IN THE NAME OF ALLAH THE
MOST GRACIOUS AND THE MOST
MERCIFUL
PRESENTATION
DIFFERENTIAL EQUATIONS
•Submitted To:
• Sir Tahir Usman
•Submitted By:
• Muhammad Abdullah
•Roll No. And Section:
• 2K17-CHE-202 (c)
Radioactivity
Radioactive decay (also known as nuclear
decay or radioactivity) is the process by which an
unstable atomic nucleus loses energy (in terms of mass in
its rest frame) by emitting radiations, such as an alpha
particles, beta particles with neutrino only a neutrino in
the case of electron capture, gamma ray , or electron in
the case of internal conversion. A material containing
such unstable nuclei is considered radioactive.
Example :
Experiments show that radioactive substances
decomposes at a rate proportional to the amount present. Starting
with a given amount of substance , say, 2 grams, at a certain time ,
say, it t=0 , what can be said about the amount available at a later
time?
Solution:
We denote by y(t) the amount of substance still
present at time t. The rate of change is dy/dt. According to the physically
governing the process of radiation, dy/dt is proportional to y:
⇒
𝑑𝑦
𝑑𝑡
= 𝑘𝑦
Hence y is the unknown function, depending on t. The constant k is a definite physical constant who se numerical
value is known for various radioactive substances. (For example, in the case of radium 88Ra226 we have
)
⇒
𝑑𝑦
𝑦
= 𝑘𝑑𝑡
⇒
𝑑𝑦
𝑦
= 𝑘 𝑑𝑡
⇒ ln𝑦 = 𝑘𝑡 + 𝑐1
⇒ 𝑒ln𝑦 = 𝑒 𝑘𝑡 + 𝑒 𝑐1
⇒ 𝑦(𝑡) = 𝑐𝑒 𝑘𝑡
−−−− − (1
𝐴𝑠 𝑖𝑛𝑖𝑡𝑖𝑎𝑙 𝑐𝑜𝑛𝑑𝑖𝑡𝑖𝑜𝑛 𝑖𝑠 𝑦(0) = 2
𝐵𝑦 (1) 𝐵𝑒𝑐𝑜𝑚𝑒𝑠
⇒ 𝑦(0) = 𝑐𝑒 )𝑘(0
= 2 ⇒ 𝑐 = 2
⇒ 𝑆𝑜, 𝑦(𝑡) = 2𝑒 𝑘𝑡
𝑘 = −1.4 × 10−11
𝑆𝑒𝑐−1
𝐶ℎ𝑒𝑐𝑘𝑖𝑛𝑔
⇒
𝑑𝑦
𝑑𝑡
= 2𝑘𝑒 𝑘𝑡 = 𝑘𝑦
𝑎𝑛𝑑 ⇒ 𝑦(0) = 2𝑒0 = 2
𝑆𝑜 𝑡ℎ𝑒 𝑓𝑢𝑛𝑐𝑡𝑖𝑜𝑛 𝑠𝑎𝑡𝑖𝑠𝑓𝑖𝑒𝑠 𝑡ℎ𝑒 𝑖𝑛𝑖𝑡𝑖𝑎𝑙 𝑐𝑜𝑛𝑑𝑖𝑡𝑖𝑜𝑛
A differential equation togather with
an initial condition, as in our example,
is called Initial Value Problem. With x
as the independent variable (instead
of t) it is of the form
'
( , ), ( )o oy f x y y x y  
HALF LIFE:-
Half-life (symbol t1⁄2) is the time required for a quantity to
reduce to half its initial value. The term is commonly used
in nuclear physics to describe how quickly unstable atoms
undergo, or how long stable atoms survive, radioactive
decay. The term is also used more generally to
characterize any type of exponential or non-
exponential decay. For example, the medical sciences
refer to the biological half-life of drugs and other
chemicals in the human body. The converse of half-life
is doubling time.
