RECENT
ADVANCES IN
RPD
N A M I T H A A P
2 N D M D S
D E P T . O F P R O S T H O D O N T I C S
CONTENTS
• Introduction
• Pros and cons of most popular alternatives
• High performance polymers
• CAD CAM in RPD
• PEEK in RPD
• Implant assisted RPDs
• Future needs in RPD
• Review of literature
• References
Many advances in
healthcare
technology
There have not been any
significant changes to how
RPDs are constructed
since the 1950s?!
After 290 years since that first metal frame
denture, innovation in RPDs seems to have
halted.
opportunity for a new
class of materials to
emerge
INTRODUCTION
need for removable prosthetics
continues to grow at a rapid rate.
By 2050, life expectancy - increase
by eight years( today’s 68.6 years
to 76.2 years)
65-and-over population is
increasing.
PROS AND CONS OF SOME OF THE MOST
POPULAR ALTERNATIVES ON THE MARKET:
• esthetically undesirable
• metallic taste
• can slowly torque teeth
• increase expense, further restorations
METALS
• prone to bacteria buildup
• low strength and creep resistance
FLEXIBLES
• sore spots in the mouth
• low impact strength, acrylic dentures are made thicker in sections, making them bulky
ACRYLIC
HIGH PERFOMANCE POLYMERS-
ULTAIRE AKP
• Only high-performance polymer currently on
the market specifically indicated for RPD
• 60% lighter than typical metal RPDs
• does not leach in water ethanol or hexane
• designed to enhance the rigidity of the
polymer to be supportive
• very long lifetime
• have some flexibility and elasticity
• clasp design is different. It’s shorter and
thicker, and it’s purposely designed to engage
the undercuts.
• bone-like and tooth-supported
Non
irritant
Non
mutagenic
Non
catatoxic
Non
pyrogenic
Non
irritant
Bio
compatible
• Most of these materials have yet to undergo the complete physical
evaluation needed to advocate their clinical use as a permanent
prosthesis
• Some of the problems encountered with these materials include
color stability, difficulty for repair, high risk for fracture, and surface
changes, but most importantly, they lack rigidity and support. In
addition, the lack of rests and other basic RPD components of
fundamental design philosophy can lead to complications
• correct maintenance protocol for these nonmetal clasp
dentures (NMCDs).
• With increased use of digital technology, these NMCDs are
more widely available because they can be directly milled
or printed without the high cost associated with metal
frameworks.
• Although the clinical use of NMCDs is increasing, they have
never been advocated to replace metal frameworks as a
definite treatment RPD because of their properties and
lack of scientific evidence.
• This may in part be due to their variance from accepted
RPD design components such as rests.
• Studies are needed to examine the impact of the increased flexibility of these prostheses on
the hard and soft tissues as well as patient satisfaction.
• New approaches to design concepts such as the possible elimination of reciprocal/bracing
arms with the use of dual flexible retentive clasps also need to be considered.
CAD CAM SYSTEMS IN RPD
• evolving to improve the accuracy and fit while reducing costs, time,
and labor
• digital files can be saved and easily reproduced without additional
clinical appointments for an impression if another prosthesis is
necessary.
• Many dental laboratory technicians are using laboratory scanners
to image the master dental cast and then using design software to
digitally design the RPD frameworks
• This process replaces the conventional technique. Instead of
fabricating an investment cast with wax patterns, a wax pattern of
the framework is printed
• printed wax pattern of the
framework is used to
traditionally cast a metal
framework.
• similar, if not better, accuracy
and fit compared with those
fabricated by traditional
methods.
• better 3D visualization for
designing framework for
students.
• RPD metal frameworks may be directly
fabricated from other digital fabrication
methods such as selective laser sintering
and milling
• manufacturing capabilities are rapidly
changing and offer engineering levels of
precision and accuracy,
• improved communications by allowing
the clinician to view and approve the
design before manufacturing
• improved alternatives to RPD materials
• restricted by its high cost and
accessibility
DIGITAL MANUFACTURING OF RPD
The 3Shape virtual surveyor enables a technician to
precisely locate the desired path of insertion when
digitally designing a removable partial denture
framework.
The block-out process is a simple click to eliminate
undesirable undercuts and locate desirable undercuts
according to depth chart on the right.
A digitally designed removable partial denture framework is virtually
created and ready to add sprues for perfactory pattern printing.
maxillary is virtually
designed as a waxed
framework with support
bar.
Sprues are placed through-out the
mandibular virtual framework
preparing for additive perfactory
pattern printing
Maxillary sprues are lined up and attached
preparing for pattern printing.
Maxillary digital RPD framework with sprues
attached on the virtual plate.
Mandibular digital RPD framework
with sprues attached on the virtual
plate.
Maxillary and mandibular digital RPD
frameworks with a virtual sprue network.
Maxillary and mandibular perfactory
printed patterns on resin plate.
The CadBlu 3D Systems
inkjet printed pattern is
another option with a solid
wax sprue base.
Envisontec perfactory maxillary partial pattern after
the sprues have been removed and smoothed leaving
the support bar for spruing to invest and then cast.
The Envisiontec maxillary
pattern printed with
perfactory EC 1000 resin.
An intaglio view of the same
maxillary 3D Systems inkjet printed
pattern.
