Dr. Shahid Ali
Sediment Transport
Sediment Transport
 Not all channels are formed in sediment and not all rivers transport sediment. Some
have been carved into bedrock, usually in headwater reaches of streams located high
in the mountains. These streams have channel forms that often are dominated by the
nature of the rock (of varying hardness and resistance to mechanical breakdown and
of varying joint definition, spacing and pattern) in which the channel has been cut.
 Alluvial rivers; bed consists of sediment
(‘alluvium’ = river-associated sediment)
Downstream reaches
 Bedrock rivers; part of the bed is bare
rock, where river cutting down
generally in upper reaches of rivers
Braided Stream Meandering stream; Point Bar
and Cut Bank
Point Bars and Cut banks along river meanders
Oxbow lake formation
Incised Meanders
Competence :
Competence refers to the largest size (diameter) of sediment particle or grain that the
flow is capable of moving; it is a hydraulic limitation. If a river is sluggish and
moving very slowly it simply may not have the power to mobilize and transport
sediment of a given size even though such sediment is available to transport. So a
river may be competent or incompetent with respect to a given grain size. If it is
incompetent it will not transport sediment of the given size. If it is competent it may
transport sediment of that size if such sediment is available
Capacity refers to the maximum amount of sediment of a given size that a stream can
transport in traction as bed load. Given a supply of sediment, capacity depends on
channel gradient and discharge. Capacity transport is the competence-limited sediment
transport (mass per unit time) predicted by all sediment-transport equations. Capacity
transport only occurs when sediment supply is abundant (non-limiting).
Capacity:
 When a river eventually reaches the sea, its bed load
may consist mainly of sand and silt
 The size of river sediment normally
decreases in size downstream, from
boulders in mountain streams to silt
and sand in major rivers because the
coarse bed load is gradually reduced
in size by abrasion.
Downstream Changes in Particle Size
Boulders > 256 mm
Cobbles 80 mm - 256 mm
Gravel 2 mm - 80 mm
Sand 0.05 mm - 2 mm
Silt 0.002 mm - 0.05 mm
Clay <0.002 mm
Sediment Size
Modes of Sediment Transport
The sediment load of a river is transported in various ways although these distinctions are to some
extent arbitrary and not always very practical in the sense that not all of the components can be
separated in practice:
1. Dissolved load
2. Suspended load
3. Wash load
4. Bed load
Bed-material load
Wash load
Suspended bed-material
load
Traction bed load
Suspended load
Bed load
 Transport mechanisms depend on grain size at a particular flow rate
Observable difference
of transport state
Definition based on
measurement
technologies
Transport
mechanisms
Dissolved load is material that has gone into solution and is part of the fluid moving
through the channel. The amount of material in solution depends on supply of a
solute and the saturation point for the fluid. For example, in limestone areas,
calcium carbonate may be at saturation level in river water and the dissolved load
may be close to the total sediment load of the river. In contrast, rivers draining
insoluble rocks, such as in granitic terrains, may be well below saturation levels for
most elements and dissolved load may be relatively small.
Total dissolved-material transport, Qs(d)(kg/s), depends on the dissolved load concentration
Co (kg/m3), and the stream discharge, Q (m3/s): Qs(d) = CoQ
The bulk of the dissolved content of most rivers consists of seven ionic species:
• Bicarbonate (HCO3
-)
• Calcium (Ca++)
• Sulfate (SO4
--)
• Chloride (Cl-)
• Sodium (Na+)
• Magnesium (Mg++)
• Potassium (K+)
• Dissolved silica as Si(OH)4
Suspended-sediment load is the clastic (particulate) material that moves through
the channel in the water column. These materials, mainly silt and sand, are kept in
suspension by the upward flux of turbulence generated at the bed of the channel.
The upward currents must equal or exceed the particle fall-velocity (Figure ) for
suspended-sediment load to be sustained.
Suspended-sediment concentration in rivers is measured with an instrument like
the DH48 suspended-sediment sampler shown in Figure. The sampler consists of
