Single CellProteinPresented By:Shraddha BhattPhD (Agri. Micro)AAU, Anand.
What is Protein ???Any of a group of complex organic macromolecules that contain carbon, hydrogen, oxygen, nitrogen, and usually sulphur and are composed of one or more chains of amino acids.     Proteins are fundamental components of all living cells and include many substances, such as enzymes, hormones, and antibodies, that are necessary for the proper functioning of an organism.     They are essential in the diet of animals for the growth and repair of tissue and can be obtained from foods such as meat, fish, eggs, milk, and legumes.
Protein requirement:In inactive lifestyle, the recommended dietary allowance (RDA) for a sedentary individual isabout 0.8 grams per kilogram of body .    So, if weight of body is 90 kg then protein requirement        90 x 0.8 = 72g per day protein is required.     If lifestyle is active or hard working then protein required is 1.4g/kg to 1.8 g/kg of body weight daily.
Daily requirements (g) of essential aminoacids for the human adult Data retrieved from FAO (http://www.fao.org)
Introduction     The increasing world deficiency of protein is becoming a main problem of humankind. Since the early fifties, intense efforts have been made to explore new, alternate and unconventional protein. For this reason, in 1996, new sources mainly yeast, fungi, bacteria and algae named Single Cell Protein (SCP) as coined to describe the protein production from biomass, originating from different microbial sources. Microbial biomass has been considered an alternative to conventional sources of food or feed.      Large-scale processes for SCP production show interesting features, including:     The wide variety of methodologies, raw materials and microorganisms that can be used for this purpose     High efficiency in substrate conversion     High productivity, derived from the fast growth rate of microorganisms     Independence of seasonal factors (Roth, 1980; Parajo et al., 1995)
HistoryA survey of the history of the use of microorganisms for human consumption indicates three major trends: microbes as a source of enzymes in the food industry    (baking, brewing, distilling, wine making, cheese production) has at present a new aspect-the use of immobilized enzymes of microbial origin, (b) microbes as producers of nutritive substances (amino acids,          nucleotides, vitamins, organic acids, sugars, aromatizers) and (c) direct utilization of microbial biomass as foodstuff.
Since 2500 B.C. yeasts have been used in bread and beverage production. In 1781 processes for preparing highly concentrated forms of yeast were established. "Food from oil"In the 1960s, researchers at British Petroleum developed what they called "proteins-from-oil process": a technology for producing single cell protein by yeast fed by waxy n-paraffins, a product produced by oil refineries.
Initial research work was done by Alfred Champagnat at BP's Lavera Oil Refinery in France; a small pilot plant there started operations in March in 1963, and the same construction of the second pilot plant, at Grangemouth Oil Refinery in Britain, was authorized.
The term SCP was coined in 1966 by Carol L. Wilson.
The "food from oil" idea became quite popular by the 1970s, with Champagnat being awarded the UNESCO Science Prize in 1976, and paraffin-fed yeast facilities being built in a number of countries.Advantages of SCP over conventional protein sources are:   It has high protein and low fat content.   It is good source of vitamins particularly B-complex. e.g.          Yeasts   It can be produced through-out the year.Waste materials are used as substrate for the production of these    proteins. It reduces the environmental pollution and helps in recycling      of materials.   SCP organisms grow faster and produce large quantities of SCP from     relatively small area of land and time.   These have proteins with required amino acids that can be easily    selected by genetic engineering.   During the production of SCP biomass, some organisms produce useful     by products such as organic acids and fats.    It can be genetically controlled.    It causes less pollution.    Algal culture can be done in space which is normally unused.