The mandibular RPD
framework is printed using
Envisiontec additive
perfactory EC 1000 resin
The multiple Envisiontec
perfactory printed patterns
are sprued in one ring.
Casting of four perfactory RPD
framework patterns at once.This
casting technique improves
efficiency and productivity for
investing, burn-out, and casting
procedures.
The finished and polished
RPD frameworks from
digitally designed and
computer-aided
manufactured printed
patterns.
Rapid prototyping is a group of technique used to quickly fabricate a scale model of a
physical part or assembly using three-dimensional computer aided design (CAD) data.
• Additive manufacturing
• Substractive manufacturing
Frequent technologies that are adopted in dental practice
a) Stereolithography (SLA)
b) Inkjet-based system (3DP)
c) Selective laser sintering (SLS) and
d) Fused deposition modeling (FDM)
RAPID PROTOTYPING
PEEK MATERIAL
IN RPD
Can be manufactured by
1. Conventional lost wax technique
2. CAD-CAM
A DVA N TAG E S O F
P E E K R P D
High biocompatibility
■ Good mechanical properties
■ High temperature resistance
■ Chemical stability
■ Due to a 4 GPa modulus of
elasticity, it is as elastic as
bone and can reduce
stresses transferred to the
abutment teeth
• The retentive force of BioHPP clasps could be a matter of concern.
• PEEK clasps offer a lower retentive force than metal clasps.
• properly designed PEEK clasps with an undercut of 0.5 mm could provide adequate retention
for clinical use.
■ BioHPP clasps are gentler to the enamel and porcelain restorative materials than conventional
Cr-Co clasps are.
■ Clasps made of BioHPP result in healthy periodontium, especially in cases of tissue proximity,
due to the material’s low plaque affinity properties.
IMPLANT ASSISTED RPDS
• improve support, retention, and stability of the prosthesis while
maintaining alveolar height in the region where the implant is
placed.
• improve the oral health quality of life for patients.
• benefit of is significant in distal extension scenarios (Kennedy class
I and II), as it efficiently serves to improve support, creating a tooth-
supported situation (Kennedy class III).
• minimizes the potentially damaging class I lever force that is placed
on the distal abutment tooth during function.
• economical and beneficial rehabilitation that significantly improves patient satisfaction.
• The preferred location of the implants may be different depending on the
purpose they will serve and bone availability.
• If extensive augmentation procedures were required to allow implant
placement, it is questionable as to the advantage the patient would receive.
• When used to improve retention, implants can provide the advantage of
eliminating a visible clasp when placed in the anterior region of the edentulous
span
Anteriorly
placed implant
may improve
esthetics by
eliminating a
visible retainer
clasp.
• To increase support, many clinicians advocate placing an implant in the distal
region to replace the missing distal abutment and essentially convert the
situation to a Kennedy class III scenario.
• An implant that is placed parallel to the path of insertion of the RPD will have
a more favorable outcome with fewer prosthetic complications.
• more favorable stress distribution and dissipation along the peri-implant bone
with implants placed in the first molar position compared with that of second
molar and premolar area.
• Closer proximity to distal abutment tooth helped with decreasing the stress
placed on the PDL fibers of the distal abutment tooth
• In a patient-based outcomes study, Jensen and colleagues found that implants
significantly improved patient satisfaction and quality of life, and more patients
preferred the implant in the molar region over the premolar region.
• Another debate regarding IARPD prosthodontic practices is the preferred
retention system. One study compared Stern ERA (Sterngold,Attleboro, MA,
USA) and O-ring attachments in a 2D finite-element model by inducing axial
and oblique forces.
• The authors demonstrate that the ERA attachment system had more favorable
stress distribution and was therefore the preferred system in IARPD cases.
• Locator and housing systems seem to be the most widely used attachment
system in IARPD.
• though similar to the ERA, is often used in place of the ERA because of
its shorter vertical height requirement and because many dentists are
more familiar with its use for mandibular overdentures.
• A recent in vitro study evaluating and comparing the strain around
abutment teeth found ball attachments to have the lowest strain,
followed by the locator housing and the magnetic system.
• The highest strain was observed in the control group with a distal RPD
without any implants.Although the axial loading of this study is a
limitation and does not reflect the complexity of the masticatory forces,
• it provides evidence that implants improve the strain of the RPD
abutment teeth with any attachment system
• Addition silicone vinyl polysiloxane impression material when integrated with nanofillers
provide the following advantages.
a) Better flow
b) Improved hydrophilic properties
c) Lesser voids at the margins
d) High tear strength
e) Resistance to distorsion & heat
f) Snap set- reduces error by micromovement
Trade name: Nanotech Elite H-D
NANOIMPRESSION MATERIALS
NANOTECHNOLOGY
• Titanium dioxide (TiO2), Ferric oxide (Fe2O3) nanoparticles when
added as pigments in PMMA provide color of the gingiva.
• Low porosity and prevents the adherence of Candida albicans.
• Addition of carbon nanotubes provides superior strength.
NANO DENTURE BASE RESINS
NANOPARTICLE
S
PROPERTIES
Al2O3 NPs Thermal stability, flexural strength, water sorption, solubility, and biocompatibility
ZiO2 NPs Impact strength, flexural strength and radio-opacity, Compressive strength, fatigue
strength, fracture toughness and hardness as well as color properties
Zirconia nanotubes Flexural strength
Silver NP Antifungal properties,thermal conductivity, and compressive strength, non
cytotoxic, viscoelastic properties
TiO2 NPs Flexure strength, fracture toughness, and hardness, Impact strength, water
sorption, and solubility
Nano-carbon Impact strength and flexural strength.
