Half-wave Rectifier
Bi-phase Rectifiers
Bridge Rectifiers
Operation of  Bridge Rectifiers (cont.)
Operation of  Bridge Rectifiers
Summary of Types Of Rectifiers using non-Ideal Diode(Silicon) Type of rectifier Half-wave Bi-phase (Centretap) Bridge Rectifier 1 Output Peak (V p (out) ) 2 Output Average(V AVG ) 3 Peak Inverse Voltage (PIV) 4 Output Frequency(f) Equal Input Frequency Double Input Frequency Double Input Frequency
Summary of Types Of Rectifiers using Ideal Diode Type of rectifier Half-wave Bi-phase (Centretap) Bridge Rectifier 1 Output Peak (V p (out) ) 2 Output Average(V AVG ) 3 Peak Inverse Voltage (PIV) 4 Output Frequency(f) Equal Input Frequency Double Input Frequency Double Input Frequency
For Full Wave Rectifier With Capacitance Input Filter Note: f is the output frequency
Series Diode Clippers Series Negative Clipper Series Positive Clipper
Parallel Diode Clippers Parallel Negative Clipper Parallel Positive Clipper
Biased Diode Clippers Biased Negative Clipper Biased Positive Clipper
Biased Double-Diode Clippers
Positive Clamper
Negative Clamper
Biased Clamper
Zener Diode 08. How does the zener impedance affect the voltage across the terminals of the device? 9. (a) shows the original circuit. (b) Zener diode represented using the second approximation. What is the max and min I Z  and V Z ? 10. This is a typical loaded voltage regulator. Do you know the value of I Z ?
BJT Schematic Symbols NPN  PNP
BJT Biasing
BJT Biasing NPN Biasing PNP Biasing
Common Emitter
Common Emitter It is called the  common-emitter configuration  because the emitter is common or reference to both the input and output terminals (in this case common to both the base and collector terminals).
Common Collector
Common Base
Configuration Characteristics
Current Gain The dc current gain produced by an amplifier is the ratio of output current to input current, i.e.,  In the case of a transistor operating in common emitter mode, the input current is the base current, I B , whilst the output current is the collector current, I C . (Cont.)
 DC   usually designated as  h FE  on transistor data sheets. h is  derived from an ac hybrid equivalent circuit. The subscript  FE  is derived from forward-current amplification and common-emitter configuration. Typical values of   DC   range from less than 20 to 200 or higher.
Current Gain  DC   is a very important BJT parameter.  DC   is not truly constant but varies with both collector current and with temperature. A transistor data sheet usually specifies   DC  at specific I C  values .
Current Gain If a steady bias current is superimposed with an a.c. current, this will produce a collector current which varies above and below its d.c. current value respectively. The small signal ac current gain is then given by,
Ratio of dc collector current to dc emitter current,   DC  (Common Base Mode)  DC  = I C /I E Typically, values of   DC  range from 0.95 to 0.99 or greater but it is always less than 1. The small signal ac ratio is then given by,
The relationship of   DC  and   DC  is given as,
DC Equivalent of a BJT
Output Characteristics
Cutoff
 
Midpoint Bias Without an ac signal applied to a transistor, specific values of  I C  and  V CE  exist. The  I C  and  V CE  values exist at a specific point on the dc load line.
Base Bias
Base Bias R B
Base Bias For silicon transistors,  V BE  equals 0.7V. The collector circuit is represented as a current source whose value is dependent only on the values of   DC  and  I B . Collector supply voltage variations will have little or no effect on the collector current,  I C .