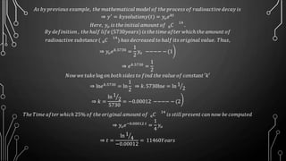
𝐴𝑠 𝑏𝑦 𝑝𝑟𝑒𝑣𝑖𝑜𝑢𝑠 𝑒𝑥𝑎𝑚𝑝𝑙𝑒, 𝑡ℎ𝑒 𝑚𝑎𝑡ℎ𝑒𝑚𝑎𝑡𝑖𝑐𝑎𝑙 mod𝑒𝑙 𝑜𝑓 𝑡ℎ𝑒 𝑝𝑟𝑜𝑐𝑒𝑠𝑠 𝑜𝑓 𝑟𝑎𝑑𝑖𝑜𝑎𝑐𝑡𝑖𝑣𝑒 𝑑𝑒𝑐𝑎𝑦 𝑖𝑠
⇒ 𝑦′ = 𝑘𝑦𝑠𝑜𝑙𝑢𝑡𝑖𝑜𝑛𝑦(𝑡) = 𝑦𝑜 𝑒 𝑘𝑡
𝐻𝑒𝑟𝑒, 𝑦𝑜 𝑖𝑠 𝑡ℎ𝑒 𝑖𝑛𝑖𝑡𝑖𝑎𝑙 𝑎𝑚𝑜𝑢𝑛𝑡 𝑜𝑓 6 𝐶
14
.
𝐵𝑦 𝑑𝑒𝑓𝑖𝑛𝑖𝑡𝑖𝑜𝑛 , 𝑡ℎ𝑒 ℎ𝑎𝑙𝑓 𝑙𝑖𝑓𝑒 (5730𝑦𝑒𝑎𝑟𝑠) 𝑖𝑠 𝑡ℎ𝑒 𝑡𝑖𝑚𝑒 𝑎𝑓𝑡𝑒𝑟 𝑤ℎ𝑖𝑐ℎ 𝑡ℎ𝑒 𝑎𝑚𝑜𝑢𝑛𝑡 𝑜𝑓
𝑟𝑎𝑑𝑖𝑜𝑎𝑐𝑡𝑖𝑣𝑒 𝑠𝑢𝑏𝑠tan𝑐𝑒 ( 6 𝐶
14
) ℎ𝑎𝑠 𝑑𝑒𝑐𝑟𝑒𝑎𝑠𝑒𝑑 𝑡𝑜 ℎ𝑎𝑙𝑓 𝑖𝑡𝑠 𝑜𝑟𝑖𝑔𝑖𝑛𝑎𝑙 𝑣𝑎𝑙𝑢𝑒. 𝑇ℎ𝑢𝑠,
⇒ 𝑦𝑜 𝑒 𝑘.5730
=
1
2
𝑦𝑜 −−−− − (1
⇒ 𝑒 𝑘.5730
=
1
2
𝑁𝑜𝑤 𝑤𝑒 𝑡𝑎𝑘𝑒 log 𝑜𝑛 𝑏𝑜𝑡ℎ 𝑠𝑖𝑑𝑒𝑠 𝑡𝑜 𝑓𝑖𝑛𝑑 𝑡ℎ𝑒 𝑣𝑎𝑙𝑢𝑒 𝑜𝑓 𝑐𝑜𝑛𝑠tan𝑡 ′𝑘′
⇒ ln𝑒 𝑘.5730 = ln
1
2
⇒ 𝑘. 5730ln𝑒 = ln 1
2
⇒ 𝑘 =
ln 1
2
5730
= −0.00012 −−−− − (2
𝑇ℎ𝑒 𝑇𝑖𝑚𝑒 𝑎𝑓𝑡𝑒𝑟 𝑤ℎ𝑖𝑐ℎ 25% 𝑜𝑓 𝑡ℎ𝑒 𝑜𝑟𝑖𝑔𝑖𝑛𝑎𝑙 𝑎𝑚𝑜𝑢𝑛𝑡 𝑜𝑓 6 𝐶
14
𝑖𝑠 𝑠𝑡𝑖𝑙𝑙 𝑝𝑟𝑒𝑠𝑒𝑛𝑡 𝑐𝑎𝑛 𝑛𝑜𝑤 𝑏𝑒 𝑐𝑜𝑚𝑝𝑢𝑡𝑒𝑑
⇒ 𝑦𝑜 𝑒−0.00012 𝑡 =
1
4
𝑦𝑜
⇒ 𝑡 =
ln 1
4
−0.00012
= 11460𝑌𝑒𝑎𝑟𝑠
EXAMPLE : Mixing Problem
The tank in the figure contains 200gal of water in which 40
lb of salts are dissolved. Five gal of brine, each containing 2 lb of
dissolved salts, run into the tank per minute, and the mixture, kept
uniform by stirring, runs out at the same rate. Find the amount of salt
y(t) in the tank at any time t.