• Possesses unique characteristics in terms of homogenicity as the material
contains nanosized inorganic fillers that are well dispersed without
agglomeration in the matrix.
• Stain resistant and harder than other commercially present denture teeth
• Wear resistant
NANO COMPOSITE DENTURETEETH
T-SCAN OCCLUSAL ANALYSIS SYSTEM
In 1987, theT-Scan Occlusal Analysis system (Tekscan, Inc) was developed
by the Chairman of Prosthodontics of Boston University at that time,
Professor William L. Maness in partnership with M.I.T.54.T-Scan System is a
computerized device that consists of
1) hand-held device with flat U-shaped pressure-measuring sensor (60 μm
thick, consists of an X-Y coordinate system with 1500 sensitive receptor
points made of conductive ink, and is subject to elastic deformation)
2) computer software
• It is designed to obtain reliable measurements of occlusal biting forces on
individual teeth by analyzing occlusal forces quantitatively.
• When the patient bites on the sensor, the electrical resistance of the conductive
sensor is lessened since the force applied compresses the particles together; this
is recorded as quantitative force data.
• Natural dentition with occlusal disturbances
• Implant placement, orthodontics
• Temporomandibular disorders, myofacial pain
• Prosthodontics (checking for high points and excessive contact locations)
• Patient education (treatment acceptance, improve longevity, enhanced comfort,
eliminate extra visits)
• Occlusal diagnosis and equilibration
APPLICATIONS
• Data acquisition is either performed directly in the patient’s mouth (intraoral) or
indirectly after making an impression and fabricating a master cast (extraoral).
DIGITAL IMPRESSIONS
There are four major systems in the market today
1) iTero by CADent
2) LAVA COS COS by 3M ESPE
3) CEREC by Sirona
4) E4D by D4D Technologies.
iTero
CEREC E4 D image
Lava COS
• Less patient discomfort
• Time-efficient
• Simplified clinical procedures
• No more plaster casts
• Better communication with the dental technician
• Better communication with patients
ADVANTAGES
REVIEW OF
LITERATUREA C C U R A C Y O F C A D - C A M S Y S T E M S F O R
R E M O V A B L E PA R T I A L D E N T U R E
F R A M E W O R K F A B R I C AT I O N : A S Y S T E M AT I C
R E V I E W
MATERIALS AND METHODS
• A literature search was conducted through Medline-PubMed, Scopus, Lilacs,
Web of Science, and Cochrane Library databases using specific keywords for
articles published up to November 2019.Three reviewers obtained data and
compared the results.All studies evaluated the framework accuracy or fit of
prostheses fabricated with conventional and digital techniques
RESULTS
• A total of 7 articles, 2 clinical studies, and 5 in vitro studies that complied with the inclusion
criteria were evaluated. One in vitro study compared indirect (extraoral) and direct (intraoral)
scanning for partially edentulous ridges and shows that digital scans were better than
conventional impressions in terms of trueness. frameworks analyzed had clinically acceptable
discrepancies (<311 μm), the material influenced the fit. Polyetheretherketone (PEEK) showed
better fit than traditional metal cast RPDs. Co-Cr alloy RPDs produced by rapid prototyping
exhibited the highest discrepancies when produced by sintering laser melting
CONCLUSION
• The results show that the digital technique for RPD frameworks is accurate. In the studies
included, the analyzed frameworks had clinically acceptable gaps, but the results were
heterogeneous among studies because the articles used different measurement methods with
small sample sizes. Few studies discussed the long-term clinical performance.The digital
technique for RPD frameworks was accurate because the misfits and mismatches found in in
vitro and clinical studies were within the acceptable clinical limit for RPDs
C A D / C A M C O N S T R U C T E D
P O LY ( E T H E R E T H E R K E T O N E )
( P E E K ) F R A M E W O R K O F
K E N N E D Y C L A S S I
R E M O V A B L E P A R T I A L
D E N T U R E : A C L I N I C A L
R E P O R T
I S L A M E . H A R B , E L S AY E D A . A B D E L -
K H A L E K & S A L A H A . H E G A Z Y
CONCLUSION
• The use of CAD/CAM technology for constructing an RPD metal-free framework resulted in a
prosthesis with adequate fit and good patient satisfaction in terms of function and esthetics.
With proper patient selection and treatment planning, milled PEEK can be considered a useful
alternative framework material for RPDs restoring Kennedy Class I edentulous patients
I M P L A N T- A S S I S T E D
R E M O V A B L E P A R T I A L
D E N T U R E : A N A P P R O A C H
T O S W I T C H K E N N E D Y
C L A S S I T O K E N N E D Y
C L A S S I I I
A R U N R A M C H A N D R A N , K A U S H A L K I S H O R
A G R A W A L , P O O R A N C H A N D ,
R A M A S H A N K E R , R A G H U W A R D AYA L S I N G H ,
A N U S A R G U P TA
CONCLUSION
• The case report describes the conversion of a tooth-mucosa
supported removable prosthesis to a tooth-implant-supported
RPD, with accompanying benefits of improved support and stability
of the prosthesis and increased patient satisfaction.This article
attempts to illustrate the scope and possibilities that
osseointegrated implants offer to prosthodontic therapy.