a cast housing with a nozzle at the front that allows water to enter and fill a
sample bottle. Air evacuated from the sample bottle is bled off through a small
valve on the side of the housing. The sampler can be lowered through the water
column on a cable. the sampler is lowered from the water-surface to the bed and
up to the surface again at a constant rate so that a depth-integrated suspended
sediment sample is collected.
The instrument must be lowered at a constant rate such that the sample bottle
will almost but not quite fill by the time it returns to the surface. The sample
bottle is then removed and capped and returned to the laboratory where the
fluid volume and sediment mass is determined for the calculation of
suspended-sediment concentration.
Although wash load is part of the suspended-sediment load it is useful here to make a
distinction. Unlike most suspended-sediment load, wash load does not rely on the
force of mechanical turbulence generated by flowing water to keep it in suspension.
It is so fine (in the clay range) that it is kept in suspension by thermal molecular
agitation (sometimes known as Brownian motion, named for the early 19th-century
botanist who described the random motion of microscopic pollen spores and dust).
Because these clays are always in suspension, wash load is that component of the
particulate or clastic load that is “washed” through the river system.
Unlike coarser suspended-sediment, wash load tends to be uniformly distributed
throughout the water column. That is, unlike the coarser load, it does not vary with
height above the bed.
Bed Load (Traction Load)
 Bed load is the clastic (particulate) material that moves through the channel fully
supported by the channel bed itself. These materials, mainly sand and gravel, are
kept in motion (rolling and sliding) by the shear stress acting at the boundary. Unlike
the suspended load, the bed-load component is almost always capacity limited (that
is, a function of hydraulics rather than supply). A distinction is often made between
the bed-material load and the bed load.
• Bed-material load is that part of the sediment load found in appreciable
quantities in the bed (generally > 0.062 mm in diameter) and is collected in a
bed-load sampler. That is, the bed material is the source of this load component
and it includes particles that slide and roll along the bed (in bed-load transport)
but also those near the bed transported in saltation or suspension.
Bedload Sampler- US BL-84
Mechanics of saltation – which involves kinetic energy
transfer between bouncing particles
• The suspended sediment load is transported by the river’s current, aided by buoyancy
• The bed load is the coarse grained fraction that is transported via rolling, sliding, and saltation (shown at right) along the channel bed
The bed load generally constitutes between 5 and 20 percent of the total load of a stream
Particles move discontinuously by rolling or sliding at a
slower velocity than the stream water
• Sieve diameter – the finest mesh that a
particle can pass through;
• Sedimentation diameter – diameter of a
sphere with the same settling velocity;
• Nominal diameter – diameter of a
sphere with the same volume.
 Empirical formulae developed for bed load, suspended load and total sediment
transport rate using laboratory and field data.
 They are based on hydraulic and sediment conditions – Water depth, velocity, slope
and average sand diameter etc.
 There can be significant differences between predicted and measured sediment
transport rates, WHY?
Development of Sediment Transport Formulae
 These differences are due to change in:
- Water temperature,
- Effect of fine sediment,
- Bed roughness,
- Armouring, and
- Inherent difficulties in measuring total sediment discharge.
 Use of most appropriate formula based on the availability of conditions,
experience and knowledge of the engineer.
Armoring occurs when the bed surface of gravel-bed rivers is coarsened relative to the sub-surface.
 Flow develops shear stresses less than required to move large particles, but large enough to move fines.
 Flow entrains fine particles, winnowing them from bed surface
 Coarse layer forms, sheltering fine grains
 Coarse layer increases resistance to entrainment
1. Bedload Formula – Meyer-Peter & Müller (1948)
2
/
3
*
c
S
*
b )
F
F
(
8
q 

