Introduction to Robotics
Ref: S.K.Saha, McGraw Hill Publisher
By Avinash Juriani
M.Tech IIT ISM DHN
B.Tech SRM Chennai
M.Tech Notes Advanced Robotics
Laws of Robotics
• A robot must not harm a human being, nor
through inaction allow one to come to harm.
• A robot must always obey human beings,
unless that is in conflict with the 1st law.
• A robot must protect from harm, unless that is
in conflict with the 1st two laws.
• A robot may take a human being’s job but it
may not leave that person jobless. [Fuller(1999)]
Robot: Definition
• Reprogrammable, multifunctional
manipulator designed to move material
through variable programmed motions for the
performance of a variety of tasks. (ISO)
• Robotics Institute of America (RIA)
• Japan Industrial Robot Association (JIRA)
• British Robot Association (BRA)
The Unimate Robot
UNIMATION:
UNIversal+autoMATION
Robot is a universal tool that can
be used for many kind of tasks
Industrial Robot
Special-purpose Robots
• A special-purpose robot is the one that is used
in other than a typical factory environment.
Special-purpose: Automatic Guided Vehicles (AGVs)
Can move sideways also (3 DOF), used
in hospitals, security etc.
Walking Robots: used in military, undersea exploration,
and places where rough terrains exist
Parallel robots: a parallel structure with 6 legs to
control the moving platform used as a flight
simulator for imparting training to …
Thumb rules on the decision of a robot usage
• Four Ds of Robotics: i.e. is the task dirty, dull,
dangerous, or difficult?
• Robot may not leave a human jobless.
• Whether you can find people who are willing
to do the job.
• Robots and automation must make short-term
and long-term economic sense.
Books recommended
• John J. Craig, Introduction to Robotics: Mechanics and
Control, Prentice Hall
• Mark W. Spong, Robot Modeling and Control, Wiley
• S. K. Saha, Introduction to Robotics, McGraw Hill
• K. S. Fu, R. C. Gonzalez, C. S. G. Lee, Robotics: Control,
Sensing, Vision and Intelligence McGraw-Hill
• S.R. Deb, Robotics Technology and Flexible Automation,
TMH
@ McGraw-Hill Education
1
Serial Robots
@ McGraw-Hill Education
2
Outline
• Robot Subsystems (Focus: Serial-type)
– Motion
– Recognition
– Control
• Robot Classifications By
– Application
– Coordinate system
– Actuation system
– Control method
– Programming method
@ McGraw-Hill Education
3
Robot Subsystems
@ McGraw-Hill Education
4
Robot Subsystems (contd.)
• Motion: Manipulator (Arm + Wrist),
End-effector, Actuators (Set in motion),
and Transmissions
• Recognition: Sensors (Measure
status), and ADC
• Control (Supervision): DAC, and
Digital Controller
@ McGraw-Hill Education
5
Motion Subsystem
i) Manipulator: Mechanical arm + wrist
ii) End-effector
- Welding torch, painting brush, etc.
- Robot hand
- Simple grippers
@ McGraw-Hill Education
6
(iii) Actuator
- Pneumatic, Hydraulic, Electric
(iv) Transmission
- Belt and chain drives
- Gears
- Link mechanisms
@ McGraw-Hill Education
7
i) Manipulator: Mechanical arm + wrist
PUMA: Programmable Universal Manipulator for Assembly
@ McGraw-Hill Education
8
ii) End-effector: Robot hand
@ McGraw-Hill Education
9
More end-effectors: Simple grippers
@ McGraw-Hill Education
10
iv) Transmission: Belt and Chain drives
@ McGraw-Hill Education
11
Other transmission system: Gears
@ McGraw-Hill Education
12
Another transmission: Link mechanisms
@ McGraw-Hill Education
13
Recognition Subsystem
(ii) Analog-to-Digital
Converter (ADC)
- Electronic device
(i) Sensors (Essentially transducers)
- Converts a signal
to another
Fig. 2.8 An analog-to-digital converter
[Courtesy: http://www.eeci.com/adc-16p.htm]
@ McGraw-Hill Education
14
Control Subsystem
(i) Digital Controller
- CPU, Memory, Hard disk (to store programs)
Controller
Robot
Sensor
Desired end-effector
trajectory
Driving
input
Actual end-effector
configuration
Joint displacement
and velocity
Fig. 2.9 Control subsystem
[Courtesy: http://www.abb.com/Product/seitp327/f0cec80774b0b3c9c1256fda00409c2c.aspx]
(a) Control scheme of a robot (b) ABB Controller
@ McGraw-Hill Education
15
Control Subsystem (contd.)
(ii) Digital-to-Analog Converter (DAC)
(iii) Amplifier
- Amplify weak commands from DAC
Fig. 2.10 A digital-to-analogue converter
[Courtesy: http://www.eeci.com]
@ McGraw-Hill Education
16
Classification
• By Applications
• By Coordinate System
• By Actuation System
• By Control Method
• By Programming Method
@ McGraw-Hill Education
17
By Application
• Welding robot
• Assembly robot
• Heavy-duty robot
- Special features like maximum speed,
accuracy, etc. are incorporated keeping
the application in mind
- See videos in
http://www.directindustry.com/video/industrial-
robots-robotic-cells-AM.html
@ McGraw-Hill Education
18
By Coordinate System
(a) Cartesian
(b) Cylindrical
(c) Spherical
(d) Anthropomorphic
(e) Gantry  (a)
(f) SCARA (Selective Compliance
Assembly Robot Arm)
@ McGraw-Hill Education
19
(a) Cartesian robot
@ McGraw-Hill Education
20
(b) Cylindrical robot
@ McGraw-Hill Education
21
(c) Spherical robot
@ McGraw-Hill Education
22
(d) Articulated robot
@ McGraw-Hill Education
23
(e) Gantry robot
@ McGraw-Hill Education
24
(f) SCARA arm
@ McGraw-Hill Education
25
Fundamental Configurations
Type Joints
1 (base): Motion 2 (elevation):
Motion
3 (reach): Motion
Cartesian
Cylindrical
Spherical
Revolute
P: travel, x
-P+R+900@Z
R: rotation θ
R: -do-
R: -do-
P: height y
P: -do-
-P+R+900@Z
R: angle φ
R: -do-
P: reach z
P: -do-
P: -do-
-P+R+900@Z
R: angle ψ
@ McGraw-Hill Education
26
Comparison (for selection)
Configuration Advantages Disadvantages
Cartesian (3 linear axes)
x: base travel
y: height
z: reach
- Easy to visualize
- Rigid structure
- Easy offline programming
- Easy mechanical stops
- Reach only front and back
- Requires large floor space
- Axes are hard to seal
- Expensive
Cylindrical (1 rotation
and 2 linear axes)
θ: base rotation
y: height
z : reach
- Can reach all around
- Rigid y, z-axes
- θ-axes easy to seal
- Cannot reach above itself
- Less rigid θ-axis
- y, z-axes hard to seal
- Won’t reach around obstacles
- Horizontal motion is circular
Spherical (2 rotating and
1 linear axes)
θ: base rotation
φ: elevation angle
z: reach
- Can reach all around
- Can reach above or
below obstacles
- Large work volume
- Cannot reach above itself
- Short vertical reach
Articulated (3 rotating
axes)
θ: base rotation
φ: elevation angle
ψ: reach angle
- Can reach above or
below objects
- Largest work area for
least floor space
- Difficult to program off-line
- Two or more ways to reach
a point
- Most complex robot
@ McGraw-Hill Education
27
By Actuation System
• Pneumatic (in factory floors)
• Hydraulic (for heavy applications)
• Electric (more common these days)
@ McGraw-Hill Education
28
By Control Method
• Servo/Non-servo control
– Servo  closed-loop (Hydraulic & Electric)
– Non-servo  open-loop (Pneumatic)
• Path control
– Continuous path  trajectory (welding etc)
@ McGraw-Hill Education
29
By Programming Method
• Online programming
– Direct use of the robot
– Teach pendant
• Offline programming (saves time)
– Using a computer on a new task
– Download when ready
@ McGraw-Hill Education
30
Summary of the Chapter
• Focus on serial-type robots (not parallel
or mobile, etc.)
• Different subsystems are explained
• Five ways are explained to classify a
robot
@ McGraw-Hill Education
1
Actuators
@ McGraw-Hill Education
2
Outline
• An actuation system
• Pneumatic actuators
– Advantages and Disadvantages
• Hydraulic actuators
• Electric actuators
– Stepper motors
– DC motors
– AC motors
• Selection of motors
@ McGraw-Hill Education
3
An Actuation System
• A power supply
• A power amplifier
• A motor
• A transmission system
Actuator vs. Motor?
(Interchangeably used)
@ McGraw-Hill Education
4
Schematic of Actuation System
@ McGraw-Hill Education
5
• One of fluid devices
• Uses compressed air [1-7 bar; ~.1 MPa/bar]
• Components
1) Compressor; 2) After-cooler; 3) Storage tank;
4) Desiccant driers; 5) Filters; 6) Pressure
regulators; 7) Lubricants; 8) Directional control
valves; 9) Actuators
Pneumatic Actuators
@ McGraw-Hill Education
6
Fig. 3.2(a) Pneumatic actuator components
@ McGraw-Hill Education
7
@ McGraw-Hill Education
8
Advantages vs. Disadvantages
• Advantages
– Cheapest form of actuators.
– Components are readily available.
– Compressed air is available in factories.
– Compressed air can be stored, and
conveyed easily over long distances.
– Compressed air is clean, explosion-proof
& insensitive to temp. var. Many
applns.
@ McGraw-Hill Education
9
– Few moving parts Reliable + low maint.
costs
– Relevant personnel are familiar with the tech.
– Very quick Fast work cycles
– No mech. transmission is required.
– Safe in explosive areas as no elect. contact
– Systems are compact.
– Control is simple. Mechanical stops.
– Components are easy to connect.
@ McGraw-Hill Education
10
• Disadvantages
– Air is compressible.
– Precise control of speed/position is not
easy.
– If no mechanical stops resetting is slow.
– Not suitable for heavy loads
– If moisture penetrates rusts occur.
Compressibility of the air can be
advantageous.
Prevents damage due to overload.
@ McGraw-Hill Education
11
Major Components
• Compressor: Compresses air
• After-cooler: Cools air after
compression as hot air contains vapor
• Storage tank: Provides const. high
press.
• Desiccant Drier: Air passes through
chemicals to remove moisture
• Filters: Removes water droplet
• Pressure Regulator: Poppet valve
@ McGraw-Hill Education
12
Fig. 3.3(a) Hydraulic actuator components
@ McGraw-Hill Education
13
@ McGraw-Hill Education
14
Advantages vs. Disadvantages
• Advantages
– High  + power-to-size ratio.
– Accurate control of speed/pos./dirn.
–Few backlash prob. Stiffness +
incompressibility of fluid
–Large forces can be applied at
locations.
@ McGraw-Hill Education
15
Backlash  Unwanted play in
transmission components
- Greater load carrying cap.
- No mech. linkage  Mech. simplicity.
- Self lubricating  Low wear + non-corrosive
- Due to 'storage' sudden demands can be met.
- Capable of withstanding shock.
@ McGraw-Hill Education
16
• Disadvantages
– Leakages occur  Loss in performance
– Higher fire risk.
– Power pack is (70 dBA)
– Temp. change alters viscosity.
– Viscosity at temp. causes sluggishness.
– Servo-control is complex
70 dbA  Noise of heavy traffic
@ McGraw-Hill Education
17
Electric Actuators
• Electric motors
+
• Mechanical transmissions
• First commercial electric motor: 1974 by
ABB
@ McGraw-Hill Education
18
Advantages vs.
Disadvantages
• Advantages
– Widespread availability of power supply.
– Basic drive element is lighter than fluid
power.
– High power conversion efficiency.
– No pollution
– High accuracy + hight repeatability
compared to cost.
– Quiet and clean
@ McGraw-Hill Education
19
– Easily maintained and repaired.
– Components are lightweight.
– Drive system is suitable to electronic
control.
• Disadvantages
– Requires mechanical transmission
system.
– Adds mass and unwanted movement.
– Requires additional power + cost.
– Not safe in explosive atmospheres.
@ McGraw-Hill Education
20
Electric Motors
• Stepper motors
– Variable Reluctance
– Permanent Magnet
– Hybrid
• Small/Medium end of industrial range
• Digitally controlled  No feedback
• Incremental shaft rotation for each
pulse
@ McGraw-Hill Education
21
• Steps range from 1.8 – 90 deg.
• To know final position, count # of
pulses
• Velocity = No. of pulse per unit time
• 500 pulses/sec  150 rpm (1.8o/pulse)
• Pulses cease, motor stops. No brake,
etc.
• Max. torque at low pulse rate
• Many steppers from same source.
Exact synchronization
@ McGraw-Hill Education
22
@ McGraw-Hill Education
23
Features: Variable Reluctance
• Patented: 1919; Commercial: 1950
• Magnetic reluctance  Elec. Resistance
• Magnetic flux only around closed path
• Rotor is soft steel, and 4 poles
• Rotor + stator teeth aligned with the
minimum reluctance  rotor is at rest
• To rotate, AA’ is off BB’ is on
@ McGraw-Hill Education
24
@ McGraw-Hill Education
25
Features: Permanent Magnet
• Two sets of coils: A and B
• Rotor is permanent magnet
• Each pole is wound with field winding
• Coil A is reversed  A’. Rotates 45o
CCW
• Coil B is reversed  B’. Another 45o
@ McGraw-Hill Education
26
Hybrid Stepper
• Combines the features of Variable
Reluctance and Permanent Motor
• Permanent magnet with iron caps that
have teeth
• The rotor sets itself in minimum reluctance
position
@ McGraw-Hill Education
27
• Direct Current: Used in toys etc.
• Electrically driven robots us DC
– Introduced in 1974 by ABB
– Powerful versions available
– Control is simple
– Batteries are rarely used
– AC supply is rectified to DC
DC Motors
@ McGraw-Hill Education
28
lBif
fr
a
  sin2
@ McGraw-Hill Education
29
Principle of a DC Motor
• Magnetic Field  Stator
– Field coils wound on the stators
– Permanent magnet
• Conductor (Armature)  Rotor
– Current via brushes + commutators
• Maximum torque for  = 90o
@ McGraw-Hill Education
30
@ McGraw-Hill Education
31
Features of a DC Motor
• High voltage in stator coils  Fast
speed (simple speed control)
• Varying current in armature 
Controls torque
• Reversing polarity  Turns opposite
• Larger robots: Field control DC motor
– Current in field coils  Controls torque
– High power at high speed + High
power/wt.
@ McGraw-Hill Education
32
Specification & Characteristic
Technical Specifications of DC Motors
Brand Parvalux
Manufacturer Part No. PM2 160W511109
Type Industrial DC Electric Motors
Shaft Size (S,M,L) M
Speed (rpm) 4000 rpm
Power Rating (W) 160 W
Voltage Rating (Vdc) 50 V(dc)
Input Current 3.8 A
Height × Width × Length 78 mm ×140 mm × 165 mm
@ McGraw-Hill Education
33
@ McGraw-Hill Education
34
Permanent Magnet (PM) Motor
• Two configurations
– Cylindrical [Common in industrial robots]
– Disk
@ McGraw-Hill Education
35
Permanent Magnet (PM) Motor (cont.)
• No field coils
• Field is by permanent magnets (PM)
• Some PM has coils for recharge
• Torque  Armature current [Const. flux]
@ McGraw-Hill Education
36
Advantages of PM DC Motors
• No power supplies for field coils
• Reliability is high
• No power loss due to field supply
• Improved Efficiency + Cooling
@ McGraw-Hill Education
37
Brushless PM DC Motor
• Problem with DC motors
– Commuter and brushes  Periodical
reversal of current through each armature
coil
– Brushes + Commutators  Sliding
contact  Sparks  Wear  Change
brushes + Resurface commuators
• Solution: Brushless motors
– Sequence of stator coils
– PM rotor
@ McGraw-Hill Education
38
@ McGraw-Hill Education
39
Principles of Brushless PM
• Reverse principle than convention DC
• Current carrying conductor (stator)
experience a force
• Magnet (rotor) will experience a reaction
(Newton’s 3rd law)
• Current to stator coils is electronically
switched by transistors (Expensive)
• Switching is controlled by rotor position
 Magnet (rotor) rotates same direction
@ McGraw-Hill Education
40
Advantages of Brushless PM
• Better heat dissipation
• Reduced rotor inertia
• Weigh less  Less expensive +
Durable
• Smaller for comparable power
• Absence of brushes  Reduced
maintenance cost
• Electric robots  Hazardous areas with
flammable atmospheres (Spray
painting)
@ McGraw-Hill Education
41
AC Motors
• Alternating Current: Domestic supply
• 50 Hz; 220 V (India)
• 60 Hz; 110 V (USA)
• Difficult to control speed  Not suitable for
robots
@ McGraw-Hill Education
42
Principle of an AC Motor
• External electromagnets (EM) around a
central rotor
• AC supply to EM  Polarity change
performs the task of mech. Switching
• Magnetic field of coils will appear to rotate
 Induces current in rotor (induction) or
makes rotor to rotate (synchronous)
@ McGraw-Hill Education
43
Specification & Characteristic
Technical Specifications of AC Motor
Brand ABB
Manufacturer Part No. 1676687
Type Industrial 1-, 3-Phase Electric Motors
Supply Voltage 220 – 240 Vac 50 Hz
Output Power 180 W
Input Current 0.783 A
Shaft Diameter 14 mm
Shaft Length 30 mm
Speed 1370 rpm
Rated Torque 1.3 Nm
Torque Starting 1.3 Nm
Height × Length × Width 150 mm × 213 mm × 120 mm
@ McGraw-Hill Education
44
@ McGraw-Hill Education
45
Features of an AC Motor
• Higher the frequency  Fast speed
• Varying frequency to a number of robot
axes has been impractical till recently
• Electromagnetism is used for regenerative
braking (also for DC)  Reduces
deceleration time and overrun
• Motor speed cannot be predicted (same
for DC)  Extra arrangements required
@ McGraw-Hill Education
46
Classification of an AC Motor
• Single-phase [Low-power requirements]
– Induction
– Synchronous
• Poly-phase (typically 3-phase) [High-
power requirements]
– Induction
– Synchronous
• Induction motors are cheaper  Widely
used
@ McGraw-Hill Education
47
@ McGraw-Hill Education
48
Single-phase AC Induction Motor
• Squirrel cage rotor (Cu or Al bars into slot in the
end)  Circuit is complete
• Stator has windings
 Alternating current
 Alternative magnetic field
• EM forces induces current in the rotor
conductors
• When rotor is stationary no resultant torque (not
self-starting)
@ McGraw-Hill Education
49
Single-phase AC Induction Motor
• Auxiliary starting winding
• Motor speed  Frequency
• 50 rev/sec  50 Hz
• No exact match
• Slip: 1 to 3%
@ McGraw-Hill Education
50
Three-phase AC Induction Motor
• Three windings in stator at 120o apart
• Each winding is connected to one of the three
lines of the supply
• Direction reversal  Interchange any of two line
connections
• Rotation of field is much smoother
• Self-starting
@ McGraw-Hill Education
51
@ McGraw-Hill Education
52
AC Synchronous Motor
• Stator is same as induction motor
• Rotor is permanent magnet
• Since stator magnetic field rotates 
Rotor rotates
• Speed is same as supply frequency
• Used for precise speed requirement
• Not self-starting
@ McGraw-Hill Education
53
AC vs. DC Motors
• Cheaper, rugged, reliable,
maintenance free
• Speed control is more complex
• Speed-controlled DC drive (stator
voltage) is cheaper than speed-
controlled AC drive (Variable
Frequency Drive)
• Price of VFD is steadily reducing
@ McGraw-Hill Education
54
Motor Selection
• For robot applications
– Positioning accuracy, reliability, speed of
operation, cost, etc.
• Electric is clean + Capable of high
precision
• Electronics is cheap but more heat
• Pneumatics are not for high precision
for continuous path
@ McGraw-Hill Education
55
Motor Selection (contd.)
• Hydraulics can generate more power
in compact volume
• Capable of high torque + Rapid
operations
• Power for electro-hydraulic valve is
small but expensive
• All power can be from one powerful
hydraulic pump located at distance
@ McGraw-Hill Education
56
Thumb Rule for Motor Selection
• Rapid movement with high torques (>
3.5 kW): Hydraulic actuator
• < 1.5 kW (no fire hazard): Electric
motors
• 1-5 kW: Availability or cost will
determine the choice
@ McGraw-Hill Education
57
Sample Calculations
Two meter robot arm to lift 25 kg mass
at 10 rpm
• Force = 25 x 9.81 = 245.25 N
• Torque = 245.25 x 2 = 490.5 Nm
• Speed = 2 x 10/60 = 1.047 rad/sec
• Power = Torque x Speed = 0.513 kW
• Simple but sufficient for approximation
@ McGraw-Hill Education
58
Summary
• DC motors
– Permanent Magnet (PM)
– Brushless PM
– Their construction + advantages, etc.
• AC motors
– Single-phase: Induction vs. Synchronous
– Three-phase
• Selection of motors in practical
applications
@ McGraw-Hill Education
1
Denavit-Hartenberg (DH)
Parameters
• Four parameters
– Joint offset (b)
– Joint angle ()
– Link length (a)
– Twist angle ()
@ McGraw-Hill Education
2
Three-link Planar Arm
Ti =











