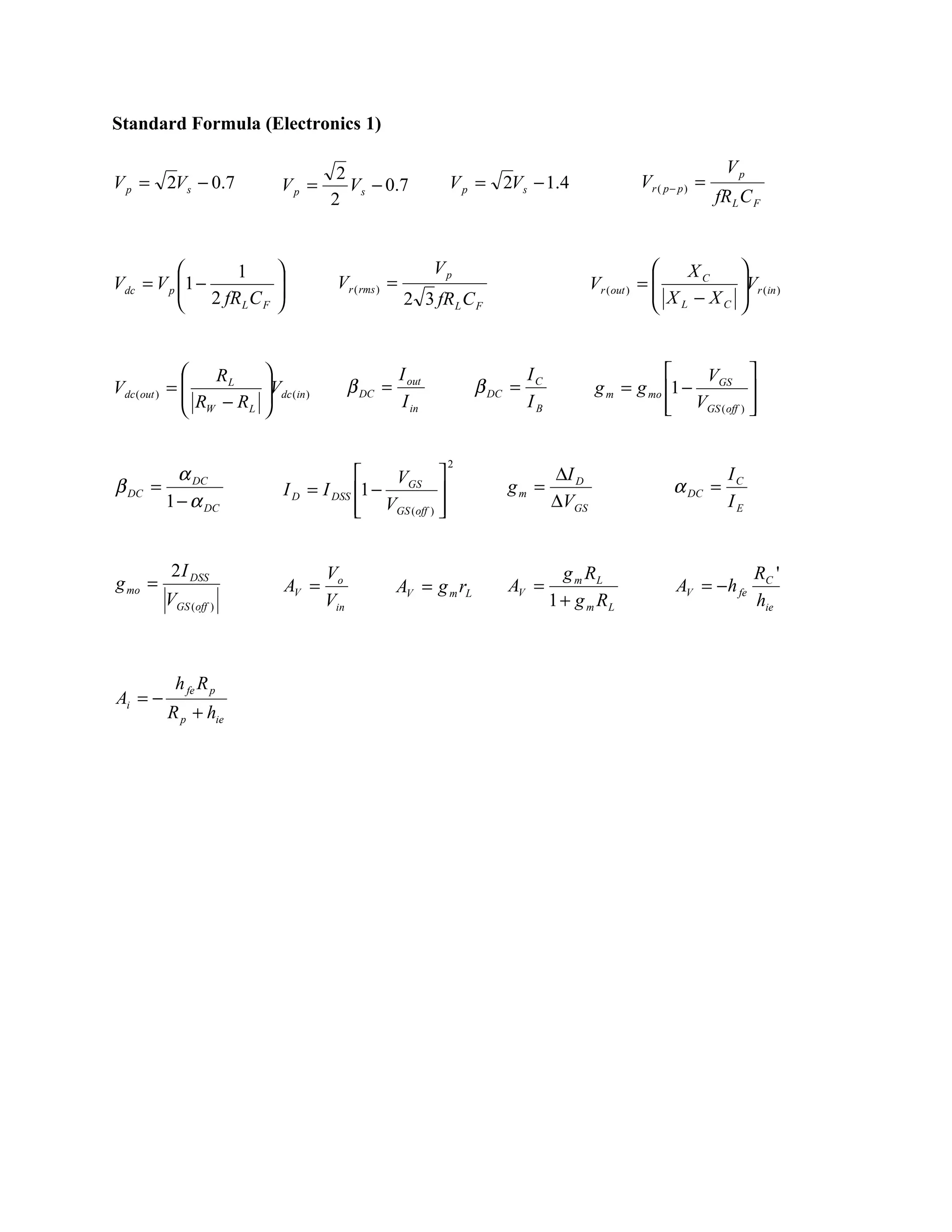
Standard Formula (Electronics 1)

                                        2                                                                         Vp
V p = 2Vs − 0.7              Vp =         V s − 0 .7            V p = 2Vs − 1.4                 Vr ( p − p ) =
                                       2                                                                         fR L C F


               1                                             Vp                                        XC         
Vdc = V p 1 −
           2 fR C          
                                       Vr ( rms ) =                                     Vr ( out ) = 
                                                                                                       X −X
                                                                                                                     Vr (in )
                                                                                                                     
               L F                                    2 3 fR L C F                                   L    C       


                 RL                                  I out                 IC                         V        
Vdc ( out ) = 
               R −R
                         Vdc ( in )
                         
                                             β DC =                 β DC =               g m = g mo 1 − GS 
               W    L                                 I in                 IB                      VGS ( off ) 
                                                                                                                 

                                                                2
           α DC                              V                                  ∆I D                             IC
β DC   =                     I D = I DSS 1 − GS                       gm =                           α DC =
         1 − α DC                         VGS (off )                            ∆VGS                             IE
                                                     


          2 I DSS                      Vo                                           g m RL                              RC '
g mo =                          AV =                  AV = g m rL       AV =                           AV = −h fe
         VGS (off )                    Vin                                        1 + g m RL                            hie



           h fe R p
Ai = −
         R p + hie

Standard formula

  • 1.
    Standard Formula (Electronics1) 2 Vp V p = 2Vs − 0.7 Vp = V s − 0 .7 V p = 2Vs − 1.4 Vr ( p − p ) = 2 fR L C F  1  Vp  XC  Vdc = V p 1 −  2 fR C   Vr ( rms ) = Vr ( out ) =   X −X Vr (in )   L F  2 3 fR L C F  L C   RL  I out IC  V  Vdc ( out ) =   R −R Vdc ( in )  β DC = β DC = g m = g mo 1 − GS   W L  I in IB  VGS ( off )    2 α DC  V  ∆I D IC β DC = I D = I DSS 1 − GS  gm = α DC = 1 − α DC  VGS (off )  ∆VGS IE   2 I DSS Vo g m RL RC ' g mo = AV = AV = g m rL AV = AV = −h fe VGS (off ) Vin 1 + g m RL hie h fe R p Ai = − R p + hie