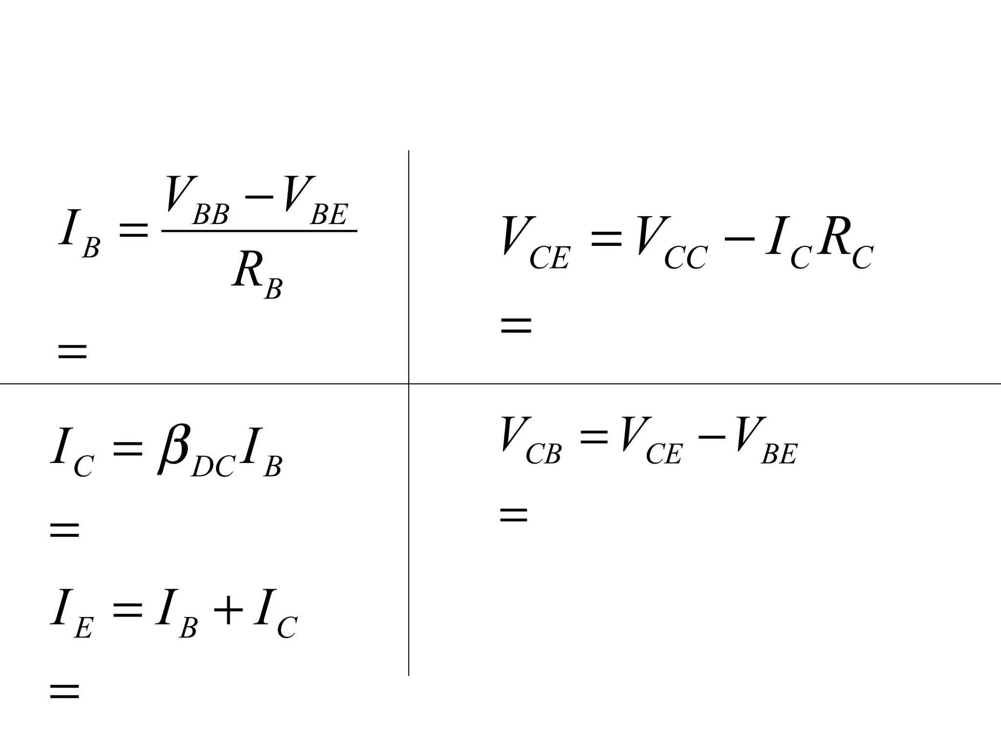
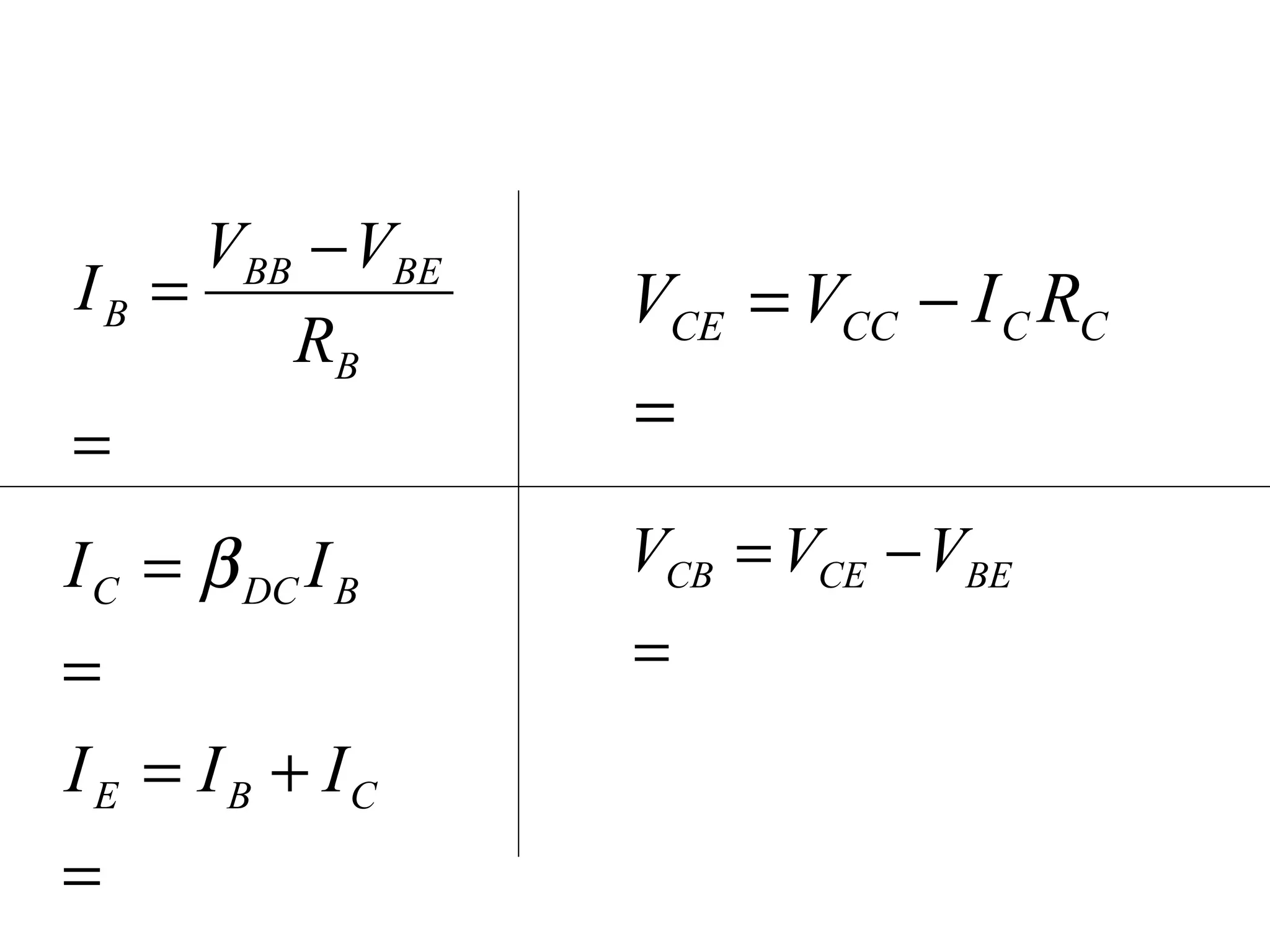
Current and Voltage Analysis
 
BE CE CB BE CE CB V V V V V V      0
In the active region (not operating in saturation or cutoff) The collector circuit acts as a current source with a high internal impedance.
