingh,AssistantProfessor,PCTE
  • 12.
    PRACTICE PROBLEMS Q3: Whichof the following are set: i. The collection of all the prime numbers between 23 and 37. ii. Collection of all factors of 64 which are greater than 8. iii. The collection of rich persons in India. Q4: Describe the following sets in Roster Form: i. A = 𝑥: 𝑥 𝑖𝑠 𝑎 𝑙𝑒𝑡𝑡𝑒𝑟 𝑏𝑒𝑓𝑜𝑟𝑒 𝑓 𝑖𝑛 𝑡𝑕𝑒 𝐸𝑛𝑔𝑙𝑖𝑠𝑕 𝑎𝑙𝑝𝑕𝑎𝑏𝑒𝑡 ii. B = 𝑥 ∈ 𝑁: 𝑥 = 3𝑛, 𝑛 ∈ 𝑁 iii. C = 𝑥 ∈ 𝑍: 𝑥2 + 5𝑥 + 6 = 0 iv. D = 𝑥 ∶ 𝑥 𝑖𝑠 𝑎 𝑝𝑒𝑟𝑓𝑒𝑐𝑡 𝑠𝑞𝑢𝑎𝑟𝑒, 𝑥 < 30 v. E = 𝑥 ∶ 𝑥 𝑖𝑠 𝑎 𝑝𝑜𝑠𝑖𝑡𝑖𝑣𝑒 𝑖𝑛𝑡𝑒𝑔𝑟𝑎𝑙 𝑑𝑖𝑣𝑖𝑠𝑜𝑟 𝑜𝑓 60 BirinderSingh,AssistantProfessor,PCTE
  • 13.
    PRACTICE PROBLEMS Q5: Describethe following sets in Set Builder Form: i. A = 1 , 1 2 , 1 3 , 1 4 , 1 5 , … … ii. B = 0, 3, 8, 15, 24, 35 iii.C = 0 iv. D = 3, 5, 7, 9, … … . . , 47, 49 v. E = 0, 2, 6, 12, 20, 30 Q6: Which of the following are null sets: i. A = 𝑥: 𝑥 𝑖𝑠 𝑎 𝑙𝑒𝑡𝑡𝑒𝑟 𝑏𝑒𝑓𝑜𝑟𝑒 𝑓 𝑖𝑛 𝑡𝑕𝑒 𝐸𝑛𝑔𝑙𝑖𝑠𝑕 𝑎𝑙𝑝𝑕𝑎𝑏𝑒𝑡 ii. B = 𝑥 ∈ 𝑁: 𝑥 = 3𝑛, 𝑛 ∈ 𝑁 iii.C = 𝑥 ∈ 𝑍: 𝑥2 + 5𝑥 + 6 = 0 iv. D = 𝑥 ∶ 𝑥 𝑖𝑠 𝑎 𝑝𝑒𝑟𝑓𝑒𝑐𝑡 𝑠𝑞𝑢𝑎𝑟𝑒, 𝑥 < 30 v. E = 𝑥 ∶ 𝑥 𝑖𝑠 𝑎 𝑝𝑜𝑠𝑖𝑡𝑖𝑣𝑒 𝑖𝑛𝑡𝑒𝑔𝑟𝑎𝑙 𝑑𝑖𝑣𝑖𝑠𝑜𝑟 𝑜𝑓 60 BirinderSingh,AssistantProfessor,PCTE
  • 14.
    OPERATION ON SETS– SET UNION  𝐴 ∪ 𝐵  “A union B” is the set of all elements that are in A, or B, or both.  This is similar to the logical “or” operator.
  • 15.
    COMBINING SETS –SET INTERSECTION  𝐴 ∩ 𝐵  “A intersect B” is the set of all elements that are in both A and B.  This is similar to the logical “and”
  • 16.
    SET COMPLEMENT   “Acomplement,” or “not A” is the set of all elements not in A.  The complement operator is similar to the logical not, and is reflexive, that is, A A A
  • 17.