Factors that impairs the usefulness of Unicellular biomassAll single-celled microorganisms of interest from the industrial point of view have a nondigestible envelope, which makes protein assimilation difficult.The content of nucleic acids in the unicellular biomass is higher than the permissible level and may cause disorders of purine metabolism in the human body.The biomasses of some unicellular microorganisms have an unpleasant color (algae), taste, and smell, which make them unsuitable even for animal consumption.Food grade production of SCP is more expensive than othersources of proteins, as it depends on the raw materials.SCPfor human consumption is 10-12 times more expensive thanSCP for animal feed.Digestion of microbial cells is rather slow, and is frequentlyassociated with indigestion and allergy reactions.Kharatyan (1978)
SCP Manufacturing Protocol Microbial screening: with microbial screening, in which suitable production strains are obtained from samples of soil, water, air or from swabs of inorganic or biological materials and are subsequently optimized by selection, mutation, or other genetic methods. Suitable raw materialProcess engineering:Then the technical conditions of cultivation for the optimized strains are done and all metabolic pathways and cell structures will be determinedApparatus technology: adapt the technical performance of the process in order to make the production ready for use on the large technical scale.Economic factors : Energy , CostSafety demands & Environmental protection ( to the process and to the product)Legal and controlled aspects (Operating license & product authorization)
“Possible Substrates for SCP”They can be subdivided into three categories: high energy sources (natural gas, n-alkanes, gas-oil, methanol, ethanol, acetic acid); different wastes (molasses, sulfite waste liquor, milk, whey, fruit wastes); and renewable plant resources (sugar, starch, cellulose).The interest in methanol and ethanol as a raw material for SCP is based on; complete water solubility of these alcohols and  the possibility of washing cells completely free of residual methanol or ethanol; the high purity of the substrate (99.5%); the relative cheapness of the substrate; the restricted utilization of the substrates by microorganisms, thus reducing the probability of contamination; easy and simple storage and maintenance; and lower requirements for oxygen during fermentation and lower requirements for energy during cooling as compared with microbial cultivation on hydrocarbons.
Average composition of the main groups of micro-organisms (% dry weight)   Table : 1Miller et al., (1976)
Parameters to be considered during selection of microorganisms as protein source: Safety Usefulness Ease of processing  Rate of growthCultivation conditions
Yeasts and FungiFilamentous Fungi used for SCP production are Chaetomium celluloliticum,  Fusarium    graminearum, Paecilomyces varioti which grows on cellulose waste, starch, and sulphite waste liquor respectively and content about 50 – 55 % protein.	SCP is produced from yeasts viz. Candida utilis, Candida lipolytica, Saccharomyces  cervicea.Torula yeast (which grows on Ethanol) as a food is obtained through fermentation using molasses as substrate and it has high protein–carbohydrate ratio than forages. It is rich in lysine but poor in methionine and cysteine. Saccharomyces consists of high protein with good balance of amino acids and rich in B–complex vitamins. It is more suitable as poultry feed.	Yeast are higher in lysine content.	Strict aseptic conditions are required when using Yeast as a SCP production.      Disadvantages:  	High nucleic acid content. Slow growth is observed in Fungi vis-à-vis than yeast & bacteria.	Contamination risk.Mycotoxins are also produced.2.   BacteriaThey have more than 80% protein but are poor in sulphur containing amino acids.Brevibacterium uses hydrocarbons while Methylophilus methylitropous uses methanol as a substrate.    Disadvantages: It has high nucleic acid  content.	Recovering the cells is a bit problematic.  Endotoxin production should be carefully tested.
At MurugappaChettiar Research Centre (MCRC, Madras) food-grade spirulina is cultivated and the products are distributed to the local undernourished children. 3. Algae:    Chlorella, Scenedesmusacutus and Spirulina maxima are grown for SCP.    These have about 60% protein with good amino acid composition but less in sulphur containing amino acids.Chlorella and Spirulina are used for commercial scale production in Taiwan, Thailand, Japan, Israel, Mexico and USA.    It is spray dried and sold as pills and powders.Disadvantages:   As they are rich in Chlorophyll, it is not advised for human consumption (except Spirulina).   It has low density i.e. 1-2 gm dry weight/litre of substrate.   There is lot of risk of contamination during growth.The United Nations Organization(UNO) in its World Food Conference of 1974 declared Spirulina as the best food for tomorrow.World Health Organization(WHO)  has hailed Spirulina the greatest super food on the earth.Upon testing it NASA scientists found 1 kg of Spirulina nutritionally equal to 1000 kgs of assorted vegetables
The Nutritional Values of Elken Spirulina Nutritional value is      14 times higher than cow’s milk.Excellent source of quick supply of glucose to the blood.
Contains over 13 types of vitamins and is the richest     vegetative source of B12 in the world.Excellent source of minerals (more than 13 types of minerals).
Contains 4 types of natural pigments including beta carotene
Contains all the 8 essential amino acids.
Complete in nutritional value that it is used as food for      astronauts. It is recognised a safe and nutritious food source by:UN Food & Agricultural Organisation (FAO)World Health OrganisationCertified free of microcystins (Health Canada)
Properties of SCP
One of the main advantages of SCP compared to other types of protein is the small doubling time of cells (td) as shown in Table    Table : 2
Due to this property, the productivity of protein from micro-organisms is greater than that of traditional proteinsEfficiency of protein production of several protein sources in 24 hours (16)    Table : 3
Bacterial protein is similar to fish protein, yeast's protein resembles soya and the fungi protein is somewhat lower than the yeast's. Of course microbiological proteins are deficient in the sulphur amino acids cysteine and methionine and require supplementation, while they exhibit better levels of lysine.