 
1000
0100
0
0
iiii
iiii
SθaC θSθ
CaSθC θ
• DH-parameters
, for i=1,2,3
Link bi i ai i
1 0 1 (JV) a1 0
2 0 2 (JV) a2 0
3 0 3 (JV) a3 0
• Frame transformations
(Homogeneous)
@ McGraw-Hill Education
3
Revolute-Prismatic Planar Arm
• DH-parameters
• Frame transformations (Homogeneous)
Link bi i ai i
1 0 1 (JV) 0 /2
2 b2 (JV) 0 0 0o
T1 =














1000
0010
00
00
11
11
CSθ
SC θ
T2 =












1000
100
0010
0001
2b
@ McGraw-Hill Education
4
• DH-parameters
• Frame transformations (Homogeneous)
T1 = T2 =
Link bi i ai i
1 b1 (JV) -/2 0 /2
2 0 2 (JV) a2 0













1000
010
0100
0001
1
b











 
1000
0100
0
0
2222
2222
SθaCθSθ
CaSθCθ
Prismatic-Revolute Planar Arm
@ McGraw-Hill Education
5
Spherical-type Arm
• DH-parameters
Link bi i ai i
1 0 1 (JV) 0 /2
2 b2 2 (JV) 0 /2
3 b3
(JV)
0 0 0
@ McGraw-Hill Education
6
T1 =













1000
0010
00
00
11
11
C θSθ
SθC θ
T2 =














1000
010
00
00
2
22
22
b
CθSθ
SθCθ
T3 =












1000
100
0010
0001
3b
• Frame transformations for Spherical Arm
@ McGraw-Hill Education
7
In Summary
• Denavit-Hartenberg (DH) parameters
– DH frames
– Definitions
• DH frame transformations
• Examples
– Three-link planar arm
– RP and PR arms
– Spatial arm
@ McGraw-Hill Education
1
Transformations
@ McGraw-Hill Education
2
Outline
• Links and Joints
• Kinematic chain
• Degrees-of-freedom (DOF)
• Pose ( Configuration)
• Denavit-Hartenberg (DH) Parameters
• Homogeneous transformation
• Examples
@ McGraw-Hill Education
3
Transformations
• To control robot
– Relationship between joint motion (input)
and end-effector motion (output) is required
– Transformations between different
coordinate frames are required
• Robot Architecture
– Links: A rigid body with 6-DOF
– Joints: Couples 2 bodies. Provide
restrictions
@ McGraw-Hill Education
4
Joints or Kinematic Pairs
• Lower Pair
– Surface contact: Hinge joint of a door
• Higher pair
– Line or point contact: Roller or ball rolling
@ McGraw-Hill Education
5
Lower Pair: Revolute Joint
Turning pair or a
hinge or a pin joint
@ McGraw-Hill Education
6
Lower Pair: Prismatic Joint
Sliding pair
@ McGraw-Hill Education
7
Lower Pair: Helical Joint
@ McGraw-Hill Education
8
Lower Pair: Cylindrical Joint
@ McGraw-Hill Education
9
Lower Pair: Spherical Joint
@ McGraw-Hill Education
10
Lower Pair: Planar Joint
@ McGraw-Hill Education
11
Lower Pair: Universal Joint
@ McGraw-Hill Education
12
Kinematic Chain
• Series of links connected by joints
• Simple Kinematic Chain: When each
and every link is coupled to at most
two other links
– Closed: If each and every link coupled to
two other links  Mechanism
– Open: If it contains only two links (end
ones) that are connected to only one link
 Manipulator
@ McGraw-Hill Education
13
Closed-chain
@ McGraw-Hill Education
14
Open-chain
@ McGraw-Hill Education
15
Degrees of Freedom (DOF)
• Number of independent (or minimum)
coordinates required to fully describe
pose or configuration (position + rotation)
– A rigid body in 3D space has 6-DOF
• Use Grubler formula (1917) for planar
mechanisms
• Use Kutzbach formula (1929) for spatial
mechanisms
@ McGraw-Hill Education
16
n = s (r  1)  c, c  . . . (5.1)
i
1
c
p
i