Solution:
)𝑇ℎ𝑒 𝑡𝑖𝑚𝑒 𝑟𝑎𝑡𝑒 𝑜𝑓 𝑐ℎ𝑎𝑛𝑔𝑒 𝑜𝑓 𝑦′
= 𝑑𝑦 𝑑𝑡 𝑜𝑓 𝑦(𝑡
𝑒𝑞𝑢𝑎𝑙𝑠 𝑡ℎ𝑒 inf𝑙𝑜𝑤 min𝑢𝑠 𝑡ℎ𝑒 𝑜𝑢𝑡𝑓𝑙𝑜𝑤. 𝑇ℎ𝑒 inf𝑙𝑜𝑤
𝑖𝑠 10 𝑙 𝑏 min (5𝑔𝑎𝑙 𝑜𝑓 𝑏𝑟𝑖𝑛𝑒, 𝑒𝑎𝑐ℎ 𝑐𝑜𝑛𝑡𝑎𝑖𝑛𝑖𝑛𝑔 2𝑙𝑏). 𝑊𝑒 det𝑒𝑟min𝑒 𝑡ℎ𝑒 𝑜𝑢𝑡𝑓𝑙𝑜𝑤
𝑦(𝑡) 𝑖𝑠 𝑡ℎ𝑒 𝑡𝑜𝑡𝑎𝑙 𝑎𝑚𝑜𝑢𝑛𝑡 𝑜𝑓 𝑠𝑎𝑙𝑡 𝑖𝑛 𝑡ℎ𝑒 tan𝑘. 𝑇ℎ𝑒 tan𝑘 𝑎𝑙𝑤𝑎𝑦𝑠 𝑐𝑜𝑛𝑡𝑎𝑖𝑛 200𝑔𝑎𝑙
𝑏𝑒𝑐𝑎𝑢𝑠𝑒 5𝑔𝑎𝑙 𝑓𝑙𝑜𝑤 𝑖𝑛 𝑎𝑛𝑑 5𝑔𝑎𝑙 𝑓𝑙𝑜𝑤 𝑜𝑢𝑡 𝑝𝑒𝑟 min. 𝑇ℎ𝑢𝑠 1 𝑔𝑎𝑙 𝑐𝑜𝑛𝑡𝑎𝑖𝑛𝑠 𝑦(𝑡 ) 200
𝑜𝑓 𝑠𝑎𝑙𝑡. 𝐻𝑒𝑛𝑐𝑒 𝑡ℎ𝑒 5 𝑜𝑢𝑡𝑓𝑙𝑜𝑤 𝑐𝑜𝑛𝑡𝑎𝑖𝑛 5𝑦(𝑡 ) 200 = 𝑦(𝑡 ) 40 = 0.025𝑦(𝑡) 𝑙𝑏 𝑜𝑓 𝑠𝑎𝑙𝑡.
⇒ 𝑦′ = 𝑠𝑎𝑙𝑡 inf𝑙𝑜𝑤 𝑟𝑎𝑡𝑒 − 𝑠𝑎𝑙𝑡 𝑜𝑢𝑡𝑓𝑙𝑜𝑤 𝑟𝑎𝑡𝑒
⇒ 𝑦′
= 10 − 0.025𝑦
⇒ 𝑦′ = −0.025(𝑦 − 400) 𝑡ℎ𝑢𝑠 ⇒
𝑑𝑦
𝑦 − 400
= −0.025𝑑𝑡
𝐴𝑝𝑝𝑙𝑦 int𝑒𝑔𝑟𝑎𝑡𝑖𝑜𝑛
⇒ ln|𝑦 − 400| = −0.025𝑡 + 𝑐
𝑇𝑎𝑘𝑖𝑛𝑔 exp𝑜𝑛𝑒𝑛𝑡𝑖𝑎𝑙
⇒ 𝑦 − 400 = 𝑐𝑒−0.025𝑡
𝐴𝑠 𝑖𝑛𝑖𝑡𝑖𝑎𝑙 𝑐𝑜𝑛𝑑𝑖𝑡𝑖𝑜𝑛 𝑖𝑠 𝑦(0) = 40
⇒ 𝑦(0) − 400 = 40 − 400 = −360 = 𝑐
𝐻𝑒𝑛𝑐𝑒 𝑡ℎ𝑒 𝑎𝑚𝑜𝑢𝑛𝑡 𝑜𝑓 𝑠𝑎𝑙𝑡 𝑖𝑛 𝑡ℎ𝑒 tan𝑘
⇒ 𝑦(𝑡) = 400 − 360𝑒−0.025𝑡
𝑙𝑏
Thank you

Radioactive and Half life

  • 1.