U S E O F A
P O LY E T H E R E T H E R K E T O N E
C L A S P R E TA I N E R F O R
R E M O V A B L E PA R T I A L
D E N T U R E : A C A S E
R E P O R T
T E T S U O I C H I K AWA , KO S U K E
K U R A H A S H I , L I P E I L I U , TA K A S H I
M AT S U DA A N D Y U I C H I I S H I DA
This case report on the PEEK clasp involved a
follow-up of short duration (two years), but
both patient and practitioner were almost
satisfied with the outcome. Few color and
texture changes were observed, reconfirming
the chemical stability and biocompatibility of
PEEK, although it has been reported that such
changes in other non metal clasp materials are
occasionally found several months after
delivery.
T H E U S E O F D I G I T A L
I M P R E S S I O N S T O F A B R I C A T E
T O O T H - S U P P O R T E D P A R T I A L
R E M O V A B L E D E N T A L
P R O S T H E S E S : A C L I N I C A L
R E P O R T
M O H A M E D M A N S O U R , E L I A N A
S A N C H E Z & C A M I L O M A C H A D O
CONCLUSION
• Impression making is a critical step in the fabrication of a partial
removable dental prosthesis (RDP).A technique is described for
making final impressions to fabricate partial RDPs for Kennedy class
III patients using a computer-aided design and computer-assisted
manufacturing digital impression system.
U S E O F I N T R A O R A L S C A N N I N G
A N D
3 - D I M E N S I O N A L P R I N T I N G I N
T H E
F A B R I C A T I O N O F A R E M O V A B L E
P A R T I A L
D E N T U R E F O R A P A T I E N T W I T H
L I M I T E D
M O U T H O P E N I N G
J I A N G W U , YA N L I , Y U M E I Z H A N G
CONCLUSION
• In this case report about a patient with a severely limited mouth opening, we
successfully used intraoral scanning, CAD, and 3D printing technologies for the
reconstruction of a digital impression and the fabrication of an RPD alloy
framework.
• Unlike the traditional method, the method we used has the potential to design
and fabricate an RPD framework.
• With improvements in the intraoral scanning system and use of the batch
method by networks in the future, this new method also may reduce
interoperator variability and increase speed and precision over those of the
traditional handcrafting and investment casting techniques.
T R U E N E S S A N D P R E C I S I O N
O F D I G I T A L I M P R E S S I O N S
O B T A I N E D U S I N G A N
I N T R A O R A L S C A N N E R
W I T H D I F F E R E N T H E A D
S I Z E I N T H E P A R T I A L L Y
E D E N T U L O U S
M A N D I B L E
H I R O N A R I H AYA M A , K E N J I F U E K I * , J U R O
WA D A C H I , N O R I Y U K I WA K A B AYA S H I
CONCLUSION
• In this study, digital impressions
taken using intraoral scanners
showed superior trueness, but
inferior precision, as compared
with conventional impressions.
• For removable partial denture
fabrication, although the accuracy
of the digital impressions is not
always better than that of the
conventional impressions, data
suggest that the use of larger
scanning heads may improve
accuracy.
CONCLUSION-
FUTURE NEEDS IN RPD
• underappreciated compared with FDPs or dental implant therapy!
• problems associated with wearing an RPD and concerns with comfort, esthetics, function, and
maintenance of oral hygiene.
• It is the clinician’s responsibility to fabricate a well-fitting RPD that maximizes support and
framework design while satisfying the patient’s realistic expectations for function and esthetics.
Maintenance and oral hygiene habits must also be emphasized.
• Even with the advent of new materials and RPD design concepts, techniques and materials used in
their fabrication process have seen minimal change.
• Therefore, RPD research more than ever needs to investigate new design principles to follow the
development of new materials such as polymer frameworks and advanced technologies including
digital design and production.
REFERENCES
• Campbell SD, Cooper L, Craddock H, Hyde TP, Nattress B, Pavitt SH, Seymour DW. Removable partial
dentures:The clinical need for innovation.The Journal of prosthetic dentistry. 2017 Sep 1;118(3):273-
80.
• Ramchandran A,Agrawal KK, Chand P, Ramashanker, Singh RD, Gupta A. Implant-assisted removable
partial denture:An approach to switch Kennedy Class I to Kennedy Class III. J Indian Prosthodont Soc
2016;16:408-11
• Ichikawa T, Kurahashi K, Liu L, Matsuda T, IshidaY. Use of a polyetheretherketone clasp retainer for
removable partial denture: a case report. Dentistry journal. 2019 Mar;7(1):4.
• Mansour M, Sanchez E, Machado C.The use of digital impressions to fabricate tooth‐supported partial
removable dental prostheses:A clinical report. Journal of Prosthodontics. 2016 Aug;25(6):495-7.
• Wu J, LiY, ZhangY. Use of intraoral scanning and 3-dimensional printing in the fabrication of a
removable partial denture for a patient with limited mouth opening.The Journal of the American
Dental Association. 2017 May 1;148(5):338-41.
• H. Hayama, et al.,Trueness and precision of digital impressions obtained using an intraoral scanner with
different head size in the partially edentulous mandible, J Prosthodont Res (2018)
THANK YOU

RECENT ADVANCES IN REMOVABLE PARTIAL DENTURES

  • 1.