Grubler-Kutzbach Criterion
s : dimension of working space
(Planar, s = 3; Spatial, s = 6);
r : no. of rigid bodies or links in the system;
p : no. of kinematic pairs or joints in the system;
ci : no. of constraints imposed by each joint;
c : total no. of constraints imposed by p joints;
ni : relative DOF of each joint;
n : DOF of the whole system.
@ McGraw-Hill Education
17
Note that,
i
p
1i
i
p
1i
i
p
1i
nps)n(scc


i
p
i
n1)ps(rn 
. . . (5.2)
ii ncs 
. . . (5.3)
Substituting eq. (5.2) into eq. (5.1) 
@ McGraw-Hill Education
18
DOF of a Four-bar Mechanism
Four-bar Mechanism,
n = 3 (4  4  1) + (1 + 1 + 1 + 1)
= 1 . . . (5.4)
i
p
i
n1)ps(rn 
@ McGraw-Hill Education
19
Six-DOF Manipulator
n = 6 (7  6  1) + 6  1 = 6 . . . (5.5)
DOF of a Robot Manipulator
i
p
i
n1)ps(rn 
@ McGraw-Hill Education
20
Five-bar mechanism
n = 3 (5  5  1) + 5  1
= 2 . . . (5.6)
Double parallelogram
n = 3 (5  6  1) + 6  1
= 0 . . . (5.7)
i
p
i
n1)ps(rn 
@ McGraw-Hill Education
21
In Summary
• Links and joint were introduced
• Kinematic chain and DOF were defined
• Formulae for finding DOF
• Examples
@ McGraw-Hill Education
22
Pose  Configuration
• Rigid-body motion
– Translation
– Rotation
• Translation: Three position coordinates
• Rotation: Three angular coordinates
• Total: Six coordinates
• A fixed-coordinate. A coordinate frame on
moving body  ‘Pose’ or ‘Configuration’
@ McGraw-Hill Education
23
F
p΄
o
p
U
MOM
V
P
W
O
X
Z
Y
Moving Frame M with respect to Fixed frame F
Pose  Position + Rotation
@ McGraw-Hill Education
24











xp
zp
ypF][p . . . (5.8)
[ ] , [ ] , and [ ]
1 0 0
0 1 0
00 1
F F Fx y z
    
    
      
    
         
. . . (5.10)
Position Description
p = px x + py y + pz z . . . (5.9)
@ McGraw-Hill Education
25
Orientation Description
• Direction cosine representation
• Euler angles representation
• Euler parameters representation, etc.
We will study first two only
@ McGraw-Hill Education
26
u = ux x + uy y + uz z
. . . (5.11a)
v = vx x + vy y + vz z
. . . (5.11b)
w = wx x + wy y + wz z
. . . (5.11c)
Direction Cosine Representation
Refer to Fig. 5.12
p = puu + pvv + pww . . . (5.12)
@ McGraw-Hill Education
27
p = (puux + pvvx + pwwx)x + (puuy + pvvy + pwwy)y
+ (puuz + pvvz + pwwz)z . . . (5.13)
px = uxpu + vxpv + wxpw . . . (5.14a)
py = uypu + vypv + wypw . . . (5.14b)
pz = uzpu + vzpv + wzpw . . . (5.14c)
Substitute eqs. (5.11a-c) into eq. (5.12)
[p]F = Q [p]M . . . (5.15)
@ McGraw-Hill Education
28
[p]F = Q [p]M . . . (5.15)




























































xwxvxu
zwzvzu
ywyvyuQpp
TTT
TTT
TTT,][,][
x
w
x
v
x
u
z
w
z
v
z
u
y
w
y
v
y
u
F
u
p
w
p
v
p
x
p
z
p
y
p M
.. . (5.16)
uTu = vTv = wTw = 1, and
uTv(vTu) = uTw(wTu) = vTw(wTv) = 0 … (5.17)
Q is called Orthogonal
@ McGraw-Hill Education
29
u  v = w, v  w = u, and w  u = v . . . (5.18)
QTQ = QQT = 1 ; det (Q) = 1; Q1 = QT . . . (5.19)
Due to orthogonality
@ McGraw-Hill Education
30
[ ,
[ ] ,
[ ]
0
0
0
0
1
u]
v
w
F
F
F
Cα
Sα
Sα
Cα
 
 
  
 
  
 
 
  
 
  
 
 
  
 
  

. . . (5.20)
Example 5.6 Elementary Rotations (Fig. 5.13a)
@ McGraw-Hill Education
31













100
0
0
CS
SC
ZQ . . . (5.21)



























CS
SC
CS
SC
XY
0
0
001
;
0
010
0
QQ
. . . (5.22)
@ McGraw-Hill Education
32
pz = pw . . . (5.25)
[p]F = QZ [p]M . . . (5.26)
py = pu S + pv C . . . (5.24)
px = pu C  pv S . . . (5.23)
Example 5.8 Coordinate Transformation (Fig. 5.13b)
@ McGraw-Hill Education
33
px = px C  py S . . . (5.27)
py = px S + py C . . . (5.28)
pz = pz . . . (5.29)
Example 5.9 Vector Rotation (Fig. 5.13c)
[p]F = QZ [p]F … (5.30)
@ McGraw-Hill Education
34
…(5.31a)
Euler Angle Representation (ZYZ)









 

100
0
0
Z 

CS
SC
Q
@ McGraw-Hill Education
35
…(5.31b)
Euler Angle Representation (contd.)














CS
SC
0
010
0
Y'Q
@ McGraw-Hill Education
36









 

100
0
0
'Z' 

CS
SC
Q
…(5.31c)
Euler Angle Representation (contd.)
@ McGraw-Hill Education
37
Q = QZQY’QZ’’ . . . (5.31d)







 





SCCSSCCSSCCC
CSSCS
SSCCSCSSCCCSQ
. . . (5.31e)











333231
232221
131211
qqq
qqq
qqq
Q …(5.32a)
For extraction purpose, say, input is given by
),(2tan 1323


S
q
S
q
a …(5.32b)
Cannot find  when S = 0 or 
@ McGraw-Hill Education
38
W.R.T. fixed frame: QZY = QYQZ =










010
001
100
























001
010
100
90090
010
90090
Y
oo
oo
CS
SC
Q
But, QYZ = QZQY =












001
100
010
Non-commutative Property









 










 

100
001
010
100
09090
09090
Z
oo
oo
CS
SC
Q
Hence, QZY  QYZ
@ McGraw-Hill Education
39
Non-commutative Property: An Illustration
@ McGraw-Hill Education
40
Non-commutative Property (contd.)
@ McGraw-Hill Education
41
In Summary
• Pose or configuration was defined
• Position description was given
• Orientation description was explained
– Direction cosine
– Euler angles
• Examples were shown
• Euler angle representation
– 12 combinations, ZYZ shown
• Non-commutative property of rotation
@ McGraw-Hill Education
42
Coordinate Transformation
F
p΄
o
p
U
MOM
V
P
W
O
X
Z
Y
Task: Point P is known in moving frame M. Find P in fixed frame F.
@ McGraw-Hill Education
43
p = o + p . . . (5.34)
[p]F = [o]F + Q[p’]M . . . (5.35)





 












1
][
1
][
1
][
T
F MF poQp
0
. . . (5.36)
MF ][][ pTp  . . . (5.37)
Homogenous Transformation
@ McGraw-Hill Education
44
TTT  1 or T1  TT . . . (5.38)







 

1
][
T
TT
1
0
oQQ
T F
. . . (5.39)













1000
1100
2010
0001
T
. . . (5.40)
Example 5.10 Pure Translation
T: Homogenous transformation matrix (4  4)
Fig. 5.19 (a)
@ McGraw-Hill Education
45
. . . (5.41)
Example 5.11 Pure Rotation
30 30 0 0
30 30 0 0
0 0 1 0
0 0 0 1
3 1
0 0
2 2
1 3
0 0
2 2
0 0 1 0
0 0 0 1
T
o o
o o
C S
S C
 
 
 
 
 
  
 
 
 
 
  
 
 
 
  
Fig. 5.19 (b)
@ McGraw-Hill Education
46
rt TTT  . . . (5.42)
30 30 0 2
30 30 0 1
0 0 1 0
0 0 0 1
3 1
0 2
2 2
1 3
0 1
2 2
0 0 1 0
0 0 0 1
T
o o
o o
C S
S C
 
 
 
 
 
  
 
 
 
 
  
 
 
 
 
. . . (5.43)
Example 5.12 General Motion
Fig. 5.19 (c)
@ McGraw-Hill Education
47
Like rotation matrices homogeneous transformation
matrices are non-commutative, i. e.,
Non-commutative Property
TATB  TBTA
@ McGraw-Hill Education
48
Denavit and Hartenberg (DH)
Parameters—Frame Allotment
• Serial chain
- Two links connected
by revolute joint, or
- Two links connected
by prismatic joint
@ McGraw-Hill Education
49
Connection with a Revolute Joint
Fig. 5.23
@ McGraw-Hill Education
50
Connection with a Prismatic Joint
@ McGraw-Hill Education
51
• Let axis i denotes the axis of the joint connecting
link (i 1) to link i.
• A coordinate system Xi, Yi, Zi is attached to the
end of the link (i 1)  not to the link i  for i =
1, . . . n+1.
• Choose axis Zi along the axis of joint i, whose
positive direction can be taken towards either
direction of the axis.
@ McGraw-Hill Education
52
• Locate the origin, Oi, at the intersection of axis Zi
with the common normal to Zi  1 and Zi. Also,
locate Oi on Zi at the intersection of the common
normal to Zi and Zi + 1.
• Choose axis Xi along the common normal to axes
Zi1 and Zi with the direction from former to the
later.
• Choose axis Yi so as to complete a right handed
frame.
@ McGraw-Hill Education
53
For Non-unique Cases
• For Frame 1 that is attached to the fixed
base, i.e., link 0, only the direction of axes
Z1 is specified. Then O1 and X1 can be
chosen arbitrarily.
• For the last frame n + 1 the foregoing
convention do not apply since there is no
link n + 1. Thus, frame n + 1 can be
arbitrarily chosen.
@ McGraw-Hill Education
54
• When two consecutive axes are parallel,
the common normal between them is not
uniquely defined.
• When two consecutive axes intersect, the
direction of Xi is arbitrary.
• When joint i is prismatic, only the direction
of axis Zi is determined, whereas the
location of Oi is arbitrary.
@ McGraw-Hill Education
55
Denavit-Hartenberg (DH)
Parameters
• Four parameters
– Joint offset (b)
– Joint angle ()
– Link length (a)
– Twist angle ()
@ McGraw-Hill Education
56
• bi (Joint offset): Length of the intersections of the
common normals on the joint axis Zi, i.e., Oi and Oi. It is
the relative position of links i  1 and i. This is measured
as the distance between Xi and Xi + 1 along Zi.
@ McGraw-Hill Education
57
• i (Joint angle): Angle between the orthogonal projections of
the common normals, Xi and Xi + 1, to a plane normal to the
joint axes Zi. Rotation is positive when it is made counter
clockwise. It is the relative angle between links i  1 and i.
This is measured as the angle between Xi and Xi + 1 about Zi.
@ McGraw-Hill Education
58
• ai (Link length): Length between the O’i and Oi
+1. This is measured as the distance along the
common normal Xi + 1 between axes Zi and Zi + 1.
@ McGraw-Hill Education
59
• i (Twist angle): Angle between the orthogonal
projections of joint axes, Zi and Zi+1 onto a plane
normal to the common normal. This is measured as
the angle between the axes, Zi and Zi + 1, about axis Xi
+ 1 to be taken positive when rotation is made counter
clockwise.
@ McGraw-Hill Education
60
Variable DH Parameters
• First two parameters, bi and i, define the
relative position of links i  1 and i
• Last two parameters, ai and i, describe
the size and shape of link i that are always
constant.
• Parameters, bi and i, are variable
– i is variable if joint i is revolute
– bi is variable if joint i is prismatic.
@ McGraw-Hill Education
61
Tb =