    SET DIFFERENCE   Theset difference “A minus B” is the set of elements that are in A, with those that are in B subtracted out. Another way of putting it is, it is the set of elements that are in A, and not in B, so A B A B A B  
  • 18.
    EXAMPLES {1,2,3}A  {3,4,5,6}B {3}A B  {1,2,3,4,5,6}A B  {1,2,3,4,5,6}  {4,5,6}B A  {1,2}B 
  • 19.
    VENN DIAGRAMS  VennDiagrams use topological areas to stand for sets. I’ve done this one for you. A B A B
  • 20.
    VENN DIAGRAMS  Trythis one! A B A B
  • 21.
    VENN DIAGRAMS  Hereis another one A B A B
  • 22.
    MUTUALLY EXCLUSIVE ANDEXHAUSTIVE SETS  Definition. We say that a group of sets is exhaustive of another set if their union is equal to that set. For example, if we say that A and B are exhaustive with respect to C.  Definition. We say that two sets A and B are mutually exclusive if , that is, the sets have no elements in common. A B C  A B  
  • 23.
    VENN DIAGRAM A –B B – A BirinderSingh,AssistantProfessor,PCTE A∩B A∪B
  • 24.
    SYMMETRIC DIFFERENCE OFTWO SETS  It is defined as the union of sets A – B and B – A.  It is denoted by AΔB.  A Δ B = (A – B) U (B – A) BirinderSingh,AssistantProfessor,PCTE
  • 25.
    PRACTICE PROBLEMS Q: Find𝐴 ∪ 𝐵, 𝐴 ∩ 𝐵, 𝐴 − 𝐵, 𝐵 − 𝐴, 𝐴 ∆ 𝐵 i. A = ∅ , B = 1, 2, 3, 4 ii. A = 𝑥: 𝑥 = 3𝑛 + 1, 𝑛 ≤ 5, 𝑛 ∈ 𝑁 , B = 𝑥: 𝑥 = 4𝑛 − 5, 𝑛 ≤ 5, 𝑛 ∈ 𝑁 iii. A = 501, 502, 503 , B = 502, 504, 506 iv. A = 𝑥 ∶ 𝑥 𝑖𝑠 𝑎 𝑝𝑒𝑟𝑓𝑒𝑐𝑡 𝑠𝑞𝑢𝑎𝑟𝑒, 𝑥 < 30, 𝑥 ∈ 𝑁 , B = 𝑥 ∶ 𝑥 𝑖𝑠 𝑎 𝑝𝑜𝑠𝑖𝑡𝑖𝑣𝑒 𝑖𝑛𝑡𝑒𝑔𝑟𝑎𝑙 𝑑𝑖𝑣𝑖𝑠𝑜𝑟 𝑜𝑓 60 v. A = 𝑥: 𝑥 = 3𝑛, 𝑛 ≤ 3, 𝑛 ∈ 𝑁 , B = 3, 6, 9, 12, 15 vi. A = 13, 14, 15, 16 , B = vii.A = 𝑎, 𝑐, 𝑒, 𝑔 , B = 𝑏, 𝑐, 𝑑 BirinderSingh,AssistantProfessor,PCTE
  • 26.
    PROPERTIES OF ACOMPLEMENT  U′ = ∅ & ∅′ = 𝑈  (A′)′ = A  A U A′ = U  A ∩ A′ = ∅  If 𝐴 ⊆ B, then B′ ⊆ A′ Q: A = 1, 3, 5, 8, 9 , B = 5, 10, 11, 12 , U = 1, 2 , … , 12 Verify that A – B = A∩B′ = B′ – A′ BirinderSingh,AssistantProfessor,PCTE
  • 27.