    IN THE NAMEOF ALLAH THE MOST GRACIOUS AND THE MOST MERCIFUL
  • 2.
  • 3.
    •Submitted To: • SirTahir Usman •Submitted By: • Muhammad Abdullah •Roll No. And Section: • 2K17-CHE-202 (c)
  • 4.
    Radioactivity Radioactive decay (alsoknown as nuclear decay or radioactivity) is the process by which an unstable atomic nucleus loses energy (in terms of mass in its rest frame) by emitting radiations, such as an alpha particles, beta particles with neutrino only a neutrino in the case of electron capture, gamma ray , or electron in the case of internal conversion. A material containing such unstable nuclei is considered radioactive.
  • 5.
    Example : Experiments showthat radioactive substances decomposes at a rate proportional to the amount present. Starting with a given amount of substance , say, 2 grams, at a certain time , say, it t=0 , what can be said about the amount available at a later time? Solution: We denote by y(t) the amount of substance still present at time t. The rate of change is dy/dt. According to the physically governing the process of radiation, dy/dt is proportional to y:
  • 6.
    ⇒ 𝑑𝑦 𝑑𝑡 = 𝑘𝑦 Hence yis the unknown function, depending on t. The constant k is a definite physical constant who se numerical value is known for various radioactive substances. (For example, in the case of radium 88Ra226 we have ) ⇒ 𝑑𝑦 𝑦 = 𝑘𝑑𝑡 ⇒ 𝑑𝑦 𝑦 = 𝑘 𝑑𝑡 ⇒ ln𝑦 = 𝑘𝑡 + 𝑐1 ⇒ 𝑒ln𝑦 = 𝑒 𝑘𝑡 + 𝑒 𝑐1 ⇒ 𝑦(𝑡) = 𝑐𝑒 𝑘𝑡 −−−− − (1 𝐴𝑠 𝑖𝑛𝑖𝑡𝑖𝑎𝑙 𝑐𝑜𝑛𝑑𝑖𝑡𝑖𝑜𝑛 𝑖𝑠 𝑦(0) = 2 𝐵𝑦 (1) 𝐵𝑒𝑐𝑜𝑚𝑒𝑠 ⇒ 𝑦(0) = 𝑐𝑒 )𝑘(0 = 2 ⇒ 𝑐 = 2 ⇒ 𝑆𝑜, 𝑦(𝑡) = 2𝑒 𝑘𝑡 𝑘 = −1.4 × 10−11 𝑆𝑒𝑐−1
  • 7.
    𝐶ℎ𝑒𝑐𝑘𝑖𝑛𝑔 ⇒ 𝑑𝑦 𝑑𝑡 = 2𝑘𝑒 𝑘𝑡= 𝑘𝑦 𝑎𝑛𝑑 ⇒ 𝑦(0) = 2𝑒0 = 2 𝑆𝑜 𝑡ℎ𝑒 𝑓𝑢𝑛𝑐𝑡𝑖𝑜𝑛 𝑠𝑎𝑡𝑖𝑠𝑓𝑖𝑒𝑠 𝑡ℎ𝑒 𝑖𝑛𝑖𝑡𝑖𝑎𝑙 𝑐𝑜𝑛𝑑𝑖𝑡𝑖𝑜𝑛 A differential equation togather with an initial condition, as in our example, is called Initial Value Problem. With x as the independent variable (instead of t) it is of the form ' ( , ), ( )o oy f x y y x y  
  • 8.
    HALF LIFE:- Half-life (symbolt1⁄2) is the time required for a quantity to reduce to half its initial value. The term is commonly used in nuclear physics to describe how quickly unstable atoms undergo, or how long stable atoms survive, radioactive decay. The term is also used more generally to characterize any type of exponential or non- exponential decay. For example, the medical sciences refer to the biological half-life of drugs and other chemicals in the human body. The converse of half-life is doubling time.
  • 10.