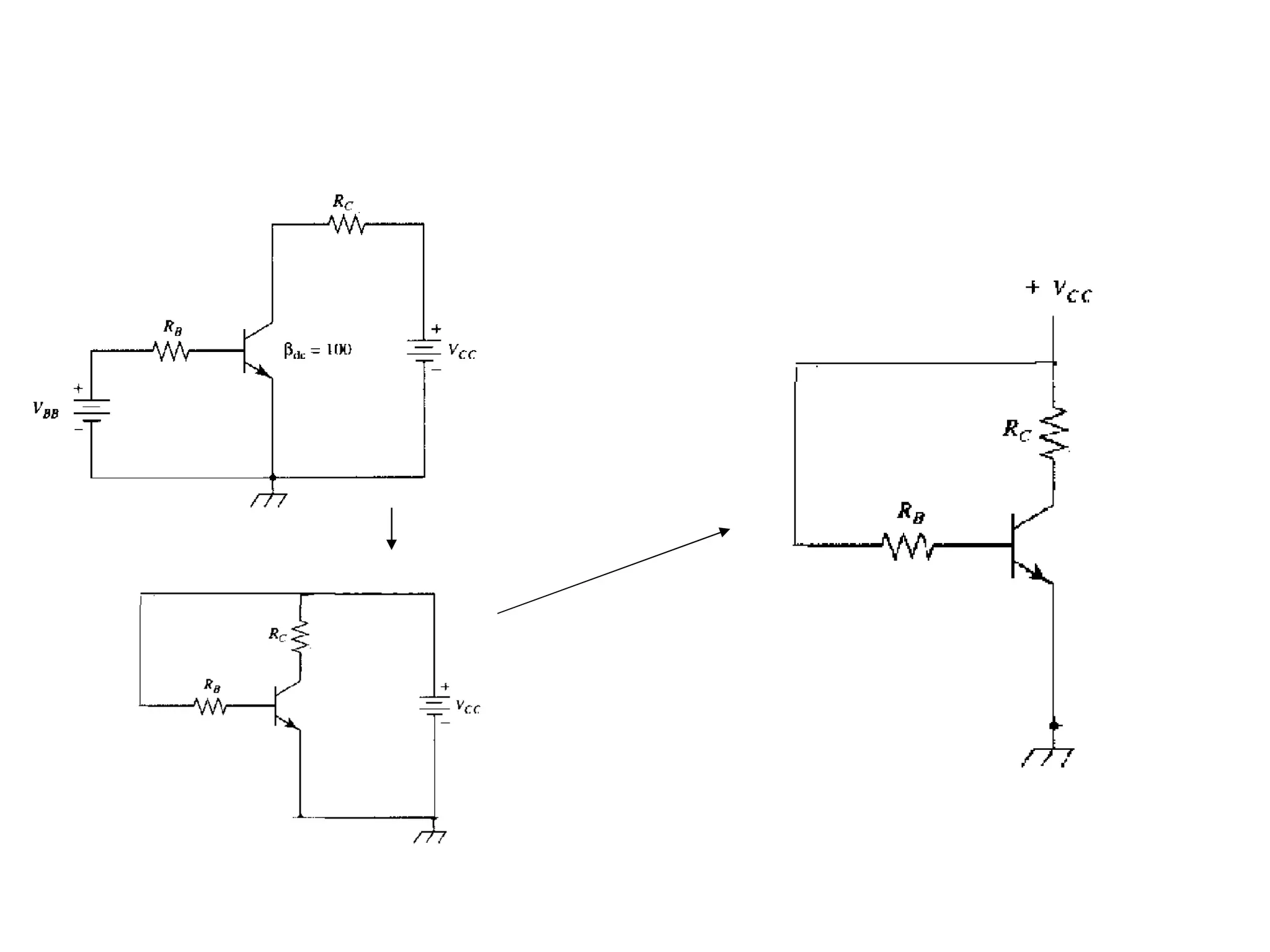
Base Bias More practical to use  V CC  as a single bias source. The base supply voltage,  V BB  has been omitted and  R B  is connected to the positive (+) terminal of  V CC .