Essential amino acid content of the cell protein in comparison with several reference proteins (grams of amino acid per 100 grams of protein)   Table : 4
   Other nutritional parameters which evaluate the quality of a given SCP are:- the digestibility (D)- the biological value (BV)- the protein efficiency ratio (PER)- the net protein utilisation (NPU)
The quality of SCP is an important factor for commercial production. First parameter which reflects the quality of a protein, is the is the percentage of the total nitrogen Digestibility Coefficient consumed which is absorbed from the digestive tract.Estimation of the Biological Value (BV) is a measure of nitrogen retained for growth or maintenance. An accurate method to evaluate the quality of proteins is the determination of the Protein Efficiency Ratio (PER), expressed in terms of weight gain per unit of protein consumed by the test animal in short-term feeding trials.Finally, the Net Protein Utilization (NPU) -equivalent to the calculation BVxDC-is a measure of the digestibility of the protein and the biological value of the amino acids absorbed from the food.
Nitrogen and Protein contents of microbial cells compared with selected foods of animal and plant origin   Table : 5Kharatyan(1978)
Problem of Nucleic AcidsAbout 70-80% of the total cell nitrogen is represented by amino acids while the       rest occurs in nucleic acids. This concentration of nucleic acids is higher than other conventional proteins and      is characteristic of all fast growing organisms. The problem which occurs from the consumption of proteins with high      concentration of nucleic acids (78 g/100 g protein dry weight) is the high level      of uric acid in the blood, sometimes resulting in the disease gout. Uric acid is a product of purine metabolism.
Most mammals, reptiles and molluscs possess the enzyme uricase, and the end      product of purine metabolism is allantoin.Man, birds and some reptiles lack the enzyme uricase and the end product of purine degradation is uric acid. The removal or reduction of nucleic acid content of various SCP's is achieved with      one of the following treatments: chemical treatment with NaOH;    treatment of cells with 10% NaCl; thermal shock.These methods aim to reduce the RNA content from about 7% to 1% which is      considered within acceptable levels. A 30 min stand at 64°C reduces intracellular      RNA  levels in Fusarium  graminearum  from 80mg/g to 2mg/g
Cell wall destruction:Non Mechanical Methods:Chemical treatment: acid, base, solvent, detergentEnzyme analysis: lytic enzymes, phage infection, auto lysisPhysical treatment: freeze- thaw, osmotic shock, heating and drying.Mechanical Methods:High pressure homogenization  Wet milling SonificationPressure extrusion: French press, Decompression (pressure chamber)Treatment with grinding particles(Engler, 1985; Middelberg, 1995)
Basic Steps of SCP production: Preparation of suitable medium with suitable carbon source.Cultivation of suitable strain of microorganismsPrevention of contaminationsSeparation of microbial biomass with or without product.
General process for production of SCP
It requires pure culture of chosen organism that is in the correct physiological state, sterilization of the growth medium which is used for the organism, a production fermentor which is the equipment used for drawing the culture medium in the steady state, cell separation, collection of cell free supernatant, product purification and effluent treatment. A fermentor is the instrument, which is set up to carry out the process of fermentation.Fermentor is also equipped with an aerator, which supplies oxygen to aerobic processes also a stirrer is used to keep the concentration of the medium the same.A thermostat is used to regulate temperature and a pH detector and some other control devices, which keep all the different parameters needed for growth constant.For the producing and harvesting of microbial proteins cost is a major problem. Such a production even in high rate causes dilute solutions usually less than 5% solids. There are many methods available for concentrating the solutions like filtration, precipitation, centrifugation and the use of semi-permeable membranes. The equipment used for these methods of de-watering is expensive and so would not be suitable for small scale productions and operations. Single cell proteins need to be dried to 10% moisture or they can be condensed and denatured to prevent spoilage.