    RECENT ADVANCES IN RPD N AM I T H A A P 2 N D M D S D E P T . O F P R O S T H O D O N T I C S
  • 2.
    CONTENTS • Introduction • Prosand cons of most popular alternatives • High performance polymers • CAD CAM in RPD • PEEK in RPD • Implant assisted RPDs • Future needs in RPD • Review of literature • References
  • 3.
    Many advances in healthcare technology Therehave not been any significant changes to how RPDs are constructed since the 1950s?! After 290 years since that first metal frame denture, innovation in RPDs seems to have halted. opportunity for a new class of materials to emerge INTRODUCTION need for removable prosthetics continues to grow at a rapid rate. By 2050, life expectancy - increase by eight years( today’s 68.6 years to 76.2 years) 65-and-over population is increasing.
  • 4.
    PROS AND CONSOF SOME OF THE MOST POPULAR ALTERNATIVES ON THE MARKET: • esthetically undesirable • metallic taste • can slowly torque teeth • increase expense, further restorations METALS • prone to bacteria buildup • low strength and creep resistance FLEXIBLES • sore spots in the mouth • low impact strength, acrylic dentures are made thicker in sections, making them bulky ACRYLIC
  • 5.
    HIGH PERFOMANCE POLYMERS- ULTAIREAKP • Only high-performance polymer currently on the market specifically indicated for RPD • 60% lighter than typical metal RPDs • does not leach in water ethanol or hexane • designed to enhance the rigidity of the polymer to be supportive • very long lifetime • have some flexibility and elasticity • clasp design is different. It’s shorter and thicker, and it’s purposely designed to engage the undercuts. • bone-like and tooth-supported Non irritant Non mutagenic Non catatoxic Non pyrogenic Non irritant Bio compatible
  • 6.
    • Most ofthese materials have yet to undergo the complete physical evaluation needed to advocate their clinical use as a permanent prosthesis • Some of the problems encountered with these materials include color stability, difficulty for repair, high risk for fracture, and surface changes, but most importantly, they lack rigidity and support. In addition, the lack of rests and other basic RPD components of fundamental design philosophy can lead to complications
  • 7.
    • correct maintenanceprotocol for these nonmetal clasp dentures (NMCDs). • With increased use of digital technology, these NMCDs are more widely available because they can be directly milled or printed without the high cost associated with metal frameworks. • Although the clinical use of NMCDs is increasing, they have never been advocated to replace metal frameworks as a definite treatment RPD because of their properties and lack of scientific evidence. • This may in part be due to their variance from accepted RPD design components such as rests.
  • 8.
    • Studies areneeded to examine the impact of the increased flexibility of these prostheses on the hard and soft tissues as well as patient satisfaction. • New approaches to design concepts such as the possible elimination of reciprocal/bracing arms with the use of dual flexible retentive clasps also need to be considered.
  • 9.
    CAD CAM SYSTEMSIN RPD • evolving to improve the accuracy and fit while reducing costs, time, and labor • digital files can be saved and easily reproduced without additional clinical appointments for an impression if another prosthesis is necessary. • Many dental laboratory technicians are using laboratory scanners to image the master dental cast and then using design software to digitally design the RPD frameworks • This process replaces the conventional technique. Instead of fabricating an investment cast with wax patterns, a wax pattern of the framework is printed
  • 10.
    • printed waxpattern of the framework is used to traditionally cast a metal framework. • similar, if not better, accuracy and fit compared with those fabricated by traditional methods. • better 3D visualization for designing framework for students.
  • 11.
    • RPD metalframeworks may be directly fabricated from other digital fabrication methods such as selective laser sintering and milling • manufacturing capabilities are rapidly changing and offer engineering levels of precision and accuracy, • improved communications by allowing the clinician to view and approve the design before manufacturing • improved alternatives to RPD materials • restricted by its high cost and accessibility
  • 12.
    DIGITAL MANUFACTURING OFRPD The 3Shape virtual surveyor enables a technician to precisely locate the desired path of insertion when digitally designing a removable partial denture framework. The block-out process is a simple click to eliminate undesirable undercuts and locate desirable undercuts according to depth chart on the right.
  • 13.
    A digitally designedremovable partial denture framework is virtually created and ready to add sprues for perfactory pattern printing.
  • 14.
    maxillary is virtually designedas a waxed framework with support bar. Sprues are placed through-out the mandibular virtual framework preparing for additive perfactory pattern printing
  • 15.
    Maxillary sprues arelined up and attached preparing for pattern printing. Maxillary digital RPD framework with sprues attached on the virtual plate. Mandibular digital RPD framework with sprues attached on the virtual plate. Maxillary and mandibular digital RPD frameworks with a virtual sprue network.
  • 16.
    Maxillary and mandibularperfactory printed patterns on resin plate. The CadBlu 3D Systems inkjet printed pattern is another option with a solid wax sprue base. Envisontec perfactory maxillary partial pattern after the sprues have been removed and smoothed leaving the support bar for spruing to invest and then cast.
  • 17.
    The Envisiontec maxillary patternprinted with perfactory EC 1000 resin. An intaglio view of the same maxillary 3D Systems inkjet printed pattern.
  • 18.
    The mandibular RPD frameworkis printed using Envisiontec additive perfactory EC 1000 resin The multiple Envisiontec perfactory printed patterns are sprued in one ring.