 
 
Eg : (Cont.)
 
Base Bias For base bias,  I C  is dependant on   DC . But   DC  varies with temperature and also varies from one transistor to another. Variations in   DC  causes  I C  and  V CE   to change thus changing the  Q  point of the transistor (near or at cutoff or saturation). This might cause distortion in the output signal. Base bias provides a very unstable  Q  point.
DC Load Line The DC load line is a graph that allows us to determine all the possible combination of  I C  and  V CE  for a given amplifier.  A specific point on the DC load line gives a fixed value of  I C  and  V CE  is called the Q point. Q  stands for quiescent currents and voltages with no ac input signal.
Base Bias For silicon transistors,  V BE  equals 0.7V. The collector circuit is represented as a current source whose value is dependent only on the values of   DC  and  I B . Collector supply voltage variations will have little or no effect on the collector current,  I C .
Current and Voltage Analysis
 
BE CE CB BE CE CB V V V V V V      0
In the active region (not operating in saturation or cutoff) The collector circuit acts as a current source with a high internal impedance.
Base Bias More practical to use  V CC  as a single bias source. The base supply voltage,  V BB  has been omitted and  R B  is connected to the positive (+) terminal of  V CC .
 
 
Eg : (Cont.)
 
Voltage Divider Bias This is the most popular way to bias a transistor. Transistors biased in this manner are stable.
Current and Voltage Analysis
The dc load line The dc load line intersects the I C  axis at a the saturation point where  I C  is maximum and  V CE  is almost 0.
DC Load Line
Eg
DC Load Line for Voltage Divider Bias
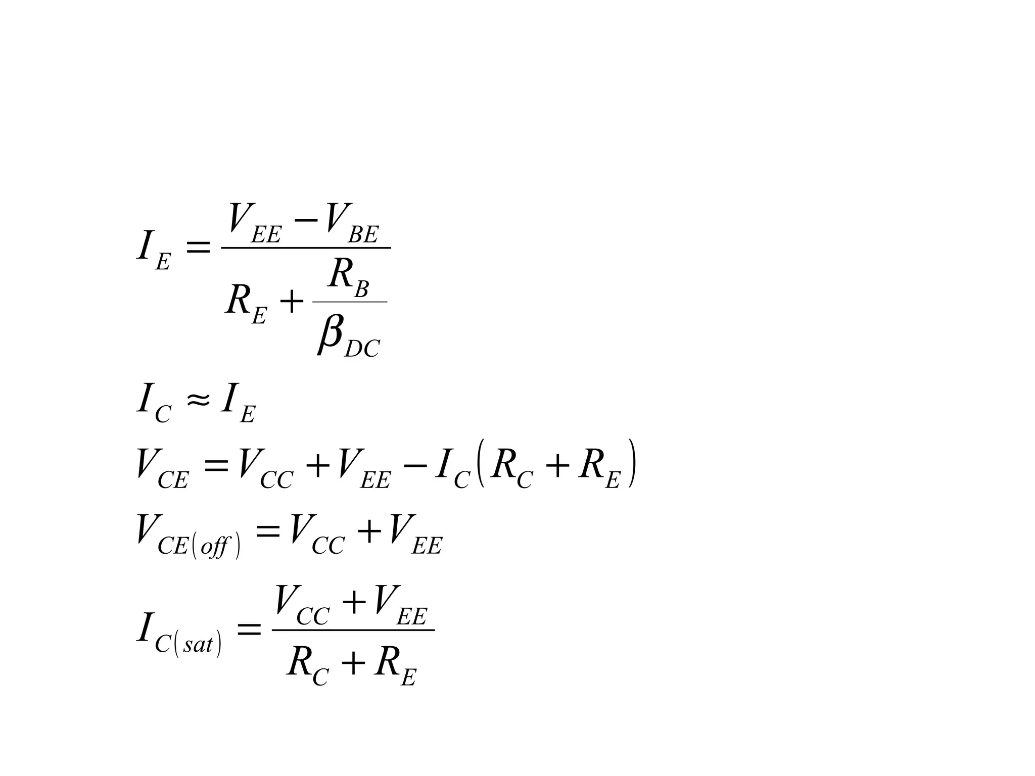
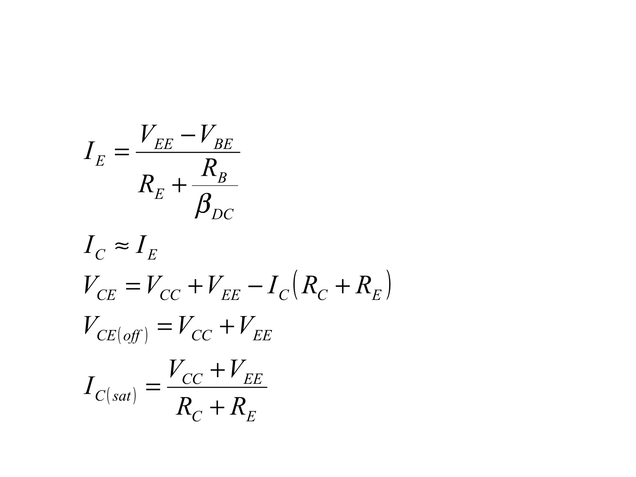
Emitter Bias If both positive and negative power supplies are available, emitter bias gives a solid Q-point that is fixed (fluctuates very little with temperature variation and transistor replacement).