    FUNDAMENTAL LAWS OFALGEBRA OF SETS  Idempotent Laws: 𝐴 ∪ 𝐴 = 𝐴 & 𝐴 ∩ 𝐴 = 𝐴  Identity Laws: 𝐴 ∪ 𝜙 = 𝐴 & 𝐴 ∩ 𝑈 = 𝐴  Commutative Laws: 𝐴 ∪ 𝐵 = 𝐵 ∪ 𝐴 & 𝐴 ∩ 𝐵 = B ∩ 𝐴  Associative Laws: (𝐴 ∪ 𝐵) ∪ 𝐶 = 𝐴 ∪ (𝐵 ∪ 𝐶) (𝐴 ∩ 𝐵) ∩ 𝐶 = 𝐴 ∩ (𝐵 ∩ 𝐶)  Distributive Laws: (𝐴 ∪ 𝐵) ∩ 𝐶 = (𝐴 ∪ 𝐵) ∩ (𝐴 ∪ 𝐶) (𝐴 ∩ 𝐵) ∪ 𝐶 = (𝐴 ∩ 𝐵) ∪ (𝐴 ∩ 𝐶)  De Morgan’s Laws: 𝐴 ∪ 𝐵 ′ = 𝐴′ ∩ 𝐵′ 𝐴 ∩ 𝐵 ′ = 𝐴′ ∪ 𝐵′ BirinderSingh,AssistantProfessor,PCTE
  • 28.
    APPLICATION OF SETS 𝑛(𝐴 ∪ 𝐵) = n(A) + n(B) if 𝐴 ∩ 𝐵 = 𝜙  𝑛(𝐴 ∪ 𝐵) = n(A) + n(B) – n 𝐴 ∩ 𝐵 if 𝐴 ∩ 𝐵 ≠ 𝜙  𝑛(𝐴 ∪ 𝐵) = n(A – B) + n(B – A) + n 𝐴 ∩ 𝐵  𝑛(𝐴 ∪ 𝐵 ∪ 𝐶) = n(A) + n(B) + n(C) – n 𝐵 ∩ 𝐶 – n 𝐶 ∩ 𝐴 + n 𝐴 ∩ 𝐵 ∩ 𝐶  𝑛(𝐴) = n(A – B) + n 𝐴 ∩ 𝐵  𝑛(𝐵) = (B – A) + n 𝐴 ∩ 𝐵 BirinderSingh,AssistantProfessor,PCTE
  • 29.
    PRACTICE PROBLEMS –APPLICATIONS OF SETS Q1: In a class of 25 students, 12 have taken economics, 8 have taken economics but not politics. Find the number of students who have taken: i. Politics ii. Politics but not economics iii. Both politics & economics Q2: In a class of 60 boys, there are 45 boys who play cards & 30 boys who play carom. How many play: i. Both the games ii. Cards only iii. Carom only BirinderSingh,AssistantProfessor,PCTE
  • 30.
    PRACTICE PROBLEMS –APPLICATIONS OF SETS Q3: In a group of 52 persons, 16 take tea but not coffee & 33 drink tea. Find the number of persons who take: i. Both tea & coffee ii. Take coffee but not tea Q4: For a certain test, a candidate could offer English or Hindi or both. Total no. of students were 500, from whom 350 appeared in English & 90 appeared in both the subjects. Find how many: i. Appeared in English only ii. Appeared in Hindi iii. Appeared in Hindi only BirinderSingh,AssistantProfessor,PCTE
  • 31.
    PRACTICE PROBLEMS –APPLICATIONS OF SETS Q5: A town has a total population of 60000. Out of it, 32000 read HT, 35000 read TOI & 7500 read both newspapers. Find how many read neither HT not TOI. Q6: In a joint family of 12 persons, 7 take tea, 6 take milk and two take neither. How many members take both tea & milk? Q7: In a survey of 60 people, it was found that 25 read Magazine A, 26 read B & 26 read C. 9 read both A & C, 11 read both A & B, 8 read both B & C and 8 read no magazine at all. Find the number of people: i. Who read all three magazines ii. Who read exactly one magazine BirinderSingh,AssistantProfessor,PCTE
  • 32.