  • 19.
    Casting of fourperfactory RPD framework patterns at once.This casting technique improves efficiency and productivity for investing, burn-out, and casting procedures. The finished and polished RPD frameworks from digitally designed and computer-aided manufactured printed patterns.
  • 20.
    Rapid prototyping isa group of technique used to quickly fabricate a scale model of a physical part or assembly using three-dimensional computer aided design (CAD) data. • Additive manufacturing • Substractive manufacturing Frequent technologies that are adopted in dental practice a) Stereolithography (SLA) b) Inkjet-based system (3DP) c) Selective laser sintering (SLS) and d) Fused deposition modeling (FDM) RAPID PROTOTYPING
  • 21.
    PEEK MATERIAL IN RPD Canbe manufactured by 1. Conventional lost wax technique 2. CAD-CAM
  • 22.
    A DVA NTAG E S O F P E E K R P D High biocompatibility ■ Good mechanical properties ■ High temperature resistance ■ Chemical stability ■ Due to a 4 GPa modulus of elasticity, it is as elastic as bone and can reduce stresses transferred to the abutment teeth
  • 23.
    • The retentiveforce of BioHPP clasps could be a matter of concern. • PEEK clasps offer a lower retentive force than metal clasps. • properly designed PEEK clasps with an undercut of 0.5 mm could provide adequate retention for clinical use. ■ BioHPP clasps are gentler to the enamel and porcelain restorative materials than conventional Cr-Co clasps are. ■ Clasps made of BioHPP result in healthy periodontium, especially in cases of tissue proximity, due to the material’s low plaque affinity properties.
  • 24.
    IMPLANT ASSISTED RPDS •improve support, retention, and stability of the prosthesis while maintaining alveolar height in the region where the implant is placed. • improve the oral health quality of life for patients. • benefit of is significant in distal extension scenarios (Kennedy class I and II), as it efficiently serves to improve support, creating a tooth- supported situation (Kennedy class III). • minimizes the potentially damaging class I lever force that is placed on the distal abutment tooth during function.
  • 25.
    • economical andbeneficial rehabilitation that significantly improves patient satisfaction.
  • 26.
    • The preferredlocation of the implants may be different depending on the purpose they will serve and bone availability. • If extensive augmentation procedures were required to allow implant placement, it is questionable as to the advantage the patient would receive. • When used to improve retention, implants can provide the advantage of eliminating a visible clasp when placed in the anterior region of the edentulous span Anteriorly placed implant may improve esthetics by eliminating a visible retainer clasp.
  • 27.
    • To increasesupport, many clinicians advocate placing an implant in the distal region to replace the missing distal abutment and essentially convert the situation to a Kennedy class III scenario. • An implant that is placed parallel to the path of insertion of the RPD will have a more favorable outcome with fewer prosthetic complications. • more favorable stress distribution and dissipation along the peri-implant bone with implants placed in the first molar position compared with that of second molar and premolar area. • Closer proximity to distal abutment tooth helped with decreasing the stress placed on the PDL fibers of the distal abutment tooth
  • 28.
    • In apatient-based outcomes study, Jensen and colleagues found that implants significantly improved patient satisfaction and quality of life, and more patients preferred the implant in the molar region over the premolar region. • Another debate regarding IARPD prosthodontic practices is the preferred retention system. One study compared Stern ERA (Sterngold,Attleboro, MA, USA) and O-ring attachments in a 2D finite-element model by inducing axial and oblique forces. • The authors demonstrate that the ERA attachment system had more favorable stress distribution and was therefore the preferred system in IARPD cases. • Locator and housing systems seem to be the most widely used attachment system in IARPD.
  • 29.
    • though similarto the ERA, is often used in place of the ERA because of its shorter vertical height requirement and because many dentists are more familiar with its use for mandibular overdentures. • A recent in vitro study evaluating and comparing the strain around abutment teeth found ball attachments to have the lowest strain, followed by the locator housing and the magnetic system. • The highest strain was observed in the control group with a distal RPD without any implants.Although the axial loading of this study is a limitation and does not reflect the complexity of the masticatory forces, • it provides evidence that implants improve the strain of the RPD abutment teeth with any attachment system
  • 30.
    • Addition siliconevinyl polysiloxane impression material when integrated with nanofillers provide the following advantages. a) Better flow b) Improved hydrophilic properties c) Lesser voids at the margins d) High tear strength e) Resistance to distorsion & heat f) Snap set- reduces error by micromovement Trade name: Nanotech Elite H-D NANOIMPRESSION MATERIALS NANOTECHNOLOGY
  • 31.
    • Titanium dioxide(TiO2), Ferric oxide (Fe2O3) nanoparticles when added as pigments in PMMA provide color of the gingiva. • Low porosity and prevents the adherence of Candida albicans. • Addition of carbon nanotubes provides superior strength. NANO DENTURE BASE RESINS
  • 32.
    NANOPARTICLE S PROPERTIES Al2O3 NPs Thermalstability, flexural strength, water sorption, solubility, and biocompatibility ZiO2 NPs Impact strength, flexural strength and radio-opacity, Compressive strength, fatigue strength, fracture toughness and hardness as well as color properties Zirconia nanotubes Flexural strength Silver NP Antifungal properties,thermal conductivity, and compressive strength, non cytotoxic, viscoelastic properties TiO2 NPs Flexure strength, fracture toughness, and hardness, Impact strength, water sorption, and solubility Nano-carbon Impact strength and flexural strength.