Emitter Bias The emitter supply voltage,  V EE , forward-biases the emitter-base junction through the emitter resistor,  R E . The base voltage,  V B =0V, because the  I B R B  voltage drop is very small due to the small value of base current,  I B , which is typically only a few microamperes.
 
Emitter Bias If both positive and negative power supplies are available, emitter bias gives a solid Q-point that is fixed (fluctuates very little with temperature variation and transistor replacement).
Emitter Bias The emitter supply voltage,  V EE , forward-biases the emitter-base junction through the emitter resistor,  R E . The base voltage,  V B =0V, because the  I B R B  voltage drop is very small due to the small value of base current,  I B , which is typically only a few microamperes.
 
Collector Feedback Bias This type of biasing is more stable than the base bias.
Collector Feedback Bias The base resistor,  R B , is connected to the collector, rather than to the supply voltage,  V CC , as in the case with base bias. Collector-feedback bias is much more stable than the bias bias.
Collector Feedback Bias Assume   DC  increases due to temperature.  This produces an increase in the collector current,  I C , which, in turn, increases the voltage dropped across  R c . This causes the  V CE  to decrease, thus decreasing the voltage drop across the base resistor,  R B .
Collector Feedback Bias Then, this reduces the base current,  I B , which causes  I C   to decrease by an amount that almost completely offsets the original increase in the current,  I C .
Collector Feedback Bias Assume   DC   decreases. This causes the  I C  to decrease. This, in turn, causes  V CE  to increase, which then cause  I B  to increase due to the increased voltage drop across the base resistor,  R B . The increase in  I B  causes  I C  to increase. This almost completely offsets the original change in  I C  caused by the reduction in   DC.
Collector Feedback Bias R B  is usually chosen such that the  Q  point is placed in the middle of the dc load line. To satisfy this condition, choose  R B  to equal   DC  R c  . C C CC CE DC B BE CC C R I V V R R C V V I      
01/24/11 6- Summary Basic AC  h -parameters h i  - input impedance (resistance) with output short circuited. h r  - reverse voltage transfer function with input open circuited. h f  - forward current transfer function with output short circuited. h o  - Output admittance (conductance) with input open circuited.
01/24/11 6- Complete  h -parameter equivalent circuit
Common emitter h-parameter equivalent circuit 01/24/11 6- ~ h ie h re V out h fe  I b   h oe V out I b E C B
Approximate hybrid equivalent circuit 01/24/11 6- h ie h fe  I b   V out I b E C B
Approximate hybrid equivalent circuit Since  h r  is normally a relatively small quantity, its removal is approximated by  and  , resulting in a short-circuit equivalent for the feedback element as shown.  The resistance determined by 1/ h o  is often large enough to be ignored in comparison to a parallel load, permitting its replacement by an open circuit equivalent for the CE and CB models.  01/24/11 6-
Common-Emitter Fixed Bias Configuration 01/24/11 6- V I V 0 _ _ Z in Z 0 I I I o
01/24/11 6- Summary Basic AC  h -parameters h i  - input impedance (resistance) with output short circuited. h r  - reverse voltage transfer function with input open circuited. h f  - forward current transfer function with output short circuited. h o  - Output admittance (conductance) with input open circuited.