1000
100
0010
0001
ib
T =











 
1000
0100
00
00
ii
ii
CθSθ
θSCθ
DH Frame Transformations
• Translation along Zi
• Rotation about Zi
@ McGraw-Hill Education
62













1000
00
00
0001
ii
ii
CαSα
αSCα
T = . . . (5.49d)
Ta =












1000
0100
0010
001 ia
. . . (5.49c)
• Translation along Xi+1
• Rotation about Xi+1
@ McGraw-Hill Education
63
Ti = TbTTaT
Ti =














1000
0 iii
iiiiiii
iiiiiii
bCαSα
SθaSαCθCαCθSθ
CaSαSθCαSθCθ 
• Total transformation from Frame i to Frame i+1
@ McGraw-Hill Education
64
Three-link Planar Arm
Ti =











 
1000
0100
0
0
iiii
iiii
SθaCθSθ
CaSθCθ
• DH-parameters
, for i=1,2,3
Link bi i ai i
1 0 1 (JV) a1 0
2 0 2 (JV) a2 0
3 0 3 (JV) a3 0
• Frame transformations
(Homogeneous)
@ McGraw-Hill Education
65
Revolute-Prismatic Planar Arm
• DH-parameters
• Frame transformations (Homogeneous)
Link bi i ai i
1 0 1 (JV) 0 /2
2 b2 (JV) 0 0 0o
T1 =














1000
0010
00
00
11
11
CSθ
SCθ
T2 =












1000
100
0010
0001
2b
@ McGraw-Hill Education
66
• DH-parameters
• Frame transformations (Homogeneous)
T1 = T2 =
Link bi i ai i
1 b1 (JV) -/2 0 /2
2 0 2 (JV) a2 0













1000
010
0100
0001
1b











 
1000
0100
0
0
2222
2222
SθaCθSθ
CaSθCθ
Prismatic-Revolute Planar Arm
@ McGraw-Hill Education
67
Spherical-type Arm
• DH-parameters
Link bi i ai i
1 0 1 (JV) 0 /2
2 b2 2 (JV) 0 /2
3 b3
(JV)
0 0 0
@ McGraw-Hill Education
68
T1 =













1000
0010
00
00
11
11
CθSθ
SθCθ
T2 =














1000
010
00
00
2
22
22
b
CθSθ
SθCθ
T3 =












1000
100
0010
0001
3b
• Frame transformations for Spherical Arm
@ McGraw-Hill Education
69
In Summary
• Denavit-Hartenberg (DH) parameters
– DH frames
– Definitions
• DH frame transformations
• Examples
– Three-link planar arm
– RP and PR arms
– Spatial arm
@ McGraw-Hill Education
70
Summary of the Chapter
• Links, joints, kinematic chains, and DOF
were defined
• Pose or configuration was explained
• Denavit-Hartenberg (DH) parameters
were introduced
• Homegenous transformation matrix was
derived
• Several examples were solved
@ McGraw-Hill Education
1
Kinematics
– Forward kinematics
– Inverse Kinematic
@ McGraw-Hill Education
2
Kinematics
@ McGraw-Hill Education
3
Kinematics
• Forward kinematics
– Admits unique solution
– Requires simple multiplications and
additions
• Inverse kinematics
– Admits many solutions
– Requires solutions of non-linear algebraic
equations
@ McGraw-Hill Education
4
Forward Kinematics
• Homogeneous transformation
– Using DH Parameters
• Forward kinematics relation
T = T1 T2 …Tn … (6.1)
• Alternate to 4 x 4 relation
Q = Q1 Q2 …Qn … (6.2)
p = a1 + Q1 a2 + … + Q1 … Qn-1 an … (6.3)
0 1
0 0 0 1
Q a
T
0
i i i i i i i
i i i i i i i i i
i T
i i i
Cθ Sθ Cα Sθ Sα a C
Sθ Cθ Cα Cθ Sα a Sθ
Sα Cα b
 
          
 
 
@ McGraw-Hill Education
5
Forward Kinematics (contd.)
• Using 4  4 homogeneous transformations
T = T1 T2 …Tn
• Three-DOF Articulated arm
• Three-DOF Spherical wrist
• PUMA Robot (architecture)
• Stanford arm
@ McGraw-Hill Education
6
DH Parameters of Articulated Arm
Link bi i ai i
1 0 1 (JV) 0  π/2
2 0 2 (JV) a2 0
3 0 3 (JV) a3 0
@ McGraw-Hill Education
7
Matrices for Articulated Arm
1 1
1 1
1
0 1 0 0
0 0 0 1
c 0 s 0
s 0 c 0
 
 
 
 
 
 
T
2 2 2 2
2 2 2 2
2
c s 0 a c
s c 0 a s
0 0 1 0
0 0 0 1
 
 
 
 
 
 
T
3 3 3 3
3 3 3 3
3
c s 0 a c
s c 0 a s
0 0 1 0
0 0 0 1
 
 
 
 
 
 
T
















1000
sasa0cs
)cac(ascsscs
)cac(acssc-cc
233222323
2332211231231
2332211231231
)(
T … (6.11)
@ McGraw-Hill Education
8
DH Parameters of Spherical Wrist
Link bi i ai i
1 0 1(JV) 0 π/2
2 0 2(JV) 0  π/2
3 0 3(JV) 0 0
@ McGraw-Hill Education
9
Matrices for Spherical Wrist














1000
0010
0c0s
0s0c
11
11
1T















1000
0010
00
00
22
22
2
cs
sc
T











 

1000
0100
00
00
33
33
3
cs
sc
T
;
;
















1000
0
0
0
23232
213132131321
213132131321
csscs
ssccscsscccs
sccssscssccc
T
… (6.12)
@ McGraw-Hill Education
10
DH Parameters of PUMA Robot
i bi i ai i
1 0 1 (JV) [0] 0 -/2
2 b2 2 (JV) [-/2] a2 0
3 0 3 (JV) [/2] a3 /2
4 b4 4 (JV) [0] 0 -/2
5 0 5 (JV) [0] 0 /2
6 b6 6 (JV) [0] 0 0
@ McGraw-Hill Education
11
Forward Kinematics Results for
PUMA Robot
;
;























64
and,
bba
b
a
100
010
001
2
2
3
pQ
… (6.14)
@ McGraw-Hill Education
12
DH Parameters of Stanford Arm
i bi i ai i
1 b1 1 (JV) [0] 0 -/2
2 b2 2 (JV) [] 0 -/2
3 b3
(JV)
0 0 0
4 b4 4 (JV) [0] 0 /2
5 0 5 (JV) [0] 0 -/2
6 0 6 (JV) [0] 0 0
@ McGraw-Hill Education
13
Forward Kinematics Results for
Stanford Arm
;
;























43
and,
bbb
b
0
100
01-0
001-
1
2pQ
… (6.15)
@ McGraw-Hill Education
14
Inverse Kinematics
• Inverse kinematics of 3-DOF RRR planar arm
• Geometric solution of 3-DOF RRR arm
• Inverse kinematics of 3-DOF articulated arm
• Inverse kinematics of 3-DOF spherical wrist
@ McGraw-Hill Education
15
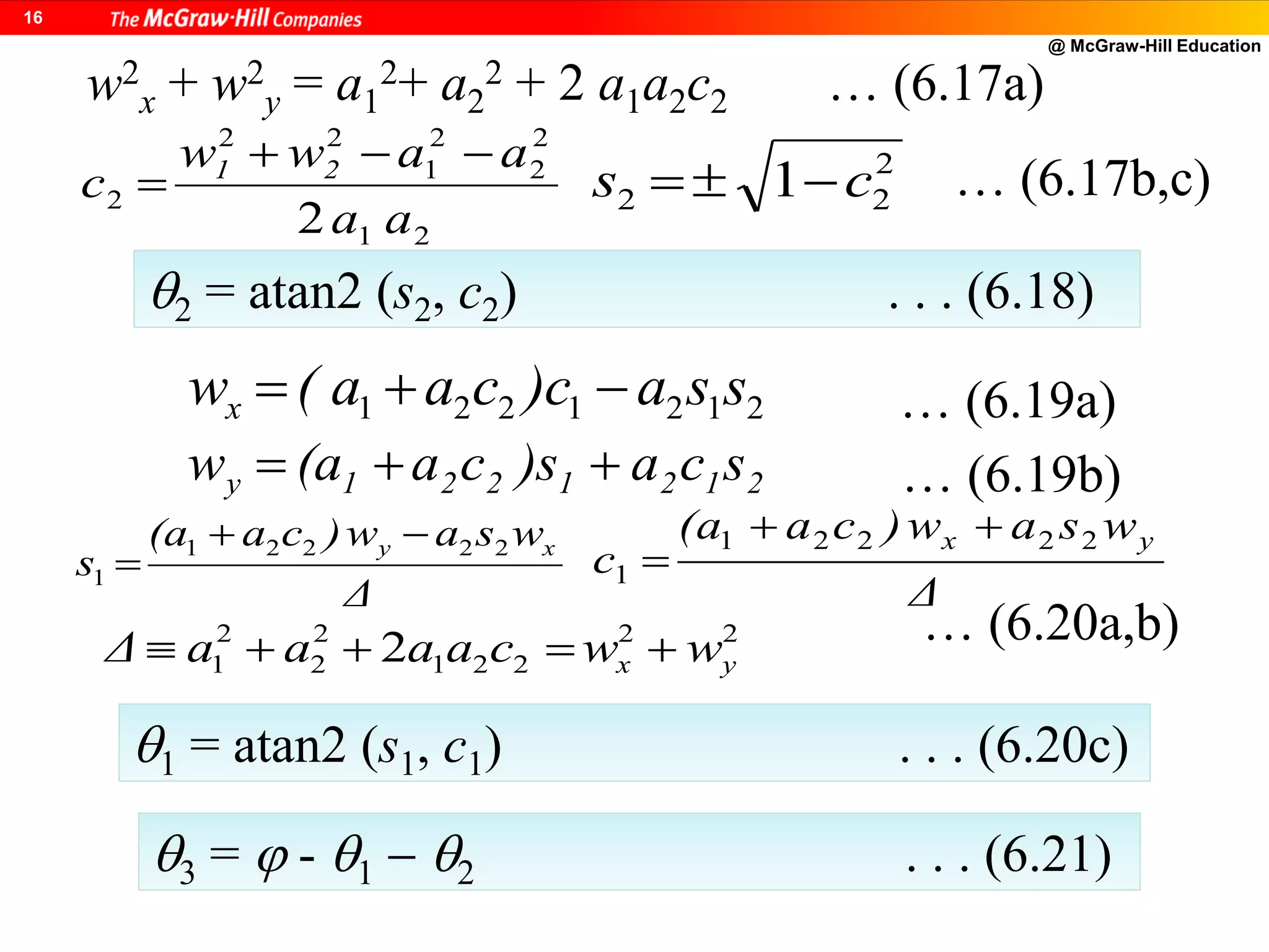
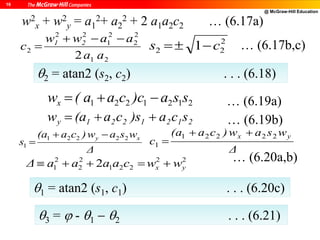
Inverse Kinematics of 3-DOF RRR Arm
321 θθθφ 
123312211 cacacapx 
123312211 sasasapy 
122113 cacac φapw xx 
122113 sasas φapw yy 
… (6.15a)
… (6.15b)
… (6.15c)
… (6.16a)
… (6.16b)
@ McGraw-Hill Education
16
w2
x + w2
y = a1
2+ a2
2 + 2 a1a2c2
21
2
2
2
1
22
2
2 aa
aaww
c 21 

2
22 1 cs 
2 = atan2 (s2, c2) . . . (6.18)
2121221 ssa)ccaa(wx 
2121221y sca)sca(aw 
Δ
wsaw)ca(a
s
xy 22221
1


Δ
wsaw)ca(a
c
yx 22221
1


22
221
2
2
2
1 2 yx wwcaaaaΔ 
1 = atan2 (s1, c1) . . . (6.20c)
3 =  - 1  2 . . . (6.21)
… (6.19a)
… (6.19b)
… (6.17a)
… (6.17b,c)
… (6.20a,b)
@ McGraw-Hill Education
17
Geometrical Solution
of RRR Arm
Apply cosine theorem
w2
x + w2
y = a1
2+ a2
2 + 2 a1a2c2
Same as obtained algebraically, Hence
… (6.22)
w2
x+w2
y = a2
1+a2
22 a1 a2 cos (2)
Since, cos (  2) =  cos 2 -c2
@ McGraw-Hill Education
18
Joint Angles
 = atan2 (wy, wx)
221
22
caacosww yx  
22
12
2
2
2
1
22
1
ywxwa
aaywxw
cos