  • 33.
    • Possesses uniquecharacteristics in terms of homogenicity as the material contains nanosized inorganic fillers that are well dispersed without agglomeration in the matrix. • Stain resistant and harder than other commercially present denture teeth • Wear resistant NANO COMPOSITE DENTURETEETH
  • 34.
    T-SCAN OCCLUSAL ANALYSISSYSTEM In 1987, theT-Scan Occlusal Analysis system (Tekscan, Inc) was developed by the Chairman of Prosthodontics of Boston University at that time, Professor William L. Maness in partnership with M.I.T.54.T-Scan System is a computerized device that consists of 1) hand-held device with flat U-shaped pressure-measuring sensor (60 μm thick, consists of an X-Y coordinate system with 1500 sensitive receptor points made of conductive ink, and is subject to elastic deformation) 2) computer software
  • 35.
    • It isdesigned to obtain reliable measurements of occlusal biting forces on individual teeth by analyzing occlusal forces quantitatively. • When the patient bites on the sensor, the electrical resistance of the conductive sensor is lessened since the force applied compresses the particles together; this is recorded as quantitative force data.
  • 37.
    • Natural dentitionwith occlusal disturbances • Implant placement, orthodontics • Temporomandibular disorders, myofacial pain • Prosthodontics (checking for high points and excessive contact locations) • Patient education (treatment acceptance, improve longevity, enhanced comfort, eliminate extra visits) • Occlusal diagnosis and equilibration APPLICATIONS
  • 38.
    • Data acquisitionis either performed directly in the patient’s mouth (intraoral) or indirectly after making an impression and fabricating a master cast (extraoral). DIGITAL IMPRESSIONS
  • 41.
    There are fourmajor systems in the market today 1) iTero by CADent 2) LAVA COS COS by 3M ESPE 3) CEREC by Sirona 4) E4D by D4D Technologies. iTero CEREC E4 D image Lava COS
  • 43.
    • Less patientdiscomfort • Time-efficient • Simplified clinical procedures • No more plaster casts • Better communication with the dental technician • Better communication with patients ADVANTAGES
  • 44.
    REVIEW OF LITERATUREA CC U R A C Y O F C A D - C A M S Y S T E M S F O R R E M O V A B L E PA R T I A L D E N T U R E F R A M E W O R K F A B R I C AT I O N : A S Y S T E M AT I C R E V I E W
  • 45.
    MATERIALS AND METHODS •A literature search was conducted through Medline-PubMed, Scopus, Lilacs, Web of Science, and Cochrane Library databases using specific keywords for articles published up to November 2019.Three reviewers obtained data and compared the results.All studies evaluated the framework accuracy or fit of prostheses fabricated with conventional and digital techniques
  • 46.
    RESULTS • A totalof 7 articles, 2 clinical studies, and 5 in vitro studies that complied with the inclusion criteria were evaluated. One in vitro study compared indirect (extraoral) and direct (intraoral) scanning for partially edentulous ridges and shows that digital scans were better than conventional impressions in terms of trueness. frameworks analyzed had clinically acceptable discrepancies (<311 μm), the material influenced the fit. Polyetheretherketone (PEEK) showed better fit than traditional metal cast RPDs. Co-Cr alloy RPDs produced by rapid prototyping exhibited the highest discrepancies when produced by sintering laser melting
  • 47.
    CONCLUSION • The resultsshow that the digital technique for RPD frameworks is accurate. In the studies included, the analyzed frameworks had clinically acceptable gaps, but the results were heterogeneous among studies because the articles used different measurement methods with small sample sizes. Few studies discussed the long-term clinical performance.The digital technique for RPD frameworks was accurate because the misfits and mismatches found in in vitro and clinical studies were within the acceptable clinical limit for RPDs
  • 48.
    C A D/ C A M C O N S T R U C T E D P O LY ( E T H E R E T H E R K E T O N E ) ( P E E K ) F R A M E W O R K O F K E N N E D Y C L A S S I R E M O V A B L E P A R T I A L D E N T U R E : A C L I N I C A L R E P O R T I S L A M E . H A R B , E L S AY E D A . A B D E L - K H A L E K & S A L A H A . H E G A Z Y
  • 52.
    CONCLUSION • The useof CAD/CAM technology for constructing an RPD metal-free framework resulted in a prosthesis with adequate fit and good patient satisfaction in terms of function and esthetics. With proper patient selection and treatment planning, milled PEEK can be considered a useful alternative framework material for RPDs restoring Kennedy Class I edentulous patients
  • 53.
    I M PL A N T- A S S I S T E D R E M O V A B L E P A R T I A L D E N T U R E : A N A P P R O A C H T O S W I T C H K E N N E D Y C L A S S I T O K E N N E D Y C L A S S I I I A R U N R A M C H A N D R A N , K A U S H A L K I S H O R A G R A W A L , P O O R A N C H A N D , R A M A S H A N K E R , R A G H U W A R D AYA L S I N G H , A N U S A R G U P TA
  • 55.
    CONCLUSION • The casereport describes the conversion of a tooth-mucosa supported removable prosthesis to a tooth-implant-supported RPD, with accompanying benefits of improved support and stability of the prosthesis and increased patient satisfaction.This article attempts to illustrate the scope and possibilities that osseointegrated implants offer to prosthodontic therapy.