01/24/11 6- Complete  h -parameter equivalent circuit
Common emitter h-parameter equivalent circuit 01/24/11 6- ~ h ie h re V out h fe  I b   h oe V out I b E C B
Approximate hybrid equivalent circuit 01/24/11 6- h ie h fe  I b   V out I b E C B
Approximate hybrid equivalent circuit Since  h r  is normally a relatively small quantity, its removal is approximated by  and  , resulting in a short-circuit equivalent for the feedback element as shown.  The resistance determined by 1/ h o  is often large enough to be ignored in comparison to a parallel load, permitting its replacement by an open circuit equivalent for the CE and CB models.  01/24/11 6-
Common-Emitter Fixed Bias Configuration 01/24/11 6- V I V 0 _ _ Z in Z 0 I I I o
Equivalent Circuit 01/24/11 6- R B R C Input Output B E C
01/24/11 6- AC equivalent circuit v out v in i in i out R B h ie h fe i b 1/h oe R C Z i Z 0 I b I C
Z i  and Z 0  (Input Impedance and Output Impedance) 01/24/11 6- i in i out R B h ie h fe i b 1/h oe R C Z i Z 0
Voltage Gain A V 01/24/11 6- V 0 I C i out R B h ie h fe i b 1/h oe R C
01/24/11 6- V i i out R B h ie h fe i b 1/h oe R C I b V 0
01/24/11 6- The negative sign in the resulting equation for  A V  reveals that a 180 o  phase shift occurs between the input and output signals.
Current Gain A i 01/24/11 6- Assuming
Eg: Find Z in ,   Z 0 , A i  and A v 01/24/11 6- R B  = 330k  R C  = 2.7k   h fe =120 h ie =1.175k  h oe =20  A/V
Voltage Divider Bias Note that R 1  and R 2  remain part of the input circuit while R 3  is part of the output circuit. The parallel combination of R 1  and R 2  is defined by R P   01/24/11 6-
01/24/11 6- R 1 R 2 R 3 Input Output B E C
01/24/11 6- R p R 3 Input Output B E C i b i in i out *R P  = R 1  // R 2
01/24/11 6- AC equivalent circuit v in v out R p h ie h fe i b 1/h oe R 3 i in i out i b
Z i  and Z 0 01/24/11 6- i in i out R p h ie h fe i b 1/h oe R C Z i Z 0 R P  = R 1  // R 2
A V 01/24/11 6- V 0 I C i out R p h ie h fe i b 1/h oe R C
01/24/11 6- V i i out R p h ie h fe i b 1/h oe R C I b V 0
01/24/11 6-
A i 01/24/11 6-

Revision

  • 1.
  • 2.
  • 3.
  • 4.
    Operation of Bridge Rectifiers (cont.)
  • 5.
    Operation of Bridge Rectifiers
  • 6.
    Summary of TypesOf Rectifiers using non-Ideal Diode(Silicon) Type of rectifier Half-wave Bi-phase (Centretap) Bridge Rectifier 1 Output Peak (V p (out) ) 2 Output Average(V AVG ) 3 Peak Inverse Voltage (PIV) 4 Output Frequency(f) Equal Input Frequency Double Input Frequency Double Input Frequency
  • 7.
    Summary of TypesOf Rectifiers using Ideal Diode Type of rectifier Half-wave Bi-phase (Centretap) Bridge Rectifier 1 Output Peak (V p (out) ) 2 Output Average(V AVG ) 3 Peak Inverse Voltage (PIV) 4 Output Frequency(f) Equal Input Frequency Double Input Frequency Double Input Frequency
  • 8.
    For Full WaveRectifier With Capacitance Input Filter Note: f is the output frequency
  • 9.
    Series Diode ClippersSeries Negative Clipper Series Positive Clipper
  • 10.
    Parallel Diode ClippersParallel Negative Clipper Parallel Positive Clipper
  • 11.
    Biased Diode ClippersBiased Negative Clipper Biased Positive Clipper
  • 12.
  • 13.
  • 14.
  • 15.
  • 16.
    Zener Diode 08.How does the zener impedance affect the voltage across the terminals of the device? 9. (a) shows the original circuit. (b) Zener diode represented using the second approximation. What is the max and min I Z and V Z ? 10. This is a typical loaded voltage regulator. Do you know the value of I Z ?
  • 17.
  • 18.
  • 19.
    BJT Biasing NPNBiasing PNP Biasing
  • 20.
  • 21.
    Common Emitter Itis called the common-emitter configuration because the emitter is common or reference to both the input and output terminals (in this case common to both the base and collector terminals).
  • 22.
  • 23.
  • 24.
  • 25.
    Current Gain Thedc current gain produced by an amplifier is the ratio of output current to input current, i.e., In the case of a transistor operating in common emitter mode, the input current is the base current, I B , whilst the output current is the collector current, I C . (Cont.)
  • 26.
     DC usually designated as h FE on transistor data sheets. h is derived from an ac hybrid equivalent circuit. The subscript FE is derived from forward-current amplification and common-emitter configuration. Typical values of  DC range from less than 20 to 200 or higher.
  • 27.
    Current Gain DC is a very important BJT parameter.  DC is not truly constant but varies with both collector current and with temperature. A transistor data sheet usually specifies  DC at specific I C values .
  • 28.