Rudravaramet al.,(2006)
Biomass HarvestingThe microbial biomass can be harvested by a variety of methods. Single cell organisms like yeast and bacteria are normally recovered by centrifugation, flocculation and floatation.Filamentous organisms are recovered by filtration. It is important to recover as much water as possible prior to final drying. The whole operation is to be done under clean and hygenic conditions to keep the product and the broth that leaves the plant free of bacterial contamination. The final dried products are normally bacteriologically stable if handled properly. In some cases, an after-treatment of the biomass is desirable to reduce the unwanted compounds in the product or to isolate the protein. One of the important tasks is to reduce nucleic acid content, which is high in microorganisms (4-6% in algae, 10-16% in bacteria, 6-10% in yeasts and 2.5-6% in fungi) and can be hazardous to health.
Economic parameters : The Scope of SCP productionproducts obtained via microbiological synthesis must be competitive with traditional food sources. When estimating costs involved in SCP production, such major factors as the biomass yield, cooling, and oxygen requirements should be taken into consideration.They depend not only on the choice of substrate, but on the choice of the microorganism as well. All this determines the cost of production and economic feasibility. It is obvious that one of the major factors limiting the use of hydrocarbon yeast is the residual hydrocarbon content.Demands of the country or  its separate regions for protein of a particular typeexpenditures for the delivery of finished products to the places of their consumptionDisposal of by products.
ACCEPTABILITY OF SCP AS A HUMAN FOOD AND ITS TOXICOLOGY CONCERNRaw materials used in production of SCP are the main safety hazard.
The acceptability of SCP when presented as a human food does not depend only on its safety and nutritional value but also the mind frame of people to consume material derived from microbes which is concerned to social and ethical issues like psychological, sociological and religious implications.
A more intensive clinical and toxicology testing  including short-term acute toxicity testing (animal species) and followed by extensive and detailed long term studies.
And in return incurs a huge scientific and financial investment.  The ET Process plant in Fresno, CA, owned by Cottonwood Creek Biosystems, takes in tankered grease and food processing wastes and generates single cell protein and dischargeable water.Sample of the single cell protein biosolids after the drum dryer.
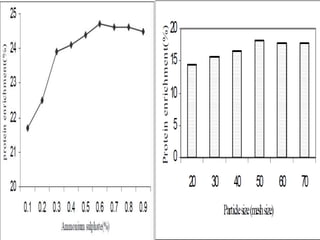
Effect of different agricultural waste material(Pretreated with 0.6N H2SO4)as a carbon source on the production of single cell protein by Penicelliumexpansumwhen cultural grow for 24 hours with initial pH 4.0 at 28±2°C   Table : 8Table represents the results of total biomass weight and the percentage of protein of mycelial biomass of Penicilliumexpansum grown on 0.6NH2SO4pretreatedagricultural wastes. The higher amount of single cell protein (1.64 g/L) with higher percentage of protein content (18.25%) was produced by Penicilliumexpansumwhen grown on 0.6N H2SO4pretreated rice husk.Khan(2010)
Table : 11The protein produced by Candida langeroniiin the bagassehemicellulosehydrolysate contains most of the amino acids essential for animal feed and its quality is comparable to soy bean protein . Its high lysine and threonine content suggest that this yeast protein should be utilized as a feed supplement, specially in diets based on cereals (Kihlberg 1972).Nigam (2000)
The main components of the feed for cultured marine animals in China are microalgae and fish meal. However, production of microalgae and fish meal on large scale is facing many problems due to the contamination and the limited bioresources. Marine yeasts would be better candidates for marifeed production according to their easy cultivation in the fermentor, high cell density, and high content of essential amino acids. Therefore, more than 300 marine yeast strains were evaluated for SCP production in this study. The yeast Cryptococcus aureus G7a strain which was isolated from sediment of South China Sea was a better candidate based on its cell growth (10.1 g/l), the crude protein content (53.0 g per 100 g of cell dry weight), and the wide range of carbon sources used by it.Time course of cell growth (open square), SCP production (filled square), reducing sugar (diamond), and total sugar (filled triangle) during the 2-l fermentation by the G7a strain. Data are given as means ± SD, n = 3. The media: the seawater containing 6.0 g of wet weight of Jerusalem artichoke extract per 100 ml of medium and 4.0 g of the hydrolysate of soybean cake per 100 ml of medium; incubation time: 4 days; pH: 5.0; temperature: 28°C; aeration level: 6 l/min; agitation: 200 rpmEAAI (Feng and Zhao 1997). Values of about >0.95 indicate high quality; about 0.86–0.95 good quality; about 0.75–0.86, useful; about ≤0.75, inadequate.

Scp

  • 1.
    Single CellProteinPresented By:ShraddhaBhattPhD (Agri. Micro)AAU, Anand.
  • 2.