1 =    . . . (6.25)
2 = cos1 (c2) . . . (6.23)
21
2
2
2
1
22
2
2 aa
aaww
c 21 

… (6.24b)
… (6.24a)
@ McGraw-Hill Education
19
Numerical Example





















1000
0100
0
2
1
30
2
1
1
2
3
2
3
2
5
2
3
T
• An RRR planar arm (Example 6.11). Input
where  = 60o, and a1 = a2 = 2 units, and a3 = 1 unit.
@ McGraw-Hill Education
20
Using eqs. (6.13b-c), c2 = 0.866, and s2 = 0.5,
Next, from eqs. (6.16a-b), s1 = 0, and c1= 0.866.
Finally, from eq. (6.17) ,
Therefore …(6.22b)
The positive values of s2 was used in evaluating 2 = 30o.
The use of negative value would result in :
…(6.22c)
2 = 30o
1 = 0o.
3 = 30o.
1 = 0o 2 = 30o, and 3 = 30
1 = 30o 2 = -30o, and 3 = 60o
@ McGraw-Hill Education
21
Three-DOF Articulated Arm
• Forward kinematics relation
)p,(paθ xy2tan1 
)p,(paπθ xy2tan1 
when 2 is equal to  2
(1), where 2
(1) is one
of the solutions
@ McGraw-Hill Education
22
Other Two Joint Solutions
• With 1st joint known, other two joints are
like planar RR arm
)c,(satan2θ 333 
2
33
32
2
3
2
2
2
z
2
y
2
x
3 c1s;
aa2
aappp
c 


)c,(satan2θ 222 
Δ
ppsa)pca(a-
s
2
y
2
x33z332
2


Δ
psapp)ca(a
c
z33
2
y
2
x332
2


;
2 2 2
x y zwhere p p p   
@ McGraw-Hill Education
23
For b20, there also exists four solutions
;
@ McGraw-Hill Education
24
Three-DOF Spherical Wrist
• For orientation only.
Input
;
11 12 13
21 22 23
31 32 33
1 2 1 1 2
1 2 1 1 2
2 20
Q
q q q
q q q
q q q
c c s c s
s c c s s
s c
 
   
  
  
   
  
@ McGraw-Hill Education
25
)q,(qaθ 13231 2tan
 33
2
23
2
132 2tan q,qqaθ 
• Solutions are:
),( 333 12 qqatan2
• Another set of solutions exist for spherical wrist
)q,q(2atan 1323 1
 33
2
23
2
13 q,qq2atan 2
)q,q(tan2a 31323
@ McGraw-Hill Education
26
;
• A total of two solutions for spherical wrist