Critical Shields
Parameter = 0.047
)
1
( 
s
gD
o


 
1

s
gD
D
qsb
Where D is average sand diameter
  2
/
3
)
047
.
0
(
8
1 


 s
sb F
s
gD
D
q
Valid for D > 3.0mm
Sediment Flow Rate m3/s/m
The Shields diagram empirically shows how the dimensionless critical shear stress required
for the initiation of motion is a function of a particular form of the particle Reynolds number,
Rep or Reynolds number related to the particle.
2. Total Sediment Transport Load – Ackers & White’s Formula (1973)
Dimensionless Grain Diameter
  3
/
1
2
1
)
(





 



s
gr
g
D
D
Mobility Number
   
n
m
s
n
gr
D
D
V
gD
u
F











1
*
10
log
32
1
)
( 

Flow velocity
Hydraulic
mean depth
n
m
m
gr
gr
s
u
V
D
qD
A
F
C
q 















*
1
Sediment Flow Rate m3/s/m
Flow discharge
3. Total Sediment Transport Load – Engelund/Hansen’s (1967) Formula
2
/
5
/
1
.
0 
 
f
2
/ 2
V
gSy
f 
Friction factor
2
/
1
3














 
 gD
q s
s
t




 D
s )
( 





Shields Parameter
3
50
/
2
/
5
)
1
(
1
.
0
D
s
g
f
q s
t 
 

Sediment transport load N/s/m
Van Rijn’s Formula:
 Where “Ca is the suspended sediment concentration,
“ X1”and “X2” are the parameters, D50 is the sediment particle diameter, ρS is the
density of sediments (2650 kg/m3), ρW is the density of water(1000kg/m3),υ is the
kinematic viscosity of water (10-6 m2/s) and g is the gravitational acceleration (9.81
N/m2), τ is the shear stress and τc is the critical bed shear stress determined by the
following equation (2)
𝐶𝑎 = 𝑋1
𝐷50
𝑋2
[
𝜏−𝜏𝑐
𝜏𝑐
]1.5
{𝐷50[
(𝜌𝑠−𝜌𝑤 )𝑔
𝜌𝑤 𝜐2 ]
1
3
}0.3
− − − (1)
𝜏 = 𝜌𝑤 𝑔𝑦𝐼𝑓 − − − − − − − − − − − − − − − 2
 Where ρw is the density of water, “y” is the depth of flow “g” is the
gravitational acceleration and “If” is the frictional slope If is calculated as
follows (equation (3))
 Where “M” is the Stickler’s coefficient “I” is the longitudinal slope of the
canal and “U” is the velocity which is calculated by equation (4)
𝐼𝑓 =
𝑈2
𝑀2𝑦4/3
− − − − − − − − − − − − − − (3)
𝑈 = 𝑀𝑟ℎ
2
3
𝐼
1
2 − − − − − − − − − − − − − − − (4)
• “rh” is the hydraulic depth which is assumed to be equal to the depth of flow because
the width of the cross-section of the canal is very large. Critical shear stress is
calculated by equation (5)
• Where τc is the critical shear stress, “C” is the Shield’s parameter determined by
Shield’s curve in which Reynolds number is along abscissa and “C” is in ordinate.
Reynolds number is calculated by equation (6)
𝜏𝑐 = 𝐶𝑔 𝜌𝑠 − 𝜌𝑤 𝐷50 − − − − − − − − − − − (5)
 Where u* is the shear velocity, “d” is the particle’s diameter and “υ” is the viscosity
of water. Velocity “U” for logarithmic profile is calculated by equation (7)
 Where “u*” is the shear velocity, “k” is constant=0.4, “y” is the flow depth and “ks”
is the bed roughness height calculated by equation (8)
𝑅 =
𝑢∗𝑑
𝜐
− − − − − − − − − − − − − − − − (6)
𝑈
𝑢∗
=
1
𝑘
ln
30𝑦
𝑘𝑠
− − − − − − − − − − − − − (7)
𝑘𝑠 = (26 ∗ 𝑛)6
− − − − − − − − − − − − − −(8)
• “u*” in equation 7 is calculated by equation (9) Hunter Rouse concentration
“Cy” is calculated as
𝑢∗ =
𝜏
𝜌𝑤
− − − − − − − − − − − − − − − − (9)
• Where “y” is the water depth, “h” is the depth of each layer from the bottom and the
suspension parameter “z” is calculated by equation (11)
𝐶𝑦
𝐶𝑎
= (
𝑦 − ℎ
ℎ
𝑎
𝑦 − 𝑎
)𝑧
− − − − − − − − − − − − − (10) 𝑧 =
𝑤
𝑘𝑢∗
… … . (11)
 Root mean square error is calculated by
𝐸 =
1
𝑛
[