    What is Protein???Any of a group of complex organic macromolecules that contain carbon, hydrogen, oxygen, nitrogen, and usually sulphur and are composed of one or more chains of amino acids. Proteins are fundamental components of all living cells and include many substances, such as enzymes, hormones, and antibodies, that are necessary for the proper functioning of an organism. They are essential in the diet of animals for the growth and repair of tissue and can be obtained from foods such as meat, fish, eggs, milk, and legumes.
  • 3.
    Protein requirement:In inactivelifestyle, the recommended dietary allowance (RDA) for a sedentary individual isabout 0.8 grams per kilogram of body . So, if weight of body is 90 kg then protein requirement 90 x 0.8 = 72g per day protein is required. If lifestyle is active or hard working then protein required is 1.4g/kg to 1.8 g/kg of body weight daily.
  • 4.
    Daily requirements (g)of essential aminoacids for the human adult Data retrieved from FAO (http://www.fao.org)
  • 5.
    Introduction The increasing world deficiency of protein is becoming a main problem of humankind. Since the early fifties, intense efforts have been made to explore new, alternate and unconventional protein. For this reason, in 1996, new sources mainly yeast, fungi, bacteria and algae named Single Cell Protein (SCP) as coined to describe the protein production from biomass, originating from different microbial sources. Microbial biomass has been considered an alternative to conventional sources of food or feed. Large-scale processes for SCP production show interesting features, including: The wide variety of methodologies, raw materials and microorganisms that can be used for this purpose High efficiency in substrate conversion High productivity, derived from the fast growth rate of microorganisms Independence of seasonal factors (Roth, 1980; Parajo et al., 1995)
  • 6.
    HistoryA survey ofthe history of the use of microorganisms for human consumption indicates three major trends: microbes as a source of enzymes in the food industry (baking, brewing, distilling, wine making, cheese production) has at present a new aspect-the use of immobilized enzymes of microbial origin, (b) microbes as producers of nutritive substances (amino acids, nucleotides, vitamins, organic acids, sugars, aromatizers) and (c) direct utilization of microbial biomass as foodstuff.
  • 7.
    Since 2500 B.C.yeasts have been used in bread and beverage production. In 1781 processes for preparing highly concentrated forms of yeast were established. "Food from oil"In the 1960s, researchers at British Petroleum developed what they called "proteins-from-oil process": a technology for producing single cell protein by yeast fed by waxy n-paraffins, a product produced by oil refineries.
  • 8.
    Initial research workwas done by Alfred Champagnat at BP's Lavera Oil Refinery in France; a small pilot plant there started operations in March in 1963, and the same construction of the second pilot plant, at Grangemouth Oil Refinery in Britain, was authorized.
  • 9.
    The term SCPwas coined in 1966 by Carol L. Wilson.
  • 10.
    The "food fromoil" idea became quite popular by the 1970s, with Champagnat being awarded the UNESCO Science Prize in 1976, and paraffin-fed yeast facilities being built in a number of countries.Advantages of SCP over conventional protein sources are: It has high protein and low fat content. It is good source of vitamins particularly B-complex. e.g. Yeasts It can be produced through-out the year.Waste materials are used as substrate for the production of these proteins. It reduces the environmental pollution and helps in recycling of materials. SCP organisms grow faster and produce large quantities of SCP from relatively small area of land and time. These have proteins with required amino acids that can be easily selected by genetic engineering. During the production of SCP biomass, some organisms produce useful by products such as organic acids and fats. It can be genetically controlled. It causes less pollution. Algal culture can be done in space which is normally unused.
  • 11.
    Factors that impairsthe usefulness of Unicellular biomassAll single-celled microorganisms of interest from the industrial point of view have a nondigestible envelope, which makes protein assimilation difficult.The content of nucleic acids in the unicellular biomass is higher than the permissible level and may cause disorders of purine metabolism in the human body.The biomasses of some unicellular microorganisms have an unpleasant color (algae), taste, and smell, which make them unsuitable even for animal consumption.Food grade production of SCP is more expensive than othersources of proteins, as it depends on the raw materials.SCPfor human consumption is 10-12 times more expensive thanSCP for animal feed.Digestion of microbial cells is rather slow, and is frequentlyassociated with indigestion and allergy reactions.Kharatyan (1978)
  • 12.