    Current Gain Ifa steady bias current is superimposed with an a.c. current, this will produce a collector current which varies above and below its d.c. current value respectively. The small signal ac current gain is then given by,
  • 29.
    Ratio of dccollector current to dc emitter current,  DC (Common Base Mode)  DC = I C /I E Typically, values of  DC range from 0.95 to 0.99 or greater but it is always less than 1. The small signal ac ratio is then given by,
  • 30.
    The relationship of  DC and  DC is given as,
  • 31.
  • 32.
  • 33.
  • 34.
  • 35.
    Midpoint Bias Withoutan ac signal applied to a transistor, specific values of I C and V CE exist. The I C and V CE values exist at a specific point on the dc load line.
  • 36.
  • 37.
  • 38.
    Base Bias Forsilicon transistors, V BE equals 0.7V. The collector circuit is represented as a current source whose value is dependent only on the values of  DC and I B . Collector supply voltage variations will have little or no effect on the collector current, I C .
  • 39.
  • 40.
  • 41.
    BE CE CBBE CE CB V V V V V V      0
  • 42.
    In the activeregion (not operating in saturation or cutoff) The collector circuit acts as a current source with a high internal impedance.
  • 43.
    Base Bias Morepractical to use V CC as a single bias source. The base supply voltage, V BB has been omitted and R B is connected to the positive (+) terminal of V CC .
  • 44.
  • 45.
  • 46.
  • 47.
  • 48.
    Base Bias Forbase bias, I C is dependant on  DC . But  DC varies with temperature and also varies from one transistor to another. Variations in  DC causes I C and V CE to change thus changing the Q point of the transistor (near or at cutoff or saturation). This might cause distortion in the output signal. Base bias provides a very unstable Q point.
  • 49.
    DC Load LineThe DC load line is a graph that allows us to determine all the possible combination of I C and V CE for a given amplifier. A specific point on the DC load line gives a fixed value of I C and V CE is called the Q point. Q stands for quiescent currents and voltages with no ac input signal.
  • 50.
    Base Bias Forsilicon transistors, V BE equals 0.7V. The collector circuit is represented as a current source whose value is dependent only on the values of  DC and I B . Collector supply voltage variations will have little or no effect on the collector current, I C .
  • 51.
  • 52.
  • 53.
    BE CE CBBE CE CB V V V V V V      0
  • 54.
    In the activeregion (not operating in saturation or cutoff) The collector circuit acts as a current source with a high internal impedance.
  • 55.
    Base Bias Morepractical to use V CC as a single bias source. The base supply voltage, V BB has been omitted and R B is connected to the positive (+) terminal of V CC .
  • 56.
  • 57.
  • 58.
  • 59.
  • 60.
    Voltage Divider BiasThis is the most popular way to bias a transistor. Transistors biased in this manner are stable.
  • 61.
  • 62.
    The dc loadline The dc load line intersects the I C axis at a the saturation point where I C is maximum and V CE is almost 0.
  • 63.
  • 64.
  • 65.
    DC Load Linefor Voltage Divider Bias
  • 66.
    Emitter Bias Ifboth positive and negative power supplies are available, emitter bias gives a solid Q-point that is fixed (fluctuates very little with temperature variation and transistor replacement).
  • 67.
    Emitter Bias Theemitter supply voltage, V EE , forward-biases the emitter-base junction through the emitter resistor, R E . The base voltage, V B =0V, because the I B R B voltage drop is very small due to the small value of base current, I B , which is typically only a few microamperes.
  • 68.
  • 69.
    Emitter Bias Ifboth positive and negative power supplies are available, emitter bias gives a solid Q-point that is fixed (fluctuates very little with temperature variation and transistor replacement).
  • 70.
    Emitter Bias Theemitter supply voltage, V EE , forward-biases the emitter-base junction through the emitter resistor, R E . The base voltage, V B =0V, because the I B R B voltage drop is very small due to the small value of base current, I B , which is typically only a few microamperes.
  • 71.
  • 72.
    Collector Feedback BiasThis type of biasing is more stable than the base bias.
  • 73.
    Collector Feedback BiasThe base resistor, R B , is connected to the collector, rather than to the supply voltage, V CC , as in the case with base bias. Collector-feedback bias is much more stable than the bias bias.
  • 74.
    Collector Feedback BiasAssume  DC increases due to temperature. This produces an increase in the collector current, I C , which, in turn, increases the voltage dropped across R c . This causes the V CE to decrease, thus decreasing the voltage drop across the base resistor, R B .
  • 75.
    Collector Feedback BiasThen, this reduces the base current, I B , which causes I C to decrease by an amount that almost completely offsets the original increase in the current, I C .
  • 76.