𝐶𝑠 𝑖 − 𝐶𝑜 𝑖
𝐶𝑠 𝑖
]2
− − − − − − − − − (12)
𝑛
𝑖=1
Cell no
(1)
Distance
from
bed(m)
(2)
Velocity(m/s)
(3)
Hunter
Rouse
Conc.(m3/m3)
(4)
Cell
height(m)
(5)
Cell flux
(m3/m3)
(6)=(3)*(4)*(5)
8 3.716 2.365 3.22669E-10 0.3912 2.98448E-10
7 3.325 2.334 2.03269E-08 0.3912 1.8559E-08
6 2.934 2.300 1.79447E-07 0.3912 1.61434E-07
5 2.543 2.261 9.272E-07 0.3912 8.19922E-07
4 2.151 2.215 3.88495E-06 0.3912 3.36596E-06
3 1.760 2.160 1.53559E-05 0.3912 1.29745E-05
2 1.369 2.091 6.43409E-05 0.3912 5.26315E-05
1 0.587 1.859 0.002934879 0.5867 0.003201703
 The values of Manning’s “n” used in optimization were 0.0143, 0.017, 0.02 and
0.025 where the optimized value of “n” becomes 0.02 having minimum error in
sediment concentration, bed levels and the water levels. So the optimized bed
roughness is 0.0197, calculated from equation 8. Different parameters in Van Rijn’s
equation were optimized by using MATLAB. The values of empirical parameter
“X1” were 0.015, 0.3 and 1.5 while for “X2” 5%, 10% 15% and 20% of depth of
flow were used for optimization process as explained by Olsen (2011)
 The optimized value of “X1” was obtained as 0.015 and “X2” was 15% of depth of flow.
Optimization was done for each month (from May 2011 to October 2011).
Suppose the average concentration at some level z is C. In a simplistic model an upward turbulent velocity u′ for
half the time carries material of concentration (C – l dC/dz), where l is a mixing length – an order of size for
turbulent eddies. The corresponding downward velocity for the other half of the time carries material at
concentration (C + l dC/dz). The average upward flux of sediment (volume flux × concentration) through a
horizontal area A is
The quantity u′l written as a diffusivity K.
At the same time there is a net downward flux of material ws AC due to settling. When the
concentration profile has reached equilibrium the upward diffusive flux and downward
settling flux are equal in magnitude; i.e.
This is referred to a gradient diffusion (because it is proportional to a gradient!) or Fick’s law of
diffusion.The minus sign indicates, as expected, that there is a net flux from high concentration to low.
Integrating between a reference
height zref and general z gives,
after some algebra
is called the Rouse number after
H. Rouse (1937).
To be of much predictive use it is necessary to specify Cref at some depth zref, typically at a
height representative of the bed load. There are many such formulae but one of the simplest
is that of Van Rijn (see, e.g., Chanson’s book):
Summary of Main Suspended-Load Formulae
In rivers and bad governments, the
lightest things swim at the top.
(Benjamin Franklin)
Thanks
Basic Mechanism of Bed Load
Sediment Transport
 drag force exerted by fluid
flow on individual grains
 retarding force exerted by the
bed on grains at the interface
 particle moves when resultant
passes through (or above)
point of support
Grains: usually we mean incoherent sands, gravels,
and silt, but also sometimes we include cohesive
soils (clays) that form larger particles (aggregates)
Fd
h
force of drag will vary with time
V
Fg
point of support

Sinuosity and
development of
point bars
 Point bars develop on the
inside turns of bends in the
channel, due to increased
friction
 The more sinuous the
channel, the more point
bar deposits can be
expected