    SCP Manufacturing ProtocolMicrobial screening: with microbial screening, in which suitable production strains are obtained from samples of soil, water, air or from swabs of inorganic or biological materials and are subsequently optimized by selection, mutation, or other genetic methods. Suitable raw materialProcess engineering:Then the technical conditions of cultivation for the optimized strains are done and all metabolic pathways and cell structures will be determinedApparatus technology: adapt the technical performance of the process in order to make the production ready for use on the large technical scale.Economic factors : Energy , CostSafety demands & Environmental protection ( to the process and to the product)Legal and controlled aspects (Operating license & product authorization)
  • 13.
    “Possible Substrates forSCP”They can be subdivided into three categories: high energy sources (natural gas, n-alkanes, gas-oil, methanol, ethanol, acetic acid); different wastes (molasses, sulfite waste liquor, milk, whey, fruit wastes); and renewable plant resources (sugar, starch, cellulose).The interest in methanol and ethanol as a raw material for SCP is based on; complete water solubility of these alcohols and the possibility of washing cells completely free of residual methanol or ethanol; the high purity of the substrate (99.5%); the relative cheapness of the substrate; the restricted utilization of the substrates by microorganisms, thus reducing the probability of contamination; easy and simple storage and maintenance; and lower requirements for oxygen during fermentation and lower requirements for energy during cooling as compared with microbial cultivation on hydrocarbons.
  • 14.
    Average composition ofthe main groups of micro-organisms (% dry weight) Table : 1Miller et al., (1976)
  • 15.
    Parameters to beconsidered during selection of microorganisms as protein source: Safety Usefulness Ease of processing Rate of growthCultivation conditions
  • 16.
    Yeasts and FungiFilamentousFungi used for SCP production are Chaetomium celluloliticum, Fusarium graminearum, Paecilomyces varioti which grows on cellulose waste, starch, and sulphite waste liquor respectively and content about 50 – 55 % protein. SCP is produced from yeasts viz. Candida utilis, Candida lipolytica, Saccharomyces cervicea.Torula yeast (which grows on Ethanol) as a food is obtained through fermentation using molasses as substrate and it has high protein–carbohydrate ratio than forages. It is rich in lysine but poor in methionine and cysteine. Saccharomyces consists of high protein with good balance of amino acids and rich in B–complex vitamins. It is more suitable as poultry feed. Yeast are higher in lysine content. Strict aseptic conditions are required when using Yeast as a SCP production. Disadvantages: High nucleic acid content. Slow growth is observed in Fungi vis-à-vis than yeast & bacteria. Contamination risk.Mycotoxins are also produced.2. BacteriaThey have more than 80% protein but are poor in sulphur containing amino acids.Brevibacterium uses hydrocarbons while Methylophilus methylitropous uses methanol as a substrate. Disadvantages: It has high nucleic acid content. Recovering the cells is a bit problematic. Endotoxin production should be carefully tested.
  • 17.
    At MurugappaChettiar ResearchCentre (MCRC, Madras) food-grade spirulina is cultivated and the products are distributed to the local undernourished children. 3. Algae: Chlorella, Scenedesmusacutus and Spirulina maxima are grown for SCP. These have about 60% protein with good amino acid composition but less in sulphur containing amino acids.Chlorella and Spirulina are used for commercial scale production in Taiwan, Thailand, Japan, Israel, Mexico and USA. It is spray dried and sold as pills and powders.Disadvantages: As they are rich in Chlorophyll, it is not advised for human consumption (except Spirulina). It has low density i.e. 1-2 gm dry weight/litre of substrate. There is lot of risk of contamination during growth.The United Nations Organization(UNO) in its World Food Conference of 1974 declared Spirulina as the best food for tomorrow.World Health Organization(WHO) has hailed Spirulina the greatest super food on the earth.Upon testing it NASA scientists found 1 kg of Spirulina nutritionally equal to 1000 kgs of assorted vegetables
  • 18.
    The Nutritional Valuesof Elken Spirulina Nutritional value is 14 times higher than cow’s milk.Excellent source of quick supply of glucose to the blood.
  • 19.
    Contains over 13types of vitamins and is the richest vegetative source of B12 in the world.Excellent source of minerals (more than 13 types of minerals).
  • 20.
    Contains 4 typesof natural pigments including beta carotene
  • 21.
    Contains all the8 essential amino acids.
  • 22.
    Complete in nutritionalvalue that it is used as food for astronauts. It is recognised a safe and nutritious food source by:UN Food & Agricultural Organisation (FAO)World Health OrganisationCertified free of microcystins (Health Canada)
  • 24.
  • 25.
    One of themain advantages of SCP compared to other types of protein is the small doubling time of cells (td) as shown in Table Table : 2
  • 26.
