Auntie Derivative's Party!
Here we can apply substitution where  u  = ln( z ). But sometimes, as in this case, it might be necessary to solve for  z  in terms of  u , depending on the complexity of the integrand.
The variables  u  and  du  can now be substituted into the integrand, but now the  z  must be converted into  u  so antidifferentiation can occur.
Since  z  =  e   , substituting this into the integrand yields an expression only in terms of  u . u
Now integration by parts can be applied to the variable  u .  Don't forget to use LIATE.
Here's LIATE again in case anyone has forgotten.  Remember, it's purpose is to help determine f. L  - Logarithmic (ex. log( x )) I  - Inverse Trig. (ex. arccos( x )) A  - Algebraic (ex.  x 2 ) T  - Trigonometry (ex. cos( x )) E  - Exponential (ex.  e x )
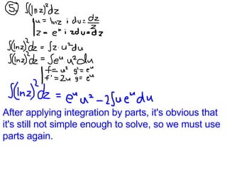
After applying integration by parts, it's obvious that it's still not simple enough to solve, so we must use parts again.
Now the full expression can be simplified and  e u  can easily be antidifferentiatied.
Remember,  u  = ln( z ), so once the full expression is simplified you must resubstitute ln( z ) in.  Now the final answer is known.
This approach involves u-substitution as the first step, where  u  =  x 3 .
We can take out the e as a coefficient for the antiderivative, but notice how u has been substituted into the integrand twice where  x 3  is present. Two substitutions.
Now that the the integrand is only in terms of  u , we can now antidifferentiate using parts.
Once again using LIATE,  f  and  g'  can be determined for the parts.
All that is left is to finish antidifferentiating  f'g .  Also, don't forget that  e /3 is to be distributed to the whole antiderivative, thus the brackets.
Now that there are no indefinite integrals left in the expression, all that is left is some algebraic massage.  In this step, I have already factored out 2/3.
You can factor out a ( u  + 1) 3/2  to further simplify the expression.  Don't forget that resubstituting into  u  is now required.
Here is the final answer, though further algebraic massage is possible, the answer will still remain the same function.
LIATE indicates that algebraic functions have priority over trigonometric functions for  f , as used here.
The antiderivative of tan( x ) must now be determined, which isn't a fundamental antiderivative.
But don't forget that we always have our trigonometric functions.
Define the function for substitution.
Applying the variable  u  to the integrand works nicely.
Don't forget to distribute that negative sign and also to subsitute  u  = cos( x ) once you antidifferentiate.
Since the antiderivative of tan( x ) has now been determined, the full antiderivative of  x sec 2 ( x ) can easily be determine as above.
Well, that's it for thursday's scribe. I hope that anyone who didn't understand what was going on during thursday's class when Mr. K was going through these tougher questions found my dissection helpful.  Goodbye for now! The next scribe is: MrSiwWy! =D

Scribe Post 6

  • 1.
  • 2.
    Here we canapply substitution where u = ln( z ). But sometimes, as in this case, it might be necessary to solve for z in terms of u , depending on the complexity of the integrand.
  • 3.
    The variables u and du can now be substituted into the integrand, but now the z must be converted into u so antidifferentiation can occur.
  • 4.
    Since z = e , substituting this into the integrand yields an expression only in terms of u . u
  • 5.
    Now integration byparts can be applied to the variable u . Don't forget to use LIATE.
  • 6.
    Here's LIATE againin case anyone has forgotten. Remember, it's purpose is to help determine f. L - Logarithmic (ex. log( x )) I - Inverse Trig. (ex. arccos( x )) A - Algebraic (ex. x 2 ) T - Trigonometry (ex. cos( x )) E - Exponential (ex. e x )
  • 7.
    After applying integrationby parts, it's obvious that it's still not simple enough to solve, so we must use parts again.
  • 8.
    Now the fullexpression can be simplified and e u can easily be antidifferentiatied.
  • 9.
    Remember, u = ln( z ), so once the full expression is simplified you must resubstitute ln( z ) in. Now the final answer is known.
  • 10.
    This approach involvesu-substitution as the first step, where u = x 3 .
  • 11.
    We can takeout the e as a coefficient for the antiderivative, but notice how u has been substituted into the integrand twice where x 3 is present. Two substitutions.
  • 12.
    Now that thethe integrand is only in terms of u , we can now antidifferentiate using parts.
  • 13.
    Once again usingLIATE, f and g' can be determined for the parts.
  • 14.
    All that isleft is to finish antidifferentiating f'g . Also, don't forget that e /3 is to be distributed to the whole antiderivative, thus the brackets.
  • 15.
    Now that thereare no indefinite integrals left in the expression, all that is left is some algebraic massage. In this step, I have already factored out 2/3.
  • 16.
    You can factorout a ( u + 1) 3/2 to further simplify the expression. Don't forget that resubstituting into u is now required.
  • 17.
    Here is thefinal answer, though further algebraic massage is possible, the answer will still remain the same function.
  • 18.
    LIATE indicates thatalgebraic functions have priority over trigonometric functions for f , as used here.
  • 19.
    The antiderivative oftan( x ) must now be determined, which isn't a fundamental antiderivative.
  • 20.
    But don't forgetthat we always have our trigonometric functions.
  • 21.
    Define the functionfor substitution.
  • 22.
    Applying the variable u to the integrand works nicely.
  • 23.
    Don't forget todistribute that negative sign and also to subsitute u = cos( x ) once you antidifferentiate.
  • 24.
    Since the antiderivativeof tan( x ) has now been determined, the full antiderivative of x sec 2 ( x ) can easily be determine as above.
  • 25.
    Well, that's itfor thursday's scribe. I hope that anyone who didn't understand what was going on during thursday's class when Mr. K was going through these tougher questions found my dissection helpful. Goodbye for now! The next scribe is: MrSiwWy! =D