Sediment transport9

  • 1.
  • 2.
    Sediment Transport  Notall channels are formed in sediment and not all rivers transport sediment. Some have been carved into bedrock, usually in headwater reaches of streams located high in the mountains. These streams have channel forms that often are dominated by the nature of the rock (of varying hardness and resistance to mechanical breakdown and of varying joint definition, spacing and pattern) in which the channel has been cut.  Alluvial rivers; bed consists of sediment (‘alluvium’ = river-associated sediment) Downstream reaches  Bedrock rivers; part of the bed is bare rock, where river cutting down generally in upper reaches of rivers
  • 3.
    Braided Stream Meanderingstream; Point Bar and Cut Bank
  • 4.
    Point Bars andCut banks along river meanders
  • 5.
  • 6.
    Competence : Competence refersto the largest size (diameter) of sediment particle or grain that the flow is capable of moving; it is a hydraulic limitation. If a river is sluggish and moving very slowly it simply may not have the power to mobilize and transport sediment of a given size even though such sediment is available to transport. So a river may be competent or incompetent with respect to a given grain size. If it is incompetent it will not transport sediment of the given size. If it is competent it may transport sediment of that size if such sediment is available Capacity refers to the maximum amount of sediment of a given size that a stream can transport in traction as bed load. Given a supply of sediment, capacity depends on channel gradient and discharge. Capacity transport is the competence-limited sediment transport (mass per unit time) predicted by all sediment-transport equations. Capacity transport only occurs when sediment supply is abundant (non-limiting). Capacity:
  • 7.
     When ariver eventually reaches the sea, its bed load may consist mainly of sand and silt  The size of river sediment normally decreases in size downstream, from boulders in mountain streams to silt and sand in major rivers because the coarse bed load is gradually reduced in size by abrasion. Downstream Changes in Particle Size Boulders > 256 mm Cobbles 80 mm - 256 mm Gravel 2 mm - 80 mm Sand 0.05 mm - 2 mm Silt 0.002 mm - 0.05 mm Clay <0.002 mm Sediment Size
  • 8.
    Modes of SedimentTransport The sediment load of a river is transported in various ways although these distinctions are to some extent arbitrary and not always very practical in the sense that not all of the components can be separated in practice: 1. Dissolved load 2. Suspended load 3. Wash load 4. Bed load
  • 9.
    Bed-material load Wash load Suspendedbed-material load Traction bed load Suspended load Bed load  Transport mechanisms depend on grain size at a particular flow rate Observable difference of transport state Definition based on measurement technologies Transport mechanisms
  • 11.
    Dissolved load ismaterial that has gone into solution and is part of the fluid moving through the channel. The amount of material in solution depends on supply of a solute and the saturation point for the fluid. For example, in limestone areas, calcium carbonate may be at saturation level in river water and the dissolved load may be close to the total sediment load of the river. In contrast, rivers draining insoluble rocks, such as in granitic terrains, may be well below saturation levels for most elements and dissolved load may be relatively small. Total dissolved-material transport, Qs(d)(kg/s), depends on the dissolved load concentration Co (kg/m3), and the stream discharge, Q (m3/s): Qs(d) = CoQ The bulk of the dissolved content of most rivers consists of seven ionic species: • Bicarbonate (HCO3 -) • Calcium (Ca++) • Sulfate (SO4 --) • Chloride (Cl-) • Sodium (Na+) • Magnesium (Mg++) • Potassium (K+) • Dissolved silica as Si(OH)4
  • 12.