    Due to thisproperty, the productivity of protein from micro-organisms is greater than that of traditional proteinsEfficiency of protein production of several protein sources in 24 hours (16)  Table : 3
  • 27.
    Bacterial protein issimilar to fish protein, yeast's protein resembles soya and the fungi protein is somewhat lower than the yeast's. Of course microbiological proteins are deficient in the sulphur amino acids cysteine and methionine and require supplementation, while they exhibit better levels of lysine.
  • 28.
    Essential amino acidcontent of the cell protein in comparison with several reference proteins (grams of amino acid per 100 grams of protein) Table : 4
  • 29.
    Other nutritional parameters which evaluate the quality of a given SCP are:- the digestibility (D)- the biological value (BV)- the protein efficiency ratio (PER)- the net protein utilisation (NPU)
  • 30.
    The quality ofSCP is an important factor for commercial production. First parameter which reflects the quality of a protein, is the is the percentage of the total nitrogen Digestibility Coefficient consumed which is absorbed from the digestive tract.Estimation of the Biological Value (BV) is a measure of nitrogen retained for growth or maintenance. An accurate method to evaluate the quality of proteins is the determination of the Protein Efficiency Ratio (PER), expressed in terms of weight gain per unit of protein consumed by the test animal in short-term feeding trials.Finally, the Net Protein Utilization (NPU) -equivalent to the calculation BVxDC-is a measure of the digestibility of the protein and the biological value of the amino acids absorbed from the food.
  • 31.
    Nitrogen and Proteincontents of microbial cells compared with selected foods of animal and plant origin Table : 5Kharatyan(1978)
  • 32.
    Problem of NucleicAcidsAbout 70-80% of the total cell nitrogen is represented by amino acids while the rest occurs in nucleic acids. This concentration of nucleic acids is higher than other conventional proteins and is characteristic of all fast growing organisms. The problem which occurs from the consumption of proteins with high concentration of nucleic acids (78 g/100 g protein dry weight) is the high level of uric acid in the blood, sometimes resulting in the disease gout. Uric acid is a product of purine metabolism.
  • 33.
    Most mammals, reptilesand molluscs possess the enzyme uricase, and the end product of purine metabolism is allantoin.Man, birds and some reptiles lack the enzyme uricase and the end product of purine degradation is uric acid. The removal or reduction of nucleic acid content of various SCP's is achieved with one of the following treatments: chemical treatment with NaOH; treatment of cells with 10% NaCl; thermal shock.These methods aim to reduce the RNA content from about 7% to 1% which is considered within acceptable levels. A 30 min stand at 64°C reduces intracellular RNA levels in Fusarium graminearum from 80mg/g to 2mg/g
  • 34.
    Cell wall destruction:NonMechanical Methods:Chemical treatment: acid, base, solvent, detergentEnzyme analysis: lytic enzymes, phage infection, auto lysisPhysical treatment: freeze- thaw, osmotic shock, heating and drying.Mechanical Methods:High pressure homogenization Wet milling SonificationPressure extrusion: French press, Decompression (pressure chamber)Treatment with grinding particles(Engler, 1985; Middelberg, 1995)
  • 35.
    Basic Steps ofSCP production: Preparation of suitable medium with suitable carbon source.Cultivation of suitable strain of microorganismsPrevention of contaminationsSeparation of microbial biomass with or without product.
  • 36.
    General process forproduction of SCP
  • 37.
    It requires pureculture of chosen organism that is in the correct physiological state, sterilization of the growth medium which is used for the organism, a production fermentor which is the equipment used for drawing the culture medium in the steady state, cell separation, collection of cell free supernatant, product purification and effluent treatment. A fermentor is the instrument, which is set up to carry out the process of fermentation.Fermentor is also equipped with an aerator, which supplies oxygen to aerobic processes also a stirrer is used to keep the concentration of the medium the same.A thermostat is used to regulate temperature and a pH detector and some other control devices, which keep all the different parameters needed for growth constant.For the producing and harvesting of microbial proteins cost is a major problem. Such a production even in high rate causes dilute solutions usually less than 5% solids. There are many methods available for concentrating the solutions like filtration, precipitation, centrifugation and the use of semi-permeable membranes. The equipment used for these methods of de-watering is expensive and so would not be suitable for small scale productions and operations. Single cell proteins need to be dried to 10% moisture or they can be condensed and denatured to prevent spoilage.
  • 38.
  • 44.