Robotics done

  • 1.
    Introduction to Robotics Ref:S.K.Saha, McGraw Hill Publisher By Avinash Juriani M.Tech IIT ISM DHN B.Tech SRM Chennai M.Tech Notes Advanced Robotics
  • 2.
    Laws of Robotics •A robot must not harm a human being, nor through inaction allow one to come to harm. • A robot must always obey human beings, unless that is in conflict with the 1st law. • A robot must protect from harm, unless that is in conflict with the 1st two laws. • A robot may take a human being’s job but it may not leave that person jobless. [Fuller(1999)]
  • 3.
    Robot: Definition • Reprogrammable,multifunctional manipulator designed to move material through variable programmed motions for the performance of a variety of tasks. (ISO) • Robotics Institute of America (RIA) • Japan Industrial Robot Association (JIRA) • British Robot Association (BRA)
  • 4.
    The Unimate Robot UNIMATION: UNIversal+autoMATION Robotis a universal tool that can be used for many kind of tasks
  • 5.
  • 7.
    Special-purpose Robots • Aspecial-purpose robot is the one that is used in other than a typical factory environment.
  • 8.
  • 9.
    Can move sidewaysalso (3 DOF), used in hospitals, security etc.
  • 10.
    Walking Robots: usedin military, undersea exploration, and places where rough terrains exist
  • 11.
    Parallel robots: aparallel structure with 6 legs to control the moving platform used as a flight simulator for imparting training to …
  • 13.
    Thumb rules onthe decision of a robot usage • Four Ds of Robotics: i.e. is the task dirty, dull, dangerous, or difficult? • Robot may not leave a human jobless. • Whether you can find people who are willing to do the job. • Robots and automation must make short-term and long-term economic sense.
  • 14.
    Books recommended • JohnJ. Craig, Introduction to Robotics: Mechanics and Control, Prentice Hall • Mark W. Spong, Robot Modeling and Control, Wiley • S. K. Saha, Introduction to Robotics, McGraw Hill • K. S. Fu, R. C. Gonzalez, C. S. G. Lee, Robotics: Control, Sensing, Vision and Intelligence McGraw-Hill • S.R. Deb, Robotics Technology and Flexible Automation, TMH
  • 15.
  • 16.
    @ McGraw-Hill Education 2 Outline •Robot Subsystems (Focus: Serial-type) – Motion – Recognition – Control • Robot Classifications By – Application – Coordinate system – Actuation system – Control method – Programming method
  • 17.
  • 18.
    @ McGraw-Hill Education 4 RobotSubsystems (contd.) • Motion: Manipulator (Arm + Wrist), End-effector, Actuators (Set in motion), and Transmissions • Recognition: Sensors (Measure status), and ADC • Control (Supervision): DAC, and Digital Controller
  • 19.
    @ McGraw-Hill Education 5 MotionSubsystem i) Manipulator: Mechanical arm + wrist ii) End-effector - Welding torch, painting brush, etc. - Robot hand - Simple grippers
  • 20.
    @ McGraw-Hill Education 6 (iii)Actuator - Pneumatic, Hydraulic, Electric (iv) Transmission - Belt and chain drives - Gears - Link mechanisms
  • 21.
    @ McGraw-Hill Education 7 i)Manipulator: Mechanical arm + wrist PUMA: Programmable Universal Manipulator for Assembly
  • 22.
    @ McGraw-Hill Education 8 ii)End-effector: Robot hand
  • 23.
    @ McGraw-Hill Education 9 Moreend-effectors: Simple grippers
  • 24.
    @ McGraw-Hill Education 10 iv)Transmission: Belt and Chain drives
  • 25.
    @ McGraw-Hill Education 11 Othertransmission system: Gears
  • 26.
    @ McGraw-Hill Education 12 Anothertransmission: Link mechanisms
  • 27.
    @ McGraw-Hill Education 13 RecognitionSubsystem (ii) Analog-to-Digital Converter (ADC) - Electronic device (i) Sensors (Essentially transducers) - Converts a signal to another Fig. 2.8 An analog-to-digital converter [Courtesy: http://www.eeci.com/adc-16p.htm]
  • 28.
    @ McGraw-Hill Education 14 ControlSubsystem (i) Digital Controller - CPU, Memory, Hard disk (to store programs) Controller Robot Sensor Desired end-effector trajectory Driving input Actual end-effector configuration Joint displacement and velocity Fig. 2.9 Control subsystem [Courtesy: http://www.abb.com/Product/seitp327/f0cec80774b0b3c9c1256fda00409c2c.aspx] (a) Control scheme of a robot (b) ABB Controller
  • 29.
    @ McGraw-Hill Education 15 ControlSubsystem (contd.) (ii) Digital-to-Analog Converter (DAC) (iii) Amplifier - Amplify weak commands from DAC Fig. 2.10 A digital-to-analogue converter [Courtesy: http://www.eeci.com]
  • 30.
    @ McGraw-Hill Education 16 Classification •By Applications • By Coordinate System • By Actuation System • By Control Method • By Programming Method
  • 31.
    @ McGraw-Hill Education 17 ByApplication • Welding robot • Assembly robot • Heavy-duty robot - Special features like maximum speed, accuracy, etc. are incorporated keeping the application in mind - See videos in http://www.directindustry.com/video/industrial- robots-robotic-cells-AM.html
  • 32.
    @ McGraw-Hill Education 18 ByCoordinate System (a) Cartesian (b) Cylindrical (c) Spherical (d) Anthropomorphic (e) Gantry  (a) (f) SCARA (Selective Compliance Assembly Robot Arm)
  • 33.
  • 34.
  • 35.
  • 36.
  • 37.
  • 38.
  • 39.
    @ McGraw-Hill Education 25 FundamentalConfigurations Type Joints 1 (base): Motion 2 (elevation): Motion 3 (reach): Motion Cartesian Cylindrical Spherical Revolute P: travel, x -P+R+900@Z R: rotation θ R: -do- R: -do- P: height y P: -do- -P+R+900@Z R: angle φ R: -do- P: reach z P: -do- P: -do- -P+R+900@Z R: angle ψ
  • 40.
    @ McGraw-Hill Education 26 Comparison(for selection) Configuration Advantages Disadvantages Cartesian (3 linear axes) x: base travel y: height z: reach - Easy to visualize - Rigid structure - Easy offline programming - Easy mechanical stops - Reach only front and back - Requires large floor space - Axes are hard to seal - Expensive Cylindrical (1 rotation and 2 linear axes) θ: base rotation y: height z : reach - Can reach all around - Rigid y, z-axes - θ-axes easy to seal - Cannot reach above itself - Less rigid θ-axis - y, z-axes hard to seal - Won’t reach around obstacles - Horizontal motion is circular Spherical (2 rotating and 1 linear axes) θ: base rotation φ: elevation angle z: reach - Can reach all around - Can reach above or below obstacles - Large work volume - Cannot reach above itself - Short vertical reach Articulated (3 rotating axes) θ: base rotation φ: elevation angle ψ: reach angle - Can reach above or below objects - Largest work area for least floor space - Difficult to program off-line - Two or more ways to reach a point - Most complex robot
  • 41.
    @ McGraw-Hill Education 27 ByActuation System • Pneumatic (in factory floors) • Hydraulic (for heavy applications) • Electric (more common these days)
  • 42.
    @ McGraw-Hill Education 28 ByControl Method • Servo/Non-servo control – Servo  closed-loop (Hydraulic & Electric) – Non-servo  open-loop (Pneumatic) • Path control – Continuous path  trajectory (welding etc)
  • 43.
    @ McGraw-Hill Education 29 ByProgramming Method • Online programming – Direct use of the robot – Teach pendant • Offline programming (saves time) – Using a computer on a new task – Download when ready
  • 44.
    @ McGraw-Hill Education 30 Summaryof the Chapter • Focus on serial-type robots (not parallel or mobile, etc.) • Different subsystems are explained • Five ways are explained to classify a robot
  • 45.
  • 46.
    @ McGraw-Hill Education 2 Outline •An actuation system • Pneumatic actuators – Advantages and Disadvantages • Hydraulic actuators • Electric actuators – Stepper motors – DC motors – AC motors • Selection of motors
  • 47.
    @ McGraw-Hill Education 3 AnActuation System • A power supply • A power amplifier • A motor • A transmission system Actuator vs. Motor? (Interchangeably used)
  • 48.
  • 49.
    @ McGraw-Hill Education 5 •One of fluid devices • Uses compressed air [1-7 bar; ~.1 MPa/bar] • Components 1) Compressor; 2) After-cooler; 3) Storage tank; 4) Desiccant driers; 5) Filters; 6) Pressure regulators; 7) Lubricants; 8) Directional control valves; 9) Actuators Pneumatic Actuators
  • 50.
    @ McGraw-Hill Education 6 Fig.3.2(a) Pneumatic actuator components
  • 51.
  • 52.
    @ McGraw-Hill Education 8 Advantagesvs. Disadvantages • Advantages – Cheapest form of actuators. – Components are readily available. – Compressed air is available in factories. – Compressed air can be stored, and conveyed easily over long distances. – Compressed air is clean, explosion-proof & insensitive to temp. var. Many applns.
  • 53.
    @ McGraw-Hill Education 9 –Few moving parts Reliable + low maint. costs – Relevant personnel are familiar with the tech. – Very quick Fast work cycles – No mech. transmission is required. – Safe in explosive areas as no elect. contact – Systems are compact. – Control is simple. Mechanical stops. – Components are easy to connect.
  • 54.
    @ McGraw-Hill Education 10 •Disadvantages – Air is compressible. – Precise control of speed/position is not easy. – If no mechanical stops resetting is slow. – Not suitable for heavy loads – If moisture penetrates rusts occur. Compressibility of the air can be advantageous. Prevents damage due to overload.
  • 55.
    @ McGraw-Hill Education 11 MajorComponents • Compressor: Compresses air • After-cooler: Cools air after compression as hot air contains vapor • Storage tank: Provides const. high press. • Desiccant Drier: Air passes through chemicals to remove moisture • Filters: Removes water droplet • Pressure Regulator: Poppet valve
  • 56.
    @ McGraw-Hill Education 12 Fig.3.3(a) Hydraulic actuator components
  • 57.
  • 58.
    @ McGraw-Hill Education 14 Advantagesvs. Disadvantages • Advantages – High  + power-to-size ratio. – Accurate control of speed/pos./dirn. –Few backlash prob. Stiffness + incompressibility of fluid –Large forces can be applied at locations.
  • 59.
    @ McGraw-Hill Education 15 Backlash Unwanted play in transmission components - Greater load carrying cap. - No mech. linkage  Mech. simplicity. - Self lubricating  Low wear + non-corrosive - Due to 'storage' sudden demands can be met. - Capable of withstanding shock.
  • 60.
    @ McGraw-Hill Education 16 •Disadvantages – Leakages occur  Loss in performance – Higher fire risk. – Power pack is (70 dBA) – Temp. change alters viscosity. – Viscosity at temp. causes sluggishness. – Servo-control is complex 70 dbA  Noise of heavy traffic
  • 61.
    @ McGraw-Hill Education 17 ElectricActuators • Electric motors + • Mechanical transmissions • First commercial electric motor: 1974 by ABB
  • 62.
    @ McGraw-Hill Education 18 Advantagesvs. Disadvantages • Advantages – Widespread availability of power supply. – Basic drive element is lighter than fluid power. – High power conversion efficiency. – No pollution – High accuracy + hight repeatability compared to cost. – Quiet and clean
  • 63.
    @ McGraw-Hill Education 19 –Easily maintained and repaired. – Components are lightweight. – Drive system is suitable to electronic control. • Disadvantages – Requires mechanical transmission system. – Adds mass and unwanted movement. – Requires additional power + cost. – Not safe in explosive atmospheres.
  • 64.
    @ McGraw-Hill Education 20 ElectricMotors • Stepper motors – Variable Reluctance – Permanent Magnet – Hybrid • Small/Medium end of industrial range • Digitally controlled  No feedback • Incremental shaft rotation for each pulse
  • 65.
    @ McGraw-Hill Education 21 •Steps range from 1.8 – 90 deg. • To know final position, count # of pulses • Velocity = No. of pulse per unit time • 500 pulses/sec  150 rpm (1.8o/pulse) • Pulses cease, motor stops. No brake, etc. • Max. torque at low pulse rate • Many steppers from same source. Exact synchronization
  • 66.
  • 67.
    @ McGraw-Hill Education 23 Features:Variable Reluctance • Patented: 1919; Commercial: 1950 • Magnetic reluctance  Elec. Resistance • Magnetic flux only around closed path • Rotor is soft steel, and 4 poles • Rotor + stator teeth aligned with the minimum reluctance  rotor is at rest • To rotate, AA’ is off BB’ is on
  • 68.
  • 69.
    @ McGraw-Hill Education 25 Features:Permanent Magnet • Two sets of coils: A and B • Rotor is permanent magnet • Each pole is wound with field winding • Coil A is reversed  A’. Rotates 45o CCW • Coil B is reversed  B’. Another 45o
  • 70.
    @ McGraw-Hill Education 26 HybridStepper • Combines the features of Variable Reluctance and Permanent Motor • Permanent magnet with iron caps that have teeth • The rotor sets itself in minimum reluctance position
  • 71.
    @ McGraw-Hill Education 27 •Direct Current: Used in toys etc. • Electrically driven robots us DC – Introduced in 1974 by ABB – Powerful versions available – Control is simple – Batteries are rarely used – AC supply is rectified to DC DC Motors
  • 72.
  • 73.
    @ McGraw-Hill Education 29 Principleof a DC Motor • Magnetic Field  Stator – Field coils wound on the stators – Permanent magnet • Conductor (Armature)  Rotor – Current via brushes + commutators • Maximum torque for  = 90o
  • 74.
  • 75.
    @ McGraw-Hill Education 31 Featuresof a DC Motor • High voltage in stator coils  Fast speed (simple speed control) • Varying current in armature  Controls torque • Reversing polarity  Turns opposite • Larger robots: Field control DC motor – Current in field coils  Controls torque – High power at high speed + High power/wt.
  • 76.