    𝐴𝑠 𝑏𝑦 𝑝𝑟𝑒𝑣𝑖𝑜𝑢𝑠𝑒𝑥𝑎𝑚𝑝𝑙𝑒, 𝑡ℎ𝑒 𝑚𝑎𝑡ℎ𝑒𝑚𝑎𝑡𝑖𝑐𝑎𝑙 mod𝑒𝑙 𝑜𝑓 𝑡ℎ𝑒 𝑝𝑟𝑜𝑐𝑒𝑠𝑠 𝑜𝑓 𝑟𝑎𝑑𝑖𝑜𝑎𝑐𝑡𝑖𝑣𝑒 𝑑𝑒𝑐𝑎𝑦 𝑖𝑠 ⇒ 𝑦′ = 𝑘𝑦𝑠𝑜𝑙𝑢𝑡𝑖𝑜𝑛𝑦(𝑡) = 𝑦𝑜 𝑒 𝑘𝑡 𝐻𝑒𝑟𝑒, 𝑦𝑜 𝑖𝑠 𝑡ℎ𝑒 𝑖𝑛𝑖𝑡𝑖𝑎𝑙 𝑎𝑚𝑜𝑢𝑛𝑡 𝑜𝑓 6 𝐶 14 . 𝐵𝑦 𝑑𝑒𝑓𝑖𝑛𝑖𝑡𝑖𝑜𝑛 , 𝑡ℎ𝑒 ℎ𝑎𝑙𝑓 𝑙𝑖𝑓𝑒 (5730𝑦𝑒𝑎𝑟𝑠) 𝑖𝑠 𝑡ℎ𝑒 𝑡𝑖𝑚𝑒 𝑎𝑓𝑡𝑒𝑟 𝑤ℎ𝑖𝑐ℎ 𝑡ℎ𝑒 𝑎𝑚𝑜𝑢𝑛𝑡 𝑜𝑓 𝑟𝑎𝑑𝑖𝑜𝑎𝑐𝑡𝑖𝑣𝑒 𝑠𝑢𝑏𝑠tan𝑐𝑒 ( 6 𝐶 14 ) ℎ𝑎𝑠 𝑑𝑒𝑐𝑟𝑒𝑎𝑠𝑒𝑑 𝑡𝑜 ℎ𝑎𝑙𝑓 𝑖𝑡𝑠 𝑜𝑟𝑖𝑔𝑖𝑛𝑎𝑙 𝑣𝑎𝑙𝑢𝑒. 𝑇ℎ𝑢𝑠, ⇒ 𝑦𝑜 𝑒 𝑘.5730 = 1 2 𝑦𝑜 −−−− − (1 ⇒ 𝑒 𝑘.5730 = 1 2 𝑁𝑜𝑤 𝑤𝑒 𝑡𝑎𝑘𝑒 log 𝑜𝑛 𝑏𝑜𝑡ℎ 𝑠𝑖𝑑𝑒𝑠 𝑡𝑜 𝑓𝑖𝑛𝑑 𝑡ℎ𝑒 𝑣𝑎𝑙𝑢𝑒 𝑜𝑓 𝑐𝑜𝑛𝑠tan𝑡 ′𝑘′ ⇒ ln𝑒 𝑘.5730 = ln 1 2 ⇒ 𝑘. 5730ln𝑒 = ln 1 2 ⇒ 𝑘 = ln 1 2 5730 = −0.00012 −−−− − (2 𝑇ℎ𝑒 𝑇𝑖𝑚𝑒 𝑎𝑓𝑡𝑒𝑟 𝑤ℎ𝑖𝑐ℎ 25% 𝑜𝑓 𝑡ℎ𝑒 𝑜𝑟𝑖𝑔𝑖𝑛𝑎𝑙 𝑎𝑚𝑜𝑢𝑛𝑡 𝑜𝑓 6 𝐶 14 𝑖𝑠 𝑠𝑡𝑖𝑙𝑙 𝑝𝑟𝑒𝑠𝑒𝑛𝑡 𝑐𝑎𝑛 𝑛𝑜𝑤 𝑏𝑒 𝑐𝑜𝑚𝑝𝑢𝑡𝑒𝑑 ⇒ 𝑦𝑜 𝑒−0.00012 𝑡 = 1 4 𝑦𝑜 ⇒ 𝑡 = ln 1 4 −0.00012 = 11460𝑌𝑒𝑎𝑟𝑠
  • 11.