    Suspended-sediment load isthe clastic (particulate) material that moves through the channel in the water column. These materials, mainly silt and sand, are kept in suspension by the upward flux of turbulence generated at the bed of the channel. The upward currents must equal or exceed the particle fall-velocity (Figure ) for suspended-sediment load to be sustained.
  • 13.
    Suspended-sediment concentration inrivers is measured with an instrument like the DH48 suspended-sediment sampler shown in Figure. The sampler consists of a cast housing with a nozzle at the front that allows water to enter and fill a sample bottle. Air evacuated from the sample bottle is bled off through a small valve on the side of the housing. The sampler can be lowered through the water column on a cable. the sampler is lowered from the water-surface to the bed and up to the surface again at a constant rate so that a depth-integrated suspended sediment sample is collected. The instrument must be lowered at a constant rate such that the sample bottle will almost but not quite fill by the time it returns to the surface. The sample bottle is then removed and capped and returned to the laboratory where the fluid volume and sediment mass is determined for the calculation of suspended-sediment concentration.
  • 14.
    Although wash loadis part of the suspended-sediment load it is useful here to make a distinction. Unlike most suspended-sediment load, wash load does not rely on the force of mechanical turbulence generated by flowing water to keep it in suspension. It is so fine (in the clay range) that it is kept in suspension by thermal molecular agitation (sometimes known as Brownian motion, named for the early 19th-century botanist who described the random motion of microscopic pollen spores and dust). Because these clays are always in suspension, wash load is that component of the particulate or clastic load that is “washed” through the river system. Unlike coarser suspended-sediment, wash load tends to be uniformly distributed throughout the water column. That is, unlike the coarser load, it does not vary with height above the bed.
  • 15.
    Bed Load (TractionLoad)  Bed load is the clastic (particulate) material that moves through the channel fully supported by the channel bed itself. These materials, mainly sand and gravel, are kept in motion (rolling and sliding) by the shear stress acting at the boundary. Unlike the suspended load, the bed-load component is almost always capacity limited (that is, a function of hydraulics rather than supply). A distinction is often made between the bed-material load and the bed load. • Bed-material load is that part of the sediment load found in appreciable quantities in the bed (generally > 0.062 mm in diameter) and is collected in a bed-load sampler. That is, the bed material is the source of this load component and it includes particles that slide and roll along the bed (in bed-load transport) but also those near the bed transported in saltation or suspension. Bedload Sampler- US BL-84
  • 16.
    Mechanics of saltation– which involves kinetic energy transfer between bouncing particles • The suspended sediment load is transported by the river’s current, aided by buoyancy • The bed load is the coarse grained fraction that is transported via rolling, sliding, and saltation (shown at right) along the channel bed The bed load generally constitutes between 5 and 20 percent of the total load of a stream Particles move discontinuously by rolling or sliding at a slower velocity than the stream water
  • 18.
    • Sieve diameter– the finest mesh that a particle can pass through; • Sedimentation diameter – diameter of a sphere with the same settling velocity; • Nominal diameter – diameter of a sphere with the same volume.
  • 25.