    Collector Feedback BiasAssume  DC decreases. This causes the I C to decrease. This, in turn, causes V CE to increase, which then cause I B to increase due to the increased voltage drop across the base resistor, R B . The increase in I B causes I C to increase. This almost completely offsets the original change in I C caused by the reduction in  DC.
  • 77.
    Collector Feedback BiasR B is usually chosen such that the Q point is placed in the middle of the dc load line. To satisfy this condition, choose R B to equal  DC R c . C C CC CE DC B BE CC C R I V V R R C V V I      
  • 78.
    01/24/11 6- SummaryBasic AC h -parameters h i - input impedance (resistance) with output short circuited. h r - reverse voltage transfer function with input open circuited. h f - forward current transfer function with output short circuited. h o - Output admittance (conductance) with input open circuited.
  • 79.
    01/24/11 6- Complete h -parameter equivalent circuit
  • 80.
    Common emitter h-parameterequivalent circuit 01/24/11 6- ~ h ie h re V out h fe I b h oe V out I b E C B
  • 81.
    Approximate hybrid equivalentcircuit 01/24/11 6- h ie h fe I b V out I b E C B
  • 82.
    Approximate hybrid equivalentcircuit Since h r is normally a relatively small quantity, its removal is approximated by and , resulting in a short-circuit equivalent for the feedback element as shown. The resistance determined by 1/ h o is often large enough to be ignored in comparison to a parallel load, permitting its replacement by an open circuit equivalent for the CE and CB models. 01/24/11 6-
  • 83.
    Common-Emitter Fixed BiasConfiguration 01/24/11 6- V I V 0 _ _ Z in Z 0 I I I o
  • 84.
    01/24/11 6- SummaryBasic AC h -parameters h i - input impedance (resistance) with output short circuited. h r - reverse voltage transfer function with input open circuited. h f - forward current transfer function with output short circuited. h o - Output admittance (conductance) with input open circuited.
  • 85.
    01/24/11 6- Complete h -parameter equivalent circuit
  • 86.
    Common emitter h-parameterequivalent circuit 01/24/11 6- ~ h ie h re V out h fe I b h oe V out I b E C B
  • 87.
    Approximate hybrid equivalentcircuit 01/24/11 6- h ie h fe I b V out I b E C B
  • 88.
    Approximate hybrid equivalentcircuit Since h r is normally a relatively small quantity, its removal is approximated by and , resulting in a short-circuit equivalent for the feedback element as shown. The resistance determined by 1/ h o is often large enough to be ignored in comparison to a parallel load, permitting its replacement by an open circuit equivalent for the CE and CB models. 01/24/11 6-
  • 89.
    Common-Emitter Fixed BiasConfiguration 01/24/11 6- V I V 0 _ _ Z in Z 0 I I I o
  • 90.
    Equivalent Circuit 01/24/116- R B R C Input Output B E C
  • 91.
    01/24/11 6- ACequivalent circuit v out v in i in i out R B h ie h fe i b 1/h oe R C Z i Z 0 I b I C
  • 92.
    Z i and Z 0 (Input Impedance and Output Impedance) 01/24/11 6- i in i out R B h ie h fe i b 1/h oe R C Z i Z 0
  • 93.
    Voltage Gain AV 01/24/11 6- V 0 I C i out R B h ie h fe i b 1/h oe R C
  • 94.
    01/24/11 6- Vi i out R B h ie h fe i b 1/h oe R C I b V 0
  • 95.
    01/24/11 6- Thenegative sign in the resulting equation for A V reveals that a 180 o phase shift occurs between the input and output signals.
  • 96.
    Current Gain Ai 01/24/11 6- Assuming
  • 97.
    Eg: Find Zin , Z 0 , A i and A v 01/24/11 6- R B = 330k  R C = 2.7k  h fe =120 h ie =1.175k  h oe =20  A/V
  • 98.
    Voltage Divider BiasNote that R 1 and R 2 remain part of the input circuit while R 3 is part of the output circuit. The parallel combination of R 1 and R 2 is defined by R P 01/24/11 6-
  • 99.
    01/24/11 6- R1 R 2 R 3 Input Output B E C
  • 100.
    01/24/11 6- Rp R 3 Input Output B E C i b i in i out *R P = R 1 // R 2
  • 101.
    01/24/11 6- ACequivalent circuit v in v out R p h ie h fe i b 1/h oe R 3 i in i out i b
  • 102.
    Z i and Z 0 01/24/11 6- i in i out R p h ie h fe i b 1/h oe R C Z i Z 0 R P = R 1 // R 2
  • 103.
    A V 01/24/116- V 0 I C i out R p h ie h fe i b 1/h oe R C
  • 104.
    01/24/11 6- Vi i out R p h ie h fe i b 1/h oe R C I b V 0
  • 105.
  • 106.