    EXAMPLE : MixingProblem The tank in the figure contains 200gal of water in which 40 lb of salts are dissolved. Five gal of brine, each containing 2 lb of dissolved salts, run into the tank per minute, and the mixture, kept uniform by stirring, runs out at the same rate. Find the amount of salt y(t) in the tank at any time t. Solution: )𝑇ℎ𝑒 𝑡𝑖𝑚𝑒 𝑟𝑎𝑡𝑒 𝑜𝑓 𝑐ℎ𝑎𝑛𝑔𝑒 𝑜𝑓 𝑦′ = 𝑑𝑦 𝑑𝑡 𝑜𝑓 𝑦(𝑡 𝑒𝑞𝑢𝑎𝑙𝑠 𝑡ℎ𝑒 inf𝑙𝑜𝑤 min𝑢𝑠 𝑡ℎ𝑒 𝑜𝑢𝑡𝑓𝑙𝑜𝑤. 𝑇ℎ𝑒 inf𝑙𝑜𝑤 𝑖𝑠 10 𝑙 𝑏 min (5𝑔𝑎𝑙 𝑜𝑓 𝑏𝑟𝑖𝑛𝑒, 𝑒𝑎𝑐ℎ 𝑐𝑜𝑛𝑡𝑎𝑖𝑛𝑖𝑛𝑔 2𝑙𝑏). 𝑊𝑒 det𝑒𝑟min𝑒 𝑡ℎ𝑒 𝑜𝑢𝑡𝑓𝑙𝑜𝑤 𝑦(𝑡) 𝑖𝑠 𝑡ℎ𝑒 𝑡𝑜𝑡𝑎𝑙 𝑎𝑚𝑜𝑢𝑛𝑡 𝑜𝑓 𝑠𝑎𝑙𝑡 𝑖𝑛 𝑡ℎ𝑒 tan𝑘. 𝑇ℎ𝑒 tan𝑘 𝑎𝑙𝑤𝑎𝑦𝑠 𝑐𝑜𝑛𝑡𝑎𝑖𝑛 200𝑔𝑎𝑙 𝑏𝑒𝑐𝑎𝑢𝑠𝑒 5𝑔𝑎𝑙 𝑓𝑙𝑜𝑤 𝑖𝑛 𝑎𝑛𝑑 5𝑔𝑎𝑙 𝑓𝑙𝑜𝑤 𝑜𝑢𝑡 𝑝𝑒𝑟 min. 𝑇ℎ𝑢𝑠 1 𝑔𝑎𝑙 𝑐𝑜𝑛𝑡𝑎𝑖𝑛𝑠 𝑦(𝑡 ) 200 𝑜𝑓 𝑠𝑎𝑙𝑡. 𝐻𝑒𝑛𝑐𝑒 𝑡ℎ𝑒 5 𝑜𝑢𝑡𝑓𝑙𝑜𝑤 𝑐𝑜𝑛𝑡𝑎𝑖𝑛 5𝑦(𝑡 ) 200 = 𝑦(𝑡 ) 40 = 0.025𝑦(𝑡) 𝑙𝑏 𝑜𝑓 𝑠𝑎𝑙𝑡. ⇒ 𝑦′ = 𝑠𝑎𝑙𝑡 inf𝑙𝑜𝑤 𝑟𝑎𝑡𝑒 − 𝑠𝑎𝑙𝑡 𝑜𝑢𝑡𝑓𝑙𝑜𝑤 𝑟𝑎𝑡𝑒 ⇒ 𝑦′ = 10 − 0.025𝑦 ⇒ 𝑦′ = −0.025(𝑦 − 400) 𝑡ℎ𝑢𝑠 ⇒ 𝑑𝑦 𝑦 − 400 = −0.025𝑑𝑡
  • 12.
    𝐴𝑝𝑝𝑙𝑦 int𝑒𝑔𝑟𝑎𝑡𝑖𝑜𝑛 ⇒ ln|𝑦− 400| = −0.025𝑡 + 𝑐 𝑇𝑎𝑘𝑖𝑛𝑔 exp𝑜𝑛𝑒𝑛𝑡𝑖𝑎𝑙 ⇒ 𝑦 − 400 = 𝑐𝑒−0.025𝑡 𝐴𝑠 𝑖𝑛𝑖𝑡𝑖𝑎𝑙 𝑐𝑜𝑛𝑑𝑖𝑡𝑖𝑜𝑛 𝑖𝑠 𝑦(0) = 40 ⇒ 𝑦(0) − 400 = 40 − 400 = −360 = 𝑐 𝐻𝑒𝑛𝑐𝑒 𝑡ℎ𝑒 𝑎𝑚𝑜𝑢𝑛𝑡 𝑜𝑓 𝑠𝑎𝑙𝑡 𝑖𝑛 𝑡ℎ𝑒 tan𝑘 ⇒ 𝑦(𝑡) = 400 − 360𝑒−0.025𝑡 𝑙𝑏
  • 13.