     Empirical formulaedeveloped for bed load, suspended load and total sediment transport rate using laboratory and field data.  They are based on hydraulic and sediment conditions – Water depth, velocity, slope and average sand diameter etc.  There can be significant differences between predicted and measured sediment transport rates, WHY? Development of Sediment Transport Formulae  These differences are due to change in: - Water temperature, - Effect of fine sediment, - Bed roughness, - Armouring, and - Inherent difficulties in measuring total sediment discharge.  Use of most appropriate formula based on the availability of conditions, experience and knowledge of the engineer. Armoring occurs when the bed surface of gravel-bed rivers is coarsened relative to the sub-surface.  Flow develops shear stresses less than required to move large particles, but large enough to move fines.  Flow entrains fine particles, winnowing them from bed surface  Coarse layer forms, sheltering fine grains  Coarse layer increases resistance to entrainment
  • 29.
    1. Bedload Formula– Meyer-Peter & Müller (1948) 2 / 3 * c S * b ) F F ( 8 q   Critical Shields Parameter = 0.047 ) 1 (  s gD o     1  s gD D qsb Where D is average sand diameter   2 / 3 ) 047 . 0 ( 8 1     s sb F s gD D q Valid for D > 3.0mm Sediment Flow Rate m3/s/m The Shields diagram empirically shows how the dimensionless critical shear stress required for the initiation of motion is a function of a particular form of the particle Reynolds number, Rep or Reynolds number related to the particle.
  • 30.
    2. Total SedimentTransport Load – Ackers & White’s Formula (1973) Dimensionless Grain Diameter   3 / 1 2 1 ) (           s gr g D D Mobility Number     n m s n gr D D V gD u F            1 * 10 log 32 1 ) (   Flow velocity Hydraulic mean depth n m m gr gr s u V D qD A F C q                 * 1 Sediment Flow Rate m3/s/m Flow discharge
  • 31.
    3. Total SedimentTransport Load – Engelund/Hansen’s (1967) Formula 2 / 5 / 1 . 0    f 2 / 2 V gSy f  Friction factor 2 / 1 3                  gD q s s t      D s ) (       Shields Parameter 3 50 / 2 / 5 ) 1 ( 1 . 0 D s g f q s t     Sediment transport load N/s/m
  • 32.
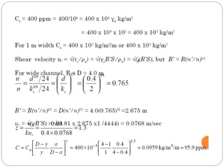
    Van Rijn’s Formula: Where “Ca is the suspended sediment concentration, “ X1”and “X2” are the parameters, D50 is the sediment particle diameter, ρS is the density of sediments (2650 kg/m3), ρW is the density of water(1000kg/m3),υ is the kinematic viscosity of water (10-6 m2/s) and g is the gravitational acceleration (9.81 N/m2), τ is the shear stress and τc is the critical bed shear stress determined by the following equation (2) 𝐶𝑎 = 𝑋1 𝐷50 𝑋2 [ 𝜏−𝜏𝑐 𝜏𝑐 ]1.5 {𝐷50[ (𝜌𝑠−𝜌𝑤 )𝑔 𝜌𝑤 𝜐2 ] 1 3 }0.3 − − − (1) 𝜏 = 𝜌𝑤 𝑔𝑦𝐼𝑓 − − − − − − − − − − − − − − − 2
  • 33.
     Where ρwis the density of water, “y” is the depth of flow “g” is the gravitational acceleration and “If” is the frictional slope If is calculated as follows (equation (3))  Where “M” is the Stickler’s coefficient “I” is the longitudinal slope of the canal and “U” is the velocity which is calculated by equation (4) 𝐼𝑓 = 𝑈2 𝑀2𝑦4/3 − − − − − − − − − − − − − − (3) 𝑈 = 𝑀𝑟ℎ 2 3 𝐼 1 2 − − − − − − − − − − − − − − − (4) • “rh” is the hydraulic depth which is assumed to be equal to the depth of flow because the width of the cross-section of the canal is very large. Critical shear stress is calculated by equation (5) • Where τc is the critical shear stress, “C” is the Shield’s parameter determined by Shield’s curve in which Reynolds number is along abscissa and “C” is in ordinate. Reynolds number is calculated by equation (6) 𝜏𝑐 = 𝐶𝑔 𝜌𝑠 − 𝜌𝑤 𝐷50 − − − − − − − − − − − (5)
  • 34.