    @ McGraw-Hill Education 32 Specification& Characteristic Technical Specifications of DC Motors Brand Parvalux Manufacturer Part No. PM2 160W511109 Type Industrial DC Electric Motors Shaft Size (S,M,L) M Speed (rpm) 4000 rpm Power Rating (W) 160 W Voltage Rating (Vdc) 50 V(dc) Input Current 3.8 A Height × Width × Length 78 mm ×140 mm × 165 mm
  • 77.
  • 78.
    @ McGraw-Hill Education 34 PermanentMagnet (PM) Motor • Two configurations – Cylindrical [Common in industrial robots] – Disk
  • 79.
    @ McGraw-Hill Education 35 PermanentMagnet (PM) Motor (cont.) • No field coils • Field is by permanent magnets (PM) • Some PM has coils for recharge • Torque  Armature current [Const. flux]
  • 80.
    @ McGraw-Hill Education 36 Advantagesof PM DC Motors • No power supplies for field coils • Reliability is high • No power loss due to field supply • Improved Efficiency + Cooling
  • 81.
    @ McGraw-Hill Education 37 BrushlessPM DC Motor • Problem with DC motors – Commuter and brushes  Periodical reversal of current through each armature coil – Brushes + Commutators  Sliding contact  Sparks  Wear  Change brushes + Resurface commuators • Solution: Brushless motors – Sequence of stator coils – PM rotor
  • 82.
  • 83.
    @ McGraw-Hill Education 39 Principlesof Brushless PM • Reverse principle than convention DC • Current carrying conductor (stator) experience a force • Magnet (rotor) will experience a reaction (Newton’s 3rd law) • Current to stator coils is electronically switched by transistors (Expensive) • Switching is controlled by rotor position  Magnet (rotor) rotates same direction
  • 84.
    @ McGraw-Hill Education 40 Advantagesof Brushless PM • Better heat dissipation • Reduced rotor inertia • Weigh less  Less expensive + Durable • Smaller for comparable power • Absence of brushes  Reduced maintenance cost • Electric robots  Hazardous areas with flammable atmospheres (Spray painting)
  • 85.
    @ McGraw-Hill Education 41 ACMotors • Alternating Current: Domestic supply • 50 Hz; 220 V (India) • 60 Hz; 110 V (USA) • Difficult to control speed  Not suitable for robots
  • 86.
    @ McGraw-Hill Education 42 Principleof an AC Motor • External electromagnets (EM) around a central rotor • AC supply to EM  Polarity change performs the task of mech. Switching • Magnetic field of coils will appear to rotate  Induces current in rotor (induction) or makes rotor to rotate (synchronous)
  • 87.
    @ McGraw-Hill Education 43 Specification& Characteristic Technical Specifications of AC Motor Brand ABB Manufacturer Part No. 1676687 Type Industrial 1-, 3-Phase Electric Motors Supply Voltage 220 – 240 Vac 50 Hz Output Power 180 W Input Current 0.783 A Shaft Diameter 14 mm Shaft Length 30 mm Speed 1370 rpm Rated Torque 1.3 Nm Torque Starting 1.3 Nm Height × Length × Width 150 mm × 213 mm × 120 mm
  • 88.
  • 89.
    @ McGraw-Hill Education 45 Featuresof an AC Motor • Higher the frequency  Fast speed • Varying frequency to a number of robot axes has been impractical till recently • Electromagnetism is used for regenerative braking (also for DC)  Reduces deceleration time and overrun • Motor speed cannot be predicted (same for DC)  Extra arrangements required
  • 90.
    @ McGraw-Hill Education 46 Classificationof an AC Motor • Single-phase [Low-power requirements] – Induction – Synchronous • Poly-phase (typically 3-phase) [High- power requirements] – Induction – Synchronous • Induction motors are cheaper  Widely used
  • 91.
  • 92.
    @ McGraw-Hill Education 48 Single-phaseAC Induction Motor • Squirrel cage rotor (Cu or Al bars into slot in the end)  Circuit is complete • Stator has windings  Alternating current  Alternative magnetic field • EM forces induces current in the rotor conductors • When rotor is stationary no resultant torque (not self-starting)
  • 93.
    @ McGraw-Hill Education 49 Single-phaseAC Induction Motor • Auxiliary starting winding • Motor speed  Frequency • 50 rev/sec  50 Hz • No exact match • Slip: 1 to 3%
  • 94.
    @ McGraw-Hill Education 50 Three-phaseAC Induction Motor • Three windings in stator at 120o apart • Each winding is connected to one of the three lines of the supply • Direction reversal  Interchange any of two line connections • Rotation of field is much smoother • Self-starting
  • 95.
  • 96.
    @ McGraw-Hill Education 52 ACSynchronous Motor • Stator is same as induction motor • Rotor is permanent magnet • Since stator magnetic field rotates  Rotor rotates • Speed is same as supply frequency • Used for precise speed requirement • Not self-starting
  • 97.
    @ McGraw-Hill Education 53 ACvs. DC Motors • Cheaper, rugged, reliable, maintenance free • Speed control is more complex • Speed-controlled DC drive (stator voltage) is cheaper than speed- controlled AC drive (Variable Frequency Drive) • Price of VFD is steadily reducing
  • 98.
    @ McGraw-Hill Education 54 MotorSelection • For robot applications – Positioning accuracy, reliability, speed of operation, cost, etc. • Electric is clean + Capable of high precision • Electronics is cheap but more heat • Pneumatics are not for high precision for continuous path
  • 99.
    @ McGraw-Hill Education 55 MotorSelection (contd.) • Hydraulics can generate more power in compact volume • Capable of high torque + Rapid operations • Power for electro-hydraulic valve is small but expensive • All power can be from one powerful hydraulic pump located at distance
  • 100.
    @ McGraw-Hill Education 56 ThumbRule for Motor Selection • Rapid movement with high torques (> 3.5 kW): Hydraulic actuator • < 1.5 kW (no fire hazard): Electric motors • 1-5 kW: Availability or cost will determine the choice
  • 101.
    @ McGraw-Hill Education 57 SampleCalculations Two meter robot arm to lift 25 kg mass at 10 rpm • Force = 25 x 9.81 = 245.25 N • Torque = 245.25 x 2 = 490.5 Nm • Speed = 2 x 10/60 = 1.047 rad/sec • Power = Torque x Speed = 0.513 kW • Simple but sufficient for approximation
  • 102.
    @ McGraw-Hill Education 58 Summary •DC motors – Permanent Magnet (PM) – Brushless PM – Their construction + advantages, etc. • AC motors – Single-phase: Induction vs. Synchronous – Three-phase • Selection of motors in practical applications
  • 103.
    @ McGraw-Hill Education 1 Denavit-Hartenberg(DH) Parameters • Four parameters – Joint offset (b) – Joint angle () – Link length (a) – Twist angle ()
  • 104.
    @ McGraw-Hill Education 2 Three-linkPlanar Arm Ti =              1000 0100 0 0 iiii iiii SθaC θSθ CaSθC θ • DH-parameters , for i=1,2,3 Link bi i ai i 1 0 1 (JV) a1 0 2 0 2 (JV) a2 0 3 0 3 (JV) a3 0 • Frame transformations (Homogeneous)
  • 105.
    @ McGraw-Hill Education 3 Revolute-PrismaticPlanar Arm • DH-parameters • Frame transformations (Homogeneous) Link bi i ai i 1 0 1 (JV) 0 /2 2 b2 (JV) 0 0 0o T1 =               1000 0010 00 00 11 11 CSθ SC θ T2 =             1000 100 0010 0001 2b
  • 106.
    @ McGraw-Hill Education 4 •DH-parameters • Frame transformations (Homogeneous) T1 = T2 = Link bi i ai i 1 b1 (JV) -/2 0 /2 2 0 2 (JV) a2 0              1000 010 0100 0001 1 b              1000 0100 0 0 2222 2222 SθaCθSθ CaSθCθ Prismatic-Revolute Planar Arm
  • 107.
    @ McGraw-Hill Education 5 Spherical-typeArm • DH-parameters Link bi i ai i 1 0 1 (JV) 0 /2 2 b2 2 (JV) 0 /2 3 b3 (JV) 0 0 0
  • 108.
    @ McGraw-Hill Education 6 T1=              1000 0010 00 00 11 11 C θSθ SθC θ T2 =               1000 010 00 00 2 22 22 b CθSθ SθCθ T3 =             1000 100 0010 0001 3b • Frame transformations for Spherical Arm
  • 109.
    @ McGraw-Hill Education 7 InSummary • Denavit-Hartenberg (DH) parameters – DH frames – Definitions • DH frame transformations • Examples – Three-link planar arm – RP and PR arms – Spatial arm
  • 110.
  • 111.
    @ McGraw-Hill Education 2 Outline •Links and Joints • Kinematic chain • Degrees-of-freedom (DOF) • Pose ( Configuration) • Denavit-Hartenberg (DH) Parameters • Homogeneous transformation • Examples
  • 112.
    @ McGraw-Hill Education 3 Transformations •To control robot – Relationship between joint motion (input) and end-effector motion (output) is required – Transformations between different coordinate frames are required • Robot Architecture – Links: A rigid body with 6-DOF – Joints: Couples 2 bodies. Provide restrictions
  • 113.
    @ McGraw-Hill Education 4 Jointsor Kinematic Pairs • Lower Pair – Surface contact: Hinge joint of a door • Higher pair – Line or point contact: Roller or ball rolling
  • 114.
    @ McGraw-Hill Education 5 LowerPair: Revolute Joint Turning pair or a hinge or a pin joint
  • 115.
    @ McGraw-Hill Education 6 LowerPair: Prismatic Joint Sliding pair
  • 116.
  • 117.
    @ McGraw-Hill Education 8 LowerPair: Cylindrical Joint
  • 118.
    @ McGraw-Hill Education 9 LowerPair: Spherical Joint
  • 119.
  • 120.
    @ McGraw-Hill Education 11 LowerPair: Universal Joint
  • 121.
    @ McGraw-Hill Education 12 KinematicChain • Series of links connected by joints • Simple Kinematic Chain: When each and every link is coupled to at most two other links – Closed: If each and every link coupled to two other links  Mechanism – Open: If it contains only two links (end ones) that are connected to only one link  Manipulator
  • 122.
  • 123.
  • 124.
    @ McGraw-Hill Education 15 Degreesof Freedom (DOF) • Number of independent (or minimum) coordinates required to fully describe pose or configuration (position + rotation) – A rigid body in 3D space has 6-DOF • Use Grubler formula (1917) for planar mechanisms • Use Kutzbach formula (1929) for spatial mechanisms
  • 125.
    @ McGraw-Hill Education 16 n= s (r  1)  c, c  . . . (5.1) i 1 c p i  Grubler-Kutzbach Criterion s : dimension of working space (Planar, s = 3; Spatial, s = 6); r : no. of rigid bodies or links in the system; p : no. of kinematic pairs or joints in the system; ci : no. of constraints imposed by each joint; c : total no. of constraints imposed by p joints; ni : relative DOF of each joint; n : DOF of the whole system.
  • 126.
    @ McGraw-Hill Education 17 Notethat, i p 1i i p 1i i p 1i nps)n(scc   i p i n1)ps(rn  . . . (5.2) ii ncs  . . . (5.3) Substituting eq. (5.2) into eq. (5.1) 
  • 127.
    @ McGraw-Hill Education 18 DOFof a Four-bar Mechanism Four-bar Mechanism, n = 3 (4  4  1) + (1 + 1 + 1 + 1) = 1 . . . (5.4) i p i n1)ps(rn 
  • 128.
    @ McGraw-Hill Education 19 Six-DOFManipulator n = 6 (7  6  1) + 6  1 = 6 . . . (5.5) DOF of a Robot Manipulator i p i n1)ps(rn 
  • 129.
    @ McGraw-Hill Education 20 Five-barmechanism n = 3 (5  5  1) + 5  1 = 2 . . . (5.6) Double parallelogram n = 3 (5  6  1) + 6  1 = 0 . . . (5.7) i p i n1)ps(rn 
  • 130.
    @ McGraw-Hill Education 21 InSummary • Links and joint were introduced • Kinematic chain and DOF were defined • Formulae for finding DOF • Examples
  • 131.
    @ McGraw-Hill Education 22 Pose Configuration • Rigid-body motion – Translation – Rotation • Translation: Three position coordinates • Rotation: Three angular coordinates • Total: Six coordinates • A fixed-coordinate. A coordinate frame on moving body  ‘Pose’ or ‘Configuration’
  • 132.
    @ McGraw-Hill Education 23 F p΄ o p U MOM V P W O X Z Y MovingFrame M with respect to Fixed frame F Pose  Position + Rotation
  • 133.
    @ McGraw-Hill Education 24            xp zp ypF][p. . . (5.8) [ ] , [ ] , and [ ] 1 0 0 0 1 0 00 1 F F Fx y z                                 . . . (5.10) Position Description p = px x + py y + pz z . . . (5.9)
  • 134.
    @ McGraw-Hill Education 25 OrientationDescription • Direction cosine representation • Euler angles representation • Euler parameters representation, etc. We will study first two only
  • 135.
    @ McGraw-Hill Education 26 u= ux x + uy y + uz z . . . (5.11a) v = vx x + vy y + vz z . . . (5.11b) w = wx x + wy y + wz z . . . (5.11c) Direction Cosine Representation Refer to Fig. 5.12 p = puu + pvv + pww . . . (5.12)
  • 136.
    @ McGraw-Hill Education 27 p= (puux + pvvx + pwwx)x + (puuy + pvvy + pwwy)y + (puuz + pvvz + pwwz)z . . . (5.13) px = uxpu + vxpv + wxpw . . . (5.14a) py = uypu + vypv + wypw . . . (5.14b) pz = uzpu + vzpv + wzpw . . . (5.14c) Substitute eqs. (5.11a-c) into eq. (5.12) [p]F = Q [p]M . . . (5.15)
  • 137.
    @ McGraw-Hill Education 28 [p]F= Q [p]M . . . (5.15)                                                             xwxvxu zwzvzu ywyvyuQpp TTT TTT TTT,][,][ x w x v x u z w z v z u y w y v y u F u p w p v p x p z p y p M .. . (5.16) uTu = vTv = wTw = 1, and uTv(vTu) = uTw(wTu) = vTw(wTv) = 0 … (5.17) Q is called Orthogonal
  • 138.
    @ McGraw-Hill Education 29 u v = w, v  w = u, and w  u = v . . . (5.18) QTQ = QQT = 1 ; det (Q) = 1; Q1 = QT . . . (5.19) Due to orthogonality
  • 139.
    @ McGraw-Hill Education 30 [, [ ] , [ ] 0 0 0 0 1 u] v w F F F Cα Sα Sα Cα                                      . . . (5.20) Example 5.6 Elementary Rotations (Fig. 5.13a)
  • 140.
    @ McGraw-Hill Education 31              100 0 0 CS SC ZQ. . . (5.21)                            CS SC CS SC XY 0 0 001 ; 0 010 0 QQ . . . (5.22)
  • 141.
    @ McGraw-Hill Education 32 pz= pw . . . (5.25) [p]F = QZ [p]M . . . (5.26) py = pu S + pv C . . . (5.24) px = pu C  pv S . . . (5.23) Example 5.8 Coordinate Transformation (Fig. 5.13b)
  • 142.
    @ McGraw-Hill Education 33 px= px C  py S . . . (5.27) py = px S + py C . . . (5.28) pz = pz . . . (5.29) Example 5.9 Vector Rotation (Fig. 5.13c) [p]F = QZ [p]F … (5.30)
  • 143.
    @ McGraw-Hill Education 34 …(5.31a) EulerAngle Representation (ZYZ)             100 0 0 Z   CS SC Q
  • 144.
    @ McGraw-Hill Education 35 …(5.31b) EulerAngle Representation (contd.)               CS SC 0 010 0 Y'Q