  • 56.
    U S EO F A P O LY E T H E R E T H E R K E T O N E C L A S P R E TA I N E R F O R R E M O V A B L E PA R T I A L D E N T U R E : A C A S E R E P O R T T E T S U O I C H I K AWA , KO S U K E K U R A H A S H I , L I P E I L I U , TA K A S H I M AT S U DA A N D Y U I C H I I S H I DA
  • 59.
    This case reporton the PEEK clasp involved a follow-up of short duration (two years), but both patient and practitioner were almost satisfied with the outcome. Few color and texture changes were observed, reconfirming the chemical stability and biocompatibility of PEEK, although it has been reported that such changes in other non metal clasp materials are occasionally found several months after delivery.
  • 60.
    T H EU S E O F D I G I T A L I M P R E S S I O N S T O F A B R I C A T E T O O T H - S U P P O R T E D P A R T I A L R E M O V A B L E D E N T A L P R O S T H E S E S : A C L I N I C A L R E P O R T M O H A M E D M A N S O U R , E L I A N A S A N C H E Z & C A M I L O M A C H A D O
  • 62.
    CONCLUSION • Impression makingis a critical step in the fabrication of a partial removable dental prosthesis (RDP).A technique is described for making final impressions to fabricate partial RDPs for Kennedy class III patients using a computer-aided design and computer-assisted manufacturing digital impression system.
  • 63.
    U S EO F I N T R A O R A L S C A N N I N G A N D 3 - D I M E N S I O N A L P R I N T I N G I N T H E F A B R I C A T I O N O F A R E M O V A B L E P A R T I A L D E N T U R E F O R A P A T I E N T W I T H L I M I T E D M O U T H O P E N I N G J I A N G W U , YA N L I , Y U M E I Z H A N G
  • 66.
    CONCLUSION • In thiscase report about a patient with a severely limited mouth opening, we successfully used intraoral scanning, CAD, and 3D printing technologies for the reconstruction of a digital impression and the fabrication of an RPD alloy framework. • Unlike the traditional method, the method we used has the potential to design and fabricate an RPD framework. • With improvements in the intraoral scanning system and use of the batch method by networks in the future, this new method also may reduce interoperator variability and increase speed and precision over those of the traditional handcrafting and investment casting techniques.
  • 67.
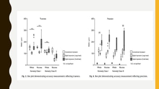
    T R UE N E S S A N D P R E C I S I O N O F D I G I T A L I M P R E S S I O N S O B T A I N E D U S I N G A N I N T R A O R A L S C A N N E R W I T H D I F F E R E N T H E A D S I Z E I N T H E P A R T I A L L Y E D E N T U L O U S M A N D I B L E H I R O N A R I H AYA M A , K E N J I F U E K I * , J U R O WA D A C H I , N O R I Y U K I WA K A B AYA S H I
  • 71.
    CONCLUSION • In thisstudy, digital impressions taken using intraoral scanners showed superior trueness, but inferior precision, as compared with conventional impressions. • For removable partial denture fabrication, although the accuracy of the digital impressions is not always better than that of the conventional impressions, data suggest that the use of larger scanning heads may improve accuracy.
  • 72.
    CONCLUSION- FUTURE NEEDS INRPD • underappreciated compared with FDPs or dental implant therapy! • problems associated with wearing an RPD and concerns with comfort, esthetics, function, and maintenance of oral hygiene. • It is the clinician’s responsibility to fabricate a well-fitting RPD that maximizes support and framework design while satisfying the patient’s realistic expectations for function and esthetics. Maintenance and oral hygiene habits must also be emphasized. • Even with the advent of new materials and RPD design concepts, techniques and materials used in their fabrication process have seen minimal change. • Therefore, RPD research more than ever needs to investigate new design principles to follow the development of new materials such as polymer frameworks and advanced technologies including digital design and production.
  • 73.
    REFERENCES • Campbell SD,Cooper L, Craddock H, Hyde TP, Nattress B, Pavitt SH, Seymour DW. Removable partial dentures:The clinical need for innovation.The Journal of prosthetic dentistry. 2017 Sep 1;118(3):273- 80. • Ramchandran A,Agrawal KK, Chand P, Ramashanker, Singh RD, Gupta A. Implant-assisted removable partial denture:An approach to switch Kennedy Class I to Kennedy Class III. J Indian Prosthodont Soc 2016;16:408-11 • Ichikawa T, Kurahashi K, Liu L, Matsuda T, IshidaY. Use of a polyetheretherketone clasp retainer for removable partial denture: a case report. Dentistry journal. 2019 Mar;7(1):4. • Mansour M, Sanchez E, Machado C.The use of digital impressions to fabricate tooth‐supported partial removable dental prostheses:A clinical report. Journal of Prosthodontics. 2016 Aug;25(6):495-7. • Wu J, LiY, ZhangY. Use of intraoral scanning and 3-dimensional printing in the fabrication of a removable partial denture for a patient with limited mouth opening.The Journal of the American Dental Association. 2017 May 1;148(5):338-41. • H. Hayama, et al.,Trueness and precision of digital impressions obtained using an intraoral scanner with different head size in the partially edentulous mandible, J Prosthodont Res (2018)
  • 74.