     Where u*is the shear velocity, “d” is the particle’s diameter and “υ” is the viscosity of water. Velocity “U” for logarithmic profile is calculated by equation (7)  Where “u*” is the shear velocity, “k” is constant=0.4, “y” is the flow depth and “ks” is the bed roughness height calculated by equation (8) 𝑅 = 𝑢∗𝑑 𝜐 − − − − − − − − − − − − − − − − (6) 𝑈 𝑢∗ = 1 𝑘 ln 30𝑦 𝑘𝑠 − − − − − − − − − − − − − (7) 𝑘𝑠 = (26 ∗ 𝑛)6 − − − − − − − − − − − − − −(8) • “u*” in equation 7 is calculated by equation (9) Hunter Rouse concentration “Cy” is calculated as 𝑢∗ = 𝜏 𝜌𝑤 − − − − − − − − − − − − − − − − (9) • Where “y” is the water depth, “h” is the depth of each layer from the bottom and the suspension parameter “z” is calculated by equation (11) 𝐶𝑦 𝐶𝑎 = ( 𝑦 − ℎ ℎ 𝑎 𝑦 − 𝑎 )𝑧 − − − − − − − − − − − − − (10) 𝑧 = 𝑤 𝑘𝑢∗ … … . (11)
  • 35.
     Root meansquare error is calculated by 𝐸 = 1 𝑛 [ 𝐶𝑠 𝑖 − 𝐶𝑜 𝑖 𝐶𝑠 𝑖 ]2 − − − − − − − − − (12) 𝑛 𝑖=1 Cell no (1) Distance from bed(m) (2) Velocity(m/s) (3) Hunter Rouse Conc.(m3/m3) (4) Cell height(m) (5) Cell flux (m3/m3) (6)=(3)*(4)*(5) 8 3.716 2.365 3.22669E-10 0.3912 2.98448E-10 7 3.325 2.334 2.03269E-08 0.3912 1.8559E-08 6 2.934 2.300 1.79447E-07 0.3912 1.61434E-07 5 2.543 2.261 9.272E-07 0.3912 8.19922E-07 4 2.151 2.215 3.88495E-06 0.3912 3.36596E-06 3 1.760 2.160 1.53559E-05 0.3912 1.29745E-05 2 1.369 2.091 6.43409E-05 0.3912 5.26315E-05 1 0.587 1.859 0.002934879 0.5867 0.003201703
  • 36.
     The valuesof Manning’s “n” used in optimization were 0.0143, 0.017, 0.02 and 0.025 where the optimized value of “n” becomes 0.02 having minimum error in sediment concentration, bed levels and the water levels. So the optimized bed roughness is 0.0197, calculated from equation 8. Different parameters in Van Rijn’s equation were optimized by using MATLAB. The values of empirical parameter “X1” were 0.015, 0.3 and 1.5 while for “X2” 5%, 10% 15% and 20% of depth of flow were used for optimization process as explained by Olsen (2011)  The optimized value of “X1” was obtained as 0.015 and “X2” was 15% of depth of flow. Optimization was done for each month (from May 2011 to October 2011).
  • 38.
    Suppose the averageconcentration at some level z is C. In a simplistic model an upward turbulent velocity u′ for half the time carries material of concentration (C – l dC/dz), where l is a mixing length – an order of size for turbulent eddies. The corresponding downward velocity for the other half of the time carries material at concentration (C + l dC/dz). The average upward flux of sediment (volume flux × concentration) through a horizontal area A is The quantity u′l written as a diffusivity K.
  • 39.
    At the sametime there is a net downward flux of material ws AC due to settling. When the concentration profile has reached equilibrium the upward diffusive flux and downward settling flux are equal in magnitude; i.e. This is referred to a gradient diffusion (because it is proportional to a gradient!) or Fick’s law of diffusion.The minus sign indicates, as expected, that there is a net flux from high concentration to low.
  • 41.
    Integrating between areference height zref and general z gives, after some algebra is called the Rouse number after H. Rouse (1937).
  • 42.
    To be ofmuch predictive use it is necessary to specify Cref at some depth zref, typically at a height representative of the bed load. There are many such formulae but one of the simplest is that of Van Rijn (see, e.g., Chanson’s book):
  • 44.
    Summary of MainSuspended-Load Formulae
  • 50.
    In rivers andbad governments, the lightest things swim at the top. (Benjamin Franklin) Thanks
  • 51.
    Basic Mechanism ofBed Load Sediment Transport  drag force exerted by fluid flow on individual grains  retarding force exerted by the bed on grains at the interface  particle moves when resultant passes through (or above) point of support Grains: usually we mean incoherent sands, gravels, and silt, but also sometimes we include cohesive soils (clays) that form larger particles (aggregates) Fd h force of drag will vary with time V Fg point of support 
  • 53.
    Sinuosity and development of pointbars  Point bars develop on the inside turns of bends in the channel, due to increased friction  The more sinuous the channel, the more point bar deposits can be expected