    Biomass HarvestingThe microbialbiomass can be harvested by a variety of methods. Single cell organisms like yeast and bacteria are normally recovered by centrifugation, flocculation and floatation.Filamentous organisms are recovered by filtration. It is important to recover as much water as possible prior to final drying. The whole operation is to be done under clean and hygenic conditions to keep the product and the broth that leaves the plant free of bacterial contamination. The final dried products are normally bacteriologically stable if handled properly. In some cases, an after-treatment of the biomass is desirable to reduce the unwanted compounds in the product or to isolate the protein. One of the important tasks is to reduce nucleic acid content, which is high in microorganisms (4-6% in algae, 10-16% in bacteria, 6-10% in yeasts and 2.5-6% in fungi) and can be hazardous to health.
  • 45.
    Economic parameters :The Scope of SCP productionproducts obtained via microbiological synthesis must be competitive with traditional food sources. When estimating costs involved in SCP production, such major factors as the biomass yield, cooling, and oxygen requirements should be taken into consideration.They depend not only on the choice of substrate, but on the choice of the microorganism as well. All this determines the cost of production and economic feasibility. It is obvious that one of the major factors limiting the use of hydrocarbon yeast is the residual hydrocarbon content.Demands of the country or its separate regions for protein of a particular typeexpenditures for the delivery of finished products to the places of their consumptionDisposal of by products.
  • 46.
    ACCEPTABILITY OF SCPAS A HUMAN FOOD AND ITS TOXICOLOGY CONCERNRaw materials used in production of SCP are the main safety hazard.
  • 47.
    The acceptability ofSCP when presented as a human food does not depend only on its safety and nutritional value but also the mind frame of people to consume material derived from microbes which is concerned to social and ethical issues like psychological, sociological and religious implications.
  • 48.
    A more intensiveclinical and toxicology testing including short-term acute toxicity testing (animal species) and followed by extensive and detailed long term studies.
  • 49.
    And in returnincurs a huge scientific and financial investment.  The ET Process plant in Fresno, CA, owned by Cottonwood Creek Biosystems, takes in tankered grease and food processing wastes and generates single cell protein and dischargeable water.Sample of the single cell protein biosolids after the drum dryer.
  • 50.
    Effect of differentagricultural waste material(Pretreated with 0.6N H2SO4)as a carbon source on the production of single cell protein by Penicelliumexpansumwhen cultural grow for 24 hours with initial pH 4.0 at 28±2°C Table : 8Table represents the results of total biomass weight and the percentage of protein of mycelial biomass of Penicilliumexpansum grown on 0.6NH2SO4pretreatedagricultural wastes. The higher amount of single cell protein (1.64 g/L) with higher percentage of protein content (18.25%) was produced by Penicilliumexpansumwhen grown on 0.6N H2SO4pretreated rice husk.Khan(2010)
  • 51.
    Table : 11Theprotein produced by Candida langeroniiin the bagassehemicellulosehydrolysate contains most of the amino acids essential for animal feed and its quality is comparable to soy bean protein . Its high lysine and threonine content suggest that this yeast protein should be utilized as a feed supplement, specially in diets based on cereals (Kihlberg 1972).Nigam (2000)
  • 52.
    The main componentsof the feed for cultured marine animals in China are microalgae and fish meal. However, production of microalgae and fish meal on large scale is facing many problems due to the contamination and the limited bioresources. Marine yeasts would be better candidates for marifeed production according to their easy cultivation in the fermentor, high cell density, and high content of essential amino acids. Therefore, more than 300 marine yeast strains were evaluated for SCP production in this study. The yeast Cryptococcus aureus G7a strain which was isolated from sediment of South China Sea was a better candidate based on its cell growth (10.1 g/l), the crude protein content (53.0 g per 100 g of cell dry weight), and the wide range of carbon sources used by it.Time course of cell growth (open square), SCP production (filled square), reducing sugar (diamond), and total sugar (filled triangle) during the 2-l fermentation by the G7a strain. Data are given as means ± SD, n = 3. The media: the seawater containing 6.0 g of wet weight of Jerusalem artichoke extract per 100 ml of medium and 4.0 g of the hydrolysate of soybean cake per 100 ml of medium; incubation time: 4 days; pH: 5.0; temperature: 28°C; aeration level: 6 l/min; agitation: 200 rpmEAAI (Feng and Zhao 1997). Values of about >0.95 indicate high quality; about 0.86–0.95 good quality; about 0.75–0.86, useful; about ≤0.75, inadequate.