  • 145.
    @ McGraw-Hill Education 36            100 0 0 'Z'   CS SC Q …(5.31c) Euler Angle Representation (contd.)
  • 146.
    @ McGraw-Hill Education 37 Q= QZQY’QZ’’ . . . (5.31d)               SCCSSCCSSCCC CSSCS SSCCSCSSCCCSQ . . . (5.31e)            333231 232221 131211 qqq qqq qqq Q …(5.32a) For extraction purpose, say, input is given by ),(2tan 1323   S q S q a …(5.32b) Cannot find  when S = 0 or 
  • 147.
    @ McGraw-Hill Education 38 W.R.T.fixed frame: QZY = QYQZ =           010 001 100                         001 010 100 90090 010 90090 Y oo oo CS SC Q But, QYZ = QZQY =             001 100 010 Non-commutative Property                         100 001 010 100 09090 09090 Z oo oo CS SC Q Hence, QZY  QYZ
  • 148.
  • 149.
  • 150.
    @ McGraw-Hill Education 41 InSummary • Pose or configuration was defined • Position description was given • Orientation description was explained – Direction cosine – Euler angles • Examples were shown • Euler angle representation – 12 combinations, ZYZ shown • Non-commutative property of rotation
  • 151.
    @ McGraw-Hill Education 42 CoordinateTransformation F p΄ o p U MOM V P W O X Z Y Task: Point P is known in moving frame M. Find P in fixed frame F.
  • 152.
    @ McGraw-Hill Education 43 p= o + p . . . (5.34) [p]F = [o]F + Q[p’]M . . . (5.35)                    1 ][ 1 ][ 1 ][ T F MF poQp 0 . . . (5.36) MF ][][ pTp  . . . (5.37) Homogenous Transformation
  • 153.
    @ McGraw-Hill Education 44 TTT 1 or T1  TT . . . (5.38)           1 ][ T TT 1 0 oQQ T F . . . (5.39)              1000 1100 2010 0001 T . . . (5.40) Example 5.10 Pure Translation T: Homogenous transformation matrix (4  4) Fig. 5.19 (a)
  • 154.
    @ McGraw-Hill Education 45 .. . (5.41) Example 5.11 Pure Rotation 30 30 0 0 30 30 0 0 0 0 1 0 0 0 0 1 3 1 0 0 2 2 1 3 0 0 2 2 0 0 1 0 0 0 0 1 T o o o o C S S C                                  Fig. 5.19 (b)
  • 155.
    @ McGraw-Hill Education 46 rtTTT  . . . (5.42) 30 30 0 2 30 30 0 1 0 0 1 0 0 0 0 1 3 1 0 2 2 2 1 3 0 1 2 2 0 0 1 0 0 0 0 1 T o o o o C S S C                                 . . . (5.43) Example 5.12 General Motion Fig. 5.19 (c)
  • 156.
    @ McGraw-Hill Education 47 Likerotation matrices homogeneous transformation matrices are non-commutative, i. e., Non-commutative Property TATB  TBTA
  • 157.
    @ McGraw-Hill Education 48 Denavitand Hartenberg (DH) Parameters—Frame Allotment • Serial chain - Two links connected by revolute joint, or - Two links connected by prismatic joint
  • 158.
    @ McGraw-Hill Education 49 Connectionwith a Revolute Joint Fig. 5.23
  • 159.
  • 160.
    @ McGraw-Hill Education 51 •Let axis i denotes the axis of the joint connecting link (i 1) to link i. • A coordinate system Xi, Yi, Zi is attached to the end of the link (i 1)  not to the link i  for i = 1, . . . n+1. • Choose axis Zi along the axis of joint i, whose positive direction can be taken towards either direction of the axis.
  • 161.
    @ McGraw-Hill Education 52 •Locate the origin, Oi, at the intersection of axis Zi with the common normal to Zi  1 and Zi. Also, locate Oi on Zi at the intersection of the common normal to Zi and Zi + 1. • Choose axis Xi along the common normal to axes Zi1 and Zi with the direction from former to the later. • Choose axis Yi so as to complete a right handed frame.
  • 162.
    @ McGraw-Hill Education 53 ForNon-unique Cases • For Frame 1 that is attached to the fixed base, i.e., link 0, only the direction of axes Z1 is specified. Then O1 and X1 can be chosen arbitrarily. • For the last frame n + 1 the foregoing convention do not apply since there is no link n + 1. Thus, frame n + 1 can be arbitrarily chosen.
  • 163.
    @ McGraw-Hill Education 54 •When two consecutive axes are parallel, the common normal between them is not uniquely defined. • When two consecutive axes intersect, the direction of Xi is arbitrary. • When joint i is prismatic, only the direction of axis Zi is determined, whereas the location of Oi is arbitrary.
  • 164.
    @ McGraw-Hill Education 55 Denavit-Hartenberg(DH) Parameters • Four parameters – Joint offset (b) – Joint angle () – Link length (a) – Twist angle ()
  • 165.
    @ McGraw-Hill Education 56 •bi (Joint offset): Length of the intersections of the common normals on the joint axis Zi, i.e., Oi and Oi. It is the relative position of links i  1 and i. This is measured as the distance between Xi and Xi + 1 along Zi.
  • 166.
    @ McGraw-Hill Education 57 •i (Joint angle): Angle between the orthogonal projections of the common normals, Xi and Xi + 1, to a plane normal to the joint axes Zi. Rotation is positive when it is made counter clockwise. It is the relative angle between links i  1 and i. This is measured as the angle between Xi and Xi + 1 about Zi.
  • 167.
    @ McGraw-Hill Education 58 •ai (Link length): Length between the O’i and Oi +1. This is measured as the distance along the common normal Xi + 1 between axes Zi and Zi + 1.
  • 168.
    @ McGraw-Hill Education 59 •i (Twist angle): Angle between the orthogonal projections of joint axes, Zi and Zi+1 onto a plane normal to the common normal. This is measured as the angle between the axes, Zi and Zi + 1, about axis Xi + 1 to be taken positive when rotation is made counter clockwise.
  • 169.
    @ McGraw-Hill Education 60 VariableDH Parameters • First two parameters, bi and i, define the relative position of links i  1 and i • Last two parameters, ai and i, describe the size and shape of link i that are always constant. • Parameters, bi and i, are variable – i is variable if joint i is revolute – bi is variable if joint i is prismatic.
  • 170.
    @ McGraw-Hill Education 61 Tb=             1000 100 0010 0001 ib T =              1000 0100 00 00 ii ii CθSθ θSCθ DH Frame Transformations • Translation along Zi • Rotation about Zi
  • 171.
    @ McGraw-Hill Education 62              1000 00 00 0001 ii ii CαSα αSCα T= . . . (5.49d) Ta =             1000 0100 0010 001 ia . . . (5.49c) • Translation along Xi+1 • Rotation about Xi+1
  • 172.
    @ McGraw-Hill Education 63 Ti= TbTTaT Ti =               1000 0 iii iiiiiii iiiiiii bCαSα SθaSαCθCαCθSθ CaSαSθCαSθCθ  • Total transformation from Frame i to Frame i+1
  • 173.
    @ McGraw-Hill Education 64 Three-linkPlanar Arm Ti =              1000 0100 0 0 iiii iiii SθaCθSθ CaSθCθ • DH-parameters , for i=1,2,3 Link bi i ai i 1 0 1 (JV) a1 0 2 0 2 (JV) a2 0 3 0 3 (JV) a3 0 • Frame transformations (Homogeneous)
  • 174.
    @ McGraw-Hill Education 65 Revolute-PrismaticPlanar Arm • DH-parameters • Frame transformations (Homogeneous) Link bi i ai i 1 0 1 (JV) 0 /2 2 b2 (JV) 0 0 0o T1 =               1000 0010 00 00 11 11 CSθ SCθ T2 =             1000 100 0010 0001 2b
  • 175.
    @ McGraw-Hill Education 66 •DH-parameters • Frame transformations (Homogeneous) T1 = T2 = Link bi i ai i 1 b1 (JV) -/2 0 /2 2 0 2 (JV) a2 0              1000 010 0100 0001 1b              1000 0100 0 0 2222 2222 SθaCθSθ CaSθCθ Prismatic-Revolute Planar Arm
  • 176.
    @ McGraw-Hill Education 67 Spherical-typeArm • DH-parameters Link bi i ai i 1 0 1 (JV) 0 /2 2 b2 2 (JV) 0 /2 3 b3 (JV) 0 0 0
  • 177.
    @ McGraw-Hill Education 68 T1=              1000 0010 00 00 11 11 CθSθ SθCθ T2 =               1000 010 00 00 2 22 22 b CθSθ SθCθ T3 =             1000 100 0010 0001 3b • Frame transformations for Spherical Arm
  • 178.
    @ McGraw-Hill Education 69 InSummary • Denavit-Hartenberg (DH) parameters – DH frames – Definitions • DH frame transformations • Examples – Three-link planar arm – RP and PR arms – Spatial arm
  • 179.
    @ McGraw-Hill Education 70 Summaryof the Chapter • Links, joints, kinematic chains, and DOF were defined • Pose or configuration was explained • Denavit-Hartenberg (DH) parameters were introduced • Homegenous transformation matrix was derived • Several examples were solved
  • 180.
    @ McGraw-Hill Education 1 Kinematics –Forward kinematics – Inverse Kinematic
  • 181.
  • 182.
    @ McGraw-Hill Education 3 Kinematics •Forward kinematics – Admits unique solution – Requires simple multiplications and additions • Inverse kinematics – Admits many solutions – Requires solutions of non-linear algebraic equations
  • 183.
    @ McGraw-Hill Education 4 ForwardKinematics • Homogeneous transformation – Using DH Parameters • Forward kinematics relation T = T1 T2 …Tn … (6.1) • Alternate to 4 x 4 relation Q = Q1 Q2 …Qn … (6.2) p = a1 + Q1 a2 + … + Q1 … Qn-1 an … (6.3) 0 1 0 0 0 1 Q a T 0 i i i i i i i i i i i i i i i i i T i i i Cθ Sθ Cα Sθ Sα a C Sθ Cθ Cα Cθ Sα a Sθ Sα Cα b                 
  • 184.
    @ McGraw-Hill Education 5 ForwardKinematics (contd.) • Using 4  4 homogeneous transformations T = T1 T2 …Tn • Three-DOF Articulated arm • Three-DOF Spherical wrist • PUMA Robot (architecture) • Stanford arm
  • 185.
    @ McGraw-Hill Education 6 DHParameters of Articulated Arm Link bi i ai i 1 0 1 (JV) 0  π/2 2 0 2 (JV) a2 0 3 0 3 (JV) a3 0
  • 186.
    @ McGraw-Hill Education 7 Matricesfor Articulated Arm 1 1 1 1 1 0 1 0 0 0 0 0 1 c 0 s 0 s 0 c 0             T 2 2 2 2 2 2 2 2 2 c s 0 a c s c 0 a s 0 0 1 0 0 0 0 1             T 3 3 3 3 3 3 3 3 3 c s 0 a c s c 0 a s 0 0 1 0 0 0 0 1             T                 1000 sasa0cs )cac(ascsscs )cac(acssc-cc 233222323 2332211231231 2332211231231 )( T … (6.11)
  • 187.
    @ McGraw-Hill Education 8 DHParameters of Spherical Wrist Link bi i ai i 1 0 1(JV) 0 π/2 2 0 2(JV) 0  π/2 3 0 3(JV) 0 0
  • 188.
    @ McGraw-Hill Education 9 Matricesfor Spherical Wrist               1000 0010 0c0s 0s0c 11 11 1T                1000 0010 00 00 22 22 2 cs sc T               1000 0100 00 00 33 33 3 cs sc T ; ;                 1000 0 0 0 23232 213132131321 213132131321 csscs ssccscsscccs sccssscssccc T … (6.12)
  • 189.
    @ McGraw-Hill Education 10 DHParameters of PUMA Robot i bi i ai i 1 0 1 (JV) [0] 0 -/2 2 b2 2 (JV) [-/2] a2 0 3 0 3 (JV) [/2] a3 /2 4 b4 4 (JV) [0] 0 -/2 5 0 5 (JV) [0] 0 /2 6 b6 6 (JV) [0] 0 0
  • 190.
    @ McGraw-Hill Education 11 ForwardKinematics Results for PUMA Robot ; ;                        64 and, bba b a 100 010 001 2 2 3 pQ … (6.14)
  • 191.
    @ McGraw-Hill Education 12 DHParameters of Stanford Arm i bi i ai i 1 b1 1 (JV) [0] 0 -/2 2 b2 2 (JV) [] 0 -/2 3 b3 (JV) 0 0 0 4 b4 4 (JV) [0] 0 /2 5 0 5 (JV) [0] 0 -/2 6 0 6 (JV) [0] 0 0
  • 192.
    @ McGraw-Hill Education 13 ForwardKinematics Results for Stanford Arm ; ;                        43 and, bbb b 0 100 01-0 001- 1 2pQ … (6.15)
  • 193.
    @ McGraw-Hill Education 14 InverseKinematics • Inverse kinematics of 3-DOF RRR planar arm • Geometric solution of 3-DOF RRR arm • Inverse kinematics of 3-DOF articulated arm • Inverse kinematics of 3-DOF spherical wrist
  • 194.
    @ McGraw-Hill Education 15 InverseKinematics of 3-DOF RRR Arm 321 θθθφ  123312211 cacacapx  123312211 sasasapy  122113 cacac φapw xx  122113 sasas φapw yy  … (6.15a) … (6.15b) … (6.15c) … (6.16a) … (6.16b)
  • 195.
    @ McGraw-Hill Education 16 w2 x+ w2 y = a1 2+ a2 2 + 2 a1a2c2 21 2 2 2 1 22 2 2 aa aaww c 21   2 22 1 cs  2 = atan2 (s2, c2) . . . (6.18) 2121221 ssa)ccaa(wx  2121221y sca)sca(aw  Δ wsaw)ca(a s xy 22221 1   Δ wsaw)ca(a c yx 22221 1   22 221 2 2 2 1 2 yx wwcaaaaΔ  1 = atan2 (s1, c1) . . . (6.20c) 3 =  - 1  2 . . . (6.21) … (6.19a) … (6.19b) … (6.17a) … (6.17b,c) … (6.20a,b)
  • 196.
    @ McGraw-Hill Education 17 GeometricalSolution of RRR Arm Apply cosine theorem w2 x + w2 y = a1 2+ a2 2 + 2 a1a2c2 Same as obtained algebraically, Hence … (6.22) w2 x+w2 y = a2 1+a2 22 a1 a2 cos (2) Since, cos (  2) =  cos 2 -c2
  • 197.
    @ McGraw-Hill Education 18 JointAngles  = atan2 (wy, wx) 221 22 caacosww yx   22 12 2 2 2 1 22 1 ywxwa aaywxw cos   1 =    . . . (6.25) 2 = cos1 (c2) . . . (6.23) 21 2 2 2 1 22 2 2 aa aaww c 21   … (6.24b) … (6.24a)
  • 198.
    @ McGraw-Hill Education 19 NumericalExample                      1000 0100 0 2 1 30 2 1 1 2 3 2 3 2 5 2 3 T • An RRR planar arm (Example 6.11). Input where  = 60o, and a1 = a2 = 2 units, and a3 = 1 unit.
  • 199.
    @ McGraw-Hill Education 20 Usingeqs. (6.13b-c), c2 = 0.866, and s2 = 0.5, Next, from eqs. (6.16a-b), s1 = 0, and c1= 0.866. Finally, from eq. (6.17) , Therefore …(6.22b) The positive values of s2 was used in evaluating 2 = 30o. The use of negative value would result in : …(6.22c) 2 = 30o 1 = 0o. 3 = 30o. 1 = 0o 2 = 30o, and 3 = 30 1 = 30o 2 = -30o, and 3 = 60o
  • 200.
    @ McGraw-Hill Education 21 Three-DOFArticulated Arm • Forward kinematics relation )p,(paθ xy2tan1  )p,(paπθ xy2tan1  when 2 is equal to  2 (1), where 2 (1) is one of the solutions
  • 201.
    @ McGraw-Hill Education 22 OtherTwo Joint Solutions • With 1st joint known, other two joints are like planar RR arm )c,(satan2θ 333  2 33 32 2 3 2 2 2 z 2 y 2 x 3 c1s; aa2 aappp c    )c,(satan2θ 222  Δ ppsa)pca(a- s 2 y 2 x33z332 2   Δ psapp)ca(a c z33 2 y 2 x332 2   ; 2 2 2 x y zwhere p p p   
  • 202.
    @ McGraw-Hill Education 23 Forb20, there also exists four solutions ;
  • 203.
    @ McGraw-Hill Education 24 Three-DOFSpherical Wrist • For orientation only. Input ; 11 12 13 21 22 23 31 32 33 1 2 1 1 2 1 2 1 1 2 2 20 Q q q q q q q q q q c c s c s s c c s s s c                   
  • 204.
    @ McGraw-Hill Education 25 )q,(qaθ13231 2tan  33 2 23 2 132 2tan q,qqaθ  • Solutions are: ),( 333 12 qqatan2 • Another set of solutions exist for spherical wrist )q,q(2atan 1323 1  33 2 23 2 13 q,qq2atan 2 )q,q(tan2a 31323
  • 205.
    @ McGraw-Hill Education 26 ; •A total of two solutions for spherical wrist